Финансы строительства

  • Вид работы:
    Реферат
  • Предмет:
    Финансовый менеджмент, финансовая математика
  • Язык:
    Русский
    ,
    Формат файла:
    MS Word
    112,41 kb
  • Опубликовано:
    2010-03-02
Вы можете узнать стоимость помощи в написании студенческой работы.
Помощь в написании работы, которую точно примут!

Финансы строительства

Министерство сельского хозяйства РФ

Федеральное государственное образовательное учреждение

Высшего профессионального обучения

"Мичуринский государственный аграрный университет"

Кафедра "Бухгалтерский учет, анализ и аудит"







РЕФЕРАТ

По дисциплине: "Финансы предприятий"

На тему: "Финансы строительства"



Выполнила: студентка

экономического факультета

Проверила:




Мичуринск - Наукоград РФ, 2009 г.

Основные технико-экономические особенности строительства и их отражение в организации финансов


В отличие от других отраслей материального производства строительство конкретного объекта (здания, сооружения, жилого дома и др.) осуществляется строительной организацией на договорных условиях по заказу предприятия или другой организации (инвестора), за счет средств которых выполняются работы по строительству данного объекта. В то же время продолжительность строительного процесса создаваемого объекта вызывает наличие большого незавершенного производства, покрываемого собственными средствами строительной организации (оборотными средствами).

В связи с этим в осуществлении строительного производства участвуют два вида финансов: финансы заказчика (инвестора) и финансы подрядчика.

Финансам инвестора принадлежит ведущее место в финансах строительства. От состояния финансов инвестора, от его платежеспособности зависит финансовое состояние подрядной организации.

Финансы инвестора представляют собой совокупность средств, предназначенных для финансирования затрат во вновь создаваемые, реконструируемые, обновляемые и модернизируемые основные фонды и для наделения вновь создаваемых и расширяемых производств необходимыми оборотными средствами. Источниками формирования этих средств являются:

амортизационный фонд;

часть прибыли от основной деятельности;

прибыль и экономия от снижения себестоимости строительно-монтажных работ, выполняемых хозяйственным способом;

мобилизация внутренних ресурсов в строительстве;

налоговый инвестиционный кредит;

ассигнования из бюджета;

прочие источники (средства от продаж ценных бумаг, паевые и другие взносы трудовых коллективов).

Успешное выполнение планов капитального строительства, ввод в эксплуатацию объектов и производственных мощностей в установленные сроки во многом зависят от наличия и состояния финансов инвестора, целевого и экономического их использования. Это подробно изучается в курсе финансирования инвестиций.

Сущность и основные принципы организации финансов подрядных организаций те же, что и в промышленности.

Основным хозяйственным звеном управления строительным производством является строительно-монтажный трест (производственное строительно-монтажное объединение или другая организация, приравненная к тресту), находящийся на полном хозрасчете и самофинансировании.

Специфика строительства сказывается на некоторых особенностях финансов подрядчика. Продолжительность строительства объекта вызывает наличие большого незавершенного производства в составе собственных оборотных средств подрядной организации. Это, в свою очередь, приводит к неравномерности поступления выручки от сдачи выполненных работ заказчику - основного источника собственных средств подрядчика.

Специфика строительного производства обусловливает существенные различия в материалоемкости и трудоемкости работ на отдельных технологических этапах строительства и завершения объекта. В результате этого образуется неравномерность потребности в оборотных средствах в процессе строительства объекта. Особенность ценообразования в строительстве в виде сметной стоимости и действующий порядок оплаты работ существенно сказываются на особенности формирования прибыли подрядных организаций. Территориальная закрепленность строящегося объекта вызывает смену мест производства работ, что сказывается на уровне рентабельности и потребности в оборотных средствах.

Состав затрат на строительно-монтажные работы и их стоимость


Затраты на строительно-монтажные работы состоят из прямых и накладных расходов.

Прямые расходы - затраты на приобретение и доставку материалов, деталей, конструкций, основная заработная плата рабочих, расходы по эксплуатации строительных машин и механизмов, прочие прямые затраты.

Накладные расходы - административно-хозяйственные расходы, расходы по обслуживанию рабочих, расходы по организации и производству работ и прочие.

Размер данных затрат определяется по каждому объекту строительства путем составления сводной сметы - основного документа, определяющего полную сметную стоимость стройки. Она является основанием для финансирования стройки и осуществления расчетов с заказчиком. Вместе с указанными прямыми затратами и накладными расходами полная сметная стоимость включает плановую прибыль.

Наряду со сметной стоимостью в строительстве различают три вида себестоимости: сметная, плановая, фактическая.

Сметная себестоимость - меньше полной стоимости на сумму плановой прибыли.

Плановая себестоимость - меньше сметной себестоимости на сумму планируемой экономии от снижения себестоимости работ.

Фактическая себестоимость - отражает всю величину производственных затрат, определяемых по данным бухгалтерского учета. Она предусматривает не только затраты, намечаемые сметой, но и другие фактические расходы, штрафы, пени, неустойки за простой транспортных средств, нарушение договора подряда, недостачу материалов и другие непроизводственные расходы.

Для определения плановой себестоимости составляется смета затрат на производство строительно-монтажных работ. При планировании и учете эти затраты группируются по следующим статьям: материалы, основная заработная плата рабочих, затраты по эксплуатации строительных машин и механизмов, накладные расходы. При планировании себестоимости учитывается возможность снижения затрат на производство за счет повышения производительности труда, сокращения продолжительности строительства, экономии материалов, повышения технического уровня строительного производства, улучшения использования машин и механизмов, повышения качества работ.

Оборотные средства строительства


Состав и структура оборотных средств подрядных организаций обусловлены технико-экономическими особенностями капитального строительства. Так, в составе оборотных средств нет готовой продукции, значительный удельный вес имеют расчеты и денежные средства. Размер незавершенного производства определяется не только условиями производства, но и действующим порядком расчетов между заказчиком и подрядчиком.

Потребность подрядных организаций в собственных оборотных средствах определяется путем их нормирования. Методы нормирования оборотных средств аналогичны методам, применяемым в промышленности. Вместе с тем в нормировании отдельных статей имеются особенности, связанные со спецификой деятельности строительных организаций.

Так, при определении норматива по основным материалам, конструкциям и деталям в тех случаях, когда проектом организации работ предусмотрена комплектация конструкций и деталей на строительных площадках, при расчете подготовительного запаса учитывается необходимое для этого время. Оно определяется на основании данных проектно-сметной документации.



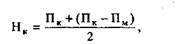
Если период комплектации конструкций и деталей превышает период их монтажа, Норма оборотных средств на этот период определяется по формуле


где Нк - норма оборотных средств на период комплектации; Пк - период комплектации конструкций и деталей; Пм - период монтажа конструкций и деталей.

Если монтаж конструкций и деталей производится по часовому графику непосредственно с транспортных средств ("с колес"), потребность в этом виде запаса отпадает и норматив оборотных средств на складские запасы конструкций и деталей не исчисляется.

Норматив по незавершенному производству строительно-монтажных работ по-разному определяется для домостроительных комбинатов и трестов жилищного строительства, осуществляющих типовое строительство поточным методом, и общестроительных организаций. Для первой группы строительных организаций норматив должен обеспечить покрытие затрат по незавершенному производству в период нормативной или плановой продолжительности строительства на всех объектах, одновременно находящихся в незавершенном строительстве, от начала строительства до его полного окончания, включая время, необходимое для приемки-сдачи готовых объектов и предъявления счетов в банк для оплаты. Количество объектов в условиях поточного производства зависит от продолжительности строительства и шага потока, который характеризует периодичность начала строительства каждого объекта в днях.

Норматив оборотных средств по незавершенному производству для первой группы строительных организаций определяется по формуле


где НП - норматив оборотных средств по незавершенному производству; 3 - средний размер однодневных затрат по сметной стоимости, исходящей из годового плана ввода в действие готовых объектов; ОП - средняя продолжительность строительства объектов в днях, включая время, необходимое для оформления актов и счетов и сдачи их в банк для оплаты; Ккэ - коэффициент нарастания затрат; Опс - отношение плановой себестоимости строительно-монтажных работ к сметной стоимости.

Коэффициент нарастания затрат выражает отношение незавершенного производства, приходящегося в среднем на один из объектов, к сметной стоимости объекта и определяется по формуле


где У - удельный вес затрат соответствующего месяца или другого периода, через который запускается в строительство каждый следующий дом, в общей стоимости дома или комплекта; СД - число домов, находящихся одновременно в незавершенном производстве, по которым произведены затраты первого месяца (периода) строительства; СД-1, СД-2,..., СД-Н - количество домов, по которым произведены затраты первого, второго и т.д. месяца (периода).

При равномерном распределении затрат по месяцам (периодам) строительства коэффициент нарастания затрат определяется по упрощенной формуле:


Для расчета отношения плановой себестоимости строительно-монтажных работ к сметной стоимости (Опс) необходимо из сметной стоимости строительства вычесть плановые накопления и установленное задание по снижению себестоимости строительно-монтажных работ.

Общая сумма норматива определяется как средневзвешенная величина по удельному весу однородных групп объектов, вводимых в эксплуатацию в планируемом году, или путем суммирования нормативов, рассчитанных для каждой группы объектов.

По второй группе подрядных организаций в условиях ежемесячных расчетов между подрядчиком и заказчиком за выполненные строительно-монтажные работы норматив устанавливается

в размере 10% годового объема работ, выполняемых собственными силами, что соответствует 36-дневным затратам на производство по сметной стоимости и позволяет подрядчику обходиться без денег заказчика в течение шести дней по истечении отчетного периода, необходимых для оформления расчетных документов и нормативного документооборота. Указанный норматив формируется за счет собственных средств подрядных организаций.

В отдельных случаях в финансовых планах предусматриваются бюджетные ассигнования на прирост норматива собственных оборотных средств и другие мероприятия.

Источники финансирования прироста норматива собственных оборотных средств, а также источники и порядок восполнения их недостатка в подрядных строительно-монтажных организациях в основном те же, что и в промышленности.

сметной стоимости строительно-монтажных работ, выполненных и сданных заказчику в течение года;

сметной стоимости собственных капитальных вложений;

суммы, получаемой подрядной организацией сверх сметной стоимости выполненных работ;

изменения остатков неоплаченных заказчиками работ на начало и конец планируемого года;

доходов от реализации на сторону продукции подсобных предприятий.

Согласно Положению "О составе затрат на производство и реализацию продукции (работ, услуг), включаемых в себестоимость продукции (работ, услуг), и о порядке формирования финансовых результатов, учитываемых при налогообложении прибыли" выручка от реализации определяется либо по мере оплаты продукции (работ, услуг), либо по мере отгрузки товаров (выполнения работ, услуг) и предъявления покупателю (заказчику) расчетных документов.

Метод расчета выручки определяет само предприятие на ряд лет исходя из условий хозяйствования и заключенных договоров.

Конечный финансовый результат (прибыль или убыток) подрядных организаций слагается из финансового результата от реализации выполненных строительно-монтажных работ, основных средств и иного имущества и доходов от внереализационных операций, уменьшенных на сумму расходов по этим операциям.

Плановая прибыль от реализации выполненных работ может быть определена двумя методами.

1. Нормативным ~ по формуле


где Пн - плановые накопления от сметной стоимости; Э - экономия от снижения сметной стоимости строительно-монтажных работ, планируемых на год; СВР - стоимость выполненных работ.

2. Прямым методом - как разница между выручкой от реали зации выполненных работ по сметной (договорной) стоимости без налога на добавленную стоимость и плановой себестоимостью выполненных работ.

К внереализационным доходам относятся:

прибыль от долевого участия в деятельности других предприятий;

доходы по акциям и облигациям;

доходы от сдачи имущества в аренду;

другие доходы от операций, непосредственно не связанных с производством и реализацией работ и услуг.

К расходам и потерям, отражаемым на счете "Прибыли, убытки", относятся:

затраты на стимулирование производственных заказов, а также затраты на производство, не давшее продукции;

потери от уценки производственных запасов;

другие внереализационные потери и расходы.

Результат от реализации основных фондов и иного имущества определяется как разница между выручкой и балансовой стоимостью за вычетом износа.

Прибыль подрядных строительно-монтажных организаций распределяется так же, как и в промышленности. Налог на добавленную стоимость у строительных, строительно-монтажных и ремонтных организаций начисляется от стоимости выполненных работ, принятых заказчиком.

Список использованных источников


1. Шеремет А.Д., Сайфулин Р.С. Финансы предприятий. М.: ИНФРА-М, 2007.

2. Ковалева А.М. Финансы фирмы: Учебник. /А.М. Ковалева. - М.: ИНФРА-М, 2002.

3. Моляков Д.С. Финансы предприятий отраслей народного хозяйства: Учебное пособие. / Д.С. Моляков - М.: Финансы и статистика, 2001.


Не нашли материал для своей работы?
Поможем написать уникальную работу
Без плагиата!
Без нейросетей!