Ставлення дорослого населення до фізкультури і спорту

  • Вид работы:
    Курсовая работа (т)
  • Предмет:
    Медицина, физкультура, здравоохранение
  • Язык:
    Русский
    ,
    Формат файла:
    MS Word
    115,75 kb
  • Опубликовано:
    2010-09-28
Вы можете узнать стоимость помощи в написании студенческой работы.
Помощь в написании работы, которую точно примут!

Ставлення дорослого населення до фізкультури і спорту

Вступ


Актуальність. Однією з першорядних проблем нашого буття є проблема здоров'я нації. Виняткову роль у її розв'язанні відіграє фізичне виховання, яке водночас є важливим засобом формування особистості.

У зв'язку з екологічною й демографічною ситуацією стан здоров'я населення в Україні катастрофічно погіршується. Процес відродження української національної школи сприяє зміні ставлення фізичного виховання. Його слід віднести до пріоритетних напрямів розвитку освіти.

Важливе значення у цій сфері діяльності мають загальнолюдські гуманістичні цінності, що полягають, зокрема у впливі не тільки на здоров'я і фізичну досконалість а й передусім на духовний світ, культуру людини, її світосприйняття, емоції, моральні принципи, естетичні смаки. Йдеться також про відродження ідеалів, народних звичаїв, традицій і ритуалів. Заняття фізичними вправами – це і спілкування з іншими людьми, природою, і виховання комунікабельності та колективізму, і активний відпочинок, розваги. Уміння контролювати роботу тіла є шляхом до розумового, духовного і морального удосконалення. Встановлення міцної взаємодії між психічною сферою і фізичними можливостями організму дає відчуття гармонії, високу працездатність, активне довголіття.

Предмет дослідження – фізкультурна активність дорослого населення м. Чернігова.

Об`єкт дослідження – життєдіяльність дорослого населення.

Мета дослідження – встановити показники фізкультурної активності дорослого населення м. Чернігова.

Основні завдання роботи:

1) Вивчити відношення дорослого населення до фізичної культури та спорту;

2) Вивчити найбільш популярні види спортивних захоплень людини;

3) Вивчити особливості відношення до фізкультурної сфери чоловіків та жінок;

Практичне значення. Усебічний розвиток особистості неможливо без оволодіння людиною всіма багатствами культури, у тому числі культури фізичної. Турбота про красу праці і побуту, фізичному вихованні молоді – одна з найважливіших задач вищої школи. Результати аналізу сучасних тенденцій свідчать про те, що методика фізичного виховання буде і далі поглиблюватися шляхом індивідуалізації, посилення прикладної спрямованості фізичного виховання. Враховуючи світову практику фізичного виховання через спорт, слід чекати такої «спортизації» і нашої шкільної фізкультури. Цьому сприятиме, зокрема, утворення Української спортивної асоціації (УСА), що відкриває широкі перспективи відродження національних і регіональних спортивних традицій.

Одержані результати можуть бути використані як інформація, що характеризує стан соціального і культурного розвитку населення м. Чернігова.

 

 


1. Фізична культура в житті дорослого населення


1.1 Програмно-нормативні основи фізичного виховання дорослого


ЗАКОН УКРАЇНИ «Про фізичну культуру і спорт»

Цей Закон визначає загальні правові, соціальні, економічні і організаційні основи фізичної культури і спорту в Україні, участь державних органів, посадових осіб, а також підприємств, установ, організацій незалежно від форм власності у зміцненні здоров’я громадян, досягненні високого рівня працездатності та довголіття засобами фізичної культури і спорту.

Стаття 1. Фізична культура і спорт

Фізична культура – складова частина загальної культури суспільства, що спрямована на зміцнення здоров’я, розвиток фізичних, морально-вольових та інтелектуальних здібностей людини з метою гармонійного формування її особистості.

Фізична культура є важливим засобом підвищення соціальної і трудової активності людей, задоволення їх моральних, естетичних та творчих запитів, життєво важливої потреби взаємного спілкування, розвитку дружніх стосунків між народами і зміцнення миру.

Спорт є органічною частиною фізичної культури, особливою сферою виявлення та уніфікованого порівняння досягнень людей у певних видах фізичних вправ, технічної, інтелектуальної та іншої підготовки шляхом змагальної діяльності.

Соціальна цінність спорту визначається його дійовим стимулюючим впливом на поширення фізичної культури серед різних верств населення.

Стаття 2. Завдання фізичної культури і спорту в Україні

Основними завданнями фізичної культури і спорту є постійне підвищення рівня здоров’я, фізичного та духовного розвитку населення, сприяння економічному і соціальному прогресу суспільства, а також утвердження міжнародного авторитету України у світовому співтоваристві.

Стаття 3. Державне регулювання фізичної культури і спорту

Держава регулює відносини у сфері фізичної культури і спорту шляхом формування державної політики у цій сфері, створення відповідних державних органів, фінансового, матеріально-технічного, кадрового, інформаційного, нормативно-правового та іншого забезпечення розвитку фізичної культури і спорту, а також визнання широкого самодіяльного статусу фізкультурно-спортивного руху в Україні і комплексної взаємодії державних органів з громадськими організаціями фізкультурно-спортивної спрямованості. Держава визнає і всебічно підтримує олімпійський рух в Україні, діяльність всеукраїнських фізкультурно-спортивних товариств, національних спортивних федерацій, інших громадських організацій фізкультурно-спортивної спрямованості.

Стаття 4. Право громадян на заняття фізичною культурою і спортом

Громадяни мають право займатися фізичною культурою і спортом незалежно від походження, соціального і майнового стану, расової і національної належності, статі, освіти, віросповідання, роду і характеру занять, місця проживання та інших обставин.

Держава надає необхідну допомогу, пільги та гарантії окремим категоріям громадян, в тому числі інвалідам, для реалізації ними своїх прав у сфері фізичної культури і спорту. Держава забезпечує пріоритетний розвиток фізичної культури і спорту на селі, створює необхідні умови для занять фізичною культурою і спортом сільських працівників і членів їх сімей.

Держава гарантує надання в порядку, передбаченому Кабінетом Міністрів України, безкоштовних та пільгових фізкультурно-оздоровчих послуг дітям, в тому числі: дітям-сиротам та дітям, що залишилися без піклування батьків, дітям, що постраждали внаслідок Чорнобильської катастрофи, дітям з багатодітних та малозабезпечених сімей, дітям-інвалідам.

Держава забезпечує в межах, визначених Кабінетом Міністрів України, надання безкоштовних та пільгових фізкультурно-оздоровчих послуг дітям дошкільного віку, учням загальноосвітніх та професійних навчально-виховних закладів, ветеранам війни і особам, прирівняним до них, а також встановлює пільги при наданні таких послуг іншим категоріям громадян.

Держава створює умови для правового захисту інтересів громадян у сфері фізичної культури і спорту, розвиває фізкультурно-спортивну індустрію та інфраструктуру, заохочує прагнення громадян зміцнювати своє здоров’я, вести здоровий спосіб життя.

Стаття 5. Громадські засади у сфері фізичної культури і спорту

Фізкультурний рух в Україні спирається на різнобічну діяльність громадських організацій фізкультурно-спортивної спрямованості.

Первинною ланкою самодіяльної організації фізкультурного руху є колективи фізкультури на підприємствах, в установах, організаціях, що об’єднують на засадах добровільності громадян за їх інтересами у фізкультурно-спортивному русі.

Громадські організації фізкультурно-спортивної спрямованості (добровільні спортивні товариства, спортивні федерації, клуби тощо) реалізують завдання, визначені у статті 2 цього Закону, на всіх рівнях і напрямах фізкультурно-спортивної діяльності у взаємодії з державними органами, профспілками, іншими об’єднаннями громадян, суб’єктами підприємництва, відповідними міжнародними організаціями.

Стаття 6. Показники стану розвитку фізичної культури і спорту

Основними показниками стану фізичної культури і спорту є рівень здоров’я і фізичного розвитку різних верств населення; ступінь використання фізичної культури в різних сферах діяльності, рівень розвитку системи фізичного виховання, самодіяльного масового спорту; високі досягнення спортсменів України в окремих видах спорту; рівень забезпеченості кваліфікованими кадрами, спортивними спорудами та майном.

На підставі зазначених показників розробляється державна програма розвитку фізичної культури і спорту в Україні.

Стаття 7. Законодавство про фізичну культуру і спорт

Законодавче регулювання відносин у сфері фізичної культури і спорту здійснюється Конституцією України, цим Законом, іншими законодавчими актами України, Автономної Республіки Крим, а також міжнародними угодами та статутами міжнародних спортивних організацій.

(Стаття 7 із змінами, внесеними згідно із Законом №770-XIV від 18.06.99)

Стаття 8. Сфери та основні напрями впровадження фізичної культури

Сферами впровадження фізичної культури є виробнича, навчально-виховна, соціально-побутова сфери.

Держава створює необхідні умови для підготовки наукових та викладацьких кадрів, розвитку наукових досліджень у галузі фізичної культури та стимулює впровадження їх у суспільну практику.

Основними напрямами впровадження фізичної культури є фізкультурно-оздоровча діяльність, фізичне виховання та розвиток масового фізкультурно-спортивного руху.

Стаття 9. Фізкультурно-оздоровча діяльність

Фізкультурно-оздоровча діяльність спрямована на підтримання та зміцнення здоров’я у виробничій, навчально-виховній і соціально-побутовій сферах.

Основні напрями щодо організації фізкультурно-оздоровчої діяльності у цих сферах визначаються в державній програмі розвитку фізичної культури і спорту в Україні.

Стаття 10. Фізкультурно-оздоровча діяльність у виробничій сфері

Власники та уповноважені ними органи підприємств, установ, організацій зобов’язані створювати працівникам відповідні умови для реалізації їх права на заняття фізичною культурою.

Фізкультурно-оздоровча діяльність у виробничій сфері здійснюється на основі встановлених законодавством вимог щодо режиму праці і відпочинку шляхом проведення реабілітаційних та професійно-прикладних занять в режимі робочого дня, післятрудового відновлення, профілактичних занять, спортивно-масової роботи, в тому числі організації спортивно-оздоровчого туризму.

Порядок створення і використання матеріальної бази для занять фізичною культурою, фінансування, забезпечення спеціалістами для індивідуальних та колективних занять працівників та членів їх сімей визначаються законодавчими, іншими нормативними актами та колективними договорами.

Стаття 11. Фізкультурно-оздоровча діяльність у соціально-побутовій сфері

Кабінет Міністрів України за участю громадських організацій розробляє систему заходів щодо підтримання та зміцнення здоров’я різних категорій населення в соціально-побутовій сфері та забезпечує умови для її впровадження в життя, використання фізичної культури і спорту як засобу профілактики і лікування захворювань.

Створення умов для занять фізичною культурою населення за місцем проживання та в місцях масового відпочинку населення покладається на місцеві органи виконавчої влади та органи місцевого самоврядування за рахунок коштів відповідних бюджетів на основі державних нормативів фінансування фізкультурно-оздоровчих програм. Вони надають громадським організаціям фізкультурно-спортивної спрямованості та фізкультурно-спортивним закладам допомогу у виділенні місць для фізкультурно-оздоровчих занять в жилих районах, в парках культури і відпочинку, використанні для цих цілей спортивних споруд незалежно від їх належності. (Частина друга статті 11 із змінами, внесеними згідно із Законом №770-XIV від 18.06.99)

Стаття 12. Фізкультурно-оздоровча діяльність у навчально-виховній сфері та фізичне виховання

У навчально-виховній сфері (дошкільних виховних закладах, середніх загальноосвітніх, професійних навчально-виховних, вищих навчальних закладах) фізкультурно-оздоровча робота здійснюється в поєднанні з фізичним вихованням дітей та молоді, з урахуванням стану здоров’я, рівня фізичного та психічного розвитку.

У складі педагогічних колективів дошкільних виховних та інших закладів освіти обов’язково передбачаються посади фахівців з фізичного виховання.

Органи виконавчої влади, підприємства, установи та організації, у віданні яких перебувають дошкільні виховні заклади, забезпечують необхідні умови для проведення щоденних фізкультурно-оздоровчих занять з дітьми, морально і матеріально заохочують педагогічні колективи та фахівців фізичного виховання, які досягли успіхів у збереженні і зміцненні здоров’я дітей. (Частина третя статті 12 із змінами, внесеними згідно із Законом №770-XIV від 18.06.99)

Фізичне виховання є головним напрямом впровадження фізичної культури і становить органічну частину загального виховання, покликану забезпечувати розвиток фізичних, морально-вольових, розумових здібностей та професійно-прикладних навичок людини.

Фізичне виховання шляхом проведення обов’язкових занять здійснюється в дошкільних виховних, середніх загальноосвітніх, професійних навчально-виховних та вищих навчальних закладах відповідно до навчальних програм, затверджуваних у встановленому порядку.

В середніх загальноосвітніх навчально-виховних закладах уроки з фізичної культури є обов’язковими і проводяться не менше трьох разів на тиждень.

Періодичність проведення занять з фізичної культури, вимоги до складання заліків з фізичного виховання встановлюються за погодженням з центральним органом виконавчої влади з фізичної культури і спорту.

Середні загальноосвітні та професійні навчально-виховні заклади з урахуванням місцевих умов, інтересів і запитів учнів самостійно визначають зміст, форми і засоби їх рухової активності, методи проведення занять з фізичної культури, а також організовують позанавчальну фізкультурно-спортивну роботу за участю позашкільних навчально-виховних закладів, громадських організацій фізкультурно-спортивної спрямованості.

Місцеві органи виконавчої влади можуть вводити додаткові уроки фізичної культури за умови виділення коштів відповідних бюджетів. (Частина дев’ята статті 12 із змінами, внесеними згідно із Законом №770-XIV від 18.06.99)

Фізичне виховання військовослужбовців є складовою частиною загальної системи навчання та виховання особового складу Збройних Сил України, органів внутрішніх справ, інших військових формувань і здійснюється у формі спеціальної фізичної підготовки.

Стаття 14. Особливості фізкультурно-спортивної діяльності щодо окремих категорій громадян

Адміністрація виправно-трудових установ забезпечує контроль за станом здоров’я осіб, які в них перебувають, і організовує всі необхідні фізкультурно-оздоровчі заходи.

Правилами тримання засуджених у місцях позбавлення волі встановлюються вимоги щодо проведення з засудженими фізкультурно-оздоровчих занять, нормативи забезпеченості виправно-трудових установ фізкультурно-спортивним інвентарем та обладнанням.

Стаття 15. Самодіяльний масовий спорт

Самодіяльний масовий спорт є складовою частиною фізичної культури і здійснюється з урахуванням віку, стану здоров’я та рівня фізичного розвитку особи і включає змагальну діяльність, спеціальну підготовку до неї (тренування), орієнтовану на досягнення певних спортивних результатів.

Держава всебічно сприяє розвитку самодіяльного масового спорту, основу якого становлять різноманітні фізкультурно-спортивні секції, заохочує і стимулює діяльність підприємств, установ, організацій та громадян, що сприяє його розвитку.

Стаття 26. Державна програма розвитку фізичної культури і спорту в Україні

Державна програма розвитку фізичної культури і спорту в Україні розробляється центральним органом виконавчої влади з фізичної культури і спорту і затверджується Кабінетом Міністрів України.

Державна програма передбачає вимоги щодо організації підтримки та зміцнення здоров’я різних категорій громадян, вимоги до навчальних програм щодо фізичного виховання, систему програмно-оціночних нормативів і вимог щодо фізичного розвитку і підготовленості різних вікових груп населення, основні напрями розвитку масового самодіяльного спорту та спорту вищих досягнень, а також основні засади організаційного, матеріально-технічного, кадрового, інформаційного, нормативно-правового та іншого її забезпечення.

Кабінет Міністрів України затверджує систему програмно-оціночних нормативів і вимог щодо фізичного розвитку і підготовленості різних вікових груп населення. Органи охорони здоров’я за рахунок виділених їм коштів визначають рівень фізичного розвитку населення.

Державна програма повинна передбачати окремий розділ щодо розвитку фізичної культури і спорту в сільській місцевості.

Державна програма розробляється за участю громадських організацій фізкультурно-спортивної спрямованості, громадських організацій інвалідів на основі наукових досліджень в галузі фізичної культури і спорту та в інших галузях науки.

На основі державної програми розвитку фізичної культури і спорту Кабінет Міністрів України передбачає відповідний розділ у програмах економічного і соціального розвитку України.

Стаття 27. Органи державного управління фізичною культурою і спортом

Верховна Рада України визначає державну політику і здійснює законодавче регулювання відносин у сфері фізичної культури і спорту, а також здійснює контроль за реалізацією державної програми розвитку фізичної культури і спорту в Україні та за виконанням законодавства про фізичну культуру і спорт.

Центральний орган виконавчої влади з фізичної культури і спорту забезпечує реалізацію державної політики у галузі фізичної культури і спорту, несе відповідальність за її виконання.

(Частина друга статті 27 в редакції Закону №770-XIV від 18.06.99)

Рада міністрів Автономної Республіки Крим, місцеві органи виконавчої влади, органи місцевого самоврядування створюють у своєму складі відповідні органи з фізичної культури і спорту.

(Частина третя статті 27 в редакції Закону №770-XIV від 18.06.99)

Стаття 28. Фінансове забезпечення фізичної культури і спорту

Фінансування державної програми розвитку фізичної культури і спорту здійснюється за рахунок державного бюджету, бюджетів місцевого самоврядування і передбачається в них окремою статтею.

Державне фінансування фізкультурно-виховної діяльності і спорту вищих досягнень здійснюється окремо.

Розподіл державних коштів здійснюється центральним та місцевими органами виконавчої влади з фізичної культури і спорту з урахуванням пропозицій відповідних громадських організацій. (Частина третя статті 28 із змінами, внесеними згідно із Законом №770-XIV від 18.06.99)

На цілі фізичної культури і спорту використовуються кошти фонду соціального страхування, а також позабюджетні надходження: внески підприємств, установ та організацій, об’єднань громадян, окремих осіб, кошти від фінансово-господарської діяльності закладів фізичної культури і спорту та організацій фізкультурно-спортивної спрямованості, а також від продажу прав на використання спортивної символіки і на телевізійну трансляцію спортивних змагань, від проведення фізкультурно-спортивних та інших видовищних заходів, спортивних лотерей тощо. Одержання коштів з позабюджетних джерел не впливає на обсяги бюджетних асигнувань на фізичну культуру і спорт.

Не допускається використання коштів державного бюджету та бюджетів місцевого самоврядування, а також позабюджетних коштів, передбачених на фізичну культуру і спорт, не за призначенням.

На розвиток фізкультури і спорту підприємства, установи та організації спрямовують кошти в порядку, визначеному законодавством.

В сільській місцевості витрати на утримання всіх закладів фізкультурно-спортивного призначення, в тому числі дитячо-юнацьких спортивних шкіл, а також проведення фізкультурно-спортивних заходів здійснюються переважно з державного бюджету та бюджетів місцевого самоврядування.

Стаття 29. Матеріально-технічне забезпечення фізичної культури і спорту

Матеріально-технічну базу фізичної культури і спорту складають усі види фізкультурно-оздоровчих і спортивних споруд, фізкультурно-спортивного спорядження і обладнання, інше майно, призначене для занять фізичною культурою і спортом.

Нормативи мінімальної забезпеченості основними фізкультурно-оздоровчими і спортивними спорудами жилих районів, а також підприємств, установ і організацій всіх форм власності визначаються центральними органами виконавчої влади з фізичної культури і спорту, архітектури та будівництва. (Частина друга статті 29 із змінами, внесеними згідно із Законом №770-XIV від 18.06.99)

Будівництво в жилих районах фізкультурно-оздоровчих і спортивних об’єктів здійснюється відповідно до встановлених нормативів за рахунок коштів, що спрямовуються на житлове будівництво, та коштів організацій – забудовників житла.

Селу надається перевага (у розрахунку на душу населення) у спорудженні об’єктів фізичної культури і спорту, забезпечується відповідний рівень обслуговування засобами фізичної культури і спорту за науково обгрунтованими нормативами. Будівництво, реконструкція та утримання об’єктів фізичної культури і спорту в сільській місцевості здійснюється за рахунок державного і місцевих бюджетів.

Не допускається:

– будівництво нових та реконструкція наявних дошкільних виховних, загальноосвітніх та професійних навчально-виховних, вищих навчальних закладів без передбачених нормативами фізкультурно-спортивних споруд та функціональних приміщень;

– перепрофілювання та ліквідація діючих фізкультурно-оздоровчих і спортивних споруд без створення рівноцінних споруд.

Органи виконавчої влади з фізичної культури і спорту та відповідні органи місцевого самоврядування здійснюють контроль за ефективністю використання спортивних споруд незалежно від форм власності. (Частина шоста статті 29 із змінами, внесеними згідно із Законом №770-XIV від 18.06.99)

Стаття 31. Правове та інформаційне забезпечення фізичної культури і спорту

Органи виконавчої влади з фізичної культури і спорту, з питань освіти та охорони здоров’я, інші державні органи та органи місцевого самоврядування, громадські організації фізкультурно-спортивної спрямованості відповідно до їх компетенції видають акти, що регулюють діяльність у сфері фізичної культури і спорту. Нормативні акти центрального органу виконавчої влади з фізичної культури і спорту, видані відповідно до його компетенції, є обов’язковими для інших центральних і місцевих органів виконавчої влади, а також підприємств, установ і організацій. (Частина перша статті 31 із змінами, внесеними згідно із Законом №770-XIV від 18.06.99)

Держава сприяє веденню широкої пропаганди фізичної культури та спорту як фактора зміцнення здоров’я, фізичного і духовного загартування людини. Пропаганда здорового способу життя ведеться державними та іншими засобами масової інформації шляхом популяризації оздоровчого значення фізичної культури, спорту вищих досягнень, досягнень України на міжнародних спортивних аренах, олімпійських ідеалів тощо.

Стаття 33. Самоврядування у сфері фізичної культури і спорту

Держава сприяє розвитку суспільної активності і залучає громадські організації до управління в галузі фізичної культури і спорту.

Органи виконавчої влади, відповідні органи місцевого самоврядування в межах своєї компетенції можуть делегувати громадським організаціям фізкультурно-спортивної спрямованості окремі повноваження щодо розвитку видів спорту (підготовки спортсменів до участі в змаганнях, організації спортивних заходів тощо), здійснюють контроль за реалізацією таких повноважень.

(Частина друга статті 33 із змінами, внесеними згідно із Законом №770-XIV від 18.06.99)

У своїй діяльності громадські організації фізкультурно-спортивної спрямованості та їх об’єднання керуються цим Законом, Законом України «Про об’єднання громадян», іншими законодавчими актами України.

Стаття 36. Господарська та інша комерційна діяльність, спрямована на розвиток фізкультури і спорту

Підприємства, установи, організації в межах і порядку, визначених законодавством, користуються пільгами щодо оподаткування доходів від господарської або іншої комерційної діяльності, спрямованої на розвиток фізкультури і спорту.

Кошти, отримані організаціями фізкультурно-спортивної спрямованості, що діють на селі, від власної виробничо-господарської та комерційної діяльності і спрямовані на розвиток фізкультури і спорту на селі, можуть підлягати пільговому оподаткуванню. Ці пільги визначаються відповідно до законодавства України.

Громадська організація повинна заснувати підприємство, якщо вона організовує або бере участь у проведенні платних фізкультурно-спортивних заходів і одержує від цього протягом року прибуток, що перевищує 1000 розмірів мінімальної заробітної плати, або якщо спортсмени за участь в таких заходах одержують разову винагороду, що перевищує 100 розмірів мінімальної заробітної плати. Незаконно отриманий прибуток вилучається в доход держави. Ця норма не поширюється на національні спортивні федерації та Національний Олімпійський комітет України.

Будь-яка особа – організатор спортивного заходу, відкритого для спортсменів – членів національних спортивних федерацій, що передбачає видачу призів, які перебільшують 50 розмірів мінімальної заробітної плати, повинна отримати на це згоду відповідної національної спортивної федерації. Спортсмен, який взяв участь у такому заході, що проводився без згоди відповідної національної спортивної федерації, несе відповідальність, передбачену статутом цієї федерації.

Стаття 37. Дотримання правил безпеки, охорони здоров’я, честі і гідності громадян при проведенні занять фізичною культурою та спортивних заходів

Власники фізкультурно-оздоровчих і спортивних споруд, спеціальних приміщень для занять фізкультурою і спортом та фізкультурно-оздоровчого і спортивного інвентаря або уповноважені ними органи зобов’язані забезпечувати їх належний стан, безпечний для життя і здоров’я людей, майна та навколишнього природного середовища.

Адміністрація фізкультурно-оздоровчих і спортивних споруд та організатор спортивного заходу або занять фізичною культурою забезпечують належне обладнання місць проведення фізкультурно-спортивних занять і змагань відповідно до правил їх проведення, вимог техніки безпеки, санітарно-гігієнічних, екологічних та інших державних вимог і несуть відповідальність, встановлену законодавством України, за шкоду, заподіяну здоров’ю глядачів та осіб, які займаються в них фізичною культурою і спортом.

Експлуатація спортивних споруд та обладнання, що не забезпечує безпеки спортсменів та глядачів, не допускається.

Під час проведення спортивних заходів і занять фізичною культурою не допускається пропаганда культу жорстокості та насильства.

Стаття 38. Науково-методичне забезпечення фізичної культури і спорту

За дорученням Кабінету Міністрів України центральний орган виконавчої влади з фізичної культури і спорту разом з Академією наук України і Міністерством охорони здоров’я України розробляє державну програму наукових спеціальних досліджень, координує її здійснення, залучає до цієї справи провідні наукові центри, вищі навчальні заклади, Науково-дослідний інститут фізичної культури і спорту.

Стаття 39. Спортивна медицина (лікарський контроль)

Спортивна медицина становить складову частину системи охорони здоров’я у сфері фізичної культури і спорту і покликана визначати стан здоров’я, фізичний розвиток і функціональний стан організму фізкультурників та спортсменів, а також здійснювати профілактику, діагностику і лікування захворювань та ушкоджень, пов’язаних із заняттям фізкультурою і спортом.

Систематичному диспансерному огляду лікарсько-фізкультурною службою підлягають учні дитячо-юнацьких спортивних шкіл, училищ олімпійського резерву, шкіл вищої спортивної майстерності, члени збірних команд і ветерани спорту. Персональну відповідальність за допуск спортсмена до тренувань і змагань за станом здоров’я несе лікар.

Держава створює мережу лікувально-фізкультурних закладів, що здійснюють медичний контроль за всіма категоріями осіб, які займаються фізичною культурою і спортом, сприяє розвитку наукових досліджень у галузі медичних проблем фізкультури і спорту (спортивної реабілітації, травматології, антидопінгового контролю тощо), впроваджує спортивну медицину як учбову дисципліну в навчальні плани відповідних навчальних закладів.

Міністерство охорони здоров’я України, органи виконавчої влади з питань охорони здоров’я цільовим призначенням спрямовують частину коштів на розвиток спортивної медицини. (Частина четверта статті 39 із змінами, внесеними згідно із Законом №770-XIV від 18.06.99)

Заняття фізичною культурою та спортом повинні здійснюватись з додержанням медичних вимог, які встановлюються Міністерством охорони здоров’я України.

Стаття 40. Фізкультурно-спортивне спорядження, обладнання і споруди

Фізкультурно-спортивне спорядження і обладнання для занять фізичною культурою і спортом – одяг (форма), взуття, снаряди (апарати), інвентар і апаратура для обладнання спортивних споруд та обслуговування змагань – повинні виготовлятись відповідно до стандартів (правил, норм), затверджених міжнародними або національними (для національних видів спорту) спортивними федераціями та зареєстрованих у відповідних міжнародних організаціях або у Комітеті України з питань стандартизації, метрології та сертифікації. (Частина перша статті 40 із змінами, внеесними згідно із Законом №770-XIV від 18.06.99)

Спортивні споруди – окремі будівлі і комплекси споруд, призначені для оздоровчих та навчально-тренувальних занять, а також змагань з різних видів спорту, повинні відповідати вимогам загальної та спеціальної безпеки учасників і глядачів.

Держава встановлює вимоги до спортивних споруд в частині будівельних норм і правил, санітарних норм, нормативів охорони здоров’я та безпеки відвідувачів, а також здійснює пряме фінансування на утримання спортивних споруд центрів (баз) спортивної (олімпійської) підготовки та фізкультурно-спортивних організацій загальнодержавного значення. Земельні ділянки, на яких розташовані фізкультурно-оздоровчі та спортивні споруди, належать до земель рекреаційного призначення.

Стаття 41. Відповідальність за порушення законодавства про фізичну культуру і спорт

Особи, винні в порушенні законодавства про фізичну культуру і спорт, несуть відповідно цивільно-правову, дисциплінарну, адміністративну або кримінальну відповідальність.

Спортсмени, інші фахівці в галузі фізкультури і спорту можуть бути обмежені щодо участі у відповідних спортивних змаганнях згідно з регламентними документами громадських організацій фізкультурно-спортивної спрямованості.

Окремі розділи Закону визначають правові засади функціонування сфери спортивної діяльності та самоврядування в галузі фізичної культури і спорту. Процес фізичного виховання у сфері освіти регламентується 12-ою статтею Закону.

Відповідно до статті 41 особи, винні в порушенні законодавства про фізичну культуру і спорт, несуть дисциплінарну адміністративну або кримінальну відповідальність.

1.2 Організаційно-методичні основи фізичного виховання дорослого населення


Постанова Верховної Ради України «Про порядок введення в дію Закону України «Про фізичну культуру і спорт» зобов'язала Кабінет Міністрів України до 1. VI. 1994 року прийняти Державну програму розвитку фізичної культури і спорту. Така перша програма була затверджена Указом Президента України в червні 1994 року. 1 вересня 1998 року в Україні була прийнята друга програма – «Фізична культура – здоров'я нації».

Державні програми розвитку фізичної культури і спорту в Україні спрямовані на практичну реалізацію Закону України «Про фізичну культуру і спорт». Вони розкривають основні напрямки державної політики в галузі фізичної культури і спорту, визначають їх роль у житті суспільства, показують тенденції розвитку фізкультурно-спортивного руху та накреслюють практичні заходи щодо впровадження фізичної культури в побут громадян, а також основні засади організаційного, матеріально технічного, кадрового, інформаційного та інших її забезпечень на певні етапи суспільного розвитку. На основі Державної програми розвитку фізичної культури і спорту Кабінет Міністрів України передбачає відповідний розділ у програмах економічного і соціального розвитку України,

Державна програма розвитку фізичної культури і спорту розробляється на певний період часу. Діюча програма складена на період до 2005 року.

«Державні вимоги до фізичного виховання» містять основні концептуальні положення, характеристику рівнів, змісту та форм фізичного виховання, оцінку діяльності тих, хто займається, кадрове забезпечення та керівництво фізичним вихованням. Вони визначають мету фізичного виховання у навчально-виховній сфері та його завдання, принципи побудови педагогічного процесу з фізичної культури в освітніх установах.

Однією з центральних проблем формування системи фізичного виховання є підготовка навчальних програм, тому що вони визначають обсяг знань, умінь і навичок виконувати рухові дії, що підлягають засвоєнню за роками навчання і сприяють розвитку особи відповідно до державних вимог у цій галузі. Іншими словами, навчальна програма – це сукупність теоретичного і практичного матеріалу, спеціально підібраного дня вирішення освітніх, оздоровчих і виховних завдань фізичного виховання.

Єдина державна навчальна програма не може врахувати різноманітності інтересів та запитів учнів і вчителів, місцевих умов, національних та регіональних традицій. Тому для забезпечення державних інтересів у фізичному вихованні дітей і учнівської молоді, з одного боку, та захисту прав навчальних закладів щодо визначення змісту і засобів фізичного виховання учнівської молоді, передбачених статтею 12 Закону України «Про фізичну культуру і спорт», з іншого боку, сьогодні розробляються програми трьох рівнів: базові, регіональні і робочі.

Така градація програм передбачена «Державними вимогами до навчальних програм з фізичного виховання в процесі освіти», затвердженими Міністерством освіти України 25.05.1998 р. (Наказ №188).

Програма будь-якого рівня повинна будуватися відповідно до сучасних наукових досягнень та з урахуванням: рівня знань, умінь і навичок, кондиційної і координаційної підготовленості тих, хто займається; можливих міжпредметних зв'язків; впливу навчального матеріалу на всебічний розвиток; кінцевого результату в навчанні; фізичного розвитку та підготовленості учнів; потреби їх підготовки до творчої діяльності і життя.

Базові програми визначають мінімальний рівень фізкультурної освіти, яку держава зобов'язується забезпечити всім дітям, учням, студентам і військовослужбовцям незалежно від типу і форми власності навчально-виховного закладу, в якому вони навчаються, регіону проживання, національності, індивідуальних особливостей.

У базових навчальних програмах не повинно бути фізичних вправ, для вивчення яких немає умов у будь-якому регіоні України, і таких, що пов'язані з невиправданим ризиком для життя і здоров'я, не відповідають естетичним, вимогам, формують культ насильства і жорстокості.

На основі базових програм розробляються регіональні навчальні програми, які, враховуючи регіональні і національні особливості та традиції, кліматичні та екологічні умови, визначають рівні рухової підготовленості учнів і студентів у навчальних закладах різних регіонів України. В якості регіону можуть виступати область, район чи група районів однієї або різних областей (наприклад, райони Карпат). Зміст регіональних програм може розширюватись у рамках регіонального ліміту часу, відведеного на предмет, і містити матеріал з поглибленим вивченням одного або декількох видів спорту.

Навчальний матеріал регіональних програм і вимоги до підготовленості контингенту тих, хто займається, пов'язані з регіональними, національними і кліматичними особливостями, визначають регіональні і місцеві органи управління освіти.

Зміст робочих програм визначається викладачами конкретного навчального закладу. При їх розробці враховуються: місцеві кліматичні й екологічні умови; традиції і матеріальна база навчально-виховного закладу; спеціалізація викладачів; інтереси учнів і рівень їх підготовленості; кількість уроків, відведених на предмет у кожному навчальному закладі. Навчальні програми для учнів професійних навчальних закладів і студентів ВНЗ повинні враховувати особливості майбутньої професійної діяльності.

Робоча програма повинна містити систему розумно підібраних, логічно і дидактично розміщених рухових дій, порцій теоретичних відомостей і засобів, що забезпечують належну загальну фізкультурну освіту і підготовленість кожної дитини, учня, студента, військовослужбовця*

Формування фахівцями робочих програм сприяє росту їх професійної майстерності та підвищує відповідальність і, головне, робить процес фізичного виховання творчим і реальним, а не формальним, як це спостерігалось у минулому.

«Національна спортивна класифікація». Єдина спортивна класифікація (РСК) України видається на чотири роки (олімпійський цикл) і є нормативним документом галузі фізичної культури і спорту. Вона забезпечує єдину систему оцінки рівня спортивної майстерності і спортивних досягнень та встановлює нормативи і вимоги для присвоєння спортивних розрядів і звань.

Крім цього, ЄСК покликана стимулювати розвиток масового спорту та сприяти підвищенню рівня досягнень спортсменів України на міжнародній арені.

Розрядні нормативи визначені у кількісних показниках міри часу, відстані, ваги.

Розрядні вимоги визначаються такими поняттями: посісти певне місце на змаганнях відповідного масштабу; взяти участь у складі спортивної команди, яка зайняла належне місце на передбачених класифікацією змаганнях; перемогти певну кількість спортсменів чи команд, які мають на час змагань відповідні розряди; досягти певного рейтингу.

Класифікація визначає умови і вікові обмеження для присвоєння спортивних звань і розрядів та їх підтвердження; порядок присвоєння звань та розрядів і вручення нагород; права та обов'язки спортсменів і їх облік.

Класифікація передбачає і норму, за якою спортсмен може бути позбавлений спортивного звання рішенням фізкультурно-спортивної організації, якщо він допустить аморальний вчинок, що принижує людську гідність.

«Державні тести і нормативи оцінки фізичної підготовленості населення України».

У фізичному вихованні широко практикуються нормативні способи кількісного визначення постановки завдань і оцінки результатів їх виконання. Терміни «норма», «норматив» визначають певну міру (величину), прийняту за уніфікований показник того, що повинно бути досягнуте в результаті діяльності. Сукупність норм – це ніби послідовні сходинки досягнення результатів від початкового до граничного. Якщо норми відповідають можливостям учнів і умовам їх реалізації, то вони с найкращим орієнтиром на шляху до мети.

Водночас, норми мають і контрольно-оціночне значення: за їх виконанням або невиконанням можна судити про те, як реалізуються поставлені завдання; про ефективність застосовуваних у фізичному вихованні засобів і методів; про те, наскільки вдалося вплинути (завдяки їх застосуванню) на динаміку фізичного розвитку і підготовленості учнів.

Враховуючи це, в теорії і практиці фізичного виховання проблема розробки адекватних нормативів завжди посідала одне з центральних місць.

У сфері фізичного виховання кількісно-нормативна постановка завдань Поширюється, головним чином, на завдання з виховання фізичних якостей як Основи рухових можливостей («кондиційні» нормативи фізичної підготовленості) і нормативи, розраховані на виявлення ступеня сформованості рухових умінь і навичок (нормативи «координаційні» – спортивно-технічної підготовленості). Такий розподіл нормативів, звичайно, умовний, оскільки те, що вони виражають, фактично єдине в своїй основі.

При розробці комплексу нормативів необхідно відповісти, щонайменше, на два запитання:

1) які з проявів фізичних можливостей людини вибрати в якості найбільш адекватних і інформативних показників її всебічної фізичної підготовленості?

2) який рівень цих показників можна вважати «нормативним»? Зрозуміло, що на ці запитання однозначної відповіді бути не може.

Об'єктивно вимоги, що ставить життя до фізичної підготовленості, не є сталими, а, отже, сталими не можуть бути і конкретні характеристики фізичного статусу людини. Тому мова може йти лише про динамічні норми і про диференційоване їх визначення для різних демографічних контингентів з урахуванням конкретних умов.

Загальні нормативи фізичної підготовленості повинні бути доступні кожному за умови певної підготовки для їх досягнення. Якщо нормативи визначаються на рівні, що дозволить кожному виконати їх без будь-якої попередньої підготовки, то вони є занижені і не мають стимулюючого значення. Тому нормативи при оцінюванні діяльності учнів повинні бути індивідуалізовані.

Національна система фізичного виховання передбачає функціонування. Державних тестів і нормативів оцінки фізичної підготовленості населення її метою є стимулювання і спрямування подальшого розвитку фізичної культури серед населення для забезпечення здоров'я нації на рівні вищих світових стандартів.

Впровадження системи дає можливість індивідуально діагностувати фізичну підготовленість; спрямовувати діяльність навчальних закладів і фізкультурно-спортивних організацій країни на забезпечення належного рівня фізичної підготовленості народу; контролювати ефективність фізичного виховання; стимулювати розвиток фізичної культури і спорту.

Тестування фізичної підготовленості населення включає виконання комплексу рухових дій, що дозволяють визначити і оцінити рівень розвитку основних фізичних якостей – витривалості, сили, прудкості, спритності, гнучкості, що мають суттєве значення для життєдіяльності людини, її фізичного стану і здоров'я.

При тестуванні потрібно дотримуватись як загальних положень, так вимог до виконання окремих тестів.

Крім цього, стаття 31 Закону України «Про фізичну культуру і спорт» надає право органам державної виконавчої влади у справах фізичної культури і спорту, з питань освіти й охорони здоров'я, громадським організаціям фізкультурно-спортивної спрямованості, відповідно до їх компетенції, видавати акти, що регулюють діяльність у сфері фізичної культури і спорту. При цьому нормативні акти державних органів виконавчої влади у справах фізичної культури і спорту, видані відповідно до їх компетенції, є обов'язковими для інших центральних та місцевих органів державної виконавчої влади, а також підприємств, установ і організацій.

Організаційні основи передбачають функціонування відповідних організацій, установ і товариств, що керують розвитком фізичної культури і спорту в Україні.

Центральним органом державної виконавчої влади у сфері фізичної культури і спорту є Державний комітет молодіжної політики, спорту і туризму. Він забезпечує реалізацію державної політики в галузі фізичної культури і спорту, несе відповідальність за її виконання.

Рада Міністрів автономної Республіки Крим, місцеві органи державної виконавчої влади, органи місцевого та регіонального самоврядування створюють у своєму складі відповідні органи з питань фізичної культури і спорту.

Одночасно галузеві міністерства здійснюють контроль і керівництво фізичним вихованням у закладах своєї галузі.

З іншого боку, держава сприяє розвитку суспільної активності і залучає громадські організації до управління в галузі фізичної культури і спорту. Через свої органи вона делегує громадським організаціям фізкультурно–спортивної спрямованості окремі повноваження щодо розвитку видів спорту (підготовка спортсменів до участі у змаганнях, організація спортивних заходів тощо), зберігаючи за собою контрольні функції за реалізацією таких повноважень.

До громадських організацій фізкультурно-спортивної спрямованості належать спортивні клуби, спілки і товариства, національні спортивні федерації, Національний Олімпійський комітет України.

Громадські організації фізкультурно-спортивної спрямованості у своїй діяльності керуються законодавством України, статутами відповідних міжнародних організацій (якщо вони національні) та власними статутами (див. Закон України «Про фізичну культуру і спорт»).

Органи державної виконавчої влади з питань фізичної культури і спорту та відповідні органи місцевого самоврядування здійснюють контроль за ефективністю використання спортивних споруд незалежно від форм власності.

Всі організації, що забезпечують функціонування галузі «Фізична культура і спорт», об'єднані спільною метою і завданнями, що полягають у задоволенні індивідуальних та суспільних запитів і потреб громадян України у фізичній і спортивній підготовці.

Для забезпечення реального процесу фізичного виховання (функціонування системи) необхідні певні умови.

Першою, головною умовою є бажання громадян реалізувати свої права на фізичний і духовний розвиток, передбачені статтею 4 Закону України «Про фізичну культуру і спорт». Сьогодні, на жаль, лише близько 6% населення України використовують це право. Тому, щоб викликати це бажання, в системі фізичного виховання мусить здійснюватись клопітка систематична просвітницька робота, а при організації занять необхідно забезпечити сприятливий морально-психологічний клімат.

Правда, бажання займатись фізичними вправами може виникати імпульсивно, на ґрунті біологічної потреби до руху, або внаслідок певних «репресивних дій» з боку керівників занять. Але такі дії не будять свідомість, тому активність, що проявляється як їх наслідок, швидко згасає. Тільки ефективною агітаційною і пропагандистською діяльністю з використанням відомих форм, методів і засобів можна досягти бажаного успіху – залучити більшість громадян держави до систематичних занять фізичними вправами.

Другою такою умовою є належна матеріально-технічна база та фінансове забезпечення галузі. Сучасна база повинна складатися з відповідних приміщень та інвентарю, який повинен відповідати фізичним, естетичним та гігієнічним потребам людини, а також надавати умови для рекреації і відпочинку окремих громадян різного віку, їх груп та сімей.

Третьою, визначальною умовою є забезпечення галузі «Фізична культура і спорт» висококваліфікованими фахівцями-професіоналами. Фахівці об'єктивно існують у системі і є носіями всіх її цінностей.

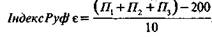
1.3 Економічний ефект фізичної культури


Для того щоб розрахувати соціально-економічну ефективність фізичної культури, необхідно зробити класифікацію методів оцінки, уведених для вибору однакового способу оцінки соціальних і економічних результатів у підсистемах (у властивих їм одиницях і показниках). Це необхідно для того, щоб одержати можливість порівняння цих результатів і співвіднесення їх до витрат.

При визначенні ефективності потрібно використовувати наступні параметри:

– максимальний соціальний ефект стосовно до встановленого локального критерію при фіксованих витратах. У даному випадку при заданих і лімітованих витратах вибір найкращого варіанта виробляється виходячи з досягнення максимального соціального ефекту (результату);

– досягнення заздалегідь заданого соціального результату при мінімумі витрат (оптимальність). Тут при однакових соціальних результатах у різних варіантах розвитку сфери фізичної культури і спорту вибір оптимального варіанта виробляється по мінімуму приведених витрат з обліком супутнього економічного ефекту. (Такий метод застосуємо, наприклад, при порівнянні проектів спортивних споруджень при однакових їхньому призначенні, місткості, пропускній здатності, класі, розряді і т.д.);

– оцінка економічного ефекту, що супроводжує досягнутому соціальному результатові;

– максимум прибутку, одержуваної на основі вільного платоспроможного попиту населення при реалізації спортивних послуг;

– кількісна оцінка соціального ефекту у відповідних одиницях виміру.

Для оцінки загальної ефективності одноразових витрат у сфері фізичної культури і спорту доцільно визначати одержувані соціальні результати у виді як натуральних показників (послуг і товарів, споживаних населенням), так і у обсягу у реалізації спортивних послуг і товарів у грошовому вираженні. Зростання цих показників на одиницю приведених витрат є свідченням подальшого підвищення соціально-економічної ефективності.

Усі зазначені методи можуть застосовуватися при визначенні оптимальних варіантів капітальних вкладень, виділених усім фізкультурним і спортивним організаціям. Виключення складають підприємства сфери, що спеціалізуються на виробництві спортивних товарів. Для них може застосовуватися метод збільшення прибутку (чистої продукції) на одиницю капітальних вкладень.

Як видно з останньої формули, зростання ефективності може бути досягнуте по трьох взаємозалежних напрямках: за рахунок збільшення соціальних ефектів, за рахунок економії усіх видів суспільних ресурсів, що направляються на розвиток фізичної культури і спорту, за рахунок зростання доходів від сфери фізичної культури і спорту.

Для росту соціальних ефектів необхідно збільшити масовість, перетворити фізичну культуру і спорт у всенародну справу. Найбільш важливим тут є той факт, що усе більше вільного часу радянські люди використовують на заняття фізичною культурою.

Існують значні можливості економії ресурсів у самій сфері фізичної культури і спорту. Економія може бути досягнута за рахунок зменшення марнотратності, за рахунок дбайливого відношення до спортивної форми, спортивного устаткування й інвентарю, іноді за рахунок скорочення числа непотрібних змагань, що відривають людей від роботи.

Основні резерви економії лежать у раціоналізації організаційної структури сфери фізичної культури і спорту, у зниженні собівартості спортивних послуг, в упорядкуванні і строгому нормуванні витрат усіх видів приваблюваних сюди суспільних ресурсів.

Зростання доходів у сфері фізичної культури і спорту виявляється через прямий касовий виторг спортивних організацій і, побічно, через поліпшення використання трудових ресурсів. Підкреслимо особливу важливість непрямих ефектів для народного господарства країни. Промисловість щорічно втрачає до 6% національного доходу через хвороби робітників та службовців, найчастіше пов'язаних з їх низьким фізичним розвитком та як наслідок зниженою опірністю організму до різних захворювань.

Від розвитку фізичної культури і спорту залежить і збільшення числа працездатних людей у віці старше 55–60 років. Суспільство зацікавлене, щоб вони були здоровими, життєрадісними, могли продовжувати працювати. Тому фізична культура, як засіб перетворення людей похилого віку в активних учасників суспільного виробництва, могла б дати величезний економічний ефект у глобальних масштабах.

Збільшення ефективності сфери фізичної культури і спорту може відбуватися і за рахунок росту прямих економічних ефектів. В даний час фізкультурні і спортивні організації функціонують, головним чином, за рахунок фондів суспільного споживання. Разом з тим зростання добробуту людей дозволяє їм витрачати на заняття фізичною культурою усе більше власних засобів, що дає можливість надавати усе більший обсяг платних послуг.

У цілому зростання прямих і непрямих економічних ефектів в області фізичної культури і спорту може бути досить значним. Діяльність у цій сфері можна організувати на засадах самооплатності, а надалі вона повинна стати важливим джерелом доходів держави.

При визначенні критерію ефективності в сфері фізичної культури і спорту насамперед необхідно з'ясувати, яких результатів потрібно досягти.

Особливість фізичної культури і спорту полягає в тому, що вони мають як «зовнішній» (народногосподарський), так і «внутрішній» (сфера фізичної культури і спорту) аспекти діяльності.

Під «зовнішнім» аспектом мають на увазі вплив фізкультурних і спортивних заходів на різні сторони громадського життя за межами самої сфери фізичної культури і спорту.

Ефективність у сфері фізичної культури і спорту виявляється в наступних факторах:

1) у підвищенні престижу держави. Спорт як соціальний інститут має дуже високий суспільний статус, і перемоги в міжнародних спортивних змаганнях зв'язуються, як правило, з перевагами суспільної системи, є показником життєздатності і здоров'я нації;

2) як міра впливу на виховання мас. Спорт вищих досягнень у силу великого емоційного впливу на глядачів здатний формувати певні моральні, етичні і естетичні ідеали і смаки;

3) у розвитку суспільних відносин, у зміцненні взаємного спілкування різних соціальних груп населення, у підвищенні трудової активності;

4) як міра впливу на матеріальне виробництво, незважаючи на те, що дана галузь відноситься до сфери невиробничої діяльності і не має визначеного матеріального вираження. На конкретному економічному відрізку часу сфера фізичної культури і спорту може перетворитися зі споживача ресурсом суспільства у джерело зростаючих доходів держави.

Таким чином, говорячи про «зовнішній» аспекті ефективності фізичної культури і спорту, важливо розуміти, яке місце займають вони і які потреби у населення вони задовольняють. Ефективність тут, власне кажучи, може бути оцінена в зіставленні суспільних потреб у послугах, наданих фізичною культурою і спортом, з одного боку, і ресурсів суспільства, необхідних для досягнення цих цілей, з іншої.

Під «внутрішнім» аспектом розуміють ефективність функціонування самої сфери фізичної культури і спорту, тобто найбільша віддача від застосування усіх видів ресурсів для подальшого розвитку фізичної культури і спорту. Найбільша ефективність при цьому досягається при раціональному керуванні і умілому використанні економічних методів і важелів керування: планування, господарського розрахунку і т.д.

Упорядкування фінансово-господарської діяльності означає суворе і чітке нормування витрат усіх видів ресурсів. Чим вище економічна організація в області фізичної культури і спорту, тим вагомішим є вплив на показники різних галузей господарювання.

При оцінці результатів діяльності фізичну культуру і спорт необхідно розглядати як галузевий народногосподарський комплекс зі змішаним характером господарювання, де поряд з матеріальним виробництвом існує виробництво послуг. Характерно, що область фізичної культури і спорту охоплює усі види діяльності: виробництво матеріального продукту (спортивного устаткування, інвентарю, товарів), надання матеріальних послуг (прокат інвентарю) і послуг у чистому вигляді (робота тренерів).

1.4 Форми організації фізичного виховання дорослого населення


До цього відносяться форми заняття в секціях спортивного клуба, що сприяють прилученню людей до різних видів спорту, підвищенню рівня їх спортивної майстерності. Навчально-тренувальні заняття проводяться за стабільним розкладом під керівництвом тренера (суспільного тренера) клуба і припускають участь бажаючих, у спортивних змаганнях відповідно до затвердженого плану.

Заняття спортом ефективно впливають на зміцнення здоров'я, процес фізичного удосконалювання, на формування морально-вольових якостей людей. У спортсменів, що пройшли школу спортивної підготовки, більш міцно виховується потреба в систематичних заняттях фізичними вправами на довгі роки, звичка до здорового способу життя. Зростання спортивних результатів розширює уявлення про межі людських можливостей у прояві фізичних і морально-вольових якостей.

Самостійні заняття фізичною культурою, спортом, туризмом дозволяють збільшити загальний час занять фізичними вправами, виконати тижневий обсяг рухової активності, прискорюють процес фізичного удосконалювання, є одним зі шляхів упровадження фізичної культури і спорту в побут і відпочинок дорослого населення. Правильно організовані самостійні заняття забезпечують оптимальну безперервність і ефективність фізичного виховання. Заняття проводяться у неробочий час за завданням тренерів.

Фізичні вправи в режимі дня спрямовані на зміцнення здоров'я, підвищення розумової і фізичної працездатності, оздоровлення умов праці, побуту і відпочинку людей, збільшення бюджету часу на фізичне виховання.

Масові оздоровчі, фізкультурні і спортивні заходи передбачають широке залучення дорослого населення до регулярних занять фізичною культурою і спортом, зміцнення здоров'я, удосконалювання фізичної і спортивної підготовленості студентів. Вони організуються у вільний від основної роботи час, у вихідні і святкові дні, в оздоровчо-спортивних таборах, під час навчальної практики, табірних зборів. Ці заходи проводяться спортивним клубом на основі широкої ініціативи і самодіяльності, при методичному керівництві фахівців з фізичного виховання й активній участі громадських організацій.

 

 


2. Організація і методи дослідження

2.1 Вчення про здоров'я


Один східний мудрець мріяв, щоб у його школі кожен день дітям викладалися чотири предмети: урок здоров'я, урок любові, урок мудрості та урок праці. Як бачимо, урок здоров'я займає першість. Уся людська діяльність зводиться до одного – до задоволення потреби людини до нормального здорового життя

Навчання в школі є важкою роботою, і щоб виконувати цю роботу якісно потрібно мати гарне здоров'я [15].

Людина – перше створіння, яке усвідомило Всесвіт і його еволюцію, виникнення світової системи. В людині природа досягла найвищої складності й досконалості. У людини вперше виникла діалектична єдність біологічного й соціального, матеріального й духовного.

Людина – це найвищий продукт Земної матерії, її тонка й складна система, і щоб її зберегти непошкодженою й цілою, необхідно знати, як функціонує її організм, уміти відновити його роботу, створювати найоптимальніші умови для життєдіяльності.

Людина стає все більш активною і все більш могутньою силою не тільки планетарною, але й космічною. Людина – предмет вивчення багатьох дисциплін.

Для того, щоб людина могла повною мірою відповідати своєму призначенню як вершина природи і виконати історичну місію на Землі і в Космосі, вона повинна бути здоровою як фізично, так і духовно. Спеціальними дослідженнями доведено, що на 50% стан здоров'я залежить від способу життя людини в широкому розумінні слова, 20% здоров'я визначається впливом навколишнього середовища, 20% – спадковістю і тільки 10% – медичною допомогою.

Немає в людини цінності більшої за здоров'я. Відомо, що здоров`я – це те, без чого людина не може бути щасливою. Здоров'я має посідати перше місце в ієрархії потреб людини. Проте, на жаль, ціна здоров'я більшістю людей усвідомлюється тоді, коли вона під черговою загрозою, а то й певною мірою втрачена. Тільки точне знання сутності здоров'я і факторів, що формують його, може стати для людини порадником на шляху до розвитку всіх потенціальних можливостей організму, до життя без хвороб, до активного, творчого довголіття (Муравов І.В., Булич Е.Г., 1997).

Валеологія в перекладі з латинської мови означає «бути здоровим». Це наука про здорових людей. Уявлення про здоров'я є центральним у цій сукупності знань про нього. Особливе значення в розумінні здоров'я має його визначення. Від того змісту, який ми бачимо в здоров'ї, залежать методи і сама спрямованість дисципліни, а також засоби й методи, що використовуються для оздоровчих дій. Наводимо визначення здоров'я Всесвітньої організації охорони здоров'я [14].

Здоров'я – це стан повного психічного, фізичного і соціального благополуччя, а не тільки відсутність захворювань та фізичних вад.

При розкритті поняття здоров'я необхідно використати концепцію цілісності.

Це означає, що здоров'я має розумітися як цілісність, складові частини якої взаємозалежні. Все, що трапиться з якоюсь із них, негайно позначиться на всіх інших. Кожна частина має сприйматися в загальному контексті поняття «здоров'я».

Ми використали символ квітки для того, щоб проілюструвати поняття цілісності. Кожне кільце-пелюстка квітки символізує один з аспектів здоров'я – фізичний, емоційний, розумовий, соціальний, особистий і духовний.

Фізичне здоров'я – функціонування нашого організму й стан здоров'я кожної з його систем. Для нас важливо знати як повинен наш організм функціонувати, як визначити, що все гаразд у нас із здоров'ям.

Розумове здоров'я – це наша здатність отримувати інформацію, це наша обізнаність, звідки отримувати необхідну інформацію, як її використовувати. Ми повинні вміти збирати потрібні знання із різноманітних джерел і бути спроможними використовувати цю інформацію для прийняття рішень стосовно нашого організму.

Емоційне здоров'я – це здатність розуміти наші почуття й виражати їх. Знання про те, як почуваємось ми самі і як почуваються інші, допомагає нам виражати свої почуття у зрозумілий для інших спосіб. Важливо комфортно почувати себе, беручи до уваги діапазон емоцій, і знати, коли людям добре, а коли – ні.

Соціальне здоров'я – це те, як почуваємо ми себе як індивідууми чоловічої або жіночої статі, як ми взаємодіємо з іншими людьми. Нам необхідно розуміти, що дійсно є для нас важливим у стосунках з друзями, сім'єю, коханими і всіма тими, з ким ми взаємодіємо. Ми повинні виробляти вміння, що допоможуть нам у цих стосунках.

Особистісне здоров'я – це відчуття себе як особи, це відчуття розвитку свого «его» («его» – це частина нашої суті, яка вимагає від нас розвитку почуття власної особистості й самовираження), це наші сподівання у досягненнях, це наше уявлення про успіх. Кожний із нас знаходить унікальні способи самовираження, залежно від того, що ми цінуємо й чого ми сподіваємось досягти для себе та суспільства. Наприклад, деякі люди знаходять самовираження в своїй роботі або кар'єрі, інші – в сім'ї, а ще інші – в діяльності на благо інших. Ми можемо визначити для себе те, що принесе задоволення нашому власному «его».

Духовне здоров'я є стеблом і серцевиною квітки, яку ми використовуємо для ілюстрування життєво важливої для всіх аспектів нашого здоров'я. Це стосується суті нашого буття (що ми цінуємо і що є для нас важливим). Це є стрижнем нашого існування, це нас об'єднує і дає можливість зрозуміти співвідношення цього аспекту здоров'я з іншими п'ятьма [15].

Отже, всі шість аспектів здоров'я є важливими і взаємопов'язаними. Ось чому є дуже важливим донести до свідомості учнів поняття цілісності концепції здоров'я.

2.2 Градації, критерії і групи здоров'я


Градації здоров'я. Організм може бути абсолютно здоровим, здоровим задовільно, практично здоровим і нездоровим. Абсолютно здоровим уважається той, у кого всі органи та системи розвинені й функціонують нормально, в них немає ніяких хворобливих відхилень. Як показують всебічні дослідження, абсолютно здорових людей мало – це добре треновані, звичні до навантаження люди: космонавти, пілоти, геологи, окремі фізкультурники й спортсмени. При детальній перевірці у багатьох людей виявляються відхилення, які в звичних умовах ними не відчуваються. Поняття «практично здоровий» означає такий стан організму, при якому окремі порушення не впливають на навчання, роботу й стан організму. Хворобливі явища виявляються у функціональних і структурних змінах в органах і системах органів, спричиняють неприємні суб'єктивні відчуття, біль [15].

Об'єктивне й суб'єктивне здоров'я. Звичайно, суб'єктивне відчуття точно характеризує стан організму, проте буває і так, коли при об'єктивних порушеннях здоров'я ніяких суб'єктивних відчуттів не виникає, і навпаки, при суб'єктивних скаргах не виявляється об'єктивних порушень. Прийнято також поняття «статичне здоров'я» – визначається в період спокою і «динамічне здоров'я» – встановлюється дослідженням показників і після дозованих та граничних навантажень.

Критерії здоров'я

Стан здоров'я визначається за допомогою чотирьох критеріїв: 1) наявність або відсутність хронічних захворювань; 2) рівень функціонального стану основних систем організму; 3) стадії резистентності організму (стійкість, загартованість); 4) рівень досягнутого фізичного розвитку і ступінь його гармонійності.

Відомо, що хвороба може виникати поступово й непомітно. Людина практично здорова до того часу, поки вимоги, що ставляться до її організму, не перевищують його пристосувальних можливостей. Тому здоров'ям називається стан людини, що характеризує працездатність та можливість пристосовуватися до мінливих умов зовнішнього середовища, впливати на фізичні та психічні функції людини. Ці риси можуть зберігатися в умовах дії сильних подразників. Чим краще пристосовується організм, тим ширший у нього діапазон пристосувальних реакцій, тим міцніше здоров'я.

Групи здоров'я

На основі критеріїв розрізняють п'ять груп здоров'я:

Перша група – здорові особи з нормальним психічним і фізичним розвитком (для заняття фізкультурою належать до основної медичної групи) [7].

Друга група – здорові особи з деякими функціональними й морфологічними відхиленнями, що виникли внаслідок перенесеної хвороби, частих простудних захворювань (належать до підготовчої медичної групи).

Третя група – належать особи з хронічними захворюваннями в стані компенсації, з фізичними вадами, які виникли внаслідок травм (спеціальна медична група).

Четверта група – особи з хронічними хворобами в стані компенсації, що значно обмежують її пристосування до зовнішнього середовища та знижують працездатність.

П'ята група – хворі особи в стані декомпенсації, інваліди першої та другої груп.

Бути здоровим – природне прагнення людини. Здорова й духовно розвинута людина гарна, бо вона себе добре почуває, здатна одержувати задоволення від праці, має змогу вдосконалюватися, досягаючи нев'янучої молодості духу й внутрішньої краси. У фізичній культурі та медицині цілеспрямована свідомість здавна розцінюється як могутній фактор, що сприяє мобілізації захисних сил організму як у здорової, так і в хворої людини. Свідомими діями хворий здатний захистити себе від «входу» у хворобу й запобігти розвитку патологічного вогнища збудження, що називається домінантою. Принцип домінанти – це загальний принцип діяльності центральної нервової системи.

Основні ознаки здоров'я: добрий фізичний і розумовий розвиток, високий рівень працездатності й пристосування організму до зовнішнього середовища, що постійно змінюється [4].

До факторів, які зміцнюють здоров'я, необхідно віднести: раціональне харчування, оптимальний руховий режим, загартування, позитивні емоції, перебування на свіжому повітрі й сонці, дотримування особистої гігієни.

До чинників, які негативно впливають на здоров'я (фактори ризику), належать: гіподинамія, неправильне харчування, шкідливі звички, нераціональний спосіб життя.

Розподіл учнів на медичні групи

Учнів, а також членів первинних колективів фізкультури, які навчаються за державними програмами фізичного виховання, розподіляють на медичні групи (основну, підготовчу, спеціальну) за станом здоров'я, фізичним розвитком і рівнем фізичної підготовленості (табл. 1)

Таблиця 1. – Загальні рекомендації до фізичного виховання школярів

Групи

Медична характеристика

Пропоновані заходи

Основна

Особи, які не мають відхилень у стані здоров'я і фізичному розвитку, а також особи з незначними відхиленнями у стані здоров'я, але з достатньою фізичною підготовкою (до 80–93%).

Дозволяється заняття за навчальними програмами фізичного виховання в повному обсязі, складання нормативних вимог, заняття в одній із спортивних секцій і участь у змаганнях з одного виду спорту.

Підготовча

Особи з незначними відхиленнями в стані здоров'я (переважно функціонального характеру), що не мають достатньої фізичної підготовки. До цієї групи можуть бути віднесені обстежувані із слабким фізичним розвитком і такі, що раніше не займалися фізичною культурою (від 5 до 15%).

Призначені в підготовчу групу, готові до занять з навчальних програм фізичного виховання у повному обсязі, але матеріал проходять поступово і складають контрольний норматив, їм рекомендуються заняття в секціях загальної фізичної підготовки (центри здоров'я).

Спеціальна

Належать особи, що мають у стані здоров'я і фізичному розвитку певні відхилення постійного або тимчасового характеру, які не є протипоказанням до навчання або виконання виробничої роботи, але потребують заборони занять за програмою фізичного виховання для навчальних закладів.

Здоров'я дозволяє заняття за спеціальними програмами індивідуально чи в спеціальних групах під постійним лікарським наглядом.


При правильній постановці фізичного виховання протягом одного навчального року значно поліпшується здоров'я, фізичний розвиток і підготовленість, що дає можливість при повторному медичному огляді перевести із спеціальної групи в підготовчу і з підготовчої – в основну.

2.3 Визначення рівня здоров'я


Рівень здоров'я можна встановити в найбільш простому й доступному для школи варіанті, показавши його кількісно в умовних одиницях – балах або очках. При цьому враховуються такі показники: вік, співвідношення між зростом і масою тіла, ступінь отруєння організму палінням, стан серцевої діяльності в спокої, ступені відновлення серцевої діяльності після навантаження та активної м'язової діяльності.

1. Оцінка здоров'я за віком. Кожний рік життя дає один бал, наприклад, для підлітків 14 років – 14 балів [10].

2. Оцінка здоров'я за співвідношенням зросту і маси тіла. Вимірюють зріст учня в сантиметрах (без взуття) і його масу в кілограмах. У нормі маса тіла повинна відповідати зросту мінус 100. При цьому для оцінки здоров'я за віком додається 30 балів. Наприклад, якщо зріст дорівнює 150 см, а маса тіла буде нижчою норми (наприклад, 45 кг), то для оцінки додається ще та кількість одиниць, на яку менша маса. Зайва маса оцінюється негативно, бо, як звичайно, виникає внаслідок ожиріння і становить додаткове навантаження на серце. Через це зайва кількість одиниць маси віднімається від 30 балів. Наприклад, якщо учень важить 55 кг, то від 30 балів віднімають 5 і до 14 додають 25 одиниць.

3. Погіршення стану здоров'я у курців. Науково доведено, що тютюновий дим отруює організм, завдає шкоди здоров'ю. Через те для тих, хто курить, від одержаної суми балів здоров'я за віком і масою тіла віднімають стільки одиниць, скільки цигарок викурює досліджуваний за добу.

Ще більше знижується здоров'я при систематичному вживанні алкоголю.

4. Оцінка статичного здоров'я. Визначається за частотою пульсу за 1 хв. у спокої. Якщо пульс у стані спокою нижче 90, то за кожний удар до оцінки здоров'я додається одиниця. Якщо ж частота пульсу вища 90, то за кожний удар знижується оцінка на одиницю [14].

5. Оцінка динамічного здоров'я. Здійснюється за швидкістю відновлення пульсу після дозованого навантаження. Досліджується частота пульсу в спокої і після двохвилинного бігу на місці. Через чотири хвилини повторюється підрахунок частоти пульсу. Якщо вона дорівнює вихідній, то до загальної суми балів додається ще 30 одиниць. Якщо пульс залишається вищим, ніж у стані спокою, то від 30 віднімається відповідна кількість одиниць і залишок додається до загальної суми балів.

6. Оцінка здоров'я за активною м'язовою діяльністю. Якщо досліджуваний щоденно бігає протягом 12 хвилин, плаває або їздить на велосипеді, робить ранкову гімнастику, то йому до 47 загальної суми балів додається 30 балів. Якщо досліджуваний не виконує ніяких вправ, то від загальної суми віднімається 10 балів. Якщо досліджуваний веде малорухомий спосіб життя, то віднімається 20 балів.

Після складання показників рівень здоров'я оцінюється так:

менше 20 балів – незадовільний, загрозливий стан;

від 21 до 60 балів – відносно задовільний стан, «практично здоровий»;

від 61 до 100 балів – здоров'я середнє і вище середнього;

101 і більше – добре здоров'я.

Висновок. Для поліпшення стану свого здоров'я слід упорядкувати режим дня і харчування, обов'язково робити ранкову гімнастику, бігати, вести рухливий спосіб життя, загартовувати свій організм.

Індивідуальний тест здоров'я

1. Ранкова гігієнічна гімнастика: щоденно – 0 балів, 2–3 рази на тиждень – 5 балів, не виконуєте – 10 балів.

2. Засоби доставки на роботу (школу); загальним (міським) транспортом – 5 балів, машиною -10 балів, велосипедом, пішки – 0 балів.

3. Маса тіла: нормальна – 0 балів, а за кожні 5 кг вища норми – 5 балів.

4. Куріння: некурець – 0 балів, 10 сигарет за добу – 5 балів, пачка – 10 балів.

5. Споживання з харчами: багато масла, яєць, вершків – 5 балів; багато цукру, вуглеводів – 5 балів; ситна вечеря після 19-ї години – 5 балів.

6. Виробнича гімнастика: виконується – 0 балів, без неї – 5 балів.

7. Регулярність занять фізичними вправами: не проводяться – 10 балів, 2–4 години на тиждень – 5 балів, 8 годин на тиждень – 0 балів.

8. Споживання алкогольних напоїв: без них – 0 балів, під час свят – 5 балів, систематично – 10 балів [15].

Після підрахунку балів слід встановити, що сума балів менша 25 характеризує здоровий спосіб життя, 26–50 балів – спосіб життя достатньо здоровий, але при умові корекції звичок його можна значно поліпшити, 51 і більше – неправильний спосіб життя, який потребує негайно змінити звички.

Самооцінка здоров'я за Войтенко В.П.

Питання

Відповідь

Оцінка

1. Чи турбує Вас головний біль?

2. Чи можна сказати, що Ви легко прокидаєтесь від будь-якого шуму?



3. Чи турбує Вас біль в області серця?



4. Чи вважаєте Ви, що у Вас погіршився зір?



5. Чи вважаєте Ви, що у Вас погіршився слух?



6. Чи намагаєтесь Ви вживати кип'ячену воду?



7. Чи турбує Вас біль в суглобах?



8. Чи впливає на Ваше почуття зміна погоди?



9. Чи бувають у Вас періоди, коли після хвилювання важко заснути?



10. Чи турбує Вас затвердіння?



11. Чи турбує вас біль в області печінки?



12. Чи буває у Вас головокружіння?



13. Чи стало Вам важче зосереджуватись, ніж раніше?



14. Чи турбує Вас послаблення пам'яті?



15. Чи відчуваєте Ви у різних областях тіла поколювання, «повзання мурашок»?



16. Чи турбує Вас дзвін, або шум у вухах?



17. Чи тримаєте Ви для себе в домашній аптечці один з наступних медикаментів: нітрогліцерин, валідол, серцеві краплі?



18. Чи бувають у Вас на ногах набряки?



19. Чи доводиться Вам відмовлятись від деяких страв?



20. Чи буває у вас задуха при швидкій ходьбі?



21. Чи турбує Вас біль в області попереку?



22. Чи вживаєте у лікувальних цілях мінеральну воду?



23. Чи можна сказати, що Вам не важко у певній ситуації розплакатись?



24. Чи ходите Ви на пляж?



25. Чи бувають у Вас періоди, коли Ви відчуваєте себе радісно, збудженим, щасливим?



26. Чи вважаєте Ви, що зараз Ви також працездатні, як і раніше?



27. Як Ви оцінюєте стан свого здоров'я?





На перші 26 запитань передбачені відповіді «так» або «ні», на останнє «добрий», «задовільний», «поганий», «дуже поганий». За перші 26 запитань респонденту нараховується 1 очко за кожну несприятливу відповідь, якщо відповідь сприятлива – 0 очок. Підсумкова цифра дає кількісну самооцінку здоров'я. Відповідно, якщо на останнє питання дана відповідь «поганий», «дуже поганий», додається 1 очко. Оцінка анкети визначається за таблицею 2.

Таблиця 2 – Оцінка анкети на предмет здоров'я

Кількість очок

Стан здоров'я

0–3

4–7

8–13

14–20

21–27

Ідеальний

Добрий

Посередній

Задовільний

Незадовільний


2.4 Самооцінка культури здоров'я


І.І. Брехман, засновник вчення, про здоров'я, стверджував, що збереження і відтворення здоров'я перебуває в прямій залежності від рівня культури є мірою усвідомлення й оволодіння людиною свого ставлення до самої себе, до суспільства, до природи, степенем і рівнем саморегуляції її власних потреб. Культура – це особливого роду ставлення до себе, яке властиве тільки людині. Тому необхідно прагнути, щоб учні набули такі знання й навички щодо здоров'я, які б стали буттям, увійшли в культуру, в побут, у звички [11].

Рівень культури здоров'я учнів старшого шкільного віку можна визначити за допомогою розробленої нами методики самооцінки.

Таблиця 3 – Самооцінка культури здоров'я підлітків

№№ п/п

Показники (критерії) культури здоров'я

Самооцінка за п'ятибальною системою

Оцінка батьків

1

Духовний розвиток



2

Культура мови

Культура спілкування



4

Культура поведінки



5

Культура емоцій



6

Розумовий розвиток



7

Розумова працездатність



8

Культура розумової праці



9

Культура фізичної праці



10

Художньо-естетична культура



11

Культура тіла



12

Фізичний розвиток



13

Фізична працездатність



14

Фізична культура



15

Гігієнічна культура



16

Екологічна культура «'



17

Постава



18

Психофункціональний стан



19

Культура статевих стосунків



20

Побутова культура



21

Самоконтроль у режимі дня



22

Руховий режим



23

Режим дня



24

Раціональне харчування



25

Маса тіла



26

Гігієна зору



27

Здоровий спосіб життя



28

Аутогенне тренування



29

Культура зовнішності й ходи



30

Родовід за батьківською та материнською лініями



31

Шкідливі звички



32

Загартування



33

Активний відпочинок



34

Ранкова гігієнічна гімнастика



35

Статичне здоров'я за пульсом у стані спокою



36

Динамічне здоров'я (швидкість відновлення пульсу після дозованого навантаження)



37

Тривалість затримки дихання на вдиху (е)



38

Відвідування лазні



39

Артеріальний тиск (мм. рт. ст.)



Максимальна сума всіх показників – 200 балів. За сумою набраних балів визначається рівень (високий, вищий за середній, середній, нижчий за середній, низький) та оцінка культури здоров'я (відмінно, добре, задовільно, незадовільно, погано).

Таблиця 4 – Шкала оцінки рівня культури здоров'я

Бали

Рівень культури здоров'я

Оцінка рівня культури здоров'я

200–161

Високий

Відмінно

160–121

Вищий за середній

Добре

120–81

Середній

Задовільно

80–41

Нижчий за середній

Незадовільно

40–1

Низький

Погано

Примітки:

1. Дитина до 6 років набуває близько 20% знань культури здоров'я. Решта – 80% – набуваються в шкільному віці.

2. Для багаторазового користування таблицею оцінки виставляйте олівцем.

3. Наполегливо набувайте знань і підвищуйте оцінки, щоденно вдосконалюйте себе. Перевіряйте свої досягнення не менше 2–3 разів на рік.

4. На основі загальної оцінки культури здоров'я складайте програму збереження і зміцнення здоров'я.

Творчо організований навчально-виховний процес школярів дозволяє ефективно розв'язувати проблеми морального й духовного вдосконалення, формувати культуру здоров'я. Одним з провідних принципів організації всебічного виховання повинен стати принцип «У здоровому тілі – здоровий дух». Цей принцип дає можливість сформувати в учнів образ фізичного «Я», який містить усвідомлення тіла, зовнішності, фізичних якостей, особливостей статі. З морально-духовного погляду далеко не байдуже, яким за змістом буде цей образ, оскільки він виступає специфічним посередником. Особливо дається взнаки образ фізичного «Я» в підлітковому та юнацькому віці [4].

Знання про культуру здоров'я дозволять учням сформувати свідоме дбайливе ставлення до здоров'я як найвищої цінності, умови реалізації духовного, творчого й фізичного потенціалу, ефективного методу профілактики інфекційним, соматичним та психічним захворюванням, травматизму та нещасним випадкам, здобути вміння першої медичної само- і взаємодопомоги, навчитися застосовувати засоби нетрадиційної медицини, самооздоровлення та запобігання несприятливим чинникам довкілля.

Формування культури здоров'я – це надійний і доступний шлях самореалізації, розвитку свого потенціалу, запрограмованого біологічного й вдосконаленого соціально, шлях керування своїм здоров'ям і підтримання його на творчо-активному рівні. Глибокі знання й звички щодо культури здоров'я навчають учнів цінувати життя як власне, так і людей, що оточують.

2.5 Визначення фізичного стану людини


Останнім часом у науковій і методичній літературі поряд з терміном «фізична працездатність» використовується поняття «фізичний стан».

Поняття «фізичний стан» рівнозначне терміну «фізична кондиція». Під «фізичним станом» ряд дослідників нерідко розуміє готовність людини до виконання фізичної роботи, фізичних занять фізичними вправами і спортом. Поняття «фізичний стан» окремими авторами порівнюється з рівнем розвитку максимальних аеробних можливостей людини, які є кількісною мірою динамічного здоров'я.

Визначити фізичний стан у звичайних умовах можна за допомогою таких методів [15].

1. Гарвардський степ-тест. Тест передбачає сходження (піднімання) на сходинку: для чоловіків висота 50 см, для жінок – 43 см при частоті 30 за 1 хв. (темп метронома встановлюється на 120 уд./хв. тривалістю 5 хв.). Кожне піднімання складається з чотирьох кроків. Після закінчення роботи в обстежуваного у положенні сидячи підраховується ЧСС у перші 30 с на 2-й, 3-й і 4-й хвилині відновлення. Обчислення індексу Гарвардського степ-тесту за формулою:

                                   (1)

де t – час сходження в с;

П1, П2, П3, – частота пульсу на 2-й, 3-й і 4-й хвилинах відновного періоду.

Фізична працездатність за індексом Гарвардського степ-тесту оцінюється за шкалою:

ІГСТ

Оцінка

55

низька

55–56

нижча середньої

65–79

середня

80–89

добра

90

відмінна


II. Проба Руф'є – непрямий метод визначення фізичної працездатності осіб з відхиленням у стані здоров'я.

Метод ґрунтується на врахуванні величини пульсу, зафіксованого на різних етапах відновлення після відносно невеликого навантаження. Використовується 30 присідань за 45 с або 3-хвилишшй степ-тест. Пульс визначається після 5 хвилин відпочинку в положенні лежачи (сидячи) за 15 с до навантаження, в перші й останні 15 с – на першій хвилині відновлення.

Для оцінки працездатності визначають індекс Руф'є.

                                 (2)

де П1 – вихідний пульс,

П2 – пульс після навантаження,

П3 – в кінці 1-ї хвилини відновлення.

Якщо індекс Руф'є менший 3 – фізична працездатність висока, 4–5 – добра, 7–10 – середня, 10–15 – задовільна, 15 і більше – незадовільна.

ІІІ. Масовий тест оцінки фізичного стану осіб різного віку

Запропонований тест оцінки розроблений О.А. Пироговою, Л.Я.Іващенко, Н.П. Страпко та ін. (1984).

Тест дозволяє оцінити фізичний стан у балах. Він містить 7 показників.

1. Характер трудової діяльності. Розумова праця оцінюється в 1 бал, фізична – в 3 бали.

2. Вік. У 20 років нараховуються 20 балів. За кожні наступні п'ять років життя віднімаються 2 бали. Наприклад, у 45 років нараховуються 10 балів [4].

3. Рухова активність. Заняття фізичними вправами 3 і більше разів на тиждень протягом 30 хв. і більше оцінюється 10 балами, менше 3 разів на тиждень – 5 балів, хто не займається – бали не нараховуються.

4. Маса тіла. Особи, які мають нормальну масу тіла, отримують 10 балів (перевищення маси на 8% вище норми). Перевищення маси на 6–14 кг вище норми оцінюється в 6 балів, на 15 кг і більше – 0 балів.

Нормальна маса тіла для осіб чоловічої і жіночої статі визначається за формулою:

                               (3)

1. Пульс у спокої. За кожний удар пульсу нижче 90 за 1 хв. нараховується 1 бал. Оцінюється в балах різниця між цифрою до і вихідними показниками в спокої. При пульсі вище за 90 ударів на хвилину бали не нараховуються.

2. Артеріальний тиск. Особи, в яких артеріальний тиск не більший 130/80 мм рт. ст., отримують 20 балів. За кожні 10 мм рт. ст. систолічного й діастолічного тиску вище цієї величини нараховується 5 балів.

3. Скарги. При відсутності скарг нараховується 5 балів, а при їх наявності бали не нараховуються.

Після підсумування отриманих балів фізичний стан визначається за наведеною нижче шкалою:

Рівень фізичного стану

Оцінка, бали

низький

високий

середній

45 і менше

46–74

75 і більше



3. Результати власних досліджень і їх обговорення

Нами було проведено дослідження у формі опитування дорослого населення віком від 30 до 50 років. Було опитано 300 чоловіків та 300 жінок.

Опитування проводилося за такими питаннями:

Вік

Освіта

Відношення до занять спортом:

Самостійно (бігом, футболом, аеробікою)

Секції?

Яким видом?

Скільки разів на тиждень?

Якщо не займаєтесь, то чому?

Чи любите дивитись спортивні передачі по телебаченню?

Назвіть відомих вам спортсменів.

В результаті проведеного опитування ми одержали такі результати:

1. серед опитаних чоловіків 100 мають вищу освіту, 110 середню, 100 – середньо-спеціальну; серед жінок – 140 мають вищу освіту, 130 – середню, а 20 – середньо-спеціальну.

2. серед опитаних чоловіків 240 виявляють позитивне ставлення до спорту, 36 – негативне, решта 24 – утримались від відповіді; серед жінок 190 виявили позитивне ставлення до занять спортом, 50 – негативне, решта 60 – утримались від відповіді.

3. відносно питання скільки людина займається спортом і чи займається взагалі ми одержали в переважній більшості варіант – мало вільного часу. Серед опитаних «так» відповіли 170 чоловіків та 140 жінок; стан здоров`я не дозволяє: 100 чоловіків та 120 жінок; не хочу: 30 чоловіків та 40 жінок.

4. на питання чи любити ви дивитись спортивні телепрограми відповіді були такими: 280 чоловіків та 200 жінок – люблять, 190 серед чоловіків та 120 серед жінок, серед опитаних чоловіків 140 займаються футболом, 80 – бігом, 20 – плаванням, 60 – лижним спортом; серед жінок: 50 займаються бігом, 130 – аеробікою, 10 – тенісом, лижним спортом – 10.

Результати проведеного опитування можемо представити у вигляді діаграм.

Рис. 1. Ставлення до занять фізичною культурою та спортом

Рис. 2. Причини, які перешкоджають займатися спортом

Рис. 3. Ставлення до спортивних телепередач

Рис. 4. Види спорту, якими займаються

Отже, можемо зробити висновок, що більшість людей виявляють позитивне ставлення до занять спортом, люблять дивитися спортивні телепрограми, а заважає займатися спортом брак вільного часу.

Найбільш популярними видами спорту серед чоловіків є:

1) футбол;

2) біг;

3) лижний спорт.

Найбільш популярними видами спорту серед жінок є:

1) аеробіка;

2) біг;

Висновки


Вагомих успіхів у розвитку фізичної культури можна досягти лише за умови його надійного правового, програмового та нормативного забезпечення, що виражається у конкретних документах і матеріалах, розроблених державними органами управління у сфері фізичної культури і спорту. До них належать: Закон України «Про фізичну культуру і спорт», Державна програма розвитку фізичної культури, Державні вимоги до фізичного виховання, навчальні програми для всіх ланок системи (починаючи з дітей дошкільного віку і до військовослужбовців), національна спортивна класифікація, Державні тести і нормативи оцінки фізичної підготовленості населення України. Закон України «Про фізичну культуру і спорт» прийнятий у грудні 3993 року. Він визначає цінність фізичної культури і спорту для здоров'я, фізичного і духовного розвитку населення, утвердження міжнародного авторитету України у світовому співтоваристві.

Відповідно до Закону держава регулює відносини у сфері фізичної культури і спорту шляхом формування державної політики в цій сфері, створення відповідних державних органів та умов їх функціонування. Законом гарантуються права громадян на заняття фізичною культурою і спортом; визначаються і характеризуються сфери та напрямки впровадження фізичної культури.

Діяльність з фізичного виховання в суспільстві забезпечує наступність у розвитку фізичної культури, виступаючи своєрідним каналом передачі досягнень у цій сфері від покоління до покоління. Будучи невід'ємною частиною загального виховання, фізичне – відіграє суттєву роль у реалізації і виховних завдань, продиктованих потребами суспільства у цілеспрямованому впливі на розвиток людини.

Специфічний зміст у фізичному вихованні мають фізична освіта і вдосконалення фізичних якостей. Прикладним результатом фізичного виховання, якщо розглядати його стосовно практичної діяльності людей, є фізична підготовленість, втілена в підвищенні працездатності, рухових уміннях і навичках. У цьому зв'язку фізичне виховання можна розглядати як Процес фізичної підготовки людини до повноцінної життєдіяльності.

Обов'язковою умовою високоефективного фізичного виховання є створення належної матеріальної бази. Повинні застосовуватись комп'ютерна техніка, діагностична апаратура, медико-контрольні та вимірювальні прилади, світло звукові технічні засоби, спеціальні пристрої для опанування техніки рухових дій, різноманітні тренажери.

Фізична досконалість є історично сформоване представлення про міру здоров'я і рівень всебічної фізичної підготовленості, що найбільш оптимально відповідають вимогам трудової, суспільної, військової діяльності і творчому довголіттю людей.

Здоров'я – це стан повного психічного, фізичного і соціального благополуччя, а не тільки відсутність захворювань та фізичних вад. Організм може бути абсолютно здоровим, здоровим задовільно, практично здоровим і нездоровим. Абсолютно здоровим уважається той, у кого всі органи та системи розвинені й функціонують нормально, в них немає ніяких хворобливих відхилень. Стан здоров'я визначається за допомогою чотирьох критеріїв: 1) наявність або відсутність хронічних захворювань; 2) рівень функціонального стану основних систем організму; 3) стадії резистентності організму (стійкість, загартованість); 4) рівень досягнутого фізичного розвитку і ступінь його гармонійності. На основі критеріїв розрізняють п'ять груп здоров'я.

Формування культури здоров'я – це надійний і доступний шлях самореалізації, розвитку свого потенціалу, запрограмованого біологічного й вдосконаленого соціально, шлях керування своїм здоров'ям і підтримання його на творчо-активному рівні.

В ході дослідження ми виявили, що більшість людей позитивно відносяться до фізичної культури та спорту, цікавляться спортивними новинами, знають відомих спортсменів, але за браком часу не мають можливості займатися спортом.

 

 


Рекомендації


1. Вагомих успіхів у розвитку фізичної культури можна досягти лише за умови надійного нормативного забезпечення. У фізичному вихованні широко застосовуються нормативні способи кількісного визначення постановки завдань і оцінки результатів їх виконання. Тестові завдання розробляються відповідно для кожної вікової та статевої групи школярів.

2. Розвиток фізичних якостей людини, носить гетерохронний характер. Сенситивні періоди спостерігаються в різні вікові періоди для кожної фізичної якості. Це досить важливий момент, який потрібно враховувати в практиці фізичного виховання.

3. Значний вплив на динаміку та рівень розвитку фізичних якостей має руховий режим і спеціально спрямована робота з виховання фізичних якостей. Для оцінки рівня розвитку фізичних якостей використовують різноманітні контрольні вправи, тестовий контроль.


Список використаної літератури


1. Минаев Б.Н., Шиян Б.М. Основы методики физического воспитания школьников. – М., 1989.

2. Теория и методика физического воспитания. / Под ред. Шияна Б.М. – М., 1988. – 284 с.

3. Теория и методика физического воспитания. / Под ред. Ашмарина Б.А. – М., 1990. – 325 с.

4. Шиян Б.М. Методика фізичного виховання школярів (Практикум). – Львів: Світ, 1993. – 184 с.

5. Шиян Б.М. Теорія і методика фізичного виховання школярів. В 2-х частинах: Навчальний посібник. – Тернопіль, 2001.

6. Коробейников Н.К. и др. Физическое воспитание: Учебное пособие. – М.: Высшая школа, 1989. – 383 с.

7. Наумчук И.И. Развитие теории и практики физического воспитания. – М., 1989.

8. Положення про колектив фізичної культури в школі. 1992.

9. Положення про фізичне виховання учнів загальноосвітньої школи. 1992.

10.  Приступа Е.М., Пилат В.С. Традиції української національної фізичної культури. Львів, 1991.

11.  Станкин М.И. Теория и практика физической культуры. – М., 1972.

12.  Физическая культура в школе. Методика уроков в ІХ – Х классах./ Под ред. З.И. Кузнецовой. – М.: Просвещение, 1973, 293 с.

13.  Физическая культура и спорт в общеобразовательной школе. Пособие для учителя. / Под ред. Д. Рупы. – М.: Просвещение, 1985. – 87 с.

14.  Абаскалова Н.П. Теорія і практика формування здорового способу життя учнів і студентів у системі «школа-вуз»: Автореф. докт. дис. Барнаул, 2000. – 48 с.

15.  Больсевич В.К., Лубышева Л.И. Фізична культура; молодь і сучасність // Теор. і практ. фіз. культ., 1995, №4, с. 2–7.

16.  Валеология: Програма для учнів 1–11-х класів загальноосвітніх шкіл /Під общ. ред. О.Л. Трещевой Омськ, 1999. – 70 с.

17.  Валеологія – наука про здоровий спосіб життя. Інформативно-методичний збірник. Випуск 1. – К., 1996. – 336 с.

18.  Вакулов А.Д., Бутин И.М. Развитие физических способностей детей: книга для малишей и их родителей. – М., 1996.

19.  Новосельский В.Ф. Азбука физической закалки детей. – К., 1991.

20.  Основы валеологии. В 3-х книгах. / Под ред. В.П. Петленко. – К.: Олимпийская литература, 1998.

21.  Павлова И.В. Удосконалювання валеологического утворення студентів фізкультурного вузу; Автореф канд. дис. Омськ, 1999. – 20 с.

22.  Столярів В.И., Биховська И.М., Лубишева Л.И. Концепція фізичної культури і фізкультурного виховання (інноваційний підхід) // Теор. і практ. фіз. культ., 1998, №5, с. 11–15.

23.  Татарникова Л.Г. із соавт. Валеология – основа безпеки життя дитини. – СПб: Петрос, 1997. – 240 з

24.  Свириденко С. Дбаємо про здоров’я дітей: Програма основ здорового способу життя. Початкова школа, – 1998, №9.

25.  Трещева О.Л. Програмно-методические основы обучения здоровому образу жизни учащихся. Теория и практика физической культуры. 2000. №10.

26.  Физкультурно-оздоровительная работа в школе: Пособие для учителя. /Под ред. А.М. Шлемина. – М., 1988.

27.  Формирование здорового способа жизни молодежи (медико-социальные аспекты) / А.В. Мартыненко, Ю.В. Валентик и др. – М.: Медицина, 1988. – 192 с.

28.  Язловецький В.С., Язловецька О.В. Учням про здоров`я. – Кіровоград, 2000. – 212 с.

Похожие работы на - Ставлення дорослого населення до фізкультури і спорту

 

Не нашли материал для своей работы?
Поможем написать уникальную работу
Без плагиата!
Без нейросетей!