Спрос на валюту и ее предложение

  • Вид работы:
    Контрольная работа
  • Предмет:
    Финансовый менеджмент, финансовая математика
  • Язык:
    Русский
    ,
    Формат файла:
    MS Word
    489,43 kb
  • Опубликовано:
    2010-08-03
Вы можете узнать стоимость помощи в написании студенческой работы.
Помощь в написании работы, которую точно примут!

Спрос на валюту и ее предложение

МОСКОВСКАЯ ОТКРЫТАЯ СОЦИАЛЬНАЯ АКАДЕМИЯ

КАЛМЫЦКИЙ ФИЛИАЛ

ФИНАНСОВО-ЭКОНОМИЧЕСКИЙ ФАКУЛЬТЕТ

ЗАОЧНОЕ ОТДЕЛЕНИЕ

Специальность 080105 «Финансы и кредит»

КОНТРОЛЬНАЯ РАБОТА

Дисциплина: Международные валютно-кредитные отношения

Тема: Спрос на валюту и ее предложение

Элиста 2009 г.

Содержание

1. Валютный режим. Гибкость валютных курсов

2. Прогнозирование валютного курса с помощью паритета покупательной способности

Список использованной литературы

1.   Валютный режим. Гибкость валютных курсов

Валютный режим - это способ установления валютного курса.

Гибкость валютного курса означает его способность реагировать на соотношение спроса и предложения на валюту. По существу, гибкость валютного курса отражает режим его установления денежными властями.

Международный валютный фонд в 1982 г. составил классификацию валютных курсов по степени гибкости.

А. Фиксированный валютный курс.

1. Курс, зафиксированный к одной валюте, наиболее значимой на мировом рынке. Например, к доллару США - Аргентина, Венесуэла, Барбадос, Сальвадор, Эквадор - в Америке, Нигерия - в Африке и т.д. Такая фиксация означает, что изменение курса национальной валюты к валюте третьей страны в точности соответствует изменению доллара США.

2. Использование валюты другой страны в качестве законного платежного средства. Например, в Сан-Марино - итальянская лира до 1999 г. и евро - после, Либерия - доллар США. Это означает, что национальной валюты в стране нет. Следовательно, нет национальной денежно-кредитной политики и т.д.

3. Валютное правление - фиксация курса национальной валюты к иностранной валюте, причем выпуск национальной валюты полностью обеспечен запасами иностранной валюты. Валютное правление действовало в Китае, Гонконге, Сингапуре, действует в Литве. Через введение валютного правления чрезвычайно успешно вышла из экономического кризиса в 1991 - 1992 гг. Аргентина, однако последующие ошибки в экономической и денежно-кредитной политике вызвали в 2000 г. очередной глубокий кризис, приведший к дефолту в 2002 г.

4. Фиксация курса общей валюты к одной иностранной валюте. Например:

• к французскому франку - общая валюта стран зоны франка (14 стран центральной Африки);

• к доллару США - 8 стран, использующих восточнокарибский доллар (Антилья, Антигуа, Барбуда, Доминика, Гренада и т.д.).

5. Фиксация курса к стране - основному партнеру. Например, Бутан - индийская рупия; Эстония - немецкая марка (евро после 1999 г.); Намибия, Лесото, Свазиленд - рэнд ЮАР.

6. Фиксация курса к валютному композиту (СДР или корзине валют).

Например, к СДР привязаны курсы национальных валют Ливии, Мьянмы, Сейшельских островов. К другим корзинам, составленным по усмотрению самих стран, привязаны курсы Бангладеш, Иордании, Кипра, Марокко, Таиланда, Чехии, Словакии и т.д.

Состав корзин и удельный вес входящих в нее валют обычно отражает удельный вес стран с этой валютой во внешней торговле и движении капитала данной страны.

B. Ограниченно гибкий курс - официально установленное соотношение между национальными валютами, допускающее определенные колебания валютного курса в соответствии с установленными правилами.

Мировой практике известно несколько способов установления ограниченно гибких курсов:

1) ограниченно гибкий курс к одной валюте - ограничение колебаний валютного курса определенными пределами (например, ±7,25%) от фиксированного паритета к какой-либо иностранной валюте. Например, к доллару США - ОАЭ, Бахрейн, Катар, Саудовская Аравия;

2) ограниченно гибкий курс в рамках совместной валютной политики. Например, 10 стран ЕЭС в 1990-х гг. ограничивали отклонение пределами ±2,25% центрального расчетного курса.

C. Плавающий валютный курс - это курс, свободно изменяющийся под воздействием спроса и предложения, на который при определенных условиях, государство может влиять через валютные интервенции. Пределы колебаний законодательно не устанавливаются. Можно выделить три вида плавающих валютных курсов:

1) корректируемый валютный курс, автоматически изменяющийся при изменении определенного набора экономических показателей. Например, текущий валютный курс может автоматически изменяться вслед за изменением уровня инфляции в данной стране и стране - основном торговом партнере. Такой курс применялся в Чили, Никарагуа, Эквадоре;

2) управляемо-плаваюший курс устанавливает не рынок, а Центральный банк, но часто его изменяет. При изменениях учитываются такие макроэкономические показатели, как состояние платежного баланса, объем международных резервов, развитие параллельного валютного рынка. Этот метод использовали в разные периоды времени и развитые (Норвегия, Греция), и развивающиеся страны (Ангола, Колумбия, Египет, Пакистан), и страны с переходной экономикой (Россия, Китай, Хорватия, Казахстан, Литва, Грузия и т.д.);

3) независимо плавающий курс - курс, определяемый на основе соотношения спроса и предложения на валюту на валютном рынке при невмешательстве государства в этот процесс. Плавание может быть «чистым» - курсообразование без вмешательства Центрального банка в валютный рынок, или «грязным» - при активных интервенциях Центрального банка.

Возможны и используются на практике комбинированные варианты установления валютных курсов (гибридные виды валютного курса).

В 1961 г. лауреат Нобелевской премии Роберт Манделл обосновал теорию оптимального валютного пространства. Оптимальное валютное пространство - поддержание фиксированного валютного курса между ограниченной группой стран и плавающего валютного курса с остальными странами.

Оптимальным считается пространство между странами, входящими в интеграционное объединение, находящееся на высоком уровне зрелости. Пример - страны Евросоюза до введения евро. Чем выше уровень интеграции, тем более жесткая фиксация курсов. Общую валюту можно рассматривать как крайнюю степень жесткой фиксации.

Другой вариант регулируемого (гибридного) валютного курса - его искусственное поддержание в рамках целевых зон, определенных правительством. Частный случай целевой зоны - валютный коридор (Россия в 1996-1998 гг.).

Основные способы фиксации валютного коридора:

- поддержание колебаний валютного курса в определенных границах зафиксированного соотношения между валютами. Например, Чили в 1986-1992 гг. - паритет песо к доллару США, Израиль с 1986 г. - паритет к корзине валют, и т.д.;

- установление пределов колебаний курса национальной валюты в номинальных единицах без определения центрального паритета: просто определяются границы колебаний. Например, в России предел колебаний был установлен в диапазоне 6-8 руб/долл. Чем уже коридор, тем более жесткой должна быть государственная политика его поддержания;

- введение наряду с валютным коридором правил изменения его границ. Например, Мексика в конце 1990-х гг.: твердая фиксация нижней границы и постоянное повышение верхнего предела на заранее объявленную величину.

В случае отклонения курса за пределы установленных колебаний для регулирования Центральный банк проводит валютные интервенции, когда эти отклонения носят краткосрочный характер. Если отклонения вызваны макроэкономическим неравновесием, изменяются границы валютного коридора.

Валютный курс является основным связующим звеном между экономиками разных стран. На валютный курс постоянно воздействуют различные макроэкономические факторы (инфляция, изменения цен, движение капитала и т.д.). При фиксированном валютном курсе это влияние должно учитываться при регламентированных изменениях курса, с тем чтобы не допустить длительного неравновесия платежного баланса. При плавающем валютном курсе эти факторы учитываются рынком, формируя в каждый данный момент времени новый валютный курс.

Важно, чтобы валютный курс объективно отражал взаимоотношения национальной экономики с экономиками других стран.

Курс, при котором наступило равновесие спроса и предложения на иностранную валюту, называется равновесным валютным курсом.

Предложение иностранной валюты поступает из-за границы. Спрос на иностранную валюту создается внутри страны - импортерами. Если предположить, что сальдо движения капитала равно нулю (приток капитала равен оттоку), при стабильных ценах наступает равновесие предложения иностранной валюты и спроса на нее.

Рассмотрим изменение валютного курса и способы его фиксации при определенном объеме спроса и предложения на иностранную валюту.

1. При фиксированном валютном курсе изменение спроса и предложения на иностранную валюту ведет к образованию излишка или дефицита валюты на рынке (рис. 1).

Рис. 1 - Равновесие на валютном рынке при фиксированном валютном курсе: £', руб/долл. - валютный курс; S - расходы на импорт и доходы от экспорта; П - кривая предложения; С - кривая спроса; А - точка равновесия

Если курс повысится, предложение сократится и переместится в точку В1, а спрос возрастет до С1. Линия В1С1 - дефицит предложения иностранной валюты.

Если курс упадет, предложение повысится до точки 5„ а спрос сократится до С2. Линия С2В2 - излишек предложения иностранной валюты.

И при дефиците, и при излишке предложения денежные власти обязаны принять адекватные меры денежно-кредитного регулирования.

2. При плавающем валютном курсе изменение объемов спроса и предложения ведет к изменению курса (рис. 2).

Рис. 2 - Равновесие на валютном рынке при плавающем валютном курсе

Предложение валюты увеличилось при неизменном спросе. Кривая предложения переместилась на П1, и равновесный курс перемещается в точку А1.

Если возрос спрос при неизменном предложении, кривая спроса перемещается на С1, точка равновесия - А2, валюта дорожает.

Рост предложения иностранной валюты при равновесии или отсутствии движения капитала означает рост экспорта. Но одновременно это означает и рост импорта в зарубежной стране, и спрос страны-контрагента на валюту данной страны. Дисбаланс во внешней торговле воздействует на обе стороны.

Внешнее равновесие - это не тождество поступлений и платежей. Это баланс по текущим операциям, который не настолько отрицателен, что страна не в состоянии платить по внешним долгам, и не настолько положителен, чтобы другие государства не могли рассчитаться с данной страной.

Достижение внешнего равновесия зависит от ряда факторов: режима валютного курса, нормы сбережений, демографических факторов, темпов инфляции и т.д. Равновесие платежного баланса возможно при различных валютных курсах, причем равновесный курс не всегда отражает реальное экономическое состояние страны.

Однако существует оптимальный валютный курс, соответствующий макроэкономическим показателям страны. Такой курс в наибольшей степени отражает реальное состояние экономики страны и не дает ни одной из стран односторонних преимуществ во внешнеэкономических отношениях.

Существует несколько вариантов ответа на вопрос, какой курс считать оптимальным.

1. Равновесным является валютный курс, при котором достигается баланс счета текущих операций платежного баланса. Достоинства концепции заключаются в том, что равновесие счета текущих операций нередко рассматривается как целевой ориентир экономической политики.

Основной недостаток данной концепции - неточность оценки равновесия. Реакция платежного баланса на изменение валютного курса происходит неопределенно и через неопределенное время. Нулевое сальдо платежного баланса бывает чрезвычайно редко.

2. Фундаментальное равновесие валютного курса определяется через равновесие счета текущих операций платежного баланса с учетом естественного движения капитала.

Достоинства: уточняется первая концепция. Учитывается то, что оптимальный валютный курс складывается не только под влиянием международной торговли, но и под воздействием вызванных структурными факторами потоков капитала.

3. Абсолютный паритет покупательной способности: обменный курс между двумя странами равен соотношению уровней цен в этих странах.

Достоинства: четко указывается способ укрепления валютного курса - снижение инфляции и укрепление покупательной способности национальной валюты внутри страны.

Недостатки: трудно сопоставить корзины из совершенно одинаковых товаров, продаваемых в разных странах: есть много товаров, не обращающихся на мировом рынке; государственные ограничения и транспортные расходы делают международную конкуренцию несовершенной.

4. Относительный паритет покупательной способности: изменение обменного курса между странами пропорционально изменению уровня цен в этих странах, т.е. индексам изменения цен.

Достоинства: возможно реальное прогнозирование поведения валютного курса в долгосрочной перспективе.

Недостатки: те же, что и в третьем варианте.

С учетом сказанного выше можно дать следующее определение оптимального равновесного валютного курса. Оптимальным, равновесным курсом считается валютный курс, обеспечивающий достижение равновесия платежного баланса, когда отсутствуют ограничения на международную торговлю, специальное стимулирование притока или оттока капитала и чрезмерная безработица.

Валютный курс оказывает значительное влияние на иены внутреннего рынка. Чем более открыта экономика, тем это влияние значительней.

Спрос и предложение на иностранную валюту возникают в результате необходимости обслуживать международное движение товаров и факторов производства. В основе спроса на валюту - соотношение цен на одинаковые товары в разных странах и цена самой валюты.

Капитал перемещается между странами в форме прямых и портфельных инвестиций. В основе движения капитала в форме портфельных инвестиций - разница в процентных ставках, а прямых инвестиций - разница в уровне доходности вложений. Если доходность и процентные ставки в данной стране выше, чем в других, спрос на ее валюту растет и курс повышается.

Спрос на иностранную валюту зависит и от относительного уровня доходов населения. Рост доходов ведет к росту покупательского спроса и опосредованно - к росту валютного курса.

2.   Прогнозирование валютного курса с помощью паритета покупательной способности

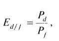
Еще Давид Рикардо предположил, что между валютным курсом и внутренней покупательной способностью денег должна быть взаимосвязь. В 1918 г., когда встал вопрос о послевоенном восстановлении межгосударственных экономических связей, шведский экономист Г. Кассель предположил, что установление валютных курсов на базе паритета покупательной способности должно вернуть международный рынок в состояние равновесия. В соответствии с Законом единой пены:

 

 

где Pid - цена товара на внутреннем рынке; Pif - пена товара па внешнем рынке; Ed/f - валютный курс.

Закон единой цены утверждает, что один и тог же товар в национальной валюте внутри страны и в иностранной валюте за рубежом стоит одинаково, когда его цена выражена в единой валюте.

На основе Закона единой цены была выведена теория абсолютного паритета покупательной способности (АППС):


где Pd - уровень цен на товары и услуги на внутреннем рынке; Рf -уровень цен па товары и услуги па внешнем рынке.

Принципиальное отличие АППС от единой цены в том, что Закон учитывает цену только на один товар, а теория АППС - па все.

Для сопоставления уровня цен статистические органы стран составляют одинаковые корзины товаров.

Основное преимущество теории АППС: она четко отвечает на вопрос, как укрепить курс национальной валюты. Для этого надо снизить инфляцию, что увеличит покупательную способность внутренних денег.

Основной (и единственный) недостаток теории АПСС: она не работает на практике. Прежде всего, из-за того что не работает Закон единой цены. А Закон единой цены не работает из-за различий в расходах на транспортировку товаров, таможенных тарифов, неорганизованности и несовершенства рынков сбыта и т.д.

В результате и Закон единой цены, и теория абсолютного паритета покупательной способности были на многие годы забыты.

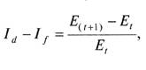
Однако в 1970-е гг. о теории АППС вновь вспомнили и модифицировали ее. Возникла теория относительного паритета покупательной способности (ОППС). Согласно этой теории колебания валютного курса пропорциональны относительному изменению уровня цен в двух странах.


где Р - уровень цен; Е - валютный курс. После ряда преобразований получим:


где I - темпы инфляции.

Для расчетов за валютный курс в базовом периоде принимается курс в тот период времени, когда он стабилен или совпадает со своим средним значением за период.

Для измерения уровня цен чаще всего используются несколько показателей:

• индекс потребительских цен;

• индекс оптовых цен производителя:

• дефлятор ВВП.

С помощью теории ОППС:

• строят прогнозы долгосрочной динамики номинальною валютного курса;

• при высокой инфляции оценивают макроэкономический дисбаланс;

• на паритетных основах определяется реальная международная стоимость национальных товаров и услуг.

На основе теории ОППС проводилась оценка курса советского (российского) рубля к доллару США разными организациями (табл. 1).

Из табл. 1 видно, что рыночный курс рубля значительно ниже, чем рассчитанный по всем вариантам ОППС.

Таблица 1


Недостатки теории ОППС практически те же, что и у теории АППС. На практике рассчитанные на ее основе курсы соответствуют фактическим на очень ограниченных временных отрезках. Однако теория ОППС, несмотря на все ее очевидные недостатки, и сегодня активно используется для прогнозов и расчетов. Теория общего равновесия (равновесия макроэкономического баланса) как основы равновесного валютного курса возникла в 1960-х гг. Теория устанавливает зависимость между реальным внутренним спросом (IDr) и реальным обменным курсом r). Основные положения теории можно видеть из следующей схемы (рис. 3).

Рис. 3 - Определение равновесного валютного курса на основе теории общего равновесия

Равновесный валютный курс q) определяется точкой пересечения (А) кривых внутреннего (IB) и внешнего (ЕВ) равновесия. Равновесный валютный курс в точке А одновременно является и оптимальным валютным курсом при данном состоянии экономики.

Движение от нулевой точки вверх всегда означает падение курса национальной валюты (рост курса иностранной валюты).

Кривая ЕВ (external balance) внешнего равновесия - это некая идеальная линия оптимального состояния платежного баланса (т.е. страна без проблем погашает отрицательное сальдо платежей по каждой стране-контрагенту и не испытывает проблем при получении средств от стран-должников).

Кривая IB (internal balance) внутреннего равновесия - это некая идеальная кривая состояния внутренней экономики, когда при минимально возможных инфляции и безработице достигается максимально возможный экономический рост.

Фактически экономика страны никогда не находится в таком состоянии, так же как и невозможно достижение точки А. Фактически реальный валютный курс может находиться в любой точке четырех сегментов.

Кривая внутреннего равновесия (IB) показывает обратную зависимость между реальным внутренним спросом и реальным валютным курсом: по мере роста реального валютного курса увеличивается спрос на национальные товары, так как импорт дорожает.

Сегменты II и III (справа от кривой IB) показывают, что объем производства находится ниже оптимального уровня, что ведет к излишнему совокупному спросу и выражается в росте инфляции.

Сегменты I и IV (слева от IB) показывают, что объем производства находится выше оптимального уровня, совокупный спрос недостаточен, что проявляется в росте безработицы.

Внешний баланс обычно сводится к балансу текущих операций.

Кривая внешнего равновесия (ЕВ) показывает прямую зависимость между реальным внутренним спросом (ID) и реальным обменным курсом (£,.), так как растущий валютный курс ухудшает внешний баланс и ведет к реальному обесценению валюты.

Если баланс достигается в сегментах I или II - сальдо платежного баланса положительное, курс валюты может быть занижен.

Если баланс достигается в сегментах III или IV - дефицит платежного баланса, курс может быть завышен.

Точка А определяет равновесный курс, соответствующий фундаментальным макроэкономическим закономерностям.

Сегменты вокруг точки А - это четыре типа дисбаланса, в которых может находиться экономика и которые влияют на валютный курс. Достижение равновесного валютного курса в каждом из четырех сегментов означает следующее.

Сегмент I - положительный баланс по текущим операциям на фоне перепроизводства, недостаточного внутреннего спроса и безработицы. Может свидетельствовать о заниженном валютном курсе и чрезмерно рестриктивной бюджетной политике. Встречается редко, прежде всего в развитых странах (Япония, Германия).

Сегмент II - положительный баланс по текущим операциям на фоне недопроизводства, излишнего внутреннего спроса и инфляции. Может свидетельствовать о заниженном валютном курсе и излишне экспансионистской бюджетной или денежной политике. Пример - Япония в период спадов 1993 г. и 1998 г. (падение производства на фоне положительного сальдо платежного баланса и заниженной иены).

Сегмент III - дефицит текущего баланса на фоне недопроизводства, излишнего внутреннего спроса и инфляции. Может свидетельствовать о завышенном валютном курсе и рестриктивной бюджетной политике. Пример - Великобритания, Швеция, Италия и Испания в 1987-1992 гг., когда дефицит текущего баланса сопровождался высокой инфляцией, что явно свидетельствует о завышенном курсе национальной валюты. Это и Россия периода 1992-1994 гг.

Сегмент IV - дефицит текущего баланса на фоне перепроизводства, недостаточного внутреннего спроса и безработицы. Свидетельствует о завышенном валютном курсе при чрезмерном расширении денежной массы и государственных расходов. Пример - США в 1985 г., когда объем производства превышал оптимальный, текущий баланс был дефицитным, а курс доллара - завышенным.

Теория общего равновесия является наиболее реальным методом анализа экономических процессов, прогнозирования курса и основой принятия решений.

Спрос и предложение на иностранную валюту постоянно меняются под влиянием самых различных факторов, которые в совокупности воздействуют на позиции страны в мировой экономике. Соответственно изменяется и курс национальной валюты.

Если страна использует режим плавающего валютного курса, его изменение является результатом взаимодействия рыночных сил спроса и предложения. В результате национальная валюта может либо обесцениться (что означает одновременное подорожание иностранной валюты), либо подорожать (что означает обесценение иностранной валюты).

Обесценение валюты (currency depreciation) - это снижение ее стоимости при режиме плавающего валютного курса.

Подорожание валюты (currency appreciation) - это увеличение ее стоимости при режиме плавающего валютного курса (рис. 4).

Рис. 4 - Изменение валютного курса под воздействием спроса и предложения при плавающем валютном курсе

Если S (предложение) постоянно, рост спроса переместит кривую D на уровень D1. Отрезок АВ - дефицит спроса. Он сдвигает баланс спроса и предложения национальной валюты в точку A1.

При фиксированном режиме валютного курса его адаптация к изменению объемов спроса и предложения происходит иначе. Валютный курс фиксирован, следовательно, уровень Ed/f не может изменяться (рис. 5).

Рис. 5 - Изменение валютного курса под воздействием спроса и предложения при фиксированном валютном курсе

Отрезок АВ - дефицит валюты.

Центральный банк для ликвидации дефицита начинает продавать резервы и кривая предложения смещается до S1.

Одновременно сокращается объем национальной валюты в обращении, т.е. денежная масса. Сокращение денежной массы означает сокращение расходов, в том числе на импорт, и кривая спроса от Z), постепенно смешается обратно на D.

При истощении валютных резервов Центрального банка государство для поддержания курса в результате длительного превышения спроса над предложением обязано принимать чрезвычайные меры:

• отказаться от фиксированного курса, или

• девальвировать национальную валюту до равновесного курса. Чрезвычайной считается ситуация, когда резервы снижаются до уровня менее восьми недель объема импорта товаров и услуг (рекомендации МВФ).

В этот сложный период возможен массовый сброс национальной валюты в обмен на иностранную - чтобы избежать потерь.

Такой сброс называется спекулятивной атакой на курс.

Спекулятивная атака - резкий рост предложения национальной валюты в период ослабления ее курса, приводящий к потере валютных резервов страны при попытках поддержать слабеющий курс.

Девальвация валюты - законодательное снижение курса валюты или центрального паритета при режиме фиксированного валютного курса.

Ревальвация валюты - законодательное повышение курса валюты или центрального паритета при режиме фиксированного валютного курса.

Любое изменение стоимости иностранной валюты, как и сам валютный курс, может быть номинальным и реальным.

Реальная девальвация - снижение реального курса национальной валюты при режиме фиксированного валютного курса с учетом изменения цен в своей стране и в стране, к валюте которой котируется национальная валюта.

Девальвация важна именно в реальном исчислении, поскольку разница в темпах роста цен может свести на нет весь положительный эффект девальвации.

Список использованной литературы

1.   Международные валютно-кредитные и финансовые отношения/ под ред. Л.Н. Красавиной. – М.: Финансы и кредит, 2000.

2.   Международные валютно-кредитные отношения: учеб. Пособие/ Г.Л. Авагян, Ю.Г. Вешкин – М.: Экономистъ, 2005.

3.   Основы международных валютно-финансовых и кредитных отношений/ под ред. В.В. Круглова. – М.: Инфра-М, 1998.

Похожие работы на - Спрос на валюту и ее предложение

 

Не нашли материал для своей работы?
Поможем написать уникальную работу
Без плагиата!
Без нейросетей!