Виды цен и их регулирование

  • Вид работы:
    Контрольная работа
  • Предмет:
    Финансовый менеджмент, финансовая математика
  • Язык:
    Русский
    ,
    Формат файла:
    MS Word
    52,50 kb
  • Опубликовано:
    2010-02-03
Вы можете узнать стоимость помощи в написании студенческой работы.
Помощь в написании работы, которую точно примут!

Виды цен и их регулирование

Содержание

1. Виды цен по характеру обслуживаемого оборота и степени государственного регулирования

2. Виды цен по способу фиксации

1. Виды цен по характеру обслуживаемого оборота и степени государственного регулирования

По характеру обслуживаемого оборота различают цены:

ü   оптовые;

ü   закупочные;

ü   биржевые;

ü   розничные.

Оптовая цена предприятия ~ цена, по которой предприятия реализуют произведенную продукцию другим предприятиям, сбытовым организациям обычно крупными партиями (оптом).

В состав оптовой цены предприятия включаются:

ü   издержки производства продукции;

ü   прибыль;

ü   надбавки или скидки к цене;

ü   НДС.

Разновидностью оптовой цены предприятия является трансфертная цена, по которой реализуется продукция при ее передаче от одного подразделения другому в рамках одного предприятия.

Трансфертные цены обычно бывают заниженными, что дает предприятию, закупающему по ним продукцию, определенные дополнительные конкурентные преимущества, позволяя уменьшать издержки собственного производства.

Оптовые цены промышленности - цены, по которым предприятия и организации-потребители оплачивают продукцию сбытовым организациям, реализующим продукцию оптом. К числу оптовых цен относятся закупочные цены, по которым сельскохозяйственные производители реализуют свою продукцию предприятиям, организациям, фирмам, промышленным предприятиям для последующей переработки.

В международной торговле сделки, за редким исключением, представляют собой оптовые операции и совершаются по оптовым ценам.

Биржевая цена также считается оптовой. Биржевые котировки представляют собой цены специально организованного и постоянно действующего оптового рынка массовых, качественно однородных, взаимозаменяемых товаров. Биржа играет роль посредника в процессе продвижения товаров и способствует формированию оптовых рыночных цен посредством биржевых торгов. НА биржах заключаются сделки купли-продажи крупных партий товаров, которые соответствуют установленным образцам и стандартам, цены на них устанавливаются в зависимости от реального спроса и предложения.

Розничные цены — это цены, по которым товар реализуется в сети розничной торговли (как правило, товары продаются поштучно или небольшими партиями).

В розничной цене (по сравнению с оптовой) добавляется еще один элемент — торговая наценка (прибыль розничного продавца). Также в розничную цену может включаться стоимость транспортировки товара к месту продажи.

Разновидностями розничной считаются цены:

ü   аукционная — цена товара, проданного на аукционе. Отличительная особенность аукционной цены заключается в том, что она может быть в несколько раз выше рыночной цены данного товара. Обычно аукционная цена отражает определенные уникальные свойства товара, что в значительной степени сказывается на размере его цены;

ü   коммерческая — цена, установленная на товар при его продаже на свободном рынке. Коммерческая цена может существенно отличаться от цен, устанавливаемых на этот товар государством.

В сфере обращения действуют накидки:

ü   оптово-сбытовая;

ü   розничная и др.

Разница между ценой реализации товара снабженческо-сбытовой организации и оптовой ценой предприятия-поставщика представляет снабженческо-сбытовую надбавку (накидку).

В зависимости от государственного воздействия, регулирования, степени конкуренции на рынке различают следующие виды цен:

ü   свободные (рыночные);

ü   регулируемые;

ü   фиксируемые.

Свободные (рыночные) цены — это цены, устанавливаемые производителями продукции и услуг на основе спроса и предложения на данном рынке.

К свободным относятся цены:

ü   спроса - складываются на рынке покупателя;

ü   предложения - указываются в оферте (официальном предложении продавца) без скидок;

ü   производства — определяются на основе издержек производства с добавлением средней прибыли на весь авансированный капитал.

К регулируемым относятся цены:

ü   устанавливаемые соответствующими органами управления;

ü   в отношении которых органы власти и управления устанавливают какие-либо ограничения.

Регулируемые цены могут быть:

ü   лимитными (пороговыми, защитными), залоговыми;

ü   гарантированными;

ü   рекомендуемыми;

ü   фиксированными.

Предельные (пороговые, лимитные) цены — самые высокие цены, по которым можно продавать продукцию. Выше предельных цен предприятия не могут устанавливать цену своей продукции или услуг.

Гарантированные цены — единые для всех производителей, по которым закупается продукция, устанавливаемые в целях создания оптимальных экономических условий производства продукции. Условием эффективного применения гарантированных цен являются их обеспеченность своевременным и достаточным бюджетным финансированием.

Рекомендуемые цены — цены, которые предполагается устанавливать на тот или иной вид продукции, однако рекомендация не носит директивного, обязательного характера.

Фиксируемые цены — цены, устанавливаемые на определенном уровне, изменение которого возможно только в соответствии с решением государственных органов по ценообразованию. В условиях рыночной экономики круг товаров, на которые устанавливаются фиксированные цены, ограничен. Обычно фиксация цен осуществляется как временная мера, целями применения которой являются:

ü   поддержка социально незащищенных слоев населения;

ü   выход из кризисной ситуации, связанной с ростом инфляции.

2. Виды цен по способу фиксации

По способу установления (фиксации) различают следующие виды цен:

ü   твердые;

ü   подвижные;

ü   скользящие;

ü   с последующей фиксацией.

Эти виды цен устанавливаются в договоре, контракте.

Твердая цена фиксируется в контракте в момент подписания его и уже не может быть изменена в ходе исполнения сделки. Твердые цены называют еще постоянными. Этот вид цены применяется как в сделках с немедленной поставкой в течение короткого срока, так и в сделках, предусматривающих длительные сроки поставки, В последнем случае в контракте обычно делается оговорка: "Цена твердая, изменению не подлежит".

Подвижная цена фиксируется при заключении контракта и может быть пересмотрена в дальнейшем, если рыночная цена данного товара изменится к моменту его поставки. При установлении подвижной цены в контракт вносится оговорка, предусматривающая, что если к моменту исполнения сделки цена на рынке на товар повышается или понижается, то соответственно должна измениться и цена, зафиксированная в контракте, которая называется "Оговорка о повышении и понижении цены".

Обычно в контракте оговаривается интервал отклонения рыночной цены от контрактной (2-5%), в пределах которого пересмотр зафиксированной цены не делается. При установлении подвижной цены в контракте обязательно должен быть указан источник, по которому следует судить об изменении рыночной цены.

Этот вид цены устанавливается чаще всего на товары, поставляемые по долгосрочным контрактам.

ü   промышленные;

ü   сырьевые;

ü   продовольственные и др.

Скользящая цена характерна для контрактов, предусматривающих, поставки в течение длительного периода; проведение каких-либо подрядных работ.

Обычно она исчисляется в момент исполнения контракта путем пересчета контрактной, т. е. базисной цены, ввиду изменений в издержках производства, произошедших в период действия контракта. Если контрактом предусматриваются частичные поставки, скользящая цена рассчитывается на каждую поставку. Скользящие цены применяются в контрактах на товары, требующих длительных сроков исполнения, как например:

ü   крупное промышленное оборудование;

ü   суда и т. д.

ü   прибыль;

ü   материальные затраты;

ü   затраты на заработную плату;

ü   накладные расходы;

ü   амортизационные отчисления и т. д.

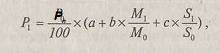
При этом в контракте приводится метод расчета скользящей цены, рекомендуемый Европейской экономической комиссией ООН'.


где:

§ Р1 - окончательная цена по счету;

§ Р0— договорная, т. е. базисная цена, которая устанавливается на день заключения контракта. Обычно такой ценой является указанная в контракте цена за вычетом стоимости упаковки и страхования;

§ Mi — средняя арифметическая, или средневзвешенная цена (средняя индексов цен) на перечисленные в договоре сырье и материалы за период использования контракта или его части;

§ M0— цены или индексы цен на указанные выше материалы

в момент подписания контракта;

§ Si — средняя арифметическая (средневзвешенная) заработная плата, включая расходы на отчисления по социальному страхованию или соответствующие индексы, относящиеся к

определенной в договоре категории рабочей силы за установленный период;

§ S0 - заработная плата или соответствующие индексы в отношении тех же категорий рабочей силы в момент подписания контракта;

§ а, b, с выражают процентное отношение отдельных элементов договорной цены, а их сумма составляет 100%.

При необходимости b и с могут быть разбиты на требуемое число частичных процентных отношений, которые в сумме должны давать принимаемую в расчете данную переменную

величину. Например, b=b+b2+bЗ+...; c=cl+c2+...

В контракте обязательно должны оговариваться критерии, на основе которых должны определяться изменения стоимости материалов, а также ставки заработной платы за расчетный период.

Использование этой формулы вовсе не является обязательным.

Возможен расчет общей цены контракта, который основан на базе цены и отдельных ее составляющих: доля стоимости рабочей силы, сырья, материалов, индексов цен и заработной платы.

Соответствующая формула имеет следующий вид:

где:

• Pi — общая цена контракта;

• Р0 — базовая цена;

• А — коэффициент торможения, т. е. постоянная доля в цене;

• В и С — ценовые доли, т. е. доля стоимости материалов и рабочей силы;

М1 и М0 - индексы цен на материалы, используемые для изготовления экспортной продукции на момент времени их закупки поставщиком и на момент установления базовой цены соответственно;

• Si И S0 — индексы заработной платы в отрасли, поставляющей экспортную продукцию, на момент пересчета цены и установления базовой цены соответственно.

Рассчитывая общую сумму контракта, следует иметь в виду, что А+В+С=1.

Коэффициент А обычно колеблется от 0,1 до 0,2 и выражает переносимую на экспортную продукцию часть основных фондов, т. е. амортизацию, прогнозируемую расчетную прибыль и т. д.

При установлении скользящей цены в условиях растущей рыночной конъюнктуры в контракт могут быть внесены в интересах импортера некоторые ограничительные условия. В частности, может быть установлен предел в процентах к договорной цене, в рамках которого пересмотр цены не производится.

Кроме того, может быть также установлен предел возможного изменения договорной цены (например, не выше 15% общей суммы заказа). Этот предел называется лимитом скольжения.

В контракте также может быть предусмотрено, что скольжение распространяется не на всю сумму контракта, а лишь на определенные элементы издержек производства. В этом случае должны быть указаны их величины в процентах от общей стоимости заказа.

Скольжение цены может быть предусмотрено в контракте:

ü   на весь срок его действия;

ü   на более короткий период, например, на первые 6 месяцев от даты заключения контракта.

Здесь подразумевается, что в течение этого периода поставщик может закупить все необходимые материалы для выполнения заказа.

Иногда на практике применяется смешанный способ фиксации цены, при котором:

ü   часть цены фиксируется твердо при заключении контракта;

ü   часть — является скользящей.

 Цена с последующей фиксацией устанавливается в процессе выполнения сделки. В контракте стороны оговаривают лишь принцип определения уровня и условия фиксации цены.

Например, по договоренности сторон цена устанавливается перед каждой предусмотренной контрактом поставкой партии товара или при долгосрочных поставках перед началом каждого календарного года. Покупателю также может быть предоставлено право выбрать момент фиксации цены в течение срока исполнения сделки.

При этом указывается оговорка, какими источниками информации оценок ему следует пользоваться для определения уровня цен.

Так, при сделках на биржевые товары оговаривается порядок установления цены, а именно:

ü   котировки конкретной биржи, рубрика котировального бюллетеня, по которым будет определяться цена;

ü   срок, в течение которого покупатель обязан сообщить продавцу о своем желании зафиксировать цену в контракте.

Такие сделки называются онкольными.

Цены с последующей фиксацией применяются в основном при поставках товаров в течение длительного периода, когда конъюнктура мировых товарных рынков может существенно измениться.


Не нашли материал для своей работы?
Поможем написать уникальную работу
Без плагиата!
Без нейросетей!