Фотоелектричний ефект
Тема 1. Фотоелектричний ефект
План
1. Предмет,
методи і завдання квантової фізики
2. Закони
фотоефекту. Дослідження Столєтова
3. Квантова
теорія фотоефекту
4.Фотоелементи та
їх застосування
1. Предмет, методи і завдання квантової фізики
Загальні відомості
Як вже зазначалось, в кінці XIX і на початку XX ст. було відкрито ряд фізичних явищ, які неспроможна пояснити класична
фізика. У зв'язку з цим виникла необхідність створення нової фізичної теорії,
яку назвали квантовою теорією матерії, або квантовою фізикою.
Квантова фізика вивчає процеси, що відбуваються у мікросвіті — в світі
молекул, атомів, атомних ядер, елементарних частинок. Оскільки властивості макроскопічних
тіл зумовлені рухом і взаємодією їх складових — мікрочастинок, то закони
квантової фізики дають змогу пояснити більшість явищ макросвіту.
Квантова механіка, квантова статистика і квантова теорія поля в
сукупності складають квантову теорію матерії, або квантову фізику.
Квантова механіка — теорія руху мікрочастинок і їх систем, теорія явищ
субатомного масштабу та їх впливу на макроявища.
Перший підготовчий крок до створення квантової механіки зробив М. Планк.
Він для пояснення розподілу енергії в спектрі випромінювання абсолютно чорного
тіла висунув гіпотезу про те, що енергія атомів-випромінювачів може змінюватися
дискретними порціями — квантами. Другий крок зробив А. Ейнштейн, який ввів у
1905 р. поняття фотона (кванта електромагнітного поля) і дав тлумачення
зовнішньому фотоефекту. Далі, у 1913 p. H. Бор
використав ідею квантів і штучно введені постулати для пояснення станів
водневоподібних атомів і розшифрування їхніх спектрів.
У 1924 р. Л. де Бройль висунув гіпотезу про корпускулярно-хвильовий дуалізм
матеріальних частинок, основна ідея якої про хвильові властивості частинок була
в 1927 р. підтверджена К. Де-віссоном і Л. Джермером (США), Дж. П. Томсоном
(Шотландія) і радянським фізиком П. С. Тартаковським.
Накопичення фактів привело до становлення у 1925—1928 pp. сучасної квантової механіки. У цей
період В. Гейзенберг розробив матричну теорію кінематики і динаміки
мікрочастинок; Е. Шредінгер, спираючись на ідеї Л. де Бройля, у 1926 р. дістав
диференціальне рівняння руху мікрочастинок; М. Борн у 1927 р. дав статистичну
інтерпретацію квантово-механічного опису станів мікрочастинок або їх систем; П.
Дірак і В. Паулі заклали основи релятивістської квантової механіки. Тоді ж було
сформульовано принцип невизначеності Гейзенберга, принцип Паулі, принцип відповідності
Бора.
У наступні роки великий вклад у розвиток квантової фізики внесли Г.
Лондон, Е. Фермі, Р. Фейнман, М. Гелл-Манн, В.О. Фок, Л.Д. Ландау, І.Є. Тамм,
Д.І- Блохінцев, М.М. Боголюбов, Я.І- Френкель та інші вчені.
Квантова механіка являє собою фізичну теорію, яка описує явища атомного
масштабу, тобто рух елементарних частинок та систем, що з них складаються. При
цьому вважається, що мікрочастинки рухаються із швидкостями, значно меншими від
швидкості світла.
Процеси з участю релятивістських мікрочастинок (частинок, що рухаються зі
швидкостями, близькими до швидкості світла) супроводяться, як правило, зміною
кількості частинок, їх народженням та поглинанням. Такі процеси розглядаються у
квантовій теорії поля.
Властивості системи з великою кількістю частинок, рух яких описується
законами квантової механіки, вивчаються у квантовій статистиці.
Успіхи квантової фізики відіграли важливу роль у науково-технічній
революції. Напівпровідникова і квантова електроніка, ядерна енергетика, навіть
можливість здійснення в земних умовах реакції термоядерного синтезу зв'язані в
кінцевому результаті з квантовими законами. Розвиток квантової фізики сприяє
розумінню єдності світу, побудові єдиної фізичної картини світу.
Під час проведення дослідів з метою одержання електромагнітних хвиль
Г.Герц у 1887 р. помітив, що розряд між металевими електродами стає
інтенсивнішим, якщо їх освітлювати електричною дугою. Це явище названо
фотоелектричним ефектом.
Після відкриття електрона (1897 р.) ф.
Ленард і Дж. Томсон у 1898 р. довели експериментально, що фотоефект являє собою
вивільнення електронів з металевих катодів під дією світла. Явище фотоефекту —
один з проявів взаємодії світла з речовиною, який розкриває квантову природу
світла. Фотоефект як самостійне фізичне явище детально вивчав О.Г. Столєтов у
1888—1890 pp. Він виявив, що при освітленні
ультрафіолетовими променями зазнають розряду тільки тіла, заряджені негативно.
Схема установки для дослідження фотоефекту показана на рис. 9.1.
Світло через кварцеве віконце О падає на катод К, виготовлений з
досліджуваного металу. Катод і анод розміщені у вакуумній трубці Т. Напруга між
катодом і анодом змінюється за допомогою потенціометра П.
Дослідження залежності фотоструму від різниці потенціалів між катодом і
анодом при опромінюванні катода монохроматичним світлом показали, що фотострум
існує не тільки тоді, коли > 0, але й тоді, коли < 0. Він припиняється
для даної речовини катода тільки при певній величині від'ємного значення
різниці потенціалів , яка називається гальмівною напругою. її величина дає
змогу визначити кінетичну енергію вивільнених електронів. Гальмівна напруга не
залежить від інтенсивності світла.
Сила фотоструму зростає зі збільшенням різниці потенціалів і при деякому
значенні напруги U досягає
насичення (рис. 9.2). Узагальнюючи результати експериментальних даних,
встановлено такі закономірності фотоефекту: при сталому спектральному складі
світла сила фотоструму / насичення прямо пропорційна світловому потоку Ф, що
падає на катод (рис. 9.3); початкова кінетична енергія вивільнених світлом
електронів залежить лінійно від частоти світла і не залежить від його
інтенсивності (рис. 9.4); фотоефект не виникає, якщо частота світла менша від
деякої характерної для даного металу величини vmin; фотоефект — явище безінерційне,
тобто з припиненням освітлення поверхні він припиняється.
З погляду хвильової теорії можна пояснити тільки першу закономірність
(закон Столєтова). Електрони в металі мають набувати прискорення під дією
електричного поля електромагнітної хвилі. Якщо це поле сильне, то електрон
зможе набути енергії для подолання потенціального бар'єру і вилетіти за межі
металу. При малих інтенсивностях світла електрони не вилітають. При досягненні певної
величини інтенсивності світла, характерної для даного металу, відбуватиметься
вивільнення електронів.
Чим більша інтенсивність світла, що падає на метал, тим більшу кінетичну
енергію мають вивільнені електрони. Згідно з уявленнями класичної теорії
інтенсивність світла прямо пропорційна квадрату напруженості електричного поля
світлової хвилі, дія якої на електрони в металі зумовлює їх коливання.
Амплітуда вимушених коливань може досягти такої величини, при якій електрони
залишають метал. Тому кількість вивільнених електронів зростає із збільшенням
інтенсивності світла, що і приводить до зростання фотоструму насичення при
збільшенні світлового потоку.
Сучасні методи досліджень дають змогу реєструвати окремі електрони, які
потрапляють на анод. Встановлено, що при зміні інтенсивності монохроматичного
світла, тобто зміні напруженості електричного поля електромагнітної хвилі,
кінетична енергія вивільнених електронів не змінюється, а змінюється їх
кількість. Цей результат зовсім не узгоджується з передбаченнями хвильової
теорії про природу світла. У межах цієї теорії також неможливо пояснити
безінерційність фотоефекту та результати, одержані для однакових значень
інтенсивності монохроматичного світла різних частот. При цьому виявилось, що
максимальне значення кінетичної енергії вивільнених електронів прямо
пропорційне частоті (рис. 9.4).
3. Квантова теорія фотоефекту
Явище фотоефекту і його закономірності повністю пояснюються квантовою
теорією світла. У ній стверджується/що світло — це потік матеріальних частинок
— фотонів, енергія яких — стала Планка; v — частота коливань); що світло не
тільки випромінюється, поширюється, але і поглинається порціями електромагнітних
хвиль. При цьому фотон як неподільна частинка поглинається окремим електроном.
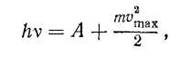
На основі таких уявлень А. Ейнштейн у 1905 p., застосувавши закон збереження енергії до взаємодії фотона з електроном,
одержав рівняння фотоефекту, яке носить його ім'я:
де А — робота виходу електрона з металу; максимальне значення кінетичної
енергії електрона.
Енергія фотона, яку поглинає електрон, витрачається на те, щоб електрон
подолав потенціальний бар'єр у металі, тобто на роботу виходу та надання
кінетичної енергії вивільненому електрону. Якщо електрон поглинув фотон не біля
самої поверхні, а на деякій глибині, то частина енергії буде витрачена
внаслідок випадкових зіткнень електрона в речовині. Максимальну кінетичну
енергію матимуть електрони, вивільнені з самого верхнього енергетичного рівня у
металі. З рівняння (9.1) випливає, що фотоефект можливий лише тоді, коли hv > А. В іншому випадку енергія
фотона недостатня для вивільнення електрона з металу. Найменша частота світла,
під дією якого відбувається фотоефект, визначається з умови , звідки
Частота, при якій можливий фотоефект, називається «червоною межею»
фотоефекту. Ця назва не стосується кольору світла. Вона вказує на ту найменшу
частоту (найбільшу довжину хвилі) світла, при якій ще може відбуватись
фотоефект. Так, з цезію вивільняються електрони при освітленні випромінюванням
усієї видимої частини спектра; для калію відбувається фотоефект при освітленні
променями, довжина хвиль яких < 0,62 мкм; для натрію — <: 0,59 мкм; для
літію — < 0,516 мкм; для вольфраму — <: 0,275 мкм.
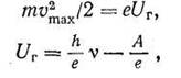
Оскільки значення гальмівного потенціалу визначається з умови

З графічної залежності (рис. 9.4) видно, що tg a = = h/e, а відрізок ОU = Ае. Оскільки інтенсивність світла
прямо пропорційна кількості фотонів, то збільшення його інтенсивності зумовлює
збільшення кількості вивільнених електронів, тобто збільшення фотоструму. Отже,
квантова теорія світла дає змогу ' пояснити всі експериментальні дані, одержані
при вивченні явища фотоефекту. Розглянуте явище для металів називають зовнішнім
фотоефектом або просто фотоефектом.
Для його вивчення, перевірки законів, визначення розподілу електронів за
швидкостями користуються методом так званого сферичного фотоелемента, коли у
центрі кулі розміщено катод у вигляді кульки з досліджуваного металу.
На відміну від металів у напівпровідниках та діелектриках при їх
освітленні виникає так званий внутрішній фотоефект. У цих речовинах існують заборонені зони
енергії. Вони створюють такі умови для фотоефекту, що він у діелектриках і
напівпровідниках має дещо інші властивості, ніж у металах. Якщо у зовнішньому
фотоефекті електрони при освітленні металу вилітають за його межі, то у
внутрішньому фотоефекті електрони під дією поглинутого світла переходять з
валентної зони у зону провідності, але за межі напівпровідника або діелектрика
не вилітають.
Для напівпровідників характерні два фотоелектричних явища: внутрішній і вентильний
фотоефекти. Внутрішній фотоефект (або фотопровідність) полягає у збільшенні
концентрації вільних носіїв заряду як у чистих напівпровідниках, так і у
напівпровідниках з домішковою провідністю. У чистих напівпровідниках електрони
переходять із валентної зони у зону провідності; у напівпровідників n-типу, крім переходу з валентної зони
у зону провідності, будуть також переходити із донорного рівня у зону
провідності, а у напівпровідниках р-типу — із валентної зони на акцепторний
рівень.
Вентильний фотоефект — це явище виникнення електрорушійної сили при
освітленні контакту двох напівпровідників різного типу провідності або контакту
напівпровідника з металом. На межі напівпровідників п- і р-типу виникає
запірний шар. При освітленні напівпровідника га-типу, коли енергія фотонів
достатня для переходу електроном запірного шару з напівпровідника «-типу у
напівпровідник р-типу (рис. 9.5), відбувається накопичення електронів на
зовнішній поверхні напівпровідника р-типу. Внаслідок цього між зовнішніми
поверхнями напівпровідників п- і р-типу виникає електрорушійна сила.
Особливістю вентильного фотоефекту є безпосереднє перетворення світлової
енергії в електричну. Коефіцієнт корисної дії сучасних кремнієвих фотоелементів
близько 15 %.
Розглянуте явище фотоефекту відбувається при відносно слабких світлових
полях, і його називають однофотонним. Виявляється, що при користуванні
випромінюванням потужного лазера виникає багатофотонне поглинання, тобто
багатофотонний фотоефект.
Так, двофотонний внутрішній фотоефект спостерігається у напівпровіднику
сульфіду кадмію при його опромінюванні рубіновим лазером. Світло нелазерного
випромінювання такої самої частоти, як і випромінювання рубінового лазера, не
викликає фотоефекту
у сульфіду кадмію. Це пояснюється тим, що енергія фотонів цієї частоти
дорівнює 1,8 еВ, а ширина забороненої зони у CdS — 2,4 еВ. Причиною появи фотоефекту
при опромінюванні CdS рубіновим лазером є
поглинання електроном декількох фотонів. Багатофотонний фотоефект зумовлює
зміщення червоної межі фотоефекту в довгохвильову ділянку спектра.
4.Фотоелементи та їх застосування
Прилади, в яких фотоефект використовується для перетворення енергії
випромінювання в електричну, називають фотоелементами. Залежно від видів
фотоефекту створено фотоелементи із зовнішнім фотоефектом (вакуумні і
газонаповнені) та внутрішнім (фотоопори і вентильні фотоелементи).
Фотоелементи із зовнішнім фотоефектом являють собою скляні балони,
всередині яких розміщено фотокатод і анод (рис. 9.6). Фотокатодом К є шар
лужного або лужноземельного металу, нанесеного на основу із срібла. Анод А має
форму стержня, кульки або петлі. В газонаповнених фотоелементах із зовнішнім
фотоефектом є якась кількість інертного газу, внаслідок чого струм у
фотоелементі створюється не тільки електронами, що вивільняються із фотокатода
під дією світла, а й електронами та іонами, що виникають внаслідок іонізації
газу. Наявність газу дає змогу збільшити чутливість фотоелементів у 5 -н 10
разів порівняно з вакуумними.
Для підсилення фотоструму часто користуються фото помножувачами (рис.
9.7), дія яких ґрунтується на явищі вторинної електронної емісії. Кількісно
вона характеризується коефіцієнтом вторинної емісії а = пг1пг (відношення
кількості вибитих електронів п2 до кількості падаючих %).
Фотоелементи з внутрішнім фотоефектом (фоторезистори) складаються з
ізоляційної основи 3 (рис. 9.8), на яку нанесено тонкий шар

напівпровідника 2 з металевими електродами 1. Така система поміщається в
ебонітову або пластмасову оправу з віконцем. Для запобігання впливу оточуючого
середовища його світлочутливий шар покривають прозорим лаком. На відміну від
фотоелементів із зовнішнім фотоефектом, які мають односторонню провідність,
фоторезистори в однаковій мірі проводять струм в обох напрямах. Вони мають
високу стабільність параметрів у процесі їх експлуатації, високу чутливість.
Недоліками їх є значна залежність чутливості від температури, інерційність,
залежність інерційності від освітленості, не лінійність світлових
характеристик, відсутність ділянки насичення вольт-амперних характеристик,
наявність значного струму при відсутності світлової дії.
Серед вентильних фотоелементів широко застосовуються мідно-оксидні,
селенові, сульфідно-срібні, сульфідно-талієві, кремнієві, сульфідно-кадмієві та
ін.