Сетевые взаимосвязи в профессиональном сообществе социологов: методика контент-аналитического исследования биографий

  • Вид работы:
    Статья
  • Предмет:
    Философия
  • Язык:
    Русский
    ,
    Формат файла:
    MS Word
    692,82 kb
  • Опубликовано:
    2010-03-07
Вы можете узнать стоимость помощи в написании студенческой работы.
Помощь в написании работы, которую точно примут!

Сетевые взаимосвязи в профессиональном сообществе социологов: методика контент-аналитического исследования биографий

Сетевые взаимосвязи в профессиональном сообществе социологов: методика контент-аналитического исследования биографий

Г.С. Батыгин, Г.В. Градосельская

Воспроизводство научного знания имеет коллективный характер, и научное сообщество можно рассматривать как сеть взаимодействующих индивидов. Сложность анализа сетей заключается прежде всего в определении именно научной коммуникации и ее дифференциации от других форм социальных связей, в которых принимают участие научные сотрудники. Эта проблема обычно решается на этапе регистрации данных. Когда речь идет о цитатных коммуникациях, сети предстают как "незримые колледжи", производящие направления и темы в науке. Здесь можно картографировать новые "узлы" и зоны, не вписывающиеся в институциональную структуру научных дисциплин. Коммуникация в естественных и технических науках, как показал Д. Прайс, существенно отличается от коммуникации в социальных "не-науках", где сети образуются как социальные, внедисциплинарные, сообщества. Это означает, в частности, что цитирования в этих сообществах имеют диффузный, тематически недифференцированный характер. Зато сети приобретают вид социальных "солидарностей" - альянсов и клик.

Сетевые взаимодействия могут связывать представителей разных наук - математиков, социологов, психологов, экономистов, биологов и т.д. Здесь мы имеем дело с междисциплинарными связями. В других случаях научные сотрудники могут вступать в коммуникацию и создавать солидарности на основе разного рода заинтересованностей (политических, моральных, культурных, экономических), которые иногда неотличимы от их научных идентичностей (если таковые есть). Тогда приходится рассматривать ученых не только как представителей своих наук, а как "думающих" людей, что, вероятно, не одно и то же. Проблему можно сформулировать следующим образом: объясняется ли формирование сетей внутренними экспертизами (в смысле Т. Парсонса) или они создаются как социальные группы, объединенные внешними интересами [1, 2].

В данной статье для построения сетей в профессиональном сообществе социологов используются связи, установленные по опубликованным материалам профессиональных биографий российских социологов [3]. Этот материал имеет ряд существенных ограничений, обусловленных неизбежными "картинами" профессиональной карьеры, которые определяют текст информанта. Авторы биографических повествований являлись (и являются) влиятельными фигурами в российской социологии. Несомненно, при ином составе информантов содержание сетей изменится, поэтому вопрос о репрезентативности результатов связан исключительно с использованной коллекцией. Однако сетевые реконструкции профессиональных биографий позволяют сформулировать ряд науковедческих задач, связанных как с индивидуальными позициями в системе сотрудничества и конфликтов, так и с надындивидуальными описаниями дисциплинарных сообществ.

Итак, будем рассматривать структуру взаимодействий в социологическом сообществе как сеть [4], вершинами которой являются авторы профессиональных биографий. Как определяется связь? Большинство исследований текстов сводится к различным видам контент-анализа [5]. Сетевой подход основывается на предположении, что, сообщая какие-либо имена персонажей (акторов) и события, авторы текста в некотором смысле связывают себя с ними. По крайней мере, они не только обнаруживают осведомленность о существовании актора или события, но и считают их значимыми в положительном или отрицательном контекстах. Задача, следовательно, заключается в регистрации такого рода упоминаний. Упоминания акторов и событий обрабатываются de visu, при сквозном прочтении текста. Соответственно подсчитывается количество упоминаний. (Технологически более простой способ анализа такого рода сетей может быть реализован на основе вспомогательных указателей к научным изданиям, но содержательный контекст связей в этом случае утрачивается.)

Упоминание актора или предмета ("артефакта") отражается в матрице смежности (своего рода социоматрице), в строках которой указаны акторы, которые называют, а в столбцах - акторы, которых называют. Сходство с обычной социоматрицей ограничивается тем, что в ячейках указано количество упоминаний одним актором другого. Обычный социометрический опрос - это набор социоматриц, полученных по принципу "одна социоматрица - один вопрос", и наличие связи при ответе на один вопрос является маркером присутствия или отсутствия определенных отношений, например, симпатии, антипатии, уважения, благодарности и т.п. В этом смысле матрицу, построенную по тексту, нельзя считать "заочным" социометрическим опросом хотя бы потому, что здесь не существует признаков отношения, общих для всех интервью. Поэтому модальность связей в данном случае не имеет значения для их регистрации. Особое значение приобретает их фактологическое обоснование.

В научном сообществе чаще всего упоминают друг друга не столько в связи с личностно окрашенными контактами, а в связи с совместной работой над темами. Это объясняется нормами научного этоса: даже если личностные разногласия существенны, они реинтерпретируются в терминах научной дискуссии. Кроме того, со временем личностные предпочтения и связи меняются. Бывшие друзья и коллеги расходятся во взглядах, возникают конфликты, образуются новые альянсы и т. д. Неизменным остается только факт - встреча, совместная работа, книга, исследование. Это снимает "оценочность" воспоминаний. Мы будем называть такие важные события, сопровождающие упоминания о связях между персонажами, артефактами. Артефакт - это своего рода дискурсивная легитимация связи, погружение ее в контекст события. Артефактом может быть институт, методологический семинар, дружеские посиделки на кухне, конференция, совместное или индивидуальное исследование (например, "Таганрог" или "Копанка"), любое событие, которое оказало воздействие на историю жизни (например, "лекции Левады" или "стажировка Ядова"), совместная работа в газете, журнале, партийном комитете, участие в кружке единомышленников, книга, над которой работали один или несколько авторов. Фактически, речь идет о каталоге текстовых событий, наполняющих профессиональный биографический дискурс и, соответственно, социальный капитал сообщества [6]. По всей вероятности, хронологически упорядоченный каталог этих событий должен соответствовать социальной истории дисциплины, в противном случае есть все основания говорить об иррелевантности данных.

Связь между актором и артефактом отражается в ячейке матрицы смежности. Упоминания одним актором другого сопровождаются указанием на соответствующие артефакты. Например, В.В. Колбановский упоминает В.А. Ядова 10 раз. Из них 3 раза в связи с "ИКСИ" и 2 раза в связи с исследованием "Человек и его работа". Один раз упомянута стажировка В.А. Ядова в Англии. Это, казалось бы, немного, но стажировка В.А. Ядова отмечалась и другими акторами.

Так или иначе, артефакты представляют собой содержательный фон и существенный компонент сетей. Они имеют следующие характеристики: 1) артефакты порождаются актором или группой акторов; 2) сами артефакты не являются акторами сетей и в этом смысле не участвуют в сетевых взаимодействиях, тем не менее, они актуализируют сетевые взаимодействия и являются посредниками воздействия на других акторов; 3) посредством артефактов другие акторы включаются в общую сеть.

Например, один актор может упомянуть другого в определенном контексте, то есть в связи с определенным артефактом ("пришел Руткевич и разогнал ИКСИ") это упоминание включается в матрицу смежности. Если просуммировать по столбцу частоту упоминания актора в связи с определенным артефактом, можно установить, какой артефакт оказал наибольшее влияние на данного актора (или с каким артефактом более или менее устойчиво ассоциируется данный актор). Один актор может быть связан с несколькими артефактами, так же как один артефакт может быть связан с несколькими акторами.

Такая сеть является двумодальной или двухуровневой. На одном уровне расположены акторы, на другом - артефакты. Уровни связаны между собой. Схематически модель можно представить в виде двух параллельных плоскостей (рис. 1).

На нижней плоскости расположены акторы. Они могут быть связаны между собой, образуя так называемую сеть первого уровня. Собственно, ее построение и является предметом данной статьи. Принципы построения сети первого уровня могут быть самыми разными. Например, можно выделить в матрице смежности самые сильные или взаимные связи. Необходимо помнить об этом, когда мы будем анализировать двумодальную сеть, и выявлять артефакты, максимально влияющие на сетевые взаимодействия в сообществе. Для нашего анализа приемлема сеть наиболее сильных связей в научном сообществе. На верхней плоскости расположены артефакты. Они не связаны между собой сетевыми отношениями, однако связаны с акторами. Вес связи в этом случае определяется как общее количество упоминаний (всеми акторами) данного артефакта в связи с данным актором. Один актор может быть связан с несколькими артефактами. При более детальном анализе можно установить связи между артефактами, опосредованные акторами.

Рис. 1. Акторы и артефакты: двумодальная сеть

Построение такой двумодальной схемы представляет собой достаточно сложную процедуру преобразования текста в сеть. Данная процедура включает несколько шагов:

1. Преобразование текста в эгоцентрические сети. Специфика текстового массива, с которым мы работаем, заключается в том, что он является набором нарративов, где члены социологического сообщества описывают наиболее важные (релевантные) события своей, как предполагается, профессиональной жизни и жизни тех людей, которые оказали на нее существенное влияние (положительное или отрицательное). Прежде чем структурно и количественно анализировать эти интервью, необходимо "дискретизировать" текст, то есть представить его в виде пространственной схемы. Технически это осуществляется следующим образом: в центре схемы находится автор текста. Вокруг него располагаются все упомянутые в границах текста (в том числе в примечаниях) персоналии, "центральный актор" соединяется с ними "стрелками". Каждой "стрелке" присваивается вес - по количеству упоминаний каждой персоналии. Далее на схему наносятся события (если они имели место), в связи с которыми автор упомянул эти персоналии. События соотносятся с соответствующими персоналиями, которые интерпретируются как вершины графа на уровне акторов, а события - как вершины графа на уровне артефактов. Так уже на данном этапе структурирования текста создается возможность для перехода к двухуровневой сети.

2. Преобразование эгоцентрических сетей в общую сеть акторов. Заполняется матрица смежности для акторов - авторов биографических нарративов. Базовая матрица смежности является квадратной - ее размерность соответствует количеству авторов текстов. В ячейках указываются веса связей, подсчитанные на предыдущем этапе - они равны числу упоминаний одним актором других. Затем строится общий граф с указанием направлений и весов связей (кто кого и сколько раз упомянул). К этой сети уже можно применять количественные методы матричного анализа, выявления сетевых характеристик, а также алгоритмов преобразований из теории графов.

3. Расширение общей сети акторов. Основную сеть, включающую авторов текстов, можно дополнить другими "знаковыми фигурами" профессионального сообщества, которые не входят в число информантов, но упоминаются в нарративах и, следовательно, могут быть отнесены к акторам, так сказать, второго порядка. Технически это сводится к включению новых вершин в сеть и соединение их такими же связями с акторами первого порядка. Вес связи будет равен количеству упоминаний этих акторов авторами нарративов. После построения расширенной сети можно считать уровень акторов укомплектованным и переходить к построению второго уровня сети - уровня артефактов.

4. Построение уровня артефактов. Каждую ячейку матрицы смежности можно расшифровывать, помечая, в связи с каким событием автор текста упомянул другого актора. Затем подсчитывается общее количество упоминаний авторов текстов, связывающих их с тем или иным артефактом, и итог заносится в матрицу смежности. Затем данные связи отображаются на графе и каждой их них присваивается соответствующий вес. Далее проводится анализ полной двумодальной сети.

Преобразование текста в эгоцентрические сети

Если бы источники текстовой информации были разрозненными, было бы практически невозможно свести в одну матрицу высказывания обо всех акторах. Единственно, о чем могла бы идти речь, - взаимное цитирование и взаимные ссылки по определенной научной теме. Тогда каждая научная тема выступала бы в качестве отдельного артефакта, и построение общей сети представлялось бы методологически необоснованным. Тем не менее, такой подход весьма распространен при построении сетей в исторических текстах [7]. Основой анализа в данном случае выступает исторический факт, а различные документальные источники связывают с этим фактом акторов - исторические фигуры.

В нашем исследовании некоторое количество авторов создают текст (нарратив) на заранее заданную тему - профессиональные биографии, локализованные определенными временными рамками - от начала 1950-х до 1990-х годов. Таким образом, задается временная граница исследования. С другой стороны, речь идет о становлении определенной научной дисциплины - социологии, и этим задается фактологическая граница исследования. Кроме собственно социологических исследований (области достаточно диффузной), в биографических нарративах затрагиваются и смежные дисциплины: философия, психология, история, журналистика и так называемая практическая работа, в том числе партийная. Таким образом, границы материала задают специфические маршруты формирования дисциплинарного дискурса российской социологии 60-х - 90-х годов. Собственно говоря, эти маршруты маркируются хорошо опознаваемыми событиями, институтами и темами-артефактами. Реконструкция указанных артефактов в профессиональных биографиях дает возможность хронологически проследить институциональное оформление (все более отчетливое прочерчивание) позиций, сфер влияния и научных тем как контролируемых "локусов" на карте науки. Со временем за каждым фигурантом закрепилась социологическая тема, в которой исследователь выполнял функцию своеобразного патримониального контроля. В эгоцентрических графах легко устанавливается и такой институт организации дисциплинарного знания как "протекторы", мобилизующие ресурсы административной власти для поддержания границ. Так, со временем в социологии, еще не получившей, по общему мнению, дисциплинарного статуса, сложились вполне определенные и хорошо маркированные именами темы: общественное мнение, бюджеты времени, социальное прогнозирование, социальная структура, отношение к труду, социология села, социология семьи и, рядом, сексуальные отношения, идеологическая работа, методика и техника.

Наряду с этими темами существовала (и существует) "Большая тема" - "Предмет и основные проблемы социологии", прерогатива разработки которой принадлежит высшей страте профессионального сообщества, в частности, директорам институтов. Разумеется, внутри тем происходила дифференциация сфер влияния, выражавшаяся в возникновении региональных и локальных школ. Наиболее адекватный перечень арефактов-тем российской социологии отражен в документах Советской социологической ассоциации. Каталог указанных артефактов может быть сопоставлен со сведениями из традиционных источников по истории науки и, тем самым, подвернут проверке с точки зрения полноты и точности описаний.

Итак, каждый рассказ можно изобразить схематически. В центре располагается автор, а вокруг него - фигуранты его профессиональной биографии. Если в тексте содержатся упоминания о связях между другими фигурантами, эти связи также отображаются в схеме. Как уже упоминалось, почти все эти связи опосредованы артефактами, которые также отображаются в схеме. Так из текста реконструируются эгоцентрические сети, отражающие связи актора на индивидуальном уровне.

Пример эгоцентрической сети

Рассмотрим в качестве примера одну из наиболее насыщенных эгоцентрических сетей - сеть профессора Б.А. Грушина (рис. 2). Мы можем видеть, что по своей наполненности акторами и артефактами она значительно превосходит наполненность сетей таких влиятельных фигур в профессиональном сообществе, как академик Т.И. Заславская (рис. 3), профессор В.А. Ядов (рис. 4) и член-корреспондент РАН М.Н. Руткевич (рис. 5). Разумеется, объяснение этой наполненности следует искать не в изолированности или коммуникативной открытости актора сети (хотя и этот фактор не исключается), а в особенностях биографического повествования, обусловливающих селекцию материала [8].

Для непосредственных участников событий сами по себе реконструкции сетевых структур из текста не представляют интереса, однако до тех пор, пока история дисциплины не стала далекой историей, их свидетельства могут служить критерием достоверности сетей, в частности, группировки акторов по их связям с артефактами. Так, устанавливается, что Мацковский, Дридзе, Жаворонков, Войнова, Кудрявцев, Петров, Нейгольдберг и Сазонов участвовали в проекте "Таганрог" (в нашей терминологии: связаны с артефактом "Таганрог"). Кроме того, они работали вместе с Б.А. Грушиным в опросном центре "Общественное мнение" (так в тексте), то есть были связаны с еще одним артефактом.

Рис. 2. Эгоцентрическая сеть профессора Б.А. Грушина

В эгоцентрической сети Б.А. Грушина отдельное место занимают Ф.В. Бурлацкий и Г.В. Осипов, а конфликт между ними, упоминаемый буквально всеми акторами, также приобретает статус артефакта. Мы можем увидеть его и на эгоцентрической сети М.Н. Руткевича (рис. 5). Чикин, Панкин и Воронов также упоминаются в связи с двумя артефактами: "Институт общественного мнения" и газета "Комсомольская правда". Поскольку "Лекции" Левады (а точнее, последовавший за ними "погром") также упоминаются многими авторами, им можно присвоить статус артефакта, и анализировать как отдельную вершину. Эгоцентрическая сеть академика Т.И. Заславской значительно отличается от сетей столичных социологов: образующие сеть акторы имеют, как правило, новосибирское происхождение, артефакты-темы - также новосибирские, но артефакты-учреждения - "всесоюзные".

Рис. 3. Эгоцентрическая сеть академика Т.И. Заславской

Очевидно, построение содержащих артефакты сетей может стать исключительно важным компонентом источниковедческой экспертизы (стоит, например, предположить, что мы имеем дело не с современностью, а с научным сообществом 1930-х годов). Мы можем не знать, что такое "младостанковисты", но сетевое свидетельство о принадлежности к данному артефакту определенных фигур является фактом социальной истории науки.

Аналогичные сети создаются для каждого актора. Эгоцентрические сети представляют собой экстракт биографического текста, и их информативность в определенном отношении выше информативности повествований. Вместе с тем, эгоцентрические сети остаются препарированными первичными данными, требующими обработки и анализа. Хотя в них уже можно производить элементарные подсчеты, аналогичные подсчету некоторых индивидуальных социометрических индексов, они не являются математическими моделями, и никаких обобщений отсюда не следует. Данные создаются здесь методом формирования текстового массива - это обстоятельство дает основания для сомнений в их надежности и релевантности для изучения научной коммуникации. Метод опроса дает не больше, чем может дать метод опроса. Так или иначе, следующий шаг заключается в переходе от рассказа-"случая" к генерализациям - совмещению эгоцентричных сетей и построению общей сети.

Рис. 4. Эгоцентрическая сеть профессора В.А. Ядова

Преобразование эгоцентрических сетей в общую сеть

Общая сеть строится при помощи обычной социоматрицы, вес связей определяется количеством упоминаний. При расчете структурных коэффициентов акторов (эквивалентности и центральности) весами можно пренебречь, и элементы матрицы будут обозначаться как 0 или 1. Таким образом, фиксируется наличие или отсутствие упоминания одного актора другим. В результате этих операций создается социоматрица, где выделены максимально сильные связи (табл. 1). Выделение максимальных связей очищает сеть от "шума", более четко отображает общую структуру взаимодействий. Построенная на основе социоматрицы сеть представляет собой определенную генерализацию (рис. 6).

Рис. 5. Эгоцентрическая сеть члена-корреспондента РАН М.Н. Руткевича

В обобщенной сети можно выделить несколько "звезд". Это В.А. Ядов, Б.А. Грушин, Ю.А. Левада, Г.В. Осипов, М.Н. Руткевич. Опять же следует отметить, что речь идет не об их влиянии в профессиональном сообществе и, тем более, не о научных вкладах, а о репрезентации в биографических повествованиях, коллекция которых, разумеется, отражает коллективные представления части профессионального сообщества1. На основе обобщенной сети можно определить и контекст упоминания акторов, иными словами, можно подсчитать, что о ком говорят. В "положительные звезды" попадают В.А. Ядов, Б.А. Грушин, Ю.А. Левада. В "отрицательные" - М.Н. Руткевич, к Г.В. Осипову отношение менее однозначное. Можно детализировать задачу, показав, кто и в каком контексте говорит о "звездах", а также у кого какие "звезды". Контекст упоминаний о М.Н. Руткевиче получается достаточно отрицательным и связывается с так называемым погромом в Институте конкретных социальных исследований, который М.Н. Руткевич возглавил в начале 1970-х годов. Возможны и противоположные объяснения. Например, В.С. Семенов упоминает о М.Н. Руткевиче в положительном контексте. В.А. Ядова чаще всех упоминают В.В. Колбановский (10 раз), А.Г. Здравомыслов (6 раз), Б.А. Грушин (5 раз), Н.Ф. Наумова (5 раз), Г.В. Осипов (4 раза).

Таблица 1

Матрица смежных вершин (выделены сильные связи:  4)


Колбановский

Ядов

Шубкин

Левада

Осипов

Кон

Заславская

Здравомыслов

Ольшанский

Карпинский

Грушин

Оников


1

2

3

4

5

6

7

8

9

10

11

12

Колбановский

1

10

3

7

17

3

2

4

1

1

5

 

Ядов

2

 

4

6

7

10

3

3

1

1

8

 

Шубкин

3

 

1

 

1

 

 

 

 

 

 

 

Левада

4

 

 

 

 

 

 

 

 

 

 

 

Осипов

5

 

4

2

2

1

 

1

 

 

 

 

Кон

6

 

2

 

 

 

 

 

 

 

 

 

Заславская

7

 

1

7

1

 

 

 

 

 

 

 

Здравомыслов

8

 

6

1

3

1

 

2

 

 

 

 

Ольшанский

9

1

1

1

1

6

 

 

2

 

 

 

Карпинский

10

 

3

1

3

8

 

2

 

 

4

 

Грушин

11

 

5

3

11

5

 

 

 

 

 

2

Оников

12

 

2

 

2

2

 

 

 

 

 

6

Руткевич

13

 

3

 

3

1

2

 

3

 

 

10

 

Лапин

14

 

3

 

8

11

2

1

1

1

 

5

1

Рывкина

15

 

2

 

 

 

 

5

 

 

 

 

 

Коган

16

 

 

 

1

 

 

 

 

 

 

 

 

Наумова

17

 

5

 

4

12

1

 

 

 

 

2

 

Галкин

18

1

2

1

4

3

 

 

2

 

3

2

 

Пилипенко

19

1

3

3

6

3

2

 

2

1

 

3

 

Фирсов

20

 

3

 

1

 

2

 

 

 

 

 

 

Араб-Оглы

21

 

 

1

2

 

 

 

 

1

4

 

Гордон

22

 

 

 

 

1

 

 

 

 

 

 

1

Давыдов

23

 

 

 

 

1

1

 

 

 

 

 

 

Бестужев

24

 

 

 

1

4

 

 

 

 

 

1

 

Семенов

25

 

 

 

3

 

3

 

 

 

2

 

 

ВСЕГО

3

56

26

68

85

27

15

18

4

8

50

4

Продолжение таблицы 1

Руткевич

Лапин

Рывкина

Коган

Наумова

Галкин

Пилипенко

Фирсов

Араб-Оглы

Гордон

Давыдов

Бестужев-Лада

Семенов

ВСЕГО

13

14

15

16

17

18

19

20

21

22

23

24

25


5

12

2

2

2

2

2

 

1

2

2

 

2

87

6

2

1

 

 

 

 

 

 

 

 

1

 

53

1

 

 

 

 

 

 

 

 

 

 

 

 

3

2

1

 

 

 

 

 

 

 

 

 

 

 

3

2

 

 

 

1

 

 

 

 

 

 

 

 

13

 

 

 

 

 

 

 

 

 

 

 

 

 

2

4

 

6

 

 

 

 

 

 

 

 

 

 

19

2

1

 

 

 

 

 

 

 

 

 

 

 

16

 

 

 

 

1

 

 

 

 

 

 

 

 

13

7

2

1

 

 

1

 

 

 

 

 

 

1

33

8

 

 

2

 

 

 

 

6

1

 

 

1

44

 

 

 

 

 

 

 

 

 

 

 

 

 

12

4

 

1

1

 

1

 

 

 

 

 

7

34

6

 

 

3

1

 

 

1

 

 

 

 

44

1

 

 

 

 

 

 

 

 

 

 

 

8

7

 

 

 

 

 

 

 

 

 

 

 

8

1

2

 

 

 

 

 

 

 

1

 

 

29

2

1

 

 

 

 

 

 

1

 

 

22

2

1

 

1

1

2

 

 

 

1

1

1

34

 

 

 

 

 

 

 

 

 

 

 

 

6

 

 

 

 

 

 

 

 

4

 

1

 

13

5

 

 

 

 

 

 

 

 

 

 

 

7

 

2

 

 

 

 

 

 

 

 

 

 

5

1

 

 

 

 

 

 

 

1

 

 

 

8

6

 

 

 

 

 

 

 

 

 

 

 

14

68

28

10

6

8

6

2

 

9

7

5

3

14

530

Таблица 2

Матрица смежных вершин (выделены взаимные связи)


Колбановский

Ядов

Шубкин

Левада

Осипов

Кон

Заславская

Здравомыслов

Ольшанский

Карпинский

Грушин

Оников


1

2

3

4

5

6

7

8

9

10

11

12

Колбановский

1

10

3

7

17

3

2

4

1

1

5

 

Ядов

2

 

4

6

7

10

3

3

1

1

8

 

Шубкин

3

 

1

 

1

 

 

 

 

 

 

 

Левада

4

 

 

 

 

 

 

 

 

 

 

 

Осипов

5

 

4

2

2

1

 

1

 

 

 

 

Кон

6

 

2

 

 

 

 

 

 

 

 

 

Заславская

7

 

1

7

1

 

 

 

 

 

 

 

Здравомыслов

8

 

6

1

3

1

 

2

 

 

 

 

Ольшанский

9

1

1

1

1

6

 

 

2

 

 

 

Карпинский

10

 

3

1

3

8

 

2

 

 

4

 

Грушин

11

 

5

3

11

5

 

 

 

 

 

2

Оников

12

 

2

 

2

2

 

 

 

 

 

6

Руткевич

13

 

3

 

3

1

2

 

3

 

 

10

 

Лапин

14

 

3

 

8

11

2

1

1

1

 

5

1

Рывкина

15

 

2

 

 

 

5

 

 

 

 

 

Коган

16

 

 

 

1

 

 

 

 

 

 

 

 

Наумова

17

 

5

 

4

12

1

 

 

 

 

2

 

Галкин

18

1

2

1

4

3

 

 

2

 

3

2

 

Пилипенко

19

1

3

3

6

3

2

 

2

1

 

3

 

Фирсов

20

 

3

 

1

 

2

 

 

 

 

 

 

Араб-Оглы

21

 

 

 

1

2

 

 

 

 

1

4

 

Гордон

22

 

 

 

 

1

 

 

 

 

 

 

1

Давыдов

23

 

 

 

 

1

1

 

 

 

 

 

 

Бестужев

24

 

 

 

1

4

 

 

 

 

 

1

 

Семенов

25

 

 

 

3

 

3

 

 

 

2

 

 

ВСЕГО

3

56

26

68

85

27

15

18

4

8

50

4

Продолжение таблицы 2

Руткевич

Лапин

Рывкина

Коган

Наумова

Галкин

Пилипенко

Фирсов

Араб-Оглы

Гордон

Давыдов

Бестужев-Лада

Семенов

ВСЕГО

13

14

15

16

17

18

19

20

21

22

23

24

25


5

12

2

2

2

2

2

 

1

2

2

 

2

87

6

2

1

 

 

 

 

 

 

 

 

1

 

53

1

 

 

 

 

 

 

 

 

 

 

 

 

3

2

1

 

 

 

 

 

 

 

 

 

 

 

3

2

 

 

 

1

 

 

 

 

 

 

 

 

13

 

 

 

 

 

 

 

 

 

 

 

 

 

2

4

 

6

 

 

 

 

 

 

 

 

 

 

19

2

1

 

 

 

 

 

 

 

 

 

 

 

16

 

 

 

 

1

 

 

 

 

 

 

 

 

13

7

2

1

 

 

1

 

 

 

 

 

 

1

33

8

 

 

2

 

 

 

 

6

1

 

 

1

44

 

 

 

 

 

 

 

 

 

 

 

 

12

4

 

1

1

 

1

 

 

 

 

 

7

34

6

 

 

3

1

 

 

1

 

 

 

 

44

1

 

 

 

 

 

 

 

 

 

 

 

8

7

 

 

 

 

 

 

 

 

 

 

 

8

1

2

 

 

 

 

 

 

 

1

 

 

29

2

1

 

 

 

 

 

 

 

1

 

 

22

2

1

 

1

1

2

 

 

 

1

1

1

34

 

 

 

 

 

 

 

 

 

 

 

 

6

 

 

 

 

 

 

 

 

4

 

1

 

13

5

 

 

 

 

 

 

 

 

 

 

 

7

 

2

 

 

 

 

 

 

 

 

 

 

5

1

 

 

 

 

 

 

 

1

 

 

 

8

6

 

 

 

 

 

 

 

 

 

 

 

14

68

28

10

6

8

6

2

 

9

7

5

3

14

530

Рис. 6. Схема сильных связей в научном сообществе: максимальное остовное дерево, 23 вершины, 39 связей

В этой же матрице можно решить другую задачу: выделить не самые сильные, а взаимные упоминания (табл. 2). Сеть взаимодействий в этом случае значительно меняется. Во-первых, ее структура принимает двухполюсный вид. Сопоставив веса с контекстами, можно видеть некий аналог черно-белого изображения: "положительный" полюс представлен В.А. Ядовым, "отрицательный" - М.Н. Руткевичем. Такая сеть может показаться более информативной. Другие фигуры распознаются на черно-белом фоне не столь отчетливо. Так, несмотря на то, что Ю.А. Леваду упоминали многие информанты, он упомянул лишь немногих из них, поэтому его "звездность" отображается в сети взаимных упоминаний слабее, чем в сети сильных упоминаний. Г.В. Осипов, В.С. Семенов, Н.Ф. Пилипенко занимают промежуточное место между двумя полюсами. Сеть, построенная по принципу выделения взаимных связей (рис. 7), дает больше возможностей для применения числовых методов анализа. В частности, в данном случае можно не учитывать направление связей (сеть "взаимная") и перемещаться по сети в любом направлении. В ней нет тупиковых "висячих" вершин, в которые можно попасть при прохождении графа. Тем самым становится реализуемой задача применения таких свойств сети, как центральность и эквивалентность позиций акторов. Структурные индикаторы центральности и эквивалентности разработаны для неориентированных графов, и, применяя их, можно отказаться от весовых коэффициентов. Наличие/отсутствие связи кодируется соответственно как 1 или 0.

Центральность - местоположение актора относительно других акторов. Имеются многообразные определения центральности [9]. В одном случае центральной считается вершина, связанная с наибольшим количеством других акторов (степень центральности). В другом случае под центральной имеется в виду вершина, которая находится наиболее близко ко всем остальным вершинам (плотность центральности). В третьем случае, чем большее количество потоков перемещаемых ресурсов контролирует вершина, тем более центральной она является (посредничество центральности). Решаемая нами задача основана на третьем определении центральности.

Рис. 7. Схема взаимных связей в научном сообществе (22 вершины, 35 связей)

Мы можем рассчитать центральность актора по формуле Шимбелла-Питтса. Здесь центральность рассматривается как посредничество:

CB (ni)= , i j,k (1)

- ненормированный показатель центральности актора ni, где:

gjk - общее число кратчайших путей между вершинами nj и nk ;

gjk(ni) - число кратчайших путей между вершинами nj и nk, которые проходят через вершину ni;

i отлично от j и k.

Идеология процедуры состоит в следующем: в связном графе из любой вершины можно попасть в любую другую вершину одним или несколькими путями. Если путей несколько, то путь, который включает наименьшее количество ребер, называют кратчайшим.

Кратчайших путей тоже может быть несколько. Так, от Осипова к Лапину (имена являются обозначениями вершин) мы можем пройти следующими кратчайшими маршрутами: Осипов - Ядов - Лапин; Осипов - Здравомыслов - Лапин; Осипов - Наумова - Лапин; Осипов - Руткевич - Лапин.

Тогда одно слагаемое в формуле (1) для Ядова будет равно 1/4, так как им "контролируется" одна четвертая всех кратчайших маршрутов.

Рассчитаем центральность для Ядова и сравним с центральностью Грушина:

CB (n2)=103 - ненормированная центральность Ядова.

CB (n11)=56 - ненормированная центральность Грушина.

Мы видим, что центральность Ядова в два раза выше, чем центральность Грушина, хотя, казалось бы, и Ядов, и Грушин полностью "контролируют" кратчайшие пути трех вершин, Ядов - пути Кона, Рывкиной и Заславской, а Грушин - пути Оникова, Араб-Оглы и Бестужева-Лады. Что такое "полностью контролируют кратчайшие пути"? Это значит, что все связи (допустим, Кона) со всеми остальными вершинами графа будут проходить только через Ядова, поэтому соответствующее слагаемое в формуле (1) будет равно 1/1.

Чтобы сравнивать центральности разных акторов более корректно, оценку следует стандартизовать. Так, максимальное количество связей между всеми вершинами графа равно . Соответственно, нормированная центральность будет рассчитываться по формуле:

C’B (ni) = (2)

В нашем случае g=22 и нормировка равна 210. Значения нормированного показателя C’B (ni) лежат в пределах от 0 до 1. Чем больше C’B (ni), тем более центральной является эта позиция.

Рассчитаем нормированные показатели центральности для Ядова и Грушина:

C’B (n2)=103,5833/210=0,4933 - нормированная центральность Ядова;

C’B (n11)=56/210=0,2666 - нормированная центральность Грушина.

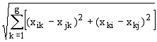
Эквивалентность показывает, насколько похожи акторы по своим сетевым свойствам (их местоположению в сети, связям с другими акторами, сетевым ролям). Эквивалентность - это сетевое сходство двух акторов. Эквивалентность рассчитывается по формуле эвклидова расстояния. Пусть xik - количество связей между i-м и k-м акторами. Мы определяем дистанцию структурной эквивалентности для акторов i и j как эвклидово расстояние связей между этими акторами. Для акторов i и j это расстояние между i-й и j-й строкой и i-м и j-м столбцом социоматрицы.

Каждый актор описывается двумя компонентами социоматрицы - уникальными строкой и столбцом. Актор i описывается i-й строкой и i-м столбцом. Актор j описывается j-й строкой и j-м столбцом. Таким образом, эвклидово расстояние между акторами i и j - это кумулятивная разница (непохожесть) между каждой парой ячеек в строках i и j и каждой парой ячеек в столбцах i и j:

dij= , для i k, j k (3)

Если акторы i и j структурно эквивалентны, тогда их соответствующие строки и столбцы в социоматрице будут идентичны, и эвклидово расстояние будет равно нулю. Чем они меньше схожи структурно, тем больше будет эвклидово расстояние. Вообще, для любого графа эвклидово расстояние изменяется в пределах 0 dij<, где g - размер матрицы (количество вершин в графе). В нашем графе взаимно ориентированных связей верхняя граница эквивалентности будет равна 6,32 (==6,3245).

Тем не менее, сеть взаимных выборов желательно рассматривать совместно с сетью самых сильных связей.

Расширение общей сети акторов

Мы можем достроить сеть самых сильных связей, включив в нее акторов, которые не принимали участия в опросе, не были проинтервьюированы, но которых достаточно часто упоминали "актуальные" акторы-информанты.

Рис. 8. Пример дополнения сети новыми вершинами

Логичным представляется взять за основу сеть самых сильных связей, потому что при отсутствии взаимности мы можем добавить самые сильные связи, направленные на других акторов. Все новые акторы будут находиться в плоскости акторов, и на них также будут направлены связи от артефактов. Процедурная последовательность такова: мы достраиваем социоматрицу, добавляя в нее новые столбцы - для тех акторов, которых называют чаще всего.

Таблица 3

Матрица смежных вершин: акторы "второго порядка"


Амбарцумов

Аганбегян

Андреева

Бурлацкий

Замошкин

Зворыкин

Зиновьев

Ильенков

Иовчук

Капелюш

Карякин

Квасов


26

27

28

29

30

31

32

33

34

35

36

37

Колбановский

1

1

 

2

4

1

2

4

3

 

 

 

1

Ядов

2

 

 

3

4

1

 

 

 

 

 

 

 

Шубкин

3

 

4

 

 

1

 

 

 

 

 

 

 

Левада

4

 

 

 

 

 

 

 

1

 

 

 

 

Осипов

5

 

1

 

2

1

 

 

 

 

 

 

3

Кон

6

 

 

1

 

 

 

 

 

 

 

 

 

Заславская

7

 

13

 

 

 

 

 

3

 

 

 

Здравомыслов

8

 

 

2

 

1

 

 

 

 

 

 

 

Ольшанский

9

 

 

1

 

 

2

 

 

 

 

 

 

Карпинский

10

1

 

 

8

1

 

 

 

 

 

2

2

Грушин

11

1

 

 

1

1

 

6

1

 

3

1

1

Оников

12

 

 

 

 

 

 

 

 

 

1

 

 

Руткевич

13

 

 

 

6

 

 

 

 

3

 

 

 

Лапин

14

 

 

 

2

 

 

 

 

1

 

1

 

Рывкина

15

 

3

 

 

 

 

 

 

 

 

 

 

Коган

16

 

 

 

 

 

 

1

 

34

 

 

 

Наумова

17

 

 

 

1

1

 

2

1

 

 

 

2

Галкин

18

 

 

 

8

 

 

 

 

 

 

 

2

Пилипенко

19

2

 

1

2

 

2

 

 

 

1

 

 

Фирсов

20

 

 

 

 

 

 

 

 

 

 

 

 

Араб-Оглы

21

1

 

 

 

1

 

 

 

2

 

1

 

Гордон

22

 

 

 

 

 

 

 

 

 

 

 

 

Давыдов

23

 

 

 

2

 

 

 

14

2

 

 

2

Бестужев-Лада

24

 

 

 

2

1

1

 

 

 

 

 

 

Семенов

25

 

 

 

1

 

 

 

 

2

 

 

4

ВСЕГО

6

21

10

43

10

7

13

20

47

5

5

17

Продолжение таблицы 3

Келле

Константинов

Мамардашвили

Нейгольдберг

Пруденский

Румянцев

Смирнов

Трапезников

Федосеев

Файнбург

Францев

Фролов

Харчев

Шляпентох

Щедровицкий

38

39

40

41

42

43

44

45

46

47

48

49

50

51

52

1

 

2

 

 

8

 

 

4

1

9

 

1

 

 

2

 

 

 

 

4

 

 

 

 

 

 

1

1

 

 

 

 

 

11

 

 

1

 

 

 

 

 

6

 

 

2

 

 

3

 

 

1

 

 

1

 

2

4

 

2

 

 

 

11

 

 

12

2

5

 

 

 

 

 

 

 

 

 

 

 

 

 

 

 

 

 

 

 

 

 

 

 

1

1

 

 

 

1

 

 

 

3

 

 

1

1

 

 

 

 

 

1

 

 

 

 

1

 

 

 

 

 

 

 

 

 

 

 

 

 

1

 

1

 

 

 

 

 

26

 

 

3

 

 

1

 

 

 

3

1

4

4

 

11

2

1

 

 

5

2

 

 

3

 

 

 

1

 

 

3

 

 

 

 

 

 

 

 

 

 

 

 

 

1

 

1

18

 

 

 

 

2

 

 

2

2

 

 

7

2

 

4

 

3

2

 

1

 

 

 

 

 

4

 

 

 

 

 

 

 

 

 

1

 

 

 

 

4

 

 

 

1

7

 

 

 

 

 

 

 

 

 

 

4

 

 

 

 

4

 

 

 

 

 

1

 

 

 

23

 

9

 

 

 

 

 

 

 

 

 

 

 

 

2

 

 

 

1

 

 

2

1

 

 

 

 

 

 

 

 

 

 

 

 

 

 

 

 

1

4

2

 

 

8

 

 

 

 

3

1

1

 

 

 

 

 

 

 

1

1

 

 

 

 

 

 

 

 

 

 

 

 

 

2

 

 

3

 

 

 

 

 

 

1

 

 

 

 

10

 

 

1

 

 

 

1

1

 

 

1

1

 

 

1

 

 

7

 

8

 

1

 

 

8

12

14

5

20

123

8

12

55

12

18

7

8

18

9

Так, Румянцева упомянули в сумме 123 раза, Федосеева - 55 раз, Иовчука - 47 раз, Бурлацкого - 43 раза. Частота упоминания остальных акторов - около 20 раз. В табл. 3 новые акторы перечислены в алфавитном порядке. Например, Аганбегяна (номер вершины 27) упоминали 4 человека: Шубкин - 4 раза; Осипов - 1 раз, Заславская - 13 раз; Рывкина - 3 раза. Всего - 21 упоминание. Из новых акторов Аганбегян находится на 5-м месте по частоте упоминаний (связь "Осипов - Аганбегян" можно не учитывать ввиду ее малого веса). Дополнив же сеть самых сильных связей новой вершиной, мы получаем новую клику (подструктуру с повышенной сетевой плотностью) - ее фрагмент отображен на рис. 8. Условно ее можно обозначить артефактом "Новосибирская социологическая школа". Зная социальную историю российской социологии, можно сказать, что этот вывод тривиальный. В данном случае его можно расценивать как достаточно правдоподобный. Интересно, однако, установить и "неявные" группировки.

Заключение

Методика сетевого анализа основана на аппарате теории графов и может быть использована для изучения текстовых массивов, элементы которых связаны структурными соотношениями. Иначе говоря, это должны быть в некотором отношении связные тексты. В качестве "вершин", в принципе, могут быть определены любые концептуальные переменные [10]. Графические представления синтаксических и стилистических связей также можно отнести к сетям [11]. Особым видом ориентированных сетей являются генеалогические деревья, открывающие новую перспективу для анализа динамики социальной структуры [12]. Биографический материал особенно удобен для сетевого анализа тем, что в нем обнаруживаются своего рода сообщества персоналий, связанных контекстуальными переменными или артефактами. "Артефакты" - не самый удачный термин для обозначения контекстов, в которых репрезентируются сетевые связи, однако они порождаются связями и в этом смысле искусственны. В результате сетевого анализа текста возникает возможность его прочтения как палимпсеста, в том числе реконструкции "глубинных" структур, которые закрыты прагматическими и коммуникативными заданиями автора. Особой проблемой является обеспечение репрезентативности и надежности сетевых данных. Ошибки кодирования в текстах не являются систематическими и могут быть минимизированы повторными обращениями к массивам. Границы текста тоже не обязательно заданы началом и концом рассказа, и файлы могут быть объединены в одно коллективное повествование. Информанты не являются единицами исследования и не репрезентируют генсовокупность. Иное дело - соответствие рассказов реальности. Биографические нарративы принадлежат скорее жанру очерка, чем протокола. Для изучения коммуникаций в научном сообществе лучше всего использовать, например, дневники, записи телефонных разговоров, файлы электронной почты, но эти материалы доступны не всегда и не всем интересующимся. Приходится пользоваться теми документами, которые есть, и оценивать их качество на основе известных источниковедческих критериев.

В данной статье показаны фрагменты сетевого анализа профессионального сообщества социологов. Дальнейшая работа над методикой связана с расширением репертуара переменных. Уже сейчас достаточно отчетливо регистрируются "звезды", имеющие в сети высокий уровень центральности, положительный и отрицательный полюсы сети; а события, темы, институты, "школы" и другие артефакты не выходят за пределы историографических обзоров данного периода, хотя их совокупный объем несравнимо меньше объема обзоров [13]. В то же время в сетях необходимо формировать новые информативные переменные. В частности, не удалось зафиксировать "дисциплинарную консистентность" эгоцентрической и общей сетей. Речь идет об удельном весе несоциологов в профессиональной социологической "солидарности", то есть о степени дисциплинарной диффузности сетей. Проблема осложняется тем, что на данном материале невозможно более или менее уверенно отличить социолога от несоциолога. Социологом считается тот, кто называет себя социологом. В этом отношении общая сеть профессионального сообщества может показаться в высшей степени "чистой", хотя в числе артефактов редко встречаются указания на чисто научные проблемы, зато речь постоянно идет о проблемах власти, публичной политики, в том числе совершенствовании человека и общества. Не исключено, что расширение круга биографических документов и включение в информационный массив, скажем, менее влиятельных социологов позволит изменить картину распределения акторов и артефактов. По всей вероятности, историографический миф о российской социологии второй половины XX века будет соответствовать черно-белому изображению.

1 Вопрос о ценностных предпочтениях в сообществе социологов обсуждается в предисловии Г.С. Батыгина к рассматриваемой коллекции воспоминаний [3].

Список литературы

Lin N. Social networks and status attainment // Annual Review of Sociology. 1999. Vol. 25. P. 467-487.

Российская социология шестидесятых годов в воспоминаниях и документах / Отв. ред. и автор предисл. Г.С. Батыгин; Ред.-сост. С.Ф. Ярмолюк. СПб.: Изд-во РХГИ, 1999.

Wasserman S., Faust K. Social network analysis. Cambridge: Cambridge University Press, 1994.

David M., Zeitlin D. What are they doing? Dillemas in analysing bibliographical searching: cultural and technical network in academic life // Sociological Research Online. 1998. No. 1, 4. <htpp://www.scoresomline/1/4/2.html>

Portes A. Social capital: Its origins and application in modern sociology. Princeton: Princeton University Press, 1998.

Бородкин Л.И. Многомерный статистический анализ в исторических исследованиях. М.: Изд-во Московского университета, 1986.

Голофаст В.Б. Многообразие биографических повествований // Социологический журнал. 1995. N 1

Freeman L.C. Centrality in social networks: conceptual clarifications // Social Networks. 1979. Vol. 1. P. 215-236.

Баранов А.В. Введение в прикладную лингвистику: Учебное пособие. М.: Эдиториал УРСС, 2001. С. 248.

Севбо И.П. Графическое представление стилистических структур и стилистическая диагностика. Киев: Наукова думка, 1981.

Божков О.Б. Родословные (генеалогические) деревья как объект социологического анализа // Социологический журнал. 1998. N 3/4.

Социология в России / Под ред. В.А. Ядова. М.: Изд-во Института социологии РАН, 1998.

Для подготовки данной работы были использованы материалы с сайта <http://www.bibliofond.ru>

Похожие работы на - Сетевые взаимосвязи в профессиональном сообществе социологов: методика контент-аналитического исследования биографий

 

Не нашли материал для своей работы?
Поможем написать уникальную работу
Без плагиата!
Без нейросетей!