Финансовый рынок, сущность, виды, функции

  • Вид работы:
    Контрольная работа
  • Предмет:
    Финансовый менеджмент, финансовая математика
  • Язык:
    Русский
    ,
    Формат файла:
    MS Word
    150,45 kb
  • Опубликовано:
    2010-09-18
Вы можете узнать стоимость помощи в написании студенческой работы.
Помощь в написании работы, которую точно примут!

Финансовый рынок, сущность, виды, функции

Финансовый рынок, сущность, виды, функции


Под финансовым рынком понимается совокупность всех денежных ресурсов, которые находятся в постоянном движении под воздействием изменяющегося спроса и предложения на них со стороны различных субъектов экономики. Финансовый рынок является каналом распределения и перераспределения денежных средств в соответствии с потребностями хозяйствующих субъектов и изменениями рыночной конъюнктуры. Его масштабы всецело зависят от состояния и объема общественного производства, а также от численности населения.

Важная роль в регулировании финансового рынка принадлежит финансовой политике. Последняя представляет систему мероприятий государства по организации и использованию финансов для осуществления своих функций, а также систему форм и методов мобилизации финансовых ресурсов, их распределения между социальными группами населения, отраслями, регионами. В содержание финансовой политики включается финансовое законодательство, регулирование доходов и расходов, формирование и исполнение государственного бюджета, налоговое регулирование, управление денежным обращением, воздействие на курс национальной валюты, структура государственных доходов и расходов.

Финансовый рынок в экономической системе страны выполняет многообразные функция. К основным из них относятся следующие:

мобилизация временно свободного капитала в форме денежных и других финансовых ресурсов государства, регионов, предприятий и населения;

оптимизация распределения временно свободных финансовых ресурсов между конечными потребителями;

выявление наиболее доходных сфер и направлений использования временно свободных финансовых ресурсов;

ускорение оборота финансовых ресурсов;

формирование рыночных цен на финансовые инструменты и услуги в соответствии с изменяющейся конъюнктурой финансового рынка;

создание условий для минимизации финансового и коммерческого риска;

минимизация затрат за счет финансового посредничества между продавцами и покупателями финансовых инструментов.

По своему составу финансовый рынок неоднороден. Он охватывдет разветвленную систему отдельных видов финансовых рынков, в рамках которых образуется сеть его подвидов. В соответствии с этим в современной литературе дается их классификация по определенным признакам: по видам финансовых инструментов и услуг, организационным формам функционирования, по территориальному охвату, по срочности реализации сделок, по исходным, условиям функционирования финансовых инструментов и др.

По видам финансовых инструментов и услуг выделяют следующие основные виды финансовых рынков:

денежный рынок;

кредитный рынок (рынок ссудных капиталов);

валютный рынок;

рынок ценных бумаг (фондовый рынок);

страховой рынок;

рынок золота.

Кратко охарактеризуем перечисленные виды рынков.

Денежный рынок - это совокупность однородных национальных кредитных и депозитных рынков, где центральный банк, коммерческие банки и другие финансовые институты совершают сделки по краткосрочным (сроком до одного года) ценным бумагам, а также часть рынка ссудных капиталов по осуществлению краткосрочных депозитно-ссудных операций, т.е. обслуживающего в основном движение оборотного капитала фирм, краткосрочных ресурсов банков, учреждений, государства, населения.

Спецификой денежного рынка является то, что деньги здесь не продаются и не покупаются, а обмениваются на другие ликвидные средства по альтернативной стоимости.

Причем последняя измеряется в единицах номинальной нормы процента. Иными словами на денежном рынке спрос на деньги и их предложение определяют уровень процентной ставки, которая выражает цену самих денег.

Равновесие на денежном рынке достигается в том случае, когда кривые спроса и предложения на деньги пересекаются, что возможно при нескольких вариантах. Рассмотрим их на графике. Для этого на оси абсцисс откладывается количество денег, которое находится в обращении, а на оси координат ставка процента.

Предположим, что кривая предложения денег Sm имеет форму вертикальной прямой, а центральный банк, контролируя денежное предложение, поддерживает его на неизменном уровне при любых изменениях номинальной процентной ставки.

Обозначим кривую спроса на деньги Дт, тогда график можно представить следующим образом:


Пересечение кривых спроса Дт и предложения Sm в точке Е означает, что между спросом и предложением денег на денежном рынке достигнуто равновесие, т.е. при процентной ставке 4% население и фирмы будут держать на руках 150 млрд руб.

При более низкой норме процента они будут увеличив вать количество денег в своих портфелях, что повлечет за собой снижение цен на ценные бумаги. В результате норма процента станет повышаться до, тех пор, пока не будет достигнуто равновесие, и наоборот.

Рассмотрим ситуацию, когда происходит увеличение предложения денег, например, со 100 млрд руб. до 200 млрд руб. При ставке в 4% денег потребуется лишь 150 млрд руб. Следовательно, их излишек 50 млрд руб. население и фирмы инвестируют в ценные бумаги и другие финансовые активы.


Под воздействием этого курсы ценных бумаг начнут расти и, соответственно процентная ставка будет уменьшаться.

В свою очередь падение процентной ставки приведет к уменьшению цены хранения денег.

Тогда население и фирмы станут увеличивать количество наличных денег и чековых вкладов. При ставке в 2% на денежном рынке восстановится равновесие, S спрос и предложение денег составит 200 млрд руб.

При сокращении предложения денег образуется их временный дефицит. Пытаясь восполнить нехватку денег, население и фирмы начнут продавать имеющиеся на руках акции и облигации, что приведет к росту предложения на рынке ценных бумаг и соответственно понизит их рыночную стоимость. Тем самым увеличится процентная ставка.

Более высокая процентная ставка означает повышение цены хранения денег, что неизбежно повлечет за собой уменьшение их количества на руках у населения и фирм. Соответственно спрос на деньги сократится, и денежный рынок возвратится в состояние равновесия.

Проанализируем, какие последствия произойдут в спросе на деньги.

При номинальной ставке в 7% рынок находится в состоянии равновесия в точке Е.

Под влиянием роста номинального дохода произойдет смещение кривой спроса на деньги в положение Дш2


При исходной ставке процента население и фирмы хотели бы держать на руках 200 млрд руб., а банковская система может предложить всего 150 млрд руб. Стремясь приобрести больше денег, население и фирмы начнут продавать ценные бумаги, что приведет к повышению номинальной ставки процента до 12%.

Кредитный рынок (рынок ссудных капиталов) представляет собой рынок, на котором объектом купли-продажи выступают кредитные ресурсы и обслуживающие их финансовые инструменты.

В качестве кредиторов и заемщиков как субъектов кредитного рынка выступают банки, государство, предприятия, финансово-кредитные учреждения, муниципалитеты, население. Обращение кредитных ресурсов осуществляется на условиях возвратности, срочности, платности.

Купля-продажа кредитных ресурсов может осуществляться в разнообразных формах.

В этой связи различают коммерческий кредит, банковский кредит, потребительский кредит, сельскохозяйственный кредит, ипотечный кредит, государственный кредит, международный кредит.

В структуре кредитного рынка выделяются: рынок краткосрочных банковских кредитов и рынок средне - и долгосрочных банковских кредитов. По периоду обращения финансовых активов (инструментов) первый относится к денежному рынку, а второй - к рынку капиталов.

К последнему относят также рынок средне - и долгосрочных ценных бумаг.

В состав денежного рынка наряду с рынком краткосрочных ценных бумаг, рынком краткосрочных банковских кредитов входит также валютный рынок.

Последний представляет собой систему устойчивых организационно-экономических отношений, по купле-продаже иностранных валют и платежных документов в иностранных валютах.

Он делится на биржевой и внебиржевой (межбанковский). Осуществляя широкий круг операций по купле-продаже, обмену иностранных валют, чеков, векселей, страхованию валютных расходов, денежным расчетам, связанным с внешней торговлей, зарубежными инвестициями, туризмом и т.д., валютный рынок обеспечивает интеграцию мирового и национального рынков.

К основным функциям валютного рынка относят:

регулирование валютных курсов;

осуществление международных расчетов;

страхование валютных рисков;

диверсификация валютных резервов.

На валютном рынке действует закон спроса и предложения на иностранную валюту, которая является товаром.

Равновесие между спросом и предложением на иностранную валюту определяет ее валютный (рыночный) курс. Пропорция, в которой валюта одной страны обменивается на валюту другой, называется валютным курсом. В России валютный курс устанавливается на Московской межбанковской бирже.

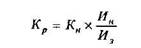
При определении цен на товары в иностранной валюте ведется расчет номинального и реального валютного курса. Номинальный (рыночный) валютный курс формируется на бирже.

Он не учитывает уровень инфляции. Реальный валютный курс представляет собой номинальный валютный курс, скорректированный на уровень инфляции в обеих странах:


где К - реальный валютный курс;

И - национальный индекс потребительских цен; И - индекс потребительских цен за рубежом.

Рынок ценных бумаг (фондовый рынок) является частью рынка ссудных капиталов, где осуществляется эмиссия и купля-продажа ценных бумаг. В нем выделяют первичный и вторичный рынок ценных бумаг.

На первичном рынке ценных бумаг осуществляется эмиссия и первичное размещение ценных бумаг, а на вторичном - производится купля-продажа (обращение) ранее выпущенных ценных бумаг.

Ценные бумаги представляют собой денежные документы, удостоверяющие права собственности или отношения займа владельца документа к лицу, выпустившему такой документ (эмитенту). По видам различают следующие ценные бумаги: акции, облигации, казначейские обязательства государства, сберегательные и депозитные сертификаты, векселя, варранты, коносаменты, чеки, фьючерсы, опционы и др.

Перечисленные ценные бумаги выступают товаром особого рода, т.е. являются одновременно титулом собственности, долговым обязательством, правом на получение дохода и обязательством по выплате дохода.

Как товар ценная бумага не имеет собственной стоимости, если не принимать во внимание незначительные затраты на ее изготовление.

Однако она представляет определенную величину реального капитала, инвестированного в какое-либо производство. Поэтому рынок ценных бумаг, по сути, представляет функционирующий рынок реального капитала (денег и других материальных ценностей).

Рынок ценных бумаг выполняет следующие основные функции:

инвестиционная функция, заключающаяся в мобилизации и распределении инвестиционных ресурсов в соответствии с потребностями расширенного воспроизводства;

передел собственности посредством купли-продажи пакетов ценных бумаг;

диверсификация рисков, включая хеджирование;

повышение уровня ликвидности долга через покрытие его за счет выпуска новых ценных бумаг;

оптимизация структуры общественного производства и денежного обращения.

Страховой рынок является наиболее динамичным среди других видов финансовых рынков. Объектом купли-продажи на нем является специфический товар - страховая защита или так называемое "страховое покрытие" в форме различных предлагаемых страховых продуктов.

Основные функции страхового рынка сводятся к следующему:

обеспечение страховой защиты или иных сделок, ценных бумаг, валют и т.д., а также здоровья граждан и их имущества;

аккумуляция и эффективное перераспределение капитала посредством использования его в инвестиционных целях;

диверсификация различных видов риска и др. Страховой рынок подразделяется по отраслям

страхования и по территориальному признаку: международный, национальный, региональный и пр.

Наиболее распространенной формой страхования выступает хеджирование, страхование от ценового риска.

Рынок золота и других драгоценных металлов является рынком, на котором объектом купли-продажи выступают золото, серебро, платина. Особое место среди драгоценных металлов принадлежит золоту.

Обладая уникальными физическими свойствами, оно выполняет следующие основные функции:

используется как компонент во многих отраслях народного хозяйства;

служит средством накопления и сохранения стоимости;

является средством обеспечения национальных валют и резервным активом центральных банков;

выступает в качестве одного из основных индикаторов возникновения инфляционных ожиданий наряду с увеличением денежного предложения и повышением ставок рефинансирования центральных банков.

Уникальность золота определяет многофункциональность его рынка. К числу выполняемых рынком золота функций относятся:

страхование финансовых активов;

обеспечение резервирования финансовых активов для приобретения иностранной валюты при международных расчетах;

удовлетворение потребности в промышленно-бытовом использовании золота, в частной тезаврации;

осуществление финансовых спекулятивных сделок и др.

Похожие работы на - Финансовый рынок, сущность, виды, функции

 

Не нашли материал для своей работы?
Поможем написать уникальную работу
Без плагиата!
Без нейросетей!