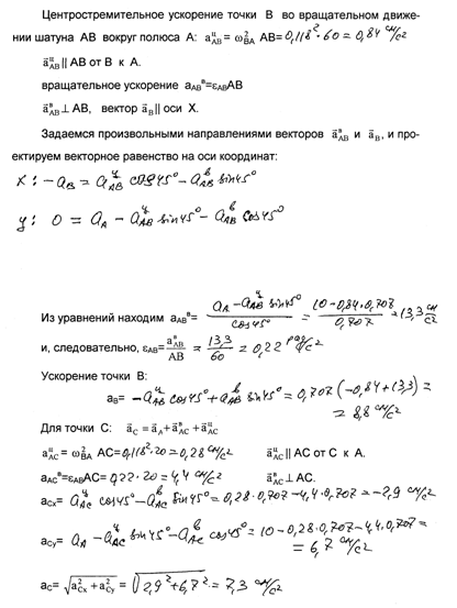
Центр скоростей и ускорение плоскодвижущегося шатуна

  • Вид работы:
    Контрольная работа
  • Предмет:
    Физика
  • Язык:
    Русский
    ,
    Формат файла:
    MS Word
    693,41 kb
  • Опубликовано:
    2009-11-28
Вы можете узнать стоимость помощи в написании студенческой работы.
Помощь в написании работы, которую точно примут!

Центр скоростей и ускорение плоскодвижущегося шатуна




Определить реакции опор для способа закрепления бруса, при котором Ма имеет наименьшее числовое значение.

Решение

1. Даны три исходные схемы закрепления бруса (а, б, в,) мысленно в схемах отбросим связи в точках опор, заменяя их реакциями связей.

2. Равномерно-распределённую нагрузку «q» заменяем равнодействующей «Q» и приложим её в центре действия нагрузки «q», получим

Q=q*L

Q=2*2=4кН.

 

3. Для каждой схемы составим минимальное число уравнений равновесия для определения исследуемой реакции.

Cоставим уравнения равновесия:

Схема а)

Ma(fк)=0; Ma-P*cos60-P*cos30-M+2Q=0

Отсюда Ma будет

 

Ma=P*cos60+P*cos30+M-2Q=5+8,6+4–8=9,6кН*м

cхема б)

Мa(Fk)=0; Ма – P*cos60-P*cos30-M+2Q+3Rв

F(кy)=0; Rв-P*cos30=0             Rв=8,6кН

Отсюда Ма будет:

Ма=P*cos60+P*cos30+M-2Q-3Rв=5+8,6+4–8–25,8=16,2кН*м

 

Ма=16,2кН*м

Схема в)

Ma(Fk)=0; Ма-М-Р*cos60-Р*cos30+2Rc+2Q=0

Fy)=0; Rc-Pcos30=0 Rc=8,6кН

Отсюда Ма будет:

 

Ма=М+P*cos60+Р*cos30–2Rc-2Q=7,6кН*м

 

Ма=7,6кН*м

Таким образом, исследуемая наименьшая реакция будет при закреплении бруса по схеме в). Найдём все реакции.

Составим для этой схемы три уравнения равновесия:

 

Fкх=0        Q-P*cos60+Xa=0

Fкy=0 Rc-Pcos30=0 Rc=8,6кН

Ма(Fк)=0 Ма-М-Р*cos60-Р*cos30+2Rc+2Q=0

 

Rc=8,6кН

Xa=1кН

Ма=7,6кН*м

 

Ответ: Ма=7,6кН.

Д-19

Применение общего уравнения динамики к исследованию движения механической системы с одной степенью свободы.

Дано:

Сила тяжести

G1

G2

G3

G4

2G

G

G

8G



Найти:

Ускорение грузов 1 и 4 найти натяжение нитей 1–2 и 2–4

Схема:

 







Решение

ådА (F, Ф)=0 общее уравнение динамики

1)   Возможное перемещение

dS1

dj2=dS1/2r2

dj3=dS1/2 r3

dSc=dS1/2

Ф1= (G1/g)*a1

Ф4= (G4/g)*a4

Ф2= (G2/g)*a2

М3(Ф)= J3x*e3 = ((G3/2g)*r32)*a1 /2r3

a1= a2= a3

a4= a1/2

Составим общее уравнение динамики

G1dS1-Ф1dS1-М2(Ф) dj2 – Ф4dS1–2 (Ф2dSc+ М3(Ф)dj3)=0


Для определения натяжения нити мысленно разрежем нить и заменим её действием на груз реакцией.

Т1-2

Ф


dS    

G1     a1

G1dS1-ФdS1-Т1-2dS1=0

Т1-2 = G11=1,6 G

Т2-4 = Ф4=1,6 G

Дано:

Va=0

α=30

f=0.2

l=10 м

d=12 м

Определить: τ и h

Решение

1. Рассмотрим движение груза на участке АВ, считая груз материальной точкой. Проводим ось Az и составляем дифференциальное уравнение движения груза в проекции на эту ось:

 (1)

 (2)

 (3)

Подставляя численные значения получаем:

 (4)

 (5)

Разделяя переменные, а затем интегрируя обе части, получим:

 (6)

 (7)

 (8)

 (9)

При начальных условиях (Z=0, V=V0)

 (10)

Тогда уравнение (9) примет вид:

 (11)

 (12)

 (13)

 (14)

Полагая в равенстве (14) м определим скорость VB груза в точке B (V0=14 м/c, число e=2,7):

 м/c (15)

2. Рассмотрим теперь движение груза на участке ВС; найденная скорость VB будет начальной скоростью для движения груза на этом участке (V0=VB). Проведем из точки В оси Вх и Ву и составим дифференциальное уравнение груза в проекции на ось Вх:

 (16)

 (17)

 (18)

Разделим переменные:

 (19)

Проинтегрируем обе части уравнения:

 (20)

Будем теперь отсчитывать время от момента, когда груз находится в точке B. Тогда при t=0 V=V0=VB=8,97 м/с. Подставляя эти величины в (20), получим

Тогда уравнение (20) примет вид:

 (21)

 (22)

Разделим переменные и проинтегрируем обе части уравнения:


Задание К1

Дано:

X=3–3t2+1;

Y=4–5t2+5t/3; (1)

t1=1c;

(X и Y-в см.);

Решение

Координаты точки:



Выразим t через X

 и подставим в (1)

;

Вектор скорости точки:

 

;

Вектор ускорения:

 

;

 

Модуль ускорения точки:


Модуль скорости точки:


Модуль касательного ускорения точки:

, или

Модуль нормального ускорения точки:

 или

 или


Радиус кривизны траектории:

;


Результаты вычисления:

Координаты,

см

Скорость,

см/с

Ускорение,

см/с2

Радиус

Кривизны,

см

X

Y

VX

VY

V

aX

aY

a

aτ

an

ρ

1,00

0,66

-6,00

-8,30

10,26

-6,00

-10,00

11,66

11,62

0,96

109,80


Дано: R2=30; r2=15; R3=40; r3=20

X=C2t2+C1t+C0

При t=0 x0=9 =8

t2=4 x2=105 см

X0=2C2t+C1

C0=9

C1=8

105=C2 *42+8*4+9

16C2=105–24–9=72

C2=4,5

X=4,5t2+8t+9

a==9

V=r22

R22=R33

3=V*R2/(r2*R3)=(9t+8)*30/15*40=0,45t+0,4

3=3=0,45

Vm=r3*3=20*(0,45t+0,4)=9t+8

atm=r3

=0,45t

atm=R3=40*0,45t=18t

anm=R323=40*(0,45t+0,4)2=40*(0,45 (t+0,88)2

a=

Похожие работы на - Центр скоростей и ускорение плоскодвижущегося шатуна

 

Не нашли материал для своей работы?
Поможем написать уникальную работу
Без плагиата!
Без нейросетей!