Теплофизический расчет шара

  • Вид работы:
    Контрольная работа
  • Предмет:
    Физика
  • Язык:
    Русский
    ,
    Формат файла:
    MS Word
    174,09 kb
  • Опубликовано:
    2010-08-30
Вы можете узнать стоимость помощи в написании студенческой работы.
Помощь в написании работы, которую точно примут!

Теплофизический расчет шара
















Теплофизический расчет шара

Введение

Основной целью данного курсового проекта было: найти решение для задачи тепломассопереноса, с использованием различных математических методов. Для решения задачи использовался пакет MathCAD . Для определения эффективности и точности решения поставленной задачи, полученное решение анализируется и определяется оптимальный метод нахождения решения задачи.

1. Постановка задачи

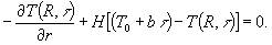
Дан шар 2R, который находится в тепловом равновесии с окружающей средой, т.е. имеет температуру, равную температуре окружающей среды T0. В начальный момент времени среда нагревается с постоянной скоростью b (град/сек), т.е. температура среды есть линейная функция времени Tс(t ) = T0+bt . Теплообмен между поверхностями пластины и окружающей среды происходит по закону Ньютона. Требуется найти распределение температуры по толщине шара в любой момент времени, а также удельный расход тепла.

Также заданы начальные и граничные условия, которые описываются как:

T(r,0) = T0 = const,





Дифференциальное уравнение теплопроводности для шара может быть записано как:



2. Решение задачи

Решение задачи было получено для двух материалов: сталь и резина. Основные теплофизические характеристики веществ были сведены в таблицу (см. табл.1)

Таблица 1

Материал

удельная теплоемкость, С (Дж/(кг*К))

плотность тела, ρ(кг/м³)

коэффициент теплопроводности, λ (Вт/м*К)

Сталь

462

7900

45,4

Резина

1380

1200

0,16


Первым шагом в решении задачи было нахождение корней характеристического уравнения:



На основе полученных значений корней характеристического уравнения, для двух материалов построена таблица (табл.2).

Таблица 2

Материал

1

2

3

4

5

6

7

8

9

10

11

12

13

Сталь

0

3.07

6.14

9.21

12.28

15.36

18.44

21.52

24.61

27.70

30.79

33.89

36.98

Резина

0

3.14

6.28

9.42

12.56

15.70

18.84

21.98

25.13

28.27

31.41

37.69


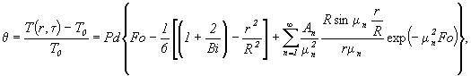
Найдя корни характеристического уравнения, можно найти безразмерную температуру и температуру тела в любой точке в любой момент времени:


        

Так как в начальный момент времени, шар только начинает прогреваться, то приведенная выше формула дает большие погрешности. Для уменьшения погрешности используют формулу для нахождения безразмерной температуры для малых значений Фурье:





Расчетные формулы имеют следующий вид:

 








Определяем температуру на поверхности и в центре шара:












Рис. 1. Зависимость между Θ и Fo для поверхности (1) и центра (2) шара (сталь).











Рис. 2. Зависимость между Θ и Fo для поверхности (1) и центра (2) шара (резина).

По результатам расчетов построены графики зависимости безразмерной температуры на поверхности и в центре шара, от величины Fo, для стали (Рис.1) и резины (Рис.2)

3. Результаты расчета

Найдя безразмерную температуру во всех точках шара, можно определить температуру в любых точках шара в любой момент времени:

 







Рис. 3. Распределение температуры по толщине шара (сталь).

Таблица 2.

T(r,1000)

273.64

273.64

273.65

273.67

273.68

273.71

273.74

273.78

273.82

273.87

273.92

T(r,3000)

433.34

433.40

433.55

433.80

434.15

434.61

435.16

435.82

436.57

437.43

438.39

T(r,6000)

1098.8

1098.9

1099.1

1099.5

1100.2

1100.9

1101.9

1102.9

1104.2

1105.7

1107.3



 




Рис. 4. Распределение температуры по толщине шара (резина).

Таблица 3.

T(r,7000)

265.54

265.54

265.55

265.55

265.56

265.57

265.59

265.60

265.62

265.67

T(r,10000)

271.59

271.59

271.59

271.59

271.59

271.59

271.60

271.60

271.60

271.61

271.61

T(r,13000)

272.54

272.54

272.54

272.54

272.54

272.54

272.54

272.54

272.54

272.54

272.54


Для распределения температуры по толщине шара для различных моментов времени составлены таблицы, для стального (табл. 2) и резинового шара (табл.3).

Построены графики зависимости температуры в различные моменты времени от толщины шара, для стали (рис.3) и резины (рис.4).

Также можно найти температуру в любых точках шара при малых значениях Фурье.

 






Рис. 5. Распределение температуры по толщине шара при малых значениях Fo (сталь).










Рис. 6. Распределение температуры по толщине шара при малых значениях Fo (резина).

По результатам, полученным для малых значений Fo, построены графики распределения температуры по толщине шара, для различных моментов времени, для стали (Рис. 5) и резины (Рис. 6)

Анализ графика распределения температуры по толщине шара при малых значениях Fo для шара из резины (Рис. 6):

Произведем расчет безразмерной температуры для шара из резины при 50 секундах, различными формулами для нахождения безразмерной температуры и сравним их:




Первая формула (1) определяет избыточную температуру по толщине шара при заданном значении Fo.

 

(2)

Вторая формула (2) отличается от первой тем, что в сумму ряда входит 10 членов ряда, что в 5 раз больше, чем в предыдущей.

(3)

В третьей формуле (3) используется 100 членов ряда, что в 50 раз больше, чем в первой формуле.



Четвертая формула – формула для нахождения избыточной температуры по толщине шара для малых значений Фурье.

По результатам расчета получен график, на котором, для удобства сравнения, объединены все 4 значения избыточной температуры (Рис. 6.1)












Рис. 6.1. Распределение температуры по толщине шара (резина).

Из графика видно, что первые две формулы дают слишком большие погрешности, для удобства сравнения 3 и 4 формулы увеличим масштаб графика (Рис. 6.2)











Рис. 6.2. Распределение температуры по толщине шара (резина).

Использование формулы (3) дает большую точность решения, но в узко ограниченной области толщины шара(r=0.485-0.5м), на остальном промежутке значений радиуса шара погрешность формулы (3) гораздо больше формулы (4).

Проверим точность этих формул, задав точку радиуса шара вблизи поверхности (r=0.495м), варьируя значении параметра Фурье от 0 до 1.

По результатам расчетов построен график зависимости избыточной температуры от параметра Фурье (Рис. 6.3).Также построен еще один график зависимости избыточной температуры от параметра Фурье, но в более ограниченной области (Рис. 6.4).

Рис. 6.2. Зависимости Θ от Fo (резина).

Рис. 6.3. Зависимости Θ от Fo (резина).

Распределение температуры по толщине шара из стали (табл. 4) и резины (табл.5), в различные моменты времени, сведены в таблицы.

Таблица 5. Распределение температуры для шара из стали

r

0

0.05

0.1

0.15

0.2

0.25

0.3

0.35

0.4

0.45

0.5

T(r,6000)

495.29

597.74

760.37

971.55

1216.1

1476.5

1733.3

1968.7

2163.5

2302.2

T(r,6500)

899.89

931.29

1023.2

1168.9

1358.0

1576.6

1808.6

2036.8

2243.6

2412.5

2528.8

T(r,7000)

1350.5

1378.4

1459.8

1588.9

1755.9

1948.6

2152.3

2351.3

2529.6

2672.0

2765.2

T(r,7500)

1806.5

1830.9

1902.2

2015.1

2160.8

2328.3

2504.3

2674.5

2824.6

2940.6

3010.1

Таблица 6. Распределение температуры для шара из резины

r

0

0.05

0.1

0.15

0.2

0.25

0.3

0.35

0.4

0.45

0.5

T(r,300)

273.00

273.00

273.00

273.00

273.00

273.00

273.00

273.00

273.00

273.00

T(r,600)

273.00

273.00

273.00

273.00

273.00

273.00

273.00

273.00

273.00

272.97

450.62

T(r,1000)

273.00

273.00

273.00

273.00

273.00

273.00

273.00

273.00

273.00

270.29

569.94

T(r,2000)

273.00

273.00

273.00

273.00

273.00

273.00

273.00

273.00

272.98

180.45

868.71


4. Анализ решения

Из уравнения:




видно, что относительная избыточная температура прямо пропорциональна критерию Pd, т. е. скорость нагревания окружающей среды непосредственно влияет на повышение температуры тела в любой его точке.

Ряд в решении быстро сходится, и поэтому для квазистационарного режима, определяемого условием Fo>Fo1, им можно пренебречь.

При Bi →∞ температура поверхности шара будет линейной функцией времени. решение для безразмерной температуры можно записать в виде:

С

делав оценку ряда для центра шара (r=0), решение можно записать как:



где   



Используя эти уравнения можно найти количество членов ряда, необходимое для получения точного решения:

,

где К - количество членов ряда


Рис. 7.Зависимость суммы ряда от количества членов ряда

Таблица 7.

φ(0.01,K)

1.1016

0.8968

0.9523

0.9367

0.9408

0.9398

0.9400

0.9399

0.9400

0.94

φ(0.05,K)

0.7422

0.7000

0.7015

0.7016

0.7016

0.7016

0.7016

0.7016

0.7016

φ(0.1,K)

0.4532

0.4473

0.4473

0.4473

0.4473

0.4473

0.4473

0.4473

0.4473

0.4473

φ(0.5,K)

0.0087

0.0087

0.0087

0.0087

0.0087

0.0087

0.0087

0.0087

0.0087

0.0087


Можно получить график зависимости величины суммы ряда для различных значений числа Фурье от количества членов ряда(Рис. 7). А также составить таблицу значений величины суммы ряда (табл. 7).

Проанализировав полученные решения можно сделать вывод, что для получения точного значения безразмерной температуры, можно брать только один член ряда, при условии Fo>0.1.

Определяем удельный расход тепла необходимый для нагрева шара из стали и резины, используя уравнение:

 












Рис. 8. Сравнение удельных расходов

Для удобства сравнения, величины расхода для обоих шаров, построены на одном графике зависимости удельного расхода от времени (Рис. 8). Q1 - удельный расход тепла, необходимый для нагрева шара из стали, Q2 - удельный расход тепла, необходимый для нагрева шара из резины.

Вывод

Кривая, отображающая расход необходимый для нагрева стального шара, располагается ниже кривой шара из резины, из-за того, что сталь имеет гораздо меньшую удельную теплоемкость, чем резина (теплоемкость резины почти в 3 раза выше теплоемкости стали). А так как удельная теплоемкость численно равна количеству теплоты, которое необходимо подвести к телу, чтобы повысить его температуру на 1 градус, то для нагрева стального шара потребуется гораздо меньшее количество тепла. Кроме того, коэффициент теплопроводности стали больше коэффициента теплопроводности резины почти в 280 раз, а так как коэффициента теплопроводности характеризует способность вещества проводить теплоту, следовательно стальной шар будет прогреваться по толщине гораздо быстрее, что уменьшит общие затраты передаваемого, телу тепла.

Список литературы

1. Лыков А. В. Теория теплопроводности. М., 2002

2. Исаченко В. П., Осипова В. А., Сукомел А. С. Теплопередача. М., 1995

3. Цой П. В. Методы расчета задач тепломассопереноса. М., 1994


Не нашли материал для своей работы?
Поможем написать уникальную работу
Без плагиата!
Без нейросетей!