Расчет намагничивающего устройства для магнитопорошкового метода неразрушающего контроля
Введение
Электромагнитным
устройствам принадлежит заметная роль в современной радиоэлектронной аппаратуре
и средствах автоматики при решении широкого круга технических задач в
приводных, программных, переключающих, тормозных, фиксирующих, блокировочных и
многих других устройствах.
Относительная
простота, компактность конструкций, широкие функциональные возможности
электромагнитных устройств обусловили применение их в системах автоматики и
телемеханики, управления, сигнализации, контроля, защиты, информационных и
других отраслях техники, науки, производства.
Электромагнитные
устройства получили широкое применение в неразрушающем контроле, в частности в
магнитопорошковом методе.
Широкое
применение неразрушающих методов контроля, не требующих вырезки образцов или
разрушения готовых изделий, позволяет избежать больших потерь времени и
материальных затрат, обеспечить частичную или полную автоматизацию операций
контроля при одновременном значительном повышении качества и надежности
изделий. В настоящее время ни один технологический процесс получения
ответственной продукции не внедряется в промышленность без соответствующей
системы неразрушающего контроля.
Одним из
самых распространенных методов неразрушающего контроля стальных деталей
является магнитопорошковый. Он нашел широкое применение в авиации,
железнодорожном транспорте, химическом машиностроении, судостроении,
автомобильной и во многих других отраслях промышленности. Этот метод часто
является единственно возможным для оценки закалочных трещин, шлифовочных прижогов
и других дефектов. Большие объемы применения магнитопорошкового метода объясняются
его высокой чувствительностью к трещиноподобным дефектам, наглядностью
результатов.
Крайне важной
чертой в подобной дефектологии является то, что неразрушающая диагностика
позволяет заблаговременно выявить слабые узлы и дефекты внутри деталей или
объектов. На сегодняшний день методы неразрушающего контроля получили широкое
применение практически во всех областях промышленности. Большое количество
различных методов и технологий позволяют применять их в самых разных областях.
Магнитопорошковый
метод неразрушающего контроля используют при поиске поверхностных и
подповерхностных микродефектов в сварных швах, деталях и конструкциях из
ферромагнитных материалов. С этой целью изделие намагничивают и покрывают
магнитным порошком, который оседает на неоднородностях магнитного поля в зоне
дефектов, формируя видимые «следы» дефектов.
Этот метод
позволяет обнаруживать тонкие, невидимые глазом поверхностные дефекты,
материала типа трещин (закалочных, сварочных, шлифовочных, усталостных,
штамповочных, литейных и др.), волосовин, закатов, заковов, надрывов, некоторых
видов расслоений.
Подобный
метод дефектологии используется для диагностики важных узлов или материалов,
где обычные способы дефектологии не применимы. Это могут быть крупногабаритные
и высоконагруженные объекты повышенной опасности или объекты с ограниченным
доступом к поверхности контроля. К таким объектам относятся сосуды давления,
трубопроводы, агрегаты и др. В этих случаях приборы неразрушающего контроля
показывают хорошие результаты и дают достоверные оценки целостности материалов.
Магнитный
метод неразрушающего контроля активно применяется сегодня при поиске
микродефектов в различных изделиях из ферромагнитных материалов. В основе
данного метода лежит использование свойств магнитных частиц концентрироваться
на неоднородностях магнитного поля объекта. Данные неоднородности обусловлены
наличием в изделии дефектов.
Магнитопорошковый
контроль нашел очень широкое применение на железнодорожном транспорте, в
авиации, судостроении, химическом машиностроении, автомобилестроении,
нефтедобывающей и газодобывающей отраслях (контроль трубопроводов). Магнитно
порошковый контроль имеет очень высокую производительность, чувствительность, также
удобную наглядность результатов контроля. При грамотном использовании данного
метода могут быть обнаружены дефекты даже в начальной стадии их появления.
Цель данного курсового
проекта рассчитать намагничивающий элемент для магнитопорошкового метода неразрушающего
контроля.
В первом
разделе данного курсового проекта рассматривается природа магнитного поля, его
основные характеристики; магнитные свойства различных веществ и источники
магнитного поля.
Во втором
разделе подробно рассматривается устройство электромагнитов, их классификация,
применение и примеры использования.
В третьем
разделе рассматривается соленоид и его применение.
В четвертом
разделе данного курсового проекта рассчитывается намагничивающее устройство для
магнитопорошкового метода неразрушающего контроля.
1 Магнитное
поле
1.1 Основные
характеристики магнитного поля
При
прохождении электрического тока по проводнику вокруг него образуется магнитное
поле. Магнитное поле представляет собой один из видов материи. Оно обладает
энергией, которая проявляет себя в виде электромагнитных сил, действующих на
отдельные движущиеся электрические заряды (электроны и ионы) и на их потоки, т.е.
электрический ток. Под влиянием электромагнитных сил движущиеся заряженные
частицы отклоняются от своего первоначального пути в направлении,
перпендикулярном полю в соответствии с рисунком 1.1. Магнитное поле образуется
только вокруг движущихся электрических зарядов, и его действие распространяется
тоже лишь на движущиеся заряды.
Магнитное и
электрические поля неразрывны и образуют совместно единое электромагнитное
поле. Всякое изменение электрического поля приводит к появлению магнитного поля
и, наоборот, всякое изменение магнитного поля сопровождается возникновением
электрического поля. Электромагнитное поле распространяется со скоростью света,
т.е. 300 000 км/с.
Графически
магнитное поле изображают магнитными силовыми линиями, которые проводят так,
чтобы направление силовой линии в каждой точке поля совпадало с направлением
сил поля; магнитные силовые линии всегда являются непрерывными и замкнутыми.
Направление магнитного поля в каждой точке может быть определено при помощи
магнитной стрелки. Северный полюс стрелки всегда устанавливается в направлении
действия сил поля. Конец постоянного магнита, из которого выходят силовые линии
соответствии с рисунком 1.2-а, принято считать северным полюсом, а
противоположный конец, в который входят силовые линии, – южным полюсом.
Распределение
силовых линий между полюсами плоского магнита можно обнаружить при помощи
стальных опилок, насыпанных на лист бумаги, положенный на полюсы соответствии с
рисунком 1.2-б. Для магнитного поля в воздушном зазоре между двумя параллельно
расположенными разноименными полюсами постоянного магнита характерно
равномерное распределение силовых магнитных линий соответствии с рисунком 1.3.

Рисунок 1.1 –
Схемы действия магнитного поля на движущиеся электрические заряды:
положительный ион (а) и электрон (б).

Рисунок 1.2 –
Магнитное поле, созданное постоянным магнитом
Рисунок 1.3 –
Однородное магнитное поле между полюсами постоянного магнита

Рисунок 1.4 –
Магнитный поток, пронизывающий катушку при перпендикулярном (а) и наклонном (б)
ее положениях по отношению к направлению магнитных силовых линий
Для более
наглядного изображения магнитного поля силовые линии располагают реже или гуще.
В тех местах, где магнитное роле сильнее, силовые линии располагают ближе друг
к другу, там же, где оно слабее, – дальше друг от друга. Силовые линии
нигде не пересекаются.
Во многих
случаях удобно рассматривать магнитные силовые линии как некоторые упругие
растянутые нити, которые стремятся сократиться, а также взаимно отталкиваются
друг от друга (имеют взаимный боковой распор). Такое механическое представление
о силовых линиях позволяет наглядно объяснить возникновение электромагнитных сил
при взаимодействии магнитного поля и Проводника с током, а также двух магнитных
полей.
Основными
характеристиками магнитного поля являются магнитная индукция, магнитный поток,
магнитная проницаемость и напряженность магнитного поля.
Интенсивность
магнитного поля, т.е. способность его производить работу, определяется
величиной, называемой магнитной индукцией. Чем сильнее магнитное поле,
созданное постоянным магнитом или электромагнитом, тем большую индукцию оно
имеет. Магнитную индукцию В можно характеризовать плотностью силовых магнитных
линий, т.е. числом силовых линий, проходящих через площадь 1 м2
или 1 см2, расположенную перпендикулярно магнитному полю.
Различают
однородные и неоднородные магнитные поля. В однородном магнитном поле магнитная
индукция в каждой точке поля имеет одинаковое значение и направление.
Однородным может считаться поле в воздушном зазоре между разноименными полюсами
магнита или электромагнита при некотором удалении от его краев в соответствии с
рисунком 1.3. Магнитный поток Ф, проходящий через какую-либо поверхность,
определяется общим числом магнитных силовых линий, пронизывающих эту
поверхность, например катушку 1 в соответствии с рисунком 4-а, следовательно, в
однородном магнитном поле
(1.1)
где S – площадь
поперечного сечения поверхности, через которую проходят магнитные силовые
линии.
Отсюда
следует, что в таком поле магнитная индукция равна потоку, поделенному на
площадь S поперечного сечения:
(1.2)
Если
какая-либо поверхность расположена наклонно по отношению к направлению
магнитных силовых линий в соответствии с рисунком 1.4-б, то пронизывающий ее
поток будет меньше, чем при перпендикулярном ее положении, т.е. Ф2
будет меньше Ф1.
В системе
единиц СИ магнитный поток измеряется в веберах (Вб), эта единица имеет
размерность В*с (вольт-секунда). Магнитная индукция в системе единиц СИ
измеряется в теслах (Тл); 1 Тл = 1 Вб/м2.
Магнитная
индукция зависит не только от силы тока, проходящего по прямолинейному
проводнику или катушке, но и от свойств среды, в которой создается магнитное
поле. Величиной, характеризующей магнитные свойства среды, служит абсолютная
магнитная проницаемость μа. Единицей ее измерения является
генри на метр (1 Гн/м = 1 Ом*с/м).
В среде с
большей магнитной проницаемостью электрический ток определенной силы создает
магнитное поле с большей индукцией. Установлено, что магнитная проницаемость
воздуха и всех веществ, за исключением ферромагнитных материалов, имеет
примерно то же значение, – что и магнитная проницаемость вакуума.
Абсолютную
магнитную проницаемость вакуума называют магнитной постоянной, μо
= 4π*10-7 Гн/м. Магнитная проницаемость ферромагнитных
материалов в тысячи и даже десятки тысяч раз больше магнитной проницаемости
неферромагнитных веществ. Отношение магнитной проницаемости μа
какого-либо вещества к магнитной проницаемости вакуума μо
называют относительной магнитной проницаемостью:
(1.3)
Напряженность
Н не зависит от магнитных свойств среды, но учитывает влияние силы тока и формы
проводников на интенсивность магнитного поля в данной точке пространства.
Магнитная индукция и напряженность связаны отношением
(1.4)
Следовательно,
в среде с неизменной магнитной проницаемостью индукция магнитного поля
пропорциональна его напряженности.
Напряженность
магнитного поля измеряется в амперах на метр (А/м) или амперах на сантиметр
(А/см).
По изменению
во времени выделяют постоянные, переменные, импульсные, вращающиеся, пульсирующие,
бегущие и шумоподобные магнитные поля.
Постоянным
магнитным полем является поле, индукция которого не изменяется во времени. В
каждой точке пространства вектор магнитного поля остается постоянным по
значению и направлению. Постоянное магнитное поле образуется либо постоянным
магнитом, либо постоянным электрическим током, протекающим по какому-либо
проводнику.
Переменноемагнитное
поле образуется с помощью индукторов при питании их переменными, чаще всего
синусоидальными, токами. В переменноемагнитном поле в каждой точке пространства
изменяются как значение, так и направление вектора магнитной индукции в
соответствии с законом изменения тока.
Пульсирующее
магнитное поле – разновидность переменноемагнитного поля, у которого вектор
магнитной индукции изменяется по уровню, но не изменяется по направлению. Такое
поле образуется в индукторе при питании его пульсирующим током.
Вращающееся
магнитное поле характеризуется тем, что вектор магнитной индукции перемещается
в пространстве. Создается вращающееся магнитное поле с помощью трех или
многофазных преобразователей. При этом индукторы должны располагаться либо по
окружности, либо по образующей цилиндр.
Импульсное
магнитное поле формируется с помощью индукторов при питании их импульсным током
заданной формы.
Импульсное
бегущее магнитное поле представляет собой поле, перемещающееся в пространстве
относительно неподвижного объекта и импульсно изменяющееся во времени.
Воспроизвести его можно двумя способами: механическим перемещением источника
импульсного магнитного поля относительно объекта или последовательно
переключением тока в группе неподвижных индукторов.
Шумоподобное
магнитное поле – поле с хаотически изменяющимися основными параметрами.
1.2
Магнитные свойства различных веществ
Все вещества –
твердые, жидкие и газообразные в зависимости от магнитных свойств делят на три
группы: ферромагнитные, парамагнитные и диамагнитные.
К
ферромагнитным материалам относят железо, кобальт, никель и их сплавы. Они
обладают высокой магнитной проницаемостью μ, в тысячи и даже десятки тысяч
раз большей магнитной проницаемости неферромагнитных веществ, и хорошо
притягиваются к магнитам и электромагнитам.
К
парамагнитным материалам относят алюминий, олово, хром, марганец, платину,
вольфрам, растворы солей железа и др. Относительная магнитная проницаемость μ
у них несколько больше единицы. Парамагнитные материалы притягиваются к
магнитам и электромагнитам в тысячи раз слабее, чем ферромагнитные материалы.
Диамагнитные
материалы к магнитам не притягиваются, а, наоборот, отталкиваются. К ним
относят медь, серебро, золото, свинец, цинк, смолу, воду, большую часть газов,
воздух и пр. Относительная магнитная проницаемость μ у них несколько
меньше единицы.
Ферромагнитные
материалы благодаря их способности намагничиваться широко применяют при
изготовлении электрических машин, аппаратов в других электротехнических
установок. Основными характеристиками их являются: кривая намагничивания,
ширина петли гистерезиса и потери мощности при перемагничивании.
Процесс
намагничивания ферромагнитного материала можно изобразить в виде кривой
намагничивания в соответствии с рисунком 1.5-а, которая представляет собой
зависимость индукции В от напряженности Н магнитного поля. Так как
напряженность магнитного поля определяется силой тока, посредством которого
намагничивается ферромагнитный материал, эту кривую можно рассматривать как
зависимость индукции от намагничивающего тока I.
Кривую
намагничивания можно разбить на три участка: Оа, на котором магнитная индукция
возрастает почти пропорционально намагничивающему току (напряженности поля); а-б,
на котором рост магнитной индукции замедляется («колено» кривой
намагничивания), и участок магнитного насыщения за точкой б, где зависимость В
от H становится опять прямолинейной, но характеризуется медленным нарастанием
магнитной индукции при увеличении напряженности поля по сравнению с первым и
вторым участками кривой.
Следовательно,
при большом насыщении ферромагнитные вещества по способности пропускать
магнитный поток приближаются к неферромагнитным материалам (магнитная
проницаемость их резко уменьшается). Магнитная индукция, при которой происходит
насыщение, зависит от рода ферромагнитного материала.

Рисунок 1.5 –
Кривая намагничивания ферромагнитного материала (а) и петля гистерезиса (б)
Чем больше
индукция насыщения ферромагнитного материала, тем меньший намагничивающий ток
требуется для создания в нем заданной индукции и, следовательно, тем лучше он
пропускает магнитный поток.
Магнитную
индукцию в электрических машинах, аппаратах и приборах выбирают в зависимости
от предъявляемых к ним требований. Если необходимо, чтобы случайные колебания
намагничивающего тока мало влияли на магнитный поток данной машины или
аппарата, то выбирают индукцию, соответствующую условиям насыщения (например, в
генераторах постоянного тока с параллельным возбуждением). Если желательно,
чтобы индукция и магнитный поток изменялись пропорционально намагничивающему
току (например, в электроизмерительных приборах), то выбирают индукцию,
соответствующую прямолинейному участку кривой намагничивания.
Большое
практическое значение, особенно в электрических машинах и установках
переменного тока, имеет процесс перемагничивания ферромагнитных материалов. На
рисунке 1.5-б показан график изменения индукции при намагничивании и
размагничивании ферромагнитного материала (при изменении намагничивающего тока
I или напряженности магнитного поля Н).
Как видно из
этого графика, при одних и тех же значениях напряженности магнитного поля
магнитная индукция, полученная при размагничивании ферромагнитного тела
(участок а-б-в), будет больше индукции, полученной при намагничивании (участки
О-а и д-а). Когда напряженность поля (намагничивающий ток) будет доведена до
нуля, индукция в ферромагнитном материале не уменьшится до нуля, а сохранит
некоторое значение Вr соответствующее отрезку Об. Это значение называется
остаточной индукцией.
Явление
отставания, или запаздывания, изменений магнитной индукции от соответствующих
изменений напряженности магнитного поля называется магнитным гистерезисом, а
сохранение в ферромагнитном материале магнитного поля после прекращения
протекания намагничивающего тока – остаточным магнетизмом.
При изменении
направления намагничивающего тока можно полностью размагнитить ферромагнитное
тело и довести магнитную индукцию в нем до нуля. Обратная напряженность Нс, при
которой индукция в ферромагнитном материале уменьшается до нуля, называется
коэрцитивной силой. Кривую О-а, получающуюся при условии, что ферромагнитное
вещество было предварительно размагничено, называют первоначальной кривой
намагничивания.
Следовательно,
при перемагничивании ферромагнитного вещества, например при постепенном
намагничивании и размагничивании стального сердечника электромагнита, кривая
изменения индукции будет иметь вид петли; ее называют петлей гистерезиса.
При
периодическом перемагничивании ферромагнитного вещества затрачивается
определенная энергия, которая выделяется в виде тепла, вызывая нагревание
ферромагнитного вещества. Потери энергии, связанные с процессом
перемагничивания стали, называют потерями на гистерезис. Значение этих потерь
при каждом цикле перемагничивания пропорционально площади петли гистерезиса.
Потери мощности на гистерезис пропорциональны квадрату максимальной индукции Вmах
и частоте перемагничивания f. Поэтому при значительном увеличении индукции в
магнитопроводах электрических машин и аппаратов, работающих в переменном
магнитном поле, эти потери резко возрастают.
Рисунок 1.6 –
Распределение магнитных силовых линий в кольце из ферромагнитного материала
Если
поместить в магнитное поле какое-либо тело из ферромагнитного материала, то
магнитные силовые линии будут входить и выходить из него под прямым углом. В
самом теле и около него будет иметь место сгущение силовых линий, т.е. индукция
магнитного поля внутри тела и вблизи него возрастает.
Если
выполнить ферромагнитное тело в виде кольца, то во внутреннюю его полость
магнитные силовые линии практически проникать не будут в соответствии с
рисунком 1.6, и кольцо будет служить магнитным экраном, защищающим внутреннюю
полость от влияния магнитного поля. На этом свойстве ферромагнитных материалов
основано действие различных экранов, защищающих электроизмерительные приборы,
электрические кабели и другие электротехнические устройства от вредного
воздействия внешних магнитных полей.
1.3
Источники магнитного поля
Магнитное
поле – одна из форм электромагнитного поля. Его рассматривают как особый вид
материи, посредством которого осуществляется связь и взаимодействие между
движущимися электрическими зарядами.
Оно создается
движущимися электрическими зарядами и спиновыми моментами атомных носителей
магнетизма. Поэтому везде, где существует движущийся электрический заряд или
электрический ток, возникает магнитное поле.
Обнаруживают магнитное
поле по его действию на движущиеся электрические заряды или вещества с
собственным магнитным полем. Важным свойством магнитного поля является
неограниченность в пространстве: по мере удаления от движущихся электрических
зарядов поле значительно ослабляется, но конечных границ не имеет.
Магнитные
поля весьма разнообразны по своим свойствам. По происхождению различают
естественные (геомагнитное поле, поле природных магнитов), искусственные
(получаемые с помощью аппаратов или от предварительно намагниченных тел) и
магнитные поля биологического происхождения (магнитные поля биообъектов).
Магниты
состоят из миллионов молекул, объединенных в группы, которые называются
доменами. Каждый домен ведет себя как минеральный магнит, имеющий северный и
южный полюс. При одинаковой направленности доменов их сила объединяется,
образуя более крупный магнит.
Железо имеет
множество доменов, которые можно сориентировать в одном направлении, т.е.
намагнитить. Домены в пластмассе, резине, дереве и остальных материалах
находятся в беспорядочном состоянии, их магнитные поля разнонаправлены и потому
эти материалы не могут намагничиваться.
Существуют
три основных вида магнитов:
а) постоянные
(природные) магниты;
б) временные
магниты;
в) электромагниты.
Природные
магниты, называемые магнитной рудой, образуются, когда руда, содержащая железо
или окиси железа, охлаждается и намагничивается за счет земного магнетизма.
Постоянные магниты обладают магнитным полем при отсутствии электрического тока,
так как их домены постоянно ориентированы в одном направлении.
Временные
магниты – это магниты, которые действуют как постоянные магниты только тогда,
когда находятся в сильном магнитном поле, и теряют свой магнетизм, когда
магнитное поле исчезает. В качестве примера можно привести скрепки и гвозди, а
также другие изделия из «мягкого» железа.
Электромагниты
представляют собой металлический сердечник с индукционной катушкой, по которой
проходит электрический ток.
2
Электромагниты
2.1 Первый
электромагнит
После
опубликования памфлета Эрстеда многие заинтересовались проблемами
электромагнетизма: в том же 1820 г. Араго продемонстрировал проволоку с
током, облепленную железными опилками, а Ампер доказал, что спираль с током –
соленоид – обладает всеми свойствами природного магнита, притягивая мелкие
железные предметы.
Что касается
первого электромагнита, т.е. катушки, обтекаемой током и содержащей внутри
железный сердечник, то его изобретения пришлось ждать еще пять лет. Это
устройство создал Вильям Стерджен.
Он родился в
Ланкастере в 1783 г. в семье сапожника. Молодого Вильяма послали учиться
мастерству к сапожнику, и тот, по-видимому, держал его в черном теле. Вильям
голодал, и поэтому, как только представился случай, сбежал от сапожника в
воинскую часть. Было ему в то время девятнадцать лет. Через два года Вильям
дослужился до артиллериста, он много читал, ставил физические и химические
опыты.
Однажды,
когда их часть стояла на острове Ньюфаундленд, налетел страшный ураган,
сопровождавшийся молниями и громом. Ураган произвел на Вильяма неожиданно
сильное впечатление и привлек его внимание к электричеству.
Он стал
читать книги по естествознанию, однако вскоре с горечью понял, что ничего в них
не понимает. Тогда он решил начать с самых азов и занялся письмом, чтением и
грамматикой. Сержант той же части снабжал его книгами, которые Вильям,
освободившись от вахты, читал по ночам. Вскоре он перешел к математике, языкам,
оптике и естествознанию.
После
освобождения от воинской службы в 1820 г. Стерджен купил токарный станок и
посвятил себя изготовлению физических приборов, в частности электрических.
Первым
вкладом Стерджена в науку стала разработка им модифицированной модели
вращающихся цилиндров Ампера. 23 мая 1825 г. представил Обществу искусств
несколько усовершенствованных приборов для электромагнитных экспериментов,
среди которых был ставший теперь знаменитым первый электромагнит.
Идея
цилиндрического и подковообразного магнитов захватила его еще в 1823 г.
Тогда Стерджен и построил вращающееся «колесо Стерджена» – фактически одну из
первых модификаций электромотора.
Первый в мире
электромагнит представлял собой согнутый в подкову лакированный железный
стержень длиной 30 см и диаметром 1,3 см, покрытый сверху одним слоем
изолированной медной проволоки. Электроэнергией он снабжался от гальванической
батареи. Электромагнит удерживал на весу 3600 г. и значительно превосходил по силе природные магниты такой же массы. Это было блестящее по тем
временам достижение.
Джоуль,
экспериментируя с самым первым магнитом Стерджена, сумел довести его подъемную
силу до 20 кг. Это было в том же 1825 г.
В 1828 г.
лондонский часовой мастер Воткинс изготовил электромагнит, который поднимал 30 кг.
В 1832 г.
Стерджен изготовил магнит, поднимавший 160 кг, но уже в том же году Марш создал магнит, способный поднять более 200 кг. Однако Стерджен не собирался терять
первенства. По его заказу в 1840 г. был выполнен электромагнит, способный
поднять уже 550 кг!
К тому
времени у Стерджена нашелся очень сильный соперник за океаном. В апреле 1831 г.
Джозеф Генри (его именем названа единица индуктивности) построил электромагнит
массой около 300 кг, поднимавший около 1 т.
Все эти
магниты по конструкции представляли собой подковообразные стержни, обмотанные
проволокой. Джоуль в ноябре 1840 г. создал магнит собственной конструкции,
в виде толстой стальной трубы, разрезанной вдоль оси. Сечение этого магнита
было очень большим, магнит оказался компактным и поднимал 1,3 т.
В то же время
Джоуль построил магнит совершенно новой конструкции – притягиваемый груз
испытывал действие не двух полюсов, как обычно, а значительно большего
количества, что позволило резко увеличить поднимаемый груз. Магнит массой 5,5 кг удерживал груз массой 1,2 т.
Первые
магниты были сделаны «как бог на душу положит». Однако не любая форма давала
хороший результат. Случайно получилось так, что Стерджен для своего первого
магнита выбрал очень удачную – подковообразную – форму.
Отсутствие
опыта и элементарной методики расчета магнитов привело к тому, что некоторые
разновидности магнитов, предложенные в то время, были бы, на наш взгляд, просто
абсурдными. Так, трехлапый магнит не мог бы успешно работать, так как магнитные
потоки каждого стержня противодействовали бы друг другу – поток одного стержня
замыкали на втором стержне, где он действовал навстречу потоку этого стержня.
Негодной, на
современный взгляд, оказывается и очень часто использовавшаяся конструкция,
один магнит в которой составлен из трех более мелких и намотанных отдельно.
Ясно, что в промежутках между этими маленькими магнитами магнитные поля двух
соседних стержней взаимно уничтожаются.
Лабораторные
магниты того периода изготовлялись «на глазок». Никакой теории, которая
позволила бы заранее предсказать свойства магнитов, не существовало.
Первый вклад
в теорию расчета электромагнитов внесли русские ученые Э.X. Ленц и Б.С. Якоби,
указавшие на связь подъемной силы электромагнита и произведение силы тока в
катушках на число витков обмотки.
После Ленца и
Якоби крупный вклад в теорию расчета магнитов внесли англичане братья
Гопкинсоны, которые предложили метод учета насыщения – явления, давно
замеченного проектировщиками магнитов и заключающегося в том, что в магните
заданной формы после некоторого предела увеличением тока в катушках нельзя повысить
его подъемную силу.
Современная
теория связывает это явление с тем, что при достижении некоторого
намагничивающего тока элементарные магнитики (диполи) железа (ферромагнетика),
ранее расположенные беспорядочно, в основном ориентированы в одном направлении
и при дальнейшем усилении намагничивающего тока существенного увеличения числа
магнитиков, ориентированных в одном направлении, не происходит.
Наступила
новая эра усиления мощности магнитов, но не путем увеличения их размеров, а
посредством совершенствования их формы и борьбы с насыщением.
2.2 Общие
сведения об электромагнитах
Электромагнитом
называется всякое железное, стальное или чугунное тело (сердечник), могущее
быть временно намагниченным посредством пропускания электрического тока по
проводнику (обмотка), окружающему это тело.
Вокруг
всякого проводника, по которому проходит электрический ток, возникает магнитное
поле, характер которого может быть описан указанием расположения и
распределения магнитных силовых линий этого поля. Если проводник представляет
тонкую проволоку значительной длины, то магнитные силовые линии созданного
вокруг проволоки поля представляют вокруг каждой точки проволоки систему
концентрических кругов, расположенных вокруг проволоки, как вокруг оси в соответствии с рисунком
2.1.
Рисунок 2.1 –
Магнитные силовые линии электромагнита
Направление
линий сил (направление поля; то направление, в котором двигался бы вокруг
проволоки свободный северный магнитный полюс) зависит от направления тока в
проволоке; направление линий сил в зависимости от направления тока определяется
следующим правилом если мы будем глядеть вдоль тока так, чтобы ток уходил от
нас, то линии сил будут направлены по направлению движения часовой стрелки.
Сила поля в
данной точке его (число линий сил, пересекающих площадку в 1 квадратный
сантиметр, расположенную в данной точке перпендикулярно к направлению линий
сил) растет пропорционально силе тока, проходящего по проволоке; уменьшается по
мере удаления от проволоки пропорционально расстоянию от проволоки (закон Био и
Савара, 1820 г.) и может быть выражена через
(2.1)
где H – сила
поля в динах (или число линий на 1 см2);
J – сила тока
в амперах;
А – расстояние
проволоки в см.
Если
проволока представляет не прямую, а какую-нибудь линию в плоскости или
пространстве, то характер поля её вообще будет иной, зависящий от формы
проволоки. Так, если проволока согнута в плоское кольцо, то расположение линий
сил будет таково, какое показано в одной из диаметральных плоскостей кольца в соответствии с рисунком
2.2.
Рисунок 2.2 –
Расположение линий сил для проволоки, согнутой в кольцо
Сила поля в
какой-либо точке на оси кольца, радиусом в R см, отстоящей на а см от плоскости
кольца, равна
(2.2)
Если
проволока навита спирально вокруг кругового цилиндра (соленоид), то поле внутри
её состоит из пучка почти параллельных и равномерно густо расположенных линий
сил, расходящихся по мере приближения к концу соленоида и охватывающих его со
всех сторон; линии сил в одной из плоскостей сечения соленоида, проходящей
через его ось располагаются в соответствии с рисунком 2.3.
Рисунок 2.3 –
Линии сил в плоскости сечения, проходящей через ось соленоида
Чем ближе
расположены друг к другу отдельные витки соленоида, чем большее число витков
приходится на единицу длины соленоида и чем больше длина соленоида, тем более
параллельны по направлению и равномерны по густоте распределения линии сил
внутри соленоида, т.е. тем однороднее до силе и направлению будет магнитное
поле внутри соленоида.
Если на таком
соленоиде длины L см расположено N витков проволоки, по которым проходит ток
силой в J ампер, то число линий сил на площадку в 1 квадратный сантиметр,
расположенную перпендикулярно к линиям сил внутри соленоида, или сила поля
внутри соленоида, может быть выражена формулой
(2.3)
Если соленоид
по меньшей мере в 6 раз длиннее диаметра составляющих его витков, то
приведенная формула (2.3) дает с точностью до 1% силу поля той части внутри
соленоида, которая отстоит по меньшей мере на 2 диаметра от концов соленоида.
Направление
линий сил, пронизывающих соленоид, может быть определено по выше приведенному
правилу для прямолинейного проводника, но еще проще по ниже следующему правилу:
если мы будем глядеть на конец соленоида, и ток будет кружить по виткам его до
направлению движения часовой стрелки, то линии сил внутри соленоида будут
направлены от нас внутрь соленоида; если ток идет по виткам против направления
часовой стрелки, то линии сил идут изнутри соленоида к нам. Количество линий
сил, пронизывающих соленоид, или магнитный поток Ф, пронизывающий его,
равняется:
(2.4)
где H – сила
поля внутри соленоида (число линий сил на 1 см2);
S – сечение
соленоида в см2.
По характеру
внешнего поля, создаваемого им, соленоид качественно и количественно совершенно
подобен магниту в соответствии с рисунком 2.4, из которого выходит Ф линий сил, т.е. на
полюсах которого находится Ф/4 π единиц количества магнетизма.
Рисунок 2.4 –
Линии сил постоянного магнита
По аналогии с
магнитом тот конец соленоида, из которого выходят линии сил, можно назвать
северным полюсом соленоида, а тот конец, в который входят линии сил, – южным
полюсом. И во внешних своих проявлениях соленоид, обегаемый током, совершенно
подобен магниту: будучи подвешен, он устанавливается в магнитном меридиане;
разноименные полюсы двух соленоидов притягиваются, одноименные отталкиваются;
на железо, на магнитную стрелку соленоид действует как магнит.
Таким
образом, соленоид является магнитом, которого магнитные свойства можно по
желанию возбудить и уничтожить и внутреннее однородное поле которого нам доступно.
Такой соленоид-магнит не может, однако, даже в исключительных условиях
сравниться по силе даже с самыми обыкновенными стальными магнитами.
Действительно,
если мы предположим даже, что на 1 см длины соленоида приходится, например,
20 оборотов (N/L = 20) и что J = 10 ампер, то H будет равно (2.3) всего только
около 250, между тем как стальные магниты средней силы дают магнитный поток,
соответствующий H, равному около 1000.
Магнитный
поток, даваемый соленоидом, можно значительно увеличить, если заполнить
пространство внутри его сильно магнитным веществом – железом, сталью, чугуном.
Такой соленоид с железным стержнем (сердечником) внутри его представляет
электромагнит в
соответствии с рисунком 2.5; ему можно придать самые различные формы, из которых две
основные – стержневой электромагнит и подковообразный электромагнит.
Рисунок 2.5 –
Положение полюсов электромагнита
Положение
полюсов у электромагнита определяется по тому же самому правилу, как и у
соленоида: если глядеть на полюс, и ток течет вокруг него по направленно
движения часовой стрелки в соответствии с рисунком 2.5, то это – полюс южный, если против движения
часовой стрелки, то это – полюс северный. Магнитный поток, исходящей из
электромагнита, может быть сделан чрезвычайно большим; в некоторых практически
достигнутых случаях из 1 см2 плоскости полюса выходило до 40000
линий сил (или индукции).
Число,
показывающее во сколько раз увеличился магнитный поток от заполнения соленоида
железом, не есть величина постоянная при данном соленоиде, данной силе тока и
данном сорте железа, а зависит в сильной мере от формы железного сердечника,
близости его полюсов друг от друга и т.д.
Причины,
влияющие на величину магнитного потока, исходящего из электромагнита, не
поддавались анализу, и посему предвычисление электромагнита с данными
свойствами было почти невозможно, пока Роулэнд, Бозанке и их последователи не
ввели в рассмотрение этого вопроса нового понятия о «магнитной цепи»; к
краткому изложению этого понятия и перейдем.
Магнитный
поток Ф, возникающий внутри соленоида, Ф = НS, может быть, согласно формуле (2.3),
написан в виде
(2.5)
Магнитный
поток состоит из линий сил, исходящих из одного полюса, замыкающихся через
окружающее пространство и внутреннюю полость соленоида, в соответствии с рисунком
2.3, и
образующих, таким образом, замкнутую магнитную цепь. Поток Ф тем больше, чем
больше числитель формулы (2.5) 0,4π NJ; в этом числителе стоит
произведение NJ (ампер-обороты), являющееся причиной возникновения магнитного
потока; числитель 0,4π NJ называют поэтому магнитодвижущей силой цепи.
Поток Ф тем
меньше, чем больше знаменатель L/S, который, подобно электрическому
сопротивлению, пропорционален длине пути магнитного тока (внутри соленоида) и
обратно пропорционален сечению этого пути; по аналогии выражение L/S – называют
магнитным сопротивлением воздушного пути внутри соленоида.
Таким
образом, устанавливается аналогия между законом Ома для электрической цепи и
правилом (2.5) магнитной цепи: сила электрического тока (величина магнитного
потока) прямо пропорциональна электродвижущей силе (магнитодвижущей силе) и
обратно пропорциональна электрическому (магнитному) сопротивлению цепи.
Относительно
выведенной этим путем аналогии необходимо сделать следующие оговорки:
а) эта
аналогия чисто формальная, так как по природе своей явление тока не может быть
уподоблено явлению магнитного потока;
б) в качестве
сопротивления магнитной цепи соленоида нужно было бы поистине считать не только
сопротивление воздушного столба внутри соленоида, но и сопротивление всего
окружающего соленоид воздушного пространства, через которое замыкаются линии
сил.
Но
сопротивление этого пространства (внешнее сопротивление), в виду безграничной
протяженности его, обыкновенно столь ничтожно в сравнении с сопротивлением
(внутренним) воздушного столба внутри соленоида, что им можно пренебречь. Этим сопротивлением
нельзя пренебречь, если внутреннее магнитное сопротивление само ничтожно мало
(широкий, короткий соленоид), и это сказывается тем, что формула (2.4), как уже
было упомянуто, к этому случаю не может быть применена; абсолютно точна она
лишь для случая, когда и внутреннее сопротивление бесконечно велико по
сравнению с внешним.
Возможен и
другой случай, когда формула (2.5) будет совершенно точна: возьмем длинный
тонкий соленоид и согнем его по кругу так, чтобы одна выходная плоскость его
наложилась на другую; мы получим тогда расположенную по кольцу соленоидальную
обмотку, внутри которой будут протекать все возникающие линии сил, не выходя
наружу; в этом случае внешнего сопротивления вовсе нет и формула (2.5) вполне
применима.
Из принятой
нами аналогии вытекают затем следующие следствия:
а) проводя
аналогию между магнитным сопротивлением (L/S) столба воздуха и электрическим
сопротивлением R проводника
(2.6)
где k – удельная
проводимость вещества проводника,
Мы полагаем
удельную магнитную проводимость воздуха равной единице. Магнитную удельную
проводимость принято называть проницаемостью; проницаемость воздуха равна
единице.
б) Для того,
чтобы заставить пройти магнитный поток Ф путь сечением S кв. см и длиной в L
см, необходимо число ампер-оборотов
(2.7)
Т. е. на
каждый сантиметр пути необходимо число ампер-оборотов
(2.8)
Аналогично с
этим необходима определенная разность потенциалов на каждый сантиметр длины
проводника, чтобы возбудить в нем электрический ток определенной плотности
(определенной силы на каждый квадратный сантиметр сечения).
Если мы
заменим всю воздушную магнитную цепь соленоида веществом, у которого
проницаемость μ больше, чем у воздуха, например, железом, то магнитное
сопротивление уменьшится в μ раз, а поток Ф увеличится в μ раз. Для
этого случая формула (2.5) примет вид
(2.9)
Число линий
сил, пронизывающих 1 квадратный сантиметр плоскости, перпендикулярной к линиям
сил, тоже увеличится в μ раз и будет, направлена, внутрь соленоида не H, а
(2.10)
величину B называют
магнитной индукций. Если мы заполним железом только внутреннюю полость
соленоида, то ввиду значительной проницаемости железа (доходит до μ =
3000) внутреннее магнитное сопротивление настолько уменьшится, что внешним
воздушным сопротивлением нельзя будет пренебречь сравнительно с внутренним, и
формула (2.9) сделается неприменимой.
Она останется
применимой:
а) если,
несмотря на введение железа, внутреннее сопротивление очень велико (соленоид
очень длинный и тонкий)
б) если
соленоид представляет сплошную замкнутую кольцевую обмотку.
Последний
случай практически наиболее важный, и мы в дальнейшем только его и будем
рассматривать. Опыт показывает, что формула (2.9) с достаточной для практики
точностью применима и тогда, когда сплошной замкнутый железный сердечник не по
всей длине обмотан проволокой в соответствии с рисунком 2.6; в этом случае не все
линии сил потока проходят через железо, а часть замыкается и через воздух, но,
ввиду огромной сравнительно с воздухом проницаемости железа, эта утечка
магнитных линии сил столь ничтожна, что в практических расчетах ею часто можно
пренебречь.
Рисунок 2.6 –
Силовые линии сплошного замкнутого железного сердечника, не по всей длине
обмотанного проволокой
Применяя к
данному случаю формулу (2.9), мы убеждаемся, аналогично вышеизложенному, что
необходимое число ампер-оборотов для того, чтобы заставить пройти индукцию В
через 1 см пути с проницаемостью μ:
(2.11)
Так, например,
если бы мы желали достичь индукцию В = 12000 в электромагните в соответствии с
рисунком 2.7 с железным путем в 30 см, и нам известно было бы, что при
данной индукции проницаемость железа μ = 900, то, согласно (2.11), нам
потребовалось бы для этого 0,8 (12 000/900) 30 = 320 ампер-оборотов, т.е.
обмотку в 320 оборотов, до которой проходил бы ток в 1 ампер, или обмотку в 160
оборотов и ток в 2 ампера и т.д.
Слишком малое
число оборотов нельзя взять, так как в этом случае обмотка будет занимать
слишком малую часть сердечника, и утечка будет слишком велика.
Рисунок 2.7 –
Разомкнутая магнитная цепь
Из теории
магнитного поля, данной Максвеллом, следует, что две соприкасающиеся плоскости,
сквозь которые проходит индукция B, притягивают друг друга с силой в
(2.12)
где S – число
квадратных сантиметров в плоскости соприкосновения.
Если в
упомянутом выше электромагните в соответствии с рисунком 2.7 полная плоскость
соприкосновения якоря с полюсными поверхностями электромагнита равняется 20 кв.
см, то нужно было бы употребить силу в 12000 2 х 20/ 8π 981000 = около 120 кГ, чтобы оторвать якорь от электромагнита.
Приподнимем
якорь над полюсными поверхностями электромагнита в соответствии с рисунком 2.8.
Рисунок 2.8 –
Якорь, поднятый над полюсными поверхностями электромагнита
Вследствие
этого:
а) увеличится
магнитное сопротивление цепи, так как к первоначальному сопротивлению
прибавится еще сопротивление двух воздушных слоев ab;
б) уменьшится
соответственно увеличению сопротивления поток
(2.13)
где 2l
– удвоенная высота воздушного слоя;
в) увеличится
утечка линий сил.
Если l
очень невелико, то мы можем предположить, что ширина пути, занимаемого потоком
в воздушных слоях, равна толщине железа электромагнита, и что утечка столь
незначительна, что ею еще можно пренебречь на практике, и на этих основаниях
пользоваться формулой (2.13). Она дает
NJ = (ФL/ Sμ + 2 Фl/ S) 0,8 = 0,8 В (L/ μ + 2l),
т.е. для
достижения того же В мы к выше полученному числу ампер-оборотов должны
прибавить еще число ампер-оборотов, необходимое для того, чтобы заставить
пройти индукцию В через слой воздуха 2l.
Если мы опять
пожелали бы получить В = 12000, а l было бы равным только 1 мм, то
нам потребовалось бы, благодаря огромному сопротивлению, введенному двумя
тонкими воздушными слоями, уже не 360, а 2280 ампер-оборотов!
Если бы мы
удалили якорь на значительное расстояние в соответствии с рисунком 2.9, то
утечка очень сильно возросла бы, поток сильно ослабел бы и, вследствие
неопределенности величины утечки и сопротивления воздушных частей пути линий
сил, всякий расчет сделался бы невозможным.
Отсюда видно,
что расчет электромагнита на основании принципа магнитной цепи возможен лишь
тогда, когда электромагнит с его якорем представляет почти замкнутую магнитную
цепь, и результат применения правила магнитной цепи становится тем более
сомнительным, чем больше сопротивление воздушных слоев сравнительно с
сопротивлением железного пути.
Рисунок 2.9 –
Отведение якоря на значительное расстояние
В наиболее
важных на практике случаях (электромагниты у динамо-машин и двигателей,
электромагниты в телеграфных приборах, часах и т.д.) мы имеем дело с почти
замкнутыми магнитными цепями, и применением правила магнитной цепи возможно. Но
и в этих случаях, если мы желаем достичь некоторой точности расчета, приходится
на основании опытов или вычислений приблизительно определять, какой процент
возникающих в соленоиде линий сил утекает, и принимать эти данные в соображение
при расчете. Лишь в случае электромагнита, держащего приложенный к нему якорь в
соответствии с рисунком 2.7, расчет по приведенному выше образцу дает
достаточную для технических целей точность.
Пользуясь
правилом магнитной цепи, необходимо иметь ввиду, что проницаемости сильно
магнитных веществ не есть величина постоянная, но в сильной мере зависит от
силы магнитного поля, в которое помещены эти вещества.
Поэтому
применение закона магнитной цепи возможно лишь в том случае, если зависимость
проницаемости от силы поля известна для всех веществ (железо, сталь, чугун),
входящих в конструкцию данного электромагнита. Данные для различных веществ
располагаются обыкновенно в таблицах или кривых, в которых дается зависимость
между силой поля H и индукцией.
В этих же
таблицах для облегчения расчета дается обыкновенно и число ампер-оборотов на 1 см
пути данного материала при данной индукции. В качестве примера ниже приведены
некоторые данные для лучшего мягкого железа, литой стали и чугуна.
Таблица 2.1 –
Параметры для веществ
Железо мягкое
|
H
|
μ
|
B
|
A.-O. на 1 см
|
|
1,4
|
2760
|
4000
|
1,16
|
|
1,9
|
3160
|
6000
|
1,52
|
|
2,5
|
3200
|
8000
|
2,00
|
|
3,4
|
2940
|
10000
|
2,74
|
|
5,2
|
2310
|
12000
|
4,16
|
|
13,5
|
1040
|
14000
|
10,80
|
|
44,0
|
364
|
16000
|
36,20.
|
Сталь литая
|
2,3
|
1740
|
4000
|
1,84
|
|
3,1
|
1900
|
6000
|
2,52
|
|
4,0
|
2000
|
8000
|
3,20
|
|
5,3
|
1890
|
10000
|
4,24
|
|
8,4
|
1430
|
12000
|
6,72
|
|
15,4
|
910
|
14000
|
12,32
|
|
42,5
|
376
|
16000
|
34,00
|
Чугун
|
2,4
|
834
|
2000
|
1,92
|
|
3,5
|
857
|
3000
|
2,80
|
|
5,5
|
728
|
4000
|
4,40
|
|
9,9
|
505
|
5000
|
7,92
|
|
20,0
|
300
|
6000
|
16,00
|
|
42,0
|
167
|
7000
|
33,60
|
Если
магнитная цепь электромагнита состоит из ряда частей, составленных из различных
магнитных материалов, то правило магнитной цепи напишется в наиболее общем виде
Ф = 0,4 π NJ/ (L1/S1 μ 1 + L2/S2 μ 2 + L3/S3 μ 3 +…) (2.14)
где L1, L2,
L3… – длины пути магнитного потока в этих частях;
S1, S2, S3… –
сечения этих путей;
μ 1, μ
2, μ 3… – проницаемости данных материалов при данных индукциях B1 = Ф/S1,
B2 = Ф/S2, B3 = Ф/S3… в них.
Полное число ампер-оборотов,
необходимое для получения потока Ф, получится как сумма, необходимых для путей
L1, L2, L3… при индукциях B1, B2, B3….
Если
магнитная цепь разветвляется, как это часто имеет место в электромагнитах
динамо-машин, то расчет ведется аналогично расчетам разветвлений электрического
тока, так как, в виду полной аналогии между правилом магнитной цепи и законом
Ома, все следствия из закона Ома (с надлежащими в каждом частном случае
ограничениями) могут быть применяемы и к магнитной цепи.
Рисунок 2.10
– Электромагнит Дю-Буа
Катушки N и M
создают поток, который замыкается через железные бока и основание рамы ОКО';
поле создается в пространстве с. Сердечники N и M просверлены и снабжены по
концам никелевыми призмами а и b для наблюдений над магнитным вращением
плоскости поляризации в веществах, помещенных в поле. H – коммутатор,
посредством которого можно менять направление тока в обмотке электромагните и
тем самым изменять направление потока и поля в пространстве с.
Электромагнит
Румкорфа не отличается рациональностью конструкции, так как длинные и
относительно тонкие железные части боков и основания его представляют
сравнительно большое магнитное сопротивление. Значительно более совершенен
электромагнит, сконструированный в недавнее время Дю-Буа в соответствии с
рисунком 2.10; MM NN представляет обмотку; поле получается в а, между конически
отточенными полюсными наконечниками; в СС сердечники просверлены для
магнито-оптических наблюдений.
Изображенный
электромагнит несет около 2500 оборотов проволоки и при 20 амперах дает поле в
35000 линий сил на кв. см на протяжении воздушного слоя в 1 мм длиной и
около 30 кв. мм сечением. Посредством подобного электромагнита Дю-Буа достигал
силы поля выше 40000 линий на кв. см. К этой же группе могут быть отнесены
электромагниты, применяемые в электромагнитных тормозах, основанных на индукции
токов в металлических массах, движущихся в магнитном поле.
Электромагниты
для приставания, назначением которых является удерживать якорь, оттягиваемый
грузом или пружиной в соприкосновении с полюсами до тех пор, пока по обмотке
электромагнита проходит ток, и отпускать его, когда ток прекратится. Сюда
относятся электромагниты, применяемые во многих электрических кранах и
лебедках, электромагниты, применяемые для сцепления отдельных частей механизмов
в желаемый момент (тормоза, механизмы для сцепления валов), а также
электромагниты, применяемые во многих хронографах. Все эти электромагниты,
представляя почти замкнутую магнитную цепь, легко поддаются расчету; для того,
чтобы удерживательная их сила, рассчитанная по формуле (2.12), была возможно
большой, необходимо по возможности уменьшать их магнитное сопротивление,
конструируя их из толстых коротких железных частей в соответствии с рисунком 2.11.
Рисунок 2.11
– Конструкция электромагнитов, применяемых в кранах и лебедках
A – сердечник;
В-якорь;
СС – обмотка.
Опыт показал,
что даже в лучшем железе практически трудно достичь индукции выше 14–16000
линий на кв. см; отсюда следует на основании формулы (2.12), что наибольший
груз, который может держать 1 кв. см полюсной поверхности электромагнита, будет
равняться в лучших условиях от 8 до 10 кГ.
Электромагниты
для притяжения якоря на расстоянии находят наибольшее применением (телеграфы,
звонки, прерыватели, электрические часы, реле, хронографы, телефоны и т.д.).
В виду
большого сопротивления, представляемого воздушными слоями между полюсными
наконечниками и якорем, величина магнитного сопротивления железной части цепи
играет меньшую роль, и поэтому сердечники могут быть в случае надобности более
тонкими и длинными. В виду большого общего магнитного сопротивления цепи
индукция даже при значительном числе ампер-оборотов не может быть большой, и
притягательная сила электромагнита на якорь всегда сравнительно незначительна.
Интересное
видоизменение этого типа представляют поляризованные электромагниты (предложены
Юзом в 1855 г.), в которых сердечники поддерживаются все время сильно
намагниченными при помощи сильных стальных магнитов.
Такие электромагниты
представляют две особенности:
а) Сила, с
которой они притягивают якорь, зависит от направления тока в обмотке электромагнита;
действительно, если магниты сердечника всегда обладают определенной индукцией
B, то пропускание тока по обмотке в том направлении, которое усиливает эту
индукцию, увеличит силу притяжения якоря; обратное направление тока ослабит
притяжение. На этом свойстве поляризованных электромагнитов основано применение
их в тех электромагнитных приборах, в которых направление движения якоря должно
меняться с изменением направления тока, проходящего по обмотке электромагнита
(электрические звонки для переменного тока).
б) Незначительная
сила тока в обмотке электромагнита вызывает большее изменение притягательной
силы, чем в обыкновенном электромагните Действительно, предположим, что сила
тока в обмотке такова, что она может возбудить поле, H = 2,3; тогда в
обыкновенном электромагните с сердечником из литой стали возникнет индукция
4000 и пропорциональная квадрату её или 16 сила притяжения. Если же сердечник
был уже предварительно намагничен до В = 6000, то усиление его намагничевания
при помощи поля H = 2,3 вызовет приблизительно индукцию около 10000; при
пропускании тока сила притяжения, следовательно, увеличится от 6 2 = 36 до 10 2
= 100, т.е. на 100–36 = 64, что в 4 раза больше, чем в неполяризованном электромагните.
В виду этого свойства поляризованные электромагниты применяются во всех тех
случаях, когда ничтожный по силе ток должен вызвать заметное изменение в силе
притяжения якоря (реле, телефоны).
Магниты для
отделения сильно магнитных материалов от немагнитных веществ, к которым первые
примешаны. Электромагниты этого рода находят теперь большое применение в
обогащении железных руд; измельченная железная руда бежит струёй мимо электромагнита,
который втягивает в свое поле все сильно магнитные части руды, содержащие
железо, и пропускает мимо несодержащие железо минеральные составные части руды.
Сюда же можно отнести электромагниты, применяемые в медицине для извлечения из
различных частей тела (в особенности, глаз) врезавшихся в них железных
частичек.
Электромагниты
с подвижным сердечником, в которых при пропускании тока через обмотку соленоида
подвижной железный сердечник втягивается в соленоид. Подобные электромагниты применяются
во многих измерительных и регулирующих инструментах и в регуляторах дуговых
ламп.
Придавая
сердечнику соответственную форму, стараются достичь того, чтобы сила втяжения
сердечника на значительном протяжении его пути была по возможности одинакова.
2.3
Устройство электромагнита
Вместе с тем
при всем разнообразии встречающихся на практике электромагнитов они состоят из
основных частей одинакового назначения. К ним относятся катушка с расположенной
на ней намагничивающей обмоткой (может быть несколько катушек и несколько
обмоток), неподвижная часть магнитопровода, выполняемого из ферромагнитного
материала (ярмо и сердечник) и подвижная часть магнитопровода (якорь). В
некоторых случаях неподвижная часть магнитопровода состоит из нескольких
деталей (основания, корпуса, фланцев и т.д.).
Якорь
отделяется от остальных частей магнитопровода воздушными промежутками и
представляет собой часть электромагнита, которая, воспринимая электромагнитное
усилие, передает его соответствующим деталям приводимого в действие механизма.
Количество и
форма воздушных промежутков, отделяющих подвижную часть магнитопровода от
неподвижной, зависят от конструкции электромагнита. Воздушные промежутки, в
которых возникает полезная сила, называются рабочими; воздушные промежутки, в которых
не возникает усилия в направлении возможного перемещения якоря, являются
паразитными.
Поверхности
подвижной или неподвижной части магнитопровода, ограничивающие рабочий
воздушный промежуток, называют полюсами.
В зависимости
от расположения якоря относительно остальных частей электромагнита различают
электромагниты с внешним притягивающимся якорем, электромагниты со
втягивающимся якорем и электромагниты с внешним поперечно движущимся якорем.
Характерной
особенностью электромагнитов с внешним притягивающимся якорем является внешнее
расположение якоря относительно обмотки. На него действует главным образом
рабочий поток, проходящий от якоря к торцу шляпки сердечника.
Характер
перемещения якоря может быть вращательным (например, клапанный электромагнит) или
поступательным. Потоки рассеяния (замыкающиеся помимо рабочего зазора) у таких
электромагнитов практически не создают тягового усилия, и поэтому их стремятся
уменьшить. Электромагниты этой группы способны развивать достаточно большое
усилие, но обычно применяются при сравнительно небольших рабочих ходах якоря.
Особенностью
электромагнитов со втягивающимся якорем являются частичное расположение якоря в
своем начальном положении внутри катушки и дальнейшее перемещение его в катушку
в процессе работы.
Потоки
рассеяния у таких электромагнитов, особенно при больших воздушных зазорах,
создают определенное тяговое усилие, в результате чего они являются полезными,
особенно при сравнительно больших ходах якоря. Такие электромагниты могут
выполняться со стопом или без него, причем форма поверхностей, образующих
рабочий зазор, может быть различной в зависимости от того, какую тяговую
характеристику нужно получить.
Наибольшее
распространение получили электромагниты с плоскими и усеченно коническими
полюсами, а также электромагниты без стопа. В качестве направляющей для якоря
чаще всего применяется трубка из немагнитного материала, создающая паразитный
зазор между якорем и верхней, неподвижной, частью магнитопровода.
Электромагниты
со втягивающимся якорем могут развивать усилия и иметь ход якоря, изменяющиеся
в очень большом диапазоне, что обусловливает их широкое распространение.
В каждой из
трех перечисленных групп электромагнитов в свою очередь имеется ряд
конструктивных разновидностей, связанных как с характером протекающего по
обмотке тока, так и с необходимостью обеспечения заданных характеристик и
параметров электромагнитов.
2.4 Классификация
электромагнитов
Электромагниты
весьма разнообразны по конструктивным выполнениям, которые различаются по своим
характеристикам и параметрам, поэтому классификация облегчает изучение
процессов, происходящих при их работе.
В зависимости
от способа создания магнитного потока и характера действующей намагничивающей
силы электромагниты подразделяются на три группы: электромагниты постоянного
тока нейтральные, электромагниты постоянного тока поляризованные и
электромагниты переменного тока.
В нейтральных
электромагнитах постоянного тока рабочий магнитный поток создается с помощью
обмотки постоянного тока. Действие электромагнита зависит только от величины
этого потока и не зависит от его направления, а следовательно, от направления
тока в обмотке электромагнита. При отсутствии тока магнитный поток и сила
притяжения, действующая на якорь, практически равны нулю.
Поляризованные
электромагниты постоянного тока характеризуются наличием двух независимых
магнитных потоков: (поляризующего и рабочего. Поляризующий магнитный поток в
большинстве случаев создается с помощью постоянных магнитов.
Иногда для
этой цели используют электромагниты. Рабочий поток возникает под действием
намагничивающей силы рабочей или управляющей обмотки. Если ток в них
отсутствует, на якорь действует сила притяжения, создаваемая поляризующим
магнитным потоком. Действие поляризованного электромагнита зависит как от
величины, так и от направления рабочего потока, т.е. от направления тока в
рабочей обмотке.
В
электромагнитах переменного тока питание обмотки осуществляется от источника
переменного тока. Магнитный поток, создаваемый обмоткой, по которой проходит
переменный ток, периодически изменяется по величине и направлению (переменный
магнитный поток), в результате чего сила электромагнитного притяжения пульсирует
от нуля до максимума с удвоенной частотой по отношению к частоте питающего
тока.
Однако для
тяговых электромагнитов снижение электромагнитной силы ниже определенного
уровня недопустимо, так как это приводит к вибрации якоря, а в отдельных
случаях к прямому нарушению нормальной работы. Поэтому в тяговых
электромагнитах, работающих при переменном магнитном потоке, приходится
прибегать к мерам для уменьшения глубины пульсации силы (например, применять
экранирующий виток, охватывающий часть полюса электромагнита).
Кроме
перечисленных разновидностей, в настоящее время большое распространение
получили электромагниты с выпрямлением тока, которые по питанию могут быть
отнесены к электромагнитам переменного тока, а по своим характеристикам
приближаются к электромагнитам постоянного тока. Поскольку все же имеются
некоторые специфические особенности их работы.
В зависимости
от способа включения обмотки различают электромагниты с последовательными и
параллельными обмотками.
Обмотки
последовательного включения, работающие при заданном токе, выполняются с малым
числом витков большого сечения. Ток, проходящий по такой обмотке, практически
не зависит от ее параметров, а определяется характеристиками потребителей,
включенных последовательно с обмоткой.
Обмотки
параллельного включения, работающие при заданном напряжении, имеют, как
правило, весьма большое число витков и выполняются из провода малого сечения.
По характеру
работы обмотки электромагниты разделяются на работающие в длительном,
прерывистом и кратковременном режимах.
По скорости
действия электромагниты могут быть с нормальной скоростью действия,
быстродействующие и замедленно действующие. Это разделение является несколько
условным и свидетельствует главным образом о том, приняты ли специальные меры
для получения необходимой скорости действия.
Все
перечисленные выше признаки накладывают свой отпечаток на особенности
конструктивных выполнений электромагнитов.
2.5
Применение электромагнитов
Электромагниты
получили настолько широкое распространение, что трудно назвать область техники,
где бы они не применялись в том или ином виде. Они содержатся во многих бытовых
приборах – электробритвах, магнитофонах, телевизорах и т.п. Устройства техники
связи – телефония, телеграфия и радио немыслимы без их применения.
Электромагниты
являются неотъемлемой частью электрических машин, многих устройств промышленной
автоматики, аппаратуры регулирования и защиты разнообразных электротехнических
установок.
Развивающейся
областью применения электромагнитов является медицинская аппаратура. Наконец,
гигантские электромагниты для ускорения элементарных частиц применяются в
синхрофазотронах.
Вес
электромагнитов колеблется от долей грамма до сотен тонн, а потребляемая при их
работе электрическая мощность – от милливатт до десятков тысяч киловатт.
Особой
областью применения электромагнитов являются электромагнитные механизмы. В них
электромагниты используются в качестве привода для осуществления необходимого
поступательного перемещения рабочего органа или поворота его в пределах
ограниченного угла, или для создания удерживающей силы.
Примером
подобных электромагнитов являются тяговые электромагниты, предназначенные для
совершения определенной работы при перемещении тех или иных рабочих органов;
электромагнитные замки; электромагнитные муфты сцепления и торможения и
тормозные электромагниты; электромагниты, приводящие в действие контактные
устройства в реле, контакторах, пускателях, автоматических выключателях;
подъемные электромагниты, электромагниты вибраторов и т.п.
В ряде
устройств наряду с электромагнитами или взамен их используются постоянные
магниты (например, магнитные плиты металлорежущих станков, тормозные
устройства, магнитные замки и т.п.).
2.6
Примеры использования электромагнитов
Электромагнитные
подъемные краны. На заводах применяются электромагнитные подъемные краны,
которые могут переносить огромные грузы без их крепления. Здесь используются
электромагниты. Пока в обмотке электромагнита есть ток, ни одна железное тело не
упадет с него. Но если ток в обмотке почему-либо прервется, авария неизбежна. И
такие случаи бывали.
Чтобы
избежать повторения подобных несчастных случаев, а также с целью сэкономить
потребление электрической энергии, при электромагнитах стали устраивать особые
приспособления.
После того
как переносимые предметы подняты магнитом, сбоку опускаются и плотно
закрываются прочные стальные подхватки, которые затем сами поддерживают груз, ток
же во время транспортировки прерывается.
В морских
портах для перегрузки металлолома используются, наверное, самые мощные круглые
грузоподъемные электромагниты. Их масса достигает 10 тонн, грузоподъемность до
64 тонн, а отрывное усилие до 128 тонн.
В зависимости
от назначения электромагниты могут весить от долей грамма до сотен тонн и потреблять
электрическую мощность – от долей ватта до десятков мегаватт.
Электрический
звонок
Рисунок 2.12 –
Принципиальная электрическая схема звонка
Школьный
звонок, квартирный звонок имеют подобную электрическую схему.
После
подсоединения контактов 1 и 2 в соответствии с рисунком 2.12 к выходу источника
тока по замкнутой цепи начинает протекать электрический ток (часть якоря Я выполняет
роль проводника в этой электрической цепи, именно через якорь течет
электрический ток и только первоначальное положение якоря создает замкнутую
электрическую цепь). Вокруг электромагнита Э возникает магнитное поле и
притягивает к себе железный якорь Я. Электрическая цепь размыкается и
магнитное поле пропадает. Якорь возвращается в первоначальное положение,
ударяясь своим другим концом о металлическую чашку (слышен звук удара). При
возвращении якоря в первоначальное положение цепь опять замыкается, и по ней
снова начинает течь электрический ток. Опять образуется вокруг электромагнита
магнитное поле, и все начинается поновой.
Автопогрузчик
с магнитным ковшом. Обычный автопогрузчик для сбора металлолома
оборудован электромагнитом. Разбросанные по земле железные тела сами
притягиваются внутрь ковша, облегчая погрузку и перенос груза.
Очистка крови
с помощью электромагнита. Очень перспективный метод очистки крови при
серьезных заражениях крови, которые не поддаются медикаментозной очистке,
разработан медиками. Создан безвредный для организма солевой раствор,
содержащий мельчайшие железные шарики, покрытые реагентом. Реагент способен «прилипать»
к определенному виду вредных микробов, которые появляются в крови человека при
болезнях. Раствор вводится в организм человека, а затем кровь с раствором
пропускается через электромагнитную установку, которая «отлавливает» и удаляет
из крови железные частицы с налипшими на них бактериями.
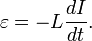
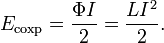
3. Катушка
индуктивности
3.1
Физическая природа индуктивности
Катушки
индуктивности обладают свойством оказывать реактивное сопротивление переменному
току при незначительном сопротивлении постоянному току. Совместно с
конденсаторами они используются для создания фильтров, осуществляющих частотную
селекцию электрических сигналов, а так же для создания элементов задержки
сигналов и запоминающих элементов, осуществления связи между цепями через
магнитный поток и т.д.
В отличие от
резисторов и конденсаторов они не являются стандартизованными изделиями, а
изготавливаются для конкретных целей и имеют такие параметры, которые
необходимы для осуществления тех или иных преобразований электрических
сигналов, токов и напряжений.
Функционирование
катушек индуктивности основано на взаимодействии тока и магнитного потока.
Известно, что при изменении магнитного потока Ф в проводнике, находящемся в
магнитном поле, возникает ЭДС, определяемая скоростью изменения магнитного
потока
(3.1)
Поэтому при
подключении к проводнику источника постоянного напряжения ток в нем
устанавливается не сразу, так как в момент включения изменяется магнитный поток
и в проводе индуцируется ЭДС, препятствующая нарастанию тока, а спустя
некоторое время, когда магнитный поток перестает изменяться.
Если же к
проводнику подключен источник переменного напряжения, то ток и магнитный поток
будут изменяться непрерывно и наводимая в проводнике ЭДС будет препятствовать
протеканию переменного тока, что эквивалентно увеличению сопротивления
проводника.
Чем выше
частота изменения напряжения, приложенного к проводнику, тем больше величина
ЭДС, наводимая в нем, следовательно, тем больше сопротивление, оказываемое
проводником протекающему току. Это сопротивление XL не
связано с потерями энергии, поэтому является реактивным. При изменении тока по
синусоидальному закону наводимая ЭДС будет равна
(3.2)
Она
пропорциональна частоте w, а коэффициентом пропорциональности является
индуктивность L. Следовательно, индуктивность характеризует способность
проводника оказывать сопротивление переменному току. Величина этого
сопротивления ХL=wL
Индуктивность
короткого проводника (мкГн) определяется его размерами:
(3.3)
где l –
длина провода в см,
d – диаметр провода в см.
Если провод
намотан на каркас, то образуется катушка индуктивности. В этом случае магнитный
поток концентрируется и величина индуктивности возрастает.
3.2 Общие
сведения о катушках индуктивности
Катушка
индуктивности представляет собой свёрнутый в спираль изолированный проводник,
обладающий значительной индуктивностью при относительно малой ёмкости и малом
активном сопротивлении.
Катушка
индуктивности состоит из одножильного, реже многожильного, изолированного
провода, намотанного на каркас из диэлектрика цилиндрической, тороидальной или
прямоугольной формы в соответствии с рисунком 3.1, существуют также
бескаркасные катушки индуктивности.
Намотка
бывает однослойная (рядовая и с шагом) и многослойная (рядовая, внавал,
универсальная).
Для
увеличения индуктивности применяют сердечники из ферромагнитных материалов:
электротехнической стали, пермаллоя, карбонильного железа, ферритов. Сердечники
используют также для изменения индуктивности резонансных контуров в небольших
пределах.
Значение
индуктивности катушки индуктивности пропорционально линейным размерам катушки,
квадрату числа витков намотки и магнитной проницаемости сердечника и изменяется
от десятых долей мкгн до десятков гн.
К основным
параметрам катушки индуктивности относятся сопротивление потерь, добротность,
температурный коэффициент индуктивности, собственная ёмкость.
Катушки
индуктивности широко применяют в качестве элементов фильтров и колебательных контуров,
в трансформаторах, в качестве дросселей, в реле, магнитных усилителях,
электромагнитах и др.


Рисунок 3.1 –
Катушки индуктивности:
а)
цилиндрическая однослойная;
б)
тороидальная многослойная;
в) с
цилиндрическим сердечником;
г) с
П-образным сердечником;
д) образцовая
индуктивность на керамическом тороиде;
1 – намотка
(провод);
2 – каркас;
3 – сердечник;
h – длина
намотки;
d – внутренний
диаметр намотки;
D – наружный
диаметр намотки.
3.3
Соленоид
Соленоид – катушка
индуктивности, выполненная в виде намотанного на цилиндрический каркас
изолированного проводника, по которому течет электрический ток. Соленоид
представляет собой систему круговых токов одинакового радиуса, имеющих общую
ось в соответствии с рисунком 3.2-а.

Рисунок 3.2 –
Соленоид и его магнитное поле
Если мысленно
разрезать витки соленоида поперек, обозначить направление тока в них, как было
указано выше, и определить направление магнитных индукционных линий по «правилу
буравчика», то магнитное поле всего соленоида будет иметь такой вид, как
показано на рисунке 3.2-б.
На оси
бесконечно длинного соленоида, на каждой единице длины которого намотано n0
витков, напряженность поля определяется формулой:
Н = In0
(3.4)
В том месте,
где магнитные линии входят в соленоид, образуется южный полюс, где они выходят –
северный полюс.
Для
определения полюсов соленоида пользуются «правилом буравчика», применяя его
следующим образом: если расположить буравчик вдоль оси соленоида и вращать его
по направлению тока в витках соленоида, то поступательное движение буравчика
покажет направление магнитного поля в соответствии с рисунком 3.3.
Рисунок 3.3 –
Применение правила буравчика
Соленоид,
внутри которого находится стальной (железный) сердечник в соответствии с
рисунком 3.4, называется электромагнитом. Магнитное поле у электромагнита
сильнее, чем у соленоида, так как кусок стали, вложенный в соленоид,
намагничивается и результирующее магнитное поле усиливается.
Полюсы у
электромагнита можно определить, так же как и у соленоида, по «правилу
буравчика».
Рисунок 3.4 –
Полюса соленоида
Магнитный
поток соленоида (электромагнита) увеличивается с увеличением числа витков и
тока в нем. Намагничивающая сила зависит от произведения тока на число витков
(числа ампер-витков).
Если,
например, взять соленоид, по обмотке которого проходит ток 5А, и число витков
которого равно 150, то число ампер-витков будет 5•150=750. Тот же магнитный
поток получится, если взять 1500 витков и пропустить по ним ток 0,5А, так как
0,5• 1500 = 750 ампер-витков.
Увеличить
магнитный поток соленоида можно следующими путями:
а) вложить в
соленоид стальной сердечник, превратив его в электромагнит;
б) увеличить
сечение стального сердечника электромагнита (так как при данных токе,
напряженности магнитного поля, и стало быть, магнитной индукции увеличение
сечения ведет к росту магнитного потока);
в) уменьшить
воздушный зазор электромагнита (так как при уменьшении пути магнитных линий по
воздуху уменьшается магнитное сопротивление).
Индуктивность
соленоида. Индуктивность соленоида выражается следующим образом:
(3.8)
где V – объём
соленоида.
Без
использования магнитного материала плотность магнитного потока B в пределах
катушки является фактически постоянной и равна
B = μ0Ni
/ l (3.9)
где μ0
– магнитная проницаемость вакуума;
N – число
витков;
i – ток;
l – длина
катушки.
Пренебрегая
краевыми эффектами на концах соленоида, получим, что потокосцепление через
катушку равно плотности потока B, умноженному на площадь поперечного сечения S
и число витков N:
(3.10)
Отсюда
следует формула для индуктивности соленоида эквивалентная предыдущим двум
формулам
(3.11)
Соленоид
на постоянном токе. Если длина соленоида намного больше его диаметра и не используется
магнитный материал, то при протекании тока по обмотке внутри катушки создаётся
магнитное поле, направленное вдоль оси, которое однородно и для постоянного
тока по величине равно
(3.5)
где μ0
– магнитная проницаемость вакуума;
n = N / l – число
витков на единицу длины;
I – ток в
обмотке.
При
протекании тока соленоид запасает энергию, равную работе, которую необходимо
совершить для установления текущего тока I. Величина этой энергии
равна
(3.6)
При изменении
тока в соленоиде возникает ЭДС самоиндукции, значение которой
(3.7)
Соленоид
на переменном токе. При переменном токе соленоид создаёт переменное магнитное поле.
Если соленоид используется как электромагнит, то на переменном токе величина
силы притяжения изменяется. В случае якоря из магнитомягкого материала
направление силы притяжения не изменяется.
В случае
магнитного якоря направление силы меняется. На переменном токе соленоид имеет
комплексное сопротивление, активная составляющая которого определяется активным
сопротивлением обмотки, а реактивная составляющая определяется индуктивностью
обмотки.
Применение
соленоидов. Соленоиды постоянного тока чаще всего применяются как
поступательный силовой электропривод. В отличие от обычных электромагнитов
обеспечивает большой ход. Силовая характеристика зависит от строения магнитной
системы (сердечника и корпуса) и может быть близка к линейной. Соленоиды
приводят в движение ножницы для отрезания билетов и чеков в кассовых аппаратах,
язычки замков, клапаны в двигателях, гидравлических системах и проч.
Соленоиды на
переменном токе применяются в качестве индуктора для индукционного нагрева в
индукционных тигельных печах.
4. Расчет
намагничивающего устройства для магнитопорошкового метода неразрушающего
контроля
Исходные
данные для расчета:
1
Соленоид круглого сечения диаметром 30 мм и длиной 200 мм;
2
Материал сердечника – Сталь 20;
3
Провод обмотки соленоида – медный;
4
Напряженность магнитного поля в центре соленоида – 100 А/см при постоянном токе
1А.
Магнитная
индукция поля В связанна с напряженностью магнитного поля Н соотношением
, для воздуха
,
поэтому формула представляется в виде
(4.1)
Если витки
соленоида расположены вплотную или очень близко друг к другу, то соленоид можно
рассматривать, как систему последовательно соединенных круговых токов
одинакового радиуса с общей осью.
Рассмотрим
поле кругового витка с током. В центре О кругового витка радиуса R с электрическим током I векторы dB магнитных полей всех
малых элементов витка направлены одинаково – перпендикулярно плоскости витка
(за чертеж) в соответствии с рисунком 4.1.
Рисунок 4.1 –
Магнитная индукция кругового витка с током
Также
направлен и вектор В результирующего поля всего витка. По закону Био – Савара –
Лапласа:
(4.2)
где
- угол, под которым из очки О виден
элемент dl витка.
Интегрируя
это выражение по всем элементам витка, т.е. по l от 0 до 2πR или по α от 0 до 2π,
получаем:
(4.3)
Определим
теперь магнитную индукцию поля витка с током в точке, лежащей на оси витка, т.е.
на прямой ОО', проходящей через центр витка перпендикулярно его плоскости в
соответствии с рисунком 4.2.
Рисунок 4.2 –
Магнитная индукция поля витка с током в произвольной точке
На рисунке
показан круговой виток радиуса R, плоскость которого перпендикулярна плоскости чертежа, а ось
ОО' лежит в этой плоскости. В точке А на оси ОО' векторы для полей различных
малых элементов dl витка с током I не совпадают по направлению. Векторы dВ1 и dВ2 для полей
двух диаметрально противоположных элементов витка dl1 и dl2, имеющих одинаковую
длину (dl1= dl2= dl), равны по модулю:
(4.4)
Результирующий
вектор dВ1
+ dВ2 направлен в
точке А по оси ОО' витка, причем
(4.5)
Вектор В
индукции в точке А для магнитного поля всего витка направлен также вдоль оси
ОО', а его модуль
(4.6)
Если
воспользоваться понятием вектора pm магнитного момента витка с током I
(4.7)
где S – площадь поверхности,
ограниченной контуром,
то выражение
(4.6) можно переписать в форме
(4.8)
Рисунок 4.3 –
Сечение соленоида
На рисунке 4.3
показано сечение соленоида радиуса R и длины L с током I. Пусть n – число витков,
приходящихся на единицу длины соленоида.
Магнитная
индукция В поля соленоида равна геометрической сумме магнитных индукций Bi полей всех витков этого
соленоида. В точке А, лежащей на оси соленоида О1О2, все
векторы Bi и результирующий вектор В направлены по оси О1О2
в ту сторону, куда перемещается буравчик с правой резьбой при вращении его
рукоятки в направлении электрического тока в витках соленоида. На малый участок
соленоида длиной dl вдоль оси приходится ndl витков. Если l – расстояние от этих
витков до точки А, то согласно формуле (4.8), магнитная индукция поля этих
витков
(4.9)
Так как
и
, то
(4.10)
(4.11)
В нашем
случае
, поэтому
(4.12)
Учитывая
формулу (4.1) приравняем значения магнитной индукции и получим выражение для
напряженности магнитного поля:
(4.13)
Из этой
формулы найдем число витков намотки, приходящихся на единицу длины соленоида:
(4.14)
Подставив
известные нам значения в формулу (4.14) получим n=102 витка в 1 см.
Число витков
намотки находится по формуле:
(4.15)
Получаем N=2040 витков.
Для обмотки
соленоида в соответствии с током, проходящим по ней, выбираем медную проволоку в
соответствии с таблицей 4.1.
Таблица 4.1 –
Основные параметры медных обмоточных проводов
Таким образом,
выбираем провод марки ПЭВ-1 с диаметром сечения 0,86 мм.
Число витков
проволоки данного сечения, укладывающихся в длину соленоида определяется по
формуле:
(4.16)
Подставив
известные данные получаем N=233 витка. То есть в нашем случае получена девятислойная
катушка.
Рассчитаем
массу соленоида. Для этого сначала рассчитаем массу его обмотки. Для этого нам
нужно вычислить длину проволоки обмотки. Ее можно вычислить зная количество
витков и длину каждого витка. Учитывая, что радиус витка в каждом слое намотки
будет меняться в соответствии с рисунком 4.4, рассчитаем длину проволоки
намотки каждого слоя отдельно.
Рисунок 4.4 –
Сечение соленоида
Для первого
слоя обмотки радиус витка будет равен сумме диаметра соленоида и двух радиусов
проволоки.
(4.17)
Получаем D1=30,86 мм.
Длину витка
обмотки рассчитываем по формуле
(4.18)
Длина витка
обмотки первого слоя С1=96,9 мм.
Длину обмотки
первого слоя вычисляем как произведение числа витков и длину одного витка:
(4.19)
Получаем l1=22,6 м.
Проводя
подобные вычисления получим длины всех поледующих обмоток:
l2=23,8 м;
l3=25,1 м;
l4=26,4 м;
l5=27,6 м;
l6=28,9 м;
l7=30,1 м;
l8=31,4 м;
l9=32,6 м.
Длина всей
проволоки представляется как сумма длин обмотки каждого слоя:
(4.20)
Получаем l=248,5 м.
В
соответствии с таблицей 3.1 на 100 м проволоки приходится 455г.
Получаем
массу обмотки mобм=1,13 кг.
Рассчитаем
массу сердечника. Для этого нужно вычислить его объем по формуле:
(4.21)
Получаем
объем соленоида V=141,3 см3.
Зная
плотность вещества, из которого изготовлен сердечник соленоида, в нашем случае
это сталь-20, можно вычислить массу сердечника по формуле:
(4.22)
Плотность
вещества ρ=7859 кг/м3.
Таким образом
масса сердечника равна mсерд=1,1 кг.
Масса всего
соленоида является суммой масс обмотки и сердечника.
m=mобм + mсерд (4.23)
Тогда масса
соленоида равна m=2,23 кг.
Мы получили
соленоид с сердечником из материала сталь-20 с девятислойной обмоткой медной
проволокой марки ПЭВ-1 массой 2,23 кг.
Заключение
В данном
курсовом проекте было рассчитано намагничивающее устройство для
магнитопорошкового метода неразрушающего контроля.
В настоящее
время магнитопорошковый метод неразрушающего контроля широко распространен. Магнитный
контроль используется для обнаружения дефектов в объектах с самыми различными размерами
и формами. С его помощью можно довольно быстро обнаружить волосовины, трещины
различного происхождения, закаты и непровары сварных соединений.
Магнитный
метод неразрушающего контроля активно применяется сегодня при поиске
микродефектов в различных изделиях из ферромагнитных материалов.
Магнитопорошковый
контроль нашел очень широкое применение на железнодорожном транспорте, в
авиации, судостроении, химическом машиностроении, автомобилестроении,
нефтедобывающей и газодобывающей отраслях (контроль трубопроводов). Магнитно
порошковый контроль имеет очень высокую производительность, чувствительность,
также удобную наглядность результатов контроля. При грамотном использовании
данного метода могут быть обнаружены дефекты даже в начальной стадии их
появления.
В ходе работы
над курсовым проектом были рассмотрены природа магнитного поля, его основные
характеристики; магнитные свойства различных веществ и источники магнитного
поля.
Также рассмотрено
устройство электромагнитов, их классификация, применение и примеры
использования.
Рассмотрены
катушки индуктивности и их частный случай – соленоид, а также его применение.
По заданным
параметрам сердечника и провода обмотки был рассчитан соленоид круглого
сечения, который является составной частью намагничивающего устройства для
магнитопорошкового метода неразрушающего контроля.
Список
использованной литературы
1 Бессонов Л.А.,
Теоретические основы электротехники – М., 1989;
2 Волгов В.А. Детали
и узлы радиоэлектронной аппаратуры – М.: Энергия, 1992;
3 Вонсовский С.В.,
Магнетизм – Москва: Наука. – 1971;
4 Гершензон Е.М.,
Радиотехника / Е.М. Гершензон, Г.Д. Полянина, Н.В. Соина – М.:
Просвещение, 2001;
5 Грабовский Р.И.,
Курс физики – М.: Высш. школа, 1992;
6 Детлаф А.А., Курс
физики / А.А. Детлаф, Б.М. Яворский – М.: Высшая школа, 1989;
7 Дмитриева В.Ф., Прокофьев В.Л.,
Основы физики – М.: Высшая школа, 2001;
8 Зисман Г.А., Курс
общей физики: В 3 т. Т. 2. / Г.А. Зисман, О.М. Тодес – М.: Наука,
1979;
9 Иванов Б.С.,
Энциклопедия начинающего радиолюбителя: Описания практических конструкций – М.:
Патриот, 1992;
10 Иродов И.Е.,
Основные законы электромагнетизма – М.: Высш. шк., 1991;
11 Калантаров П.Л., Цейтлин А.А.,
Расчет индуктивностей. Справочная книга – М.: Энергоатомиздат, 1986;
12 Карпов Р.Г., Карпов Н.Р.,
Электрорадиоизмерения – М.: Высш. школа, 2004;
13 Клюев В.В.,
Неразрушающий контроль: Справочник: В 8 т. Т. 4 – М.: Машиностроение, 2006;
14 Коваль А.В.,
Радиодетали, радиокомпоненты и их расчет – М.: Сов.радио, 2003;
15 Кошкин Н.И., Ширкевич М.Г. Справочник
по элементарной физике – М.: Наука, 1988;
16 Немцов М.В.,
Справочник по расчету параметров катушек индуктивности – М.: Энергоатомиздат,
1992;
17 Поляков В.Т.,
Посвящение в радиоэлектронику – М.: Радио и связь, 1988;
18 Рычина Т.А. Электрорадиоэлементы
– М.: Сов. Радио, 2001;
19 Рычина Т.А., Зеленский А.В. Устройства
функциональной электроники и электрорадиоэлементы – М.: Радио и связь, 1989;
20 Савельев И.В.,
Курс общей физики – М.: Наука, 2002;
21 Сивухин Д.В.,
Курс общей физики – М.: Физматлит, 2004;
22 Сидоров И.Н., Христинин А.А.,
Скорняков С.В., Малогабаритные магнитопроводы и сердечники. Справочник –
М.: Радио и связь, 1989;
23 Сифоров В.И.,
Радиоприемные устройства – М., 1988;
24 Смиренина Б.А.,
Справочник по радиотехнике – М.: Л., 1992;
25 Терещук Р.М.,
Полупроводниковые приемно-усилительные устройства. Справочник радиолюбителя – Киев:
Наукова думка, 1989;