Разработка перспективных регулярных автобусных маршрутов
Введение
Целью рассматриваемого
дипломного проекта является разработка перспективных регулярных международных
автобусных маршрутов с начальным пунктом отправления г. Гомель на
основании данных, полученных в ходе прохождения преддипломной практики на
Республиканском дочернем автотранспортном унитарном предприятии «Автобусный
парк №1» г. Гомеля.
В процессе разработки
дипломного проекта будут проведены анализ собранных данных и маркетинговые
исследования, касающиеся международных автобусных маршрутов, осуществляемых
вышеназванным предприятием. Основной задачей проведения анализа действующих
международных автобусных маршрутов является выявление наименее прибыльных
направлений и поиск причин данного явления для дальнейшего усовершенствования
наименее рентабельного маршрута с целью увеличения его рентабельности и спроса
со стороны пассажиров.
Процесс принятия решения
по усовершенствованию наименее рентабельного направления состоит из следующих
этапов:
I. Анализ всех действующих
международных регулярных автобусных маршрутов, выполняемых РДАУП «АП-1» г. Гомеля.
II. Маркетинговые
исследования, касающиеся выполняемых маршрутов. Будут выявлены основные
направления транспортного маркетинга, а также – обозначены задачи, на решение
которых должны быть направлены маркетинговые усилия для улучшения существующей
ситуации, и факторы, которыми пассажиры руководствуются при выборе перевозчика.
Кроме того, будут проведены маркетинговые исследования каждого международного
автобусного маршрута, в ходе выполнения которых будут выявлены причины низкой
или высокой рентабельности каждого направления.
III. Разработка вариантов
организации пассажирских перевозок в регулярном международном сообщении. Будут
предложены различные варианты перевозок пассажиров по наименее рентабельному
направлению, составлены расписания движения автобусов, графики работы водителей
и автобусов по разрабатываемым маршрутам.
IV. Технико-экономический
расчет по каждому предлагаемому варианту, сравнение всех вариантов по
экономическим критериям и выбор наиболее рационального среди них.
V. Охрана труда водителя
международного автобуса. Основное внимание при рассмотрении данного вопроса
будет уделено нормативу рабочего времени водителя, выполняющего международные
перевозки пассажиров.
VI. Разработка мероприятий по
снижению воздействия автотранспорта на окружающую среду при выполнении
перевозочного процесса. В рассматриваемом разделе будет произведен расчет
уровня загрязненности свинцом поверхностного слоя почвы на расстоянии l от оси крайней полосы
движения.
1. Анализ
перевозок пассажиров в международном сообщении
1.1 Анализ существующих
международных маршрутов
Республиканское дочернее
автотранспортное унитарное предприятие «Автобусный парк №1» (г. Гомель)
производит перевозку пассажиров в международном сообщении преимущественно по
шести направлениям:
ü
Гомель
– Трускавец (Украина);
ü
Гомель
– Феодосия (Украина);
ü
Гомель
– Чернигов (Украина);
ü
Гомель
– Москва (Российская федерация);
ü
Гомель
– Орел (Российская федерация);
ü
Гомель
– Климово (Российская федерация).
Схемы данных маршрутов представлены
соответственно на рисунках 1–6 приложения А, расписания движения автобусов по
маршрутам сведены в таблицы Б.1 – Б.6 приложения Б.
На маршруте Гомель – Москва
работают 2 перевозчика:
o РДАУП «Автобусный парк №1» (г. Гомель) на данном
направлении осуществляет рейсы ежедневно, при этом наполняемость автобусов
колеблется в пределах от 10 до 50%;
o «АТУП №2» (г. Мозырь) выполняет рейсы по пятницам.
Протяженность рейса составляет 706 км.;
время в движении – 14 часов и 30 минут; рейс включает 9 промежуточных пунктов,
которые представлены в таблице Б.1. Тариф на 1 пасс – км на данном маршруте
составляет 0,637 российского рубля. Стоимость проезда и провоза багажа на
данном маршруте представлена в таблице В.1.
На маршруте Гомель – Орел работают
два перевозчика: РДАУП «Автобусный парк №1» (г. Гомель) и клинковичское
АТП. Данные предприятия выполняют рейсы через день в противоположных
направлениях. Наполняемость автобусов на маршруте составляет 90–100%.
Протяженность рейса составляет 429 км.; время в движении – 11 часов и 25
минут; рейс включает 13 промежуточных пунктов, которые представлены в таблице
Б.2. Тариф на 1 пасс – км на данном маршруте составляет 0,65 российского рубля.
Стоимость проезда и провоза багажа на данном маршруте представлена в таблице
В.3.
С гомельского объединенного
автовокзала отправляются автобусы на Климово. Наполняемость рейсов, выполняемых
РДАУП «Автобусный парк №1» (г. Гомель) ежедневно, кроме понедельника,
составляет 90%. Кроме этого, на данном направлении работает и климовское АТП,
которое осуществляет ежедневные рейсы на Климово, наполняемость которых
составляет около 60%. Протяженность рейса -114 км.; время в движении – 3
часа и 44 минут; рейс включает 10 промежуточных пунктов, которые представлены в
таблице Б.3. Тариф на 1 пасс – км на данном маршруте составляет 0,74
роосийского рубля. Стоимость проезда и провоза багажа на данном маршруте
представлена в таблице В.2.
Загрузка автобусов, следующих по
маршруту Гомель – Трускавец, в летний период составляет 100%, а в зимний – 30–50%.
Протяженность рейса составляет 831 км.; время в движении – 16 часов и 30
минут; рейс включает 11 промежуточных пунктов, которые представлены в таблице
Б.4. Тариф на 1 пасс – км на данном маршруте составляет 0,102 гривны. Стоимость
проезда и провоза багажа на данном маршруте представлена в таблице В.5.
По направлению Гомель – Чернигов
гомельским объединенным автовокзалом ежедневно осуществляется по 5 рейсов, при
этом летом загрузка автобусов составляет 100%, а зимой – 75%.
Протяженность рейса составляет 116 км.;
время в движении – 3 часа и 45 минут; рейс включает 15 промежуточных пунктов,
которые представлены в таблице Б.5. Тариф на 1 пасс – км на данном маршруте
составляет 0,0862 гривны. Стоимость проезда и провоза багажа на данном маршруте
представлена в таблице В.4. \
Перевозка пассажиров по маршруту
Гомель – Феодосия осуществляется исключительно в летний период (с 18 мая по 10
сентября), рейсы выполняются через день, при этом загрузка составляет 100%.
Протяженность рейса составляет 1388 км.; время в движении – 25 часов и 35
минут; рейс включает 9 промежуточных пунктов, которые представлены в таблице
Б.6. Тариф на 1 пасс – км на данном маршруте составляет 0,102 гривны. Стоимость
проезда и провоза багажа на данном маршруте представлена в таблице В.6.
Калькуляции себестоимостей для
расчетов тарифов по международным маршрутам представлены в приложении Е.
Кроме того, необходимо отметить,
что с гомельского объединенного автовокзала также отправляются автобусы,
следующие по ниже представленным международным маршрутам:
·
Гомель – Курск (через Брянск). Рейсы
осуществляются курским АТП через день;
·
Гомель – Новозыбков. Новозыбковским АТП
ежедневно выполняются 4 рейса: в 9:00, в 11:30, в 15:40 и в 19:30. При этом
наполняемость в среднем составляет 50%;
·
Гомель – Киев. Данное направление
охватывает маршрут «Николаев – Минск», пролегающий через Гомель и Киев, а в
летний период (с 1 июня по 31 августа) – маршрут «Коблево – Минск». Рейсы
на этих направлениях в соответствующие периоды осуществляются ежедневно. Но
летом наполняемость составляет 100%, а зимой – около 50%.
1.2 Технико-экономическая
характеристика международных автобусных перевозок, осуществляемых РДАУП «Автобусный
парк №1»
Технико-экономические
показатели международных автобусных перевозок, осуществляемых РДАУП «Автобусный
парк №1» (г. Гомель) за 12 месяцев 2004 и 2005 г. представлены
соответственно в таблицах Г.1 и Г.2 приложения Г.
Анализ таблицы
Г.1 показал, что в 2004 году помимо существующих ныне маршрутов, следующих на
Москву, Орел, Климово, Феодосию, Трускавец и Чернигов, РДАУП «Автобусный парк №1»
выполнялись также международные автобусные рейсы на Киев и Рославль. Но из-за
низкой рентабельности была прекращена перевозка пассажиров в данных
направлениях.
По данным таблицы Г.1
построена диаграмма распределения международных автобусных маршрутов по
количеству рейсов за 2004 год (рисунок 1.1)
Рисунок 1.1 – Диаграмма
распределения международных автобусных маршрутов по количеству рейсов за 2004
год
Как видно из
рисунка 1.1, по количеству совершенных рейсов большую часть из всего объема
международных автобусных перевозок, выполняемых РДАУП «Автобусный парк №1» (г. Гомель),
занимали перевозки, осуществляемые в направлении Гомель – Чернигов. Минимальное
количество рейсов (76) производилось на маршруте Гомель – Феодосия, который и в
2004 году выполнялся только в летний период.
По данным
таблицы Г.1 построена диаграмма распределения международных автобусных
маршрутов по количеству рейсов за 2005 год (рисунок 1.2).
Рисунок 1.2 – Диаграмма
распределения международных автобусных маршрутов по количеству рейсов за 2005
год
Анализ
диаграммы показывает, что как и в 2004 году, в 2005 году большинство
международных автобусных рейсов, принадлежат направлению Гомель – Чернигов.
Минимальное количество рейсов было осуществлено на маршрутах Гомель – Феодосия
и Гомель – Трускавец, что объясняется их восстребованностью лишь в летний
период.
По данным
таблицы Г.1 построена гистограмма уровней рентабельности международных
автобусных перевозок за 2004 и 2005 годы (рисунок 1.3)
Рисунок 1.3 –
Уровни рентабельности международных автобусных перевозок
Как видно из
гистограммы наиболее рентабельными являются международные автобусные перевозки
в направлении Гомель – Чернигов, наименее рентабельными – в направлениях Гомель
– Трускавец и Гомель – Феодосия. Кроме того, необходимо отметить что, уровни
рентабельности в 2005 году снизились по сравнению с 2004 годом.
По данным
таблицы Г.1 построены графики доходов, приходящихся на 1 километр пути при
выполнении международных автобусных перевозок за 2004 и 2005 годы (рисунок 1.4)
Рисунок 1.4 –
Доходы, приходящиеся на 1 километр пути при выполнении международных автобусных
перевозок
Анализ графиков
показывает, что величина дохода, приходящегося на 1 километр пути, в 2005 году
возросла по сравнению с 2004 годом для маршрутов Гомель – Орел, Гомель –
Чернигов, Гомель – Климово и Гомель – Трускавец, и снизилась для маршрутов
Гомель – Москва и Гомель – Феодосия.
На
международных маршрутах используются 9 автобусов Икарус-256 и Икарус-250,
выпущенные в 1985–1990 годах.
1.3 Технико-эксплуатационная
характеристика международных автобусных перевозок, осуществляемых РДАУП «Автобусный
парк №1» (г. Гомель)
По данным
таблицы Д.1 были построены гистограммы коэффициента выпуска, коэффициента
использования пробега, среднего расстояния перевозки, среднесуточного пробега,
средней продолжительности рабочего дня автобуса, средней вместимости,
эксплуатационной скорости, выработки в пасс. и в пасс-км, объема перевозок,
пассажирооборота, автомобиле-дней в хозяйстве и в работе, общего пробега и
пробега с пассажирами (рисунки 1.5–1.12). Гистограммы отображают численные
значения соответствующих эксплуатационных показателей за 2 года.
Рисунок 1.5 –
Среднее расстояние перевозки и среднесуточный пробег на международных
автобусных маршрутах
Численное
значение среднего расстояния перевозки возросло за год на 8,5%, а среднесуточного
пробега снизилось на 2%.
Рисунок 1.6 –
Средняя продолжительность рабочего дня автобуса
Как видно из
рисунка 1.6, величина средней продолжительности рабочего дня автобуса снизилась
за год на 3,3%
Рисунок 1.7 –
Средняя вместимость автобусов, используемых для международных перевозок
пассажиров
Анализ рисунка
1.7 показывает, что средняя вместимость автобусов, используемых для
международных перевозок пассажиров, за 2005 год снизилась на 1,2% по сравнению
с 2004 годом
Рисунок 1.8 –
Эксплуатационная скорость международных автобусов
Гистограмма
показывает, что эксплуатационная скорость международных автобусов за 2005 год
возросла на 1,5% по сравнению с 2004 годом
Рисунок 1.9 –
Выработка автобусов и объем перевозок пассажиров на международных маршрутах
Рисунок 1.9
показывает, что по данным за 2005 год выработка и объем перевозок снизились по
сравнению с 2004 годом на 0,8% и на 22,1% соответственно.
Рисунок 1.10 –
Выработка автобусов и пассажирооборот на международных маршрутах
Как видно из
рисунка 1.10, выработка автобусов и пассажирооборот на международных маршрутах
по данным за 2005 год снизились на 15% и на 27,3% соответственно по сравнению с
2004 годом.
Рисунок 1.11 –
Автомобиле-дни в хозяйстве и в работе
Анализ рисунка
1.11 показывает, что численные значения автомобиле – дней в хозяйстве и в
работе за 2005 год снизились на 14,35 и на 10% соответственно по сравнению с
2004 годом.
Рисунок 1.12 –
Общий пробег и пробег с пассажирами
Анализ
гистограммы показывает, что и общий пробег и пробег с пассажирами за 2005 год сократились
на 11,7% по сравнению с 2004 годом.
2. Маркетинговые
исследования в области международных автобусных перевозок
2.1 Маркетинговые
исследования на транспорте
Транспортный маркетинг представляет
собой систему организации и управления деятельностью предприятий, фирм и компаний
на основе комплексного изучения рынка транспортных услуг и спроса потребителей в
целях наилучших экономических условий реализации своей продукции. Транспортный маркетинг
охватывает всю сферу деятельности, осуществляемую автомобильным транспортом в целях
сбыта своих приспосабливаемых к спросу услуг.
Основной транспортной продукцией
является перемещение товаров и пассажиров и дополнительные услуги, связанные с этим
перемещением. Транспорт является материальной основой процессов обращения,
важнейшей инфраструктурой рынка. Практически реализуя обмен товарами и услугами,
транспорт оказывает огромное влияние на стабильность рынка и социально-экономического
положения в государстве. В связи с этим большое практическое значение приобретает
необходимость государственного регулирования основными видами транспорта.
Однако это регулирование должно носить преимущественно экономический характер, т.е.
через квоты, ссуды и финансирование крупных инновационных проектов общегосударственного
характера.
Текущая деятельность транспортных
предприятий должна осуществляться на основе маркетинговых подходов с соблюдением
единых технических, технологических и экономических норм эффективности и безопасности
перевозочного процесса. При этом важно установление определенных норм и правил ответственности
(экономической, правовой, социальной) за результаты деятельности предприятий в рамках
внутриотраслевой иерархии управления. Во взаимоотношениях с клиентурой должна преобладать
контрактно-договорная форма, обеспечивающая четкую ответственность сторон за выполнение
заключенных сделок (договоров).
Основными направлениями транспортного
маркетинга в области перевозок являются:
Þкомплексное изучение и анализ транспортного рынка;
Þэкономическое обследование районов тяготения транспорта и формирование
спроса на транспортные услуги;
Þизучение конкурентов, организация рекламы и стимулирования потребительских
предпочтений;
Þпланирование перевозок грузов и пассажиров и оптимизация товародвижения;
Þанализ собственных ресурсов и издержек, разработка и внедрение
новых видов услуг, техники и технологий, определение потребных инвестиций;
Þразработка ценовой стратегии, определение уровней доходов и прибыли;
Þразработка мероприятий по расширению транспортного рынка,
совершенствованию системы управления транспортным производством, взаимодействию
с клиентурой;
Þуправление маркетингом и своевременное реагирование на динамику
транспортного рынка.
Перечень основных направлений
маркетинга на автомобильном транспорте можно представить в виде следующего алгоритма:
1.
Определение
общих задач и целей;
2.1 Анализ транспортного
рынка и изучение конкурентов;
2.2 Экономическое
обследование районов обслуживания и определение спроса на транспортные услуги;
3.1 Анализ ресурсов и
затрат, разработка ценовой стратегии, тарифов, скидок и надбавок;
3.2 поиск новых «ниш»
транспортного рынка;
4 Стратегическое и
тактическое планирование работ;
5.1 Разработка мер по
улучшению и повышению качества транспортных услуг;
6 Управление маркетингом,
контроль и реагирование на динамику рынка.
Из алгоритма видно, что система
транспортного маркетинга нацелена на гибкое реагирование при изменении динамики
транспортного рынка путем необходимого пересмотра ценовой политики при определенных,
относительно небольших изменениях сегментов спроса на транспортные услуги.
Наряду с этим, при значительных изменениях на транспортном рынке возможен полный
пересмотр задач и целей предприятия, разработка нового комплекса маркетинга. Во
всех случаях управление маркетингом, а по существу, спросом, осуществляется экономическими
методами по принципу – «транспорт ищет клиента».
Сегодня в условиях экономического
кризиса маркетинговые усилия на транспортных предприятиях должны быть направлены
на решение двух задач:
Þулучшение качества транспортного обслуживания потребителей;
Þдиверсификация высвобождающихся мощностей предприятия.
Многие транспортные предприятия
сейчас успешно осваивают нетрадиционные виды деятельности (аренда, ремонтный сервис
и т.п.). Эта работа требует системности и правовой основы. Для успешного решения
этих проблем требуется целенаправленная постоянная работа по изучению внешней среды,
конкурентов, гибкого ценообразования, рекламы и стимулирования потребителей. В этой
связи одним из наиболее важных направлений транспортного маркетинга является формирование
спроса на транспортные услуги.
Комплекс маркетинга включает в себя два взаимосвязанных
процесса:
¨
тщательное
изучение существующего рынка;
¨
активное
влияние на спрос и формирование потребительских предпочтений.
Задача маркетинга – не только удовлетворение
потребностей потребителя, но и создание таких условий, чтобы у него было желание
вновь обратиться к продукции или услугам этого продавца (производителя). Для транспортных
предприятий это означает, что они не только должны на высоком уровне обслужить клиента,
но и предложить новые виды услуг, либо повысить их качество на столько, чтобы у
потребителя возникло желание и в дальнейшем обратиться именно к данному предприятию,
виду транспорта. Для решения этой непростой задачи необходимо проведение целого
ряда комплекса маркетинговых мероприятий по глубокому изучению транспортного рынка,
совершенствованию технологии транспортных услуг, реальному повышению их качества,
разработке новых, дополнительных видов услуг, диагностированию и прогнозированию
спроса, а возможно и некоторой диверсификации (концентрической, горизонтальной или
конгломеративной) транспортного производства.
Основная задача организации
и управления транспортным маркетингом – воздействие на уровень, время и характер спроса
на транспортные услуги таким образом, чтобы это обеспечивало транспортному предприятию
его нормальное функционирование и дальнейшее развитие.
Анализ маркетинговых структур различных видов
транспорта развитых стран показывает, что в последние годы маркетинг охватывает
практически всю иерархию управления организацией перевозочного процесса,
начиная с низовых звеньев до руководства транспортными компаниями и объединениями.
При этом маркетинг должен стать насущной потребностью повседневной работы линейных
транспортных предприятий, товарных контор, транспортно-экспедиционных организаций,
грузовых и коммерческих служб.
Предложение и спрос на
международные автобусные перевозки взаимодействуют на рынке и определяют цену.
Точка совпадения интересов перевозчика и клиента называется точкой равновесия,
а соответствующая ей цена – равновесной рыночной ценой (тарифом). Если
перевозчик устанавливает цену на товар выше равновесной, то происходит сокращение
спроса на перевозки. Это вызывает снижение тарифа и, как следствие, сокращение объема
предложения до точки равновесия.
Изобразив
кривые спроса и предложения в одних и тех же координатах, можно графически
определить рыночную (равновесную) стоимость перевозки (Рисунок 2.1)
Рисунок 2.1 – Графический способ
определения рыночной (равновесной) стоимости
Одним из
важнейших критериев при выборе перевозчика для клиентов является стоимость
поездки. Таким образом, необходимо подобрать такой тариф, который бы не снижал
спрос на международные автобусные перевозки и при этом покрывал затраты,
создавая прибыль перевозчику.
Кроме того, важнейшими при выборе
перевозчика являются такие факторы как безопасность путешествия,
комфортабельность поездки, скорость и время в пути, а также мобильность
транспортного средства. [12]
2.2
Маркетинговые исследования международных автобусных перевозок, выполняемых
РДАУП «Автобусный парк №1»
Анализ,
произведенный в пункте 1.2, показывает, что наиболее рентабельными являются
перевозки, осуществляемые на относительно небольшие расстояния. Данный факт
можно объяснить тем, что для поездок на небольшие расстояния пассажиры, как
правило, останавливают свой выбор на автомобильном транспорте, а для более
длительных поездок предпочитают железнодорожный транспорт. Как видно из рисунка
1.3, самыми рентабельными являются автобусные перевозки, выполняемые по
маршрутам Гомель – Чернигов и Гомель – Климово.
Маршрут Гомель
– Чернигов является наиболее восстребованным среди всех остальных международных
автобусных маршрутов. Не смотря на большое количество рейсов, осуществляемых в
данном направлении, пассажиропоток на этом маршруте всегда обеспечивает высокую
загрузку.
Вторым по
уровню рентабельности является маршрут Гомель – Климово. Это объясняется прежде
всего тем, что в данном направлении отсутствует конкуренция со стороны железной
дороги, то есть нет прямых регулярных железнодорожных рейсов Гомель – Климово.
Поэтому весь пассажиропоток пользуется автомобильным транспортом, обеспечивая
высокую наполняемость автобусов, следующих в данном направлении.
Достаточно
низкие уровни рентабельности достигаются на маршрутах Гомель – Москва и Гомель
– Орел. В направлении Гомель – Москва этот факт можно объяснить присутствием
огромной конкуренции со стороны железной дороги; прежде всего пассажиры
предпочитают пользоваться железнодорожным видом транспорта из-за более низкой
стоимости проезда при той же продолжительности поездки. Кроме того, часть пассажиров,
останавливающих свой выбор в пользу железной дороги, находят вагон
железнодорожного состава более комфортабельным и удобным для поездок чем салон
автобуса Икарус-256. Причинами низкого уровня рентабельности маршрута Гомель –
Орел являются высокая стоимость поездки и низкий пассажиропоток, следующий до
конечного пункта назначения – до Орла.
Маршруты Гомель
– Трускавец и Гомель – Феодосия оказались низко рентабельными. Такой уровень
рентабельности маршрута Гомель – Трускавец обусловлен тем, что данное
направление пользуется спросом у пассажиров преимущественно в сезоны летних
отпусков, а автобусные рейсы на Трускавец осуществляются круглогодично, поэтому
вне летнего периода наблюдается достаточно низкая наполняемость автобусов.
Маршрут Гомель
– Феодосия является самым нерентабельным. Это можно объяснить следующими
факторами:
·
Основной
пассажиропоток на данном маршруте следует лишь до промежуточных пунктов,
преимущественно до Чернигова и до Киева, не доезжая до конечного пункта назначения;
·
На
рассматриваемом маршруте наблюдается низкий коэффициент пересадочности, что, в
конечном итоге, снижает доходы, получаемые от перевозок;
·
Существует
прямое регулярное железнодорожное сообщение из Гомеля в Феодосию, которое
создаёт весьма значимую конкуренцию автобусным перевозкам прежде всего потому,
что стоимость проезда по железной дороге гораздо ниже (стоимость билета на
плацкартный вагон из Гомеля до Феодосии составляет 40000 белорусских рублей).
Поэтому для увеличения конкурентоспособности необходимо снизить тарифы на
автобусные перевозки и заменить подвижной состав;
·
Высокая
продолжительность и частые остановки делают поездку менее комфортабельной, что
в свою очередь снижает пассажиропоток.
Для повышения
комфортабельности поездок пассажиров, и, в конечном итоге, для увеличения
спроса на международные поездки по разрабатываемым маршрутам целесообразно
заменить подвижной состав, представленными автобусами марки Икарус-250 на
современные туристические автобусы МАЗ-152.
3. Разработка вариантов организации
пассажирских перевозок в международном регулярном сообщении
Проведенный
технико-экономический анализ международных автобусных маршрутов, выполняемых
РДАУП «Автобусный парк №1», показал, что маршрут Гомель – Феодосия является
наименее рентабельным среди всех остальных. Однако, с учетом маркетинговых
исследований, выявивших причину данного обстоятельства, предложены следующие
пути усовершенствования маршрута Гомель – Феодосия с целью повышения его
рентабельности:
1 Рассмотреть
два варианта при организации действующего маршрута Гомель – Феодосия: 1)
Выполнение перевозок с применением автобуса марки Икарус-250. Техническая
характеристика автобуса Икарус-250 представлена в таблице 3.1 [13].
Таблица 3.1 –
Техническая характеристика автобуса Икарус – 250
|
Наименование параметра
|
Значение параметра
|
|
Колесная формула
Ведущие колеса
Количество мест для сидения
Двигатель
Расход топлива
Максимальная скорость
Наружный радиус поворота
Шины
Колеса
Габаритные размеры (Д/Ш/В)
База
Колея колес (передних / задних)
Нагрузка на переднюю ось
Нагрузка на заднюю ось
|
4х2
задние
42
RAR MAN,=D2156HM 6U, диз., 4-такт. 6-цил.,
рядн., горизонтальный
33 л/100 км
113 км/ч
11900 мм
10,00–20
дисковые, 8.25х22.5
10970/2500/2990 мм
6300 мм
2000/1835
5600 кг
9670 кг
|
2) Выполнение
перевозок с применением автобуса марки МАЗ-152. Техническая характеристика
автобуса МАЗ-152 представлена в таблице 3.2
Таблица 3.2 –
Техническая характеристика автобуса Икарус – 250
|
Наименование параметра
|
Значение параметра
|
|
Колесная формула
Ведущие колеса
Количество мест для сидения
Двигатель
Расход топлива
Максимальная скорость
Наружный радиус поворота
Шины
Колеса
Габаритные размеры (Д/Ш/В)
База
Колея колес (передних / задних)
Нагрузка на переднюю ось
Нагрузка на заднюю ось
Объем топливного бака
Высота пола на площадке средней двери
Высота ступеньки над уровнем дороги
Ширина прохода между сиденьями
Масса полная
|
4х2
задние
49
ЯМЗ-7601, Daimler Chrysler ОМ 441LA, ЯМЗ 236 НЕ2
34,2 л/100 км
120 км/ч
11600 мм
295/80R22.5
дисковые, 8.25х22.5
12000/2500/3400 мм
6000 мм
2093/1820
6500 кг
11500 кг
500 л
118 мм
400 мм
540 мм
18000 кг
|
Дополнительное
оборудование: кондиционер, независимый воздушный отопитель кабины водителя,
независимый жидкостной подогреватель двигателя, кухня, холодильник,
аудиосистема, печь СВЧ туалет, централизованная система смазки, тонированный
стеклопакет.
Поскольку скорость
движения автобуса МАЗ-152 превышает скорость движения автобуса Икарус-250 на 15%,
то в расписании движения автобусов на маршруте Гомель – Феодосия произойдут
следующие изменения (Таблица 3.3).
Таблица 3.3 - Расписание движения
автобусов МАЗ-152 на маршруте Гомель – Феодосия
|
Время
|
Расстояние,
км.
|
Наименование остановочных пунктов
|
Время
|
|
Прибытие
|
Отправление
|
Прибытие
|
Отправление
|
|
13:00
|
0
|
Гомель АВ
|
21:07
|
|
|
13:35
|
14:00
|
38
|
там. Н. Гута
|
20:06
|
20:32
|
|
14:08
|
14:43
|
39
|
п/п Яриловичи
|
19:33
|
19:58
|
|
15:35
|
15:40
|
116
|
Чернигов АВ
|
18:36
|
18:41
|
|
17:42
|
17:57
|
270
|
Киев АВ
|
16:23
|
16:34
|
|
22:33
|
22:43
|
593
|
Полтава АВ
|
11:32
|
11:47
|
|
2:30
|
2:45
|
845
|
Запорожье АВ
|
7:31
|
7:46
|
|
7:51
|
8:06
|
1219
|
Симферополь АВ
|
2:10
|
2:25
|
|
10:04
|
10:14
|
1323
|
Судак АС
|
0:02
|
0:12
|
|
11:15
|
11:20
|
1368
|
Планерское АС
|
22:56
|
23:01
|
|
11:26
|
|
1388
|
Феодосия АС
|
|
22:30
|
|
Прямое
|
|
Обратное
|
Для организации
ежедневных перевозок пассажиров необходимо три автобуса Икарус-250 или МАЗ-152.
2
Подвергнуть
маршрут Гомель – Феодосия следующим изменениям:
·
Поскольку
основной пассажиропоток на рассматриваемом маршруте следует до Киева по причине
отсутствия регулярных прямых рейсов Гомель – Киев, то целесообразно
организовать следующие отдельные регулярные международные автобусные маршруты:
Гомель – Киев, следующий три раза в неделю, по выходным; Гомель – Феодосия,
Гомель – Симферополь, Гомель – Судак, следующие один раз в неделю;
·
Маршруты
Гомель – Феодосия, Гомель – Симферополь и Гомель – Судак сделать безостановочными.
Такие решения
позволят существенно увеличить наполняемость автобусов до конечных пунктов
назначения, а также сократить продолжительность поездок минут. Кроме того,
пассажиропоток, который использовал маршрут Гомель – Феодосия для поездок в
Киев будет обеспечен отдельно выделенным маршрутом;
·
Изменить
схему участка Киев – Симферополь маршрута Гомель – Феодосия. Предлагаемый
измененный вариант маршрута Гомель – Феодосия, а также разрабатываемые маршруты
Гомель – Судак и Гомель – Феодосия соответственно представлены в виде таблицах
3.4–3.6 [1].
Расписания
движения автобуса МАЗ-152 на разрабатываемых международных автобусных маршрутов
Гомель – Киев, Гомель – Феодосия, Гомель – Судак и Гомель – Симферополь,
соответственно представлены в таблицах 3.7–3.10.
Таблица 3.4 – Предлагаемый
вариант маршрута Гомель – Феодосия
|
Наименование пунктов
|
Расстояние, км.
|
|
Гомель
|
0
|
|
Чернигов
|
114
|
|
Киев
|
270
|
|
Черкассы
|
451
|
|
Кировоград
|
584
|
|
Николаев
|
778
|
|
Херсон
|
843
|
|
Симферополь
|
1130
|
|
Судак
|
1234
|
|
Феодосия
|
1299
|
Таблица 3.5 – Предлагаемый
вариант маршрута Гомель – Судак
|
Наименование пунктов
|
Расстояние, км.
|
|
Гомель
|
0
|
|
Чернигов
|
114
|
|
Киев
|
270
|
|
Черкассы
|
451
|
|
Кировоград
|
584
|
|
Николаев
|
778
|
|
Херсон
|
843
|
|
Симферополь
|
1130
|
|
Судак
|
1234
|
Таблица 3.6 – Предлагаемый
вариант маршрута Гомель – Симферополь
|
Наименование пунктов
|
Расстояние, км.
|
|
Гомель
|
0
|
|
Чернигов
|
114
|
|
Киев
|
270
|
|
Черкассы
|
451
|
|
Кировоград
|
584
|
778
|
|
Херсон
|
843
|
|
Симферополь
|
1130
|
Таблица
3.7 - Расписание движения автобусов МАЗ-152 на маршруте Гомель – Киев
|
Время
|
Рас-сто-
яние,
км.
|
Наименование
Остановочных
пунктов
|
Время
|
|
Прибытие
|
Отправление
|
Прибытие
|
Отправление
|
|
7:00
|
0
|
Гомель
|
22:53
|
|
|
7:35
|
8:00
|
38
|
там. Н. Гута
|
21:52
|
22:18
|
|
8:08
|
8:43
|
39
|
п/п Яриловичи
|
21:19
|
21:44
|
|
11:32
|
|
270
|
Киев
|
|
18:30
|
|
Прямое
|
|
Обратное
|
Таблица
3.8 - Расписание движения автобусов МАЗ-152 на маршруте Гомель – Феодосия
|
Время
|
Рас-сто-
яние,
км.
|
Наименование
Остановочных
пунктов
|
Время
|
|
Прибытие
|
Отправление
|
Прибытие
|
Отправление
|
|
15:00
|
0
|
Гомель
|
17:22
|
|
|
15:35
|
16:00
|
38
|
там. Н. Гута
|
16:21
|
16:47
|
|
16:08
|
16:43
|
39
|
п/п Яриловичи
|
15:48
|
16:13
|
|
19:35
|
19:50
|
270
|
Киев
|
12:44
|
12:59
|
|
0:01
|
0:16
|
584
|
Кировоград
|
8:18
|
8:33
|
|
3:43
|
3:58
|
843
|
Херсон
|
4:36
|
4:51
|
|
7:48
|
8:03
|
1130
|
Симферополь
|
0:31
|
0:46
|
|
11:34
|
|
1299
|
Феодосия
|
|
21:00
|
|
Прямое
|
|
Обратное
|
Таблица 3.9 - Расписание движения
автобусов МАЗ-152 на маршруте Гомель – Судак
|
Время
|
Рас-сто-
яние,
км.
|
Наименование
Остановочных
пунктов
|
Время
|
|
Прибытие
|
Отправление
|
Прибытие
|
Отправление
|
|
16:00
|
0
|
Гомель
|
15:48
|
|
|
16:35
|
17:00
|
38
|
там. Н. Гута
|
14:47
|
15:13
|
|
17:08
|
17:43
|
39
|
п/п Яриловичи
|
14:14
|
14:39
|
|
20:35
|
20:50
|
270
|
Киев
|
11:11
|
11:26
|
|
1:01
|
1:16
|
584
|
Кировоград
|
6:44
|
6:59
|
|
4:43
|
4:58
|
843
|
Херсон
|
3:02
|
3:17
|
|
8:48
|
9:03
|
1130
|
Симферополь
|
22:58
|
23:13
|
|
11:01
|
|
1234
|
Судак
|
|
21:00
|
|
Прямое
|
|
Обратное
|
Таблица
3.10 - Расписание движения автобусов МАЗ-152 на маршруте Гомель – Симферополь
|
Время
|
Рас-сто-
яние,
км.
|
Наименование
Остановочных
пунктов
|
Время
|
|
Прибытие
|
Отправление
|
Прибытие
|
Отправление
|
|
19:00
|
0
|
Гомель
|
14:22
|
|
|
19:35
|
20:00
|
38
|
там. Н. Гута
|
13:21
|
13:47
|
|
20:08
|
20:43
|
39
|
п/п Яриловичи
|
12:48
|
13:13
|
|
23:35
|
23:50
|
270
|
Киев
|
8:44
|
8:59
|
|
4:01
|
4:16
|
584
|
Кировоград
|
4:18
|
4:33
|
|
7:43
|
7:58
|
843
|
Херсон
|
1:36
|
1:51
|
|
11:48
|
|
1130
|
Симферополь
|
|
21:46
|
|
Прямое
|
|
Обратное
|
Изменение части
маршрута Гомель – Феодосия позволит сократить и прямые и обратные рейсы
маршрутов Гомель – Феодосия, Гомель – Симферополь и Гомель – Судак на 89
километров.
Графики работы
водителей на разрабатываемых международных автобусных маршрутах Гомель –
Феодосия, Гомель – Судак, Гомель – Симферополь и Гомель – Киев соответственно
сведены в таблицы 3.11–3.14.
Таблица 3.11 - График
работы водителей на международном автобусном маршруте Гомель – Феодосия
|
Наименование рейсов
|
Наименование объектов
|
Первый водитель
|
Второй водитель
|
|
Гомель – Феодосия
|
Гомель – пограничный и таможенный контроль
|
0,6 часа
|
|
|
Прохождение пограничного и таможенного контроля
|
1,1 часа
|
|
|
Пограничный и таможенный контроль – Киев, отдых 15 минут
|
2,8 часа
|
|
|
Киев – Кировоград, отдых 15 минут
|
|
4,2 часа
|
|
Кировоград – Херсон, отдых 15 минут
|
3,45 часа
|
|
|
Херсон – Симферополь, отдых 15 минут
|
|
3,83 часа
|
|
Симферополь – Феодосия
|
3,52 часа
|
|
|
Итого за рейс
|
10,47 часа
|
8,03 часа
|
|
Феодосия – Гомель
|
Феодосия – Симферополь,
отдых 15 минут
|
|
3,52 часа
|
|
Симферополь – Херсон, отдых 15 минут
|
3,83 часа
|
|
|
Херсон – Кировоград, отдых 15 минут
|
|
3,45 часа
|
|
Кировоград – Киев, отдых 15 минут
|
4,2 часа
|
|
|
Киев – Пограничный и таможенный контроль
|
|
2,8 часа
|
|
Прохождение пограничного и таможенного контроля
|
|
1,1 часа
|
|
Пограничный и таможенный контроль – Гомель
|
|
0,6 часа
|
|
Итого за рейс
|
8,03 часа
|
10,37 часа
|
|
В среднем в сутки
|
9,2 часа
|
9,2 часа
|
Таблица 3.12 - График
работы водителей на международном автобусном маршруте Гомель – Судак
|
Наименование рейсов
|
Наименование объектов
|
Первый водитель
|
Второй водитель
|
|
Гомель – Судак
|
Гомель – пограничный и таможенный контроль
|
0,6 часа
|
|
|
Прохождение пограничного и таможенного контроля
|
1,1 часа
|
|
|
Пограничный и таможенный контроль – Киев, отдых 15 минут
|
2,8 часа
|
|
|
Киев – Кировоград, отдых 15 минут
|
|
4,2 часа
|
|
Кировоград – Херсон, отдых 15 минут
|
3,45 часа
|
|
|
Херсон – Симферополь, отдых 15 минут
|
|
3,83 часа
|
|
Симферополь – Судак
|
1,96 часа
|
|
|
Итого за рейс
|
8,81
|
8,03
|
|
Судак – Гомель
|
Судак – Симферополь, отдых 15 минут
|
|
1,96 часа
|
|
Симферополь – Херсон, отдых 15 минут
|
3,83 часа
|
|
|
Херсон – Кировоград, отдых 15 минут
|
|
3,45 часа
|
|
Кировоград – Киев, отдых 15 минут
|
4,2 часа
|
|
|
Киев – Пограничный и таможенный контроль
|
|
2,8 часа
|
|
Прохождение пограничного и таможенного контроля
|
|
1,1 часа
|
|
Пограничный и таможенный контроль – Гомель
|
|
0,6 часа
|
|
Итого за рейс
|
8,03 часа
|
8,81 часа
|
|
В среднем в сутки
|
8,42 часа
|
8,42 часа
|
Таблица 3.13 - График
работы водителей на международном автобусном маршруте Гомель – Симферополь
|
Наименование рейсов
|
Наименование объектов
|
Первый водитель
|
Второй водитель
|
|
Гомель – Симферополь
|
Гомель – пограничный и таможенный контроль
|
0,6 часа
|
|
|
Прохождение пограничного и таможенного контроля
|
1,1 часа
|
|
|
Пограничный и таможенный контроль – Киев, отдых 15 минут
|
2,8 часа
|
|
|
Киев – Кировоград, отдых 15 минут
|
|
4,2 часа
|
|
Кировоград – Херсон, отдых 15 минут
|
3,45 часа
|
|
|
Херсон – Симферополь
|
|
3,83 часа
|
|
Итого за рейс
|
6,85 часа
|
8,03 часа
|
|
Симферополь – Гомель
|
Симферополь – Херсон, отдых 15 минут
|
3,83 часа
|
|
|
Херсон – Кировоград, отдых 15 минут
|
|
3,45 часа
|
|
Кировоград – Киев, отдых 15 минут
|
4,2 часа
|
|
|
Киев – Пограничный и таможенный контроль
|
|
2,8 часа
|
|
Прохождение пограничного и таможенного контроля
|
|
1,1 часа
|
|
Пограничный и таможенный контроль – Гомель
|
|
0,6 часа
|
|
В среднем в сутки
|
7,44 часа
|
7,44 часа
|
|
Итого за рейс
|
8,03 часа
|
6,85 часа
|
Таблица 3.14 - График
работы водителей на международном автобусном маршруте Гомель – Киев
|
Наименование рейсов
|
Наименование объектов
|
водитель
|
|
Гомель – Киев
|
Гомель – пограничный и таможенный контроль
|
0,6 часа
|
|
Прохождение пограничного и таможенного контроля
|
1,1 часа
|
|
Пограничный и таможенный контроль – Киев
|
2,8 часа
|
6,97 часа
|
|
Симферополь – Гомель
|
Киев – Пограничный и таможенный контроль
|
2,8 часа
|
|
Прохождение пограничного и таможенного контроля
|
1,1 часа
|
|
Пограничный и таможенный контроль – Гомель
|
0,6 часа
|
|
В среднем в сутки
|
6,8 часа
|
Для организации
разрабатываемых маршрутов необходим 2 автобус международного класса МАЗ-152,
расписание движения которого за неделю представлено в таблице 3.15.
Таблица 3.15 – Расписание движения
автобусов МАЗ-152 на разрабатываемых маршрутах
День недели
|
1 автобус
|
2 автобус
|
|
Понедельник
|
Отправление из Гомеля в Феодосию в 15:00
|
|
|
Вторник
|
Прибытие в Феодосию в 11:34; отправление
из Феодосии в 21:00
|
Отправление из Гомеля в Симферополь в
19:00
|
|
Среда
|
Прибытие из Феодосии в Гомель в 17: 22
|
Прибытие в Симферополь в 11:48; отправление
из Симферополя в 21:46
|
|
Четверг
|
Отправление из Гомеля в Судак в 16:00
|
Прибытие из Симферополя в Гомель в14:22
|
|
Пятница
|
Прибытие в Судак в 11:04; отправление из
Судака в 21:00
|
Отправление из Гомеля в Киев в 7:00,
прибытие из Киева в Гомель в 22:53
|
|
Суббота
|
Прибытие из Судака в Гомель в 15:48
|
Отправление из Гомеля в Киев в 7:00,
прибытие из Киева в Гомель в 22:53
|
|
Воскресенье
|
|
Отправление из Гомеля в Киев в 7:00,
прибытие из Киева в Гомель в 22:53
|
Для открытия регулярного международного автобусного маршрута белорусский перевозчик должен подать в Министерство транспорта и коммуникаций Республики Беларусь заявление и следующие документы: копию договора об организации перевозки пассажиров по регулярному международному маршруту; схему международного автобусного маршрута; расписание движения автобуса по регулярному международному маршруту согласно приложению 3; таблицу стоимости проезда пассажиров и провоза багажа; график работы водителей автобуса на маршруте; копию лицензии на право осуществления международных пассажирских перевозок; копию лицензионных карточек на автобусы, планируемые для обслуживания заявленного маршрута; копию свидетельства о регистрации перевозчика.
При принятии положительного решения по открытию или изменению регулярного международного автобусного маршрута управление автомобильного транспорта Министерства транспорта и коммуникаций Республики Беларусь направляет документы в компетентные органы транспорта иностранных государств, по территории которых проходит заявляемый маршрут.
После получения положительных ответов по открытию регулярного международного автобусного маршрута от государств, по территории которых проходит заявляемый маршрут, должностные лица
Министерства транспорта и коммуникаций Республики Беларусь заполняют бланк разрешения установленной формы. Количество выдаваемых бланков разрешений определяется из расчета, что в каждом автобусе должен быть оригинал разрешения. К разрешению прилагается заверенное управлением автомобильного транспорта Министерства транспорта и коммуникаций Республики Беларусь расписание движения.
После получения комплекта разрешений на обслуживание регулярного международного автобусного маршрута белорусский перевозчик должен за 15 дней до начала работы на нем опубликовать в средствах массовой информации Республики Беларусь наименование маршрута, условия перевозок, тариф и расписание движения, а также заключить договор на обслуживание с пассажирскими станционными сооружениями на маршруте.
Информация о каждом организованном маршруте или о продлении действия разрешений доводится до Республиканского унитарного предприятия международных автомобильных сообщений «Интеравтотранс» (далее – РУП «Интеравтотранс») с указанием маршрута и приложением копии разрешения и утвержденного расписания движения автобусов.
При возникновении необходимости у перевозчика временно или постоянно прекратить обслуживание регулярного международного автобусного маршрута он должен за 15 дней до приостановки обслуживания маршрута проинформировать Министерство транспорта и коммуникаций Республики Беларусь и население через средства массовой информации о прекращении движения по регулярному маршруту. Контроль за соблюдением перевозчиками требований перевозки пассажиров и багажа в регулярном международном сообщении на территории Республики Беларусь осуществляется должностными лицами РУП «Интеравтотранс». Контроль за работой перевозчиков на регулярных международных автобусных маршрутах осуществляется контрольно-ревизорской службой Министерства транспорта и коммуникаций на территории Республики Беларусь в соответствии с ее функциями и полномочиями.
К перевозчику, нарушившему порядок перевозок пассажиров по регулярному международному автобусному маршруту, могут быть приняты следующие меры: предупреждение, приостановление действия или изъятие разрешения. Белорусский перевозчик обязан ежегодно до 1 февраля последующего года письменно проинформировать Министерство транспорта и коммуникаций Республики Беларусь о выполнении перевозок на обслуживаемых международных маршрутах за прошедший год, о количестве выполненных рейсов и перевезенных пассажиров.
Министерство транспорта и коммуникаций Республики Беларусь на каждый регулярный международный автобусный маршрут согласовывает график движения автобусов через Государственную границу Республики Беларусь с Государственным комитетом пограничных войск Республики Беларусь и Государственным таможенным комитетом Республики Беларусь.
При выявлении контрольными органами в пункте пропуска через Государственную границу Республики Беларусь несоответствия документов и (или) вещей граждан установленным требованиям работник РУП «Интеравтотранс», осуществляющий автотранспортный контроль, в билетно-учетном листе должен сделать соответствующую запись о высадке пассажира. Работник РУП «Интеравтотранс», находящийся в пункте пропуска через Государственную границу Республики Беларусь, должен информировать Министерство транспорта и коммуникаций Республики Беларусь о случаях нарушения перевозчиками, обслуживающими международный автобусный маршрут, установленных требований, графика движения или сверхнормативных простоев автобусов в пунктах пропуска [10].
4. Технико-экономическое обоснование
перспективных регулярных международных автобусных маршрутов
4.1 Расчет
стоимостей перевозок на действующем маршруте Гомель – Феодосия при использовании
автобусов МАЗ-154 и Икарус-250
Расчет себестоимости
перевозки за 1 час:
Заработная плата
водителей определяется по формуле
ЗПв= Тк*Т1*Кзп/Мф,
(4.1)
где Тк – тарифный
коэффициент водителя автобуса в зависимости от габаритной длины этого автобуса
(габаритная длина Икарус-250 составляет 12000 мм, а МАЗ-152 – 11985 мм).
Принимается в соответствии с Инструкцией о порядке применения Единой тарифной
сетки работников Республики Беларусь, утвержденной постановлением Министерством
труда и социальной защиты Республики Беларусь от 20 сентября 2002 года №123
(Национальный реестр правовых актов Республики Беларусь, 2002 г., №140,
8/8828). Для МАЗ-152 и Икарус-250 Тк=2,96;
Т1-тарифная
ставка первого разряда, действующая в организации, Т1=70119 (руб.);
Кзп – коэффициент,
учитывающий премии за производственные результаты работы и специальные виды
премий, доплаты и надбавки к заработной плате водителя, на оплату очередных
отпусков, компенсация за неиспользованный отпуск и другие, относимые в
установленном порядке на себестоимость перевозок, Кзп=2,3;
Мф – расчетная
среднемесячная норма рабочего времени, установленная постановлением
Министерства труда и социальной защиты Республики Беларусь на текущий
календарный год для организаций с соответствующим режимом рабочего времени, Мф=171,5
(час.) [6].
ЗПв=2,96*70119*2,3/171,5=2783
(руб.).
Заработная плата руководителей,
специалистов и служащих определяется по формуле
ЗПс= ЗПв*Кс,
(4.2)
где Кс – коэффициент
заработной платы руководителей, специалистов и служащих, приходящихся на 1
рубль заработной платы водителей, ремонтных и вспомогательных рабочих,
руководителей, специалистов и служащих, непосредственно связанных с выполнением
перевозок, выполнением других транспортных работ и услуг, Кс=0,70
[6].
ЗПс=2783*0,7=1948
(руб.).
Заработная плата персонала по
организации и осуществлению перевозок по категориям, относимых на 1 час работы,
определяется по формуле
ЗП=ЗПв+ЗПс,
(4.3)
ЗП=2783+1948=4731 (руб.).
Налоги и отчисления от средств на
оплату труда производятся в размерах, установленных законодательством и
определяются по формуле
Осс=ЗП*Х, (4.4)
где Х – сумма нормативов
налогов и отчислений от средств на оплату труда, Х=35+1+4=40% [6];
Осс=4731*0,4=1892,4
(руб.).
Поскольку автобус МАЗ-152 работает
в летнее время, поэтому в нем постоянно включено специальное оборудование – кондиционер,
следовательно, расходуется топливо.
Затраты на топливо определяются по
формуле
Sт= Rт*Цт, (4.5)
где Цт – цена 1 л
автомобильного топлива без учета налога на добавленную стоимость, Цт=965
(руб.);
Rт – расход топлива, Rт=2 (л) [6];
Sт= 965*2=1930
(руб.).
Общехозяйственные (накладные)
расходы (Sн) без учета
налогов, включаемых в себестоимость и фонда заработной платы административно –
управленческого персонала при условии, что он включен в общий фонд оплаты труда
в данном случае определяются по формуле
Sн=ЗПв*Ков,
(4.6)
где Ков – коэффициент,
учитывающий общехозяйственные расходы, приходящиеся на 1 рубль заработной платы
водителей, Ков=0,8 [6];
Sн=2783*0,8=2226,4
(руб.).
Налоги и платежи, включаемые в себестоимость
в соответствии с действующим законодательством, в нашем случае составят
условно: для МАЗ-154 Nсс=27 (руб.), для
Икарус-250 Nсс=22 (руб.).
Себестоимость
перевозок определяется по формуле
S=
ЗП+ Осс+
Sт+ Sн+ Nсс (4.7)
для МАЗ-154 S=4731+1892+1930+2226+27=10807
(руб.), для Икарус-250 S=4731+1892+2226+22=8871,8 (руб.).
Плановая
прибыль определяется по формуле
П=S*R/100, (4.8)
где
R – рентабельность
перевозок, R=9,42%,
для
МАЗ-154 П=10807*0,0942=1018,1 (руб.), для Икарус-250 П=8871,8*0,0942=836
(руб.).
Налоги,
сборы и отчисления, уплачиваемые из выручки, исчисляются в соответствии с
действующим законодательством и в нашем случае составляют: для МАЗ-154 Nсс=322 (руб.), для Икарус-250
Nсс=264,1 (руб.).
Стоимость
перевозки определяется по формуле
Дд=S+П+Nсс, (4.9)
для
МАЗ-152 Дд=10807+1018+322=12147,1 (руб.), для Икарус-250 Дд=8871,8+836+264,1=9972,08
(руб.).
Стоимость
перевозки с учетом налога на добавленную стоимость (Дндс), или тариф
за 1 час перевозки, определяется по формуле
Дндс=Дд*(100+Nндс)/100, (4.10)
где
Nндс – ставка налога на
добавленную стоимость, Nндс=18% [6],
для
МАЗ-154 Дндс=12147,1*(100+18)/100=14333,6 (руб.), для Икарус-250 Дндс=9972,08*(100+18)/100=11767,1
(руб.).
При определении тарифа за
1 км пробега расчет затрат производится по следующим статьям
себестоимости.
Заработная плата
ремонтных и вспомогательных рабочих определяется по формуле
ЗПр=(Nзп*Т1*L*Кт)/(Мф*1000),
(4.11)
где Nзп – норма затрат на
заработную плату ремонтных и вспомогательных рабочих на 1000 км пробега, Nзп=258,7 руб. Определяется
в соответствии с Нормами затрат на техническое обслуживание и ремонт подвижного
состава автомобильного транспорта Республики Беларусь, утвержденными
Министерством транспорта и коммуникаций Республики Беларусь от 1 ноября 2002 г.,
№139, 8/8827;
Кт – корректирующий
коэффициент к Нормам в зависимости от типа подвижного состава, для автобусов Кт=1
[6];
ЗПр=(258,7*70119*1*1)/(171,5*1000)=105,8
(руб.).
Налоги и отчисления от
средств на оплату труда в соответствии с формулой (4.4):
Осс=105,8*40/100=42,3
(руб.).
Затраты на автомобильное
топливо, расходуемое непосредственно на перевозочный процесс, определяются по
формуле
Rт=((Nл*L*Кк)/100+Nсо*Тсо)*Кг,
(4.12)
где Nл – линейная норма расхода
топлива, для Икарус-250 Nл=33 л/100 км, для МАЗ-152 Nл=34,2 л/100 км;
Кк – коэффициент
корректировки линейных норм расхода топлива в зависимости от дорожных и
климатических условий, работы в различных условиях, Кк=0,85;
Кг – Коэффициент,
учитывающий внутригаражный расход топлива, Кг=1,005;
Nсо – расход топлива,
приходящийся на 1 час работы кондиционера, для Икарус-250 Nсо=0 (л.), для МАЗ-152 Nсо=34,2*0,07=2,4 (л);
Тсо – время
работы кондиционера, Тсо=0,017 (час) [6].
Для Икарус-250 Rт=((33*1*0,85)/100)*1,005=0,282
(л),
Для МАЗ-152 Rт=((34,2*1*0,85)/100+2,4*0,017)*1,005=0,333
(л),
Затраты на топливо определяются по
формуле (4.5), а на смазочные и другие эксплуатационные материалы по следующей
формуле:
Sсм= Sт* Nсм/100, (4.13)
где Nсм – норма расхода смазочных и других эксплуатационных
материалов на 1 рубль затрат на топливо, Nсм=4,5% [6].
Для Икарус-250 Sт= 0,282*965=272,1 (руб.), Sсм= 272,1* 4,5/100=12,2 (руб.),
Для МАЗ-152 Sт= 0,333*965=321,3 (руб.), Sсм= 321,3* 4,5/100=14,5 (руб.),
Норма износа шин автобуса
определяется по формуле
Nш=(1000/Lэ*Кш)*100%, (4.14)
где Lэ – эксплуатационная норма пробега одной шины до списания, Lэ=93000 км;
Кш – коэффициент,
учитывающий условия эксплуатации подвижного состава, Кш=1 [6];
Nш=(1000/93000)*100=1,075
(%).
Затраты на ремонт и восстановление
шин автобуса определяются по формуле
Sш=((Цш*nш* Nш)/100)*(L/1000), (4.15)
где Цш – цена одного
комплекта автомобильных шин, принятая в соответствии с учетной политикой
организации без учета налога на добавленную стоимость, Цш=300000 руб.
[6].;
nш – количество шин,
установленных на автобусе, для Икарус-250 и МАЗ-152 nш=6 ед.;
Sш=((300000*6* 1,075)/100)*(1/1000)=19,4
(руб.).
Материальные затраты на ремонт и
техническое обслуживание подвижного состава определяются по формуле
Sр=Nр*(L/1000)*(Jпп/100)*Кт,
(4.16)
где Nр – норма затрат на запасные части, узлы, агрегаты и
материалы для технического обслуживания и ремонта подвижного состава, для МАЗ-152
Nр=64342 (руб.) [6];
Jпп- индекс цен производителей промышленной продукции
производственно-технического назначения, рассчитанный нарастающим итогом к декабрю
2001 года, Jпп
=196% [6];
для МАЗ-152 Sр=64342*1*196*1/1000*100=126,1 (руб.),
для Икарус-250, по данным РДАУП
«Автобусный парк №1»,
Sр=93 (руб.).
Амортизационные
отчисления на полное восстановление подвижного состава определяются по формуле
Sа=Ва*Nас*L*Kа/1000*100, (4.17)
где
Ва – амортизируемая стоимость автобуса, для МАЗ-152 Ва=323894600
(руб.), для Икарус-250 Ва=6176471 (руб.);
Nас – норма амортизационных отчислений, Nас=0,17%;
Ка
– коэффициент корректировки норм амортизации подвижного состава в зависимости
от условий эксплуатации, Ка=1,3 [6];
для
МАЗ-152 Sа=323894600*0,17*1*1,4/1000*100=770,9 (руб.),
для
Икарус-250 Sа=6176471*0,17*1*1,4/1000*100=14,7 (руб.).
Налоги
и платежи, включаемые в себестоимость в соответствии с действующим
законодательством, в нашем случае составят условно:
для
МАЗ-152 Nсс=3,5 (руб.), для Икарус-250 Nсс=1,4 (руб.).
Себестоимость
перевозок определяется по формуле
S=
ЗПр+
Осс+ Sт+ Sсм+ Sш+ Sр+
Sа+ Nсс (4.18).
При
использовании автобуса МАЗ-152
S=105,8+42,3+321,3+14,5+19,4+126,1+770,9+3,5=1404
(руб.), а при применении Икарус-250 S=105,8+42,3+272,1+12,2+19,4+93+14,7+1,4=560,9
(руб.).
Плановая
прибыль определяется по формуле (4.8). Для МАЗ-152 П=1404*0,0942=132,3 (руб.),
а для Икарус-250 П= 560,9*0,0942=52,8 (руб.).
Налоги,
сборы и отчисления, уплачиваемые из выручки, исчисляются в соответствии с
действующим законодательством и в нашем случае составляют:
Nсс= 41,8 (руб.) – для МАЗ-152; Nсс=16,6 (руб.) – для
Икарус-250.
Стоимость
перевозки определяется по формуле (4.9), для МАЗ-152 Дд=1404+132,3+41,8=1578,1
(руб.), для Икарус-250 Дд=560,9+52,8+16,6=630,5 (руб.).
Стоимость
перевозки с учетом налога на добавленную стоимость (Дндс)
определяется по формуле (4.10)
Для
МАЗ-152 Дндс=1578,1*1,18=1862,2 (руб.), для Икарус-250 Дндс=630,5*1,18=744
(руб.).
Итого,
стоимость организации рейса Гомель – Феодосия при использовании автобуса МАЗ-154
составит: C=20,49*14333,6+1388*1862,2=2878429,1
(руб.), а при использовании автобуса Икарус-250 С= 25,58*11767,1+1388*744=1333674,4
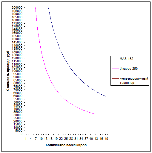
(руб.). Зависимость стоимости поездки от количества перевозимых пассажиров
представлена на рисунке 4.1.
Рисунок 4.1 – Зависимость стоимости поездки от количества
перевозимых пассажиров
Поскольку в
2005 году на маршруте Гомель – Феодосия в среднем наполняемость автобусов
составляла 35 пасс., то можно определить стоимости проезда в автобусах Икарус-250
и МАЗ-152 на маршруте Гомель-Феодосия (Таблицы 4.1–4.2). Так, стоимость проезда
из Гомеля в Феодосию на автобусе Икарус – 250 составит
С=
(11333,6*25,58+744*1388)/35=38105 (Руб.).
Анализ
таблиц раскрывает существенную разницу в стоимостях проезда в автобусах Икарус-250
и МАЗ-152 на рассматриваемом маршруте. Осуществление поездки в автобусе Икарус-250
будет актуальным для пассажиров, для которых стоимость поездки является
важнейшим доминирующим фактором при выборе транспортного средства, а в автобусе
МАЗ-152 – для пассажиров, отдающим предпочтение таким факторам как
комфортабельность поездки, скорость движения и время в пути.
4.2 Расчет
стоимостей перевозок на разрабатываемых международных автобусных маршрутах
Гомель – Киев, Гомель – Судак, Гомель – Симферополь и Гомель – Феодосия при
использовании автобусов МАЗ-152
Поскольку на
разрабатываемых международных автобусных маршрутах, для организации которых
будет использоваться автобус МАЗ-152, посадка и высадка пассажиров будет
производиться только на начальных и конечных остановочных пунктах, то расчет
стоимостей перевозок будет выполняться исходя из предположения полной загрузки
автобуса, составляющей 49 пассажиров.
Стоимости
организации рейсов, а также стоимости проезда по разрабатываемым маршрутам
сведены в таблицу 4.1.
Таблица 4.1 –
Расчет стоимостей перевозок на разрабатываемых международных автобусных
маршрутах
|
Наименование маршрута
|
Стоимость проезда, (руб.)
|
Стоимость организации рейса, (руб.)
|
|
Гомель – Феодосия
|
С=(14333,7*20,57+
+1862,2*1299)/49=55385
|
С=(14333,7*20,57+
+1862,2*1299)=2713842
|
|
Гомель – Судак
|
С=(14333,7*19+
+1862,2*1234)/49=52455
|
С=(14333,7*19+
+1862,2*1234)=2570295
|
|
Гомель – Симферополь
|
С=(14333,7*16,73+
+1862,2*1130)/49=47839
|
С=(14333,7*16,73+
+1862,2*1130)=2344089
|
|
Гомель – Киев
|
С=(14333,7*4,5+
+1862,2*270)/049=11577
|
С=(14333,7*4,5+
+1862,2*270)=567296
|
4.3
Сравнение разрабатываемых вариантов
Проведем
технико-экономическое сравнение предлагаемых вариантов перевозок пассажиров
(Таблица 4.2). Расчет доходов по первому варианту производится на основании
количества продаваемых билетов. Как правило, среди 35 пассажиров, следующих по
маршруту Гомель – Феодосия, 50% осуществляют поездку до Феодосии, 25% – до
Судака и 25% – до Феодосии. Расчет доходов по второму варианту базируется на
основании полной наполняемости автобуса.
Таблица
4.2 – Технико-экономические характеристики предлагаемых вариантов перевозок
пассажиров
|
Сравни-ваемые
вариан-
ты
|
Количество
рейсов, выполня-емых с 18.05 по 10.09
|
Доходы, тыс.
руб.
|
Себесто-имость,
тыс. руб.
|
Налоги, тыс.
руб.
|
Прибыль, тыс.
руб.
|
Рента-бель-ность,
%
|
|
1 Вариант:
Выполнение перевозок по действующему маршруту Гомель – Феодосия с применением
автобусов:
|
|
А) Икарус-250
|
116
|
147200
|
116600
|
1942
|
6149
|
5,2
|
|
Б) МАЗ-152
|
116
|
318800
|
251700
|
4427
|
14020
|
5,6
|
|
2 Вариант:
Выполнение перевозок по разрабатываемым маршрутам:
|
|
Гомель – Феодосия
|
32
|
86840
|
65480
|
1571,5
|
6548
|
9,42
|
|
Гомель – Судак
|
34
|
87390
|
65890
|
1961
|
6211
|
9,42
|
|
Гомель – Симферо-поль
|
32
|
75010
|
56550
|
1684
|
5331
|
9,42
|
|
Гомель – Киев
|
102
|
57860
|
43630
|
1298
|
4111
|
9,42
|
|
Итого по варианту
№2
|
200
|
307100
|
231550
|
6892
|
21825
|
|
|
|
|
|
|
|
|
|
Анализ таблицы
4.2 показывает, что наиболее рентабельным оказывается второй вариант перевозок
пассажиров. Разработанный вариант имеет следующие преимущества по сравнению с
первым действующим вариантом:
·
Стоимости
проезда по второму варианту значительно ниже, чем по первому. Данный факт
является одним из доминирующих при выборе пассажирами перевозчика;
·
Скорость
движения автобуса МАЗ-152 на 15% выше скорости движения автобуса Икарус-250;
·
Изменение
участка Киев – Феодосия действующего маршрута Гомель – Феодосия позволит
сократить пробег автобуса за рейс и уменьшить время поездки;
·
Полная
наполняемость автобуса будет обеспечивать наиболее рациональное использование
подвижного состава;
·
Оборудование
автобуса МАЗ-152 будет создавать наиболее комфортабельные, по сравнению с
автобусом Икарус – 250, условия поездки для пассажиров.
Рассмотрены
две модели приобретения автобусов МАЗ-154: в непосредственный кредит и в лизинговый
кредит (Таблицы 4.3 и 4.4). Как показывает анализ данных таблиц, приобретение
автобусов в лизинговый кредит является наиболее выгодным решением по сравнению
вариантом непосредственного кредита.
Таблица
4.3 – Финансовая модель приобретения автобусов (непосредственный кредит)
|
№ п.п
|
Наименование затрат
|
Годы
|
Всего
|
|
2006
|
2007
|
2008
|
2009
|
2010
|
|
1
|
Приобретается автобусов: всего
|
2
|
|
|
|
|
|
|
2
|
Стоимость за единицу, тыс. долл.
|
151,141
|
|
|
|
|
|
|
3
|
Инвестиционные затраты (тыс. долл.)
|
302
|
|
|
|
|
|
|
4
|
Финансовые обязательства дороги:
|
|
|
|
|
|
|
|
4.1
|
Возврат кредита
|
60,5
|
60,5
|
60,5
|
60,5
|
60,5
|
302,3
|
|
4.2
|
Оплата процентов по кредиту
|
28,7
|
23,0
|
17,2
|
11,5
|
5,7
|
86,2
|
|
5
|
Всего финансовых обязательств
|
89,2
|
83,4
|
77,7
|
71,9
|
66,2
|
388,4
|
|
6
|
Налог на прибыль, 24%
|
21,4
|
20,0
|
18,6
|
17,3
|
15,9
|
93,2
|
|
7
|
Итого (п. 5 + п. 6):
|
110,6
|
103,5
|
96,3
|
89,2
|
82,1
|
481,7
|
Таблица 4.4 –
Финансовая модель приобретения автобусов (лизинговый кредит)
|
№ п.п
|
Наименование затрат
|
Годы
|
Всего
|
|
2006
|
2007
|
2008
|
2009
|
2010
|
|
1
|
Приобретается автобусов: всего
|
2
|
|
|
|
|
|
|
2
|
Стоимость за единицу, тыс. долл.
|
151,141
|
|
|
|
|
|
|
3
|
Инвестиционные затраты (тыс. долл.)
|
302
|
|
|
|
|
|
|
4
|
Финансовые обязательства дороги:
|
|
|
|
|
|
|
|
4.1
|
Возврат кредита
|
60,5
|
60,5
|
60,5
|
60,5
|
60,5
|
302,3
|
|
4.2
|
Оплата процентов по лизингу
|
28,7
|
23,0
|
17,23007
|
11,486716
|
5,743358
|
86,2
|
|
4.3
|
Всего финансовых обязательств
|
89,2
|
83,4
|
71,9
|
66,2
|
388,4
|
5. Охрана труда водителя международного автобуса
Режимы труда и
отдыха водителей в международном сообщении устанавливаются в соответствии с
Европейским соглашением, касающимся работы экипажей транспортных средств,
производящих международные автомобильные перевозки (ЕСТР), государством – участником
которого является Беларусь. Водители автобусов международного сообщения должны
быть не моложе 21 года. Водитель, выполняющий перевозки пассажиров по международным
маршрутам в радиусе более 50 км от места постоянного хранения автобуса,
должен иметь стаж работы более 1 г. на транспортных средствах с разрешенным
весом свыше 3,5 т, или перевозящих пассажиров по международным маршрутам с
удалением до 50 км от места постоянного хранения этих транспортных
средств.
Продолжительность
управления автобусом между любыми двумя периодами ежедневного отдыха или
периодами ежедневного и еженедельного отдыха (ежедневная продолжительность
управления) не должна превышать 9 ч. Она может быть увеличена дважды в
течение одной недели до 10 ч. Общая продолжительность управления
автотранспортным средством в течение любых двух недель подряд не должна
превышать 90 ч. После непрерывного управления автобусом в течение 4,5 ч
водитель должен сделать перерыв не менее, чем на 45 мин (если не наступает
период отдыха), либо за то же время сделать два-три перерыва не менее 15 мин
каждый. Во время этих перерывов водитель не должен выполнять никакой другой
работы. Такие перерывы не могут рассматриваться в качестве ежедневного отдыха.
В течение
каждых 24 ч водителю должен быть предоставлен непрерывный ежедневный отдых
продолжительностью не менее 11 ч. Этот отдых может быть сокращен до 9 ч
не более 3 раз в течение одной недели при условии, что до конца следующей
недели водителю предоставляется соответствующий отдых в качестве компенсации. В
дни, когда продолжительность отдыха не сокращается, он может быть разбит на два
или три отдельных периода в течение 24 ч, один из которых должен
составлять не менее 8 ч подряд. В этом случае общая продолжительность
отдыха увеличивается не менее, чем до 12 ч. Если в течение каждых 30 ч
автобусом управляли по крайней мере 2 водителя, каждый из них должен иметь
период отдыха продолжительностью не менее 8 ч подряд.
В течение
каждой рабочей недели (с 00:00 ч понедельника до 24:00 ч воскресенья)
водителю предоставляют еженедельный отдых продолжительностью не менее 45 ч
подряд. Это время может быть сокращено до 36 ч, если отдых используется в
месте постоянного хранения автобуса или месте жительства водителя, или до 24 ч,
если отдых используется в любом другом месте. Любое сокращение
продолжительности отдыха должно быть компенсировано предоставлением
соответствующего времени отдыха в течение 3 недель.
В процессе работы на водителей
автомобиля возможно воздействие следующих опасных и вредных производственных
факторов: повышенный уровень шума и вибрации на рабочем месте; недостаточная
освещенность рабочей зоны; эмоциональные перегрузки, монотонность труда.
Водители
в соответствии с типовыми нормами бесплатной выдачи средств индивидуальной
защиты обеспечиваются: костюмом хлопчатобумажным и ботинками кожаными со
сроками носки 12 месяцев, рукавицами хлопчатобумажными с накладками со сроком
носки 1 месяц;
Водители,
участвующие в международном дорожном движении, дополнительно обеспечиваются
сигнальным жилетом с элементами из световозвращающего материала. Водители
обязаны правильно использовать предоставленные им средства индивидуальной
защиты, а в случае их отсутствия ставить в известность об этом
непосредственного руководителя работ.
Водитель
автомобиля, участвующий в международном дорожном движении, обязан: иметь при
себе свидетельство о регистрации автомобиля и водительское удостоверение,
соответствующие Конвенции о дорожном движении от 8 ноября 1968 г., либо
водительское удостоверение страны гражданства с приложением официально
заверенного перевода текста этого удостоверения на белорусский или русский
язык; иметь на автомобиле отличительный и регистрационные знаки государства, в
котором зарегистрирован этот автомобиль.
Водитель
автомобиля, оборудованного тахографом, обязан представлять по требованию
уполномоченных на то работников государственных органов Республики Беларусь
тахограмму (тахограммы). Работник, проверивший тахограмму, должен сделать
отметку на ней в порядке, установленном законодательством Республики Беларусь.
Водители
обязаны немедленно сообщать непосредственному руководителю работ или другому
уполномоченному должностному лицу нанимателя обо всех происшедших с ними дорожно-транспортных
происшествиях, несчастных случаях, нарушениях правил дорожного движения.
Водители
должны уметь оказывать доврачебную медицинскую помощь потерпевшему при
несчастном случае, знать и соблюдать правила личной гигиены. Водители, не
выполняющие требований инструкции по охране труда, привлекаются к ответственности
согласно действующему законодательству.
Требования безопасности перед
началом работы:
·
Проверить
исправность средств индивидуальной защиты, необходимых для выполнения работы.
Надеть специальную одежду, специальную обувь и другие средства индивидуальной
защиты.
·
Проверить
внешний вид, а также выполнение назначенного для него накануне технического
обслуживания или ремонта (по данным внешнего осмотра и учетной документации).
·
Осмотреть
лестницы, переходные мостики, подножки, рабочие площадки, очистить их от грязи,
снега, льда. Осмотр автомобиля в темное время суток производить с
использованием переносного электрического светильника с предохранительной
сеткой напряжением не свыше 42 В или электрического фонаря с автономным
питанием.
·
Проверить
исправность систем, агрегатов, приборов, узлов и деталей автомобиля, влияющих
на безопасность движения, в том числе: двигателя, рулевого управления,
тормозной системы; подвески, колес и шин; зеркал заднего вида, стекол,
стеклоочистителей и стеклоомывателей ветрового стекла, устройств обогрева и
обдува стекол; приборов наружного освещения, световой и звуковой сигнализации;
спидометра, тахографа, противоугонных устройств; механизма регулировки положения
сиденья водителя.
·
Проверить
комплектность автобуса, который должен быть укомплектован набором исправных
инструментов и приспособлений; домкратом необходимой грузоподъемности,
подкладкой под пяту домкрата размером, равным двух – трехкратной площади пяты
домкрата не менее чем двумя противооткатными упорами (башмаками) для
подкладывания под колеса; медицинской аптечкой; знаком аварийной остановки или
мигающим красным фонарем; огнетушителем.
·
Пройти
предрейсовый медицинский осмотр.
·
Ознакомиться
с условиями работы на линии и особенностями перевозимого груза.
·
Получить
у лица, ответственного за выпуск автомобилей на линию, путевой лист с отметками
о технической исправности автомобиля и прохождении предрейсового медицинского
осмотра, указанием маршрута следования и режима работы водителя.
Требования безопасности при выполнении работы:
·
Перед
пуском двигателя затормозить автомобиль стояночным тормозом, рычаг переключения
передач поставить в нейтральное положение, в автомобиле, подключенном к системе
подогрева, отключить и отсоединить элементы подогрева.
·
Пуск
двигателя автомобиля производить при помощи стартера. Использование пусковой
рукоятки допускается только в исключительных случаях.
·
При
пуске двигателя автомобиля пусковой рукояткой необходимо соблюдать следующие
требования: пусковую рукоятку поворачивать сверху вниз; не брать рукоятку в
обхват; при регулировке угла опережения зажигания устанавливать позднее
зажигание; не применять рычагов и усилителей, действующих на пусковую рукоятку
или храповик коленчатого вала; не привлекать к пуску двигателя рукояткой людей,
не имеющих на это право;
·
Не
допускается осуществлять пуск двигателя путем буксировки автомобиля;
·
Для
подогрева двигателя и системы питания автомобиля, устранения ледяных
образований и пробок необходимо применять только горячий воздух, воду, пар и
тому подобное. Во избежание пожара запрещается пользоваться открытым огнем;
·
Осуществлять
посадку и высадку пассажиров только после полной остановки автомобиля, а
начинать движение только с закрытыми дверьми и не открывать их до полной
остановки;
·
В
целях предотвращения возникновения пожара запрещается: допускать скопление на
двигателе, его картере, выпускной трубе и глушителе грязи и масла; оставлять в
кабине и на двигателе загрязненные маслом и топливом использованные обтирочные
материалы; эксплуатировать неисправные приборы системы питания автомобиля;
применять для мытья двигателя бензин и другие легковоспламеняющиеся жидкости;
при неисправности топливной системы подавать бензин в карбюратор непосредственно
из емкости шлангом или другим способом; курить в непосредственной близости от
приборов системы питания двигателя; пользоваться открытым огнем при определении
и устранении неисправности механизмов и систем, подогревать двигатель открытым
огнем; применять устройства с открытым огнем для обогрева кабины или
приготовления в ней пищи;
·
Во
время стоянки запрещается отдыхать или спать в кабине или закрытом кузове при
работающем двигателе, использовать его для обогрева кабины на стоянках;
·
Заправку
автомобиля производить в соответствии с правилами безопасности, установленными
для заправочного пункта. Перед заправкой автомобиля необходимо остановить
двигатель, выключить зажигание;
·
Во
время работы пользоваться выданными средствами индивидуальной защиты и
своевременно ставить в известность непосредственного руководителя работ о
необходимости их химчистки, стирки, сушки, ремонта и обезвреживания.
Требования
безопасности в аварийных ситуациях:
·
При
возникновении пожара на автомобиле немедленно остановить его, заглушить
двигатель, выключить зажигание, отключить массу, перекрыть подачу топлива и
приступить к тушению огня с помощью огнетушителя;
·
В
случае возникновения пожара в зоне стоянки автомобилей или на территории
организации эвакуировать автомобиль в соответствии с разработанным планом
эвакуации;
·
При
несчастном случае следует немедленно принять необходимые меры для оказания
потерпевшему доврачебной медицинской помощи, доставки потерпевшего в
медицинское учреждение, сообщить в Государственную автомобильную инспекцию о
дорожно-транспортном происшествии.
Требования
безопасности по окончанию работы:
·
После
прибытия с линии произвести осмотр автомобиля согласно перечню операций,
установленных инструкцией по эксплуатации данного автомобиля;
·
Обо
всех обнаруженных неисправностях, поломках и повреждениях сообщить лицу,
ответственному за техническое состояние и эксплуатацию автомобилей;
·
Поставить
автомобиль в отведенное для стоянки место;
·
Во
всех случаях после постановки автомобиля на место стоянки выключить зажигание,
затормозить автобус стояночным тормозом.
·
Привести
в порядок рабочее место;
·
После
окончания всех работ снять средства индивидуальной защиты, поместить их в место
хранения, вымыть руки и лицо теплой водой с мылом, при возможности принять душ.
6. Разработка мероприятий
по снижению воздействия автотранспорта на окружающую среду при выполнении
перевозочного процесса
перевозка международный сообщение транспорт
6.1 Автотранспорт как основной источник загрязнения
атмосферного воздуха
К мобильным
источникам относятся автомобили и транспортные механизмы, передвигающиеся по
земле, по воде и по воздуху. В больших городах к числу основных источников
загрязнения атмосферного воздуха относится автотранспорт. Отходящие газы
двигателей содержат сложную смесь, их более чем двухсот компонентов, среди
которых немало канцерогенов.
Основные
виды выбросов загрязняющих веществ от автотранспорта приведены в таблице 6.1.
Таблица
6.1-Основные виды загрязнений от автотранспорта
|
ТИП ДВИГАТЕЛЯ
|
ТОПЛИВО
|
ОСНОВНЫЕ ВИДЫ
ЗАГРЯЗНЕНИЙ
|
ПРИМЕРЫ
|
|
Четырехтактный
двигатель внутреннего сгорания
|
Бензин
|
Углеводороды,
оксид углерода, оксиды азота
|
Автомобили, автобусы,
самолеты, мотоциклы
|
|
Двухтактный
двигатель внутреннего сгорания
|
Бензин (с
добавлением масла)
|
Углеводороды,
оксид углерода, оксид азота, твердые вещества
|
Мотоциклы
вспомогательные моторы
|
|
Дизель
|
Лигроин
|
Оксиды азота,
твердые вещества
|
Автобусы, трактора,
машины, поезда
|
Вредные
вещества при эксплуатации подвижных транспортных средств поступают в воздух с
отработавшими газами, испарениями из топливных систем и при заправке, а так же
с картерными газами. На выбросы оксида углерода значительное влияние оказывает
рельеф дороги и режим движения автомашины. Так, например, при ускорении и
торможении в отработавших газах увеличивается содержание оксида углерода почти
в 8 раз. Минимальное количество оксида углерода выделяется при равномерной
скорости автомобиля 60 км/ч.
В
таблице 6.2 приведены значения концентрации основных примесей карбюраторного
двигателя при различных режимах его работы.
Таблица
6.2 - Концентрация
веществ в зависимости от режима работы карбюраторного двигателя
Режим работы двигателя
|
Оксид углерода, %
по объёму
|
Углеводороды, мг/л
|
Оксиды азота, мг/л
|
|
Холостой ход
|
4–12
|
2–6
|
–
|
|
Принудительный
холостой ход
|
2–4
|
8–12
|
–
|
|
Средние нагрузки
|
0–1
|
0,8–1,5
|
2,5–4,0
|
|
Полные нагрузки
|
2
|
0,7–0,8
|
4–8
|
Выбросы
оксидов азота максимальны при отношении воздух – топливо 16:1. Таким образом,
значения выбросов вредных веществ в отработавших газах автотранспорта зависят
от целого ряда факторов: отношения в смеси воздуха и топлива, режимов движения
автотранспорта, рельефа и качества дорог, технического состояния автотранспорта
и др. Состав и объёмы выбросов зависят также от типа двигателя. В таблице 6.3
показаны выбросы ряда вредных веществ карбюраторного и дизельного двигателей.
Таблица
6.3 – Выбросы (% по объёму) веществ при работе дизельных и карбюраторных двигателей
|
ВЕЩЕСТВО
|
ДВИГАТЕЛЬ
|
|
Карбюраторный
|
Дизельный
|
|
Оксид углерода
|
0,5–12,0
|
0,01–0,5
|
|
Оксид азота
|
0,005–0,8
|
0,002–0,5
|
|
Углеводороды
|
0,2–0,3
|
0,009–0,5
|
|
Бенз(а) пирен
|
До 20 мкг/м3
|
До 10 мкг/м3
|
Как
видно из данных таблицы 6.3, выбросы основных загрязняющих веществ значительно
ниже в дизельных двигателях. Поэтому принято считать их более экологически
чистыми. Однако дизельные двигатели отличаются повышенными выбросами сажи,
образующейся вследствие перегрузки топлива. Сажа насыщена канцерогенными
углеводородами и микроэлементами; их выбросы в атмосферу недопустимы. В данном
дипломном проекте рассматриваются варианты применения автобусов с дизельными
двигателями.
6.2 Загрязнение
придорожных земель
Загрязнение воздуха
ухудшает качество среды обитания всего населения придорожных территорий и
контрольные санитарные и природоохранные органы обоснованно обращают на него
первоочередное внимание. Однако распространение вредных газов имеет все же
кратковременный характер и с уменьшением или прекращением движения также
снижается. Все виды загрязнения воздуха через сравнительно короткое время
переходят в более безопасные формы.
Загрязнение поверхности
земли транспортными и дорожными выбросами накапливается постепенно, в
зависимости от числа проходов транспортных средств и сохраняется очень долго
даже после ликвидации дороги.
Наиболее распространенным
и токсичным транспортным загрязнителем, считается свинец. Он относится к
распространенным элементам: его среднемировой кларк (фоновое содержание) в
почве считается 10 мг/кг. Примерно такого же уровня достигает содержание свинца
в растениях (на сухую массу). Общесанитарный показатель ПДК свинца в почве с учетом
фона – 32 мг/кг.
Согласно исследованиям,
содержание свинца на поверхности почвы на краю полосы отвода обычно составляет
до 1000 мг/кг, но в пыли городских улиц с очень большим движением может быть в
5 раз больше. Большинство растений легко переносят повышенное содержание в
почве тяжелых металлов, только при содержании свинца более 3000 мг/кг возникает
заметное угнетение. Для животных опасность вызывает уже 150 мг/кг свинца в
пище.
По данным ряда наблюдений
из общего количества выбросов твердых частиц, включая металлы, примерно 25%
остается до смыва на проезжей части, 75% распределяется на поверхности
прилегающей территории, включая обочины. В зависимости от конструктивного
профиля и площади покрытия в сточные дождевые или смывные воды попадает от 25% до
50% твердых частиц [11].
Уровень загрязненности
свинцом поверхностного слоя почвы на расстоянии l от оси крайней полосы
движения определяется по формуле
Pр=Ре/h*g, (6.1)
где h – толщина слоя
проникновения загрязнения, h=0,25 м;
g – плотность почвы в расчетном
слое, g=
1300 кг/м3;
Ре – распространение
количества выбросов, г/м2,
Ре=Р*l-b*kh*kw, (6.2)
где b – эмпирический
показатель степени рассеивания, b=0,42;
kh – коэффициент,
учитывающий возвышение проезжей части над окружающей местностью, kh=1;
kw – коэффициент,
учитывающий силу и направление ветра, определяется по формуле
kw=1+
W*Vi*Ki*singi, (6.3)
где W – среднегодовая скорость
ветра, W=6 м/с;
Vi – повторяемость ветров i-го румба, Vi=0,125;
gi-угол между осью дороги и
направлением i-го
румба, gi=25;
тогда kw=1+6*0,125*sin25=1,32;
l – расстояние от оси
крайней полосы движения, l=3,5 м.;
P=365*T*Ni*gi*Pi, (6.4)
где Т – срок службы
дороги, Т=20 лет;
Ni-интенсивность движения, Ni=14000 авт/сут,
gi-средний расход топлива
автомобилями данной группы, gi=0,274 г./м;
Pi-среднее относительное
количество добавки свинца в топливе данной группы автомобилей, Pi=0,00008 г./г [11],
тогда
Р=365*20*14000*0,274*0,00008=2240 г./м,
тогда Ре=2240*3,50,42*1*1,32=5004,2
г/м2.
Уровень загрязненности
свинцом поверхностного слоя почвы на расстоянии l от оси крайней полосы
движения составит Рр=5004,2/0,25*1300=15,4 г/кг.
6.3 Утилизация
транспортных средств
Рассматриваемый этап
замыкает жизненный цикл транспортного средства и включает операции разборки
агрегатов и узлов, сортировки, переработки отдельных видов конструкционных и
эксплуатационных материалов для их повторного использования, утилизации
отходов. С ростом численности парка возрастает актуальность проблемы утилизации
транспортных средств, выработавших ресурс.
Непригодные детали из
конструкционных материалов сортируются по виду материала, дробятся и
отправляются на переплавку. Тяжелые металлы поступают в двухстадийную
сортировку, в результате которой отделяется медь, латунь, нержавеющая сталь,
свинец, другие металлы и сплавы. Дополнительной обработке подвергают лом
оцинкованных металлов. Пластмассы, как правило, повторно не используются и
сжигаются, что сопровождается выделением значительного количества токсичных
веществ в атмосферный воздух.
Переработка непригодных к
ремонту (использованию) деталей и узлов осуществляется следующими способами:
прессованием, резкой, обработкой в дробильных установках. Продукты переработки
дробильных установок очищаются от загрязнений; тяжелые металлы отделяются от
алюминиевых сплавов, которые переплавляются и выдаются в виде алюминиевых
отливок.
Повторное (многократное)
использование материалов является одним из путей сокращения выбросов вредных
веществ, снижения энергозатрат при их производстве. В таблице 6.4 представлены
значения выбросов вредных веществ и энергозатраты при производстве материалов
не из ископаемого сырья, а из лома металлов (или при регенерации масел).
Таблица 6.4 – Выбросы
вредных веществ и энергозатраты при повторном использовании отдельных видов
материалов, г/кг
|
Показатель
|
Сталь
|
Алюминий
|
Медь
|
Свинец
|
Масло
|
|
Аэрозоли
|
541,9
|
0,6
|
0,9
|
0,8
|
1,8
|
|
CO2
|
795,9
|
441
|
646,8
|
588,0
|
347,8
|
|
CO
|
864,0
|
3,9
|
82,5
|
36,9
|
7,7
|
|
NOx
|
1,6
|
5,9
|
8,6
|
7,9
|
1,0
|
|
SO2
|
0,3
|
31
|
134,5
|
56,0
|
10,9
|
|
CxHy
|
-
|
0,04
|
0
|
-
|
4,5
|
|
AlF3
|
-
|
1,35
|
-
|
-
|
-
|
|
Энергозатраты,
КВт*ч/кг
|
11,5
|
15,0
|
22,0
|
20,0
|
2,5
|
При регенерации
отработанного моторного масла, норматив сбора которого на транспортных
предприятиях составляет 30–45%, энергозатраты на гидроочистку и восстановление
свойств в 20 раз меньше затрат энергии на производство масла из нефти.
Повторное использование
лома алюминия, регенерация моторного масла дает максимальный эффект по
уменьшению выбросов вредных веществ в сравнении с производством данных
материалов из руд металлов и сырой нефти. Для других групп металлов повторное
использование дает значительное уменьшение выбросов SO2 для меди (в 8,3 раза) и
стали (в 70 раз). Существенно снижаются выбросы твердых частиц при замене
медного колчедана ломом меди.
В приложении 6 приведена
схема потока материалов при утилизации автобуса, которая предусматривает 5
уровней (5 этапов) реализации.
Первый этап – демонтаж
транспортного средства. Часть узлов и агрегатов (двигатель, коробка передач,
оси, аккумулятор, шины) могут повторно устанавливаться на новых автомобилях без
каких-либо ремонтных воздействий или при осуществлении ремонта, например,
наварки протектора шин. Часть материалов считается безвозвратно потерянной
(истирание шин и др.).
Второй этап – сортировка
деталей по материалам (черные и цветные металлы, пластмассы). При этом масса
повторно используемых в новой конструкции черных и цветных металлов (в виде
лома) может достигать до 50% массы транспортного средства.
Третий этап – пиролиз
органических соединений (пластмасс или композитов) и получение кокса, нефти,
газа, используемых в качестве энергоресурсов, а также некоторой доли черных и
цветных металлов, содержащихся в композитах, которые отправляются на
переплавку.
Четвертый этап – процесс
сжигания остатков шин, пластмасс и получение тепловой энергии с выделением
шлаков, отработавших газов.
Пятый этап – захоронение
отходов, образующихся на каждом из предыдущих этапов утилизации.
В результате реализации
данной технологии подлежат захоронению отходы, масса которых составляет не
более 30% от массы транспортного средства [4].
Заключение
В процессе выполнения
дипломного проекта была проведена работа по изучению существующей ситуации в
области регулярных международных автобусных перевозок, выполняемых
Республиканским дочерним автотранспортным унитарным предприятием «Автобусный
парк №1» г. Гомеля, а также предложены пути усовершенствования сложившейся
ситуации. При разработке перспективных регулярных международных автобусных
маршрутов с начальным пунктом отправления г. Гомель были рассмотрены
следующие вопросы:
I.
Анализ
существующих международных маршрутов позволил изучить шесть международных
регулярных маршрутов: Гомель – Трускавец, Гомель – Феодосия, Гомель – Чернигов,
следующих на Украину; и Гомель – Москва, Гомель – Орел, Гомель – Климово,
следующих в Российскую Федерацию. Чаще всего, осуществляются рейсы на Чернигов
(5 рейсов в день), а реже всего – на Феодосию, что объясняется его
восстребованностью лишь в летний период. Протяженность рейса Гомель – Москва
составляет 706 км, Гомель – Климово – 114 км, Гомель – Орел – 429 км,
Гомель – Трускавец – 831 км, Гомель – Чернигов – 116 км, Гомель –
Феодосия – 1388 км. Продолжительность рейса Гомель – Москва составляет 14
часов и 30 минут; Гомель – Климово – 3 часа 44 минуты, Гомель – Орел – 11 часов
25 минут, Гомель – Трускавец – 16 часов 30 минут, Гомель – Чернигов – 3 часа 45
минут и Гомель – Феодосия – 25 часов 35 минут.
II.
Анализ
технико-экономической характеристики международных автобусных перевозок,
осуществляемых РДАУП «Автобусный парк №1». показал, что в 2004 году помимо
существующих ныне маршрутов, следующих на Москву, Орел, Климово, Феодосию,
Трускавец и Чернигов, РДАУП «Автобусный парк №1» выполнялись также
международные автобусные рейсы на Киев и Рославль. Но из-за низкой
рентабельности была прекращена перевозка пассажиров в данных направлениях.
наиболее рентабельными являются международные автобусные перевозки в
направлении Гомель – Чернигов, наименее рентабельными – в направлениях Гомель –
Трускавец и Гомель – Феодосия. Кроме того, необходимо отметить что, уровни
рентабельности в 2005 году снизились по сравнению с 2004 годом.
III.
Анализ
технико-эксплуатационная характеристики международных автобусных перевозок
показывает, что положительная динамика касается лишь среднего расстояния
перевозки и эксплуатационной скорости международных автобусов.
IV.
Маркетинговые
исследования международных автобусных перевозок, выполняемых РДАУП «Автобусный
парк №1» показали, что наиболее рентабельными являются перевозки,
осуществляемые на относительно небольшие расстояния. Данный факт можно
объяснить тем, что для поездок на небольшие расстояния пассажиры, как правило,
останавливают свой выбор на автомобильном транспорте, а для более длительных
поездок предпочитают железнодорожный транспорт. Маршрут Гомель – Феодосия
является самым нерентабельным. Это обусловлено следующими факторами: 1) Основной
пассажиропоток на данном маршруте следует лишь до промежуточных пунктов,
преимущественно до Чернигова и до Киева, не доезжая до конечного пункта
назначения; 2) На рассматриваемом маршруте наблюдается низкий коэффициент
пересадочности, что, в конечном итоге, снижает доходы, получаемые от перевозок;
3) Существует прямое регулярное железнодорожное сообщение из Гомеля в Феодосию,
которое создаёт весьма значимую конкуренцию автобусным перевозкам прежде всего
потому, что стоимость проезда по железной дороге гораздо ниже (стоимость билета
на плацкартный вагон из Гомеля до Феодосии составляет 40000 белорусских
рублей); 4) Высокая продолжительность и частые остановки делают поездку менее
комфортабельной, что в свою очередь снижает пассажиропоток.
V.
При
разработке вариантов организации пассажирских перевозок в международном
регулярном сообщении были предложены следующие пути усовершенствования маршрута Гомель
– Феодосия с целью повышения его рентабельности: 1. Рассмотрены два варианта
при организации действующего маршрута Гомель – Феодосия: 1.1) Выполнение
перевозок с применением автобуса марки Икарус-250, 1.2) Выполнение перевозок с
применением автобуса марки МАЗ-152; 2. Предложен вариант изменения
существующего маршрута Гомель – Феодосия путем организации отдельных регулярных
международных автобусных маршрутов: Гомель – Киев, следующего три раза в
неделю, по выходным; Гомель – Феодосия, Гомель – Симферополь, Гомель – Судак,
следующих один раз в неделю; в качестве подвижного состава для организации
рассматриваемых маршрутов предложен автобус МАЗ-152. Изменение части маршрута
Гомель – Феодосия позволит сократить и прямые и обратные рейсы маршрутов Гомель
– Феодосия, Гомель – Симферополь и Гомель – Судак на 89 километров. Поскольку данные
маршруты будут безостановочными, то сократится продолжительность поездки.
Использование автобусов МАЗ-152 позволит увеличить скорость движения на
разрабатываемых маршрутах на 15%. Для осуществления каждого из вариантов
необходимо 2 автобуса соответствующей марки.
VI.
Проведенное
технико-экономическое сравнение всех предложенных вариантов позволяет сделать
вывод о том, что изменение маршрута Гомель – Феодосия путем организации новых
перспективных регулярных международных автобусных маршрутов Гомель – Феодосия,
Гомель – Судак, Гомель – Симферополь и Гомель – Киев является наиболее
рациональным решением проблемы убыточности действующего маршрута Гомель –
Феодосия. Такое преобразование позволяет достичь уровня рентабельности, равного
9,42%, на каждом новом маршруте. Для сравнения, при выполнении перевозок по
действующему маршруту с применением автобуса Икарус-250 рентабельность составит
5,2%, а с применением МАЗ-152 – 5,6%. Необходимо отметить, что на
разрабатываемых международных автобусных маршрутах, где посадка и высадка
пассажиров будет производиться только на начальных и конечных остановочных
пунктах, расчет технико-экономических показателей перевозок был выполнен исходя
из предположения полной загрузки автобуса, А расчет данных показателей при
выполнении перевозок по действующему маршруту производился на основании данных
РДАУП «АП-1» о величине средней наполняемости автобусов, которая составляла в
2005 году 35 пассажиров. Анализ двух моделей приобретения МАЗ-152 показывает,
что приобретение автобусов в лизинговый кредит является наиболее выгодным
решением по сравнению вариантом непосредственного кредита. При этом сумма
финансовых обязательств при покупке двух автобусов МАЗ-152 составит 388,4 тыс. у. е.
VII.
Изучение
охраны труда водителя позволило составить графики труда и отдыха водителей в
соответствии с Европейским соглашением, касающимся работы экипажей транспортных
средств, производящих международные автомобильные перевозки.
VIII.
При
рассмотрении вопроса о воздействии автотранспорта на окружающую среду при
выполнении перевозочного процесса был определен уровень загрязненности свинцом
поверхностного слоя почвы на расстоянии l от оси крайней полосы
движения, который составил 15,4г/кг. Также в данном вопросе была рассмотрена
проблема актуальности утилизации транспортных средств.
Список литературы
1. Атлас автомобильных
дорог, Мн.: 2002. – 383 с.
2. Блатнов М.Д. Пассажирские
автомобильные перевозки: Учеб. Для средних специальных учебных заведений. –
М.:Транспорт, 1981.-222 с.
3. Вельможин А.В., Гудков В.А.,
Миротин Л.Б. Теория транспортных процессов и систем: Учеб. Для вузов.
– М.: Транспорт, 1998. – 167 с.
4. В.И. Луканин, Ю.В. Трофименко
Промышленно-транспортная экология. – М.: Высшая школа, 2001.-295 с.
5. Володин Е.П., Громов Н.Н. Организация
и планирование перевозок пассажиров автомобильным транспортом: Учеб. Для вузов.
– М.: Транспорт, 1982.-224 с.
6. Главный бухгалтер.
Транспорт, 2006, №1.
7. Гудков В.А., Миротин Л.Б. Технология,
организация и управление пассажирскими автомобильными перевозками: Учеб. Для
вузов. – М.: Транспорт, 1997. – 254 с.
8. Гуляев В.Г. Туристские
перевозки: документы, правила, формуляры, технология. – М.: Финансы и
статистика, 1998.-368 с.
9. Дмитриев О.А. Междугородние
автобусные перевозки. – М.: Транспорт, 1982. – 216 с.
10.
И.В. Спирин
Организация и управление пассажирскими автомобильными перевозками. – М.: Академия,
2003. – 396 с.
11.
И.Е. Евгеньев,
Б.Б. Каримов. Автомобильные дороги в окружающей среде. – М.:
Трансдорнаука, 1997.
12.
Котлер
Ф. Основы маркетинга: Пер. с англ. / Под общей ред. Е.М. Пеньковой. –
М.: Прогресс, 1990.
13.
Краткий
автомобильный справочник. – М.: Транспорт, 1985.-223 с.
14.
Куршин А.Б.,
Николаев В.Б. Организация перевозок пассажиров автобусами в
международном сообщении. – М.: ООО «Красная площадь», 1999. – 138 с.
15.
Межотраслевая
типовая инструкция по охране труда для водителя автомобиля.
16.
Пассажирские
автомобильные перевозки: Учеб. для вузов/ Л.Л. Афанасьев, А.И. Воркут,
А.Б. Дьяков и др.; Под ред. Н.Б. Островского. – М.: Транспорт, 1986.
– 220 с.
17.
Спирин И.В. Транспортное
право: Учеб. пособие. – М.: Транспорт, 2001. – 303 с.
18.
Туревский И.С. Экономика
и управление автотранспортным предприятием: Учеб. пособие для среднего
специального образования. – М.: Высшая школа, 2005. – 222 с.