Анализ зависимости условного периода, логарифмического декремента затухания и добротности контура от его параметров (L,C,R)
Курсовая
работа
по
физике
на
тему: Анализ зависимости условного периода, логарифмического декремента
затухания и добротности контура от его параметров (L,C,R)
Введение
Некоторые значения установки:
С1 = 260 пФ
С2 = 140 пФ
С3 = 230 пФ
С4 = 430 пФ
Логарифмический декремент затухания вычислим по
следующей формуле:
,
где
А1, А2, А3 и А4 - значения последовательных амплитуд, определенных по графику.
Задание
1. Проверка зависимости периода колебаний от ёмкости и определения
индуктивности катушки
Установим
переключатели магазина сопротивлений в нулевое положение.
Установим
значение ёмкости С1 и получим на экране устойчивую картину затухающих
колебаний.
Измерим
логарифмический декремент затухания и проверим выполнение условия
. Если
условие выполнено, измерьте период колебаний.
Включим
ёмкость С1+ С2 и повторим п.3.
Повторим
все измерения для всех возможных ёмкостей. В результате получим набор пар
соответствующих значений (Сi, Тi), где i - номер опыта.
Теория
предсказывает зависимость между переменными:
Располагая
измеренными значениями Тi при различных Сi вычислим y и по формулам найдём a и
b.
Найдём
индуктивность.
Найдём
паразитную ёмкость С0 .
Вычислим
c2
Установим
с помощью магазина дополнительное сопротивление контура 1000-3000 Ом.
Повторим
пункты 2-11, определяя значение L. Оно отличается от найденного в начале из-за
того, что проволочные катушки магазина сопротивления также имеют заметную
индуктивность.
|
№
п/п
|
Значение
емкости контура С
|
А1
|
А2
|
А3
|
А4
|
Т
|
|
|
1.
|
С1
|
20.0
|
13.0
|
10.5
|
6.0
|
0.71
|
12.0
|
|
2.
|
С1
+ С2
|
20.0
|
12.5
|
9.5
|
4.5
|
0.88
|
14.0
|
|
3.
|
С1
+ С3
|
19.5
|
11.5
|
9.0
|
4.5
|
0.85
|
15.5
|
|
4.
|
С1
+ С2 + С3
|
18.5
|
11.0
|
8.0
|
4.0
|
0.92
|
17.0
|
|
5.
|
С1
+ С4
|
18.5
|
10.5
|
8.0
|
0.97
|
18.0
|
|
6.
|
С1
+ С2 + С4
|
18.0
|
9.5
|
7.5
|
3.5
|
0.94
|
19.0
|
|
7.
|
С1
+ С3 + С4
|
18.0
|
9.5
|
7.0
|
3.5
|
0.97
|
19.5
|
|
8.
|
С1
+ С2 + С3 + С4
|
17.0
|
9.0
|
6.5
|
3.0
|
0.98
|
21.0
|
пишешь для
каждого случая(1-8)
y
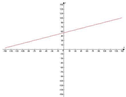
= 0.336´x + 55.55
DА = 0.013 Гн
DВ = 9.21
мкс2
L
= 9.3 мГн
DL = 0.3 мГн
С0
= 151.9 пФ
DС0 = 25.8 пФ
c2 = 0.0
Построим
график зависимости y(x).
Задание
2. Проверка зависимости логарифмического декремента затухания от сопротивления
контура
Установим
все переключатели магазина сопротивлений в нулевое положение.
Установим
значение ёмкости С1 и получим на экране устойчивую картину затухающих
колебаний. Затем измерим период колебаний.
Измерим
логарифмический декремент и проверим выполнение условия
.
Установим
на магазине сопротивлений 300 Ом и повторим измерение периода колебаний и
логарифмического декремента, опять проверив условие
.
Повторим
измерения периода логарифмического декремента при сопротивлении магазина 600
Ом, 900 Ом.
Убедимся
в независимости периода колебаний от сопротивления
Теория
предсказывает линейную зависимость между величиной сопротивления магазина при
постоянном токе (x=R) и логарифмическим декрементом y=
:
Вычислим
c2
Найдём
сопротивление катушки.
Включим
в контур ёмкость С1+ С2 и повторим пункты 1-9.
|
№
п/п
|
Значение
активного сопротивления R
|
А1
|
А2
|
А3
|
А4
|
T
|
|
1.
|
300
|
18.0
|
11.0
|
8.5
|
4.0
|
12.0
|
|
2.
|
600
|
16.5
|
9.0
|
7.0
|
3.0
|
|
3.
|
900
|
15.0
|
8.0
|
5.5
|
2.5
|
12.5
|
|
4.
|
1200
|
14.0
|
6.5
|
5.0
|
2.0
|
11.5
|
|
5.
|
1500
|
12.5
|
5.5
|
4.0
|
1.5
|
11.5
|
|
6.
|
1800
|
11.0
|
4.0
|
3.5
|
1.0
|
11.0
|
|
7.
|
2100
|
10.0
|
3.5
|
3.0
|
0.5
|
10.5
|
|
8.
|
2400
|
9.0
|
3.0
|
2.5
|
0.5
|
10.3
|
|
9.
|
2700
|
8.5
|
2.5
|
2.0
|
0.2
|
10.0
|
|
№
п/п
|
Teta
|
DTeta
|
|
1.
|
0.8810
|
0.0558
|
|
2.
|
0.9780
|
0.0714
|
|
3.
|
1.1948
|
0.0909
|
|
4.
|
1.2480
|
0.100
|
|
5.
|
1.4221
|
0.1250
|
|
6.
|
1.6123
|
0.1429
|
1.5749
|
0.1667
|
|
8.
|
1.8829
|
0.210
|
|
9.
|
1.9040
|
0.2213
|
y = 0.45´x + 0.74 (y - Teta,
x - R)
DА = 0.03 1/кОм
DВ = 0.05
c2 = 1.34
Построим график зависимости y(x).
Задание
3. Проверка зависимости сопротивления катушки от периода колебаний
Установим
в магазине сопротивлений все переключатели в нулевое положение.
Установим
значение ёмкости С1 получим на экране устойчивую картину затухающих колебаний и
измерим период Т и логарифмический декремент
.
По
формуле
вычислим
сопротивление катушки.
Повторим
измерения и вычисления сопротивления катушки при всех возможных значениях
ёмкости контура.
На
координатной плоскости по оси x откладываем значения
,
а
по оси y - R.
Убедимся
в линейной зависимости между x и y.
|
№
п/п
|
Значение
емкости контура С
|
А1
|
А2
|
А3
|
А4
|
 ТR
|
|
|
|
1.
|
С1
|
20.0
|
13.0
|
10.5
|
6.0
|
0.71
|
12.0
|
1.100
|
|
2.
|
С1
+ С2
|
20.0
|
12.5
|
9.5
|
4.5
|
0.88
|
14.0
|
1.169
|
|
3.
|
С1
+ С3
|
19.5
|
11.5
|
9.0
|
4.5
|
0.85
|
15.5
|
1.020
|
|
4.
|
С1
+ С2 + С3
|
18.5
|
11.0
|
8.0
|
4.0
|
0.92
|
17.0
|
1.006
|
|
5.
|
18.5
|
10.5
|
8.0
|
3.5
|
0.97
|
18.0
|
1.002
|
|
6.
|
С1
+ С2 + С4
|
18.0
|
9.5
|
7.5
|
3.5
|
0.94
|
19.0
|
0.920
|
|
7.
|
С1
+ С3 + С4
|
18.0
|
9.5
|
7.0
|
3.5
|
0.97
|
19.5
|
0.925
|
|
8.
|
С1
+ С2 + С3 + С4
|
17.0
|
9.0
|
6.5
|
3.0
|
0.98
|
21.0
|
1.089
|
пишешь
для каждого случая(1-8),потом расписываешь R
Значения
сопротивлений найдем с помощью формулы:
|
№
п/п
|
Teta
|
DTeta
|
|
1.
|
0.709
|
0.048
|
|
2.
|
0.833
|
0.053
|
|
3.
|
0.856
|
0.056
|
|
4.
|
0.925
|
0.063
|
|
5.
|
0.968
|
0.063
|
|
6.
|
0.937
|
0.067
|
|
7.
|
0.971
|
0.071
|
|
8.
|
1.030
|
0.077
|
y = 3.45´x + 0.16 (y - R)
DА = 0.744 Ом´мкс½
DВ = 0.191 Ом
c2 = 1.50
Построим график зависимости y(x).