|
№ п/п
|
Формула сполуки
|
М, г/моль
|
ω (с), %
|
m (c)
|
|
1.
|
CH4
|
16
|
75
|
12
|
|
2.
|
C2H6
|
30
|
80
|
24
|
|
3.
|
C3H8
|
44
|
81,82
|
36
|
|
4.
|
CO
|
28
|
42,86
|
12
|
3. Використання явища
ізоморфізма. Ізоморфізм – це явище існування різних речовин з одинаковою кристалічною
структурою. Е. Митгерлих (1819 р.) запропонував правило ізоморфізма: речовини, що
утворюють ізоморфні кристали, мають близькі хімічні формули (наприклад, MnCO3 і СаСО3).
4. По місцю елемента
в періодичній системі Д. Т. Менделеєва.
5. Метод мас-спектрометрії.
Іонізовані атоми і молекули речовин розділяють в електричних і магнітних полях по
відношенню заряда іону до його маси (ne/M) і роздільно регіструють. На фотопластинці одержують зображення мас-спектра,
в якому кожній плямі, що утворюється при ударі іона, відповідає певне значення ne/M. Положення плям на плівці дозволяє судити
про масу іонів (атомів).
Атомну масу елементів
при наявності ізотопів вираховують як середнє значення атомних мас їх окремих ізотопів.
Наприклад, хлор складається з двох ізотопів, маси атомів яких відповідно рівні 34,
940; 36, 961 і вміст кожного із них (масові частки, %) 75, 53 та 24, 47. Тоді:
Мr(Сl) =
= 35,453
Будова атома
До кінця ХІХ ст. атом
вважали неподільним. Але завдяки дослідженням цілого ряду вчених було встановлено,
що атом подільний і є складною системою. Найважливішими з цих досліджень стали відкриття
катодного випромінювання та радіоактивності.
Катодне випромінювання
утворюється у вакуумованій скляній трубці, в яку впаяні два електроди – катод і
анод. При підключенні катоду і аноду до джерела струму високої напруги катод випускає
невидиме для ока проміння, яке викликає люмінесценцію (світіння) розрідженого газу.
В зовнішньому електричному полі це проміння відхиляється в бік позитивного полюсу,
що показувало, що це проміння є потоком негативно заряджених часток (В. Крус, 1880
р.).
Радіоактивність відкрита
А. Бекерелем у 1896 році. Вивчаючи фосфоризацію він помітив, що сіль K2ClO2(SO4)2 · 2H2O діє на фотопластинку без попереднього
освітлення. У 1898 р. М. Складовська-Кюрі та її чоловік П. Кюрі виявили в урановій
руді ще два елементи, що діють на фотоплівку – полоній (Польша) і радій (промінь).
Здатність деяких елементів
випромінювати невидиме для ока проміння, яке спричиняє почорніння фотоплівок, проходить
через речовини, іонізує повітря називається радіоактивністю, а відповідні елементи
радіоактивними – це самовільний розпад атомів радіоактивних елементів. У 1899 р.
Е. Резерфорд встановив, що воно неоднорідне. Під дією магнітного поля радіоактивне
випромінювання розщеплюється на три пучки: α – позитивно заряджені частки значної
маси (у 1902 р. Резерфорд встановив: α →
– ядро Не); β – негативно заряджені частки
молекулярної маси (
); γ
– не несе заряду і не відхиляється в магнітному полі.
Термін ”електрон”
був введений в науку в 1891 р. Стопеєм. Він означав одиничний заряд, що входить
до складу атома. Заряд електрона можна визначити на основі закону Фарадея (електроліз):
один моль іонів (6,02 · 1023) часток при пропусканні елетричного струму
через розчин переносить електричний заряд рівний числу Фарадея (F): F = 96485 кул. Тоді:
= 1,602 · 10–19
кул
Для визначення маси
електрону використовують експериментально встановлену величину – відношення заряду
електрона до його маси: е/me = 5,273
· 1017 ел.ст.од/г; е = 4,77 · 10 ел.ст.од; тоді:
me =
0,9109 · 10–27 г
Якщо порівняти масу
електрону з масою найлегшого елементу гідрогену
то виявляється, що
вона ≈1840 раз менша. Тому можна сказати, що маса атома сконцентрована в його
ядрі.
У 1886 році М. Гольдштейн
відкрив додатньо заряджені частки, у яких заряд був рівний заряду електрона, але
протилежний за знаком, а маса часток співпадала з масою атома водню. Ці частки були
названі протонами.
Рентгенівське випромінювання.
Закон Мозлі. 1895 р.
В. К. Рентген відкрив
рентгенівське випромінювання. Рентгенівське випромінювання виникає внаслідок зіткнення
електронів з атомами металевої пластинки. Вивчення природи рентгенівського проміння
показало, що воно відхиляється в магнітному і електричному полях і є електромагнітним
випромінюванням з малою довжиною хвиль (0,06–20 Å),
від катоду до аноду в рентгенівській трубці = 104
– 105 км/сек.
Рентгенівський спектр
складається з неперервного спектру, який не залежить від матеріалу аноду і лінійного
(характеристичного рентгенівського спектру) не залежить від матеріалу аноду.
Вивчаючи характеристичні
рентгенівські спектри різних хімічних елементів Г. Мозлі встановив, що довжини хвиль
для однотипних ліній відповідних серій (наприклад, Кα) змінюються
закономірно від положення елементів в періодичній системі. ”Лінії” кожної серії
спектра при збільшенні порядкового номера елемента зміщуються в бік менших довжин
хвиль. У 1913 р. на основі своїх експериментальних даних Г. Мозлі сформулював закон,
за яким корінь квадратний з частоти з частоти
певних ліній одинакових
серій характеристичного рентгенівського спектра прямо пропорційний порядковому номеру
елемента
(a і b – сталі величині, які залежать від лінії
спектра і серії; λ – довжина хвилі власного випромінювання елемента з порядковим
номером z). Цей закон давав змогу визначити
точні значення порядкових номерів для елементів за діаграмою
Чедвік (1920 р.) експериментально
визначив заряди ядер ряду елементів і встановив, що у всіх випадках вони відповідають
значенню z у формулі Мозлі.
Для всіх атомів, за
винятком гідрогену, маси атомів у 2–2,5 раз перевищує заряди ядер і тому було зрозуміло,
що до складу атома входить ще якісь елементарні частки. Дослідження ядерної реакції
між α-частинками і ядрами берилію привели до відкриття нейтрону – частка, маса
якої рівна масі протона, а заряд рівний нулю.
Відкриття нейтрона
стало основою для створення протонно-нейтронної будови ядра.
В 1932 році була відкрита
ще одна частка – позитрон (додатній електрон).
Вважається, що протон
і нейтрон – це лише різний стан одної і тої ж частки названої нуклоном. Перехід
протона у нейтрон супроводиться виділенням позитрона, а перехід нейтрона у протон
– виділенням електрона.
Вслід за позитроном
була відкрита ще мікрочастка. Ця частка, що немає заряду, була названа нейтрино.
Нейтрино має масу спокою рівною нулю і володіє великою проникністю. Вся маса нейтрино
зв’язана з його рухом.
Моделі будови атома. Атомні спектри. Теорія Бора
Катодне проміння і
радіоактивність показало, що до складу атомів входять
електрони. Оскільки атоми електронейтральні, то вони мають містити стільки позитивних
ядер скільки і негативних.
Перша модель будови
атома запропонована в 1903 р. Дж. Томсоном – кулька заповнена достатньо і негативно зарядженими частками,
причому електрони в атомі розміщуються пошарово, а хімічні властивості елементів
визначаються зовнішнім шаром електронів.
Для більш точного
визначення внутрішньої будови атома Е. Резерфорд провів серію дослідів з α-частинками.
α-частинки направлялись на металеві пластинки. Одна частинка на 10 000 відкидалась
у вихідне положення – лише при зіткненні із значно більшим позитивним ядром.
У 1911 р. Е. Резерфорд
запропонував планетарну модель будови атома в центрі атома міститься позитивно заряджене
ядро, маса якого практичо дорівнювала масі атома; навколо ядра на орбіталях рухаються
електрони; між ядром і електронами взаємодіють електростатичні сили (кулонівські)
зрівноважені відцентровою силою, що виникає внаслідок руху
де m – маса ē; е – заряд ē; v – швидкість руху ē; r – радіус орбіталі.
Діаметр атома складає
~10–8 см, а діаметр
ядра ~10–13–
10–12см.
Результати обчислень
показали, що заряд ядра рівний порядковому номеру елемента в періодичній системі.
Відомо, якщо сонячний
промінь пропускати крізь кварцову призму, то він розкладається і на екрані, поставленому
за призмою, виникає кольорова смуга, яка містить усі кольори райдуги. Це пояснюється
тим, що білий промінь складається з електромагнітних хвиль різної довжини, які при
проходженні через призму заломлюються нею неодинаково і потрапляють на різні ділянки
екрану. Такий спектр називається суцільним.
Світло, яке випромінюється
розжареним газом або парою складається з електромагнітних хвиль певної довжини.
Тому замість суцільної смуги на екрані виникає ряд окремих кольорових ліній, розділених
темними проміжками. Так, наприклад, у видимій частині спектра водню міститься п’ять
ліній: червона, зелена, синя і дві фіолетові. Спектр калію складається з трьох ліній
– дві червоні і одна фіолетова. Такі спектри називаються лінійчатими. Кожному хімічному
елементу відповідає свій атомний спектр, який відрізняється від спектрів інших елементів.
Модель атома Резерфорда не могла пояснити лінійчатий характер атомних спектрів.
Більше того, вона їм суперечила.
Квантова теорія світла
У 1900 р. німецький
вчений М. Планк вивчаючи природу випромінювання нагрітих твердих тіл висловив припущення,
що енергія випромінюється і поглинається не безперервно, а дискретно, певними порціями
– квантами, пропорційними частоті коливань. Тобто перехід від одного енергетичного
стану до найближчого іншого супроводжується випромінюванням або поглинанням енергії
у вигляді певних порцій – квантів енергії:
Е = hn – рівняння Планка
де n – частота; h – стала Планка = 6,625 · 10–34
Дж·с.
Постулат Планка був
обгрунтований у 1905 р. А. Ейнштейном, який аналізуючи явище фотоефекту дійшов висновку,
що електромагнітна (промениста) енергія існує лише у формі квантів і випромінювання
є потоком неподільних матеріальних часток (фотонів), енергія яких визначається рівнянням
Планка.
З погляду класичної
механіки обертання ē з масою m навколо ядра атома визначається моментом кількості
руху – mvr. Припускається, що v і r можуть змінюватися як завгодно і неперервно.
У квантовій механіці
енергія ē, що рухається, може змінюватися тільки квантами. Це означає, що величини
r і v також мають змінюватися стрибкоподібно. В квантовій механіці момент кількості
руху виражається співвідношенням
і може дорівнювати n
де n = 1,2,3,4.... будь-яке ціле число
Враховуючи квантову
теорію світла, лінійчатий характер атомних спектрів, планетарну модель будови атома
Резерфорда Н. Бор у 1913 р. сформулював основні свої теорії для атома водню у вигляді
постулатів.
1. Поняття стаціонарної
орбіталі, перебуваючи на яких електрон не поглинає і не випромінює енергію. Для
електронів, що рухаються на таких орбіталях, момент кількості руху повинен бути
цілим кратним кількості
:
mevr = n
(1)
me – маса електрона; v – швидкість руху електрона;
r – радіус орбіти
(віддаль між центром ядра і електроном);
n – будь-яке ціле
число; h – стала Планка.
З формули (1) визначаємо
v:
(2)
Вважаючи, що електрон
утримується на такій орбіті внаслідок урівноваження двох сил, що діють на нього:
сила електростатичного притягання його ядром і центробіжна сила його оберту. Можемо записати:
(3)
е – заряд електрона
і ядра.
З рівняння (3) визначаємо
r:
(4)
Підставляємо в (4)
значення v із (2):
(5)
(6)
Для першої стаціонарної
орбіталі n = 1:
r1
= 0,529172 · 10–8 см;
r2 = 22 · r1 = 4 r1; r3 = 9 r1; r4 = 16 r1, тобто r1 : r2 : r3 ... = 12 : 22 :
32 : 42...
З двох рівнянь (7)
і (8) можна визначити швидкість руху електрона
Для цього визначимо
r з рівнянь (7) і (8), і прирівняємо між
собою:
; 
;
(9)
Підставивши значення
p, me, e і h в (9), одержимо:
vn = 2,187 · 10–6
м/сек.
2. Другий постулат
Бора говорить про те, що випромінювання або поглинання енергії проходить квантами
при переході електрона з одної стаціонарної орбіталі на іншу.
Вважаючи потенціальну
енергію електрона, що знаходиться в нескінченності, рівній нулю, то потенціальна
енергія електрона, що перебуває на віддалі r, має слідуюче значення:
Епот =
–
= –
(10)
(у рівняння (10) підставили
значення r із формули (6)).
Значення кінетичної
енергії електрона наступне:
Екін =
–
= –
(11)
(у рівняння (11) підставили
значення v із формули (2)).
Тоді повна енергія
електрона рівна:
Е = Епот
+ Екін = –
Еb – Еa = hn = 
;
n = 
; n = R
(R – стала Рідберга)
В результаті Н. Бор
визначив сталу Рідберга і показав, що найменше значення енергії електрона атома
водню рівне (–R). При переході електрона з одної
можливої орбіти на іншу поглинається або випромінюється енергія (мал. ).
Але теорія Бора не
спроможна була пояснити порядок розміщення декількох електронів на орбіталі. Складна
структура спектру багатоелектронних атомів вимагала більш глибокого наукового пояснення.
Подальше удосконалення
теорії будови атома пов’язане з хвильовим характером руху мікрочасток і ймовірним
методом опису мікрооб’єктів. У 20-х роках ХХ століття завдяки роботам де Бройль,
Е. Шредінгера, В. Гейзенберга були розроблені основи хвильової теорії про корпускулярно-хвильову
природу світла.
Мал. . Схема виникнення
водневого спектру.
У 1924 р. де Бройль,
розвиваючи теорію квантів, ввів поняття про «корпускулярні» хвилі. Він відмітив,
що для фотонів повинні виконуватись два основних рівняння:
Е = hn; E = mс2; mс2 = hn; mс2 = h
; n =
; λ =
;
P = mс – кількість руху або імпульс.
Потім висунув гіпотезу,
що рух таких часток, як електрони, пов’язаний з хвильовим рухом, довжина хвилі якого
має вираз аналогічний відповідному рівнянню для фотонів λ =
, де m – маса частки (в г); v – швидкість
руху частки (см/сек). Ця гіпотеза про хвильову природу електронів одержала експериментальне
підтвердження, коли Девіссон і Джермер (1927 р.) і Томсон і Рід (1928 р.) незалежно
один від одного показали, що пучок електронів може давати дифракційний інтерференційний
ефект. Це явище можна пояснити тільки, якщо електронному пучку приписати хвильові
властивості. Тому можна сказати, що не тільки світлові хвилі ведуть себе як потік
малих часток (фотонів), але і потоки малих часток , таких як електрони. Це протиріччя
було розв’язане за допомогою принципа невизначенності Гейзенберга (1927 р.). Цей
принцип можна проілюструвати ”уявним експериментом”, в якому розглядається поведінка
даної системи при даних умовах. Припустимо, що електронна пушка може вистрілити
один електрон, направивши його горизонтально з відомою швидкістю в абсолютно вакуумовану
посудину.
Мал. . Уявний експеримент
Гейзенберга:
1 – електронна пушка;
2 – джерело світла;
3 – мікроскоп.
Джерело світла (2)
може випускати фотони будь-якої необхідної енергії (тобто частоти або довжини хвилі).
Єдиний електрон можна спостерігати в ідеальний мікроскоп. Спочатку електрон буде
рухатись по параболічній траєкторії під дією гравітаційного поля Землі. Але, коли
він зіткнеться з фотоном, що має певну масу, то він відскочить і його швидкість
зміниться. Тому, ведучи спостереження через послідовно малі проміжки часу можна
помітити, що електрон рухається зигзагоподібно під впливом послідовних зіткнень
з фотоном.
Якщо енергію фотонів
(hn) знизити, то можна зменшити вплив
зіткнень. Однак, це приведе до збільшення довжини хвилі
світла і тому електрон буде визначатися
менш точно, внаслідок зниження роздільної здатності мікроскопа. Таким чином, при
використанні світла низької частоти можна точно знати швидкість електрона, але не
його положення.
З іншого боку, світло
з короткою довжиною хвилі складається з фотонів високої енергії (hn) і хоча диференційні помилки
в мікроскопі будуть невеликими, але на швидкість мікрона буде сильно впливати кожне
зіткнення з фотоном. Таким чином при використанні такого випромінювання можна знати
положення електрона, але не його швидкість. Гейзенберг показав, що добуток невизначеностей
положення і швидкості не може бути меншим від
, тобто Dt · Dv ³
. Отже, Гейзенберг вважав, що в атомних масштабах
траєкторію частки уже не можна розглядати з математичною точністю, а замість цього
повинна існувати смуга невизначеності, в якій частка може рухатися по всій області
можливих положень. Цей рух має характерні риси хвильового руху і тому його можна
трактувати на основі рівнянь хвильової теорії; цей предмет відомий як хвильова механіка.
З попереднього випливає,
що можна розглядати тільки імовірність того, що частка буде в даному місці в даний
момент і можна сформулювати принцип невизначеності: в принципі неможливо точно визначити
і положення, і швидкість частки атомного масштабу.
В ролі моделі стану
електрона в атомі в квантовій механіці прийнято уявлення про електронну хмару, густина
відповідних ділянок якої пропорційна імовірності знаходження там електрона. Простір
навколо ядра, в якому перебування електрона найбільш імовірне, називається орбіталю.
Розподіл електронної
густини навколо ядра можна за допомогою кривих радіального розподілу (мал. ).
Мал. Радіальний розподіл
імовірності знаходження електрона в атомі для 1s орбіталі атома водню
Ця крива показує імовірність
того, що електрон знаходиться в тонкому концентричному кулеподібному шарі радіусом
r, товщиною dr навколо ядра. Об’єм цього шару рівний
dV = 4pr2dr.
У 1926 р. Е. Шредінгер
запропонував рівняння, що одержало назву хвильового рівняння Шредінгера. Воно зв’язує
хвильову функцію y з потенціальною енергією електрона (u) і його повною енергією Е:
де m – маса електрона; h – стала Планка; Е – загальна енергія електрона; u – потенціальна енергія електрона. Треба
зазначити, що допустимі розв’язки рівняння Шредінгера можливі тільки для певних
дискретних значень енергії електрона.
Кожній функції y1, y2, y3, ..., yn, яка є розв’язком хвильового
рівняння відповідає певне значення енергії Е1, Е2, Е3,
..., Еn. Стан електрона в атомі характеризується
значенням чотирьох квантових чисел: n – головного; l – орбітального; me – магнітного; s – спінового.
Квантування енергії,
хвильовий характер руху мікрочасток, принцип невизначеності показують, що класична
механіка непридатна для опису поведінки мікрочасток. Так, стан електрона в атомі
не можна уявити як рух матеріальної частки по якій-небудь траєкторії. Квантова механіка
замінює класичне поняття точного знаходження електрона в даній точці поняттям статистичної
імовірності знаходження електрона в елементі об’єму dV навколо ядра.
Оскільки рух електрона
має хвильовий характер, квантова механіка описує його рух в атомі так званою хвильовою
функцією y. В різних точках атомного простору ця функція приймає різні значення. Математично
це записується рівнянням y = y(х, у, z), де х, у і z координати точки. Певний фізичний
зміст має y2, який характеризує імовірність знаходження електрона в даній
точці атомного простору. Величина y2dV представляє собою імовірність виявлення
мікрочастки в елементі об’єма dV.
Головне квантове число
(n) визначає радіус квантового рівня
(середню віддаль від ядра до ділянки з максимальною електронною густиною) і загальну
енергію електрона на певному рівні. Воно може мати додатні цілі числа: n = 1,2,3,..,¥. Якщо n = 1, то електрон має найменшу енергію,
а стан атома з найменшою енергією називається нормальним або основним. Із збільшенням
значення n загальна енергія електрона збільшується,
а стан атома при цьому називається збудженим. Тому стан електрона, який характеризується
певним значенням головного квантового числа, називається енергетичним рівнем електрона
в атомі. Для енергетичих рівнів електрона в атомі, що відповідають значенням n, прийняте позначення великими латинськими
буквами:
n 1 2 3 4 5 6 7
енергетичні рівні
K L M N O P Q.
Максимальна кількість
енергетичних рівнів, яку може мати атом в основному стані, відповідає номеру періода,
в якому розміщений певний хімічний елемент. Головне квантове число визначає і розміри
електронної хмари: зменшення зв’язку енергії електрона з ядром відповідає збільшенню
об’єму хмари і навпаки.
Основні енергетичні
рівні складаються з певного числа енергетичних підрівнів, які проявляються в тонкій
структурі атомних спектрів. Для характеристики енергії електрона на підрівні, або
форми електронних орбіталей, введено орбітальне квантове число l, яке називається також азімутальним квантовим
числом. Воно відповідає значенню орбітального моменту кількості руху електрона і
обчислюється за формулою:
М =
Орбітальне квантове
число (l) може мати значення від 0 до n – 1. Кожному значенню l відповідає
певний підрівень. Енергетичні підрівні позначаються цифрами і маленькими латинськими
буквами:
l 0 1 2 3
енергетичні рівні
s p d f.
Можлива кількість
підрівнів для кожного енергетичного рівня дорівнює номеру цього рівня, тобто величині
головного квантового числа. Так, якщо n = 1, то існує лише один підрівень з
орбітальним квантовим числом l = 0. На другому енергетичному рівні
(n = 2) можуть бути два підрівні, яким відповідають
орюітальні квантові числа l = 0; 1.
Відповідно до буквенних
позначень енергетичних підрівнів електрони, які перебувають на них називаються s-, p-, d-, f-електронами.
Відповідно до квантовомеханічних
розрахунків s-орбіталі мають форму кулі (сферична
симетрія); р-орбіталі – форму гантелі; d- і f-орбіталі більш складної форми. Під ”формою
орбіталі” треба розуміти таку просторову геометричну модель, в межах якої перебування
електрона найімовірніше.
Стан електрона в атомі,
що відповідає певним значенням n і l, записують так: спочатку цифрою позначають
головне квантове число, а потім буквою – орбітальне квантове число:
3s (n = 3; l = 0); 4p (n =4; l = 1)
У магнітному полі
спектральні лінії атомів стають ширшими, або розщеплюються, тобто з’являються нові
близько розташовані лінії (збільшується мультиплетність). Це пояснюється тим, що
електрон в атомі на всіх, крім s-підрівня, поводить себе подібно до магніту і тому
характеризується, крім орбітального, ще і магнітним моментом. Просторове розміщення
електронних орбіталей відносно напрямленості магнітного поля характеризується третім
квантовим числом me, яке називається магнітним. Магнітне поле орієнтує
площину орбіталі в просторі під певними кутами, при яких проекція орбітального моменту
Мх на напрямленість поля (наприклад, на вісь х) визначається за формулою
Мх =
ml
Магнітне квантове
число може мати цілочислові значення від +l до –l.
Для s-електронів можливе
лише одне значення ml і для р-електронів (l = 1) ml = –1;
0; +1; для d-електронів (l = 2) ml = –2; –1; 0; +1; +2; для f-електронів
(l = 3) ml = –3; –2; –1; 0; +1; +2; +3. Певному значенню l відповідає
(2l + 1) можливих значень магнітного квантового числа. Орбіталі з одинаковою енергією
називають виродженими. Тому р-стан вироджений три рази; d-стан – п’ять; f-стан –
сім разів.
Слід зазначити, що
кожну орбіталь зображають також як енергетичну (квантову) комірку у вигляді квадратика
□. Для s-електронів є лише одна орбіталь,
або одна енергетична комірка; для р-електронів – три □□□ , для
d-електронів – п’ять □□□□□
, для f-електронів – сім □□□□□□□
.
Стан електронів в
атомі, крім обертання навколо ядра, яке визначається квантовими числами n, l, me, залежить також від їхнього власного
власного руху – спіну: навколо власної осі цей рух електрона характеризується спіновим
квантовим числом s, яке може
мати тільки два значення +
або –
. Спін зображають протилежно напрямленими стрілками:
Спіни електронів,
напрямлені в один бік, називаються паралельними, а в протилежні – антипаралельними
Принцип Паулі. На
основі аналізу атомних спектрів і врахування положення елемента в періодичній системі
в 1925 р. В. Паулі сформулював принцип, який дає змогу визначити такі комбінації
квантових чисел, які відповідають реальному розподілу електронів в атомі. Згідно
принципу Паулі, в атомі не може бути двох електронів з одинаковими значеннями всіх
чотирьох квантових чисел. Наприклад, якщо два електрони, які мають одинакові значення
трьох квантових чисел n, l і me, відрізняються значенням четвертого квантового
числа s. Суть принципу полягає в тому, що одну орбіталь, яка характеризується певними
значеннями n, l і me, можуть займати не більше як два електрони з антипаралельними
спінами. Число можливих енергетичних станів електронів на певному рівні визначається
квадратом головного квантового числа – n2, а максимальне число електронів
на ньому дорівнює 2n2.
Розподіл електронів
на енергетичних рівнях і підрівнях записується так: великою арабською цифрою позначається
номер енергетичного рівня, маленькими латинськими буквами – підрівні, а число електронів
на підрівні – маленькою арабською цифрою справа зверху у вигляді індекса. Наприклад:
3s23p6d10 – розподіл електронів на третьому енергетичному
рівні.
Послідовність заповнення
електронами енергетичних рівнів в атомах. Послідовність заповнення атомних електронних
орбіталей залежно від головного і орбітального квантових чисел дослідов В. М. Клечковський,
який встановив, що енергія електрона зростає із збільшенням суми цих двох квантових
чисел, тобто (n + l). Відповідно до цього він сформулював
правило: при збільшенні заряду ядра атома послідовне заповнення орбіталей відбувається
від орбіталей з меншим значенням суми головного і орбітального квантових чисел (n + l) до орбіталей з більшим значенням цієї
суми.
При одинакових значеннях
суми (n + l) заповнення електронами орбіталей відбувається
послідовно у напрямі зростання значення головного квантового числа.
Заповнення електронами
всіх енергетичних рівнів і підрівнів залежно від їх енергії відбувається в такій
послідовності:
1s – 2s – 2p – 3s – 3p – 4s – 3d – 4p – 5s – 4d – 5p – 6s – 5d – 4f – 6p – 7s – 6d – 5f – 7p
Заповнення електронами
еквівалентних орбіталей відбувається згідно правила Гунда: сумарне спінове число
електронів певного підрівня має бути максимальним. Елементи, в атомах яких заповнюються
s-орбіталі, називаються s-елементами; р-орбіталі – називаються
р-елементами; d-орбіталі – d-елементами; f-орбіталі – f-елементами.
На основі теорії будови
атомів було встановлено причину періодичної зміни властивостей елементів. Властивості
елементів змінюються періодично завдяки тому, що періодично повторюється заповнення
електронами зовнішніх енергетичних рівнів. Наприклад: лужні метали містять на зовнішньому
рівні один електрон в атомі – us1, лужноземельні – us2.
Ядро атома. Атомне
ядро складається з протонів (р) і нейтронів (n), які об’єднуються під загальною назвою
нуклони. Природа елементарних часток р і n визначається трьома кількісними характеристиками:
масою, зарядом і спіном.
Протон (р) – частка
з масою 1,007276 в. о, зарядом +1 (заряд рівний за величиною заряду електрона, але
протилежний за знаком) і спіном ±
.
Нейтрон – частка з
масою 1,008665 в. о, електричного заряду і спіном ±
.
Властивості ядра визначаються
його складом – числом протонів (Z) і нейтронів (W), що входять до складу ядра і визначають його масове число А: А = Z + W. Масове число і порядковий номер
елемента (число протонів) називають числовими індексами (зліва символу хімічного
елемента: верхній індекс – масове число; нижній індекс – число протонів). Наприклад:

Атоми з одинаковим
числом протонів і різною кількістю нейтронів у ядрі називають ізотопами.
і
– ізотопи;
і
– ізобари
Ядра атомів природних
елементів бувають стійкими і радіоактивними. Якщо число протонів приблизно дорівнює
числу нейтронів, ядра атомів елементів стійкі. Якщо число нейтронів значно перевищує
число протонів, то ядра стають нестійкими. Стійкість ядер характеризується параметрами
Бора – значенням співвідношення
Якщо це співвідношення
більше ніж 33, то ядро нестійке, радіоактивне. Елементи з порядковими номерами Z = = 84 – 92 розміщені в періодичній системі за вісмутом – радіоактивні.
Радіоактивними є ізотопи
елементів з порядковими номерами 93–104, які добувають штучно внаслідок ядерних
реакцій.
Радіоактивністю називається
самовільне перетворення нестійкого ізотопу одного хімічного елементу в ізотоп іншого
елементу, що супроводжується випромінюванням елементарних частот, або ядер. Число
ядер Р радіоактивного ізотопу, що розпалися за одиницю часу прямопропорційне загальній
кількості ядер Q цього ізотопу (закон радіоактивного
розпаду): Р = λ · Q, де λ – коефіцієнт пропорціональності, або константа радіоактивного
розпаду, яка для кожного радіоактивного ізотопу має своє певне значення.
До основних видів
радіоактивного розпаду належать α-розпад, β-розпад, електронний захват
і спонтанний поділ ядер.
При α-розпаді
ядро випромінює α-частку
, що приводить до зменшення заряду вихідного радіоактивного
ядра на 2, а його масового числа на 4. Отже, в результаті утворюється атом елемента
зміщеного від вихідного радіоактивного елемента на два місця вліво в періодичній
системі. Наприклад:
→
+
При β-розпаді
ядро випромінює електрони (β–-частинку) завдяки перетворенню одного
нейтрона ядра у протонза схемою:
n → p + β– +
– антинейтрино. υ-нейтрино і
-антинейтрино – елементарні частки, які не мають заряду і не характеризуються
масою спокою, але відрізняються одна від одної спіном. При β-розпаді заряд
ядра збільшується на одиницю, а масове число не змінюється, тобто утворюється ізотоп
елемента з порядковим номером на одиницю більше, ніж у вихідного. Наприклад:
→
+ β– +
Для ядер, у яких число
нейтронів менше за число протонів, характерний позитронний розпад, тобто розпад
з виділенням (β+) позитрона. Позитрон – елементарна частка з масою
електрона і позитивним елементарним зарядом. При β+-розпаді один
протон перетворюється в нейтрон за схемою: р → n + β+ +
. При цьому розпаді заряд ядра зменшується на одиницю, а масове число не змінюється:
→
+ β+ + υ
Електронний захват
полягає в тому, що електрон з найближчого до ядра шару захвачується ядром і при
цьому один з протонів ядра перетворюється в нейтрон: р +
→ n. Наприклад:
+
→
+ γ.
Для важких елементів
крім α- і β-розпаду можливий самовільний поділ ядер. Це явище характерне
для трансуранових елементів. Ізотопи 232Th, 238U і 235Cl є родопочатковими природних радіоактивних
рядів важких елементів. Закінчується розпад утворенням складних ізотопів свинцю.
Ряд перетворень 238U:

















Явище штучної радіоактивності
було відкрите у 1932 році Ірен і Фредеріком Кюрі. Під час ядерних реакцій відбувається
взаємодія відповідних часток (n, p, α) з ядрами хімічних елементів
Для розвитку ядерної
хімії велике значення мало відкриття у 1939 р. поділу ядер урану тепловими нейтронами:
Ядро розщеплюється
на два нові радіоактивні ядра з різними масами. Поділ ядра супроводжується виділенням
великої кількості енергії. При цьому замість одного нейтрона утворюються 2,3 нові,
які можуть спричинювати подальший поділ ядер. На цьому грунтується дія атомної бомби.
На керованих реакціях поділу ядер урану, плутонію грунтується дія ядерних реакторів.
Термоядерні реакції
– вид ядерних реакцій, що відбуваються при високих температурах:
Квантово-механічне пояснення будови молекул
Вчення про хімічний
зв’язок – центральна проблема сучасної хімії. Незнаючи природу взаємодії атомів
у речовині не можна зрозуміти механізм утворення хімічних сполук, їх склад, будову
і реакційну здатність.
Сукупність хімічно
зв’язаних атомів – це складна система атомних ядер і електронів. Певному просторовому
положенню атомних ядер відповідає певний розподіл електронної густини. Описати хімічний
зв’язок у речовині означає встановити, як саме розподіляється електронна густина.
Залежно від характеру розподілу електронної густини в молекулах речовини розрізняють
такі основні типи хімічного зв’язку: повалентний, іонний і металічний. Для переважної
більшості речовин характерне накладання різних типів зв’язків.
Хімічний зв’язок між
атомами в основному здійснюється так званими валентними електронами: у-, s- і p-елементів валентними є електрони зовнішнього
енергетичного рівня, а у d-елементів – електрони s-стану останнього і d-стану передостаннього енергетичних рівнів.
Деякі параметри молекули.
Інформацію про будову речовини можна одержати, досліджуючи її фізичні і хімічні
властивості. Зокрема, за допомогою фізичних методів дослідження визначають основні
параметри молекули – міжядерні віддалі, валентні кути і геометрію молекул. Довжиною
зв’язку називається віддаль між ядрами двох хімічно зв’язаних атомів, які урівноважені
силами притягання та відштовхування, а внутрішня енергія молекули при цьому мінімальна.
Встановлено, що довжина
зв’язку зменшується із збільшенням порядку або кратності зв’язку. Наприклад (1Å = 1·10–8 см):
d(C–C) = 1,541 ± 0,003Å;
d(C=C) = 1,337 ± 0,006Å;
d(CºC) = 1,204 ± 0,002Å.
Оцінити довжину хімічного
зв’язку в молекулі АВ можна виходячи з міжядерних віддалей в простих речовинах А2
і В2:
А2 + В2
→ 2АВ; dA–B =
Якщо значення довжини
зв’язків залишаються постійними в ряду молекул або ковалентно побудованих твердих
сполук і якщо довжина ковалентного зв’язку А–В рівна середньому значенню довжин
зв’язків А–А і В–В, то атомам можна приписати ковалентні радіуси, і тоді довжина
хімічного зв’язку буде рівна сумі ковалентних радіусів відповідних елементів. Так,
наприклад, у всіх насичених сполуках С–С = 1,54–1,58Å; в ароматичних С–С =
1,39–1,42Å
Валентні кути. Схематично
валентні кути можна представити прямими лініями, що з’єднують ядра атомів у молекулі.
Валентні кути залежать від природи атомів і характеру зв’язку. Якщо двохатомні молекули
А2 або АВ можуть мати тільки лінійну конфігурацію, то уже трьохатомна
молекула може бути як лінійною В–А–В, так і кутовою В А В або замкненою
В А В. До І типу (лінійних) відносяться BeCl2, ZnBr2,
CdI2, CO2. До ІІ типу – H2O, H2S. АВ3
– плоска пірамідальна або Т-подібна: BCl3, NH3, ClF3.
4-атомні молекули: С2Н2 – лінійна, СН4 – тетраедрична.
Енергія хімічного
зв’язку – одна з основних характеристик хімічного зв’язку. Вона визначає міцність
зв’язку.
Мірою міцності хімічного
зв’язку може служити як кількість енергії, що витрачається на її розрив, так і величина,
яка при сумуванні по всіх зв’язках дає енергію утворення молекули з атомів (середня
енергія зв’язку). Енергія розриву – додатня.
Енергія зв’язку дорівнює
енергії розриву, але протилежна за знаком. Якщо склад багатоатомної молекули виражається
формулою АВn, то
Езв’язку
=
Еутворення молекули
з атомів
Наприклад:
= 397 ккал/моль; Е(С–Н) =
= 99 ккал
Але якщо допустити,
що проходить процес послідовного відриву атома В від молекули АВn, то при такій дисоціації проходить
зміна ядерної і електронної конфігурації системи і як наслідок – зміна енергії взаємодії
атомів, що входять у молекулу. Якщо в СН4 валентний кут дорівнює 109,5°, то в СН3 – 120°, майже плоский. Тому енергія
послідовного відриву кожного з атомів в В в молекулі АВn буде неодинакова. Тут можливі різні випадки.
Якщо відрив одного атома приводить до послаблення інших зв’язків, тоді енергія послідовного
відриву зменшується. Наприклад, у Н2О відрив 1-го атому Н: Е = 118 ккал/моль і другого – 102 ккал/моль2.
Якщо відрив одного атома приводить до зміцнення хімічних зв’язків, то енергія відриву
наступних атомів зростає. Наприклад, в AlCl3 – E1 = 911; Е2 = 95; Е3 = 119 ккал/моль. Для
СН4: Е = 102, 88, 124, 80;
Есер. =
= 99 ккал/моль
Енергія утворення
молекули може бути вирахована також як сума енергій хімічних зв’язків:
С5Н12
(Н3С–СН2–СН2–СН2–СН3)
= 4ЕС–С + 12ЕС–Н
Закономірна зміна
енергії в однотипних зв’язках дозволяє оцінити енергію зв’язку і в аналогічних молекулах.
Для багатоелектронних
структур, як і для багатоелектронних атомів, точний розв’язок рівняння Шредінгера
не знайдено і у зв’язку з цим використовується наближений розв’язок.
Наближений розв’язок
рівняння Шредінгера на прикладі утворення молекули Н2 вперше виконано
в роботі В. Гейтлера і Ф. Лондона в 1927 р. Гейтлер і Лондон при побудові хвильової
функції електронів молекули водню виходили з хвильової функції атома водню в 1s-стані. Якщо два атоми водню a і b знаходяться на віддалі, при якій вони
один на одного не впливають (тобто стан одного атома не залежить від стану другого),
хвильові функції обох атомів виражаються добутком функцій, що описують кожен атом:
y = yа(1) · yb(2); y = yb(1) · ya (2)
Обидва вирази рівнозначні,
так як електрони атомів зліченні, їх не можна розрізнити.
При зближенні атомів
a і b на такі віддалі, коли вони впливають один
на одного, виникають сили притягання між ядром відштовхуванням. Крива залежності
енергії системи проходить через мінімум при r0 = 0,074 нм, що відповідає рівновеликій довжині зв’язку у молекулі Н2.
Якщо в атомі спіни
паралельні (антисиметрична y-функція), зближення атомів приводить до зростання енергії
системи (мал. , крива 2):
Е =
де І – кутовий інтеграл
характеризує електростатичну взаємодію електронів і ядер між собою;
K– обмінний інтеграл визначає зменшення
енергії системи, що обумовлена рухом кожного електрона біля обох ядер;
S – інтеграл перекривання; показує наскільки
сильно перекриваються електронні орбіталі атомів водню.
Утворені молекули
водню крім зміни енергії супроводжуються зміною електронної густини.
Якщо електронні хмари
двох атомів водню не перекриваються, то довжина зв’язку рівна ra(H) = 0,53, r0 = 0,53 · 2 = 1,06 Å. У молекулі Н2 r0 = 0,74 Å. Це свідчить про те, що при утворенні
ковалентного зв’язку відбувається перекривання електронних хмар атомів водню:
Для систем з двома
і більшим числом електронів застосовують наближені методи обчислення хвильової функції,
або наближено визначають розподіл електронної густини в молекулі. Найбільш поширеними
є два методи: метод валентних зв’язків (ВЗ) і метод молекулярних орбіталей (МО).
У розвитку першого методу особлива заслуга належить В. Гейтлеру і Ф. Лондону, Дж.
Слетеру і Л. Полінгу; у розвитку другого методу – Р. Маллікену і Ф. Гунду.
У методі молекулярних
орбіталей молекула розглядається як єдине ціле, де кожний електрон рухається в полі
інших електронів і ядер. Стан молекули описується сукупністю електронних молекулярних
орбіталей.
Метод валентних зв’язків
а) Квантовомеханічна
теорія валентності.
1. Стехіометрична валентність – число, яке
показує скільки атомів водню може приєднати один атом певного елементу, або замістити
їх у сполуках. Це поняття не дає чіткого розуміння природи валентності.
2. З погляду методу
валентних зв’язків чисельне значення валентності відповідає числу ковалентних зв’язків,
що утворює атом, або валентність атома елементу визначається числом неспарених електронів.
Наприклад: атом N 1s22s22p3 – в основному стані атом азоту має три
неспарені електрони, які можуть брати участь в утворенні ковалентних зв’язків.
Під час хімічних реакцій
атоми можуть переходити у збуджений стан. При цьому двохелектронні хмари розпадаються
на одноелектронні – електрони розпаровуються. Для того, щоб хімічний зв’язок, утворений
розпарованими електронами, був стійкий, потрібно щоб енергія, затрачена на розпарування
електронів, була меншою від енергії, яка виділяється при утворенні ковалентного
зв’язку:
Збудження атомів N, O, F в межах другого квантового рівня
не може привести до збільшення числа неспарених електронів. Збудження електронів
в цих атомах пов’язане з їх переходом на наступний квантовий рівень і потребує значної
енергії, яка не компенсується виділенням енергії завдяки утворенню додаткових хімічних
зв’язків.
Атоми елементів ІІІ-го
періоду у зовнішньому енергетичному рівні мають вакантний d-підрівень, на який при збудженні можуть
переходити s- і p-електрони зовні синього рівня, при цьому
у атомів збільшується число непарних електронів. Наприклад:
б
Механізм утворення
ковалентного зв’язку
У методі валентних
зв’язків розрізняють обмінний і донорно-акцепторний механізми утворення хімічного
зв’язку.
1. Обмінний механізм
– до нього належать випадки, коли в утворенні спільної електронної пари від кожного
атома бере участь один електрон. Наприклад:
Особливістю утворення
сполук за обмінним механізмом є насиченість, яка показує, що атом утворює не будь-яке, а обмежене число хімічних
зв’язків.
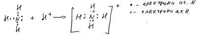
2. Донорно-акцепторний
механізм – ковалентні зв’язки виникають не внаслідок спарування електронів різних
атомів, а за рахунок спареної електронної пари, яка є на зовнішньому енергетичному
рівні певного атома:
Два електрони належать
атому азоту і називаються неподільною електронною парою. Така пара електронів може
брати участь в утворенні ковалентного зв’язку з іншими атомами, якщо останні мають
на зовнішньому енергетичному рівні вільну орбіталь. У нашому випадку вільну 1s-орбіталь має іон водню Н+.
Такий механізм утворення ковалентного зв’язку називається донорно-акцепторним. Атом
з неподільною електронною парою донор, атом, який має вільну орбіталь – акцептор.
Отже, у загальному
вигляді валентність елементу визначається числом хімічних зв’язків (сума числа непарних
електронів і числа хімічних зв’язків утворених донорно-акцепторним механізмом).
Координаційні сполуки
Донорно-акцепторний
механізм утворення ковалентного зв’язку має особливо велике значення при утворенні
координаційних сполук, у яких акцептором найчастіше виступають іони металів (Zn2+, Ag+, Cu2+, Hg2+, Co3+, Te2+, Te3+ тощо) з вакантними орбіталями. Як акцептори
можуть виступати також і неметали. Наприклад, бор у сполуці Н2[ВF4], кремній у Н2[SiF6]. Донорами – нейтральні молекули Н2О, NH3, негативно заряджені іони F–, Cl–, Br–, I–, CN–, CO32–, SO32– тощо.
Наукова теорія, яка
пояснювала будову і основні властивості координаційних сполук, сформульована швейцарським
хіміком А. Вернером у 1883 р. За цією теорією переважна більшість координаційних
сполук має внутрішню і зовнішню сферу. Наприклад, у сполуці K[Ag(CN)2], [Cu(NH3)4]SO4 – внутрішню сферу утворюють групи атомів
[Ag(CN)2]–; [Cu(NH3)4]2K, а зовнішню сферу – відповідно
К+meSO42–. Заряд комплексного іона визначається
алгебраїчною сумою зарядів його складових частин.
Центральний атом називається
комплексоутворювачем, а координовані навколо нього молекули або іони – лігендами.
Число, що показує кількість лігендів, називається координаційним.
Координаційне число
комплексу залежить від природи лігендів (їх розміри), координаційної ємності та
стеричних факторів. Число місць, що займає координована група в координаційній сфері,
визначає координаційну ємність групи або дентатність. Лігенди можуть займати одне,
два, три і більше координаційних місць, тобто їхня дентатність може бути моно-,
бі-, три-, тетра- і т. д. Монодентатними є молекули Н2О, NH3 іони F–, Cl–, Br–, CN–, SCN–; бідентатними – СO32–, SO42–, SO32–, C2H42–, C4H4O62–.
Просторова інтерпретація
координаційних чисел. Найважливішим висновком координаційної теорії Вернера є положення
про просторовий характер координації лігендів центральним атомом.
У координаційних сполуках
з к. r = 4 рівномірне розміщення чотирьох лігендів
навколо центрального атома може бути реалізоване у трьох геометричних фігурах: квадраті,
тетраедрі і тетрагональній піраміді. Дальші дослідження показали, що для сполук
з к. r = 4 характерні дві геометричні конфігурації
– квадрат і тетраедр.
Сполукам к. r = 6 відповідає октаедр. В деяких сполуках реалізується тригональна призма і
тетрагональна піраміда. Для сполук з к. r = 2 – лінійна і кутова конфігурація; з
к. r = 3 – трикутник або тригональна піраміда.
Ізомерія координаційних
сполук. Зміна розміщення лігендів у межах однієї координаційної сфери, обмін їх
місцями з зовнішніми іонами, або зміна характеру приєднання до центрального атома
багатоатомного лігенду приводить до ізомерії координаційних сполук. Для координаційних
сполук відомі такі види ізомерії: геометрична (цис-, транс-ізомерія), оптична, сольватна,
іонізаційна, координаційна ізомерія зв’язку та ін.
[Pt(NH3)2Cl2] – ліганди утворюють квадрат, к. r = 4.
[Co(NH3)4Cl2], к. r = 6.
Оптичні ізомери –
обертають площину поляризації світла на одинаковий кут, але один – вправо, а другий
– вліво.
Причиною сольватної
ізомерії є неодинаковий розподіл молекул розчинника між внутрішньою і зовнішньою
координатними сферами CrCl3 · 6H2O:
[Cr(H2O)6]Cl3; [Cr(H2O)5Cl]Cl2 · H2O; [Cr(H2O)4Cl2]Cl · 2H2O; [Cr(H2O)3Cl3] · 3H2O
Іонізаційна ізомерія
– зумовлена різним розподілом кислотних залишків між внутрішньою і зовнішньою сферами
при певному емпіричному складі сполук
CoBrSO4 · 5NH3: [Co(NH3)5Br]SO4 і [Co(NH3)5SO4]Br.
Якщо координаційна
сполука складається з двох або більше комплексів, то різні центральні атоми можуть
обчислюватися своїми лігендами, без зміни загального складу. В цьому полягає координаційна
ізомерія. Наприклад
CrCo(NH3)6(CN)6]: [Co(NH2)6][Cr(CN)6] і [Co(CN)6[Cr(NH3)6]
Ізомерія зв’язку може
виявлятись тоді, коли лігенди містять два різних атоми, здатних координуватись з
центральним атомом. Наприклад:
[Co(NH3)5ONO]X2; [Co(NH3)5NO2]X2; група ONO зв’язана з Со(ІІІ) через кисень, а група
NO2 через азот
Напрямленість ковалентного
зв’язку. Відповідно до методу ВЗ хімічний зв’язок між атомами зумовлюється перекриванням
s-, p-, d- і f-орбіталей, які мають просторову напрямленість.
Тому і хімічний зв’язок, який утворюється за їх участю має в просторі повне напрямлення
Гібридизація атомних
орбіталей. Просторова конфігурація молекул. Геометрична конфігурація молекул визначається
взаємним розміщенням у просторі атомних орбіталей. Для пояснення геометричної конфігурації
за методом ВЗ використовують уявлення про гібридизацію атомних орбіталей.
Метод молекулярних
орбіталей. Метод валентних зв’язків побудований на ідеї утворення електронних пар
молоефективний при розгляді молекул з непарним числом електронів. Важко пояснити
також, виходячи з методу валентних зв’язків, парамагнетизм.
Метод молекулярних
орбіталей приводить до тих же результатів, що і метод валентних зв’язків, але має
деякі переваги. Основна ідея методу МОЛКАО полягає в розгляді руху електрона в молекулі
аналогічна тому як і в окремих атомах. Тому вводяться поняття молекулярної орбіталі,
квантові числа, що характеризують стан електронів у молекулі і под.
В методі МО вважається,
що даний електрон рухається в молекулі в полі кількох ядер. Стан електрона, коли
він перебуває у одного з ядер (А), описується хвильовою функцією yА, якщо електрон знаходиться біля другого
ядра В, то його стан описується функцією yВ. Якщо електрон розміщується десь біля
ядер А і В, то стан електрона в цьому випадку можна описати з допомогою лінійної
комбінації атомних орбіталей yА ± yВ (звідси назва методу МОЛКАО, або ЛКАО
– лінійна комбінація атомних орбіталей. Тому
y1 = yА + yВ,
або
y2 = yА – yВ.
У випадку y1 електрон виявляється між ядрами атомів
у другому випадку такої можливості електрон немає.
Імовірність знайти
електрон А біля ядра А пропорційна yА2, а у В – yВ2:
y12 = yА2 + yВ2 + 2yА · yВ,
y22 = yА2 + yВ2 – 2yА · yВ.
Як видно з наведених
рівнянь, y12 більша ніж сума квадратів yА2 + yВ2 на величину 2yА · yВ. Це означає, що у електрона, стан якого
описується функцією y1, більша імовірність опинитися між атомами А і В, ніж розміститися
у якого-небудь окремого атома. В цьому випадку між атомами А і В утворюється хімічний
зв’язок. Квадрат функції y22 менший від суми квадратів – імовірність
того, що електрон виявиться між атомами мала і хімічний зв’язок не утвориться. Але
кожна функція – це молекулярна орбіталь. Отже, існують дві молекулярні орбіталі:
одна, що відповідає утворенню зв’язку, називається зв’язуючою (функція y1), друга – розпушуючою (y2) (мал. ).
Якщо електрони розміщується
на розпушуючій орбіталі, то вони обумовлюють сили відштовхування. Виникнення двох
молекулярних орбіталей при взаємодії двох атомних можна зрозуміти з таких міркувань.
На кожній АО і МО можна розмістити максимум два електрони (по принципу Паулі). Всього
на молекулярних орбіталях повинно розміститись чотири електрони. Звідси зрозуміло,
що повинно бути дві молекулярні орбіталі. Енергетичний рівень електрона розміщеного
на орбіталі, що описується y1 нижчий, ніж рівень електрона, що займає
орбітель y2. Виходячи з цього, зрозуміло, що орбітель y1 має область, де електронні хмари перекриваються,
а орбітель y2 такоє області немає.
Електрони, що займають
зв’язуючу орбітель має антипаралельні спіни. Якщо спіни паралельні, то один електрон
попадає на зв’язуючу орбітель, другий – на розпушуючу (на одній орбіталі (згідно
принципу Паулі) ці електрони перебувати не можуть. Енергія електронів на зв’язуючих
орбіталях (Е1) нижча ніж енергія електронів на вихідних атомних орбіталях,
а енергія на розпушуючих (Е*) вища. Електрони перш за все займають зв’язуючі орбіталі.
Поява електронів на розпушуючих орбіталях означає виникнення сил відштовхування.
При виконанні даної
умови притягання обумовлене парою електронів на зв’язуючій орбіталі повністю компенсується
відштовхуванням, що викликається парою електронів на розрихляючій орбіталі. По цій
причині взаємодія орбіталей атомів, на яких уже перебувають по два електрони, не
приводить до зв’язування. Наприклад, атом Не, що містить два електрони на першій
оболонці, взаємодіє з другим атомом Не і виникають дві молекулярні орбіталі (зв’язуюча
і розпушуюча), то на кожній з них виявиться по два електрони. В результаті притягування
буде повністю скомпенсовано відштовхуванням, тому молекула Не2 утворитися
не може.
Якщо різниця між енергетичними
рівнями електронів, що перебувають біля різних ядер велика, то перекривання не проходить
і такі електрони не приймають участь в утворенні зв’язку. Відповідні молекулярні
орбіталі називають незв’язуючими.
Число хімічних зв’язків
(порядок зв’язку) визначається половиною різниці між числом електронів на зв’язуючих
і розпушуючих орбіталей.
Метод МО розглядає
молекулу як сукупність ядер і
, в якій електрони рухаються в полі всіх інших електронів
і ядер. Відповідно до методу МО всі електрони певної молекули перебувають не на
атомних, а на відповідних молекулярних орбіталях. Електронина них розміщуються згідно
принципу Паулі, правилом Гунда в міру зростання їх енергії.
Стан молекули описується
сукупністю електронних молекулярних дво- або багатоцентрових орбіталей, кожна з
яких відповідає певному набору молекулярних квантових чисел.
Розташування МО відносно
атомних ядер визначається квантовим число λ. Різні МО характеризуються певними
числами λ і мають свої буквенні позначення: λ = 0 – σ; λ = ±1 – π; λ = ±2 – δ; λ = ±3 – j. Кожний
характеризується спіновим числом ms, яке може мати тільки два значення. З цього
випливає, що на кожній молекулярній орбіталі може розміститися лише два електрони.
Молекулярні орбіталі
за формою значно складніші, ніж атомні. Є кілька методів визначення виду молекулярних
орбіталей на основі відомих атомних орбіталях. Найпростішим є метод побудови молекулярних
орбіталей, за яким молекулярні орбіталі подають як лінійну комбінацію вихідних атомних
орбіталей (МО–ЛКАО). З точки зору МО-ЛКАО валентними можуть бути орбіталі з непарними
електронами, а також з спареними
, розташованими на зовнішньому енергетичному рівні.
Для утворення молекулярних
орбіталей завдяки комбінуванню атомних орбіталей треба, щоб останні мали близькі
значення енергії, значною мірою перекривались і мали одинакову .
Двохатомні гомоядерні
молекули елементів другого періоду. У двохатомних гомоядерних молекулах в утворенні
МО беруть участь 2s – 2px2, py і 2pz орбіталі. Оскільки перекривання 1s орбіталей порівняно з орбітами зовнішнього
енергетичного рівня незначне, участь 1s-електронів в утворенні зв’язку можна не враховувати.
При перекриванні 2s орбіталей утворюються дві молекулярні
σ-орбіталі: σзв 2s і σзамішув 2s. У молекулі L12 2s на зв’язуючій МО з утворенням одинарного
зв’язку. У молекулі Ве2 число зв’язуючих і розпушуючих
одинакове (по два), тому молекула
енергетично нестійка і існувати не може. При комбінації 2рх орбіталей витянутих
вздовж осі х визначають молекулярні σ-орбіталі: σ2рхзв
і σ2рхантизв.
2ру і 2рz мають одинакову енергію і перекриваються
вони одинаковим способом при утворенні молекулярної орбіталі. π2рузв
і π2рzзв – мають одинакову енергію і форму; те саме стосується орбіталей
π2ру* і π2рz* – розпушуючих.
Молекулярні орбіталі
двохатомних молекул елементів 2-го періоду В, С, N за рівнем енергії, а отже і порядком заповнення
електронами розміщуються в такій послідовності
σ1sзв < σ1s* < σ2sзв < < σ2s* < π2рузв
= π2рzзв < σ2pxзв < π2рy* = π2рz* < σ2px*
Для елементів 2-го
періоду О, F, Ne порядок заповнення молекулярних орбіталей
дещо інший:
σ1sзв < σ1s* < σ2sзв < < σ2s* < < σ2pxзв < π2рузв
= π2рzзв < π2рy* = π2рz* < σ2px*
Наприклад
Двохатомні гетероядерні
молекули. Двохатомні молекули (АВ), які складаються з різних елементів, також можна
описати методом МО-ЛКАО. Оскільки енергії вихідних атомних орбіталей різні, то їх
відносний внесок у молекулярні орбіталі буде різний. Зв’язуючі орбіталі за енергією
будуть ближчі до орбіталей більш електронегативного атома, а антизв’язуючі – до
орбіталей менш електронегативного елементу (мал. ).
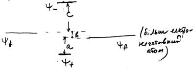
Різниця в енергії
вихідних атомних орбіталей визначає полярність зв’язку.
Одинаковий характер
розподілу
у молекулах СО
і N2 зумовлюють подібність у їх властивостях.
Міжмолекулярна взаємодія
Водневий зв’язок.
Досліди показують, що молекулярне притягання у речовин, молекули яких містять групи
ОН, NH, FH значно вище ніж у інших сполуках. Так,
вода, аміак, фтороводень мають значно вищі температури порівняно з іншими гідрогенвмістими
бінарними сполуками, що показує на більшу енергію взаємодії молекул. Вважається,
що важливу роль в утворенні водневого зв’язку відіграє електростатичне притягання
між додатньо заряженим протоном одної молекули і від’ємнозарядженою електронною
парою більш електронегативного елемента другої молекули.
Між молекулами може
відбуватись як електростатична так і донорно-акцепторна взаємодія. Сили електростатичної
міжмолекулярної взаємодії, виникнення яких не супроводжується передачею атомами
електронів називаються вандервальсовими силами.
Електростатичну взаємодію
між молекулами поділяють на орієнтаційну, індукційну і дисперсійну.
Орієнтаційна (диполь-дипольна)
взаємодія виявляється між полярними молекулами. При кожному русі молекули орієнтуються
так, що різноіменно заряджені кінці їхніх диполів притягуються. З Г зменшує орієнтаційну взаємодію
внаслідок зростання хаотичного руху молекул.
Індукційна взаємодія
зумовлена дією їх індукованих диполів. При зустрічі полярних і неполярних молекул,
полярні молекули індукують в неполярних молекулах зміщення електронної густини,
в останніх виникає дипольний момент. Між постійним диполем полярної молекули і індукованим
диполем у неполярній молекулі виникає електростатичне притягування. Дисперсійні
сили. Рух електронів в атомах і молекулах обумовлює виникнення миттєвої поляризації:
на дуже короткий термін виникають, а потім зникають дипольні моменти. Н. Лондон
(1930) показав, що сумарний ефект дії миттєвих диполів повинен проявитися в силах
притягання. Ці сили називаються дисперсійними.