Исследование резонанса в одиночных колебательных контурах
Белорусский
государственный университет информатики и радиоэлектроники
Кафедра
теоретических основ электротехники
Отчёт по
лабораторной работе №4
ПО ТЕМЕ: “ИССЛЕДОВАНИЕ
РЕЗОНАНСА В ОДИНОЧНЫХ КОЛЕБАТЕЛЬНЫХ КОНТУРАХ”
Выполнил:
Студент группы 851003
Куликов С.С.
Проверил:
Преподаватель
Коваленко В.М.
Минск, 1999
1. ЦЕЛЬ РАБОТЫ
Экспериментально исследовать частотные и резонансные
характеристики последовательного контура, влияние активного сопротивления на
вид резонансных кривых. Ознакомиться с настройкой последовательного контура на
резонанс с помощью ёмкости.
2. ПОСЛЕДОВАТЕЛЬНЫЙ КОНТУР
Рис. 1. Схема цепи
Таблица-1 (“Исходные данные”)
|
U, В
|
rk, Ом
|
Lk, Гн
|
C, мкФ
|
W, витков
|
|
3,0
|
35
|
0,25
|
5
|
2400
|
3. ТЕОРЕТИЧЕСКИЙ РАСЧЁТ
Определение угловой частоты:
Определение циклической частоты:
Определение характеристического сопротивления:
Определение добротности:
;
Резонансная характеристика тока:

;
Величина тока при резонансе:
Рис. 2. Резонансная кривая тока.
Частотная характеристика напряжения на ёмкости:
;
Резонансная частота напряжения на ёмкости:
Напряжение на конденсаторе при резонансе:
;
Частотная характеристика напряжения на индуктивности:
;
Резонансная частота напряжения на индуктивности:
Напряжение на индуктивности при резонансе:
Полное сопротивление контура:
Рис. 3. Резонансные кривые напряжений на ёмкости и
индуктивности
4. ПРАКТИЧЕСКИЙ РАСЧЁТ
Рис.4. Схема
Таблица 2.
Зависимость тока и напряжений на индуктивности и ёмкости от
частоты при r1=0
|
f0, Гц
|
50
|
70
|
90
|
120
|
130
|
140
|
|
I(f), мА
|
6
|
9
|
15
|
27
|
36
|
57
|
85
|
|
UC(f), B
|
3,5
|
3,9
|
4,5
|
6,5
|
9,3
|
14,3
|
20,1
|
|
UL(f), B
|
0,5
|
0,9
|
1,6
|
3,9
|
6,3
|
11,2
|
19,7
|
|
f0, Гц
|
150
|
170
|
190
|
210
|
230
|
270
|
300
|
|
I(f),мА
|
77
|
40
|
25
|
19
|
15
|
10
|
8
|
|
UC(f),B
|
16,7
|
8,2
|
4,2
|
3,1
|
2,1
|
1,2
|
0,7
|
|
UL(f),B
|
14,3
|
12,1
|
7,1
|
6,1
|
4,9
|
4,1
|
3,9
|
Таблица 3.
Зависимости тока и напряжений на индуктивности и ёмкости от
частоты при r1<>0
|
f0, Гц
|
50
|
70
|
90
|
110
|
120
|
130
|
140
|
|
I(f), мА
|
8
|
14
|
23
|
31
|
41
|
49
|
|
UC(f), B
|
3,4
|
3,8
|
4,8
|
7,1
|
8,1
|
10,1
|
11,1
|
|
UL(f), B
|
0,4
|
0,8
|
1,9
|
4,9
|
5,7
|
8,3
|
10,1
|
|
f0, Гц
|
150
|
170
|
190
|
210
|
230
|
270
|
300
|
|
I(f),мА
|
46
|
30
|
20
|
16
|
13
|
9
|
7,9
|
|
UC(f),B
|
9,7
|
5,6
|
3,5
|
2,4
|
1,8
|
1,1
|
0,6
|
|
UL(f),B
|
9,9
|
7,9
|
6,2
|
5,2
|
4,7
|
4,0
|
3,8
|
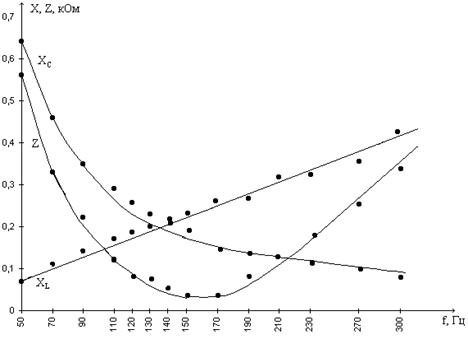
Частотные характеристики Xc(f), XL(f), ZK(f).
Реактивные сопротивления ёмкости и индуктивности и полное
сопротивление цепи определяются по формулам:
Рис. 5. Зависимость реактивных сопротивлений элементов и
полного сопротивления цепи от частоты.
Таблица 4.
Зависимость реактивных сопротивлений элементов и полного
сопротивления цепи от частоты при r1=0.
|
f, Гц
|
50
|
70
|
90
|
110
|
120
|
130
|
140
|
|
XC(f), кОм
|
0,46
|
0,35
|
0,29
|
0,27
|
0,25
|
0,23
|
|
XL(f), кОм
|
0,07
|
0,11
|
0,14
|
0,17
|
0,19
|
0,20
|
0,22
|
|
Z(f), кОм
|
0,56
|
0,33
|
0,22
|
0,12
|
0,09
|
0,05
|
0,04
|
|
f, Гц
|
150
|
170
|
190
|
210
|
230
|
270
|
300
|
|
XC(f), кОм
|
0,21
|
0,19
|
0,17
|
0,15
|
0,14
|
0,12
|
0,11
|
|
XL(f), кОм
|
0,24
|
0,27
|
0,29
|
0,33
|
0,36
|
0,42
|
0,47
|
|
Z(f), кОм
|
0,04
|
0,09
|
0,14
|
0,18
|
0,23
|
0,30
|
0,37
|
Характеристическое сопротивление r.
Характеристическое сопротивление контура определяется по
точке пересечения частотных характеристик на частоте 142 Гц. В точке
пересечения реактивные сопротивления катушки индуктивности и ёмкости равны
между собой и составляют примерно 210-220 Ом. Теоретическое расчётное значение
характеристического сопротивления и экспериментальное значение совпадают с
достаточной точностью.
Резонансные характеристики контура I(f), UK(f), UC(f):
Рис.6. Зависимость тока от частоты сигнала
Рис.7. Зависимость напряжения на реактивных элементах от
частоты сигнала
Определение добротности Q:
а) При r1=0
По напряжениям на катушке индуктивности и ёмкости в
момент резонанса. f0=142 Гц
;
По ширине полосы пропускания резонансной кривой тока на
уровне
I=0,7×I0=0,7×87= 60 мА.
б) При r1=50 Ом
По напряжениям на катушке индуктивности и ёмкости в
момент резонанса
;
По ширине полосы пропускания резонансной кривой тока на
уровне
I=0,7×I0=0.7*53=
36 мА.
По отношению характеристического и активного
сопротивлений контура.
Векторная диаграмма тока и напряжений для частоты
f<f0.
f=130 Гц, mU=2 В/см.
Векторная диаграмма тока и напряжений для частоты f=f0
f=142 Гц, mU=2 В/см, Ur1=U
Векторная диаграмма тока и напряжений для частоты f>f0
f=150 Гц, mU=2 В/см
Таблица 5.
Зависимости тока и напряжений на катушке и конденсаторе от
ёмкости (f=100 Гц).
|
C, мкФ
|
0
|
1
|
2
|
3
|
4
|
5
|
6
|
7
|
8
|
9
|
10
|
|
I(C), мА
|
0
|
1
|
5
|
7,5
|
10
|
12,5
|
13,8
|
19
|
40
|
48
|
67
|
|
UC(f), B
|
3
|
3,4
|
3,5
|
3,7
|
3,8
|
4,1
|
4,6
|
6,5
|
7,5
|
8,3
|
9,5
|
|
UL(f), B
|
0,1
|
0,3
|
0,6
|
1
|
1,2
|
1,6
|
2,1
|
3,8
|
5,1
|
6,2
|
8,1
|
|
C, мкФ
|
11
|
12
|
13
|
14
|
16
|
17
|
18
|
19
|
20
|
|
|
I(C), мА
|
72
|
74
|
78
|
77
|
73
|
67
|
63
|
57
|
49
|
43
|
|
|
UC(f), B
|
9,8
|
10
|
10,3
|
9
|
8
|
6,9
|
6,1
|
5,1
|
4,2
|
4,1
|
|
|
UL(f), B
|
8,4
|
9,5
|
10
|
10
|
9,5
|
8,8
|
8,3
|
7,5
|
7,2
|
7,1
|
|
Рис. 8 Частотные характеристики тока и напряжений
последовательного контура на частоте 100 Гц при изменении ёмкости
ВЫВОД
Последовательный контур представляет собой электрическую
цепь, состоящую из последовательно соединённых активного сопротивления, ёмкости
и индуктивности. Резонанс напряжений в последовательной цепи возникает на
частоте, при которой реактивные сопротивления ёмкости и индуктивности равны. На
резонансной частоте сопротивление последовательного контура минимально и равно
активному сопротивлению цепи. Падения напряжений на ёмкости и индуктивности и
ток в цепи достигают максимальных значений.
На частотах, ниже резонансной, сопротивление последовательного
контура имеет ёмкостной характер. На частотах, выше резонансной, ¾ индуктивный
характер.
Добротность последовательного контура зависит от величины
активного сопротивления и возрастает с уменьшением сопротивления.
Резонанс напряжений в последовательном контуре
достигается изменением реактивных параметров схемы или частоты сигнала.
Изменение ёмкости ¾
наиболее применяемый способ достижения резонанса.