Шаруваті кристали рідкоземельних матеріалів

  • Вид работы:
    Дипломная (ВКР)
  • Предмет:
    Физика
  • Язык:
    Русский
    ,
    Формат файла:
    MS Word
    459,08 kb
  • Опубликовано:
    2010-04-06
Вы можете узнать стоимость помощи в написании студенческой работы.
Помощь в написании работы, которую точно примут!

Шаруваті кристали рідкоземельних матеріалів

Міністерство освіти і науки України

Чернівецький національний університет

імені Юрія Федьковича

Кафедра електроніки і енергетики








ДИПЛОМНА РОБОТА

Шаруваті кристали рідкоземельних матеріалів











Чернівці

2006

Анотація

В роботі досліджувались процеси інтеркаляції водню матеріалів із розвинутою внутрішньою поверхнею (InSe; GaSe). Показано, що в процесі інтеркаляції змінюються параметри кристалічної гратки, електричні і фотоелектричні властивості. Ці матеріали є перспективними для накопичення в них водню.

Зміст

Анотація

Вступ

Експериментальні результати та їх обговорення

1. Технологія вирощування шаруватих кристалів А36, придатних до інтеркалюванняя

2. Методика інтеркалювання

3. Впровадження водню в GaSe

4. Впровадження водню з газової фази під тиском

5. Нанокристалічні порошки GaSe і InSe

6. Інтеркаляція воднем нанопорошків

7. Техніка безпеки

Висновки

Література

Вступ

Основною тенденцією в розвитку сучасної техніки є використання функціональних об'єктів малих розмірів. Унікальність властивостей таких об'єктів (наноструктур) в основному визначаються атомними і електронними процесами, які протікають як в об'ємі, так і на їх межах і мають уже квантовий характер. Крім цього, наноструктури через малі розміри є достатньо нерівноважними системами.

Одною з основних перешкод для застосування водню в якості універсального й екологічно чистого палива є відсутність ефективних способів його акумулювання. У цей час жоден з існуючих методів зберігання водню - під високим тиском, в адсорбованому стані при знижених температурах, у рідкому стані, у вигляді гідридів металів й інтерметалічних сполук - не задовольняє пропонованим вимогам до акумуляторів водню. Такі вимоги були сформульовані Департаментом енергетики США: у випадку мобільних систем зберігання вміст водню по масі повинен бути не менш 6.5 % (маси.), а по об'єму - не менш 63 кг/м. По вимогах Міжнародного енергетичного агентства, акумулятор водню повинен містити не менш 5 % (маси.) Н2 і виділяти його при температурі не вище 373. Тому розробка нових і більше ефективних методів зберігання водню багато в чому визначає подальший прогрес у розвитку водневої технології й енергетики. Акумулювання водню, засноване на оборотній сорбції водню, є одним з найбільш перспективних і широко досліджуваних способів рішення позначеної проблеми. Найчастіше як сорбенти розглядаються гідридоутворюючі метали й інтерметалічні сполуки й приготовлені різними способами сорту активованого вугілля. В останні роки для використання як воднево-акумулюючих матриць більші надії покладають на фулерени, вуглецеві нановолокна й нанотрубки.

В зв'язку з цим в даний час відбувається як інтенсивний розвиток теорії явищ в малих об'єктах, так і розробка нових методів їх одержання, а також фізичних і хімічних методів дослідження. Поверхні наноструктури з їх особливими властивостями відіграють значну роль в таких об'єктах як високодисперсні системи - адсорбенти і каталізатори, наповнювачі композиційних матеріалів, плівкові і мембранні системи. Інтерес до наноструктур значно зріс у зв'язку з перспективами їх широкого використання в мікро- опто- і акустоелектроніці. Виділився новий напрямок електроніки - наноелектроніка, яка використовує в роботі приладів низькорозмірні структури з квантовими ефектами. Крім цього, важливим напрямком є інтеркаляція нанорозмірних об'єктів воднем.

Експериментальні результати та їх обговорення

1. Технологія вирощування шаруватих кристалів А3В6, придатних до інтеркалювання

Важливим критерієм кристалічних матриць, здатних до інтеркалю- вання, є відсутність або мінімальна кількість домішкових атомів у ван-дер-ваальсових щілинах. Тому, технологічні параметри синтезу вибираються таким чином, щоб в першу чергу, забезпечити досконалість системи "гостьо- вих позицій".

В технології вирощування шаруватих монокристалів необхідно враховувати широке коло факторів, що визначають кінцевий стан кристалу: чистоту вихідних компонентів; режими синтезу; степінь очистки в процесі росту; температурний градієнт на границі кристал-розплав; стабілізацію температури; швидкість опускання ампули, та ін. В якості вихідних компонент для синтезу шаруватих кристалів GaSе використовувались селен ОСЧ - 22 - 4 і галій ГЛ-000. Контейнерами для синтезу та вирощування монокристалів служили кварцові ампули. Перед завантаженням вихідних компонентів ампули оброблялися слідуючим чином: травлення кислотою на протязі однієї години, 6-7 кратне промивання бідистильованою водою з подальшим пропарюванням і сушкою у вакуумі. Після висушування ампули графітувалися. В подальшому вони завантажувались вихідними речовинами. Кількість компонентів, використовуваних для синтезу, відповідала стехіометричному складу. Вага завантажуваних речовин не перевищувала 50 грамів, а величина вільного об'єму ампул після підпанки підбиралась мінімальною. Ампули вакуумувались до залишкового тиску порядку 10-6 мм рт. ст. і відпаювались. Синтез GаSе проводили в печі типу СУОЛ з використанням вібраційного перемішування розплаву як під час нагрівання, так і під час охолодження. При нагріванні перемішування в значній мірі прискорює процес утворення нових речовин, а при охолодженні сприяє видаленню із розплаву газових включень і утворенню щільних зливків. Це необхідно для того, щоб леткі компоненти селену при температурі, коли тиск його пари не перевищував атмосферного, встигли прореагувати з більшою кількістю або повністю з речовиною, яка залишилась.

Технологічні експерименти показали, що найбільш придатним варіантом для вирощування шаруватих монокристалів GаSе з досконалою "гостьовою" структурою і яскраво вираженою шаруватістю є дещо змінений метод Бріджмена. При цьому, піч забезпечувала необхідний градієнт температури на фронті кристалізації.

В результаті проведених досліджень впливу режимів вирощування на структурну досконалість і властивості монокристалів встановлено, що оптимальними є швидкість росту 1.5 - 2,0 мм/год і температурний градієнт в області кристалізації 10 - 15 град/см. Діаметр вирощуваних зливків при таких режимах складає 14 - 20 мм. Відмітимо, що при відхиленні градієнта температури і швидкості опускання ампули від оптимальних умов, вихід монокристалічного матеріалу зменшується при одночасному погіршенні структурних і електрофізичних параметрів.

Ще одним важливим фактором для вирощування якісних шаруватих матеріалів є стабілізація температури в печі (і особливо на фронті кристалізації), яка підтримувалась за допомогою терморегулюючих пристроїв типу РИФ-101 з точністю ± 0,5 °С. Отримані за даною методикою вирощування шаруваті монокристали GaSe мають яскраво виражену пошарову структуру з, як показують експерименти, підходящою системою "гостьових" позицій.

Для вирощування моноселеніду індію (ІnSе) використовувалась вищеописана технологія з слідуючими змінами:

1. замість галію вихідним компонентом вибирається індій Іn-000;

2. температура плавлення » 600 °С;

3. градієнт температури 25 - 30 град/см;

4. швидкість опускання ампули » 1 мм/год.

Вищеописана технологія дозволяє отримувати монокристали з блискучою природною поверхнею сколу, яка характеризується дуже низьким числом ненасичених зв'язків, що роблять такі шаруваті кристали практично незамінними для спеціальних пристроїв фотоелектроніки. Завдяки яскраво вираженій пошаровості кристалічної структури, а також невеликому значенню інтегралу міжшарової взаємодії стає можливим механічним сколюванням відділяти плоскопаралельні пластини товщиною ~0,5 мкм.

2. Методика інтеркалювання

Інтеркаляція монокристалів ІnSе та GaSе проводилась електрохімічним методом. Для електрохімічного впровадження водню використовувались досконалі зразки селенідів індію та галію, в яких значення анізотропії електропровідності досягали значень 104 - 106. Інтеркаляція зразків проводилась з допомогою потенціостату П-5827М, як правило, в гальваностатичному режимі методом „тягнучого" електричного поля. В процесі інтеркаляції використовувалась скляна комірка ЯСЕ-2, виконана з хімічно та термічно стійкого скла (див. рисунок2.1). Комірка типу ЯСЕ-2 представляє собою трьохелектродну систему: електрод порівняння (4),робочий (3) та допоміжний (5) електроди.

 

Рисунок 2.1 - Комірка типу ЯСЕ-2

В якості допоміжного та порівняльного електродів використовувався платиновий провід. До робочого електроду припаювався електричний провід (як правило нікелевий або мідний) від монокристалу (1). Потім зразки InSе та GaSe приводились в контакт з електролітом (2). Через комірку (система робочий електрод - електроліт – проти-електрод) електричний струм потрібної величини, було реалізовано процес впровадження водню в між шаровий простір монокристалів. В якості електроліту використовувався 0,1-нормальний водний розчин соляної кислоти. При приготуванні розчину використовувалась бідистильована вода та концентрована соляна кислота класу ХЧ. Розчин електроліту приготовлявся при кімнатній температурі.

Концентрація впровадженого водню визначалась по кількості електрики, яка пройшла через комірку, тобто контрольованими параметрами в процесі інтеркаляції були густина струму (І) та тривалість процесу.

Пропусканням через спеціальну комірку електричного струму необхідної величини було введено водень у шаруватий кристал. Концентрацію введеної домішки визначали за кількістю електрики, що пройшла через комірку, тобто контрольованими параметрами в процесі реакції інтеркаляції були густина електричного струму та тривалість процесу. При вимірюванні спектрів пропускання використовували зразки товщиною 10 - 20 мкм. Використання оптимальних технологічних параметрів процесу інтеркаляції (густина струму не більше 10 мкА/см2) дало змогу одержати однорідні за складом інтеркальовані зразки.

При інтеркаляції монокристалів ІnSе та GаSе іонами водню використовувався “м'який” режим інтеркаляції, при якому напруженість електричного поля та густина електричного струму складали величини Е = 30 -50 В/см та J<2 мА/см відповідно.

Вплив концентрації введених атомів водню на властивості моноселеніду галію вивчали на одній і тій же групі зразків шляхом доінтеркаляції. Інтеркаляція монокристалічних зразків GaSe проводилась методом "тягнучого" електричного поля в гальваностатичному режимі за допомогою потенціостата. Пропусканням через спеціальну комірку електричного струму необхідної величини було введено водень у шаруватий кристал (при катодній поляризації останнього). Концентрацію введеної домішки визначали за кількістю електрики, що пройшла через комірку, тобто контрольованими параметрами в процесі реакції інтеркаляції були густина електричного струму та тривалість процесу. При вимірюванні спектрів пропускання використовували зразки товщиною 10 - 20 мкм.

Використання оптимальних технологічних параметрів процесу інтеркаляції (густина струму не більше 10 мкА/см2) дало змогу одержати однорідні за складом інтеркальовані зразки. Досліджували спектри пропускання кристалів GaSe та HхGaSe на спектрометричній установці, зібраній на базі модифікованого спектрометра ИКС - 31. Роздільний спектральний інтервал приладу в цій спектральній ділянці 2.095 -г 2.14 еВ складав 1-2 меВ (дифракційна гратка 1200 шт/мм). Використання терморегульованої кріостатної системи зразка типу "УТРЕКС-РТР" дало змогу вивчити спектри пропускання в діапазоні температур 77-293 К. Контроль температури зразка проведено германієвим термометром опору ТПК-1.1, при цьому точність стабілізації температури зразка складала 0.5 °С.

Встановлено, що інтенсифікація процесів інтеркаляції компонентами рідких середовищ ультразвуковою дією в кавітаційних режимах викликає значні розклинюючі когерентні напруження вздовж площин спайності, де діють слабкі ван-дер-ваальсівські сили, що призводить до ефективного диспергування частинок дихалькогенідів з шаруватими структурами та активації останньої. Анізотропія механічних властивостей обумовлює різницю розмірів наночастинок в різних кристалографічних напрямках В процесі диспергування відбувається деінтеркаляція компонентів рідких середовищ з новоутворених поверхонь при збереженні вихідної шаруватої структури. Регулювання розмірів наночастинок здійснюється за рахунок використання різних за природою рідких середовищ, що призводить до змін в кінетиці як процесів інтеркаляції, так і подальшого диспергування. Відомо що під дією ультразвуку в кавітаційних режимах відбувається ефективне диспергування вихідного порошку GaSe до нанокристалічних розмірів при збереженні типу структури та складу сполуки. Середній розмір отримуваних наночасток залежить від природи дихалькогеніду та рідкого середовища, склад вихідних інтеркалятів істотно впливає на середні розміри наночастинок. Збільшення часу ультразвукової обробки суттєво не впливає на розміри наночастинок.

В якості рідких середовищ, крім води, можуть бути використані органічні розчинники. Недоліками способу є:

- диспергування за вказаних умов відбувається лише частково для

вихідної наважки дихалькогеніду, що потребує додаткових операцій центрифугування та фільтрування розчинів:

- процес диспергування та розміри частинок - не керовані, що значно обмежує технологічні можливості застосування способу;

- диспергування за вказаними режимами є малоефективним, оскільки наведені розміри частинок є оціночними і не свідчать про дійсні розміри частинок та їх розподіл;

- можливі порушення складу та перебудова вихідної структури дихалькогенідів;

- у випадках використання дихалькогенідів з шаруватими структурами можлива їх не контрольована інтеркаляція компонентами рідкого дисперсійного середовища.

Приклад здійснення способу: вихідний порошок 2H-NbSe2 (2 г) з середніми розмірами частинок в межах 10 - 40 мкм розміщують на мідній сітці (розмір комірчини - 5 мкм), що служить комбінованим робочим електродом електрохімічної комірки об'ємом 150 см3 з ізольованим пористою діафрагмою анодним простором (лабораторне виконання). Робочий електроліт - водний розчин сульфату літію з концентрацією 4,76 % мас. Використовують гальваностатичний режим пропускання постійного струму при кімнатній температурі, величина електричного заряду - 196,02 Кл. Після закінчення електрохімічної обробки порошки підлягають семикратній промивці дистильованою водою від залишків електроліту та з метою деінтеркаляції можливих слідів запроваджених гідратованих іонів літію. Фільтрування розчину проводять через фільтрувальний папір та висушують фільтрат при кімнатній температурі. Середні розміри частинок визначають методом розширення рентгенівських ліній в найбільш характерних кристалографічних напрямках - [013], [110], контроль за структурою та складом виконують за допомогою рентгенофазового та кількісного хімічного аналізів. Результати експериментів наведені в таблиці 2.1.

 

Таблиця 2.1

№ п/п

Сполука

Умови диспергування

Параметри

елементарної

комірки, нм

Сер. розмір частинок, нм в кристапографічних. напрямах

Сере-дови-

ще

конц., порошку, % мас.

пит. акуст. потужність, Вт/см'

час.



а



с



[013]



(110)

1

2

3

4

5

6

7

8

9

10

1.

прототип

2H-MoS2

вода

1,0

2,0

360





2.

2H-WSe2

ацетон

3,0

5.0

ЗО

0,32667(3)

1,2996(4)

16,2*0,6

93,6±3,6

3.

2H-NbSe2

ацетон

3,0

5,0

зо

0,34468(5)

1,2592(1)

119,5*4.8

 >200

4.

2H-MoSe2

ацетон

3,0

5,0

зо

0,34899(2)

1,2934(2)

45,5*1,8

28,3±1,2

5.

Cu 0.85WSe2

ацетон

3,0

5,0

зо

 0,3285(4)

1,2984(2)

98,6*4,0

147,6*7,8

6.

Tio.67WSe2

ацетон

3,0

5,0

зо

0,32868(2)

1,2973(1)

22,8±1.0

7.

C0.67WSe2

ацетон

3,0

5.0

зо

0,32869(2)

1,2983(2)

117,6*5.6

>200

8.

2H-WSe2

масло

3,0

5,0

зо

 0,3284(2)

1,2988(9)

22,0±1,8

90.0±4.0

9.

2H-MoS2

масло

3,0

5.0

зо

0,31598(4)

1,2992(2)

60,6±3.8

97,0±6,5

10.

Ti 0.67WSe2

масло

3,0

5,0

зо

0,3290(2)

1,2980(1)

9,7±0.9

29,0±2.0

11.

2H-MoSe2

етилов. спирт

3.0

5,0

зо

0,32908(4)

1,2937(7)

44,8±1,5

-

12.

2H-WSe2

етилов.

спирт

3,0

5,0

зо

0,32859(4)

1,2990(8)

32,8*1.1

89,3*2,8

13.

Cu 0.61NbSe2

етилов. спирт

3,0

5,0

зо

0,34781(7)

1,3554(2)

56,9±1,9

14.

2H-MoS2

вода

3,0

5,0

зо

0,31593(4)

1,2296(1)

110,4±7.0

113,0+7,2

15.

2H-WSe2

вода

3,0

5,0

зо

0,32845(9)

1,2990(5)

47,6±2,8

100,2*7,2

16.

Cuo.85WSe2

вода

3,0

5,0

зо

0,32837(4)

1,2976(2)

134,0±8,4

141,0*9,0

17.

2H-WSe2

ацетон

1,0

0,5

25

0,32867(4)

1,2996(4)

16,0±0,6

93,4*3.5

18.

2H-WSe2

ацетон

5,0

10,0

зо

0,32867(3)

1,9996(5)

16,0±0,5

93,0*3,5

19.

2H-WSe2

ацетон

0,5

0,2

15

0,32867(4)

1,2996(4)

-

-

20.

2H-WSe2

ацетон

7,0

15,0

60

0,32866(3)

1,2996(4)

-

-

Актуальність водневої тематики обумовлена перспективою створення ефективних акумуляторів водню, заснованих на оборотної сорбції водню в кристалічну решітку базового матеріалу. Більшість сучасних досліджень присвячено гідруванню водневих з’єднань.

Впровадження водню в GaSe проводили при тиску = 0,3 Па і температурі 600◦С. Контроль кристалічної структури вхідних і вихідних зразків GaSе проводили порошковим рентгенографічним методом на установці ДРОН - 2.0. Із дифрактограми вихідного й гідрованого зразків GaSe (рисунок 2.2) видно, що гідровані зразки зберігають структуру вихідного матеріалу. Збільшення періоду гратки гідрованого кристала GaSе в порівнянні з вихідним свідчить про впроваджень молекулярного водню. Проведено дослідження електричних й оптичних властивостей інтеркальованих монокристалів GaSе. Внаслідок інтеркалювання GaSе опір вздовж кристалографічної осі рс зменшився щодо вихідних зразків майже в 10 разів, що можна пояснити, припустивши утворення акцепторних рівнів у забороненій зоні GaSе при впровадженні водню в кристалічну решітку.

(а)

(б)

Рисунок.2.2 - Дифрактограми початкового (а) і гідрованого (б) кристалу GaSе.

Визначено спектральне положення екситонного максимуму Еекс для вихідних і інтеркальованих кристалів GaSе при 77 К. Для вимірів спектрів пропущення використали зразки товщиною 10-20 мкм. Дослідження проводили на спектрометричній установці, зібраної на базі модифікованого спектрометра ИКС-31 (при напрямку поширення світла перпендикулярно базової площини кристала). Установлено зсув енергетичного положення екситонного максимуму у високоенергетичу область на 2,7 меВ для інтеркальованих монокристалів у порівнянні з вихідними зразками GaSе (рисунок 2.3). Слід зазначити, що зсув.Еекс у високоенергетичу область спостерігалось також для монокристалічних зразків GaSе, інтеркальованих воднем електрохімічним методом.

Рисунок. 2.3 - Спектри обтичної площини початкового (1) і гідрованого (2) кристалів GaSе при 77 К

Зміщення енергетичного положення екситонного піку при 77 К можна пов’язати зі зміною ширини забороненої зони і енергії зв’язку екситона при гідруванні, зумовленої деформацією кристалічної гратки. Враховуючи специфіку кристалічної структури GaSе, слід відмітити, що вплив відповідних деформацій на перебудову енергетичного спектру GaSе можуть по різному змінюватися при інтеркаляції шаруватого кристалу. При збільшенні деформаційних напруг в шаруватих кристалах, зв’язаних з процесом впровадження водню в GaSе, значення пружних постійних, які характеризують зв’язок між атомами водню, в межах шарів збільшуються повільніше, ніж між шарами. Зміщення піку екситонного максимуму в область великих енергій на 2,7 меВ (рисунок 2.3) зумовлено зміною пружних постійних між шарами, що приводить до збільшення ширини забороненої зони Eg інтеркальованого кристалу GaSе і енергії зв’язку екситона Езв. Концентрація впровадженого водню в GaSе складала (0 < x £ 2).

4. Впровадження водню з газової фази під тиском

Монокристали GaSe, які використовувались в якості вихідних для інтеркаляції, вирощені методом Бріджмена (параметри елементарного осередку: а=0,37574(2) нм, з=1,59537(9) нм).

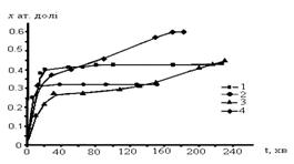
Інтеркаляційні фази НхGaSe (0<x<2,22) отримані при інтеркаляцією воднем з газової фази монокристалів селеніду галію об'ємно-манометричним методом в інтервалі температур 530-730 К при тисках 0,1 МПа і 4,2-5-4,7 МПа. Зразки попередньо активували у вакуумі (- 0,01 МПа) при 670 К на протязі 30 хв. Взаємодія водню з монокристалалом GaSe у зазначених інтервалах температур і тисків здійснювали до досягнення стану рівноваги, а також фіксували вміст водню при охолодженні системи до кімнатної температури. Кількість впровадженого водню визначали об'ємно-манометричним методом. Установлено, що в процесі інтеркаляції воднем монокристаллов GaSe при тисках 4,2-4,7 МПа з підвищенням температури (з 530 К до 730К) кількість впроваджуваного водню збільшується (НхGaSe, 0,32<х<0,60), (рис. 2.4 а). При охолодженні систем до кімнатної температури впровадження водню триває і його кількість (0,47<х<2,22) в інтеркаляційних фазах НхGaSe збільшується. Сумарна кількість інтеркальованого водню збільшується з ростом первісної температури інтеркаляції при високих тисках водню (4,2-4,7 МПа).

При загальному тиску 0,1 МПа й збільшенні температури кількість впроваджуваного водню зростає й досягає рівноважних станів (HxGaSe, 0,003<х<0,03), (рис. 2.4 б). Після охолодження до кімнатної температури зафіксоване збільшення кількості впровадженого водню, що є домінуючим внеском у сумарний вмісти водню в интеркаляційних фазах НхGaSe (0,13<х<0,24): зі зниженням температури інтеркаляції найбільше значення х=0,24 (Нх0,24 GaSe) досягається при охолодженні системи до кімнатної температури 530 K.

а

б

Рисунок. 2.4. Кінетичні залежності процесу інтеркаляції воднем GaSe при тиску 4,2-4,7 МПа (а): 1 - 530 К, 4,4 МПа; 2 - 630 К, 4,7 МПа; 3 - 670 К, 4,2 МПа; 4 - 730 К, 4,6 МПа, 0,1 МПа (б): 1 - 530 К, 2 - 630 К.

Таким чином, кінетичні залежності процесів інтеркаляції воднем монокристалів GaSe характеризируются встановленням рівноваги. Домінуючий вплив загального тиску водню на процес інтеркаляції пояснює розходження по впливі температури для низького (0,1 МПа) і високого (4,2-4,7 МПа) тисків. Для одержання НхGaSe з більшим вмістом водню необхідне використання щодо високих тисків, основне впровадження водню відбувається при охолодження систем до кімнатної температури.

З результатів рентгенівських досліджень слідує, що параметри елементарних осередків НхGaSe (0<х<2,22) а, с зменшуються зі збільшенням вмісту водню (рис. 2.5 а, 2.5 б). Обсяг елементарного осередку НхGaSe (0<х<2,22) з врахуванням довірчих інтервалів слабо зменшується в процесі інтеркаляції (рис. 2.5 в) при збереженні вихідного структурного типу. З аналізу відносних змін параметрів елементарного осередку а, для НхGaSe (0<х<2,22) треба, що:

1.параметр с зменшується в більшій мірі, чим а (приблизно в 2 рази

для максимального вмісту водню в інтеркалятах).

2.зменшення параметра с - домінуючий фактор у зменшенні обсягу елементарного осередку, співвідношення параметрів елементарних осередків с/а для НхGaSe (0<x<2,22) зростає з 8,179 до 8,183 зі збільшенням вмісту водню.

а

б

в

Рисунок 2.5 Залежності параметрів елементарного осередку НхGaSe (0<x<2,22) а (а), з (б) та її обсягу, V, (в) від змісту водню, х.

Зафіксовані концентраційні залежності параметрів й обсягу елементарного осередку НхGaSe (0<x<2,22) свідчать про значні відмінності природи процесів інтеркаляції воднем і металами шаруватих з'єднань. Зменшення параметрів елементарних осередків а, с НхGaSe, можливо, обумовлено перерозподілом електронної щільності між інтеркалированими атомами водню й шарами халькогенідної матриці (донорный характер інтеркаляції атомом водню), а також специфічними властивостями водню й можливими варіантами його локалізації в шаруватій структурі GaSe.

Відзначимо, що, як правило, при впровадженні металів у шаруваті структури, наприклад, дихалькогенидов ніобію, танталу, відбувається домінуюче збільшення параметра елементарного осередку с. Відомо, що GaSe має шарувату структуру, у якій зв'язок між атомами усередині шарів носить іонно-ковалентний характер, між шарами діє слабкий ван-дер-ваальсівський зв'язок, усередині шаруючи кожен атом Ga тетраэдрично оточений трьома атомами Se й одним атомом Ga. Гіпотетично, за аналогією з відомими процесами інтеркаляції металами дихалькогенидов d-перехідних металів, впровадження водню може відбуватися в тетраэдричні або октаєдричні порожнечі міжшарового простору. Крім того, не виключена інтеркаляція водню й у сусідні з ними порожнечі, а також безпосередньо у квазідвомірні шари, крім міжшарового простору. Можливість інтеркаляції в різні порожнечі шаруватої структури визначає максимальний вміст водню в інтеркальованих фазах при різних фізико-хімічних умовах.

Залежність питомої електропровідності інтеркаляційних фаз НхGaSe (0<х<2,22) від вмісту водню в напрямку, паралельному параметру елементарного осередку с, має немонотонний характер (рис. 2.6): в області 0<х<0,5 спостерігається ріст питомої електропровідності в міру збільшення вмісту впровадженого водню; у випадку х>0,5 має місце зворотний хід залежності.

Рисунок 2.6. Залежність питомої електропровідності від інтеркаляційних фаз НхGaSe (0<х<2,22) від змісту водню, х.

При поясненні отриманої залежності варто звернути увагу на дві обставини: можливість утворення нових рівнів у забороненій зоні GaSe, а також процес деформації його кристалічної структури. Можна думати, що при малих кількостях впровадженого водню (0<х<0,5) відбувається утворення нових рівнів у забороненій зоні GaSe, це супроводжується деформацією шаруватої структури, що істотно зменшить рухливість носіїв заряду

Рентгенівські дослідження виконували на автоматичному дифрактометрі. Спектри пропускання монокристалів GaSe і його интеркаляційних фаз НхGaSe (0<x<2,22) досліджені на спектрометричній установці, зібраної на базі модифікованого спектрометра ІЧС-31 (при напрямку поширення світла перпендикулярно базової площини кристала). Спектральний інтервал приладу, що дозволяє, у спектральній області 2,095 -2,14 ев становили 0,5 МеВ (дифракційна решітка - 1200 шт/мм). При вимірі спектрів пропущення використали зразки товщиною 10-20 мкм. Дослідження терморегулюємої кріостатної системи зразка типу "УТРЕКС-РТР" дозволило досліджувати спектри при температурі 77 К. Досліджено спектри пропускання кристалів GaSe й інтеркаляційних фаз HxGaSe (x=0,13; 0,24; 0,47; 0,56; 0,70; 2,22) в області екситонного поглинання. Залежність спектрального положення экситонного максимуму (п=1) при 77 К у інтеркаляційних фазах НхGaSe (0<x<2,22) від вмісту впровадженого водню, Еэкс(х), характеризується немонотонним поводженням (рис. 2.7): в області 0<х<0,7 відбувається збільшення функції Еекс(х), при подальшому збільшенні вмісту водню (0,7<х<2,22) Еекс майже не змінюється

Рисунок 2.7. Залежність енергетичного положення екситонного максимуму інтеркаляційних фаз НхGaSe (0<x<2,22), Еекс від вмісту водню, х, при температурі 77 К.

Таким чином, інтеркаляція воднем галію селеніду приводить до зрушення енергетичного положення экситонного максимуму при температурі 77 К у высокоэнергетическую область на 2,7 мэв для НхGaSe (х=0,7), (рис.2.7). На рис.2.8 представлені спектральні залежності оптичної щільності при температурі 77 До для монокристалла GaSe й НхGaSe.

Рисунок 2.8. Спектри оптичної щільності монокристалу GaSe й НхGaSe при температурі 77 К: 1 - GaSe, 2 - НхGaSe.

Пояснення залежності Еекс(х) при интеркаляции воднем GaSe можна дати на підставі подань про вплив деформацій (у цьому випадку, деформацій структури при її інтеркаляції воднем) на перебудову енергетичного спектра шаруватого кристала. Зсув максимуму экситонного піка в область більших енергій на 2,7 МеВ (рис. 2.8) в інтервалі 0<х<0,7 обумовлено зміною пружних постійних між шарами, що приводить до збільшення ширини забороненої зони Eg інтеркальованого кристала НхGaSe й енергії зв'язку екситону. У загальному випадку, зміна Eg відбувається як наслідок конкурентного внеску міжшарових деформацій і деформацій у межах шарів, які мають різні знаки деформаційного потенціалу.

5. Нанокристалічні порошки GaSe і InSe

Наявність слабкого ван-дер-ваальсового зв'язку між шарами в сполуках А3В6 визначає можливість одержання нанокристалічних порошків моноселенідів галію та індію. Відомим способом отримання нанопорошків шаруватих сполук (зокрема дихалькогенідів перехідних матеріалів MoS2, WSe2, NdSe2) є диспергування матеріалів в рідких середовищах під дією ультразвукових коливань. Тому для одержання нанорозмірних матеріалів GaSe, попередньо подрібнених в ступці, використано метод ультразвукової дії. Диспергування вихідних порошків розміром ~ 70 мкм проводилось на ультразвуковій установці з питомою акустичною потужністю 0,5-10 Вт/см2 в рідкому середовищі (вода, спирт, ацетон) з концентрацією порошку 1-5% мас. протягом 30 хв. Під дією ультразвукових коливань в рідкому середовищі створювали кавітаційні режими. Внаслідок цього виникали розклинюючі напруження, що призводило до розщеплення мікрочастинок по площинах спайності (001) і утворення нанопорошків GaSе.

Регулювання розмірів наночастинок здійснюється за рахунок використання різних за природою рідких середовищ, що призводить до змін в кінетиці як процесів інтеркаляції, так і подальшого диспергування.

Для встановлення фактів диспергування до нанокристалічних розмірів використовується метод розширення рентгенівських ліній з урахуванням впливу можливих спотворень кристалічної гратки внаслідок відхилень від рівноваги; гомогенність за структурою, складом; контролюють також рентгенофазовим аналізом, рентгенівським локальним мікроаналізом.

Відомі такі фізико-хімічних властивості нанопорошків:

- середні розміри наночастинок змінюються в відносно широких межах при використанні різних рідких середовищ;

- нанокристалічні порошки є гомогенними за складом та структурою при активації останньої;

- ефективне диспергування в кавітаційних режимах здійснюється на протязі малих проміжків часу;

- вказані режими можуть бути використані для диспергування значних кількостей вихідних порошків;

- технологічні операції, за якими проводиться диспергування, є простими;

- використання в якості рідких середовищ індустріальних рідких масел дозволяє суттєво поліпшити їх антифрикційні характеристики внаслідок наявності в них домішок нанокристалічних дихалькогенідів та їх інтеркалятів.

Розміри наночасток вздовж кристалографічного напрямку [001] визначали рентгенографічно по уширенню відбивання 004 GaSе зі співвідношення

 

 де:

- фізичне розширення лініїобумовлене малими розмірами частинок диспергованого матеріалу,

b- напівширина лінії 004 вихідного матеріалу GaSе,

В - напівширина даної лінії диспергованих матеріалів. Виміри проводилися на установці ДРОН-3. Експериментально визначені напівширини лінії 004 GaSе та диспергованих матеріалів, а також одержані розміри наночасток приведені в таблиці 2.2

Таблиця 2.2

Матеріали

Напівширина

лінії 004, рад

Розширення

Р, рад

Розміри наночастинок

Ь, нм

2,3-102



GaSе, диспергований в ацетоні

2,44-102

8,15-103

18

GaSе,

диспергований у воді

2,59-102

1,19-102

12,5

GaSе,

диспергований у спирті

2,76-102

1,53-102

9,7


Як видно з приведених даних, диспергування в спирті приводить до утворення наночасток найменших розмірів.

Вивчався вплив інтеркаляції воднем на властивості порошкоподібних і шаруватих сполук А, В. Зразки для інтеркаляції порошкоподібного GaSе отримувалися пресуванням порошку в таблетки 0 9 мм та товщиною ~ 1 мм. Пресування проводилося під тиском 250 кгс/см2. Потім з таблетки лезом вирізався паралелепіпедоподібний зразок необхідних розмірів.

6. Інтеркаляція воднем нанопорошків.деінтеркаляція

Інтеркаляцію водню проводили електрохімічним шляхом з водного розчину сірчаної кислоти (1М H2SO4); катод - монокристал масою 2-4 мг з типовими розмірами 4x 5x 0,02 мм3, анод - платинова пластина. Величина струму становила 50 - 80 мкА при різниці потенціалів між електродами 1,65 В, що поступово збільшувалась до 2 В. На заключному етапі величину струму різко підвищували до 50 - 80 мА, при цьому різниця потенціалів збільшувалась до З В, Кристали вилучали з кислотного розчину та додавали дистильованої води, що призводило, за спостеріганнями авторів, до значного їх зростання в об'ємі (приблизно в 30 разів). Одержану суспензію обробляли також ультразвуковою дією на протязі декількох секунд (технологічні параметри не вказано). За результатами електронної мікроскопії розміри отриманих часток становили до 200 нм.

Недоліками способу є слідуюче:

- використання монокристалів як вихідних зразків, що потребує значних затрат часу та складних технологічних операцій порівняно з реалізацією диспергування;

- зазначений процес диспергування є трьохстадійним і потребує відносно багато часу;

- диспергування за зазначених умов є, по суті, некерованим процесом;

- використані наважки монокристалів є надто малими, що значно обмежує можливості атестації та дослідження властивостей диспергованих сполук;

- відсутні дані про дію технологічних факторів та домінуючий вплив вказаних стадій процесу на середні розміри частинок, їх розподіл, склад та структуру;

- можливість неконтрольованої хімічної взаємодії монокристалів з кислотним розчином-електролітом, що призводить до не обернених змін в складі та структурі вихідних сполук;

- кінцеві продукти диспергування можуть бути інтеркальовані малими кількостями водню та води.

Інтеркаляція проводилася за допомогою потенціостату П - 5827М в гальваностатичному режимі методом “тягнучого” електричного поля. В процесі інтеркаляції використовувалася комірка ЯСЕ - 2, виконана з хімічно та термічно стійкого скла. Вона є трьохелектродною системою, що включає електрод порівняння, робочий та допоміжний електроди. Допоміжний та порівняльний електроди використовувався платиновий провід. Робочий електрод був притискним: у верхній частині зразок затискався між двома мідними пластинами, до яких підводився електричний струм. Потім зразок приводився в контакт з електролітом. Через комірку (система робочий електрод - електроліт - протиелектрод) пропускався електричний струм потрібної величини, що приводило до впровадження водню в GaSе. Як електроліт використовувався одно-нормальний водний розчин соляної кислоти. Для приготування розчину використовувалась бідистильована вода та концентрована соляна кислота класу ХЧ.

Концентрація впровадженого водню визначалася по кількості електрики, яка пройшла через комірку, тобто контрольованими параметрами в процесі інтеркаляції були густина струму та тривалість процесу. При інтеркаляції зразків GaSе використовувався “м'який” режим, при якому напруженість електричного поля та густина електричного струму становили: Е = 30 - 50 В/см та мА/см2, відповідно.

Вміст впровадженого водню в нанопорошки складав H6GaSe.

Процес термостимульованої деінтеркаляції водню із сполуки впровадження НхInSe вивчалася за допомогою термічної обробки при температурі 383 К при одночасній відкачці протягом 3-9 годин. Регістрація ступені деінтеркаляції після термічної обробки проводилась шляхом порівняння "еталонної" (для термічно необробленого зразка) концентраційної залежності енергетичного положення екситонного максимуму Еекс(х) при 77 К з спектрами термооброблених зразків, тобто тих зразків які ми термостимульовано продеінтеркалювали, зразків НхInSe (0,02£ x £ 2,0).На рисунку представлена концентраційна залежність оборотності впровадження водню N(х) для НхInSe (тривалість термічної обробки 6 годин)

 

Рисунок.2.9 Концентраційна залежність оборотності впровадження водню для сполуки НхInSe

З рисунка 2.9 видно що проходить поступове збільшення деінтеркальваного водню від 63 % (х = 0,02) до 78 % (х = 2,0).

7. Техніка безпеки

При виконанні всіх видів робіт слід дотримувати вимоги, викладені в Правилах технічної експлуатації і безпеки обслуговування електроустановок промислових підприємств. Як правило, роботи, які проводяться в лабораторіях і на установках, пов’язані з небезпекою не тільки враженням електричним струмом, але і з небезпекою отруєнь. Тому вимагають кожноденної уваги питання технічної безпеки, сангігієни, пожежної профілактики.

При проведенні експлуатаційних робіт були прийняті до відома слідуючі особливості, пов’язані з технікою безпеки:

- роботи з електровимірювальними приладами;

- роботи з зрідженими газами;

- висновки (загальні вимоги).       

Робота з електровимірювальними приладами

Щоб запобігти травматизму різного роду при роботі з електровимірювальними приладами і високою напругою, необхідно дотримуватись наступних правил техніки безпеки:

1.   На вимикачах і рубильниках повинні бути написи, які вказують, до якого приладу вони відносяться.

2.   На дротах, комутаційних апаратах повинні бути ясно вказані положення “включено”, “виключено”, які можуть підтверджуватись сигнальними лампочками.

3.   Для забезпечення безпеки людей повинні заземлюватись механічні частини електроустановок і корпуса електрообладнання, які можуть опинитися під напругою внаслідок порушення ізоляції.

Заземлення електроустановок необхідне в наступних випадках:

- при напрузі 500 В і вище змінного і постійного струму в усіх випадках;

- при напрузі вище 36 В змінного і 110 В постійного струму в приміщеннях з підвищеною небезпекою;

- при всіх напругах змінного і постійного струму в усіх вибухонебезпечних приміщеннях.

4.   Після закінчення роботи необхідно відключити електроенергію, прибрати робоче місце, закрити воду, вентиляцію.

Робота з зрідженими газами

При роботі з зрідженими газами завжди треба мати на увазі, що ємності з зрідженими газами повинні бути закриті ковпачками, які легко пропускають газ, що випаровується з посудини. Це необхідно, щоб запобігти створенню надлишкового тиску в посудині внаслідок чого може виникнути його руйнування.

Необхідно пам’ятати, що попадання зріджених газів на відкриті ділянки тіла викликає сильні опіки.

Загальні вимоги

Особи, що працюють з хімічними речовинами повинні знати:

- властивості хімічних речовин, їх токсичність і вибухонебезпечність;

- заборонено зберігання будь-яких реактивів без найменувань;

- небезпечні моменти при проведенні робіт і способи їх попередження;

- міри першої допомоги при опіках, поразках електричним струмом, отруєннях;

- протипожежні інструкції, протипожежний інвентар і користування ним.

Особи, що працюють з шкідливими речовинами, повинні користуватись встановленим спецодягом.

Селен є менш токсичним. Гранично - допустима концентрація селену у повітрі складає 0,02 мг/см3. Сполуки селену мають сильні токсичні властивості. В організм селен може попасти через дихальні шляхи, шкіру, шлунок. Міри застереження при роботі з селеном – герметизація сполук і обережне поводження з ними. Процес одержання селену повинен бути повністю автоматизований і абсолютно герметичний.

Висновки

1 Розроблена методика інтеркалювання шаруватих кристалів GaSe і InSe воднем.

2 Інтеркаляція воднем приводить до зміни параметрів кристалічної гратки і до зсуву екситонних спектрів GaSe у високоенергетичну область на 2,7 МеВ.

3 Методом диспергування отримані нанопорошки шаруватих кристалів GaSe і InSe. Диспергування GaSe в спирті приводить до утворення наночасток з найменьшим розміром, який складає 10 нм.

4 Диспергування шаруватих кристалів приводить до збільшення вмісту водню, який складає H6GaSe. Для монокристалічного GaSe H2GaSe.

Література

1. Водородные свойства получения, хранения, транспортирования, применения. Справочник / Гамбург Д.Ю., Семенов В.П., Дубовкин Н.Ф., Смирнова Л.Н.: под ред. Гамбурга Д.Ю., Дубовкина Н.Ф. - М.: Химия - 1989. - 672 с.

2. Тарасов Б.П., Гольдшлегер Н.Ф., Моравский А.П. Водородосодержащие соединения углеродных наноструктур: синтез и свойства. Успехи химии. - 2001,- 70, № 2, - С. 149 - 166.

3. Трефилов Б.П., Щур Д.В., Тарасов Б.П., Шульга Ю.М., Черногоренко А.В., Пищук В.К., Зачинайченко С.Ю. Фуллерены - основа материалов будущего. Киев: ИНМ НАНУ, 2001,-148 с.

5. Zhirko Yu.I., Zharkov I.P., Kovalyk Z.D., Pylja M.M., Boledzyuk V.B. On the Wannier exiton 2 lokalization in hidrogen intercalated InSe and GaSe layered crystal. Semikonductor Phys., Quantum Elektronics. 2004, vol 7, p. 715 - 720.

6. Ковалюк З.Д., Пирля М.М., Боледзюк В.Б. Вплив водню на оптичні властивості GaSe. Журнал фізичних досліджень, 2002, Т.6, №2, С. 185 - 187.

Похожие работы на - Шаруваті кристали рідкоземельних матеріалів

 

Не нашли материал для своей работы?
Поможем написать уникальную работу
Без плагиата!
Без нейросетей!