Електровимірювальні прилади

  • Вид работы:
    Курсовая работа (т)
  • Предмет:
    Физика
  • Язык:
    Русский
    ,
    Формат файла:
    MS Word
    1002,68 kb
  • Опубликовано:
    2011-02-14
Вы можете узнать стоимость помощи в написании студенческой работы.
Помощь в написании работы, которую точно примут!

Електровимірювальні прилади

Содержание

Вступ

І. Теоретична частина

1.1 Принципи побудови цифрових електровимірювальних приладів

1.2 Цифрові частотоміри

1.3 Вібраційні частотоміри

1.4 Аналогові частотоміри

1.5 Електромеханічні частотоміри

1.6 Вимірювальний перетворювач частоти в струм

1.7 Гетеродинний вимірювальний перетворювач частоти

1.8 Частотомір із перетворенням похибки квантування в інтервал часу

ІІ. Механічна частина

2.1 Вимірювання частоти електричної напруги

2.2 Відношення двох частот

2.3 Похибки вимірювання частоти і інтервалів часу

2.4 Резонансний метод вимірювання частоти

2.5 Вимірювання частоти за допомогою осцилографа

III. Техніка безпеки

3.1 Класифікація приміщень за електробезпекою

3.2 Електрична ізоляція

Список рекомендованої літератури

Вступ


Електротехніка - область науки і техніки, яка займається вивченням електричних і магнітних явищ і їх використанням в практичних цілях.

Можна виділити три основних напрями електротехніки:

· перетворення різних видів енергії природи в електричну енергію;

· перетворення одних елементів природи в інші;

· прийом і передача інформації.

Науково-технічний прогрес не можливий без електрифікації всіх галузей народного господарства. Його потреби без перестану ростуть, що призводить до збільшення виробництва.

В умовах науково технічної революції особливо чітко проявився діалектичний зв'язок науки, техніки і виробництва. Наука стала невід’ємною виробничою силою, а наукові досягнення стали в значній мірі залежними від степеня розвитку і можливостей сучасних технологій.

Електротехнікою називають область науки, техніки і виробництва, в якій розробляються принципи виробництва і удосконалення електричних приладів, методи їх інженерного розрахунку і технологічного забезпечення, способи розробки електричних систем для потреб народного господарства.

Велике використання електричної апаратури зумовлено її швидкою роботою, точністю, високою чутливістю, малою затратою енергії, постійно зростаючою економністю.

Електронні прилади задають основу для найважливіших видів сучасного зв’язку, автоматики, вимірювальної техніки. Вони допомагають проникнути в секрети електросвітлу і безмежно-великого космосу, виміряти електричні потенціали живої клітини і атомні шерховатості обробляємої поверхні.

Ці прилади перетворюють енергію сонячної радіації в електричну енергію, яка йде на безперервну роботу супутників, забезпечує енергією малі підприємства, та йде на інші потреби населення.

На основі електроніки реальний перехід до повністю автоматизованого виробництва. Уже зараз широко застосовують станки з цифровим програмним керуванням і промислові роботи.

Якісним стрибком у розвитку електроніки було винайдення в останні два десятиліття мікросхем з послідовно і швидко зростаючим ступенем інтеграції електричних елементів: ІС, БІС, СБІС.

Перехід цифрової обчислювальної техніки на електронну, а потім і на мікроелектронну базу відкрив нові перспективи подальшої автоматизації процесів управління аж до розробки автоматів наділених штучним інтелектом.

У наш час електричні вимірювання й електричні прилади посідають одне з чільних місць у житті цивілізованого людства. За частотою застосувань електричні вимірювання поступаються хіба що лише вимірюванням довжини, маси та температури. Електричні вимірювання застосовуються не лише для вимірювань власне електричних величин (напруги, струму, потужності, енергії, опору, частоти, зсуву фаз, ємності та ряду магнітних величин), а й при використанні перетворювачів для вимірювання багатьох неелектричних величин (тиску, температури, швидкості, параметрів вібрації, рівня рідин та сипучих матеріалів, витрати рідин та газоподібних речовин, величин пружних деформацій, відстаней тощо).

Найбільшого розмаїття електровимірювальних приладів досягнуто в енергетиці. Без застосування електровимірювальних приладів була б неможливою робота сучасних електричних станцій, де нормальна дія кожного енергоблоку може підтримуватись персоналом лише на основі аналізу інформації, що надходить від багатьох десятків (а іноді й сотень) приладів, які контролюють безліч параметрів енергоблоку. При цьому чи не найбільша частина цих електричних приладів контролює неелектричні величини.

В енергетиці електровимірювальні прилади використовують не тільки для поточного контролю роботи енергообладнання, а й для пошуку його пошкоджень. Причому саме за допомогою електричних вимірювань візуально недосяжні пошкодження обладнання знаходять найшвидше і найточніше. Як приклад можна навести пошук місця пошкодження електричного кабелю вимірюванням електричного опору з двох кінців вимкненого кабелю (в разі короткого замикання між його струмопровідними жилами), чи вимірюванням ємності між жилами (в разі розриву якоїсь із жил). Зауважимо, що без застосування електричних вимірювань визначити місце пошкодження було б практично неможливо.

Потенціальні можливості промисловості, що виробляє електровимірювальні прилади, в Україні надзвичайно великі й значною мірою перевищують потреби країни у цих приладах, бо у масштабах колишнього СРСР Україна з електроприладобудування посідала одне з провідних місць. Заводи, що виробляють засоби електричних вимірювань, є у багатьох містах країни, зокрема у Києві, Львові, Севастополі, Луцьку та ін.

І. Теоретична частина

1.1 Принципи побудови цифрових електровимірювальних приладів


Принципово будову більшості цифрових електровимірювальних приладів може бути пояснено на основі структурної схеми, зображеної на рис.1, де X - вхідна (вимірювана) величина; ВП - вхідний пристрій; АЦП - аналого-цифровий перетворювач; ОП - обчислювальний пристрій; ДКП - декодуючий пристрій; ПІ - пристрій індикації; ПУ - пристрій управління; БЖ - блок живлення.

Рис.1 Структурна схема цифрового приладу

 

У вхідному пристрої ВП, залежно від розміру вхідної величини X, автоматично вмикається потрібний діапазон вимірювання з одночасною подачею через пристрій управління ПУ, команди на пристрій індикації ПІ про положення коми між цифрами Індикатора та про індикацію знаку вхідної величини. У цьому ж пристрої може відбуватися перетворення вимірюваної величини в напругу постійного струму або в інтервал часу, чи в частоту електричних імпульсів. У аналого-цифровому перетворювачі АЦП виконується перетворення сигналу, що надходить сюди з вхідного пристрою ВП, у цифрову форму з видачею цифрових кодових сигналів для подальшої обробки, яка проходить у обчислювальному пристрої ОП. Далі цифровий сигнал проходить до декодуючого пристрою ДКУ, де він перетворюється у форму, придатну для сприйняття пристроєм індикації ПІ, щоб висвітлити число, що показує вимірювану величину X.

Водночас цифровий сигнал, після виходу його з обчислювального пристрою, може передаватися на реєструючий пристрій РП і на електронно-обчислювальну машину ЕОМ для подальшої реєстрації (друкування) чи обробки.

Пристрій управління ПУ регламентує роботу всієї вимірювальної схеми приладу, а блок живлення БЖ забезпечує живлення кожної зі складових частин приладу напругою потрібної величини при необхідній потужності для кожної з них.

1.2 Цифрові частотоміри


Принцип дії цифрових частотомірів заснований на підрахунку числа періодів вимірюваної невідомої частоти за точно відомий відрізок часу.

Структурно-функціональну схему такого цифрового частотоміра зображено на рис.2, а. Епюри напруг, що відповідають позначеним літерами ділянкам наведеної схеми частотоміра, показано на рис.2, б.

На схемі позначено: Щ - напруга невідомої вимірюваної частоти, Ф2 - формувач імпульсів вимірюваної частоти, К - електронний ключ, КГ - кварцовий генератор точно відомої високої частоти, Ф1 - формувач прямокутних імпульсів частоти, генерованої кварцовим генератором КГ, ПЧ - подільник частоти, ФІЧ - формувач імпульсів точного часу, Л - декадний лічильник, ДШ - дешифратор, ПІ - пристрій індикації.

Головним вузлом, що забезпечує точність виміру частоти в цьому приладі, є кварцовий генератор високої частоти. Власне висока частота тут не потрібна, але кварцові генератори саме на високій частоті здатні працювати з високою точністю і за прийнятних розмірів кварцової пластини. Щоб запобігти впливу температури середовища на частоту кварцового генератора, всі його частини вміщено в термостат обмеженого об'єму з власним нагрівачем та автоматичним регулятором температури. Це забезпечує стабілізацію температури всередині термостата на рівні 50.60°С незалежно від температури довкілля, що змінюється у нормальних межах, тобто не перевищує 40°С.

Для більш чіткої роботи інших елементів схеми синусоїдальна напруга кварцового генератора перетворюється формувачем Ф1 на послідовність імпульсів напруги майже прямокутної форми. Ця послідовність імпульсів, потрапляючи в подільник частоти ПЧ, після багаторазового поділення перетворюється на прямокутні імпульси малої частоти з суворо витриманим часом Т кожного періоду (рис.2, б, епюра є).

Рис.2 Структурно-функціональна схема цифрового частотоміра:

а - схема, б - епюри напруг

Ці імпульси, попадаючи у формувач імпульсів часу ФІЧ, формуються у прямокутні імпульси напруги (епюра є), які надходять у коло керування електронним ключем К, примушують його відмикатися на точно дозовані проміжки часу (наприклад, на 1 с), протягом яких цей ключ пропускає через себе у лічильник Л сформовані формувачем Ф2 пакети імпульсів (епюра ж). Лічильник, порахувавши число імпульсів, вміщених у пакеті (тобто ту кількість, що пройшла через ключ К протягом часу 7), і перетворивши це число у десяткову форму, надсилає це число до дешифратора ДШ, де воно перетворюється на код, сприйнятний для цифрового пристрою індикації, на якому і висвітлюється вимірюване значення частоти напруги. Разом з тим сигнал про величину виміряної частоти після лічильника Л (а іноді й після дешифратора) може спрямовуватись до ЕОМ для зберігання чи подальших розрахунків.

За допомогою цифрового частотоміра можна вимірювати частоту зі значно більшою точністю, ніж частотомірами інших систем (можна вести виміри з похибкою, що не перевищує ОД.0,01%).

Підвищення точності цифрових частотомірів можна досягти, підвищуючи стабільність кварцового генератора і збільшуючи величину часу Т.

Завдяки високій точності й можливості передавання результату вимірювань безпосередньо до ЕОМ нині широко застосовують саме цифрові частотоміри. Із застосуванням перетворювачів неелектричних величин (наприклад, швидкості обертання) у напругу змінного струму, частота якої однозначно пов'язана з контрольованою величиною, можливості цих частотомірів ще більш поширюються.

1.3 Вібраційні частотоміри


В енергетиці чи не найбільшого поширення набули електромагнітні вібраційні частотоміри. їхня дія базується на явищі механічного резонансу коливань пружних пластин під дією збуджувальних коливань, створюваних силами тяжіння електромагніта, котушка котрого живиться під джерела змінного струму, частоту якого бажано виміряти.

Такі частотоміри можуть бути виконані з безпосереднім (рис.3, а) чи посереднім (рис.3, б) збудженням. У обох різновидах частотомірів елементами, чутливими до частоти, є пружні пластини 3 з загнутими кінцями 4, розташовані в ряд проти прорізів, зроблених у шкалі 5 (у частотоміра з безпосереднім збудженням може бути і два ряди таких пластин, як видно з рис.3, а). У обох видозмінах таких частотомірів електромагніт 2 з обмоткою 7 створює змінне магнітне поле, яке у частотоміра з безпосереднім збудженням викликає притягання сталевих пластин 3 до полюса електромагніта, а у частотоміра з посереднім збудженням - притягання якоря 6, жорстко пов'язаного з основою 7, на якій закріплено кінці всіх пластин 3. Ці пластини можуть бути виконані як зі сталі, так і з якогось іншого пружного матеріалу (наприклад, бронзи). Якір 6 з основою 7 закріплено на двох пружинах 8 до цоколя приладу 9.

Таким чином, у частотомірів обох видозмін всі пружні пластини 3 вібрують з частотою, вдвоє більшою, ніж частота напруги живлення обмотки 1. А вдвоє більшою тому, що за один період напруги живлення і сталеві пластини 3, і якір 6 притягуються до полюсів електромагніта 2 й відпускаються від нього двічі, незалежно від полярності полюсів цього електромагніта. Але амплітуда вібрації кінців 4 цих пластин буде різною: найбільшою у тієї пластини, власна частота коливань якої дорівнює частоті сили збудження (тобто вдвоє більша за частоту напруги живлення). Менші амплітуди коливань будуть у сусідніх пластин, власна частота коливань яких трохи більша і трохи менша від подвоєної частоти напруги. І чим більш відмінною будуть власні частоти коливань пластин від цієї подвоєної частоти напруги, тим меншим буде розмах коливань кінців 4 цих пластин 3. Частоту коливань напруги знаходять за тією позначкою частотоміра, проти якої видимий розмах коливань кінця пластини 3 є найбільшим. На рис.3, в, де зображено шкалу частотоміра, показано, як виглядає показання розглянутих частотомірів, коли частота напруги мережі становить 49,5 Гц.

Рис.3 Будова вібраційних частотомірів

1.4 Аналогові частотоміри


Аналогові частотоміри можуть бути:

· електродинамічними;

· феродинамічними;

· електромагнітними;

· випрямними;

· електронними.

Електродинамічні частотоміри - це прилади зі стрілковим покажчиком, виконані на основі електродинамічного логометра. Вони вирізняються відносно високим класом точності, зручністю в користуванні, бо дають можливість робити відлік за положенням стрілки на шкалі, градуйованій безпосередньо у герцах.

Клас точності цих приладів - 0,2, тобто їхня основна похибка не перевищує ±0,2 % від середньої частоти, вимірюваної приладом.

У цих приладах зі зміною величини частоти змінюються також величина і фаза струму у нерухомих котушках HK1 і НК2 і у рухомій котушці-рамці Р1. Так, якщо за частоти, що відповідає показанню посередині шкали приладу, величина реактивного індуктивного опору вітки, за якою проходить струм І1, дорівнюватиме величині ємнісного реактивного опору конденсатора С1 тоді через наявність резонансу напруг струм І1 буде найбільшим і перебуватиме у фазі з напругою Uf.

електровимірювальний прилад частота напруга

Рис.4 Схема електродинамічного частотоміра

Рамка Р1 під дією обертового моменту, створеного взаємодією струму в рамці з магнітним потоком нерухомих котушок НК1 і НК2, перебуватиме у положенні, де площини цієї рамки і нерухомих котушок збігатимуться. Дією рамки Р2 можна знехтувати, бо через неї проходить струм І2, зсунутий відносно напруги Uf майже на 90°. Якщо ж величина частоти напруги Uf буде відмінна від частоти резонансу fр, то фаза струму І1 відносно напруги Uf вже не збігатиметься з напругою, і кут зсуву по фазі струму І1, відносно струму І2 буде відмінним від 90°. Тоді магнітний потік нерухомих котушок, взаємодіючи зі струмом І2, створить обертовий момент, що буде врівноважений моментом, створюваним рамкою Р1 при повороті рухомої частини приладу на кут, відповідний вимірюваній частоті напруги Uf. Зі схеми видно, що величина напруги Uf не впливає на кут відхилення рухомої частини, бо зміна величини напруги однаково вплине як на величину струму І1, так і на величину струму І2. Це призведе до однакової зміни величин обертових моментів, створюваних рамками Р1 і Р2, котрі протидіють один одному, тобто не змінить рівноваги між ними за даного положення рухомої частини приладу.

У цьому приладі, як і у всякому логометрі, відсутні спіральні пружини, а струм підводиться до рамок за допомогою трьох тонких "безмоментних" струмопідводів.

Феродинамічні частотоміри, побудовані на основі феродинамічних логометрів, можуть бути виконані на основі електричних схем, аналогічних схемам електродинамічних частотомірів.

Різниця між ними лише в тому, що споживана потужність у феродинамічного приладу може бути суттєво меншою, ніж у електродинамічного. Часто феродинамічні частотоміри виконують на основі найпростіших однорамочних логометрів, у котрих як діючий, так і протидіючий моменти створюються однією рамкою, через яку водночас проходять два струми: один (що створює момент протидії) викликаний ЕРС взаємоіндукції від дії струму, що є у обмотці нерухомої котушки, другий (той, що створює діючий момент) викликаний напругою мережі, частота якої вимірюється. Ця напруга прикладена до ємнісно-індуктивного кола приладу.

Як і у частотоміра електродинамічної системи, так і у феродинамічного для підводу струму до рамки використано "безмоментні" струмопідводи, але їх всього два. Електромагнітний частотомір виконано на основі двокотушкового електромагнітного логометра, котрий має на своїй рухомій частині два феромагнітних осердя, кожне з яких взаємодіє з одною із нерухомих котушок. Обертові моменти електромагнітних систем, до яких входять згадані котушки і осердя, спрямовані зустрічно. Кожну з обмоток котушок ввімкнено послідовно з дроселем і конденсатором, які налаштовано в резонанс на відмінні величини частот. Одна - нижче за найменшу вимірювану частоту, друга - вища за найбільшу вимірювану частоту. Завдяки цьому рівність обертових моментів, що діють протилежно, в згаданих раніше системах буде одержано при різних величинах вимірюваної частоти у певних положеннях покажчика приладу на шкалі. Рухома частина цього приладу не має ні моментних пружин, ні безмоментних струмопідводів.

Випрямні частотоміри, створені на основі магнітоелектричних логометрів, діють аналогічно тому, як діє електромагнітний частотомір. Тобто вони мають два резонансні контури: резонансна частота одного нижча за найменшу вимірювану, а іншого - вища за найбільшу вимірювану. Але змінні струми, що протікають у вказаних контурах, випрямлюються двопівперіодними випрямлячами і надсилаються до рамок рухомої частини магнітоелектричного логометра, кут повороту якої залежить від відношення цих струмів. Згідно з цим, положення стрілки на шкалі логометра визначатиме величину частоти напруги. У електронного частотоміра приладом, що показує частоту, є магнітоелектричний міліамперметр, увімкнутий у коло вихідного каскаду електронного підсилювача. Вхідне коло підсилювача приєднане до частотно залежного ланцюга, струм якого мало залежить від величини напруги, частота котрої вимірюється. Завдяки наявності електронного підсилювача, потужність, споживана з вимірювального кола, у електронного частотоміра значно менша, ніж у всіх розглянутих вище частотомірів.

1.5 Електромеханічні частотоміри


Для вимірювання частоти у вузькому діапазоні (45.55Гц) з невисокою точністю (одиниці процентів) застосовуються електродинамічні й електромагнітні частотоміри. В електродинамічних частотомірах застосовують логометричний вимірювальний механізм, який складається з двох рухомих котушок, закріплених на одній осі під деяким кутом одна до одної, яка може вільно обертатися у магнітному полі нерухомої котушки (рис.5). Параметри рухомої котушки та елементів R2, L2, С2 добирають так, щоб резонансна частота


припадала на середину вимірюваного діапазону частот.

Рис.5

У разі відхилення вимірюваної частоти від середини діапазону змінюються опори реактивних елементів ХС1=l/2πfxC1, ХС2= l/2πfxC2, XL2=l/2πfxL2 і співвідношення між струмами в котушках, унаслідок чого стрілка відхиляється на кут, пропорційний вимірюваній частоті fx. Аналогічно працює й електромагнітний частотомір.

1.6 Вимірювальний перетворювач частоти в струм


В аналогових електронних частотомірах застосовується попереднє перетворення частоти в напругу. Принцип дії вимірювального перетворювача частоти в напругу ґрунтується на формуванні імпульсів, частота яких дорівнює вимірюваній частоті, а електричний заряд імпульсів є постійним. Середнє значення струму таких імпульсів пропорційне вимірюваній частоті.

Вимірювальний перетворювач частоти в напругу становить основу так званого конденсаторного частотоміра, спрощену схему якого наведено на рисунку 6. Періодичний сигнал із частотою fx надходить на вхід формувача прямокутних імпульсів, частота яких дорівнює вимірюваній частоті. Прямокутні імпульси діють на перемикач, який з'єднує конденсатор із джерелом стабільної напруги. Упродовж часу тривалості імпульсу Ті конденсатор заряджається до напруги U0. Заряд, який накопичився за цей час на обкладках конденсатора, становитиме: Q=U0C.

Рис.6

Після закінчення дії імпульсу перемикач повертається у початковий стан і з'єднує конденсатор із резистором R. Конденсатор розряджається, і через резистор проходить струм розряду, середнє значення якого прямо пропорційне вимірюваній частоті:


Напруга на резисторі R прямо пропорційна струму, тому середнє значення напруги на резисторі Ux=RQ0fx виділяється фільтром низької частоти і вимірюється вольтметром магнітоелектричної системи.

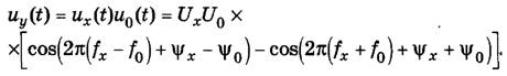
1.7 Гетеродинний вимірювальний перетворювач частоти


Перетворення частоти сигналу широко застосовується в різних радіотехнічних пристроях. Суть частотного перетворення сигналу полягає у тому, що синусоїдний сигнал ux (t) =Uх√2sin (2πfxt+Ψx) з вимірюваною частотою fx перемножується із зразковим сигналом u0 (t) = U0√2sin (2πf0t+Ψ0) з відомою частотою f0:

 (1)

Як відомо з тригонометрії, добуток двох синусоїдних функцій виражається через різницю синусоїдних функцій:

 (2)

Застосовуючи тригонометричну тотожність (2) до добутку (1), отримаємо


Отже, на виході перемножувача буде сума двох коливань: одне з коливань має частоту fx-f0, а друге - частоту fx+f0. Пристрій, за допомогою якого здійснюється перемножування двох синусоїдних сигналів, називається "амплітудним модулятором", "змішувачем", "перемножувачем". За допомогою електронних фільтрів можна виділити із суми двох коливань одне. Здебільшого на практиці виділяють коливання з різницевою частотою fx-f0. Якщо плавно змінювати частоту f0 зразкового генератора, то частота fx-f0 наближатиметься до нуля. Це можна зафіксувати за допомогою осцилографа або на слух за допомогою головних телефонів за висотою тону.

1.8 Частотомір із перетворенням похибки квантування в інтервал часу


Основною похибкою, яка обмежує точність частотомірів, є похибка квантування. Перетворенням похибки квантування Δt в електричний заряд q, а заряду в інтервал часу ΔT (у десятки разів більший за Δt) і наступним вимірюванням інтервалу ΔT можна в десятки разів підвищити точність вимірювання частоти. Цей спосіб застосовується у цифровому універсальному частотомірі 43-64, генератор квантувальних імпульсів якого має частоту 100 МГц. На першому етапі вимірювання вимірюваний інтервал часу Тх квантується імпульсами з періодом Т0=1·10-8 с. При цьому виникають похибки Δt1 і Δt2. Сумарна похибка перетворюється в заряд конденсатора. Впродовж інтервалу Δt1 відбувається заряджання, а протягом інтервалу Δt2 - розряджання конденсатора струмом 1·10-6 А. Далі конденсатор розряджається струмом 1·10-7 А. Тривалість розряджання дорівнює ΔТ=10·Δt=10· (Δt1-Δt2). Потім ΔT квантується імпульсами з періодом Т0=1·10-8 с. Таким чином, похибка зменшується з 1·10-8 с до 1·10-9 с.

ІІ. Механічна частина


2.1 Вимірювання частоти електричної напруги


На підприємствах енергетичного профілю частоту найчастіше вимірюють за допомогою частотомірів, використання яких не викликає ніяких труднощів. Більшість частотомірів приєднують безпосередньо до мережі, частоту котрої необхідно виміряти, або до окремого джерела живлення змінного струму, частоту напруги якого слід контролювати. Необхідно лише впевнитись, що номінальна величина напруги мережі чи окремого джерела збігається з номінальною величиною напруги частотоміра, а також у тому, чи довіряти показанням частотоміра зразу ж після вмикання під напругу, чи лише після певного часу його роботи. Цей час може бути необхідний, щоб частини частотоміра, що містяться всередині його корпуса, нагрілися власним теплом, яке виникає в обмотках та осердях частотоміра, до належної температури.

Крім того, ще до встановлення і приєднання частотоміра необхідно впевнитись у відповідності умов у помешканні, де намічено встановити частотомір, тим умовам, які передбачені технічним описом приладу.

Більшість частотомірів, що застосовуються на електричних станціях та в енергосистемах, мають обмежену точність (клас їхньої точності 1,5; 1,0; 0,5; 0,2).

Разом з тим ці частотоміри потребують періодичної повірки, перш за все відомчої, яку з дозволу Державних метрологічних органів проводять метрологічні підрозділи підприємств і організацій, де експлуатують прилади. Повірка необхідна також після ремонту приладів.

При таких повірках необхідно забезпечити клас точності зразкового засобу вимірювання у 4.5 разів вищий за клас приладу, що повіряється. Якщо зразкових приладів необхідного класу точності немає, то використовують метод порівняння частот зразкового високоточного вимірювального генератора і джерела напруги змінної частоти, від якого живиться частотомір, що проходить повірку. Використовують ще і метод вимірювання частоти за допомогою частотомірного мосту.

Безпосереднє вмикання частотоміра на генератор зразкових частот часто буває неможливим через малу потужність таких генераторів.

Досить надійним методом порівняння двох частот є метод биття, реалізація якого можлива згідно зі схемою рис.7.

На цьому рисунку позначено:

ЗГ - генератор зразкової частоти; ГЧ - генератор змінної частоти живлення приладу; ЧМ - частотомір, що повіряється; П1, П2, П3 - підсилювачі; І - індикатор наявності коливань напруги; П - потенціометр.

Для чіткої роботи схеми необхідно, щоб підсилювачі П1 і П2 були однотипними, а величини напруг на їхніх виходах - однаковими (щоб досягти цього, у схемі є потенціометр П, за допомогою якого на вході до підсилювача П2 можна встановити яку завгодно величину напруги).

Індикаторний прилад І - це прилад для вимірювань постійного струму з нульовою позначкою посередині шкали. Він має бути здатним витримувати величину напруги змінного струму, яка виникає на виході підсилювача П3 при появі на його вході складених напруг, створених підсилювачами П1 і П2.

Рис.7 Точне вимірювання частоти методом биття

Порядок повірки частотоміра на подібній вимірювальній схемі може бути таким. Генератором зразкової частоти ЗГ встановлюють значення однієї з частот, вимірюваних частотоміром ЧМ. Генератором ГЧ встановлюють приблизно таку саму частоту (за показаннями частотоміра ЧМ), після чого звертають увагу на показання індикатора І. Якщо величини обох частот мало відрізняються між собою, то між напругами, що є на виходах підсилювачів П1 і П2, виникає биття - тобто почергове складання і віднімання миттєвих значень цих напруг.

Змінюючи величину частоти генератора ГЧ, досягають такого стану, при якому частота биття напруги стане зовсім малою (десь одне коливання за 5.10 с). У цьому разі можна вважати, що частоти напруг генераторів ЗГ і ГЧ зрівнюються.

Якщо в цей час показання покажчика частотоміра, що проходить повірку, відрізняється від частоти, генерованої генератором ЗГ, то, віднявши від показу частотоміра ЧМ (у герцах) дійсну частоту, з якою працює генератор ЗГ, можна визначити величину похибки частотоміра.

Метод биття можна застосовувати у виробничих лабораторіях при повірках частотомірів завдяки нескладності потрібного обладнання та достатньо високої точності вимірювань.

Застосовуючи зразковий кварцовий генератор з багатоступінчастим подільником частоти, можна отримати зразкову частоту з похибкою близько 0,000001 %.

Використовуючи термостатовані камертонні генератори, можна досягти точності, на порядок чи два меншої. Їх можна використовувати й без подільників частоти.

Іноді для визначення рівності вимірюваної і зразкової частот як нуль-індикатор використовують телефонну трубку. Це зовсім простий метод, який не вимагає додаткової апаратури, треба лише, щоб величини напруг зразкової і контрольованої частот були достатніми (і безпечними) для телефонної трубки. Але користуватись цим методом доцільно тільки при порівнянні підвищених і високих частот, бо людське вухо нездатне сприймати звуки з частотою, нижчою за 12.15 Гц. Наявність такої "мертвої" зони при порівнянні частот порядку 1000.5000 Гц і вище майже не впливає на точність вимірювань, але при порівнянні частот порядку 40.60 Гц вона зовсім недоречна, бо суттєво зменшує точність порівняння.

2.2 Відношення двох частот


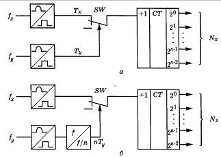
В універсальних цифрових частотомірах передбачена можливість вимірювання відношення двох частот: fx і fy. Сигнали вимірюваних частот подаються на формувачі імпульсів (рис.8), які формують імпульси з крутими фронтами для зменшення похибки від дрейфу рівнів спрацювання.

Якщо одна з частот набагато більша за іншу (fx>>fy), то імпульс тривалістю Ту з виходу формувача (рис.8, а) відкриває ключ і імпульси тривалістю Тх надходять на вхід лічильника імпульсів упродовж часу Ту. Числовий відлік лічильника імпульсів дорівнюватиме:


Якщо ж частоти fx і fy близькі за значенням, то імпульси з частотою fy після формувача (рис.8, б) подаються на подільник частоти з коефіцієнтом ділення n. Числовий відлік лічильника імпульсів у такому разі дорівнюватиме:


Рис.8

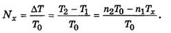
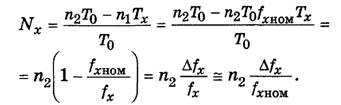
Відсотковий частотомір. Сигнал частотою fx надходить на формувач імпульсів (рис.9), який формує імпульси нормованої амплітуди з крутими фронтами. Сформовані імпульси подаються на подільник частоти з коефіцієнтом ділення n1. З вихідного сигналу подільника частоти формується імпульс тривалістю T1=n1Tx=n1/fx, Генератор стабільної частоти f0 і другий подільник частоти з коефіцієнтом ділення n2 формують другий імпульс тривалістю Т2=n2Т0=n2/f0. Обидва імпульси подаються на ключ, який влаштований так, що він відкритий упродовж часу ΔТ=Т21. За час ΔТ на вхід лічильника імпульсів через ключ проходять імпульси з періодом Т0. Покази лічильника в кінці вимірювання становлять:


Рис.9

Якщо виконати умову


де fхном - номінальне значення частоти, то


Якщо fx близька до fхном і n2=100, то Nx виражатиме наближено відхилення частоти від номінального значення у відсотках.

2.3 Похибки вимірювання частоти і інтервалів часу


Вимірювання частоти і інтервалів часу супроводжується такими складовими похибок вимірювання: похибка квантування; похибка, зумовлена нестабільністю частоти генератора кванту вальних імпульсів; похибка від нестабільності порогів спрацювання формувачів імпульсів.

Похибка квантування. Якщо генератор квантувальних імпульсів синхронізований з початком вимірюваного інтервалу часу (рис.10, а), то похибка квантування Δt виникає в кінці вимірюваного інтервалу як різниця між результатом вимірювання NxT0 і вимірюваним інтервалом Тх:


Оскільки вимірювана величина до вимірювання невідома, то кінець інтервалу Тх може з однаковою ймовірністю припасти на будь-який момент між сусідніми квантувальними імпульсами, тому похибку квантування Δt вважають випадковою і розподіленою за рівномірним несиметричним законом з граничним значенням Т0 (рис.10, б). Математичне сподівання похибки квантування дорівнює T0/2, а середнє квадратичне відхилення σ=Т0/√12. Синхронізувати генератор квантувальних імпульсів з початком вимірюваного інтервалу Тх часто не вдається, тому похибка квантування виникає на початку Δt1 і в кінці Δt2 вимірюваного інтервалу часу Тх (рис.11). Похибки Δt1 і Δt2 розподілені за рівномірними несиметричними законами з граничним значенням Т0. Сумарна похибка квантування Δt=Δt1+Δt2 розподілена за трикутним законом (законом Сімпсона) з граничним значенням Т0. Математичне сподівання сумарної похибки квантування дорівнює нулю, а середнє квадратичне відхилення σ=Т0/√6.

Рис.10

Рис.11

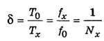
Відносна гранична похибка квантування під час вимірювання частоти за визначений інтервал часу ТN дорівнює:


Отже, відносна гранична похибка квантування збільшується із зменшенням частоти. Для розширення частотного діапазону частотомірів у зону нижніх частот вдаються до таких заходів:

1. На нижніх частотах похибку квантування можна зменшити, збільшуючи N·T0, але це веде до збільшення тривалості вимірювання, тобто до зменшення швидкодії.

2. Застосувати множення вимірюваної частоти, в результаті чого вимірювана частота переноситься у зону високих частот.

3. Перетворити Tх→Uх, а далі відбувається визначення числового значення 1/ Uх.

4. Виміряти відносне відхилення вимірюваної частоти за допомогою цифрового відсоткового частотоміра.

5. Застосувати спеціальні пристрої для вимірювання похибок дискретності Δt1 і Δt2.

6. Вимірювати період Тх з наступним перерахунком періоду в частоту fx.

Відносна гранична похибка квантування у вимірюванні періоду дорівнює:


Таким чином, відносна гранична похибка квантування збільшується зі збільшенням вимірюваної частоти fx і зменшується зі збільшенням частоти квантувальних імпульсів f0.

Верхнє граничне значення частотного діапазону, якщо задано допустиме граничне значення похибки квантування, визначається швидкодією лічильника імпульсів, тобто максимальною частотою імпульсів f0, яку лічильник здатен підраховувати

fmах=σ·f0.

Похибка, зумовлена нестабільністю частоти генератора квантувальних імпульсів, виявляється в основному як повільний відхід частоти внаслідок старіння кварцового резонатора.

Похибка від нестабільності порогів спрацювання формувачів імпульсів зумовлена двома чинниками: зміщеннями рівнів формування в каналах і шумовими напругами, що діють на вхід формувача.

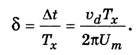
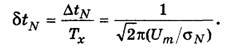
Похибка, зумовлена дрейфом порога спрацювання,


де Δu - дрейф порога спрацювання формувача імпульсів; vx - швидкість зміни вимірюваного сигналу. Якщо сигнал синусоїдний з амплітудою Um і часто тою fx, то максимальна швидкість зміни сигналу vx=2πfxUm, Якщо дрейф Δu виразити через швидкість дрейфу vd і період Тх, тобто Δu=vdTx, то вираз можна записати у такому вигляді:

 Відносна похибка


Похибка, зумовлена впливом шуму із середнім квадратичним відхиленням σN на вхід формувача імпульсів,


Відносна похибка:


Отже, відносна похибка, зумовлена впливом шуму, не залежить від вимірюваної частоти, а визначається відношенням сигнал/шум.

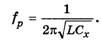
2.4 Резонансний метод вимірювання частоти


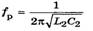
Принцип дії аналогового резонансного частотоміра (рис.12 ґрунтується на порівнянні вимірюваної частоти fx з частотою резонансного контуру fр. Сигнал з частотою fх, яку необхідно виміряти, через взаємно індуктивні елементи подається на коливальний контур LCх. Резонансну частоту контуру можна змінювати, змінюючи ємність конденсатора Сх:


За допомогою індикатора резонансу контур налаштовується у резонанс із вимірюваною частотою fx=fр. Індуктивність L заздалегідь відома із заданою точністю, а тому шкала конденсатора градуюється безпосередньо в одиницях частоти. На високих і надвисоких частотах коливальний контур частотоміра виготовляєтеся у вигляді відрізка коаксіальної лінії або об'ємного резонатора.

Рис.12

2.5 Вимірювання частоти за допомогою осцилографа


Лінійна розгортка. У режимі лінійної розгортки сигнал із частотою, яку необхідно виміряти, подається на вхід каналу вертикального відхилення. За допомогою синхронізації досягають стійкого зображення на екрані осцилографа. Частоту вимірюють, підраховуючи візуально кількість повних коливань за одиницю часу. Період коливань вимірюють також візуально за допомогою шкали, нанесеної на екрані осцилографа.

Якщо осцилограф двоканальний або двопроменевий, то можна виміряти зсув фаз між двома коливаннями однакової частоти, подаючи їх на входи каналів вертикального відхилення.

Зсув фаз можна виміряти також і за допомогою одноканального осцилографа, якщо один сигнал подати на вхід вертикального відхилення, а другий - на вхід зовнішньої синхронізації.

Синусоїдна розгортка. Якщо сигнал з вимірюваною частотою подати на вхід каналу вертикального відхилення осцилографа, а сигнал із відомою зразковою частотою подати на вхід каналу горизонтальної розгортки, то на екрані осцилографа можна отримати так звані фігури Лісажу - складні траєкторії руху електронного променя, вигляд яких залежить від співвідношення частот fx/f0 і від кута зсуву фаз (рис.13).

Рис.13

Циклічна розгортка. У цьому режимі на вхід горизонтального й вертикального каналів подаються сигнали однієї і тієї самої зразкової частоти, відомої із заданою точністю, і зсунуті один відносно одного на π/2. На екрані осцилографа електронний промінь рухатиметься вздовж кола, причому тривалість одного оберту дорівнює періоду зразкового сигналу.

Сигнал із вимірюваною частотою fx подається на модулятор електронно-променевої трубки і таким чином модулюється яскравість зображення - у додатний півперіод зображення яскравіше, а у від'ємний - менш яскраве. Якщо fx>f0, то у зображенні кола на екрані осцилографа з'являються світлі і темні ділянки. Кількість світлих або темних ділянок дорівнює кратності n вимірюваної fx і зразкової f0 частот

n=fx/f0,звідки

fx=nf0.

Пунктирне зображення кола на екрані нерухоме тільки за умови кратності fx/f0, тому візуально домагаються кратності, змінюючи зразкову частоту f0.

III. Техніка безпеки


3.1 Класифікація приміщень за електробезпекою


Згідно правил улаштування електроустаткування ПУЕ приміщення класифікуються на:

· сухі (відносна вологість повітря не перевищує 60 %)

· вологі (відносна вологість повітря 60-75 %)

· гарячі (температура повітря більша 35 С)

· запилені (в яких в умовах виробництва виділяється пил в такій кількості, що може осідати на проводах.)

· приміщення з хімічно-активним або органічним середовищем, в яких є агресивні пари, рідини, які утворюють відкладення або плісняву.

· Приміщення без підвищеної безпеки, в яких створені умови, що створюють підвищену або особливу небезпеку.

· Приміщення з підвищеною небезпекою - можливість дотику людини до струмопровідних частин.

· Особливо небезпечні приміщення - лазні, металеві гаражі, парники.

3.2 Електрична ізоляція


Ділиться на:

· основну

· додаткову

· подвійну

· посилену

Для електротехнічних виробів, в тому числі і електромеханічних приладів встановлено 5 класів захисту:

· клас 0 - електроприлади на номінальну напругу більшу 42 В, в яких всі частини досяжні для дотику, відокремлені основною ізоляцією від частин, що знаходяться під напругою, та в яких відсутні пристрій для заземлення.

· Клас 01-електроприлади на номінальну напругу більшу 42 В, в яких присутній пристрій для заземлення, розташований з зовнішнього боку приладу.

· Клас I - в пристрій для заземлення, розташований всередині приладу.

· Клас II - електроприлади на номінальну напругу більше 42 В, в яких всі частини досяжні для дотику, відокремлені подвійною або посиленою ізоляцією від частин, що знаходяться під напругою і відсутній пристрій для заземлення.

· Клас III - електроприлади на номінальну напругу до 42 В, у яких немає ні внутрішніх, ні зовнішніх частин, які працюють при більш високій напрузі.

Список рекомендованої літератури


1. Гурій А.М. Поровознюк Н.І. Електричні і радіотехнічні вимірювання: Посіб. для пед. працівників та учнів проф. - техн. навч. зал. - К.: Навч. Книга, 2002.

2. Клюев А. С, Пин Л.М., Коломиец Е.И. Наладка средств измерений и систем технологического контроля: Справочное пособие. - М.: Энергоиздат, 1990.

3. Телешевский Б.Е. Измерения в электро - и радиотехнике. - М.: Высш. шк., 1984.

5. Шаповаленко О.Г., Бондар В.М. Основи електричних вимірювань: Підручник. - К.: Либідь, 2002.

6. Шихин А.Я., Белоусова Я.М., Пухляков Ю. X. и др. Электротехника. - М.: Высш. шк., 1989.

 A

Похожие работы на - Електровимірювальні прилади

 

Не нашли материал для своей работы?
Поможем написать уникальную работу
Без плагиата!
Без нейросетей!