Дослідження приладів по вимірюванню вологості

  • Вид работы:
    Курсовая работа (т)
  • Предмет:
    Физика
  • Язык:
    Русский
    ,
    Формат файла:
    MS Word
    275,79 kb
  • Опубликовано:
    2011-01-29
Вы можете узнать стоимость помощи в написании студенческой работы.
Помощь в написании работы, которую точно примут!

Дослідження приладів по вимірюванню вологості















Курсова робота:

Дослідження приладів по вимірюванню вологості

Зміст

1. Загальні відомості

2. Методи й засоби виміру вологості

3. Вимір вологості психометричним вологоміром

4. Датчики й первинні перетворювачі для виміру відносної вологості

5. Регулятори вологості

Висновок

Список літератури

1. Загальні відомості

Вода входить до складу навколишнього повітря і є необхідним компонентом для всіх живих істот: людей і тварин. Комфортність навколишніх умов визначається, в основному, двома факторами: відносною вологістю й температурою. Ви можете себе почувати цілком комфортно при температурі -30 °С у Сибіру, де взимку повітря звичайно дуже сухий, але Вам буде зовсім незатишно при температурі 0 °С у Кливленде, розташованому на березі озера, де дуже волого. (Природно, що тут ураховуються тільки кліматичні фактори й не розглядаються економічні, культурні й політичні). Робота багатьох також сильно залежить від рівня вологості. Як правило, всі характеристики приладів визначаються при відносній вологості 50% і температурі 20–25 °С. Рекомендується підтримувати такої ж умови й у робочих приміщеннях, щоправда, тут існують виключення: наприклад, у виробничих кімнатах Класу А вологість повинна бути 38%, а в лікарняних операційних – 60%. Волога входить до складу більшості виробів, що випускаються, і матеріалів. Можна сказати, що більшу частину валового національного продукту будь-якої країни становить вода.

Для виміру вологості використовуються прилади, називані гігрометрами.

Перший гігрометр був створений Джоном Лесли A760-1832. Чутливий елемент гігрометра повинен вибірково реагувати на зміну концентрації води. Його реакцією може бути зміна внутрішніх властивостей. Датчики для виміру вологості й температури крапки роси бувають ємнісними, електропровідними, вібраційними й оптичними. Оптичні газові датчики визначають крапку роси, у той час як оптичні гігрометри вимірюють зміст води в органічних розчинах по поглинанню випромінювання ближнього ІК діапазону в інтервалі 1.9...2.7 напівтемний

Для кількісного визначення вологості й змісту води застосовуються різні одиниці. Вологість газів у системі СІ іноді виражається як кількість пар води в одному кубічному метрі (г/м3). Зміст води в рідинах і твердих тілах звичайно задається у відсотках від загальної маси. Зміст води в рідинах, що змішуються погано, визначається як кількість частин води на мільйон частин ваги (ррт). Приведу кілька корисних визначень:

1 Вологомір (<вимірник вологості>): вимірювальний прилад, призначений для виміру однієї або декількох величин вологості твердих або рідких речовин.

2 Гігрометр (<вимірник вологості>, <Вологомір газів>): вимірювальний прилад, призначений для виміру однієї або декількох величин вологості газів.

3 Гігрограф: вимірювальний прилад, що реєструє, призначений для безперервного запису значень величин вологості газів.

4 Датчик вологості; датчик: первинний вимірювальний перетворювач величин вологості в інші фізичні величини, наприклад в електричні.

5 Гравіметричний метод: метод непрямого виміру величин вологості, що полягає у виділенні вологи з речовини й роздільному вимірі маси вологої речовини і його сухої частини або виділеної вологи.

6 Випарно-гравіметричний метод; метод висушування: гравіметричний метод виміру вологості твердих речовин, заснований на випарному способі видалення вологи з речовини.

7 Термогравіметричний метод; тепловий метод (<повітряно-тепловий метод>): метод висушування, заснований на видаленні вологи з речовини шляхом його нагрівання.

8 Вакуумно-гравіметричний метод; вакуумний метод: метод висушування, заснований на вакуумному способі видалення вологи з речовини.

9 Вакуумно-Тепловий метод: метод висушування, заснований на одночасному застосуванні теплового й вакуумного способів видалення вологи з речовини.

10 Сорбційно-гравіметричний метод: гравіметричний метод виміру вологості газів, заснований на способі виділення вологи з газів.

11 Конденсаційно-гравіметричний метод: гравіметричний метод виміру вологості газів, заснований на конденсаційному способі виділення вологи з газів.

12 Кулонометричний метод: метод непрямого виміру вологості газів, заснований на способі виділення вологи з газу й наступному вимірі кількості електрики, необхідного для електролітичного розкладання цієї вологи.

13 Психрометричний метод: метод непрямого виміру вологості газів, заснований на залежності зниження температури (охолодження) змоченого твердого тіла від вологості навколишнього газу.

14 Психрометр: пристрій для реалізації психрометричного методу виміру, що містить сухий і змочений термометри.

15 Аспираціоний психрометр: психрометр, постачений аспіратором - пристроєм для обдування термометрів аналізованим газом.

16 Психрометрична формула: математичне рівняння, що виражає залежність якої-небудь величини вологості газу від різниці температур сухого й змоченого термометрів

17 Психометричний коефіцієнт: коефіцієнт у психометричної формулі, що залежить від конструкції психрометра й швидкості обдува термометрів.

18 Психометричний гігрометр: гігрометр, принцип дії якого заснований на психометричному методі виміру, автоматичному обчисленні величини вологості й поданні її значення на відліковому пристрої.

19 Конденсаційний метод: метод виміру крапки роси [інею], що полягає в охолодженні газу до температури випадання конденсату (роси або інею) і вимірі цієї температури.

20 Рівноважний метод: метод непрямого виміру вологості твердих речовин, що полягає у вимірі вологості газу, що перебуває в рівновазі із цими речовинами.

21 Диелькометричний метод: метод непрямого виміру вологості речовин, заснований на залежності діелектричної проникності цих речовин від їхньої вологості.

22 Метод Фішера: хімічний метод виміру вологості твердих і рідких речовин, що полягає в екстрагуванні вологи із проби речовини розчинником і наступним титруванням її спеціальним розчином Фішера.

23 Оптичні методи: методи непрямого виміру вологості газів, засновані на залежності їхніх оптичних властивостей від вологості.

24 Нейтронний метод: метод виміру вологості твердих речовин, що полягає в уповільненні швидких нейтронів на ядрах водню (протонах) і вимірі інтенсивності потоку повільних нейтронів, що утворяться.

25 Деформаційний гігрометр [датчик вологості]: гігрометр [датчик], принцип дії якого заснований на залежності деформації чутливого елемента від вологості газу.

26 Волосяний гігрометр [датчик вологості]: деформаційний гігрометр [датчик], у якому як чутливий елемент використаний волосся, наприклад людський.

36 Плівковий гігрометр [датчик вологості] (<мембранний гігрометр>): деформаційний гігрометр [датчик], у якому як чутливий елемент використана вологочутлива плівка, наприклад тваринного походження.

37 Резистивний Вологомір [гігрометр, датчик вологості]: Вологомір [гігрометр, датчик], принцип дії якого заснований на залежності електричного опору чутливого елемента від вологості речовини

38 Ємнісний Вологомір [гігрометр, датчик вологості]: Вологомір [гігрометр, датчик], принцип дії якого заснований на залежності електричної ємності чутливого елемента від вологості речовини.

39 Електролітичний гігрометр [датчик вологості газу]: резистивний гігрометр [датчик вологості газу], у якому як чутливий елемент використаний плівка розчину солі.

40 Електролітичний підігрівний гігрометр крапки роси [датчик крапки роси]; підігрівний гігрометр [датчик]: електролітичний гігрометр [датчик вологості газу] з підігрівом, внаслідок якого опір чутливого елемента підтримується на постійному рівні, а температура рівноваги служить мірою крапки роси навколишнього газу.

41 Пьезосорбционий гігрометр [датчик вологості газу]: гігрометр [датчик вологості], принцип дії якого заснований на залежності частоти коливань або добротності п'єзоелектричного резонатора, покритого шаром, від вологості навколишнього газу.

42 Нейтронний Вологомір: Вологомір твердих речовин, принцип дії якого заснований на нейтронному методі виміру.

У повітрі завжди втримується певна кількість вологи у вигляді водяної пари. Там, де наявність водяної пари приводить до виникнення хімічних, фізичних і біологічних процесів або впливає на ці процеси, велике значення має постійний контроль за вологістю повітря. Для визначення кількості вологи є дві вимірювальні величини. Розрізняють абсолютну й відносну вологість.

Абсолютна вологість (крапка насичення)

Абсолютна вологість Fabs показує таку кількість водяної пари, що втримується в певному об'ємі повітря.

Повітря, як суміш газу й пари, завжди містить водяна пара. Водяна пара створює певний тиск, що називають тиском водяної пари. Воно є частиною всього барометричного тиску газу.

Тиск водяної пари й відповідно абсолютна вологість повітря можуть підвищуватися при певній температурі тільки до межі насичення. Це максимально можливий тиск називають тиском насичення. Температурна залежність тиску насичення зображується кривій тиску водяної пари.

Тиск навколишнього середовища або наявність інших газів не робить впливу на криву тисків водяної пари. Вологість насичення досягається максимальною кількістю водяної пари, дивися діаграму.

Крапка насичення

При подальшому надходженні водяної пари утвориться конденсація. Надлишкова кількість водяної пари проявляється у вигляді дощу, туману або конденсату. Насичений стан при цьому зберігається. Якщо насичене тепле повітря прохолоджується, то також відбувається конденсація. Тепер охолоджене повітря буде усмоктувати менше вологи. Температура, при якій це відбувається, називається температурою крапки насичення. Вона вказується в °С. За допомогою крапки насичення можна встановити тиск водяної пари вологого повітря по кривій тиску водяної пари. Отже, крапка насичення є одиницею виміру кількості води у вологому повітрі. Величина абсолютної вологості повітря підбирається залежно від даних розрахункових вимог. Різні розмірності мають постійне співвідношення один з одним, дивися діаграму.

Відносна вологість

Відносна вологість повітря це відношення фактично наявної, тобто абсолютної вологості повітря Fabs до максимально можливої вологості повітря Fsat при даній температурі. Відносна вологість повітря являє собою безрозмірну величину. Вона є передаточним числом і вказується в%.

При високій температурі повітря може поглинати більше вологи чим при низкою. Максимальна вологість, що може поглинути повітря, називається вологістю насичення. До насичення тиск водяної пари й отже відносна вологість пропорційна всьому барометричному тиску. Тому що тиск насичення залежить тільки від температури, відносна вологість повітря також залежить від температури. Відносна вологість зменшується, якщо температура підвищується й навпаки. Вплив коливань температури на відносну вологість може бути значним.

Залежності тиску насиченої пари над плоскою поверхнею води й льоду від температури, отримані теоретично на підставі рівняння Клаузиуса - Клапейрона й звірені з експериментальними даними багатьох дослідників, рекомендовані для метеорологічної практики Всесвітньою метеорологічною організацією (ВМО):

ln psw = -6094,4692T-1 + 21,1249952 - 0,027245552 T + 0,000016853396T2 + 2,4575506 ln T

ln psi = -5504,4088T-1 - 3,5704628 - 0,017337458T + 0,0000065204209T2 + 6,1295027 ln T,

де psw і psi - тиск насиченої пари над плоскою поверхнею води й льоду відповідно (Па);

Т - температура (ДО).

Наведені формули справедливі для температур від 0 до 100?C (для psw) і від -0 до -100?C (для psi). У той же час ВМО рекомендує першу формулу й для негативних температур для переохолодженої води (до -50?C).

2. Методи й засоби виміру вологості

Вологість і зміст молекул води в речовинах і матеріалах є одним з найбільш важливих характеристик сполуки. Уже вказувалося, що вологу необхідно вимірювати в газах (концентрація пар води), у сумішах рідин (властиво зміст молекул води) і у твердих тілах у якості вологи, що входить у структуру кристалів. Відповідно, набір методів і пристроїв для виміру змісту молекул води в матеріалах виявляється досить різноманітним.

Традиції вимірювальної техніки, що опираються на повсякденний досвід, привели до того, що у вимірах вологості зложилася специфічна ситуація, коли залежно від впливу кількості вологи нате або інші процеси необхідно знать або абсолютне значення кількості вологи в речовині, або відносне значення, обумовлене як процентне відношення реальної вологості речовини до максимально можливого в даних умовах. Якщо необхідно знати, наприклад, зміна електричних або механічних властивостей речовини, у цьому випадку визначальної є абсолютне значення змісту вологи. Те ж саме ставиться до змісту вологи в нафті, у продуктах живлення й т.д. У тому випадку, коли необхідно визначити швидкість висихання вологих об'єктів, комфортність середовища перебування людини або метеорологічну обстановку, на перше місце виступає відношення реальної вологості, наприклад повітря, до максимально можливого при даній температурі.

У зв'язку із цим характеристики вологості, а також величини й одиниці вологості підрозділяються на характеристики вологовмісту.

Вологовміст - величини й одиниці, що виражають реальну кількість вологи в речовині. Основною характеристикою вологовмісту є абсолютна вологість, обумовлена як кількість вологи в одиниці об'єму:

<?xml version="1.0" encoding="UTF-16"?>                                                                                   (1)

До цього класу характеристик можна віднести парціальний тиск водяних пар у газах, абсолютну концентрацію молекул води для газу, близького до ідеального, обумовлену як:

<?xml version="1.0" encoding="UTF-16"?>                                                              (2)

де Т – абсолютна температура, n0 – постійна Лошмидта, рівна числу молекул ідеального газу в 1 див3 при нормальних умовах, тобто при p0= 760 Торр= 1015 Гпа й T0 = 273,1б К. Часто використовується така характеристика абсолютної вологості як крапка роси, тобто температура, при якій дана абсолютна вологість газу стає 100%. Ця характеристика привнесена в гігрометрію метеорологам і, тому що є найбільш характерною при визначенні моменту випадання роси й визначення її кількості.

Вологостан - процентне співвідношення, рівне відношенню абсолютної вологості до максимально можливого при даній температурі:

<?xml version="1.0" encoding="UTF-16"?>                                                                              (3)

 

Відносна вологість може характеризуватися так званим дефіцитом парціального тиску, рівного відношенню парціального тиску вологи до максимально можливого при даній температурі. Дуже рідко в вимірах можна зустріти дефіцит крапки роси.

Зв'язок між температурою й максимально можливою абсолютною вологістю дається рівнянням пружності насичених пар води. Це рівняння має вигляд:

<?xml version="1.0" encoding="UTF-16"?>                                                     (4)

На практиці частіше користуються таблицею тиску насичених пар над плоскою поверхнею води або льоду при різних температурах. Ці дані наведені в табл. 1.

 

Таблиця 1. Тиск насичених пар над плоскою поверхнею води

t°c

Рнк, мбар

Анкг/м3

t°C

Рнк, мбар

Анкг/м3

0

6,108

4,582

31

44,927

33,704

1

6,566

4,926

32

47,551

35,672

2

7,055

5,293

33

50,307

37,740

3

7,575

5,683

34

53,200

39,910

4

8,159

6,120

35

56,236

42,188

5

8,719

6,541

36

59,422

44,576

6

9,347

7,012

37

62,762

47,083

7

10,013

7,511

38

66,264

49,710

8

10,722

8,043

39

69,934

52,464

9

11,474

8,608

40

73,777

55,347

10

12,272

9,206

41

77,802

58,366

t°c

Рнк, мбар

Анкг/м3

t°C

Рнк, мбар

Анкг/м3

11

13,119

9,842

42

82,015

61,527

12

14,017

10,515

43

86,423

64,839

13

14,969

11,229

44

91,034

68,293

14

15,977

11,986

45

95,855

71,909

15

17,044

12,786

46

100,89

75,686

16

18,173

13,633

47

106,16

79,640

17

19,367

14,529

48

111,66

83,766

18

20,630

15,476

49

117,40

87,772

19

21,964

16,477

50

123,40

92,573

20

23,373

17,534

51

129,65

97,262

21

24,861

18,650

52

136,17

102,153

22

26,430

19,827

53

142,98

107,268

23

28,086

21,070

54

150,07

112,581

24

29,831

22,379

55

157,46

118,125

25

31,671

23,759

56

165,16

123,900

26

33,608

25,212

57

173,18

129,917

27

35,649

26,743

58

181,53

136,009

28

37,796

28,354

59

190,22

142,700

29

40,055

30,048

60

199,26

149,482

30

42,430

31,830





На стандартних довідкових даних, наведених у табл. 1, засновані практично всі перерахування характеристик вологості. На їхній основі можна, наприклад, по відомій абсолютній вологості й температурі знайти відносну вологість, крапку роси й т.д., виразити практично будь-яку характеристику вологості газів.

Серед приладів для виміру вологості найбільш масовими є прилади для визначення змісту води в газах - гігрометри. Для виміру вологості твердих і сипучих тіл найчастіше використовуються ті ж гігрометри, тільки процес підготовки проби до аналізу містить у собі переклад вологи в газову фазу, що потім і аналізується. Існують у принципі методи безпосереднього виміру змісту вологи в рідинах і у твердих тілах, наприклад, методом ядерного магнітного резонансу. Прилади, побудовані на такому принципі, досить складні, дороги й вимагають високої кваліфікації оператора.

Гігрометри як самостійні прилади є одними із самих затребуваних вимірювальних приладів, оскільки з давніх часів у них бідували метеорологи. По зміні вологості, також як по зміні тиску й температури, можна пророкувати погоду, можна контролювати комфортність життєзабезпечення в приміщеннях, контролювати різного роду технологічні процеси. Наприклад, контроль вологості на електростанціях, на телефонних станціях, на поліграфічному виробництві й т.д. і т.п. є визначальним у забезпеченні нормального режиму функціонування.

Затребуваність гігрометрів породила розробки й виготовлення великої кількості різних типів приладів. Більшість вимірників вологості являють собою датчики вологості з індикатором або аналоговим сигналом, або сигналу в цифровій формі. Оскільки індикаторами є здебільшого або механічні пристрою, або електровимірювальні прилади, розглянуті в попередніх розділах, зупинимося на датчиках вологості, що визначають майже всі функціональні можливості гігрометрів.

Датчики гігрометрів можна класифікувати за принципом дії на наступні типи:

волосяні датчики, у яких використовується властивість волосся змінювати довжину при зміні вологості;

ємнісні датчики, у яких при зміні вологості змінюється електрична ємність конденсатора з гигроскопичним діелектриком;

резистивні датчики, у яких змінюється опір провідника, на поверхню якого нанесений гігроскопічний шар;

пьезосорбціонні датчики, у яких волога, поглинена гігроскопічним покриттям, змінює власну частоту коливань пьезокристала, на поверхню якого нанесений шар;

датчик температури крапки роси, у якому фіксується температура, що відповідає переходу дзеркального відбиття металевою поверхнею в дифузійне;

оптичний абсорбційний датчик, у якому реєструється частка поглиненої енергії світла в смугах поглинання парами води електромагнітного випромінювання.

Найбільш древній, найбільш простий і найбільш дешевий датчик вологості являє собою звичайне волосся, натягнутий між двома пружинами. Для виміру вологості використовується властивість волосся змінювати довжину при зміні вологості. Незважаючи на гадану примітивність такого датчика й на те, що процес, що лежить в основі виміру, не визначається законами фізики й тому не піддається розрахунку, гігрометри з волосяними датчиками виготовляються у великій кількості.

Ємнісні датчики вологості в цей час по масовості використання конкурують і навіть перевершують волосяні, оскільки по простоті й дешевині вони не уступають волосяним. Вимірюваною фізичною величиною є ємність конденсатора, а це означає, що як індикатор або вихідний пристрій може використовуватися будь-який вимірник ємності. На подложку із кварцу наноситься тонкий шар алюмінію, що є однієї з обкладок конденсатора.

На поверхні алюмінієвого покриття утвориться тонка плівка окису Al2O3. На окислену поверхню наноситься напилюванням другий електрод з металу, що вільно пропускає пари води. Такими матеріалами можуть бути тонкі плівки палладія, родію або платини. Зовнішній пористий електрод є другою обкладкою конденсатора.

Конструкція резистивного датчика вологості являє собою меандр із двох не дотичних електродів, на поверхню якого нанесений тонкий шар гігроскопічного діелектрика. Останній, сорбіруя вологу з навколишнього середовища, змінює опір проміжків між електродами меандру. Про вологість судять по зміні опору або провідності такого елемента.

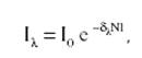
Останнім часом з'явилися гігрометри, в основу роботи яких покладений фундаментальний фізичний закон поглинання електромагнітного випромінювання – закон Ламберта-Бугера-Бера. Відповідно до цього закону через шари поглинаючого або речовини, що розсіює, проходить електромагнітне випромінювання інтенсивністю I?, рівне:

<?xml version="1.0" encoding="UTF-16"?>                                                                             (5)

де Iλ – інтенсивність випромінювання, що падає на поглинаючий стовп; N – концентрація поглинаючих атомів (число молекул в одиниці об'єму); l – довжина поглинаючого стовпа, δλ - молекулярна константа, рівна площі «тіні», створюваної одним атомом і вираженої у відповідних одиницях.

Пари води мають інтенсивні смуги поглинання в інфрачервоній області спектра й в області довжин хвиль від 185 нм до 110 нм - у так званій вакуумній ультрафіолетовій області. Є окремі розробки по створенню інфрачервоних і ультрафіолетових оптичних Вологоміров, і всі вони мають одну загальну позитивну якість - це Вологоміри миттєвої дії. Під цим розуміється рекордно швидке встановлення аналітичного сигналу для проби, поміщеної між джерелом світла й фотоприймачем. Інші особливості оптичних датчиків визначаються тим, що в інфрачервоній області поглинання молекулами води відповідає обертально-коливальним ступеням волі. Це означає, що ймовірності переходів, і, відповідно, перетину поглинання в законі Ламберта-Бугера-Бера залежать від температури об'єкта. У вакуумній ультрафіолетовій області перетин поглинання від температури не залежить. Із цієї причини ультрафіолетові датчики вологості є більше кращими, але інфрачервона техніка, що використовується в ІК датчиках вологості, набагато простіше в експлуатації, чим ВУФ техніка.

В оптичних датчиків є й один загальний недолік - вплив на показання компонентів, що заважають. В інфрачервоній області це різні молекулярні гази, наприклад окису вуглецю, сірки, азоту, вуглеводні й т.д. У вакуумному ультрафіолеті основним компонентом, що заважає, є кисень. Проте можна вибрати довжини хвиль у ВУФ, де поглинання кисню мінімально, а поглинання пар води максимально. Наприклад, зручною областю є випромінювання резонансної лінії водню з довжиною хвилі А, = 121,6 нм. На цій довжині хвилі в кисню спостерігається «вікно» прозорості в той час, як пари води помітно поглинають. Іншою можливістю є використання випромінювання ртуті з довжиною хвилі 184,9 нм. У цій області кисень випромінювання не поглинає й весь сигнал поглинання визначається парами води.

Резонансна воднева лампа з вікном із фтористого магнію розташовується на відстані в кілька міліметрів від фотоелемента з катодом з нікелю. Нікелевий фотоелемент має довгохвильову границю чутливості -190 нм. Вікна із фтористого магнію мають короткохвильову границю прозорості 110 нм. У цьому діапазоні довжин хвиль (від 190 до 110 нм) у спектрі водневої лампи присутня тільки резонансне випромінювання 121,6 нм, що і використовується для виміру абсолютної вологості без який-небудь монохроматизації.

В оптичного датчика є ще одна особливість – можливість змінювати чутливість зміною відстані від лампи до фотоприймача. Справді, зі збільшенням відстані нахил характеристики dU/dN вихідного сигналу від концентрації прямо пропорційний величині зазору між лампою й фотодіодом.

Важливою якістю оптичного датчика є наслідок із закону Ламберта-Бугера-Бера, що складає в тім, що такий датчик потрібно калібрувати тільки в одній крапці. Якщо, наприклад, визначити сигнал із приладу при якій-небудь одній певній концентрації пар води, то зробити шкалу приладу можна розрахунковим шляхом на тім підставі, що зміна логарифма сигналів при різних концентраціях дорівнює:

<?xml version="1.0" encoding="UTF-16"?>                                                             (6)

де N – концентрація (число) молекул в одиниці об'єму; δλ - перетин поглинання, I - довжина поглинаючого проміжку.

Для визначення відносної й абсолютної вологості на практиці часто використовуються прилади, що одержали назву психрометрів. Психрометри являють собою два однакових термометри, один із яких обернуть ґнотом і змочується водою. Мокрий термометр показує температуру нижче, ніж сухий термометр у тому випадку, якщо відносна вологість не дорівнює 100%. Чим нижче відносна вологість, тим більше різниця показань сухого й мокрого термометрів. Для психрометрів різних конструкцій складаються так звані психрометричні таблиці, по яких перебувають характеристики вологості.

Психрометр не дуже зручний в експлуатації, оскільки його показання не просто автоматизувати, і потрібне постійне зволоження ґнота. Проте саме психрометр є найпростішим і разом з тим досить точним і надійним засобом виміру вологості. Саме по психрометрі найчастіше градуюються гігрометри з волосяними, ємнісними або резистивними датчиками.

На закінчення коротко зупинимося на методах виміру вологості рідин і твердих матеріалів. Найпоширенішим є метод висушування або випарювання вологи з речовини з наступним зважуванням. Звичайно пробу висушують доти, поки не перестане змінюватися її вага. При цьому, природно, робиться два допущення. Перше - що вся сортована й хімічно зв'язана волога при обраному режимі випарювання зникає. І друге - що разом з вологою не випарується ніякий інший компонент. Очевидно, що в багатьох випадках гарантувати коректність виконання процедур випарювання дуже складно. Іншим універсальним методом виміру вологості рідких і твердих тіл є метод, коли волога з них переходить у газову фазу в якому-небудь замкнутому об'ємі. У цьому випадку стандартизують методику підготовки проби, а виміру ведуть одним зі згаданих типів гігрометрів, призначених для вимірів вологи в газовій фазі. З метою одержання надійних результатів такі пристрої калібрують по стандартних зразках вологості.

3. Вимір вологості психометричним вологоміром

Вологість газів, рідин і твердих матеріалів - один з важливих показників у технологічних процесах. Вологість газів, наприклад, необхідно вимірювати в сушильних установках, при очищенні газів, у газозбірниках, при кондиціюванні повітря й т.д. Вимір змісту води в нафті, спиртах, ацетоні проводять у процесах нафтопереробки й нафтохімії, у пульпах - у виробництві сірчаної кислоти й мінеральних добрив. Вимір вологості твердих сипучих матеріалів займає важливе місце у виробництві фарб, мінеральних добрив, будівельних матеріалів; вологість волокнистих матеріалів визначає якість продукції при виробництві паперу й картону.

Вологість газів у технологічних процесах звичайно вимірюють психрометричним методом.

Дія психрометричних вологомірів заснована на вимірі двох температур: температури «сухого» термодатчика, поміщеного в аналізований газ, і температури «мокрого» термодатчика, загорненого в панчоху з вологої тканини, кінець якого опущений у воду. За рахунок випару води цей термодатчик прохолоджується до температури меншої, чим температура газу. Зі збільшенням вологості газу випар іде менш інтенсивно й температура «мокрого» термометра росте. При вологості 100% вода взагалі не буде випаровуватися й температури обох термодатчиков зрівняються.

У промислових вологомірах у якості термодатчиков звичайно використовують термометри опору, включені. у схему для виміру відносини їхніх опорів, тобто відносини температур «мокрого» і «сухого» термометрів.

Із принципової схеми вологоміра видно, що вона складається із двох неврівноважених мостів, реохорда, підсилювача, реверсивного електродвигуна й пристрою, що показує. У плечі неврівноважених мостів включені відповідно «сухий» (Rc) і «мокрий» (RM) термометри Вихідний сигнал моста - напруга U2 включений зустрічно з напругою U3, що знімається про движок реохорда. Їхня різниця AU прикладена до входу підсилювача. Там вона підсилюється й пускає в хід реверсивний електродвигун. Вал електродвигуна переміщає движок реохорда й пов'язану з ним стрілку пристрою, що показує.

Стан рівноваги в схемі наступає при рівності напруг U2 і U3. При цьому ?U = 0, тому движок реохорда й стрільця приладу перестають переміщатися. Положення движка реохорода в момент рівноваги залежить від відношення напруг U1 і U2, а виходить, від відношення температур «сухого» і «мокрого» термометрів. Таким чином, положення стрілки приладу однозначно пов'язане з вимірюваною вологістю газу. Для виміру вологості рідин застосовують як спеціальні вологоміри, так і прилади, що вимірюють яку-небудь властивість рідини, якщо воно пов'язане з її вологістю. Наприклад, однієї з характеристик пульп є співвідношення рідина: тверде в її сполуці. Цю величину вимірюють звичайно плотномірами. У тих випадках, коли з пульпи віддаляється тільки рідка фаза (випарювання, фільтрування), показання плотноміра будуть визначатися змістом рідини в пульпі. У цьому випадку плотномір виконує функцію вологоміра.

У спеціальних Вологомірах для рідин використовують ємнісний і абсорбційний методи виміру.

Дія ємнісних вологоміров заснована на зміні діелектричної проникності рідини при зміні змісту в ній води. Електрична схема такого вологоміра аналогічна електричній схемі ємнісного рівнеміра. Зміна вологості рідини приводить до зміни ємності

Такими вологомірами вимірюють зміст води в нафті на нафтопереробних заводах. Діапазон виміру приладу 0-1%.

Принцип дії абсорбційних вологоміров для рідини заснований на поглинанні водою енергії випромінювання в області спектра близької до інфрачервоного.

Рідину пропускають через камеру, де через неї проходить потік випромінювання від джерела. Тому що в камері частина енергії поглинається вологою, енергія вихідного потоку буде тим менше, чим більше концентрація вологи в суміші.

Джерелом випромінювання служить лампа накалювання, приймачем - фоторезистор. Промислові аналізатори вологості служать для визначення концентрації вологи в ацетоні й спиртах від 0 до 5%.

Складність виміру вологості твердих сипучих і волокнистих матеріалів полягає в тім, що при взаємодії датчика з матеріалом може змінюватися його структура, насипна щільність і інші фактори, що істотно збільшують погрішність приладу. Тому в промисловості знайшли застосування в основному безконтактні методи виміру: оптичний і надвисокочастотний.

В оптичних вологомірах використовується зв'язок між вологістю речовини й потоком відбитого від нього випромінювання. Для одержання найбільшої чутливості застосовують випромінювання в інфрачервоній області спектра, що створюється джерелом. Відбитий аналізованим матеріалом світловий потік направляється пристроєм, що збирає, на приймач. Чим більше вологість матеріалу, тим краще він поглинає інфрачервоне випромінювання й тем менше величина відбитого потоку.

Оскільки таким методом можна виміряти вологість лише тонкого шару, вологомір звичайно застосовують для сипучих матеріалів, що транспортуються по конвеєрних стрічках.

Надвисокочастотні (СВЧ)

Надвисокочастотні (СВЧ) вологоміри використовують значне (у десятки разів) розходження електричних властивостей води й сухого матеріалу. Концентрацію вологи вимірюють по ослабленню Свч-випромінювання, що проходить через шар аналізованого матеріалу. У таких вологомірах стрічка матеріалу (наприклад, волокнистого: папір, картон) проходить між передавальною й приймальнею антенами. Передавальна антена з'єднана зі Свч-Генератором, приймальня - з вимірювальним пристроєм. Чим більше вологість аналізованого матеріалу, тим менше сигнал, що попадає у вимірювальний пристрій.

Свч-вологоміри дозволяють вимірювати вологість у широкому діапазоні (0-100%) з високою точністю.

4. Датчики й первинні перетворювачі для виміру відносної вологості

 

Первинні перетворювачі резистивного типу

Резистивный тип чутливого елемента (здійснюється перетворення « вологість-опір»);

Логарифмічна залежність передатної характеристики «вологість-опір»;

Вимір відносної вологості в природному діапазоні;

Малі габаритні розміри;

Стабільність у роботі довгий час;

Невисока вартість.

Застосування: гідрометри, керування вологістю.

Модель

Фото

Особливості

H12K5

Діапазон виміру - від 20 до 90%;

Опір 22 кому при 25 °C, 60%., 1 кГц

H25K5

Діапазон виміру - від 30 до 90%;

Опір 25кому при 25 °C, 60%., 1 кГц

H25K5A

Діапазон виміру - від 20 до 90%;

Опір 25кому при 25 °C, 60%., 1 кГц


Первинні перетворювачі ємнісного типу

Ємнісної тип чутливого елемента.

Вимір відносної вологості в повному діапазоні;

Мала інерційність;

Висока точність;

Малі габаритні розміри;

Тривалий термін служби;

Застосування: метеоприбори, кондиціонери, відеомагнітофони, відеокамери, автомобільна електроніка й т.п.

Модель

Фото

Особливості

818

Діапазон виміру - від 0 до 100%;

Лінійність: ±1% у діапазоні від 10 до 90%

Власна ємність 105пф±5% при 33% , 1 кГц


Датчики для виміру вологості й температури

Резистивний або ємнісної типи чутливого елемента для визначення вологості;

Убудований терморезистор для виміру температури;

Вихідний сигнал: напруга для вологості, опір для температури.

Висока лінійність перетворення.

Температурна компенсація.

Мала інерційність.

Гарна стабільність.

Маленький розмір.

Низька вартість.

Застосування: гідрометри, керування вологістю.

Тип датчика

H200M і H300М

H500M

H600M

Тип чутливого елемента  для визначення вологості

Резистивний

Ємнісної

Ємнісної

Чутливий елемент для визначення температури

Терморезистор 50 кому

Терморезистор 50 кому

Терморезистор 50 кому

Діапазон вимірюваної вологості

10 – 95%

0 – 100%

0 – 100%

Основна погрішність

±5%

±4%

±4%

Напруга живлення

5 У ± 5%

5 У ± 2%

5 У ± 2%

Діапазон вихідної напруги

0 ~ 3.0 В

0.38 ~ 0.68 В

0.38 ~ 0.68 В

Струм споживання

Не більше 5 мА

Не більше 1.5 мА

Не більше 1.5 мА

Робочий температурний діапазон

0...…+60С

0...…+50С

-20…+70С

Розмір

34 x 22 x 13 мм

34,5 x 22 x 12 мм

34,5 x 22 x 12 мм


Датчики вологості

На основі первинного перетворювача ємнісного типу (здійснюється перетворення « вологість-ємність-напруга»).

Висока лінійність перетворення.

Висока точність.

Мала інерційність.

Висока стабільність (1% у рік).

Маленький розмір.

Температурна компенсація.

Змінне захисне каніфольне покриття дозволяє використовувати датчики в поганих умовах навколишнього середовища.

Низька вартість.

Застосування: метеорологічні станції, контроль вологості у виробничих приміщеннях, пристрою для виміру відносної вологості й т.д.


Тип датчика

808H5V5

808H5V6

Діапазон вимірюваної вологості

0 – 100%

0 – 100%

Основна погрішність

±4%

±4%

Напруга живлення

5 У ± 5%

3.3 В ± 3%

Діапазон вихідної напруги

0.8 ~ 3.9 В

0 ~ 3.0 В

Струм споживання

Не більше 1.2 мА

Не більше 200 мкА

Робочий температурний діапазон

-40…+85С

-40…+85С

Розмір

12.5 x 8 x 5 мм

12.2 x 8 x 4 мм

Відстань між висновками

2.54 мм

2.54 мм



Датчик вологості ДВТ-02И

Датчик вологості ДВТ-02И створений на базі двох

приладів: Датчика вологості ДВТ-02 і Індикатора

фотополяриметрів сигналів ИТС 4-20

Датчик вологості ДВТ-02 призначений для контролю й  регулювання відносної вологості й температури газоподібних неагресивних середовищ у промислових, технологічних і лабораторних установках і відображення обмірюваних значень на ж/к індикаторі.

Технічні характеристики датчика вологості ДВТ-02И

Діапазон напруги живлення

12...36…36В

Кількість уніфікованих фотополяриметрів виходів 4–20 мА

2

Робочий діапазон каналу виміру відносної вологості при температурі від -40…+85С

0...98…98%

Погрішність перетворення відносної вологості

не більше

±3,0%

Робочий діапазон каналу виміру температури

-40…+85С

Погрішність перетворення температури

не більше ±1,0 °С

Постійна часу виміру температури

2 хв

Максимальний опір навантаження

1,0 кому

Роздільна здатність цифрової частини датчика

0,1

Цифрова фільтрація вимірюваних параметрів роздільна для кожного каналу*:

– глибина

– смуга фільтра

– період опитування



1...10

0...9999

0,3...30 з

Вибір типу індикації

фізичні параметри відносної вологості й температури або значення фотополяриметрів сигналів

Споживана потужність

не більше 0,2 ВА

Середній наробіток на відмову

не менш 20000 год

Маса датчика

не більше 0, 25 кг

Габаритні розміри

90х55х25 мм

Довжина зонда

100; 200; 300; 400; 600; 800; 1000 мм


5. Регулятори вологості

Регулятор вологості призначений для автоматичної підтримки відносної вологості повітря в діапазоні від 20 до 95% з точністю не гірше ± 1,5%. Прилад складається з гігрометричного датчика - гігристора R1, релейного пристрою на транзисторах V2-V4, V7 і блоки живлення.

На транзисторах V2-V4 релейні пристрої зібраний тригер Шмитта. При відносній вологості повітря, нижче встановленої на шкалі змінного резистора R3, транзистор V4 відкритий до насичення, і на діоді V5 є таксі напруга, що закриває транзистор V2. Транзистор V7 вихідного каскаду також закритий позитивною напругою на конденсаторі З2. Реле К1 знеструмлене. Повітря воложиться.

При збільшенні відносної вологості опір гигристора R1 зменшується, а отже, збільшується негативна напруга на базі транзистора V2. Коли воно перевищить напругу на діоді V5, тригер Шмитта перемкнеться транзистор V2 відкриється, a V4 закриється. Транзистор V7 відкриється, спрацює реле К1, контакти якого управляють виконавчим механізмом. Для підвищення стабільності рівнів спрацьовування тригера Шмита транзистори V2 і V4 зв'язані через емитерний повторювач на транзисторі V3.

Про включення напруги живлення й про режими роботи регулятора сигналізує лампа Н1. При включенні регулятора в мережу й малий відносної вологості струм через лампу HI обмежується резистором R9*, і вона світиться слабко. Збільшення відносної вологості викличе спрацьовування реле К1, шунтування резистора R9* контактами К1.1 і яскраве світіння лампи HI.

У регуляторі реле К1 - РПУ-2 або РПГ на напругу 24 У. В об'єктах з агресивними або вибухонебезпечними середовищами реле К1 герметизує.

Трансформатор Т1 намотаний на муздрамтеатрі ШЛ12 X 16. Обмотка I містить 5300 витків проведення ПЕВ-1 - 0,1, обмотка II - 480 витків проведення ПЕВ-1 - 0,35, III -145 витків проведення ПЕВ-1-0,21. Сигнальна лампа HI - КМ на 24 У и 35 мА.

Датчик вологості – гигристор R1 – можна виготовити самостійно з однобічного товщиною 1 мм по розмірах, показаним на малюнку. Витравлені електроди датчика сріблять або лудять, потім знежирюють, покривають насиченим розчином хлористого літію або повареної солі й просушують. Опір виготовленого датчика 120...30 кому при відносній вологості повітря 20...55%. Для роботи в умовах підвищеної вологості (50..95%) датчик виконують із двостороннього стеклотекстолита без наступного покриття волого чутливою сполукою. Датчик до регулятора приєднують екранованим проведенням.

Налагодження регулятора починають із підбора резистора R2* для установки границь шкали резистора R3, а потім градуюють шкалу. Для цього гигристор і контрольний психрометр поміщають у камеру з вологістю, що змінюється. Психрометром визначають вологість у камері й, змінюючи опір резистора R3, домагаються спрацьовування реле К1. Кожному значенню вологості в камері відповідає своє положення движка резистора R3. По отриманих крапках будують шкалу регулювання вологості.

При експлуатації автоматичного регулятора варто уникати конденсації вологи на гигристорі. Зміна характеристик датчика від запилення можна запобігти, установивши його вертикально й помістивши в захисний кожух.

Гігростат у кімнатному виконанні HGMINI


Призначення

Гідростат типу HG mini є контролером

Регулюванням відносної вологості повітря. Він використовується для керування роботою і осушувачів в офісах, комп'ютерних кімнатах. Іншими областями застосування є зберігання харчових продуктів, склади для зберігання овочів і фруктів, теплиці, текстильна продукція, паперова й друкована промисловості, виробництво плівок, медичні установи. Гідростат HG Mini може використовуватися при рішенні багатьох завдань регулювання й моніторингу вологості.

Кімнатний гідростат HG зроблений таким чином, що ручка настроювання перебуває усередині корпуса. Це ускладнює доступ до регулятора сторонніх осіб.

Опис гідростата

Елемент, вироблений компанією Galltec під торговельною маркою «Polyqa», складається з декількох синтетичних ниток, кожна з яких містить у собі 90 окремих волокон діаметром 0,003 мм. Після спеціальної обробки нитки здобувають гігроскопічні властивості.

Вимірювальний елемент абсорбує й випаровує вологу, ефект набрякання, що проявляється головним чином у збільшенні довжини, передається системою важелів мікровимикачу з дуже маленьким ходом штока. На зміну вологості повітря вимірювальний елемент реагує швидко й точно. При настроюванні за допомогою ручки регулятора система важелів приводиться в дію таким чином, що коли досягається встановлене значення вологості повітря, активується мікровимикач.

Вимірювальний елемент розташовується усередині корпуса й повинен бути захищений від влучення пилу, бруду й води. Дані гідростати сконструйовані для систем з нормальним атмосферним тиском.

Положення при монтажі повинне бути обране таким чином, щоб конденсат не міг проникнути у внутрішні частини корпуса. При установці може бути обране будь-яке положення, коли вентиляційні отвори перпендикулярні напрямку повітряного потоку.

Технічні дані

Вимірювальний діапазон ...……………………………30…......100% RH

Точність вимірів …………………………………….... 3,0 RH

Робочий діапазон ...………………………………………35…100%

Гістерезис мікроперемикача…………………….... – 4% RH

Монтаж

Не можна допускати прямого контакту гігростатів з водою (наприклад бризи при збиранні кліматичних камер і т.п.);

Місце установки гігростата повинне бути обране таким чином, щоб вологість повітря в цьому місці відповідала вологості повітря вимірюваного приміщення;

Гігростат повинен розташовуватися в потоці повітря.

Регулятори відносної вологості повітря типу ВЧ-510М и ВЧ-536М

застосовуються в системах мікроклімату тваринницьких приміщень. Принцип дії дітовбивці регулятора ВЧ-510М и шорстколистого ВЧ-536М, що працюють у комплекті з первинним перетворювачем ДОВП-1, заснований на методі «нуль- індикатор». При підключенні первинного перетворювача вологості до волого регулятору відбувається порівняння напруги постійного струму перетворювача вологості, що пропорційно значенню відносної вологості повітря, з напругою постійного струму, що знімається з датчика вологості. Напруга неузгодженості надходить на модулятор і підсилюється за допомогою підсилювача змінного струму. Залежно від знака напруги неузгодженості каскад управляє роботою симетричного статичного тригера в дітовбивці регуляторі ВМ - 510М або двома тригерами в шорстколистому регуляторі ВЧ - 536М.

Тригери підключені до обмоток електромагнітних реле, які забезпечують включення й відключення виконавчих пристроїв у системі регулювання.

Вологорегулятори ВМ - 510М и ВЧ - 536М виконані в металевому корпусі прямокутної форми. Їх з'єднують із первинним перетворювачем окремим екранованим кабелем. Довжина сполучного кабелю до 300 метрів. Імовірність безвідмовної роботи приладу за 2000 годин не менш 0,94. Нижче приводяться основні технічні дані приладів.

тип

ВМ – 510М

ВЧ – 536М

Діапазон регульованої відносної вологості повітря, %

20...…100

40...…100

Температура регульованого середовища, ос

5...35…35

5...35…35

Діапазон регулювання зони повернення (нечутливості) відносної вологості повітря, %

2...10…10

2...10…10

Основна погрішність регулятора відносної вологості повітря, %, і не більше

Розривна потужність контактів вихідного реле, Вт:

при напрузі змінного струму 220 У;

при напрузі постійного струму 220 У


500

40


500

40

Споживана потужність, Вт

25

25

Напруга живлення, В

220

220

Коливання напруги живлення, %

+10…–15

+10…–15

Частота змінного струму, Гц

Температура навколишнього середовища, ос

-30…+50

-30…+50

Відносна вологість повітря при температурі навколишнього середовища 35ос, %

до 95

До 95

Габарити, мм

Маса, кг

4

4


Висновок

Вологість газів, рідин і твердих матеріалів - один з важливих показників у технологічних процесах. Вологість газів, наприклад, необхідно вимірювати в сушильних установках, при очищенні газів, при кондиціюванні повітря й т.д. Вимір змісту води в нафті, спиртах, ацетоні проводять у процесах нафтопереробки й нафтохімії, у виробництві сірчаної кислоти й мінеральних добрив. Вимір вологості твердих сипучих матеріалів займає важливе місце у виробництві фарб, мінеральних добрив, будівельних матеріалів; вологість волокнистих матеріалів визначає якість продукції при виробництві паперу й картону. У даній курсовій роботі мною були розглянуті методи й засоби виміру вологості, прилади для виміру вологості, а також регулятори вологості, що дозволяють контролювати вологість у приміщенні на необхідному рівні.

Список літератури

1. Богословський В.Н. Будівельна теплофізика. – К., 2004

2. Коряків В.И., Запорожець А.С. Прилади в системах контролю вологості твердих речовин і їхні метрологічні характеристики. – К., 2004

3. Івченко Ю.А., Федоров А.А. Чим виміряти вологість? –К., 2004

4. Баркалов Б.В., Карпис Б.Е. Кондиціювання повітря в промислових, суспільних і житлових будинках. – К., 2006

Похожие работы на - Дослідження приладів по вимірюванню вологості

 

Не нашли материал для своей работы?
Поможем написать уникальную работу
Без плагиата!
Без нейросетей!