Обертові, коливні і електронні спектри молекул
Природа обертових, коливних і електронних спектрів. 2
Обертовий рух і обертові спектри молекул. 5
Обертові рівні молекул типу сферичного ротатора. 8
Спектри обертання молекул типу асиметричного ротатора. 10
Класифікація нормальних коливань по формі і симетрії. 20
Електронні спектри молекул. 25
Можливість
розділити повну енергію молекули на частини дозволяє в свою чергу з хорошим
наближенням квантувати різні види енергії окремо – спочатку Еел,
потім Екол і накінець Еоб при заданих Еел і Екол.
Сказане можна проілюструвати малюнком (мал.).
Еел 1,
Еел 2, Еел 3 – три різні електронні стани
молекули. Кожному електронному стану відповідає своя система коливних рівнів. Екол v¢¢, Екол v¢, Екол v, а кожному коливному рівню
– своя система обертових підрівнів Еоб j¢¢, Еоб j¢, Еоб j.
Розглянемо
квантові переходи в системі рівнів (мал.), обмежившись для простоти тільки
основним і першим збудженим електронними станами. Тоді
n = Е2 – Е1 = (Еел 2 – Еел 1) + (Екол v¢ – Екол v¢¢) + (Еоб j¢ – Еоб j¢¢) =
= DЕел + DЕкол + DЕоб = hnел + hnкол + hnоб.
1) Якщо
Еел = Екол = 0, то відбуватимуться
тільки переходи між обертовими рівнями якого-небудь електронно-коливного стану.
2) Якщо
Еел = 0, а Екол ¹ 0 і Еоб ¹ 0. В цьому
випадку виникають складніші обертово-коливні переходи, оскільки він проходить
між обертовими підрівнями різних коливних станів (але одного електронного
стану).
3) Якщо
Еел ¹ 0; Екол ¹ 0 і Еоб ¹ 0, то
відбудеться електронно-коливно-обертовий перехід.
Мал. Схема
переходів між електронними, коливними та обертовими рівнями в молекулі.
На
схемі (мал.) показано тільки декілька переходів, кінцевими для яких є одні і ті
ж обертові підрівні. В дійсності, число різних обертових переходів, що
відповідають даному коливному рівню, може бути значно більше, число обертово
коливних переходів ще більшим.
Залежність
електронної енергії молекули від віддалі між ядрами. Важливим наслідком
того, що маси електронів надзвичайно малі порівняно з масою ядер, є те, що
електрони рухаються в молекулі значно швидше, ніж ядра. Саме цим визначається
те, що енергії коливання і обертання значно менші, ніж електронна енергія. Внаслідок цього фізично
обгрунтованим є розгляд руху електронів у молекулі при заданому положенні ядер,
вважаючи їх нерухомими. Відповідно розглядається енергія молекули в кожний
даний момент при певному положенні ядер, тобто електронна енергія для миттєвої
конфігурації ядер, а також зміна електронної енергії із зміною віддалі між
ядрами. При розгляді характеристики електронної енергії молекули як функції
відносних координат ядер в електронну енергію молекули включається:
1) кінетична енергія електронів, 2) енергія взаємодії електронів з
нерухомими ядрами і між собою, 3) а також енергія взаємодії ядер між
собою. В електронну енергію молекули не входить кінетична енергія ядер. Назва «електронна
енергія» вказує на те, що враховується тільки рух електронів, але не рух
ядер.
Електронна
енергія молекули як функція координат ядер ρ1, ρ2, …, ρk (дк k – число
незалежних координат) запишеться:
eел = eел(ρ1, ρ2, …, ρk).
Вияснимо
загальний характер залежності електронної енергії від координат ядер. Перш за
все, електронна енергія при нерухомих ядрах не залежить від положення в
просторі заданої конфігурації ядер як цілого, електронна енергія є функцією
тільки відносних координат ядер. Тому під ρ слід розуміти незалежні
відносні координати ядер. Для простого випадку двохатомної молекули є лише одна
така координата – віддаль ρ між двома ядрами eел = eел(ρ).
Розглянемо
даний випадок більш детально (мал.). При ρ ® ¥ ми одержимо два
атоми, сума електронних енергій яких дає eел(¥):
+
= eел(¥). При
ρ ® ¥ електронна енергія
прагне до безмежності внаслідок відштовхування між ядрами (енергія
відштовхування ядер рівна:
, де Z1 і Z2 – заряди ядер).
Стійка
молекула буде існувати лише в тому випадку, якщо значення ρ < ρ < ¥, при якому eел має мінімум
(мал., крива І). Якщо на кривій мінімума не спостерігається, то молекула не
утворюється (крива ІІ). Віддаль ρе ядер, при якій електронна
енергія має мінімум, представляє рівноважну віддаль. Різниця (De)
De = eел(¥) – eел(ρе) 0
є енергія
дисоціації молекули, тобто енергія, яку необхідно затратити на розрив
зв’язку між атомами. Індекс е показує, що величини ρе і De відносяться до
рівноважної конфігурації молекули.
Електронна
енергія поблизу мінімума є квадратичною функцією від q = ρ – ρe: eел(ρ) – eел(ρе) =
kq2. Цей вираз є
потенціальною енергією uq для руху ядер: uq =
kq2. Ця формула
представляє потенціальну енергію гармонійного коливання з частотою
.
На
основі сказаного, для випадку двохатомної молекули можна вияснити фізичний
зміст електронної і коливної енергії. Для рівноважного стану ρе між ядрами q = 0 і коливання відсутні, то
енергія молекули визначається електронною енергією eел = eел(ρе) – одержується електронний рівень
енергії, яка відповідає певному коливному рівню Екол = eел(ρ) – eел(ρе) = u (ρ – ρе) = uq. При заданій
віддалі ρ між ядрами повна
коливна енергія uq = eел(ρ) – eел(ρе).
У випадку
багатоатомних молекул електронна енергія залежить від багатьох відносних
координат. В загальному випадку утворення стійкої молекули можливе лише у
випадку, якщо при деяких кінцевих значеннях всіх k незалежних відносних
координат ядер електронна енергія eел(ρ1, ρ2, …, ρk) має мінімум.
В
найбільш чистому вигляді обертові спектри молекул можна спостерігати при
вивченні розріднених газів. Основною моделлю, з допомогою якої в спектроскопії
проводиться аналіз обертового руху двохатомних молекул є модель жорсткого
ротатора (мал.). Він являє собою дві маси m1 і m2, що знаходяться
один від одного на фіксованій віддалі r (рівноважна міжядерна віддаль. Така
модель володіє двома обертовими ступенями волі відносно двох взаємно
перпендикулярних осей, що проходять через центр ваги молекули.
Мал. Модель
жорсткого ротора (двохатомна молекула).
Координата
центра ваги такої молекули с (мал.) може бути знайдена при спільному
розв’язанні двох таких рівнянь:
звідки
.
Момент
інерції будь-якого тіла визначається з рівняння:
I =
,
де mi – маса; ri – віддаль маси
від осі обертання.
Момент
інерції двохатомної молекули I = M
, де М – приведена маса молекули
.
Лінійна
молекула обертається навколо осі, перпендикулярної до осі молекули, яка
проходить через центр її ваги. Енергія обертання такої молекули: Еоб =
, де μр – момент
кількості руху обертання молекули; І – момент інерції обертання молекули.
Згідно
класичним уявленням молекула може мати будь-яке значення енергії. Квантова теорія
приводить до іншого виводу – енергія обертового руху молекули Еобj квантована
, де j – обертове квантове
число. Тому енергія обертання з врахуванням квантового числа j запишеться так:
Еобj =
, де j = 0, 1, 2…, тобто
послідовний ряд цілих чисел. Схема енергетичних рівнів жорсткого ротатора та
переходи між ними показано на мал.
Мал. Енергетичні
рівні жорсткого
ротатора і переходи між ними (Δj = ±1).
Обертовий
рух лінійної молекули (два ступені волі) повністю визначаються квантовим числом
j та його проекцією nj на вісь молекули.
Степінь виродження обертових енергетичних рівнів лінійної молекули: qj = 2j + 1, j = 0, 1, 2 …. У стані рівноваги
заселеність енергетичних рівнів:
;
n0 – заселеність основного
обертового рівня (j = 0; qj = 0).
Аналіз
виразу nj та враховуючи
правила відбору (Δj = ±1) показує, що індивідуальні смуги або лінії у
спектрі обертання двохатомних молекул знаходяться одна від одної на одинаковій
віддалі рівній: Δnоберт =
= 2Воб.
Реальні
молекули не є жорсткими ротаторами. При обертанні на ядра діють центробіжні
сили, які змінюють міжядерну віддаль, а відповідно і момент інерції. Крім того,
в процесі обертання у молекулі можуть проходити коливання ядер. Враховуючи ці
фактори, тобто перехід до моделі жорсткого ротатора, приведе до слідуючого
виразу Еоб: Еобj =
,
де С – постійна. На закінчення необхідно відмітити, що чисто обертовими
спектрами поглинання і випромінювання володіють не всі двохатомні молекули. Як
показує теорія та експеримент, такі спектри характерні лише для молекул, що
мають дипольний момент.
Обертові
спектри багатоатомних молекул. Загальна картина спектра при обертанні
багатоатомних молекул значно складніша. Це випливає хоча б з того, що в даному
випадку обертання може проходити навколо трьох осей («а–а»; «b–b»; «c–c»), причому
відповідні моменти інерції Іа, Іb, та Іс
є різними. В залежності від співвідношення між вказаними моментами інерції
будь-яку багатоатомну молекулу відносять до одного з трьох типів ротаторів:
а) сферичний
– Іа = Іb = Іс;
б) симетричний
– Іа ¹ Іb = Іс
(Іа < Іb = Іс – витягнутий;
Іа = Іb < Іс – сплющений);
в) асиметричний
– Іа ¹ Іb ¹ Іс.
У
відповідності з такою класифікацією розглянутий вище жорсткий ротатор
відноситься до типу симетричних ротаторів (Іb = Іс; Іа = 0).
Обертові
спектри багатоатомних молекул типу сферичного ротатора є найпростішим випадком.
Для таких молекул всі три моменти інерції рівні між собою. Енергію обертання
такої молекули можна записати:
Еоберт =
,
де
,
,
– складові механічного моменту кількості
руху
по
осях а, b,
с;
Іа, Іb, Іс –
відповідні моменти інерції навколо цих осей.
Для
сферичного ротатора Іа = Іb = Іс = І,
тоді
Еоб =
.
Вираз
для енергії обертання сферичного ротатора аналогічний до такого для лінійної
молекули. Виходячи з квантової теорії
Еобj =
.
Тоді
схема енергетичних рівнів для сферичного ротатора аналогічна до таких для
лінійних молекул.
Різниця
між цими рівнями буде у степені їх виродження, яка зв’язана, як відомо, з
числом ступенів волі. Обертання лінійної молекули характеризується двома
ступенями волі (j, mj), а обертання молекули типу сферичного ротатора
характеризується трьома ступенями волі, а це задається трьома квантовими
числами. Третім квантовим числом, крім j, mj є k, яке визначає проекцію
обертового моменту кількості руху на одну з рухомих осей. Напрямок цієї осі
вибирається довільно, але ця вісь обов’язково обертається разом з молекулою.
Проекція обертового моменту кількості руху на цю вісь вибирає квантове число k.
Молекули
типу сферичної дзиги внаслідок високої симетрії не мають дипольного моменту і
тому не можуть мати чисті спектри обертання, як поглинання, так і
випромінювання.
Моменти
інерції і обертові постійні молекул типу симетричного ротатору. Симетричні
ротатори характеризуються двома рівними моментами інерції. Будемо позначати
через а і с осі, які відповідають найменшому і найбільшому моменту інерції
молекули, а через b – вісь, якій відповідає проміжковий або середній момент
інерції. Тоді одержимо: Іа £ Іb £ Іс.
Для симетричного ротатора можливі два випадки – витягнута дзига з виділеною
віссю а і сплюснута дзига з виділеною віссю с. Для витягнутої дзиги Іа < Іb = Іс;
для сплюснутої – Іа = Іb < Іс.
Таким чином, виділеною віссю (тобто віссю z) є вісь а найменшого
моменту інерції для витягнутого ротатора і вісь с найбільшого моменту інерції
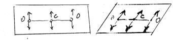
для сплюснутого ротатора (мал.).
Трьом
моментам інерції Іа, Іb, Іс
відповідають три обертові постійні, які позначаємо А, В, С:
А =
;
B =
;
C =
.

Обертова
енергія симетричного ротатора задається двома квантовими числами j і k. k – проекція повного
обертового моменту кількості руху молекули на рухому вісь і набуває значення
від – j
до +j
(2j + 1). Тоді: j = 0, 1, 2, 3…; k = 0, ±1, ±2….
Степінь
виродження енергетичних рівнів симетричного ротатора qj, k = 2 (2j + 1), тоді
заселеність енергетичних рівнів:
.
Правила
відбору (дозволені переходи між комбінуючими енергетичними рівнями) Δj = ±1; Δk = 0.
Система
енергетичних рівнів симетричного ротатора визначається двома квантовими
числами. Схема розміщення цих рівнів для витягнутого і сплющеного ротатора
приведена на мал.
Якщо
врахувати центробіжні сили між ядрами, то для
Еjk = 2Bj (j + 1) – 4Dj (j +1)3 – 2Djk(j + 1) k2.
Для
молекул типу асиметричного ротатора всі три моменти інерції різні: Іа < Іb < Іс
і відповідно A > B > C. Характер
асиметрії може бути виражений через параметр асиметрії Х =
.
Для
витягнутої дзиги: А > B = C, тобто В = С: Х =
.
Для сплющеної дзиги: А = В > C: Х =
. Найбільшою асиметрією володіють
молекули з Х= 0, при цьому В =
,
тобто обертове постійне В є середньою між А і С. Енергетичні рівні асиметричної
дзиги описуються рівнями:
,
– функція параметра асиметрії Х.
Для
кожного j існує 2j + 1 значення функції
, що задаються числом τ, яке
набуває двох значень: – j до +j. Правила відбору: Δj = 0, ±1. Дотримується правило неперетинання ліній підрівнів з одинаковим
числом j.
Для
симетричних дзиг спостерігається двократне виродження по квантовому числу k. Для кожного j підрівнів 2j + 1. Перше число в індексі
енергетичного рівня показує квантове число витягнутої дзиги, а друге –
сплющеної. Наприклад, 202 – j = 2; k–1 = 0; k+1 = 2. Індекси –1 і +1 є
параметрами Х. Повне:
; τ = k–1 – k+1.
Коливання
молекул. Коливні спектри. Коливні спектри молекул вивчаються методами
інфрачервоної спектроскопії. Ці спектри зв’язані з переходами між коливними
енергетичними станами або з класичної точки зору з коливанням атомних ядер
відносно рівноважних положень. Число і частоти смуг залежать від числа атомів,
що входять до складу молекули, від мас ядер, від геометрії і симетрії молекул і
від потенціального поля внутрімолекулярних сил. Інтенсивність спектра
визначається дипольним моментом і поляризуємістю. По коливним спектрам спектрам
проводять структурні дослідження, визначають симетрію молекули та наявність тих
чи інших функціональних груп.
Коливні
спектри молекул. Коливні спектри можна вивчати для речовин в будь-якому агрегатному
стані – твердому, рідкому чи газоподібному. При розгляді коливного руху молекул
в спектроскопії широко використовується поняття про криві потенціальної енергії
– u(r). Слід підкреслити, що для
коливного руху ядер роль потенціальної енергії відіграє повна (тобто
потенціальна і кінетична) енергія електронів. При зміщенні ядер положення
рівноваги сили хімічного зв’язку намагаються вернути їх у вихідне положення.
Оскільки хімічний зв’язок визначається рухом електронів, то природно, що сила,
яка повертає ядро у вихідне положення виникає за рахунок зміни повної енергії
електронів, яка обумовлюється зміною взаємного положення ядер, для яких в свою
чергу вказана енергія має зміст потенціальної енергії u(r).
Для
розгляду коливного руху необхідно ввести коливні координати, які описують
відносне зміщення ядер. Поступовий рух молекул описується трьома координатами,
що характеризують положення центра ваги, обертовий рух молекул у загальному
випадку – трьома, а для лінійних молекул двома координатами. Це можуть бути
кути Ейлера, що описують орієнтацію молекули відносно зовнішньої системи
координат з початком в центрі ваги молекули.
Якщо
молекула містить N атомів, то загальне число незалежних координат, що
характеризує положення ядер рівне 3N. Загальне число (3N) незалежних
змінних зменшують на три і одержують (3N – 3). Число 3
описує координати центра ваги молекули. Тоді коливний рух багатоатомної
молекули, що не має лінійної будови буде: 3N – 6, а для
лінійної: 3N – 5. Наприклад, для двохатомної молекули (N = 2),
яка є найпростішим випадком лінійної молекули, одержимо: 3N – 5 = 3 · 2 – 5 = 1,
тобто молекула характеризується одною коливною координатою; для лінійної
трьохатомної молекули (наприклад, СО2) одержуємо: 3N –5 = 3 · 3 – 5 = 4
(чотири коливні координати).
Питання
про аналітичний вираз для кривих u(r) досить складне. Разом з тим відомо, що ці криві
володіють мінімумом при r = rе і у випадку
малих коливань (g = r – rе) її можна
представити у вигляді U (r – rе) = Ug = k
, де k – коефіцієнт
квазіпружної сили. З цього рівняння слідує, що при невеликих зміщеннях ядер з
положення рівноваги реальна крива u(r) є параболою і відповідає коливанню
гармонійного осцилятора з приведеною масою М з частотою коливання n0. n0 =
– цей вираз дозволяє визначити власну
частоту гармонічного осцилятора для двохатомної молекули.
З
розв’язку рівняння Шредінгера енергія гармонічного осцилятора квантується і
визначається слідуючою формулою
Екол.v =
hn0,
v – коливне квантове число,
яке набуває значення 0, 1, 2, 3…. Даному виразу енергії відповідає система
рівновіддалених рівнів енергії, віддаль між якими складає hn0.
Спектр
гармонічного осцилятора складається з одної лінії або смуги на частоті n0 – що є власною частотою гармонічного осцилятора.
При
значних амплітудах коливання ядер двохатомну молекулу уже не можна розглядати
як гармонічний осцилятор. Реальні коливання в цьому випадку стають
ангармонічними. Зрозуміло, що в цих випадках необхідно розглядати загальний
вигляд функції U(r) для широких значень r. Одним з найбільш
відомих виразів для U(r) є формула Морзе U (r – rе) = D [1 –
], a – стала, що
характеризує форму кривих; D – енергія дисоціації молекули; е – основа
натурального порядку; k – коефіцієнт квазіпружних сил. Знаючи n0 і D можна знайти
форму потенціальної кривої Морзе:
k = 2Da2; a = 2pn0
.
При
невеликих значеннях (r – rе) рівняння Морзе
можна переписати у вигляді U (r – rе) = Da2(r – rе)2, тобто для малих коливань
формула Морзе автоматично переходить у рівняння параболи.
Потенціальній
кривій, що описується рівнянням Морзе, відповідає квантове значення повної
коливної енергії ангармонічного осцилятора:
Екол =
hn0 – 
,
v – коливне
квантове число = 0, 1, 2, 3.
Енергетичні
рівні ангармонічного осцилятора утворюють систему рівнів, які із зростанням v зближуються і
накінець зливаються при Екол.v ® D. Правила відбору для ангармонічного осцилятора: Δv = 1, 2, 3,
тобто у цьому випадку можливі переходи між будь-якими рівнями.
Перша
смуга переходу (v = 0 ® v = 1) носить назву основної,
або фундаментальної і має частоту n*, друга смуга
(перехід v = 0 ® v = 2) називається першим обертом і характеризується частотою
» 2n*. Третя смуга (другий
оберт)
» 3n*.
Приймаючи до
уваги, що частота будь-яких переходів визначається загальною формулою
, де v¢ і v² – коливні квантові числа комбінуючих рівнів, одержимо:
n* = n0(1 – 2х),
= 2n0(1 – 3х),
= 3n0(1 – 4х),
де n0 – гармонічна частота c =
.
Обертово-коливні
спектри двохатомних молекул. Раніше при розгляді коливних переходів у
двохатомних молекулах не враховувались ті обставини, що кожен коливний стан
ізольованої молекули характеризується своєю системою обертових підрівнів. В
загальному випадку положення енергетичних рівнів двохатомної молекули, що
одночасно здійснює обертовий і коливний рух визначається виразом:
Еj, v =
Або
Еj, v =
,
де В-обертова
постійна;
j – обертове квантове число;
n0 – частота коливання;
v – коливне квантове число.
В
результаті переходів між системами обертових підрівнів двох сусідніх коливних
станів утворюється обертово-коливний спектр двохатомної молекули, що
характеризується рядом особливостей. На мал. приведена схема обертово-коливних
переходів для двохатомної молекули з v = 0 ® v = 1.
Мал. Схематичне
зображення обертово-коливних переходів двохатомних молекул.
В
даній системі рівнів можливі дві групи переходів, що супроводжуються
збільшенням Δj = ±1, або зменшенням Δj = –1 обертового
квантового числа. Переходи, для яких Δj = ±1 утворюють так звану R-гілку обертово-коливного спектру, а переходи, для
яких Δj = –1 утворюють Р-гілку цього спектру.
Чисто
коливний перехід (Δj = 0) є забороненим
(пунктирна лінія). Слід відмітити, що характерні обертово-коливні спектри
виникають тільки у випадку дослідження розрідження газів.
Коливання
багатоатомних молекул. Коливання двохатомної молекули можна розглядати
як коливання одиничного гармонічного або ангармонічного осцилятора з
приведеного масою М і квазіпружного постійного k. На відміну від цього
уже трьохатомна молекула володіє не одною, а кількома коливними степенями волі.
У зв’язку з цим коливний спектр багатоатомної молекули містить цілий набір
ліній і полос, частоти і інтенсивності яких відображають всі особливості її
складного обертово-коливного руху. Як було показано раніше, чисдл коливних
ступенів волі для лінійної молекули рівне 3N – 5, а для молекули будь-якої
геометричної конфігурації 3N – 6, де N – число атомів у молекулі (кожна молекула характеризується
трьома поступальними і трьома обертовими степенями волі.
Задача
про коливний рух багатоатомної молекули – це задача про відносний рух її атомів,
який не супроводжується переміщенням молекули в просторі і обертанням як цілої
частини. Оскільки коливання окремих атомів в молекулі зв’язані один з одним, то
таку задачу можна розглядати як складний коливний рух у вигляді суперпозиційних
коливань цілого набору зв’язаних осциляторів. Розв’язання цього питання
починається з вибору вихідної системи координат, в якій розглядається взаємне
переміщення часток, що утворюють молекулу. Найбільш зручною координатною
системою є система координат, яка задається розміщенням атомів у молекулі і
характеризується значеннями довжин зв’язків і кутів між зв’язками. У зв’язку з
цим природними коливними координатами називають зміну довжини зв’язків і
валентних кутів при відповідних коливаннях. Так, наприклад, природними координатами
молекули Н2О є довжини зв’язків О–Н (r1 і r2) і величина кута між
цими зв’язками j. При цьому коливними координатами служать q1, q2 і q3, що характеризують зміну
вказаних природних координат:
q1 = r1 – r1e;
q2 = r2 – r2e;
q1 = j – je,
де r1e, r2e і je – рівноважні значення природних координат.
Загальне
число коливних координат (q) рівне числу коливних ступенів волі
ρ = 3N – 6 (або 3N – 5) для лінійних молекул.
Основна
задача, яка стоїть при розгляді коливного руху багатоатомної молекули полягає в
тому, щоб виразити повну енергію Екол коливного руху, яка є сумою
кінетичної Екін і потенціальної енергії Еп енергій через
природні коливні координати, маси часток і квазіпружні постійні.
Енергія
збудження, що попадає на один із осциляторів, на окремий хімічний зв’язок в
молекулі перерозприділяється через деякий час на інші зв’язки, тобто всі атоми
і хімічні зв’язки починають коливатися. Моделью таких коливань є коливання двох
зв’язаних маятників. Такі маятники мають одинакову частоту коливання, причому
прийнято вважати, що кожен з маятників ізольовано коливається як гармонічний
осцилятор. Якщо такі маятники з’єднати пружною ниткою, то вони будуть
взаємодіяти і кожен з маятників при цьому не буде коливатись незалежно. Обидва
з’єднані маятники повинні розглядатись як спільна система, що виконує складний
коливний рух. Цей складний рух двох маятників можна представити як накладання
двох таких коливань, одне з яких має меншу, а друге – більшу ніж початкова
частота коливання окремих, незв’язаних маятників.
Коливання, на
які можна розкласти коливання зв’язаної системи, і при яких всі частки системи
коливається з одною і тою ж частотою і фазою, тобто одночасно проходять через
свої крайні положення, називають нормальними коливаннями.
Коливання, що
мають більшу частоту ніж частота ізольованого маятника називають симетричним.
Коливання з
меншою частотою називають антисиметричні. Кожна нормальне коливання молекули
проходить з певною частотою nI, де i = 1, 2, …, r; r = 3N – 6 або 3N – 5 для лінійної молекули; N – число атомів у
молекулі. Число коливних координат хλ, що визначає зміщення
часток з положення рівноваги рівня r. Прикладом нормальних коливань можуть
служити симетричні і антисиметричні коливання лінійної молекули СО2,
у якій при рівноважній конфігурації атоми оксигену розміщуються на одинаковій
віддалі ρ0 від карбону (мал.).
0 С 0
·¾¾·¾¾· – рівноважна
конфігурація
ρ0 ρ0 молекули
СО2.
0 С 0
¬·¾¾·¾¾·® – q1 і q2 – зміна довжин
зв’язку
Коливання
симетричне, проходить з частотою n1. Всі зв’язки
одночасно скорочуються і видовжуються.
0 С 0
·®¾·¾¾·® – q1 ¹ q2, при цьому
коливанні один
ρ1=
ρ0–q1 ρ2= ρ0+q2. хімічний
зв’язок скорочується, аінший видовжується.
Таке
коливання називається антисиметричним.
В наближенні
малих коливань енергія квантується незалежно для кожного нормального коливання
і рівна
(ni – частота даного
нормального коливання; vi – відповідне коливне квантове число). Повна коливна енергія
рівна
= =
, а
відповідна нульова енергія коливань Е0 =
.
Найпростіший збуджений коливний стан молекули одержиться, коли vj = 1, a vi = 0; i ¹ j. Енергія такого стану рівна
E01 =
.
Сукупність
частот ni коливних переходів ni = 0 ® ni = 1 (i = 1, 2,…, r) є основною
характеристикою нормальних коливань багатоатомної молекули.
В
молекулярній спектроскопії широке розповсюдження набула термінологія, заснована
на класифікації нормальних коливань по формі і симетрії.
Валентні
коливання – це таке нормальне коливання, при якому в основному змінюються
довжини зв’язків, а кути між зв’язками практично не змінюються
(позначаються такі коливання n). Якщо ж при коливанні змінюються
валентні кути, а довжини зв’язків практично не змінюються, то коливання
називається деформаційним (позначається d). Наприклад, для
молекули води (Н2О):
Крім аналізу
форми, як правило, приймають до уваги також властивості симетрії коливань
багатоатомної молекули.
Якщо при
даному нормальному коливанні, що супроводжується зміною довжин зв’язків і
валентних кутів не проходить зміна симетрії рівноважної конфігурації молекули,
то коливання називають симетричним і позначають буквою S.
Якщо
коливання супроводжується зміною симетрії рівноважної конфігурації молекули, то його
відносять до категорії антисиметричних (позначають as).
В
тому випадку, якщо при симетричному коливанні змінюються лише довжини зв’язків,
а валентні кути залишаються без змін, то такі коливання називаються
повносиметричними.
Для
вищерозглянутих коливань у молекулі Н2О: коливання n1(S) є повносиметричне;
коливання n2(as) – антисиметричне; d(s) – симетричне.
Для
СО2 число нормальних коливань рівне: 3N-5 = 3 · 3 – 5 = 4. Тоді n1(s) – симетричне; n2(as) – антисиметричне. Якщо
молекулу СО2, в якій відбувається коливання d, повертаємо на
50º, то одержимо фактично два коливання, що відбуваються у двох
перпендикулярних площинах (мал.). Ці коливання будуть мати одну і ту ж частоту,
але різну форму. Це випадок вироджеиих коливань; в даному випадку це два рази
вироджене коливання.
Мал. Коливання
молекули СО2.
Як
бачимо, коливання у молекулах бувають вироджені і невироджені.
Виродженими називають
нормальні коливання різної форми, що відбуваються з одинаковою частотою, тобто
енергія коливання у них одинакова.
Для
молекул, симетрія яких описується групами нижчої симетрії, тобто це групи
симетрії, що не мають осей вищого порядку, можливі тільки невироджені коливання
– кожному коливанню відповідає своя частота. Число різних частот нормальних
коливань рівне числу коливних ступенів волі.
Для
молекул, рівноважна конфігурація яких описується групами симетрії середньої
категорії (присутня одна вісь вищого порядку, поряд з невиродженими коливаннями
є два рази вироджені коливання), тобто пара коливання різної форми, що
здійснюються з одинаковою частотою. В цьому випадку число різних частот нормальних
коливань буде менше числа коливних ступенів волі.
Для
молекул, рівноважна конфігурація яких відноситься до груп симетрії вищої
категорії, які мають по декілька осей вищого порядку. Такі молекули мають поряд
з невиродженими і двовиродженими містять і триразвироджені коливання, тобто три
коливання різної форми, але з одинаковою частотою: СН4 –
35 – 6 = 9 колив. (прояв. 4). Число коливань з різною
частотою можливих коливних координат; в цьому випадку буде набагато менше число
ступенів волі.
Для
характеристики властивостей симетрії коливань використовують спеціальні
позначення у вигляді символів з різними індексами.
Невироджені
коливання симетричні або антисиметричні відносно осі симетрії Cn, позначають
буквами А або В: А – невироджені відносно осі Cn; В –
антисиметричні невироджені відносно осі Cn.
Індекси
gi при А і В позначають відповідно симетричне або
антисиметричне коливання по відношенню до i (центра симетрії).
Підстрочні
індекси 1 і 2 позначають симетричні і антисиметричні коливання по
відношенню до операції відбиття у вертиальній площині симетрії σv, в якій лежить
вісь.
Надстрочні
індекси штрих (¢) або два штрихи (²) при прописних
буквах позначають симетричні і антисиметричні коливання відносно відбиття в
горизонтальній площині симетрії σn.
І,
накінець, індексами q або u, розміщеними як і цифри 1 і 2 справа
внизу біля символа, позначають коливання симетричні або антисиметричні відносно
центра симетрії.
Для 2-х
і 3-х вироджених коливань використовують відповідно символи Е і F. Наприклад, запис
означає:
А –
гнвироджене симетричне коливання;
нижній
індекс 1 – коливання симетричне відносно операції відбиття у вертикальній
площині симетрії (σv);
верхній
штрих (¢) – коливання симетричне відносно
горизонтальної площини симетрії (σn);
q – коливання симетричне
відносно центра інверсії (симетрії) (i).
Найбільш
проста класифікація коливань по типу симетрії одержується для молекул,
рівноважна конфігурація яких не має осей порядка n > 2 і відноситься до точкових
груп нижчої симетрії. Всім елементам симетрії для цих груп відповідають
операції симетрії, при повторенні яких система переходить сама в себе. В силу
зміщення і відповідні їм координати симетрії відносно кожної операції можуть
бути симетричними або антисиметричними, тобто не міняти чи міняти знак при
даній операції симетрії. При повторенні будь-якої операції симетрії два рази
знак завжди зберігається. В раніше розглянутому випадку для молекули Н2О
симетричні зміщення g1 і g2 = g1 і координати gs = g1 = g2 не міняють знак
ні при яких операціях симетрії точкової групи С2v (C1, C2, σ¢v, σ²v), а
антисиметричні зміщення g1 і g2 = – g1 і координата gа = g1 = – g2 міняє знак при
повороті С2 і при відбитті σ²v, зберігаючи його
при відбитті σ¢v і при операції C1. Таким чином,
координата gs є симетричною по відношенню до всіх операцій
симетрії, а координата gа симетрична по відношенню до операції С1
і σ¢v і антисиметрична
по відношенню до операцій С2 і σ²v, що можна
записати у вигляді таблиці. В таблиці приведені множники, на які множиться
координата симетрії при відповідній операції і які рівні або +1, або –1.
Координати симетричні і антисиметричні відносно осі позначаються буквами А і В,
а координати симетричні і антисиметричні відносно площини (в даному випадку
відносно σ²v – індексами 1 і
2 (справа знизу) відповідно. Координати gs і
α = αs мають в цих позначеннях симетрію А1,
а координати gа – симетрію В2. Відмітимо, що
властивості симетрії відносно площини σ¢v визначаються
властивостями симетрії відносно С2 і σ²v внаслідок σ¢v = С2σ²v.
Таблиця
|
Позначення
|
С1
|
С2
|
σ¢v = σхv
|
σ²v = σуv
|
|
А1
|
1
|
1
|
1
|
1
|
|
А2
|
1
|
1
|
–1
|
–1
|
|
В1
|
1
|
–1
|
–1
|
1
|
|
В2
|
1
|
–1
|
1
|
–1
|
Для
груп нижчої симетрії число типів симетрії рівне порядку групи.
Для
молекул, рівноважна конфігурація яких має осі симетрії, n ³ 3 і відноситься до точкових груп середньої і
вищої симетрії класифікація коливань по типам симетрії більш складна. В цих
випадках, як уже вказувалося раніше, є типи симетрії, яким відповідають
вироджені коливання, а сама два рази вироджені коливання при наявності
виділеної осі симетрії порядка n ³ 3 і два і три
рази вироджені коливання при наявності декількох осей симетрії порядка n ³ 3.
Крім класифікації
коливань молекули на валентні і деформаційні, важливе значення має поділ
коливань по степені їх локалізації. Поряд з коливаннями всієї молекули як
цілого, можуть бути коливання, локалізовані на певних зв’язках або кутах.
Типовим
прикладом нелокалізованих коливань всієї молекули як цілого є коливання
вуглецевого ланцюга у молекулах вуглеводнів.
Прикладом
коливань, локалізованих в певній частині молекули, можуть служити коливання
атомів С = С в органічних сполуках: зміна довжини цього зв’язку
проходить в значній мірі незалежно від зміни інших кутів і зв’язків.
Локалізація коливань в певних частинах молекули, або певному зв’язку
безпосередньо залежить від співвідношення між масами атомів, що коливаються.
Якщо
між собою зв’язані два атоми різної маси, то в коливанні відносно спільного
центра ваги приймає участь в основному легкий. Наприклад, у зв’язку С–Н маса
атома С у 12 раз більше маси атома Н, тому атом С залишається практично у
спокої, а коливається Н.
До основних
характеристик кожного електронного стану молекули відносяться енергія, хвильова
функція, степінь виродження, мультиплетність і час життя.
Для
кожного електронного стану характерна своя функція потенціальної енергії. Для
двохатомної молекули ця крива залежить від міжядерної віддалі (r). Схема відносного
розміщення потенціальних кривих для двохатомної молекули можна зобразити так
(мал.):
Мал. Потенціальні
криві для електронних станів двохатомної молекули: 0 – для основного стану re;
1, 2 – для стійких
збуджених станів;
3 –
крива відштовхування.
Для
кожного електронного стану характерний свій набір коливних рівнів енергії, а
кожен коливний набір – обертових рівнів.
Хвильова
функція yе, що являє собою
розв’язок електронного рівняння Шредінгера, описує електронний стан молекул,
тобто розподіл електронної густини.
Електронні
стани можуть бути невиродженими і виродженими, якщо одному значенню
енергії відповідає одне або декілька хвильових функцій, а степінь виродження
стану рівна числу таких функцій. Вироджені стани зустрічаються в молекулах
середньої і власної симетрії.
На
енергію електронного стану впливає сумарний спін електронів і стан
характеризується мультиплетністю. Результуючий електронний спін
представляє векторну суму спинів електронів: S =
; S = 0 або
.
Спін-орбітальна
взаємодія, тобто зв’язок спіна з орбітальним моментом кількості руху електронів
може приводити до розщеплення електронного стану на 2S + 1 компонентів. Ця величина
і є мультиплетність стану. При S = 0 мультиплетність рівна 1 і стан називається
синглетним; при S = 1, х = 3 – триплетним.
Електронний
стан молекули може бути охарактеризований середнім часом життя tn – середній час
знаходження молекули в даному n-стані. Ця величина обернена імовірності переходу
із одного електронного стану на більш низькі рівні: tn =
. Для основного електронного
стану t0 = ¥, для інших станів від 10–4 до 109
сек.
Теорія
приводить до наступних правил відбору для радіаційних переходів в двохатомних
молекулах:
Dl = 0, ±1; DS = 0; – « –; + « +; u « g.
Квантовий
перехід є забороненим, якщо це диктується хоча б одним із правил відбору. Так,
наприклад, переходи між
і
заборонені лише по мультиплетності.
1. Електронні
стани і спектри двохатомних молекул.
Електронний
рух і електронні спектри можуть бути розглянуті тільки в рамках
квантово-механічних уявлень. Згідно цих уявлень кожен стан електронної оболонки
молекули характеризується повним орбітальним L і спіновим S моментами
кількості руху. Завдяки наявності в двохатомній молекулі аксіальної симетрії
важливе значення має проекція моменту L на виділений напрямок, яка задається
величиною відповідного квантового орбітального числа L. Електронні
стани молекул, яким відповідають значення
L = 0, 1, 2, 3…
S П D Ф…,
позначаються
відповідними символами.
Крім
квантового орбітального числа L кожен електронний стан
характеризується спіновим квантовим числом S, яке визначає
мультиплетність даного стану q (q = 2S + 1), тобто число
енергетичих підрівнів, на які воно може розщепитися у зовнішньому полі.
Мультиплетність
рівня записується у вигляді відповідного індексу зліва зверху по
відношенню до символу стану. Наприклад, 3P – відповідає L = 1; S = 1.
Стани,
у яких S = 0, називаються синглетними (одиничними). Стани, для
яких S = 1 – триплетні (потрійні).
Електронні
стани двохатомних молекул можуть розрізнятися також за властивостями симетрії.
В основі цього лежить поведінка хвильових функцій молекули при операціях
симетрії. Для операції відбиття в площині симетрії, що проходить через вісь
молекули, стани можуть бути або додатніми (+), або від’ємними (–) в залежності
від того, зберігає чи змінює при цьому знак хвильова функція y. Цей індекс
пишеться біля символу стану зверху справа.
Якщо
двохатомна молекула складається з двох одинакових атомів, то вона має центр
симетрії. По відношенню до операції відбиття в центрі симетрії електронні стани
таких молекул підрозділяються на парні (q) і непарні (u). Цей індекс пишеться
внизу справа відносно символа стану.
Так,
основний емпіричний стан молекули відносно (Н¯Н) є стан
, тобто L = 0; S = 0 (синглетний,
додатній і парний), якщо ж молекула Н2 знаходиться в першому
збудженому електронному стані, то стан
, L = 0; S = 1 (триплетний,
додатній, непарний).
Дуже
важливо, що з певних електронних станів вихідних атомів виникає цілком
визначений набір електронних станів молекули, причому на основі властивостей
симетрії можна встановити характеристики цих атомів – значення квантових чисел L і S, додатність або
від’ємність S-станів, парність і непарність станів у випадку
молекули, що складається з одинакових атомів.
Перш
за все, легко можна витзначити значення L станів молекули, які
виникають з станів атомів з заданими значеннями L1 і L2 повних орбітальних
моментів. Два взаємодіючі атоми можна розглядати як молекулу, на вісь якої
проектуються моменти L1 і L2:
= L1, L1–1, …, – L1;
= L2, L2–1, …, – L2.
Повна
проекція рівна
+
і її
абсолютне значення рівне L, тобто L = |
+
|. Таким чином, L приймає значення
від 0 до L1 + L2. При цьому S-станів одержиться стільки разів, скільки разів
сума
+
виявиться рівною
нулю, P-стани – стільки разів, скільки ця сума рівна +1 і –1 і т.д.
Наприклад, комбінація двох S станів дає лише один S-стан, комбінація S і Р дає по одному
S-
і P-стану, комбінація двох атомних Р-станів дає три S-стани, два P-стани і один D-стан:
Р + Р
¬®¾¾¬®
–1 0 +1 –1 0
+1
2. Електронні стани і
хімічний зв’язок в двохатомних молекулах. Розгляд електронних
станів і електронних спектрів молекул почнемо з розгляду двохатомних молекул.
Двохатомна молекула є системою, яка складається з двох ядер і певного числа
електронів, які взаємодіють з ядрами і між собою, що і визначає електронні
стани молекули. Для характеристики електронних станів важливими є, з одного
боку, властивості симетрії, які дозволяють класифікувати ці стани, а, з
другого, залежність електронної енергії молекули від віддалі між ядрами, тобто
вигляд кривих потенціальної енергії. Якщо при розгляді коливань молекули ми
виходили з наявності стійкого електронного стану, тобто кривої притягання з
мінімумом, що відповідало рівноважній віддалі між ядрами, то при розгляді
електронних станів необхідно поряд із стійким станом розглядати і нестійкий,
тобто криві відштовхування.
При
зближенні двох взаємодіючих атомів можуть виникнути як стійкі, так і нестійкі
стани: в першому випадку утворюється хімічний зв’язок, а у другому – такого
зв’язку не виникає. Однак, такий стан можна розглядати як нестійку молекулу і певним
чином характеризувати її електронний стан, наприклад, властивостями симетрії.
Питання
про стійкість електронних станів є питанням про хімічний зв’язок. Тому
дослідження електронних станів молекул не можна вивчати окремо від теорії
хімічного зв’язку.
При
характеристиці електронних станів молекул (як двохатомних, так і багатоатомних)
можливі два підходи. Можна розглядати стан молекули в цілому і можна, виходячи
з властивостей окремих електронів у молекулі, розглядати електронну
конфігурацію молекули, її електронні оболонки.
При
вивченні електронних станів молекул важливу роль відіграє можливість
наближеного розділення електронів у молекулі на електрони, що належать окремим
атомам, і на електрони, що належать всій молекулі в цілому і утворюють
молекулярні електронні оболонки. Це розділення важливе при розгляді двох
основних типів хімічного зв’язку – гетерополярного або іонного і гомеополярного
або атомного (ковалентного) зв’язку. У випадку іонного зв’язку електронегативні
атоми віддають електрони із зовнішньої оболонки електрондодатнім атомам. В
результаті утворюються іони із заповненими оболонками, які утримуються
електростатичними силами притягання. Взаємодію іонів можна розглядати як
взаємодію точкових зарядів. Кожен електрон в такій іонній молекулі належить
одному з іонів.
У
гомеополярному зв’язку зовнішні електрони атомів, що утворюють одну молекулу,
належать уже всій молекулі в цілому – стають молекулярними електронами. Для
розгляду гомеополярного зв’язку необхідно вводити квантове представлення. Слід
відмітити, що іонний і гомеополярний зв’язок є граничними випадками, які можуть
реалізовуватися з більшою чи меншою степінню точності; можливі проміжкові
випадки.
Поряд
з утворенням молекул з достатньо міцними хімічними зв’язками можливе
міжмолекулярне утворення за рахунок сил міжмолекулярної взаємодії, часто ці
сили називають силами Ван-дер-Ваальса.
Класифікація
електронних станів двохатомної молекули як цілого. Визначається, перш за
все, наявністю осі симетрії С¥, яка проходить
через ядра молекули. Такою віссю володіє ібудь-яка лінійна молекула.
Наявність
осі нескінченного порядку приводить до того, що проекція моменту кількості руху
на цю вісь зберігається і вона квантується, тобто приймає певні значення.
Для
атома типовим є випадок, коли квантується повний орбітальний момент кількості
руху L і повний спіновий момент кількості руху S. Відмітимо ту обставину,
що на повний спіновий момент S безпосередньо діють тільки мігнітні поля, а на
повний орбітальний момент L і електронні поля, причому дія електричних полів
більш суттєва, ніж магнітних.
У
молекулі, як і в атомі, є електростатична і магнітна взаємодія між електронами,
яка приводить до векторного додавання моментів кількості руху, але на відміну
від атома дія електронного поля у молекулі на повний орбітальний момент
приводить до його прецесії навколо осі поля. В результаті повний орбітальний
момент перестає квантуватися і зберігається лише квантування його проекції Lz на вісь молекули Lz = mL; mL = 0, ±1, ±2….
Енергія
стану буде суттєво залежати від mL, причому від абсолютного
значення mL. Абсолютну величину проекції повного
орбітального моменту на вісь молекули прийнято позначати L. Квантове число L приймає цілі
значення: L = | mL| = 0, 1, 2…. L відіграє для класифікації електронних станів лінійних молекул ту
ж роль, що і квантове число L для класифікації електронних станів атомів. До
аналогії з позначеннями S, P, D., станів з L = 0, 1, 2… стани з
послідовними значеннями L прийнято позначати
прописними грецькими буквами: L = 0, 1, 2, 3, 4.
S P D F G
Практично
для двохатомних молекул:
L £ 2; L = 0 – S-стани;
L = 1 – S- і P-стани.
У
відповідності до того, що при L = 0 можливі
два значення проекції «+» і «–», тобто mL = L і mL = –L, рівні енергії з
L ¹ 0 два рази
вироджені; S-рівні, L = 0 –
невироджені.
На
відміну від повного орбітального моменту повний спіновий момент, на який
електричне поле практично не діє, приблизно зберігається і квантується
звичайним способом. Молекула подібно до атома характеризується певним значенням
спінового квантового числа S. При заданому значенні S повний спіновий момент
може орієнтуватися х = 2S + 1 способами, що визначає для
молекули, як і для атома, мультиплетність х електронних станів. У відповідності
з цим можуть бути сингулетні стани 1S, 1P, 1D, дублетні 2S, 2P, 2D., триплетні
стани 3S, 3P, 3D і т.д.
Мультиплетність стану показується індексом зліва зверху.
Поряд
з квантовим числом L при класифікації електронних станів
лінійних молекул важливу роль відіграють характеристики, зв’язані з наявністю
площин симетрії sv, і у випадку молекул, що
містять однакові ядра – центри симетрії i. По відношенню до
відбиття в площині симетрії sv, що проходить
через вісь молекули, електронні стани класифікують на додатні і від’ємні, які
позначаються знаками + і –.
Стани
з L = 0 – S-стани як невироджені є
або додатніми S+ або від’ємними S– Два рази
вироджені стани з L ¹ 0
представляють сукупність додатнього і від’ємного станів. Якщо виродження
знімається і рівень розщеплюється на два, то один з підрівнів буде додатнім, а
другий – від’ємним.
Для
лінійних молекул, що мають центр симетрії, електронні стани діляться по
відношенню до відбиття в центрі на парні і непарні. Для електронних станів
молекул парність і непарність по відношенню до центра позначається символами g i u. Кожен електронний стан є
або парним або непарним і ми маємо відповідно стани
0 + 0 =
0 S
S + P ¾•¾¾¬® 0 – 1 = –1 P
0 –1 0 +1 0 + 1 = 1 P
S + S ¾•¾¾¾•¾ 0 + 0 = 0 S.
0 0
При
кожному значенні L стани можуть бути різної мультиплетності. Спінові
моменти S1 i S2 атомів при утворенні молекули векторно
додаються в повний спін молекули S = S1 + S2 і можливі
значення спінового квантового числа молекули рівні:
S = S1 + S2; S1 + S2 – 1;… | S1 – S2|.
Відповідно
мультиплетність х стану молекули при заданих мультиплетностях х1 і х2
станів атомів буде приймати значення
х = х1 + х2 – 1;
х1 + х2 – 3;… | х1 – х2| + 1.
Наприклад,
при х1 = х2 = 2 маємо
х = 3, 1; при х1 = 3, х2 = 2
маємо х = 4, 2; при х1 = х2 = 3
маємо х = 5, 3, 1.
Як
бачимо, число одержаних станів може бути досить великим. Однак лише ті з цих
станів, яким відповідають криві притягання, є стійкими, інші – нестійкі. На
основі приведеного співставлення атомних і молекулярних станів не можна
визначити, які стани стійкі. Для цього необхідно провести аналіз, заснований на
розгляді взаємодії електронів в молекулі, що приводить або до притягання атомів
з утворенням хімічного зв’язку або до відштовхування атомів. Такий аналіз може
бути проведений наближеними методами. Для молекули водню, зокрема, з двох
можливих станів 
, що
виникають при взаємодії атомів в основному стані 2S, перший стійкий
і є основним станом молекули, а другий нестійкий. Стану
відповідає
типова крива притягання з глибоким максимумом, стану
–
типова крива відштовхування.