Опис та типологія коливань

  • Вид работы:
    Курсовая работа (т)
  • Предмет:
    Физика
  • Язык:
    Русский
    ,
    Формат файла:
    MS Word
    814,75 kb
  • Опубликовано:
    2010-11-23
Вы можете узнать стоимость помощи в написании студенческой работы.
Помощь в написании работы, которую точно примут!

Опис та типологія коливань
















Курсова робота на тему: "Опис та типологія коливань"

Зміст

Введення

Вільні одномірні коливання

Змушені коливання

Коливання систем з багатьма ступенями волі

Загасаючі коливання

Змушені коливання при наявності тертя

Висновок

Література

Введення

Робота присвячена вивченню різних коливань. Механіка й акустика, радіофізика й оптика, квантова фізика й фізика твердого тіла - усюди ми зіштовхуємося з коливаннями. Єдиний підхід до вивчення коливань заснований на спільності рівнянь, що описують коливальні закономірності, дозволяє виявити глибокі зв'язки між різними, на перший погляд, явищами. Таким чином, вивчаючи коливання, ми будемо звертати увагу не тільки на те, що «хвилюється» і що «коливається», а головним чином на те, як і чому відбуваються коливання.

Вільні одномірні коливання

Дуже розповсюджений тип руху механічних систем являють собою, так звані малі коливання, які система робить поблизу свого положення стійкої рівноваги. Розгляд цих рухів ми почнемо з найбільш простого випадку, коли система має всього один ступінь волі.

Стійкій рівновазі відповідає таке положення системи, у якому її потенційна енергія U(q) має мінімум; відхилення від такого положення приводить до виникнення сили - dU / dq, що прагне повернути систему назад. Позначимо відповідне значення узагальненої координати за допомогою q0. При малих відхиленнях від положення рівноваги в розкладанні різниці U(q)-U(q0) по ступенях q - q0 досить зберегти перший незникаючий член. У загальному випадку таким є член другого порядку


де k - позитивний коефіцієнт (значення другій похідній U" (q) при q = q0). Будемо надалі відраховувати потенційну енергію від її мінімального значення (тобто покладемо U(q0) = 0) і введемо позначення

x = q – q0 (1, 1)

для відхилення координати від її рівноважного значення. Таким чином,

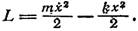
U(x) = kx2/2. (1,2)

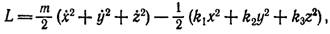
Кінетична енергія системи з одним ступенем волі має в загальному випадку вид


У тім же наближенні досить замінити функцію a(q) просто її значенням при q = q0. Уводячи для стислості позначення


одержимо остаточно наступне вираження для лагранжевої функції системи, що робить одномірні малі коливання:

 (1,3)

Відповідної цієї функції рівняння руху говорить:

 (1,4) або

 (1,5)

де уведене позначення

 (1,6)

Два незалежних рішення лінійного диференціального рівняння

(1,5): cos ?t і sin ?t, так що його загальне рішення

 (1,7)

Це вираження може бути написане також і у вигляді

 (1,8)

Оскільки cos (ωt + α) = cos ωt cos α — sin ωt sin α, те порівняння з (1,7) показує, що довільні постійні  пов'язані з постійними  співвідношеннями

 (1.9)

Таким чином, поблизу положення стійкої рівноваги система робить гармонійний коливальний рух. Коефіцієнт а при періодичному множнику в (1,8) називається амплітудою коливань, а аргумент косинуса — їхньою фазою; а є початкове значення фази, що залежить, мабуть, від вибору початку відліку часу. Величина ω називається циклічною частотою коливань; у теоретичній фізиці, втім, її називають звичайно просто частотою, що ми й будемо робити надалі.

Частота є основною характеристикою коливань, що не залежить від початкових умов руху. Відповідно до формули (1,6) вона цілком визначається властивостями механічної системи як такої. Підкреслимо, однак, що ця властивість частоти пов'язане з передбачуваною малістю коливань і зникає при переході до більше високих наближень. З математичної точки зору воно пов'язане із квадратичною залежністю потенційної енергії від координати.

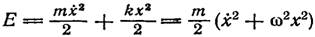
Енергія системи, що робить малі коливання, є


або, підставивши сюди (21,8):

 (1,10)

Вона пропорційна квадрату амплітуди коливань.

Залежність координати коливної системи від часу часто виявляється зручним представляти у вигляді речовинної частини комплексного вираження

 (1,11)

де А — комплексна постійна; написавши її у вигляді

A = aeia, (1,12)

ми повернемося до вираження (1,8). Постійну А називають комплексною амплітудою; її модуль збігається зі звичайною амплітудою, а аргумент — з початковою фазою.

Оперування з експонентними множниками в математичному відношенні простіше, ніж із тригонометричними, тому що диференціювання не міняє їхнього виду. При цьому поки ми робимо лише лінійні операції (додавання, множення на постійні коефіцієнти, диференціювання, інтегрування), можна взагалі опускати знак узяття речовинної частини, переходячи до останнього лише в остаточному результаті обчислень.

Змушені коливання

Перейдемо до розгляду коливань у системі, на якій діє деяке змінне зовнішнє поле; такі коливання називають змушеними на відміну від розглянутих так званих вільних коливань. Оскільки коливання передбачаються як і раніше малими, те тим самим мається на увазі, що зовнішнє поле досить слабке, у противному випадку воно могло б викликати занадто великий зсув х.

У цьому випадку поряд із власною потенційною енергією ½kx2 система має ще потенційну енергію Ue(x,t), пов'язаної з дією зовнішнього поля. Розкладаючи цей додатковий член у ряд по ступенях малої величини х, одержимо:


Перший член є функцією тільки від часу й тому може бути опущений у лагранжевої функції (як повна похідна по t від деякої іншої функції часу). У другому члені — dUe/dx є зовнішня «сила», що діє на систему в положенні рівноваги заданою функцією часу; позначимо її як F(t). Таким чином, у потенційній енергії з'являється член — xF(t), так що функція Лагранжа системи буде:

 (2,1)

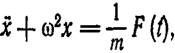
Відповідне рівняння руху є


або

 (2,2)

де ми знову ввели частоту з вільних коливань.

Як відомо, загальне рішення неоднорідного лінійного диференціального рівняння з постійними коефіцієнтами виходить у вигляді суми двох виражень: х = х0 + х1, де х0— загальне рішення однорідного рівняння, a х1— приватний інтеграл неоднорідного рівняння. У цьому випадку х0 являє собою розглянуті вільні коливання.

Розглянемо особливий інтерес, що представляє, випадок, що коли змушує сила теж є простою періодичною функцією часу з деякою частотою в:

F (f) = fcos (yt + β). (2,3)

Приватний інтеграл рівняння (2,2) шукаємо у вигляді х1 = b cos (yt+β) з тим же періодичним множником. Підстановка в рівняння дає: b=f/m(ω²-y²); додаючи рішення однорідного рівняння, одержимо загальний інтеграл у вигляді

 (2,4)

Довільні постійні а й α визначаються з початкових умов.

Таким чином, під дією періодичної сили, що змушує, система робить рух, що представляє собою сукупність двох коливань - із власною частотою системи ? і із частотою сили, що змушує, в.

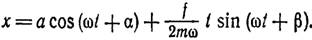
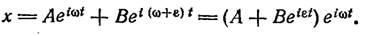
Рішення (2,4) незастосовно у випадку так званого резонансу, коли частота сили, що змушує, збігається із власною частотою системи. Для знаходження загального рішення рівняння руху в цьому випадку перепишемо вираження ,(2,4) з відповідним перепозначенням постійних у вигляді

При в ω і другий член дає невизначеність виду 0/0. Розкриваючи її за правилом Лопиталя, одержимо:

 (2,5)

Таким чином, у випадку резонансу амплітуда коливань росте лінійно поки коливання не перестануть бути малими. З'ясуємо ще, як виглядають малі коливання поблизу резонансу, коли

в = ω + ε, де ε - мала величина. Представимо загальне рішення в комплексному виді, як

 (2,6)

Тому що величина  мало міняється протягом періоду 2π/ω множника , то рух поблизу резонансу можна розглядати як малі коливання, але зі змінною амплітудою

Позначивши останню через ІЗ, маємо:


Представивши А и В відповідно у вигляді  й  одержимо:

 (2,7)

Таким чином, амплітуда коливається періодично із частотою ε, міняючись між двома межами


Це явище зветься биттів.

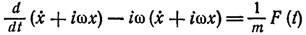
Рівняння руху (2,2) може бути про інтегровано й у загальному виді при довільній силі, що змушує, F(t), Це легко зробити, переписавши його попередньо у вигляді

 або

 (2,8)

де уведена комплексна величина

 (2,9)

Рівняння (2,8) уже не другого, а першого порядку. Без правої частини його рішенням було б


с постійної А. Дотримуючись загального правила, шукаємо рішення неоднорідного рівняння у вигляді


і для функції A(t) одержуємо рівняння

Інтегруючи його, одержимо рішення рівняння (2,8) у вигляді

 (2, 10)

де постійна інтегрування ε0 являє собою значення ε у момент часу t = 0. Це і є шукане загальне рішення; функція x(t) дається мнимою частиною вираження (2,10).

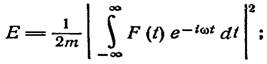
Енергія системи, що робить змушені коливання, зрозуміло, не зберігається; система здобуває енергію за рахунок джерела зовнішньої сили. Визначимо повну енергію, передану системі за увесь час дії сили (від - ? до + ?), припускаючи початкову енергію рівної нулю. Відповідно до формули (2,10) (з нижньою межею інтегрування - ? замість нуля й з

ξ(-∞) = 0) маємо при t → ∞:


З іншого боку, енергія системи як такий дається вираженням

 (2,11)

Підставивши сюди | ξ (∞) |2, одержимо шукану передачу енергії

у вигляді

 (2,12)

вона визначається квадратом модуля компоненти Фур'є сили F(t) із частотою, рівній власній частоті системи.

Зокрема, якщо зовнішня сила діє лише протягом короткого проміжку часу (малого в порівнянні з 1/ω), те можна покласти .

Тоді


Цей результат заздалегідь очевидний: він виражає собою той факт, що короткочасна сила повідомляє системі імпульс ∫F dt, не встигши за цей час зробити помітного зсуву.

Коливання систем з багатьма ступенями волі

Теорія вільних коливань систем з декількома (s) ступенями волі будується аналогічно тому, як було розглянуто в одномірних коливаннях.

Нехай потенційна енергія системи U як функція узагальнених координат qi (i = 1, 2, .,., s) має мінімум при qi=qi0. Уводячи малі зсуви

xi = qi – qi0 (3,1)

і розкладаючи по них U з точністю до членів другого порядку, одержимо потенційну енергію у вигляді позитивно певної квадратичної форми

 (3, 2)

де ми знову відраховуємо потенційну енергію від її мінімального значення. Оскільки коефіцієнти kik і kki входять в (3, 2) помноженими на ту саму величину xi xk, те ясно, що їх можна завжди вважати симетричними по своїх індексах


У кінетичній же енергії, що має в загальному випадку вид


думаємо в коефіцієнтах qi = qi0 і, позначаючи постійні aik(qo) за допомогою mik , одержуємо її у вигляді позитивно певної квадратичної форми

 (3,3)

Коефіцієнти mlk теж можна завжди вважати симетричними по індексах

mik = mki

Таким чином, лагранжева функція системи, що робить вільні малі коливання:

 (3, 4)

Складемо тепер рівняння руху. Для визначення вхідних у них похідних напишемо повний диференціал функції Лагранжа


Оскільки величина суми не залежить, зрозуміло, від позначення індексів підсумовування, міняємо в першому й третьому членах у дужках i на k, a k на i; з огляду на при цьому симетричність коефіцієнтів mik і kik, одержимо:


Звідси видно, що


Тому рівняння Лагранжа

 (3,5)

Вони являють собою систему s(i = l, 2, ... , s) лінійних однорідних диференціальних рівнянь із постійними коефіцієнтами.

За загальними правилами рішення таких рівнянь шукаємо s невідомих функцій xk(t) у вигляді

 (3,6)

де Аk — деякі, поки невизначені, постійні. Підставляючи (3,6) у систему (3,5), одержуємо по скороченні на  систему лінійних однорідних алгебраїчних рівнянь, яким повинні задовольняти постійні Аk:

 (3,7)

Для того щоб ця система мала відмінні від нуля рішення, повинен звертатися в нуль її визначник


Рівняння (3,8) -—так зване характеристичне рівняння — являє собою рівняння ступеня s відносно ω2. Воно має в загальному випадку s різних речовинних позитивних корінь ω²a,

а=1, 2, … , s (в окремих випадках деякі із цих корінь можуть збігатися). Певні в такий спосіб величини ωа називаються власними частотами системи.

Речовинність і позитивність корінь рівняння (3,8) заздалегідь очевидні вже з фізичних міркувань. Дійсно, наявність в ω мнимої частини означало б наявність у тимчасовій залежності координат хk (3,6) (а з ними й швидкостей xk) експоненціальне убутного або експоненціальне зростаючого множника. Але наявність такого множника в цьому випадку неприпустимо, тому що воно привело б до зміни згодом сповненої енергії E=U+T системи в суперечності із законом її збереження.

У т же самому можна переконатися й чисто математичним шляхом. Помноживши рівняння (3,7) на  й підсумовував потім по i, одержимо:

звідки


Квадратичні форми в чисельнику й знаменнику цього вираження речовинні в силу речовинності й симетричності коефіцієнтів kik і mik , дійсно,


Вони також істотно позитивні, а тому позитивно й ω2.

Після того як частоти ωа знайдені, підставляючи кожне з них у рівняння (3,7), можна знайти відповідні значення коефіцієнтів Аk. Якщо у всіх кореньі ωа характеристичного рівняння різні, те, як відомо, коефіцієнти Ak пропорційні мінорам визначника (3,8), у якому ω замінена відповідним значенням ωа, позначимо ці мінори через ∆ka. Приватне рішення системи диференціальних рівнянь (3,5) має, отже, вид


де Са— довільна (комплексна) постійна.

Загальне ж рішення дається сумою всіх s часток рішень. Переходячи до речовинної частини, напишемо його у вигляді

 (3,9)

Де ми ввели позначення

 (3,10)

Таким чином, зміна кожної з координат системи згодом являє собою накладення s простих періодичних коливань з довільними амплітудами й фазами, які мають цілком певні частоти.

Природно виникає питання, чи не можна вибрати узагальнені координати таким чином, щоб кожна з них робила тільки одне просте коливання? Сама форма загального інтеграла (3,9) указує шлях до рішення цього завдання.

Справді, розглядаючи s співвідношень (3,9) як систему рівнянь із s невідомими величинами Θа, ми можемо, дозволивши цю систему, виразити величини Θ1, Θ2, …, Θs через координати x1, x2, ..., xs. Отже, величини Θа можна розглядати як нові узагальнені координати. Ці координати називають нормальними (або головними), а чинені ними прості періодичні коливання — нормальними коливаннями системи.

Нормальні координати Θа задовольняють, як це виявляється з їхнього визначення, рівнянням

 (3,11)

Це значить, що в нормальних координатах рівняння рухи розпадаються на s незалежних друг від друга рівнянь. Прискорення кожної нормальної координати залежить тільки від значення цієї ж координати, і для повного визначення її тимчасової залежності треба знати початкові значення тільки її ж самої й відповідної їй швидкості. Інакше кажучи, нормальні коливання системи повністю незалежні.

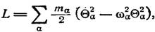
Зі сказаного очевидно, що функція Лагранжа, виражена через нормальні координати, розпадається на суму виражень, кожне з яких відповідає одномірному коливанню з однієї із частот ωа, тобто має вигляд

 (3,12)

де та — позитивні постійні. З математичної точки зору це означає, що перетворенням (3,9) обидві квадратичні форми - кінетична енергія (3,3) і потенційна (3,2) - одночасно приводяться до діагонального виду.

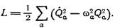
Звичайно нормальні координати вибирають таким чином, щоб коефіцієнти при квадратах швидкостей у функції Лагранжа були рівні 1/2. Для цього досить визначити нормальні координати (позначимо їх тепер Qa ) рівностями

 (3.13)

Тоді


Все викладене мало міняється у випадку, коли серед корінь характеристичного рівняння є кратні коріння. Загальний вид (3,9), (3,10) інтеграли рівнянь рухів залишається таким же (з тим же числом s членів) з тією лише різницею, що відповідним кратним частотам коефіцієнти ∆kа вже не є мінорами визначника, які, як відомо, звертаються в цьому випадку в нуль.

Кожної кратної частоті відповідає стільки різних нормальних координат, яка ступінь кратності, але вибір цих нормальних координат не однозначний. Оскільки в кінетичну й потенційну енергії нормальні координати (з однаковим ωа) входять у вигляді однаково, що перетворяться сум,  можна піддати будь-якому лінійному перетворенню, що залишає інваріантної суму квадратів.

Досить просте знаходження нормальних координат для тривимірних коливань однієї матеріальної крапки, що перебуває в постійному зовнішнім полі. Поміщаючи початок декартової системи координат у крапку мінімуму потенційної енергії U(x,y,z), ми одержимо останню у вигляді квадратичної форми змінних х, в, z, а кінетична енергія


(т — маса часток) не залежить від вибору напрямку координатних осей.

Тому відповідним поворотом осей треба тільки привести до діагонального виду потенційну енергію. Тоді

 (3,14)

і коливання уздовж осей х, в, z є головними із частотами


В окремому випадку центральносиметричного поля (k1=k2=k3=k, U=kr²/2) ці три частоти збігаються.

Використання нормальних координат дає можливість привести завдання про змушені коливання системи з декількома ступенями волі до завдань про одномірні змушені коливання. Функція Лагранжа системи з обліком діючих на неї змінних зовнішніх сил має вигляд

 (3,15)

де L0 — лагранжева функція вільних коливань. Уводячи замість координат хk нормальні координати, одержимо:

 (3.16)

де уведене позначення


Відповідно рівняння руху


будуть містити лише по одній невідомій функції Qa(t).

Загасаючі коливання

Дотепер ми завжди мали на увазі, що рух тіл відбувається в порожнечі або що впливом середовища на рух можна зневажити. У дійсності при русі тіла в середовищі остання чинить опір, що прагне сповільнити рух. Енергія тіла, що рухається, при цьому зрештою переходить у тепло.

Процес руху в цих умовах уже не є чисто механічним процесом, а його розгляд вимагає обліку руху самого середовища й внутрішнього теплового стану як середовища, так і тіла. Зокрема, уже не можна затверджувати в загальному випадку, що прискорення тіла, що рухається, є функцією лише від його координат і швидкості в цей момент часу, тобто не існує рівнянь руху в тому розумінні, який вони мають у механіку. Таким чином, завдання про рух тіла в середовищі вже не є завданням механіки.

Існує, однак, певна категорія явищ, коли рух у середовищі може бути приблизно описане за допомогою механічних рівнянь руху шляхом введення в них деяких додаткових членів. Сюди ставляться коливання із частотами, малими в порівнянні із частотами, характерними для внутрішніх дисипативних процесів у середовищі. При виконанні цієї умови можна вважати, що на тіло діє сила тертя, що залежить (для заданого однорідного середовища) тільки від його швидкості.

Якщо до того ж ця швидкість досить мала, то можна розкласти силу тертя по її ступенях. Нульовий член розкладання дорівнює нулю, оскільки на нерухливе тіло не діє ніякої сили тертя, і перший незникаючий член пропорційний швидкості. Таким чином, узагальнену силу тертя fтр, що діє на систему, що робить одномірні малі коливання з узагальненою координатою х, можна написати у вигляді


де а — позитивний коефіцієнт, а знак мінус показує, що сила діє убік, протилежну швидкості. Додаючи цю силу в праву сторону рівняння руху, одержимо :

 (4.1)

Розділимо його на m і введемо позначення

 (4.2)

ω0 є частота вільних коливань системи під час відсутності тертя. Величина λ називається коефіцієнтом загасання. Таким чином, маємо рівняння

 (4.3)

Дотримуючись загальних правил рішення лінійних рівнянь із постійними коефіцієнтами, думаємо х — ert і знаходимо характеристичне рівняння


Загальне рішення рівняння (4.3) є


Тут варто розрізняти два випадки.

Якщо λ < ω0, то ми маємо два комплексно сполучених значення r. Загальне рішення рівняння рухи може бути представлене в цьому випадку, як


де А — довільна комплексна постійна. Інакше можна написати:

 (4.4)

Якщо λ<<ω0 , то за час одного періоду 2π/ω амплітуда загасаючого коливання майже не міняється. У цьому випадку має сенс розглядати середні (за період) значення квадратів координати й швидкості, зневажаючи при усередненні зміною множника е-е-λt. Ці середні квадрати, мабуть, пропорційні е-2λt. Тому й енергія системи в середньому убуває за законом

 (4.5)

де Е0 — початкове значення енергії.

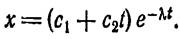
Нехай тепер λ > ω0. Тоді обоє значення r речовинні, причому обоє негативні. Загальний вид рішення

 (4.6)

Ми бачимо, що в цьому випадку, що виникає при досить великому терті, рух складається в убуванні |x|, тобто в асимптотичному (при t → ∞) наближенні до положення рівноваги. Цей тип руху називають аперіодичним загасанням.

Нарешті, в особливому випадку, коли λ = ω0 , характеристичне рівняння має всього один (подвійний) корінь r = ― λ . Як відомо, загальне рішення диференціального рівняння має в цьому випадку вид

 (4.7)

Це - особливий випадок аперіодичного загасання, Воно теж не має коливального характеру.

Для системи з багатьма ступенями волі узагальнені сили тертя, що відповідають координатам xi, є лінійними функціями швидкостей виду

 (4.8)

Із чисто механічних міркувань не можна зробити ніяких висновків про властивості симетрії коефіцієнтів аik по індексах i і k. Методами ж статистичної фізики можна показати, що завжди

aik = aki. (4.9)

Тому вираження (4.8) можуть бути написані у вигляді похідних

(4.10)

від квадратичної форми

 (4.11)

називаної дисипативною функцією.

Сили (4.10) повинні бути додані до правої сторони рівнянь Лагранжа

 (4.12)

Дисипативна функція має сама по собі важливий фізичний зміст - нею визначається інтенсивність дисипації енергії в системі. У цьому легко переконатися, обчисливши похідну за часом від механічної енергії системи. Маємо:


Оскільки F— квадратична функція швидкостей, то в силу теореми Ейлера про однорідні функції сума в правій стороні рівності дорівнює 2F. Таким чином,

 (4.13)

т е. швидкість зміни енергії системи дається подвоєної дисипативної функцією. Тому що дисипативні процеси приводять до зменшення енергії, то повинне бути завжди F > 0, тобто квадратична форма (4.11) істотно позитивна.

Рівняння малих коливань при наявності тертя виходять додаванням сил (4.8) у праву сторону рівнянь (3.5):

 (4.14)

Поклавши в цих рівняннях

xk = Akert,

одержимо по скороченні на ert систему лінійних алгебраїчних рівнянь для постійних Ak

 (4.15)

Дорівнявши нулю визначник цієї системи, знайдемо характеристичне рівняння, що визначає значення r:

 (4.16)

Це — рівняння ступеня 2s відносно r. Оскільки всі його коефіцієнти речовинні, те його коріння або речовинні, або попарно комплексно сполучені. При цьому речовинні коріння неодмінно негативні, а комплексні мають негативну речовинну частину. У противному випадку координати й швидкості, а з ними й енергія системи експоненціальне зростали б згодом, тим часом як наявність дисипативних сил повинне приводити до зменшення енергії.

Змушені коливання при наявності тертя

Дослідження змушених коливань при наявності тертя цілком аналогічно зробленому в п. 1.2 змушені коливання. Ми зупинимося тут докладно на випадку, що представляє самостійний інтерес, періодичної сили, що змушує.

Додавши в правій стороні рівняння (4.1) зовнішню силу f cos yt і розділивши на т, одержимо рівняння руху у вигляді

 (5.1)

Рішення цього рівняння зручно знаходити в комплексній формі, для чого пишемо в правій частині eiγt замість cos yt:


Приватний інтеграл шукаємо у вигляді x = B eiγt і знаходимо для В:

 (5.2)

Представивши В у виді be, маємо для b і δ:

 (5.3)

Нарешті, відокремивши речовинну частину від вираження Beiγt = bei(γt+δ), одержимо приватний інтеграл рівняння (5.1), а додавши до нього загальне рішення рівняння без правої частини (яке ми напишемо для визначеності для випадку ω0>?), одержимо остаточно:

х = ае-λt cos (ωt+ a) + b cos (γt + δ). (5.4)

Перший доданок експоненціальне убуває згодом, так що через досить великий проміжок часу залишається тільки другий член:

x = b cos (γt + δ). (5.5)

Вираження (5.3) для амплітуди b змушеного коливання хоча й зростає при наближенні частоти γ до ω0, але не звертається в нескінченність, як це було при резонансі під час відсутності тертя. При заданій амплітуді сили f амплітуда коливання максимальна при частоті


при λ<<<ω0 це значення відрізняється від ω0 лише на величину другого порядку малості.

Розглянемо область поблизу резонансу. Покладемо γ = ω0 + ε, де ε — мала величина; будемо також уважати, що λ<<ω0. Тоді в (5.2) можна приблизно замінити:


так що

(5.6)

або

(5.7)

Відзначимо характерну рису ходу зміни різниці фаз δ між коливанням і силою, що змушує, при зміні частоти останньої. Ця різниця завжди негативна, тобто коливання «запізнюється» щодо зовнішньої сили. Удалині від резонансу, з боку γ < ω0, δ прагне до нуля, а з боку γ > ω0 — до значення — π. Зміна δ від нуля до — π відбувається у вузькій (ширини ~ λ) області частот, близьких до ω0; через значення -π/2 різниця фаз проходить при γ = ω0. Відзначимо в цьому зв'язку, що під час відсутності тертя зміна фази змушеного коливання на величину ? відбувається стрибком при ? = ?0 (другий член в (2.4) міняє знак); облік тертя «розмазує» цей стрибок.

При усталеному русі, коли система робить змушені коливання (5.5), її енергія залишається незмінної. У той же час система безупинно поглинає (від джерела зовнішньої сили) енергію, що дисипарується завдяки наявності тертя. Позначимо за допомогою I(γ) кількість енергії, що поглинається в середньому в одиницю часу, як функцію частоти зовнішньої сили. Згідно (4.13) маємо: I (γ) = 2F,

де F — середнє (по періоду коливання) значення дисипативної функції. Для одномірного руху вираження (4.11) дисипативної функції зводиться до


Підставивши сюди (5.5), одержимо:


Середнє за часом значення квадрата синуса дорівнює ? , тому

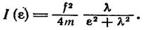
I(γ) = λmb²γ². (5.8)

Поблизу резонансу, підставляючи амплітуду коливання з (5.7), маємо:

(5.9)

Такий вид залежності поглинання від частоти називається дисперсійним. На півшириною резонансній кривій (мал. 1)


називають значення |ε|, при якому величина I(ε) зменшується вдвічі в порівнянні з її максимальним значенням при ε = 0.З формули (5.9) видно, що в цьому випадку ця на півширина збігається з показником загасання ?. Висота ж максимуму

обернено пропорційна ?. Таким чином, при зменшенні показника загасання резонансна крива стає вже й вище, тобто її максимум стає більше гострим. Площа ж під резонансною кривою залишається при цьому незмінній. Остання дається інтегралом


Оскільки I(ε) швидко убуває при збільшенні |ε|, так що область більших |ε| однаково не істотна, можна при інтегруванні писати I(ε) у вигляді (5.9), а нижня межа замінити на — ∞. Тоді

(5.10)

Висновок

Коливання - більш-менш регулярно повторюваний процес. Таке дуже нестроге, «якісне» визначення поняття «коливання». Можна привести безліч прикладів коливальних процесів, що ставляться до різних областей фізики (і не тільки фізики). Коливається маятник годин; коливається вантаж, підвішений на пружині. Коливається схвильована поверхня води й гітарна струна. Коливається заряд на пластинах конденсатора й магнітне поле в котушці індуктивності коливального контуру; періодично змінюється температура повітря (узимку холодніше - улітку тепліше) і кількість автомобілів на вулицях міста (більше в годинники пік - менше пізньої вночі). Періодично міняється економічна ситуація в житті суспільства: кризові явища переміняються підйомом економіки. Коливається тиск (або щільність повітря), викликаючи коливання вушної мембрани - і ми чуємо голос співака на оперній сцені. Таких прикладів можна привести як завгодно багато. Ознайомилися з коливаннями в тієї або іншій фізичній системі. Тут же познайомилися з найбільше що часто зустрічаються найпростішими видами коливальних рухів, основними характеристиками коливальних процесів, з математичним способом опису коливань.

У результаті проробленої роботи було розглянуте наступне:

вільні одномірні коливання;

змушені коливання;

коливання систем з багатьма ступенями волі;

загасаючі коливання;

змушені коливання при наявності тертя.

Література

1.Ландау Л.Д., Лифшнц Е.М. Теоретична фізика: Посібник. - Т.I. Механіка. - 4-е изд., випр. - К.: Наука. 1988

2.Кингсеп А.З, Локшин Г.Р., Ольхов О.А. Основи фізики. Курс загальної фізики: Підручник. В 2 т. Т. 1. Механіка, електрика й магнетизм, коливання й хвилі, хвильова оптика – К., 2001

3.Матвєєв А.Н., Механіка й теорія відносності. – К., 2003

4.Савельев И.В. Курс общей физики, том I. Механика, колебания и волны, молекулярная физика. - М.: Издательство «Наука», 1970

5.Зоммерфельд А., Механика. Регулярная и хаотическая динамика. Ижевск, 2001

Похожие работы на - Опис та типологія коливань

 

Не нашли материал для своей работы?
Поможем написать уникальную работу
Без плагиата!
Без нейросетей!