Технологія синтезу нанодротів

  • Вид работы:
    Курсовая работа (т)
  • Предмет:
    Физика
  • Язык:
    Русский
    ,
    Формат файла:
    MS Word
    7,05 Mb
  • Опубликовано:
    2010-04-12
Вы можете узнать стоимость помощи в написании студенческой работы.
Помощь в написании работы, которую точно примут!

Технологія синтезу нанодротів

Міністерство освіти і науки України

Державний вищий навчальний заклад










ТЕХНОЛОГІЯ СИНТЕЗУ НАНОДРОТІВ

Курсова робота

Зміст

Вступ

Розділ 1. Вирощування нанодротів

1.1 Синтез за допомогою шаблонів

1.2 Вирощування нанодротів за допомогою шаблонів та інжекцію під тиском

1.3 Електрохімічне нанесення

1.4 Нанесення з парової фази

1.5 Ситез нанодротів з використанням шаблонів і в якості шаблонів

1.6 Методика вирощування кремнієвий нонодротів

1.7 Секрети ПРК-росту кремнієвих нанопроволок

1.8 Нанодроти триоксиду вольфраму

Розділ 2. Кінетика формування нанодроту в процесі вакуумної конденсації металів на поверхню кристала

Висновки

Список використаної літератури

Вступ

Назва моєї курсової роботи "Технологія синтезу нанодротів".

Один з найважливіших напрямів хімічного дизайну сучасних матеріалів пов'язаний з вирішенням проблеми отримання наноструктур із заданими характеристиками і створення функціональних наноматеріалів на їх основі.

Проблема створення і дослідження наноструктур з контрольованими розмірами і заданими властивостями входить до числа найважливіших проблем нашого часу, перш за все, тому, що її рішення приведе до революційних змін в наноелектроніці, наномеханіці, біології, медицині, матеріалознавстві і інших областях. Багато держав мають свої національні програми по нанотехнології. Великий інтерес до нанотехнології і успіхи останніх років в цій області дозволяють сподіватися на створення найближчими роками нових матеріалів і нових приладів [1].

Принципи наноелектроніки, наномеханіки були сформульовані ще в 1959 році Фейманом, в тому ж році Ландауер сформулював основи квантового транспорту електронів в наноструктурах. У 1962 році Л.Б.Келдишем була висловлена ідея створення штучних надграток і зроблений вивід про наявність у них падаючої вольт-амперної характеристики. У 1969 році Есаки і Тцу створили штучну надгратку. Ліхарев в 1987 році сформулював принципи одноэлектроники. В даний час досягнуті великі успіхи в зменшенні розмірів активних областей і створенні наноструктур. Проте для переходу від мікроелектроніки до наноелектроніки недостатньо тільки зменшення розмірів елементів приладів, необхідно досягти прецизійності у виготовленні елементів, а також змінити і принципи роботи приладів. Річ у тому, що із зменшенням розмірів багато характеристик, що грають ключову роль в роботі приладів мікроелектроніки, такі як рухливість двовимірного електронного газу, і так далі перестають грати свою роль і на перше місце виходять зовсім інші характеристики – довжина хвилі електрона, довжина фазової когерентності, довжина вільного пробігу. Якщо в мікроелектроніці для перемикання приладу з одного стану в інше потрібне проходження струму з порядка мільйон електронів, то в наноелектроніці для здійснення перемикання буде достатньо одного електрона. Необхідний новий підхід до створення дійсно квантових приладів, що використовують квантові явища, такі як резонансне тунелювання, інтерференцію електронних хвиль, квантування провідності, кулонівську блокаду, явища спінів і так далі [2].

Відзначимо, що виробництво наноприладів можна буде організувати тільки якщо погрішність в дотриманні розмірів при виготовленні елементів буде менше 3 %. Треба також змінити і наше уявлення про вимоги до розмірів і форми наноелементів, які повинні бути прецизійні, останнє пов'язано з тим, що такі квантові явища як тунелювання, розмірне квантування, сильно залежать від розмірів.

Нанодріт є одним з ключових об'єктів нанотехнології. Є повідомлення про використання нанодротів як компонент композиційних матеріалів, а також для створення матриць емітерів електронів, каталізаторів, електродів для біофізичних досліджень.

У зв'язку з перспективою застосування нанодротів в технології, в даний час ведеться інтенсивний пошук методів синтезу нанодротів і структур на їх основі. Найбільшого поширення в синтезі нанодротів набули методи, засновані на використанні допоміжних структур (шаблонів або темплатов), що просторово обмежують область синтезу і тим самим задаючих товщину металевих нанодротів. В ролі шаблонів можуть виступати циліндрові міцели поверхнево-активних речовин (так звані "м'які шаблони"). Діаметр нанодротів в цьому випадку визначається внутрішнім діаметром циліндрового каналу міцели. У якості "жорсткого" шаблону використовується пористий оксид алюмінію, створений на металі шляхом його електрохімічного окислення (анодування), а також полімерні плівки з нанопорами, створеними методом іонного витравлювання. Синтез нанодротів в цьому випадку полягає в "зарощуванні" пір шаблону металом методом електролізу. Для подальшого використання нанодротів шаблон віддаляється за допомогою селективного підбурювання останнього. Метод отримання нанодротів з використанням шаблонів забезпечує відтворюваність геометричних і фізичних характеристик об'єктів. Проте цей метод складний і мало придатний для отримання великих кількостей [3].

Отже, розкриття даної теми є не лише актуальним, але й сучасним, оскільки застосування нанодротів є досить перспективним у різних галузях техніки.

У розкритті даної теми мені допомогло використання великої кількості літературних джерел.

Дана курсова робота складається з вступу, двох розділів, висновків і списку використаної літератури. В першому розділі йдеться про методику одержання нанодродів, в другому розділі – теоретичний опис процесу вирощування нанодротів [4].

Розділ 1. Вирощування нанодротів

1.1 Синтез за допомогою шаблонів

Синтез нанодротів за допомогою шаблонів є концептуально простим методом виготовлення наноструктур. Шаблони містять дуже малі циліндричні пори або порожнини у матеріалі матриці, порожнина заповнюється потрібним матеріалом, який приймає морфологію пор, для формування нанодротів.

Синтез шаблонів. У синтезі наноструктур з використанням шаблонів необхідно розглядати такі важливі характеристики, як хімічну стабільність і механічні властивості шаблону (маски), а також діаметр, однорідність та густину пор. Шаблони, які часто використовують для синтезу нанодротів, включають анодний алюміній (Al2О3), наноканальне скло, витравлені пучками іонів полімери та плівки слюди. Поруваті шаблони з анодного алюмінію отримуються анодуванням чистих плівок АІ у різних кислотах. При ретельно вибраних умовах анодування отримана плівка окису має регулярну гексагональну структуру паралельних і майже циліндричних каналів, як показано на рис. 1.1.

Рис. 1.1. а – СЕМ (Скануючий електронний мікроскоп) зображення верхньої поверхні шаблонів поруватого анодного алюмінію з середнім діаметром пор 44 нм; б - СЕМ зображення полікарбонатної мембрани, витравленої частинками з діаметром пор 1 мкм.

Самоорганізація структури пор у шаблоні з анодного алюмінію включає два зв'язаних процеси: формування пор з однаковими діаметрами завдяки тонкому балансу між дифузією, стимульованою електричним полем, що визначає швидкість росту алюмінію, та розчинення алюмінію в кислотному електроліті. Пори вважаються самоорганізованими завдяки існуванню механічних напруг на границі поділу алюміній-алюміній через об'ємне розширення при анодуванні. Ці напруги спричинюють силу відштовхування між порами, викликаючи їх впорядкування у гексагональній решітці. Залежно від умов анодування діаметр пор може систематично змінюватися від < 10нм до 200 нм з густиною пор у області 109-1011 nop/см2. Повідомлялося, що розподіл розмірів пор та впорядкування анодних алюмінієвих шаблонів можуть бути значно покращені методом двокрокового анодування, в якому шар алюмінієвого окису розчиняється після першого анодування у кислотному розчині, за чим слідує друге анодування в таких самих умовах.

Інший тип поруватого шаблону, що звичайно використовують для синтезу нанодротів, є шаблон, який виготовляється хімічним травленням треків частинок, що утворюються після іонного бомбардування, наприклад, полікарбонати! мембрани з травленими треками та плівки слюди.

Наноканальне скло (nano-channel glass - NCG), наприклад, містить регулярну гексагональну структуру капілярів, подібну до структури пор .у анодованому алюмінії з густиною упаковки ~3х1010 пор/см2. Молекули ДНК також використовувалися як шаблон для вирощування нанорозмірних дротів [7].

Діблокові кополімери, тобто полімери, що складаються з двох ланцюгових сегментів з різними властивостями, також були використані як шаблони для вирощування нанодротів. Коли два сегменти не змішуються один з одним, відбувається фазова сегрегація, і залежності від їх об'ємного співвідношення, можуть самоорганізовуватися сфери, циліндри та пластинки. Для формування самоорганізованої структури нанопор використовувалися кополімери, що складалися з полістирену та поліметіметакрилату [6].

1.2 Вирощування нанодротів за допомогою шаблонів та інжекцією під тиском

Метод інжекції під тиском часто застосовується при виготовленні кристалічних нанодротів з матеріалу з низькою температурою плавлення і при використанні поруватих шаблонів з високою механічною міцністю. У методі високотискової інжекції нанодроти формуються тисковою інжекцією потрібного матеріалу у рідкій формі у пори шаблону. Через нагрівання та тиску шаблони, що використовуються для методу інжекції тиском, повинні бути хімічно стабільними і спроможними зберігати свою структурну цілісність при високих температурах та тисках. Плівки анодного окису алюмінію та наноканальне скло є двома типовими матеріалами,, які використовують як шаблони у поєднанні з методом заповнення інжекцією під тиском. З використанням цього методу були виготовлені металеві нанодроти (Bi,In,Sn,Al) та напівпровідникові нанодроти (Se, Те, GaSb, Ві2Те3).

Тиск Р, потрібний для подолання поверхневого натягу рідкого матеріалу для заповнення пор з діаметром dw, задається рівнянням Вашбурна:

dw=-4γcosθ/P (1.1)

де γ - поверхневий натяг рідини і θ - контактний кут між рідиною та шаблоном. Для зменшення потрібного тиску й отримання максимального фактору заповнення зменшенням поверхневого натягу та контактного кута використовують деякі суфрактанти. Наприклад, введення Си у розплав Ві може сприяти заповненню пор у шаблоні з анодного алюмінію рідким Ві та може збільшити число виготовлених нанодротів. Але деякі суфрактанти можуть викликати проблеми забруднення [12].

Нанодроти, виготовлені методом інжекції під тиском, зазвичай мають високу кристалічність та переважну кристалічну орієнтацію вздовж осі дроту. Наприклад, на рис. 1.2. наведено дифракційну картину зборок трьох різних діаметрів дротів з інжекційним тиском ~ 5,000psi, яка показує, що переважна (>80%) кристалічна орієнтація осей дротів у 95 нм та 40 нм діаметрі Ві нанодротів є, відповідно, нормальними до (202) та (012) площин решітки. Вони позначаються [101] та [012] при використанні гексагональної елементарної комірки, що передбачає напрямок росту кристалу залежним від діаметру дроту. З іншого боку, 30 нм нанодроти Ві, виготовлені з використанням набагато вищого тиску > 20,000psi, показують іншу кристалічну орієнтацію - (001) вздовж осі нанодроту. Це свідчить, що переважна орієнтація кристалу може залежати від прикладеного тиску по напрямку найбільш густої упаковки вздовж осі дроту для найвищого прикладеного тиску.

Рис. 1.2. Картина рентгенівської дифракції нанокомпозитів вісмут/анодний алюміній із середніми діаметрами дротів а - 40 нм. b - 52 нм. та c - 95 нм. Індекси Мілера, що відповідають площинам решітки масивного Ві, наведені над індивідуальними піками. Більшість нанодротів Ві орієнтовані вздовж [101] та [012] напрямків для dw >60нм та dw <50нм, відповідно. Існування більш ніж однієї домінуючої орієнтації для 52 нм нанодротів Ві приписується трансляційній поведінці нанодротів проміжного діаметру, оскільки орієнтація переважного ростy зсувається від [101] до [012] із зменшенням dw.[11]

1.3 Електрохімічне нанесення

Метод електрохімічного нанесення привертає увагу як альтернативний метод виготовлення нанодротів. Традиційно електрохімія використовувалась для вирощування тонких плівок на провідних поверхнях. Оскільки електрохімічне нарощування є, як правило, контрольованим у напрямку нормалі до поверхні підкладки, цей метод можна розширити для виготовлення 1D або 0 - D наноструктур, якщо нанесення. зосереджено в межах пор відповідного шаблону. В електрохімічних методах тонка провідна металева плівка спочатку наноситься на один бік пористої мембрани для того, щоб служити катодом для гальванопроцесу. Довжина нанесених нанодротів може керуватися зміною тривалості процесу гальванонанесення. Цей метод використовувався для синтезу широкого кола нанодротів, наприклад, металів (Bi,Co,Fe,Cu,Ni,Ag,Au), провідних полімерів, надпровідників (Рb) напівпровідників (CdS) і навіть надграткові нанодроти з А/В складовими частинами (такі як Си/ Co) були синтезовані електрохімічно.

У процесі електрохімічного нанесення вибраний шаблон повинен бути хімічно стабільним впродовж процесу електролізу. Тріщини та дефекти у шаблонах шкодять росту нанодроту, оскільки процеси нанесення відбуваються переважно у більш доступних тріщинах, залишаючи незаповненими нанопори. Плівки слюди (що були протравлені частинками) або полімерні мембрани є типовими шаблонами, які використовують у простому електролізі при постійному струмі. Для використання плівок анодного окису алюмінію при електрохімічному нанесенні при постійному струмі ізолюючий бар'єрний шар, що відділяє пори від алюмінієвої підкладки, повинен бути видалений, і потім металева плівка напиляється на інший бік шаблону мембрани. Нанодроти Ві23 були виготовлені з використанням електрохімічного нанесення при постійному струмі в алюмінієвих шаблонах з високим фактором заповнення. Рис.1.3а та 1.3б показують вид зверху і поперечний переріз СЕМ зображень зборки нанодротів Ві2Те3. Світлі області пов'язані з нанодротами Ві2Те3, темні області позначають пусті пори і сіра матриця навколо них є алюмінієм [7].

При необхідності в електрохімічному нанесенні також використовують суфрактанти. Наприклад, при використанні шаблонів, отриманих з РММА/PS діблокових кополімерів, метанол використовується як суфрактант для сприяння заповненню пор, що дає змогу досягти значень фактору заповнення —100%. Можливим застосовувати метод електронанесення при змінному струмі в шаблонах з анодованого алюмінію без видалення бар'єрного шару шляхом використання випрямляючих властивостей оксидного бар'єру. В процесі електрохімічного нанесення з використанням змінного струму, хоча прикладена напруга є синусоїдального та симетричною, струм є більшим впродовж катодних напівциклів, що робить нанесення домінуючим над очищенням, яке відбувається в наступних анодних напівциклах. Оскільки на дефектних місцях не відбувається випрямлення, швидкості процесів нанесення та очищення є рівними і матеріал не наноситься. Таким чином усуваються труднощі, пов’язані з наявністю тріщин. У такий спосіб в пори анодного шблону окису алюмінію були нанесені метали Со, Fe і напівпровідник CdS без видалення бар’єрного шару. На відміну від нанодротів, синтезованих методом інжекції, нанодроти, виготовлені електрохімічне, звичайно є полікристалічними, без переважних кристалічних орієнтацій, як спостерігалося у рентгенівських дослідженнях. Але існують деякі виключення. Наприклад, полікристалічні нанодроти CdS, виготовлені із застосуванням методу електрохімічного нанесення у шаблонах з анодного алюмінію, можливо мають переважну орієнтацію росту вздовж осі-с. Також виготовлялися нанодроти напівпровідників II-VI, включаючи CdS,CdSe,CdTe, шляхом електрохімічного нанесення при постійному струмі в шаблонах з анодного алюмінію у безводному електроліті. Більше того, монокристалічні нанодроти РЬ можуть формуватися імпульсним електронанесенням. Використання імпульсних струмів вважається кращим для вирощування кристалічних дротів, тому що металеві іони у розчині можуть регенеруватися у проміжку між електричними імпульсами, і таким чином, для кожного імпульсу нанесення можна досягти однорідних умов. Імпульсним електронанесенням були виготовлені також монокристалічні нанодроти Ag.

Рис. 1.3. а - СЕМ зображення зборки нанодротів Ві2Те3 в поперечному перерізі, що показує високий фактор заповнення пор; b - СЕМ зображення нанокомпозитної зборки нанодротів Ві2Те3 вздовж осі дроту.

Рис. 1.4.'' а - ПЕМ зображення одиничного Со(10нм)/Сu(10нм) багатошарового нанодроту; b - вибрана область зразка при великому збільшенні.

Однією з переваг методу електрохімічного нанесення є можливість виготовлення багатошарових структур в нанодротах Шляхом зміни катодних потенціалів в електроліті, що містить два різних типи іонів, можна контрольовано наносити різні металеві шари. У такий спосіб були синтезовані багатошарові нанодроти Со/Си. Рис. 1.4 показує ПЕМ зображення одиничного нанодроту Со/Си приблизно 40 нм у діаметрі. Світлими смугами зображені області, збагачені Си. Цей метод електронанесення забезпечує низький по собівартості підхід до виготовлення багатошарових 1 - D наноструктур [5].

1.4 Нанесення з парової фази

Нанесення нанодротів з парової фази включає фізичне нанесення з пари (ФНП - PVD), хімічне осадження з парової фази (CVD) і метал-органічне осадження з парової фази (MOCVD). Як і електрохімічне нанесення, нанесенням з парової фази зазвичай можливо виготовляти нанодроти меншого діаметру (<20нм), ніж методами інжекції під тиском, оскільки вони не залежать від високого тиску і поверхневого натягу, потрібних для впровадження матеріалу в пори.

У методі фізичного парового нанесення матеріал спочатку нагрівається до утворення пара, яка потім вводиться у пори шаблону й охолоджується до утворення твердого стану. З використанням спеціально сконструйованого обладнання майже монокристалічні нанодроти Ві були синтезовані в анодних алюмінієвих шаблонах з діаметрами пор ~7нм. Встановлено, що ці нанодроти Ві мають переважну орієнтацію росту кристалу вздовж осі дроту, аналогічно до нанодротів вісмуту, виготовлених інжекцією тиском. Змішані матеріали, які утворюються з двох реагуючих газів, були також виготовлені з використанням методу хімічного осадження з парової фази (CVD). Наприклад, монокристалічні нанодроти GaN були синтезовані в анодних алюмінієвих шаблонах шляхом газової реакції пари Ga2O з потоком аміаку. Інший підхід рідина/газ був використаний при виготовленні полікристалічних нанодротів GaAs та InAs в наноканальному склі. Тут наноканали заповнюються одним рідинним прекурсором (наприклад, Me3Ga або Et3In) через капілярний ефект, і нанодроти формуються у шаблоні через реакції між рідким прекурсором та іншим газовим реагентом (наприклад, AsH3) [9].

1.5 Синтез нанодротів з використанням шаблонів і в якості шаблонів

Нещодавно вуглецеві нанотрубки як важливий клас 1 — D наноструктур були виготовлені в порах анодних алюмінієвих шаблонів методом хімічного осадження з парової фази для формування високовпорядкованих структур двовимірних вуглецевих нанотрубок. Спочатку електрохімічне наносилася на дно пор невелика кількість металевого каталізатору (наприклад, Co). Потім шаблони поміщали у піч і нагрівали до ~ 700 — 800°С з потоком газу, що складався із суміші N2 та ацетилену {С2Н2) або етилену (С2Н4), Молекули гідрокарбону піролізуються, утворюючи нанотрубки в порах шаблону за допомогою металевих каталізаторів. Добре впорядковані структури нанотрубок викликали великий інтерес завдяки перспективі їх застосування, наприклад, в якості плоских панельних дисплеїв з холодним катодом. Цікавим також є використання цеолітових шаблонів з дуже вузькими порами (< 1 нм у діаметрі), що дозволяє вирощувати вуглецеві нанотрубки діаметрами 0.42 нм, оточені тільки 10 атомамим вуглецю.

Порожні серцевини вуглецевих нанотрубок також застосовувалися дня синтезу різноманітних нанодротів дуже матого діаметру. Такі нанодроти інтенсивно вивчалися методом високороздільної ПЕМ (електронною мікроскопією на пропускання), але їх фізичні властивості ще слабо вивчені [7].

1.6 Методика вирощування кремнієвий нанодротів

Безперервний прогрес в характеристиках різних електронних пристроїв – від персональних комп'ютерів до мобільних телефонів – в значній мірі обумовлений постійним зменшенням розмірів кремнієвих мікросхем. Для їх серійного виробництва добре відладжена 0.1-мікронна технологія. Але подальша мініатюризація електронних компонентів до масштабу 10нм вимагає заміни кристалів кремнію іншими фізичними об'єктами. Як такі зараз обговорюються, наприклад, вуглецеві нанотрубки, молекулярні перемикачі і кремнієві нанодроти. Про останніх і піде мова нижче.

Методика вирощування кремнієвих нанодротів полягає в наступному. На підкладку з кремнію наносять маленьку краплю рідкого металу (як правило, золото). Ця крапля так ефективно адсорбує Si з пари SiH4 або Si2H6, що стає пересиченою кремнієм, внаслідок чого з краплі росте довгий і круглий монокристалічний нанодріт Si, діаметр якого визначається розмірами краплі Au (див. рис. 1.5). До цих пір вважали, що якщо на підкладку нанести відразу декілька крапель Au, то одночасно вийде відповідна кількість нанопроводів Si.

#

Рис.1.5. Ілюстрація росту нанодроту Si з використанням капель Au в якості каталізатора.

Тому дана методика розглядалася як вельми перспективна для широкомасштабного виготовлення таких нанодротів з метою їх практичного використання в наноелектроніці. Проте проведені в IBM дослідження показали, що це не так [5].

За даними ІВМ процес зростання паралельних один одному нанопроводів Si на підкладці з Si (111) вивчений з використанням скануючого тунельного мікроскопа. Всупереч очікуванням, авторам не вдалося виростити відразу багато довгих однорідних по діаметру нанопроводів. Причина цього полягає в тому, що неминучі, нехай навіть і зовсім незначні відмінності в розмірах крапель Au приводять зрештою до того, що атоми Au дифундують з менших крапель на великі, внаслідок чого зростання нанопроводів, що залишилися без "золотого даху", припиняється (див. рис. 1.5). Цей ефект, званий ефектом Оствальда (лауреат Нобелівської премії по хімії в 1909 році) або, – жартома – "капіталістичним принципом", пояснюється зменшенням повної поверхневої енергії при дифузії Au з краплі на краплю. Науковці спостерігали і інші шкідливі наслідки дифузії Au, зокрема зміну діаметру кожного нанодроту уздовж його довжини [4].

Вихід з цієї ситуації запропонований пізніше вчним У. Джозеле: не потрібно гнатися за ідеальними умовами синтезу (надвисокий вакуум і так далі), як це робили вчені з ІВМ, а просто допустити присутність в атмосфері незначної кількості кисню. Це дозволить блокувати шляхи дифузії Au по поверхні підкладки. Тоді краплі Au виявляться незалежними один від одного, і вийде великий масив довгих однорідних нанопроводів Si. Таким чином, виявляється, що "дуже чисто" – це іноді навіть "занадто чисто".


Синтез напівпровідникових нанодротів по механізму пара-рідина-кристал (ПРК) є одним з основних способів отримання монокристалічних нановолосків, які потім використовуються для побудови різних пристроїв в рамках технологічного напряму "знизу-вгору" ("bottom-up"). У переважній більшості робіт процеси зростання нанодротів і дослідження синтезованого продукту рознесені у просторі та часі, що істотно обмежує можливість отримання надійної кількісної інформації про ПРК механізмі, а деякі важливі деталі можуть взагалі залишитися непоміченими. Тому винятковий інтерес представляють методики, що дозволяють вести спостереження за формуванням нанодротів безпосередньо в процесі їх зростання. Саме такий підхід був реалізований в недавніх роботах групи учених з дослідницького центру IBM (Yorktown Heights). Вивчали класичну систему Si-Au, а вирощування нанопроволок проводили в надвисоковакуумному електронному мікроскопі (Hitachi UHV H-9000), що просвічує, або в камері мікроскопа на повільних електронах (LEEM) шляхом експозиції підкладки Si(111) з двома моношарами золота в суміші дисилан (20%) -гелій (80%) при тиску 5х10-4Торр і температурі 600оС [7].

         Спостереження в LEEM показали, що нагріваючи плівки Au до 600оС приводить до утворення ансамблю різнорозмірних нанокрапель, а поверхня між краплями володіє надструктурою, характерною для грані Si(111) з одним моношаром золота. Опинилося далі, що при даній температурі атоми Au швидко мігрують по такій поверхні з малих крапель в більші і цей процес (так зване "оствальдовское дозрівання") відбувається за 2-3 хвилини. Аналогічну надструктуру спостерігали і на поверхні підкладки між нанодротами, що ростуть. Тому резонно припустити, що і бічна поверхня нанодротів покрита приблизно одним моношаром Au. Але якщо це так, то у міру зростання дротів розмір краплі на її вершині повинен зменшуватися, оскільки атоми витрачаються на "золочення" бічної поверхні. При цьому діаметр дроту безперервно убуватиме аж до повного припинення зростання, коли витратилося все золото з краплі. Ясно також, що чим менше діаметр початкової краплі, тим раніше це відбудеться. Вказаний ефект виразно спостерігався в експериментах американських фізиків. Що виросли дроту були не циліндровими, а конусоподібними, причому найтонші (у підстави) конуси мали меншу висоту і краплі на їх вершинах відсутні. Таким чином, скільки завгодно довгий нанодріт з краплі даного розміру виростити неможливо.

#

Рис. 1.6. Фотографія нанодроту кремнію з золотою шапочкою

Але найчудовіший ефект полягає в тому, що атоми золота здатні мігрувати з малих крапель в більші не тільки по плоскій поверхні підкладки (до зростання), але і з вершини одного нанодроту на вершину іншого (розташованою поряд) безпосередньо при зростанні! Результатом такого перетікання є формування пари нанопроволок з протилежною конусністю (рис.1.6, масштабні штрихи - 1мкм). Експерименти insitu в електронному мікроскопі дозволили детально досліджувати кінетику процесу - три знімки на рис. 3 показують зменшення розміру краплі "В" при одночасному збільшенні краплі "А" на сусідньому нанодроті (цифри – час зростання в секундах, масштабний штрих – 50нм). При цьому було встановлено, що швидкість аксіального росту конусовидного нанодроту не залежить від розміру краплі (не рахуючи останньої ділянки швидкого скруглення). Автори пов'язують це з тим, що в їх експериментах лімітуючою стадією є необоротне розкладання молекули дисилану на поверхні рідкої евтектичної краплі [8].

#

Рис. 1.7. Знімки електронного мікроскопа нанодротів в процесі росту

Отже, епітаксіальне ПРК-ріст кремнієвих нанодротів в дуже чистих умовах натрапляє на фундаментальні обмеження, обумовлені високою міграційною здатністю атомів Au. Разом з тим відомо, що при звичайній газофазній епітаксії дроту ростуть циліндровими, а золото на їх бічних поверхнях відсутнє. Мабуть, навіть невеликі кількостей кисню в ростовій атмосфері достатньо, щоб ефективно блокувати пересування атомів золота по поверхні. Виходить, що для успішного синтезу нанопроволок технологічна система повинна бути чистою, але не занадто [9].

1.8 Нанодроти триоксиду вольфраму

Надкритичні флюїди володіють рядом цікавих особливостей. Вони відмінні розчинники, мають низьку в'язкість, високу теплоємність, високі швидкості перенесення і високий осмотичний тиск. Крім того, їх фізичні властивості можуть бути легко змінені за допомогою варіювання температури і тиску. Найчастіше як надкритичний флюїд застосовується CO2, який нетоксичний, безпечний і порівняно легко переходить в надкритичний стан.

Рис. 1.7. Нанодроти WO3 при різному збільшенні. Довжина мітки (a) 500 нм, (b) 200нм, (c) 50 нм, (d, e) 20 нм.

Японські дослідники об'єднали методи синтезу в плазмі і надкритичних розчинах в один і змогли отримати одновимірні нанодроти оксиду вольфраму, покриті аморфним вуглецем.

У осередок, де відбувається утворення надкритичного розчину, були поміщені вольфрамові електроди, до яких було прикладено високочастотну змінну напругу. При атмосферному тиску з вуглекислого газу утворювалася плазма, після чого в осередку створювався великий тиск і вводилася деяка кількість толуолу. Автори відзначають, що безпосередньо в надкритичному стані плазму отримати досить проблематично [12].

В процесі реакції утворилася чорна сажа, яка, як виявився при найближчому розгляді, складається з множини нанодротів довжиною в декілька мікрометрів. Більш того, було виділено 2 типи дротів – одні є простими дротами діаметром 20-30 нм, а інші є коаксіальними структурами з внутрішнім діаметром 10-20 нм і зовнішнім 20-30 нм. Останні складають близько 20% від загального числа дротів. У докритичному стані нанодроти не утворюються, і лише досягши тиску 20 МПа вони стають основним продуктом синтезу. У відсутність органічного розчинника (толуолу) формування дротів не відбувається [10].

За даними EDS (Energy Dispersive X-ray Spectroscopy) і ПЕМ, серцевина коаксіальних дротів складається з оксиду вольфраму, а оболонка утворена аморфним вуглецем. З даних рентгенівської дифракції було визначено, що серцевина сформована моноклінними кристалами WO3, і таку ж структуру мають і прості нанодроти.

Розділ 2. Кінетика формування нанодроту в процесі вакуумної конденсації металів на поверхню кристала

Одним з основних способів створення дискретних наноструктур є вакуумна конденсація з парової фази. Зокрема, формування нанопроволок металів на поверхні Si при вакуумній конденсації.

Зародження острівців при вакуумній конденсації може відбуватися як на бездефектних ділянках підкладки, так і на активних центрах. При декоруванні острівцями металів поверхні іонних кристалів виборче зародження відбувається на дефектах наступних типів: центрах фарбування, атомах домішок, вакансіях, поверхневих дефектах деформаційного походження (лінії ковзання, ступені скла) і дефектах зростання (ступені зростання, дефекти "шероховатих" поверхонь, виходи дислокацій). За допомогою методу декорування поверхні підкладки Бетге візуалізував моноатомні ступені на поверхні скла монокристала NaCl при вакуумній конденсації золота. На площині скла (100) кристала кам'яної солі декоруючі частинки Au маються в своєму розпорядженні рядами уздовж ступенів і у вигляді ізольованих частинок на гладких ділянках. Лінійна щільність зародків на ступенях скла на порядок більше, чим на решті частини підкладки, що може приводити до утворення суцільного нанодроту на ступенях раніше, ніж на бездефектній підкладці наступить поріг коалесценції. В цьому випадку нанодріт уздовж ступенів можна використовувати як провідник електричного струму [8].

Слід зазначити, що в острівних металевих плівках на діелектриці перенесення заряду від острівця до острівця здійснюється декількома механізмами, основними з яких є термоелектронна емісія і тунелювання (скачкова провідність), причому зазвичай переважає останній. Вірогідність тунелювання експоненціально збільшується із зменшенням міжострівного проміжку, тому острівні плівки стають провідними ще до настання коалесценції. Електропровідність острівкових плівок зареєстрована при характерній відстані між острівцями 100 Å.

Навколо поверхневих стоків утворюються зони захоплення, де із-за зниженої концентрації адатомів мала вірогідність утворення острівців. Із зростанням острівця число місць адсорбції, яке він займає, і площа зони його захоплення безперервно збільшуються. У справжній роботі розмір зони захоплення приймається рівним декільком міжатомною відстанню.

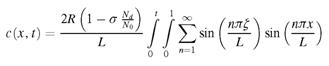
Дана модельна система є кристалічною підкладкою з діелектрика (для конкретних обчислень — іонний кристал), що містить ступені і активні центри зародження (вакансії в поверхневому шарі), на яку конденсуються металеві атоми з потоку R (cm-2 s-1). Конденсація вважається повною, вірогідність створення зародків на бездефектних ділянках підкладки приймається малою. У моделі не враховується розпад зародків на підкладці, тобто один атом металу на ступені або на активному центрі є стабільним зародком, якого далі називатимемо острівцем. Ступені і активні центри розглядаються як нескінченні стоки для дифундуючих до них адсорбированых атомів. Таким чином, на підкладці протікають два процеси, контролюючих кінетику зростання острівців на ступенях і активних центрах: притока атомів на підкладку за рахунок вакуумної конденсації і дифузійний відтік адатомов до ступенів і активних центрів зародження. Час формування нанодроту приймається рівним часу зростання острівців на ступені до фізичного зіткнення з сусідами. У цей момент на решті частини підкладки ступінь покриття такий, що коалесценція відсутня, і радіус острівця rp значно менше відстані між ними [13].

Для випадку повної конденсації рівняння дифузії адатомов до ступенів запишеться у вигляді

 (2.1)

де c(x, t) — концентрация адатомов на підкладці; D — коефіцієнт поверхневої дифузії; Nd — поверхнева щільність дефектів на підкладці; N0 — щільність місць адсорбції; σ — число захоплення адатомів активним центром, яке визначається кількістю місць адсорбції, занятих куполоподібним острівцем, з врахуванням місць адсорбції в самій зоні захоплення.

Коефіцієнт дифузії визначається стандартним виразом

 (2.2)

де Ed — енергія активації дифузії; η — ймовірність того, що нове місце адсорбції дифундуючого атома вільне. Так як число місць адсорбції значно превищує число атомів на підкладці, можна прийняти η = 1.

Початкові і кінцеві умови для рівняння (1) наступні: c(x, 0) = 0 (в початковий момент часу концентрація конденсованих атомів на підкладці рівна нулю); c(0, t) = c(L, t) = 0 (концентрація адатомів на ступенях рівна нулю протягом всього часу конденсації).

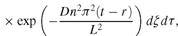
Розв’язок рівняння (2.1) має вигляд

 (2.3)

де L — відстань між ступенями.

Час формування нанодроту tk розраховується шляхом прирівнювання об’єму напівсферичного зародкаа на ступені в момент, коли він торкнеться з сосідами, і сумарного об’єму атомів, які його формують,

 (2.4)

Тут rz step — радіус зародка на ступені, a — період градки підкладки, Q — число атомів, досягнувших ступені, Nz step — гусина зародків на ступені, y — довжина ступені (в разрахунках y = 1).

Число атомів, що досягли ступеня, рівне кількості напилених атомів без урахування захоплених дефектами і вільних адатомов на підкладці

 (2.5)

де S — площа підкладки, S = Ly.

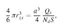
З рівняння (2.4) з обліком (2.5) знаходимо час формування нанодроту з острівців півсферичної форми

 (2.6)

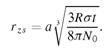
Розмір зародка на підкладці rzs у момент tk знаходиться із співвідношення

 (2.7)

де Qs — число атомів, продифундувавших до центрів зародження. Очевидно

 (2.8)

Тому

 (2.9)

Ступінь заповнення підкладки між ступенями Z визначається по формулі

 (2.10)

У роботі використовуються наступні значення величин: Nd приймається рівній рівноважній густиніі вакансій (≈ 5 · 1010 cm-2 ); ν = 103 s-1; L = 2.5 · 10‑6cm). Величина σ визначається як середнє арифметичне між мінімальним значенням (≈50) і максимальним, яке оцінюється за середнім розміром острівця на момент часу tk [13].

Висновки

1. В дані роботі зроблено спробу в розумінні наносвіту і його законів. Було опрацьовано 13 літературних джерел на тему одержання нанодротів.

2. Розглянуто вісім методів синтезу нанодротів. Зроблено порівняльну характеристику цих методів. Найбільш широко використовується у промисловості VLS (пара-рідина-тверде тіло) метод. Перевагою даного методу є доступність сировини (кремнію) та простота конструкції установки вирощування. Недолікам є важка очистка матеріалів. Це можна обійти в методі синтезу за допомогою шаблонів. Але поряд з тим в даному методі важко конторолювати сам процес росту нанодротів. Це усувається у електрохімічному методі. Ріст нанодротів в даному методі є, як правило, контрольованим у напрямку нормалі до поверхні підкладки. Мінусом електрохімічного методу є невелика заповненість пор у шаблоні. Ще одним перспективним методом є нанесення з парової фази. Даним методом можна добувати високо чисні нанодроти і строго заданої форми. До мінусів можна віднести молу кількість речовин, які можуть бути використані у синтезі нанодротів.

3. Розглянуто фізичні основи нанодротів та перспективи їх використанню.

Список використаної літератури

1.   Ли В.Н., Кондратьев А.И., Титов В.А.,. Игнатенко И.В., ХимухинС.Н Неразрушающий контроль состояния контактного провода // Известия вузов. Приборостроение. – 2007. – Т.50, № 9. – С. 61-64

2.   Верхотуров А.Д., Ершова Т.Б., Бару Л.Л., Дворник М.И. Минералогическое материаловедение – основа получения функциональных материалов из минерального, техногенного и вторичного сырья. // Известия высших учебных заведений. Горный журнал. – 2008. – Т.12, №5. – С. 91-97.

3.   Заводинский В. Г. Квантово-механическое исследование упругих свойств наночастиц и процессов их агломерации. // Российские нанотехнологии. – 2008. – Т.2, № 11-12. – С. 58-62.

4.   Верхотуров А.Д., Шпилёв А.М., Коневцов Л.А. Современное неорганическое материаловедение. // Химическая технология. – 2008. – Т.19, № 7. – С.11-15.

5.   Верхотуров А.Д., Шпилёв А.М., Коневцов Л.А. Методологические основы становления и развития материалогии и роль технологии комплексной переработки минерального сырья для получения материалов с заданными свойствами. // Горный информационно- аналитического бюллетень. – 2007. – Отдельный выпуск № ОВ16. – С. 212-228.

6.   Handbook of Nanostructured Materials and Nanotechnology, v. 1 (Academic Press, San Diego – Tokio, (2000) pp.327-360.

7.   Сторонський О.В., Міца В.М. Фізика і техологія нанообєктів. Курс лекцій. Частина 1. – Ужгород, Ужгородський національний університет, фізичний факультет, 2009 р.

8.   Алешин А.Н. Квантові точки // ФТТ. - 49, 11.- 2007. – С.19 - 21.

9.   Верхотуров А.Д., Ершова Т.Б., Бару Л.Л., Дворник М.И. Минералогическое материаловедение – основа получения функциональных материалов из минерального, техногенного и вторичного сырья. // Известия высших учебных заведение. Горный журнал. – 2008. – Т.34, №5. – С. 91-97.

10. Нанотехнологія в найближчому десятилітті, прогноз напряму досліджень. Під редакцією К.Роко, Р.С.Уїльямс і П.Алівісатос, переклад з англ. А.В.Хачояна, Р.А.Андрієвського, – М.: Мир, 2002,–234с.

11. Покропивний В.В., Поперенко Л.В. Фізика наноструктур, – К.,2008, – 220с.

12. Раков И.Г. Отримання нанодротів// Успіхи хімії. - 2007. - Т. 76. - № 1. - С. 3‑26.

13. Раков И.Г. Нанотрубки і фуллерены, – М.: Логос, 2006.

Похожие работы на - Технологія синтезу нанодротів

 

Не нашли материал для своей работы?
Поможем написать уникальную работу
Без плагиата!
Без нейросетей!