Спиновый дихроизм нейтронов и ядерный псевдомагнетизм
МИНИСТЕРСТВО
ОБРАЗОВАНИЯ РЕСПУБЛИКИ БЕЛАРУСЬ
УЧРЕЖДЕНИЕ
ОБРАЗОВАНИЯ
«БРЕСТСКИЙ
ГОСУДАРСТВЕННЫЙ УНИВЕРСИТЕТ имени А.С. Пушкина»
КУРСОВАЯ
РАБОТА
по
теоретической физике
Спиновый дихроизм
нейтронов и ядерный псевдомагнетизм
Брест, 2010
Оглавление
Введение
1.1 Спиновый дихроизм нейтронов
1.2. Ядерный псевдомагнетизм
2.1 Получение выражения для амплитуды
рассеяния нейтрона в ядерной среде
2.2 Существование 2 показателей
преломления ядерной среды
2.3 Расчет зависимости поляризации от
пройденного нейтронным пучком расстояния и зависимости угла поворота от
расстояния
2.4 Энергия нейтрона в ядерной среде.
Зависимость от направления спина нейтрона по отношению к вектору поляризации
ядер
2.5 Получение выражения для ядерного
псевдомагнитного поля
Заключение
Список использованной литературы
Введение
Спиновый
дихроизм проявляется в
асимметрии пропускания через образец поляризованных нейтронов с разным спином,
а также в появлении продольной поляризации при прохождении через вещество
первоначально неполяризованных нейтронов. По-иному, дихроизм – это
существование 2 показателей преломления для частиц с различным знаком проекции
спина (спиральности).
Это
явление возникает в обычной оптике из-за разницы в полных сечениях рассеяния
для состояний фотона с различной спиральностью «+» и «–», а в нейтронной оптике
из-за разницы в полных сечениях рассеяния для состояний нейтрона с различной
проекцией спина «+» и «–». С другой стороны, мнимая часть амплитуды или
коэффициента преломления связана с полным сечением по оптической теореме,
следовательно, нейтроны, имеющие разную спиральность, будут по-разному
поглощаться в веществе, в результате либо появляется поляризация первоначально
неполяризованного пучка, либо разный коэффициент пропускания для нейтронов,
поляризованных вдоль и против импульса.
1.1 Спиновый дихроизм
нейтронов
Дихроизм (от греч. díchroos
- двухцветный) - один из видов проявления плеохроизма, различная окраска
одноосных кристаллов (обладающих двойным лучепреломлением) в проходящем свете
при взаимно перпендикулярных направлениях наблюдения - вдоль оптической оси и
перпендикулярно к ней. Например, кристалл апатита, освещаемый белым светом,
кажется на просвет светло-жёлтым, если смотреть по направлению оптической оси,
и зелёным - в перпендикулярном направлении. Окраску кристалла в указанных
условиях наблюдения называют, соответственно, "осевой" и
"базисной". При прочих направлениях наблюдения кристалл также виден
окрашенным (в какой-либо из промежуточных цветов), т. е. дихроизм представляет
собой частный случай плеохроизма как многоцветности кристаллических фаз.
Дихроизм обусловлен различием спектров поглощения кристалла для световых лучей,
имеющих разное направление и поляризацию. Для одноосных кристаллов различают
две "главные" (основные) окраски - при наблюдении вдоль оптической
оси и перпендикулярно к ней [6].
А теперь с помощью
таблицы рассмотрим, в чем сходство спинового дихроизма нейтронов с эффектом
Фарадея
Таблица 1.1 –
Сравнительная характеристика спинового дихроизма нейтронов с эффектом Фарадея
|
эффект Фарадея
|
ядерная прецессия спина нейтрона
|
|
частица
|
фотон
|
Медленные нейтроны
|
|
среди каких частиц движется
|
Поляризованные по спину электроны
|
Поляризованные по спину ядра
|
|
наличие спиновой поляризации
|
Да (электроны)
|
Да (ядра)
|
|
в чем проявляется дихроизм
|
Различные показатели преломления и
коэффициенты поглощения для фотона
|
Различные показатели преломления и
коэффициенты поглощения для нейтрона
|
|
сущность эффекта
|
Плоскость поляризации поворачивается
на угол
|
По мере прохождения в глубь мишени
с поляриз. ядрами вектор поляризации нейтрона поворачивается на
|
|
кто открыл
|
Фарадей, 1845г.
|
Группы Абрагама и Форте, 1970-е г.
(предсказана в 1964 г. В. Г. Барышевским и М. И. Подгорецким)
|
1.2 Ядерный
псевдомагнетизм
Нейтрон, как известно,
обладает спином и собственный магнитный момент. Известно ,что любая частица
обладающая собственным магнитным моментом при попадании в обычное магнитное
поле испытывает прецессию собственного магнитного момента (ларморовская
прецессия). Следовательно, должен испытывать ее и нейтрон. Но когда нейтрон оказывается
среди поляризованных ядер, то прецессию испытывает не собственный магнитный
момент, а спин. Но поскольку спин неразрывно связан с магнитным моментом, то
это все равно что если бы воздействие поляризованных ядер на нейтрон можно было
бы представить в виде поля, чем то похожее на магнитное, действующее на
собственный магнитный момент нейтрона (как при ларморовской прецессии), но
имеющего совсем иную природу (ядерную).
Данный обзац можно
отобразить в виде сравнительной характеристики обычного магнитного поля и
ядерного псевдомагнитного поля
Таблица 1.2 - Сравнительная
характеристика обычного магнитного поля и ядерного псевдомагнитного поля
|
Характеристики
|
Магнитное поле
|
Ядерное псевдомагнитное поле
|
|
1.Каким фундаментальным взаимодействием обусловлено?
|
Электромагнитным
|
ядерным
|
|
2. Может ли его воздействию подвергаться электрон, протон,
нейтрон?
|
Да; да; да
|
Нет; да; да
|
|
3. Может ли создаваться движущими заряженными частицами?
|
Да
|
Нет
|
|
4. Возможно ли квантование энергии по Ландау для частицы в таком
поле?
|
Да
|
Нет
|
|
5. Какой тип прецессии спина (или магн. момента) нейтрона
наблюдаться в таком поле?
|
ларморовская
|
ядерная
|
|
6. Опыт по разделению пучков поляризованных частиц в
соответствующем поле?
|
Штерна - Герлаха
|
|
7. Может ли существовать в вакууме?
|
Да
|
Нет
|
Волновая функция
Волновая функция (функция
состояния, пси-функция, амплитуда вероятности) — комплексная функция,
используемая в квантовой механике для вероятностного описания состояния
квантовомеханической системы. В широком смысле — то же самое, что и вектор
состояния.
Вариант названия
«амплитуда вероятности» связан со статистической интерпретацией волновой
функции: вероятность нахождения частицы (или физической системы) в данном
состоянии равна квадрату абсолютного значения амплитуды вероятности этого
состояния.
Волновая функция зависит
от координат (или обобщённых координат) системы и формируется таким образом,
чтобы квадрат её модуля представлял собой плотность вероятности (для дискретных
спектров — просто вероятность) обнаружить систему в положении, описываемом
координатами.
Набор координат, которые
выступают в роли аргументов функции, представляет собой полный набор физических
величин, которые можно измерить в системе. В квантовой механике возможно
выбрать несколько полных наборов величин, поэтому волновая функция одного и
того же состояния может быть записана от разных аргументов. Выбранный для
записи волновой функции полный набор определяет представление волновой функции.
Так, возможны координатное представление, импульсное представление, в квантовой
теории поля используется вторичное квантование и представление чисел заполнения
или представление Фока и др.
Если волновая функция,
например, электрона в атоме, задана в координатном представлении, то квадрат
модуля волновой функции представляет собой плотность вероятности обнаружить
электрон в той или иной точке пространства. Если эта же волновая функция задана
в импульсном представлении, то квадрат её модуля представляет собой плотность
вероятности обнаружить тот или иной импульс.
Для волновых функций
справедлив принцип суперпозиции.
Волновая функция в
квантовой механике, величина, полностью описывающая состояние микрообъекта
(например, электрона, протона, атома, молекулы) и вообще любой квантовой
системы (например, кристалла).
Описание состояния
микрообъекта с помощью волновой функции имеет статистический, т. е.
вероятностный характер: квадрат абсолютного значения (модуля) волновая функция
указывает значение вероятностей тех величин, от которых зависит волновой
функции Например, если задана зависимость волновой функции частицы от координат
х, у, z и времени t, то квадрат модуля этой волновой функции определяет
вероятность обнаружить частицу в момент t в точке с координатами х, у, z.
Поскольку вероятность состояния определяется квадратом Волновой функции, её
называют также амплитудой вероятности.
Волновая функция
одновременно отражает и наличие волновых свойств у микрообъектов. Так, для
свободной частицы с заданным импульсом р и энергией E, которой сопоставляется
волна де Бройля с частотой ω = E/ђ и длиной волны λ = ђ/p (где ђ —
постоянная Планка), Волновая функция должна быть периодична в пространстве и
времени с соответствующей величиной λ и периодом Т = 1/v.
Для волновой функции
справедлив суперпозиций принцип: если система может находиться в различных
состояниях с волновой функции ψ1, ψ2.., то возможно и состояние с
Волновой функции, равной сумме (и вообще любой линейной комбинации) этих
Волновая функция Сложение Волновой функции (амплитуд вероятностей), а не
вероятностей (квадратов Волновой функции) принципиально отличает квантовую
теорию от любой классической статистической теории (в которой справедлива
теорема сложения вероятностей)[4].
Амплитуда рассеяния.
Амплитуда рассеяния в
квантовой теории столкновений – величина, количественно описывающая
столкновение микрочастиц.
Пучок падающих на мишень
частиц (с определённым импульсом) рассеивается; при этом частицы могут
отклониться в любом направлении. Относительное число частиц, вылетающих под
разными углами к первоначальному направлению пучка, зависит от конкретного
закона взаимодействия рассеиваемых частиц с частицами мишени. Вероятность
рассеяния частицы под данным углом определяется амплитуда рассеяния.
Одна из основных
количественных характеристик, как упругого рассеяния, так и неупругих
процессов, — эффективное поперечное сечение процесса (называемое обычно просто
сечением) — величина, пропорциональная вероятности процесса и имеющая
размерность площади. Измерение сечений процессов позволяет изучать законы
взаимодействия частиц, исследовать структуру частиц. Например, классическими
опытами Э. Резерфорда по рассеянию a-частиц атомами было установлено
существование атомных ядер (см. Резерфорда формула); из опытов по рассеянию
электронов большой энергии на протонах и нейтронах (нуклонах) получают
информацию о структуре нуклонов; эксперименты по упругому рассеянию нейтронов и
протонов протонами позволяют детально исследовать ядерные силы и т.д [5].
Поляризация нейтронного
пучка.
Если
к нейтрону приложить электрическое поле E, то он слегка деформируется,
поскольку к положительному и отрицательному составляющим его зарядам будут
приложены противоположные силы. Возникнет наведенный электрический дипольный
момент dα, причем его величина будет пропорциональна величине приложенного
поля: dα = αn · E.
Здесь
αn — так называемая электрическая поляризуемость нейтрона. Она
характеризует "жесткость" нейтрона, т.е. его внутреннюю структуру. Ее
удалось измерить только в 1991 году (группа Шмидмайера в Австрии). Оказалось αn
= (1, 20 ± 0, 20) · 10-3 Фм3, здесь использована единица
длины: ферми (1 Фм = 10-13 см), которая имеет порядок размера нуклона. Такая
поляризуемость соответствует возникновению наведенного ЭДМ dα ≈ 10-27
е·см, если к нейтрону приложить поле ≈ 108 В/см, которое
соответствует по порядку величины межатомным полям в веществе и приблизительно
в 103 раз превосходит поля, достижимые в лаборатории. Конечно, даже
такая величина поля совершенно недостаточна, чтобы привести к какомулибо
наблюдаемому эффекту. Гораздо более сильные электрические поля имеются вблизи
поверхности атомного ядра, например, вблизи ядер свинца они могут достигать
величин ≈ 1021 В/см. Именно эти поля и удалось использовать
для измерения электрической поляризуемости нейтрона при рассеянии нейтронов на
атомах свинца[2].
2.1 Получение выражения
для амплитуды рассеяния нейтрона в ядерной среде.
Рассмотрим
в виде таблицы как может осуществляться последовательный переход от движения
сводного нейтрона к движению среди множества ядер.
Таблица
2.1.1 – Сравнительная характеристика волновых функций нейтрона в различных
ситуациях
|
Мишень
(ядро)
|
ВФ нейтрона после рассеяния
без учета спинов ВФ
|
ВФ нейтрона после рассеяния с учетом спинов ВФ
|
|
отсутствие
|
|
|
|
Ядро в точке
|
|
|
|
Ядро в точке
|
|
|
|
Множество ядер в точках
|
|
|
- спиновая волновая функция ядер
P=<J>/J –
вектор поляризации ядер
Таблица 2.1.2
сравнительная характеристика координатного и спинового усреднения волновой
функции
|
этап
|
1
|
2
|
|
По спиновому состоянию ядер
|
По координатам ядер
(по пространственному положению)
|
|
Что происходит
|
Исчезает преумножение спинов ВФ, а амплитуда рассеивания примет
вид
|
Исчезает ∑ по ядрам, а вместо нее появляется плотность
|
|
Конечная формула
|
|
|
2.2 Существование 2
показателей преломления ядерной среды (спиновый дихроизм).
Если волна проходит слой
поляризованного вещества конечной толщины, то для показателя преломления для
неполяризованной мишени, получим, что показатель преломления нейтронов со
спином, параллельным p,
(1)
Для нейтронов с
противоположной поляризацией
(2)
Разность
(3)
определяется разностью
соответствующих когерентных амплитуд рассеяния и отлична от нуля только в
поляризованной среде.
Таким образом, в
поляризованной ядерной мишени нейтроны обладают двумя показателями преломления.
Пусть на поляризованную
среду падают нейтроны, вектор поляризации которых ориентирован под некоторым
углом к направлению p. Такое состояние
нейтрона можно рассматривать как суперпозицию двух состояний с поляризациями по
вектору p и против него. Начальная волновая
функция частицы тогда имеет вид

(4)
(5)
Изучим преломление на
мишени
(6)
(7)
Состояние типа
обладает показателем преломления n+, а состояние типа
– показателем преломления n-, то волновая функция нейтрона в поляризованной среде
изменяется с глубиной следующим образом:
(8)
Используя это выражение,
можно найти вектор поляризации нейтрона
(9)
Тройка матриц Паули

(10)
В результате получаем
(11)
(12)
(13)
(14)
(15)
(16)
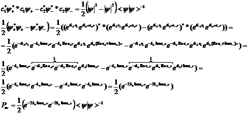
Предположим, что спин
нейтронов в вакууме направлен перпендикулярно к вектору поляризации ядер.
Выберем это направление в качестве оси X. В этом случае c1=c2=1/21/2
(17)
(18)
(19)
По мере прохождения в
глубь мишени вектор поляризации нейтрона поворачивается вокруг направления
вектора поляризации ядер на угол
(20)
(21)
И тогда получаем:
(22)
2.4 Энергия нейтрона в
ядерной среде. Зависимость от направления спина нейтрона по отношению к вектору
поляризации ядер
По мере прохождения в
глубь мишени с поляризованными ядрами вектор поляризации нейтрона
поворачивается. С точки зрения кинематики это явление вполне аналогично
магнитному вращению плоскости поляризации света (эффект Фарадея).
Вывод о вращении спина нейтрона
в поляризованной мишени можно получить и из других соображений.
Вследствие того что в
поляризованной ядерной мишени нейтронная волна обладает двумя показателями
преломления, в такой мишени она обладает двумя возможными энергиями
взаимодействия U+- (в зависимости от спинового
состояния волны):
(23)
или, аналогично в
операторном виде
(24)
2.5 Получение выражения
для ядерного псевдомагнитного поля
Рассмотрим теперь
движение нейтрона в магнитном поле H. В этом случае энергия взаимодействия W+ частицы с магнитным моментом, параллельным H , дается хорошо известным выражением
W+ = -μ H (μ- магнитный момент нейтрона), а аналогичная величина для частицы
с противоположным направлением спина – выражением W- =μH.
Наличие отличной от нуля разности W+ - W-=-2μH
приводит к ларморовской прецессии спина нейтрона в магнитном поле H с частотой [24]
(25)
За время t спин повернется на угол υ =
ωt. Если магнитное поле сосредоточено в
слое толщиной l, то нейтрон, влетающий в область,
занятую полем, под некоторым углом, пройдет этот слой за время t = l/√z.
Следовательно, его спин повернется на угол
(26)
что полностью совпадает с
полученным ранее результатом.
Продолжая далее
аналогично с магнитным полем, естественно для описания прецессии спина
нейтрона, вызванной ядерным взаимодействием (ниже мы будем называть ее ядерной
прецессией), ввести эффективное магнитное поле
(27)
которое приводит к
прецессии с той же частотой ω, что и обычное магнитное поле H . Отметим, что в области энергий
нейтрона, в которой амплитуда рассеяния постоянна, частота ω также
является постоянной, характеризующей вращательную способность вещества,
обусловленную ядерным взаимодействием. Это имеет место для малых энергий
нейтронов. При увеличении скорости частота прецессии спина начинает зависеть от
энергии; в частности, вблизи каждого из резонансов частота резко возрастает, а
при прохождении резонанса вследствие изменения знака реальной части амплитуды
рассеяния изменяется знак. Напомним (см., например, [2,22]),
что вблизи резонанса амплитуда рассеяния
(28)
где E – энергия частицы; E0 – энергия резонанса; Г – ширина
резонансного уровня. Вследствие соотношения (6,29) величина эффективного
квазимагнитного поля ядерного происхождения в области низких энергий является
постоянной, характеризующей данное вещество, а при более высоких энергиях
зависит от энергии. Для поляризованной протонной мишени, например, в случае
полной поляризации ω ≈ 5*108 с-1, Hэф ≈ 3*104Гс = 3 Тл и
на два порядка превосходит обычное магнитное поле, создаваемое поляризованными
магнитными моментами протонов. В этих же условиях для тепловых нейтронов u = 2,2*105 см*с-1
длина L, на которой произойдет полный
поворот спина, равна L ≈ 10-3
см.
С учетом сказанного выше
мы можем записать уравнение Шредингера для когерентной волны, взаимодействующей
с поляризованной мишенью, помещенной в магнитном поле B:
(29)
(30)
где μ = μσ
– оператор магнитного момента нейтрона. Заметим, что Ǔ(r) можно переписать следующим образом:
(31)
где
эффективное
квазимагнитное ядерное поле[1].
Заключение
Взаимодействие
нейтронов с атомами является сравнительно слабым, что позволяет нейтронам
достаточно глубоко проникать в вещество — в этом их существенное преимущество
по сравнению с рентгеновскими и γ-лучами, а также пучками заряженных
частиц. Из-за наличия массы нейтроны при том же импульсе (следовательно, при
той же длине волны) обладают значительно меньшей энергией, чем рентгеновские и γ-лучи,
и эта энергия оказывается сравнимой с энергией тепловых колебаний атомов и
молекул в веществе, что дает возможность изучать не только усредненную
статическую атомную структуру вещества, но и динамические процессы, в нем
происходящие. Наличие магнитного момента у нейтронов дает уникальную
возможность использовать их для изучения магнитной структуры и магнитных
возбуждений вещества, что очень важно для понимания свойств и природы
магнетизма материалов.
Рассеяние
нейтронов атомами обусловлено, в основном, ядерными силами, следовательно,
сечения их когерентного рассеяния никак не связаны со строением электронных
оболочек атомов. Поэтому "освещение" материалов нейтронами позволяет
различать положения атомов легких (водород, кислород и др.) элементов,
идентификация которых почти невозможна с использованием рентгеновских и γ-лучей.
По этой причине нейтроны успешно применяются при изучении биологических
объектов, в материаловедении, в медицине и др. областях.
Список использованной
литературы
1.
В.Г. Барышевский.
Ядерная оптика поляризованных сред. М.: Энергоатомиздат, 1995.-320с.
2.
В.В. Федоров.
Нейтронная физика. СПб.: изд-во ПИЯФ, 2004. 334стр.
3.
И.В. Савельев.
Курс общей физики. Том 3. М.: Наука, Гл. ред. физ-мат. лит., 1970.— 537с.
4.
http://mirslovarei.com/content_bes/Dixroizm-19067.html