Рухомий склад і тяга поїздів

  • Вид работы:
    Курсовая работа (т)
  • Предмет:
    Транспорт, грузоперевозки
  • Язык:
    Русский
    ,
    Формат файла:
    MS Word
    216,00 kb
  • Опубликовано:
    2010-12-14
Вы можете узнать стоимость помощи в написании студенческой работы.
Помощь в написании работы, которую точно примут!

Рухомий склад і тяга поїздів

ЗАВДАННЯ № 21

на курсову роботу з дисципліни

“Транспортні засоби (Рухомий склад і тяга поїздів)”

ВИХІДНІ ДАННІ

1. Серія локомотива 2M-62

2. Структура поїзда за типами вагонів, %:

а) чотиривісних 82

б) шестиосних  ––

в) восьмиосних 18

3. Навантаження від колісної пари вагона на рейки, т:

а) чотириосних 88/86

б) шестиосних  ––

в) восьмиосних 166

4) Кількість гальмівних осей у складі 97 %

5) Гальмівні колодки чавунні;

6) Частка чотиривісних вагонів у складі за видами підшипників у буксах:

-ковзання 5 %

-кочення 0.95 %

7) Поздовжній профіль ділянки колії № 4

8) Довжина приймально-відправних колій 850 м;

9) Початкова температура перегріву обмоток тягових електричних машин 20 °C

ДОДАТОК

Таблиця 1 - Розрахункові параметри локомотива

Серія

локомотива

Розрахункова сила тяги  Fкр, Н

Розрахункова швидкість Vp,, км/год

Розрахункова маса

Р, т

Конструктивна швидкість

Vкон, км/год

Сила тяги при рушанні з місця

Fктр, Н

Довжина локомотива lл, м

2М62

392000

20

240

100

706320

36


Таблиця 2 - Профіль колії

№ Елемента

Крутизна ухилу, %

Довжина елемента,м

Криві (радіус і довжина, м)

Станція дільниці

1

0,0

1600


Станція А

2

+2,0

1000

R=800; Sкр = 400


3

0,0

1800



4

+4,0

800

R=1200; Sкр = 650


5

0,0

1000

R=1500; Sкр = 400


6

-10,0

1500



7

-8,0

7800



8

-2,0

1700



9

-5,0

600

R=1500; Sкр = 450


10

+1,0

1500



11

0,0

2000


Станція К

12

+4,0

800

R=850; Sкр = 750


13

+5,0

1800



14

0,0

1300



15

+12,0

1500



16

+9,0

8000



17

+1,0

1800



18

-4,0

2750

R=700; Sкр = 350


19

-3,0

860



20

-1,5

1950



21

0,0

2000



22

+2,0

2500



23

+1,5

1800


Станція Е

ЗМІСТ

Вступ

1. Визначення розрахункового підйому.

2. Спрямлення профілю колії.

3. Розрахунок маси состава

4. Перевірка розрахункової маси состава на можливість надійного подолання короткого підйому крутизною більше розрахункового

5. Перевірка розрахованої маси состава на рушення з місця на роздільних пунктах

6. Перевірка маси состава по довжині приймально-відправних колій

7. Побудова діаграми питомих рівнодіючих сил

8. Рішення гальмівної задачі

9. Побудова кривих швидкості v=f(s) та часу хода поїзда t=f(s), струму iг= f(s)

10. Визначення часу ходу поїзда по перегонах

11. Визначення часу ходу поїзда методом рівномірних швидкостей

12. Перевірка електричних машин локомотива на нагрівання

13. Визначення витрат енергоресурсів локомотивом

14. Побудова тонно-кілометрової діаграми

Висновок

Література

ВСТУП

При розробці проектів нових залізниць, переводі існуючих ліній на електричну і тепловозну тягу і під час експлуатації доводиться вирішувати цілу низку питань, пов’язаних з рухом поїздів . Ці питання є предметом тягових розрахунків. У відповідності з навчальним планом студенти спеціальностей «Управління процесами перевезень на залізничному транспорті», «Рухомий склад і спеціальна техніка залізничного транспорту» виконують курсову роботу по тяговим розрахункам . Задачею проектування по тязі поїздів є не лише закріплення отриманих знань в цій області, але і вироблення у студентів вміння самостійно вирішувати питання, пов’язані із найбільш раціональним використанням потужності локомотивів.

Курсову роботу необхідно виконувати, обдумано застосовуючи розрахункові формули і ретельно продумуючи висновки і результати. Цілковито недопустиме механічне застосування формул і виконання по них розрахунків. Методичні вказівки, які приводяться нижче, не звільняють студента від необхідності глибоко і уважно розібратися в питаннях, що розглядаються, використовуючи рекомендовану літературу. При невиконанні цього студент не отримує необхідних знань і виявиться непідготованим до екзамену (заліку) з дисципліни. Методичні вказівки містять короткі теоретичні відомості та методику виконання курсової роботи.

Тягові розрахунки проводяться на основі “ Правил тяговых расчетов для поездной работы” (ПТР), які визначають порядок і методику розв’язання задач і містять основні характеристики локомотивів, вагонів і інші нормативні дані, які є вихідними для розрахунків.

1. ВИЗНАЧЕННЯ РОЗРАХУНКОВОГО ПІДЙОМУ

Розрахунковий підйом - це найбільш важкий для руху в даному напрямку елемент профілю колії, на якому досягається розрахункова швидкість, що відповідає розрахунковій силі тяги локомотива. Досить довгий і найбільш крутий підйом ділянки приймається за розрахунковий. Найбільш крутий підйом заданої ділянки які мають невелику довжину і якщо йому передують «легкі» елементи профілю (спуски, площадки), на яких поїзд може розвити високу швидкість, те такий підйом не може бути прийнятий за розрахунковий, тому що поїзд переборе його за рахунок накопиченої кінетичної енергії

Розрахунковим підйомом буде елемент №16

i =+9,0 ‰

S=8000 м

Швидкісний спуск - елемент №6

i = - 10,0 ‰

S= 1500 м

2. СПРЯМЛЕННЯ ПРОФІЛЮ КОЛІЇ

Спрямлення профілю полягає в заміні двох або декількох суміжних елементів поздовжнього профілю колії одним елементом, довжина якого Sc дорівнює сумі довжин елементів, які спрямляються (S1,S2…,Sn), тобто

 

Sc = S1+S2+…+Sn ,                                     (1)

а крутизна розраховується за формулою

 

i'c=( i1S1+ i2S2+…+ inSn) /(S1+ S2+…+ Sn),      (2)

де i1, i2,,…, in – крутизна елементів дільниці, що спрямляється, ‰.

Можливість спрямлення групи елементів перевіряють за формулою

 

Si≤ 2000/∆i ,             (3)

де Si - довжина елемента, що спрямляється, м ;

i – абсолютна велечина різниці між ухилом спрямленої дільниці і ухилом елемента, що перевіряється, ‰ тобто ‌‌‌‌‌|i'c ii|.

Криві на спрямленій дільниці замінюються фіктивним підйомом, крутизна якого визначається за формулою

 

iс’’=(700/Sc )∑( Sкрi /Ri ) ,          (4)

 

де Sкрi і Ri - довжина і радіус кривих спрямленої дільниці, м.

Крутизна спрямленої дільниці з урахуванням фіктивного підйому від кривої

 

іс= іс+ іс’’             (5)

Спрямлення елементів профілю колії: № 2,3

Sc=1000+1800=2800 м R2=800 м Sкр2=400 м

i'c = (1000·2,0+1800·0,0)/2800=0,71 ‰

i2=׀0,71 - 2,0׀= 1,29

i3=׀0,71 - 0,0׀= 0,71

S2=1000м<2000/1,29=1550 м – задовільняє нерівність

S3=1800м<2000/0,71=2817 м – задовільняє нерівність

iс’’=(700/2800)·(400/800)=0,13 ‰

іс= 0,71 + 0,13 = +0,84 ‰

Спрямлення елементів профілю колії: № 4,5

Sc=800 + 1000=1800 м R4=1200 м Sкр4=650 м R5=1500 м Sкр5=400 м

i'c = (800·4,0+1000·0,0)/1800=1,78 ‰

i4=׀1,78 - 4,0׀= 2,22

i5=׀1,78 - 0,0׀= 1,78

S4=800м<2000/1,22=901 м – задовільняє нерівність

S5=1000м<2000/1,78=1124 м – задовільняє нерівність

iс’’=(700/1800)·(650/1200+400/1500)=0,31 ‰

іс= 0,78 + 0,31 = +2,09 ‰

Спрямлення елементів профілю колії: № 8,9

Sc=1700 + 600=2300 м R9=1500 м Sкр9=450 м

i'c = (1700·(-2,0)+600·(-5,0))/2300=-2,78 ‰

i8=׀-2,78 –(- 2,0)׀= 0,78

i9=׀-2,78 –(- 5,0)׀= 2,3

S8=1700м<2000/0,78=2564 м – задовільняє нерівність

S9=600м<2000/2,3= 870м – задовільняє нерівність

iс’’=(700/2300)·(450/1500)=0,091 ‰

іс= -2,78 + 0,091 = -2,69 ‰

Спрямлення елементів профілю колії: № 12

Sc=800 + 1800=2600 м R12=850 м Sкр12=750 м

i'c = (800·4,0+1800·5,0)/2600=4,69 ‰

i12=׀4,69 - 4,0׀= 0,69

i13=׀4,69 - 5,0׀= 0,31

S12=800м<2000/0,69=2899 м – задовільняє нерівність

S13=1000м<2000/0,31=6452 м – задовільняє нерівність

iс’’=(700/2600)·(750/850)=0,24 ‰

іс= 4,69 + 0,24 = +4,93 ‰

Спрямлення елементів профілю колії: № 18,19

Sc=2750 + 860=3610 м R18=700 м Sкр18=350 м

i'c = (2750·(-4,0)+860·(-3,0))/3610=-3,76 ‰

i18=׀-3,76 –(- 4,0)׀= 0,24

i19=׀-3,76 –(- 3,0)׀= 0,76

S18=2750м<2000/0,24=8333 м – задовільняє нерівність

S19=860м<2000/0,76= 2632 м – задовільняє нерівність

iс’’=(700/3610)·(350/700)=0,097 ‰

іс= -3,76 + 0,097 = -3,66 ‰

Спрямлення елементів профілю колії: № 20,21

Sc=1950 + 2000=3950 м

i'c = (1700·(-1,5)+2000·(0,0))/2300=-0,74 ‰

i20=׀-0,74 –(- 1,5)׀= 0,76

i21=׀-0,74 – 0,0׀= 0,74

S20=1700м<2000/0,78=2632 м – задовільняє нерівність

S21=600м<2000/2,3= 2703м – задовільняє нерівність

іс= -0,74 ‰

 

Всі результати спрямлення наведені в табл. 1

Результати спрямлення профілю     Таблиця 1

Номер елемента

Крутизна елемента і,

Довжина елемента S, м

Криві

Довжина спрямленої дільниці Sc, м

Крутизна спрямленої дільниці іс, ‰

Фіктивний підйом від кривих іс, ‰

Сумарна крутизна спрямленої дільниці    іс= іс’+ іс’’, ‰

№ спрямлених ділянок

Станція

R, м

Sкр, м

туди

звідти

1

0,0

1600



1600



0,00

0,00

1

А

2

2,0

1000

800

400

2800

0,71

0,13

0,84

-0,58

2


3

0,0

1800



4

4,0

800

1200

650

1800

1,78

0,31

2,09

-1,47

3


5

0,0

1000

1500

400

6

-10,0

1500



1500



-10,00

10,00

4


7

-8,0

7800



7800



-8,00

8,00

5


8

-2,0

1700



2300

-2,78

0,09

-2,69

2,87

6


9

-5,0

600

1500

450

10

1,0

1500



1500



1,00

-1,00

7


11

0,0

2000



2000



0,00

0,00

8

К

12

4,0

800

850

750

2600

4,69

0,24

4,93

-4,45

9


13

-1,5

1800



14

0,0

1300



1300



0,00

0,00

10


15

12,0

1500



1500



12,00

11


16

9,0

8000



8000



9,00

-9,00

12


17

1,0

1800



1800



1,00

-1,00

13


18

-4,0

2750

700

350

3610

-3,76

0,09

-3,66

3,86

14


19

-3,0

860



20

-1,5

1950



3950

-0,74


-0,74

0,74

15


21

0,0

2000



22

2,0

2500



2500





16


23

1,5

1800



1800





17

Е

3. РОЗРАХУНОК МАСИ СКЛАДУ

Масу вантажного состава визначаємо виходячи з повного використання тягових і потужнісних якостей локомотива.

, т                      (6)

де          – розрахункова сила тяги локомотива, Н;

      – розрахункова маса локомотива, т;

     – основний питомий опір локомотива, Н/кН;

     – основний питомий опір состава, Н/кН;

      – крутість розрахункового підйому,;

      – прискорення вільного падіння;;

Згідно [3] для локомотива 2М62 дійсні такі розрахункові параметри.

=392000 Н, = 240 т, =+9,0 ‰,           м/с2

Основний питомий опір локомотива розраховується за формулою:

, Н/кН         (7)

де  км/год– розрахункова швидкість локомотива;

 Н/кН

Основний питомий опір складу розраховується за формулою:

, Н/кН             (8)

де α,β,γ – відповідно частки 4- 6- і 8-вісних вагонів( α=0,82; γ=0,18 , згідно завдання );

– відповідно основний питомий опір 4- 6- і 8-вісних вагонів,Н/кН:

— для підштпників ковзання:

, Н/кН             (9)

— для підштпників кочення:

, Н/кН      (10)

де – маса, яка приходиться на одну колісну пару 4 вісного вагону, т/вісь:

де – маса брутто 4 вісного вагону (коч =88т, ков= 86т, згідно завдання) т/вісь;

коч=88/4=22 т

ков=86/4=21,5 т

, Н/кН        (11)

 Н/кН

 Н/кН

 Н/кН

, Н/кН (12)

де – маса, яка приходиться на одну колісну пару 6 вісного вагону, т/вісь:

,

де  – маса брутто 6 вісного вагону

Через те, що у составі в моєму завдані не має 6-вісних вагонів, то розрахунки для них не потрібно виконувати

, Н/кН      (13)

де  – маса, яка приходиться на одну колісну пару 6 вісного вагону, т/вісь:

,                (14)

де – маса брутто 6 вісного вагону

 т/вісь;

Н/кН

 Н/кн

 т;

Відповідно до ПТР обчислену масу составу округляємо до 50 або 100т, тоді приймаємо:

 т

4. ПЕРЕВІРКА РОЗРАХУНКОВОЇ МАСИ СОСТАВА НА МОЖЛИВІСТЬ НАДІЙНОГО ПОДОЛАННЯ КОРОТКОГО ПІДЙОМУ КРУТИЗНОЮ БІЛЬШЕ РОЗРАХУНКОВОГО

Перевірка на можливість подолання швидкісного підйому виконується аналітичним методом з урахуванням використання кінетичної енергії, накопиченої на подолання “легких” елементах профілю. При цьому використовується розрахункове співвідношення:

,   (15)

де  - швидкість на початку перевіряємого підйому; приймається із умов підходу до перевіряємого елементу

 - швидкість в кінці перевіряємого підйому. Ця швидкість повинна бути не менша за розрахункову.

Питому силу тяги  і питомий опір  в межах вибраного інтервалу зміни швидкостей приймаємо рівними їх значенням при середній швидкості розглядаємого інтервалу:

, км/год              (16)

Ці питомі сили обраховуються по формулам в H/kH:

               (17)

      (18)

Значення сили тяги локомотиву  для середньої швидкості  визначають по тяговій характеристиці локомотиву. Для цієї ж середньої швидкості визначаємо основний питомий опір  локомотиву - по графікам в ПТР або по формулі (7), і основний питомий опір  поїзду – по формулі (8) з використанням формул (9) – (14).

Якщо сума отриманих по формулі (15) відстаней більша або рівна довжині перевіряємого підйому , тобто ,

то на цьому перевірка закінчується, і робиться висновок про те, що при розрахунковій масі поїзду Q поїзд надійно подолає перевіряємий підйом.

Перевірку проводимо для елементу з ухилом 12.0‰ і довжиною 1500 метрів.

=96000 Н


<1500

=120000 Н


1178,21м<1500м

=136000 Н

1706,06 м>1500 м

Отже, при розрахунковій масі рухомого складу Q = 3750 т поїзд надійно подолає підйом довжиною 1500 метрів.

5. ПЕРЕВІРКА МОЖЛИВОСТІ ЗРУШЕННЯ ПОЇЗДА З МІСЦЯ ПРИ ЗУПИНКАХ НА РОЗДІЛЬНИХ ПУНКТАХ

Ця перевірка виконується по формулі

                    (20)

де - сила тяги локомотиву при зрушенні з місця, Н;

- крутизна найбільш тяжкого елементу на роздільних пунктах заданої ділянки, ‰ (у сторону руху);

- питомий опір поїзду при зрушенні з місця (на площадці), Н/кН;

       (21)

де і – питомі опори при зрушенні з місця відповідно 4-вісних вагонів на підшипниках кочення і на підшипниках ковзання;

- відповідно долі 4-вісних вагонів з підшипниками кочення і підшипниками ковзання; в курсовій роботі ;.

Для вагонів на підшипниках кочення

                                               (21а)

Для вагонів на підшипниках ковзання

                                               (21б)

У цих випадках - маса, що припадає на одну колісну пару для даної групи вагонів.

 Н/кН

 Н/кН

 Н/кН

Н/кН

27052>3750

Отже, рушання поїзду з місця і розгін поїзда забезпечені на всіх роздільних пунктах ділянки.

6. ПЕРЕВІРКА МАСИ СОСТАВА ПО ДОВЖИНІ ПРИЙМАЛЬНО-ВІДПРАВНИХ КОЛІЙ

Щоб виконати перевірку, необхідно визначити число вагонів в поїзді, довжину поїзда і порівняти з довжиною приймально-відправних колій станцій.

Число вагонів у складі вантажного поїзда:

а) 4-вісних                                                                     (22)

За наявності 4-вісних вагонів з різною масою брутто необхідно попередньо визначити усереднену масу брутто з урахуванням частки 4-вісних вагонів із кожною масою;

б) 6-вісних                                                                     (23)

в) 8-вісних                                                                      (24).

Отримані кількості вагонів потрібно округлити до цілих значень.

Довжини вагонів приймаємо рівними: 4-вісного – 15 м; 6-вісного – 17 м; 8-вісного – 20 м. Загальна довжина поїзда:

              (25)

де lл - довжина локомотива, рівна 36 м;

10 м – запас довжини на неточність встановлення поїзда.

Перевірка можливості встановлення поїзда на приймально-відправних коліях виконується по співвідношенню

                                                                (26)

 де - довжина приймально-відправних колій, м (=850м , згідно завдання)

Якщо довжина поїзду менше або рівна довжині приймально-відправних колій станції заданої ділянки, то масу поїзду не коректують.

Якщо ж розрахована довжина поїзду буде більша за довжину приймально-відправних колій, то масу поїзду потрібно буде зменшити так, щоб довжина поїзду не перевищувала довжину приймально-відправних колій.

g4сер = (0,95·88+0,05·86) = 87,9 т

m4 = 0.82·3750/87.9 = 35 вагонів

m8 = 0.18·3750/166 = 4 вагонів

lп = 20·4+15·35+36+10 = 651м

651м ≤ 850 м

Отже, масу поїзду зменшувати не потрібно.

7. ПОБУДОВА ДІАГРАМИ ПИТОМИХ РІВНОДІЮЧИХ СИЛ

Для побудови діаграми питомих рівнодіючих сил спочатку складається таблиця для трьох режимів ведення поїзда по прямій ділянці (горизонтальній)

а) для режиму тяги ;

б) для режиму холостого ходу ;

в) для режиму гальмування

- при службовому регулюючому гальмуванні ;

- при екстреному гальмуванні .

Основний питомий опір локомотиву при русі під струмом  визначається по формулі (2). Основний питомий опір рухомого складу  визначається по формулі (3) з використанням формул (4) – (9). Основний питомий опір локомотива на холостому ході (при русі без струму) обчислюється по формулі

                  (28)

Основні питомі опори ,, визначаються для різних значень швидкостей від 0 до  з кроком 10, а також для .

В 2-й стовпчик таблиці заносяться значення сили тяги локомотива Fk для вказаних в 1-му стовпчику швидкостей. Значення сили тяги визначають по розрахунковій тяговій характеристиці локомотива, приведеній на рис. 1. Швидкості v=0 км/год (момент зрушення поїзду з місця) відповідає значення сили тяги Fк тр.

Основний питомий опір всього поїзда при русі локомотива на холостому ході обчислюють по формулі

                                               (29)

де P – розрахункова маса локомотиву, т;

Q – маса поїзду, т;

Величини ,,і  визначають вказаним шляхом для швидкостей, починаючи з 10 км/год і вище. Значення цих величин при v=0 приймають відповідно такими ж, як при =10 км/год.

Питомі гальмівні сили поїзда в Н/кН обчислюють по формулі

                                 (30)

де - розрахунковий коефіцієнт тертя колодок о колесо:

при чавунних колодках

                                     (31)

при композиційних колодках

                                     (32)

       

       

       

       

      


- розрахунковий гальмівний коефіцієнт поїзда.

               (33)

де n4, n6, n8 – число осей відповідно в групах 4-, 6- і 8-вісних вагонів поїзду: n4=4m4, n6=6m6, n8=8m8;

, , - розрахункові сили натискання гальмівних колодок відповідно на вісь 4-, 6-, 8-вісного вагону;

- доля гальмівних осей у поїзді.

=0,97·(68,5·140+68,5·32)/3750·9,81=0,31

10000,310,27=83,88 Н/кН  10000,310,115=35,65 Н/кН

10000,310,2=62 Н/кН    10000,310,108=33,48 Н/кН

10000,310,16=49,6 Н/кН   10000,310,102=31,62 Н/кН

10000,310,14=43,4 Н/кН   10000,310,097=30,07 Н/кН

10000,310,126=39,06 Н/кН  10000,310,093=28,83 Н/кН

10000,310,09=27,9 Н/кН

Всі результати обчислень заносимо в розрахункову таблицю 2. По даним цією таблиці будуємо по розрахованим точкам діаграму питомих рівнодіючих сил для режиму тяги , режиму холостого ходу  і режиму службового гальмування .

Питомі рівнодіючі сили               Таблиця 2





Режим тяги





Режим холостого ходу


Режим гальмування

v, км/ч

Fk, H

w0', H/kH

W0' = w0'Pg, H

w0'', H/kH

W0'' = w0''Qg, H

W0 = W0' + W0'', H

Fk - W0, H

(Fk - W0)/(P+Q)g, H/kH

wx, H/kH

Wx = wxPg, H

Wx + W0'', H

w0X = (Wx +W0'')/(P+Q)g, H/kH

φkp

bт = 1000φkpVp, H/kH

w0X + 0,5bг, H/kH

w0X + bг, H/kH

0

706320

1,9

4436

0,88

32373

36809

659511

17,1

2,4

5651

38024

0,97

0,27

83,88

42,91

84,85

10

586049

2,03

4740

0,92

33845

38585

547464

13,99

2,55

6004

39849

1,01

0,20

62

32,01

63,01

20

392400

2,22

5183

0,99

36420

41603

350797

8,96

2,76

6498

42918

1,09

0,16

49,6

25,9

50,7

30

272718

2,47

5767

1,09

40098

45865

226853

5,8

3,05

7169

47267

1,21

0,14

43,4

22,91

44,61

40

209934

2,78

6491

1,21

44513

51004

158930

4,06

3,4

8005

52518

1,34

0,126

39,06

19,66

40,04

50

170694

3,15

7355

1,35

49663

57018

2,9

3,78

8888

58551

1,5

0,115

35,65

17,94

37,15

60

143226

3,58

8359

1,52

55917

64276

78950

2,02

4,32

10171

66088

1,69

0,108

33,48

16,85

35,17

70

121644

4,07

9503

1,69

62171

71674

49970

1,28

4,89

11501

73672

1,88

0,102

31,62

15,9

31,72

80

103986

4,62

10787

1,92

70632

81419

22567

0,58

5,52

12996

83628

2,14

0,097

30,07

15,1

30,17

90

88290

5,23

12211

2,14

78725

90936

-2646

-0,07

6,23

14656

93381

2,39

0,093

28,83

14,5

28,9

100

76518

5,90

13775

2,38

87554

101329

-24811

-0,63

7,00

16481

104035

2,66

0,09

27,9

14,04

27,99



8. ВИЗНАЧЕННЯ МАКСИМАЛЬНО ДОПУСТИМОЇ ШВИДКОСТІ РУХУ НА НАЙБІЛЬШ КРУТОМУ СПУСКУ

Для того, щоб визначити максимально допустиму швидкість руху на найбільш крутому спуску, потрібно побудувати криві швидкості і часу проходження поїзду по ділянці, тобто розв’язати гальмівну задачу при заданих гальмівних засобах і прийнятому гальмівному шляху. Ця задача розв’язується графічним способом.

Повний (розрахунковий) гальмівний шлях

                                         (34)

де Sп – шлях підготовки гальмів до дії, на протязі якого гальма поїзда умовно приймаються недіючими;

Sд – дійсний гальмівний шлях, на протязі якого поїзд рухається з діючими в повну силу гальмами.

Рівність (8.1) дозволяє шукати допустиму швидкість як величину, яка відповідає точці перетину графічних залежностей підготовчого шляху Sп і дійсного гальмівного шляху Sд від швидкості руху поїзда в режимі гальмування.

Тому розв’язуєм задачу слідуючим чином.

По даним розрахункової таблиці питомих рівнодіючих сил будуємо по точках графічну залежність питомих уповільнюючих сил при екстреному гальмуванні від швидкості , а поруч, справа, встановлюємо у відповідності з масштабом систему координат V-S так, щоб осі координат швидкостей в двох системах були паралельні, а осі питомих сил  і шляху S повинні лежати на одній прямій (рис 3)

Оскільки, ic=-10‰, то повний гальмівний шлях Sт=1200м. Побудувавши згідно методичних вказівок криві, будуємо в системі координат V-S залежність підготовчого шляху від швидкості

                             (35)

де Vп – швидкість на початок гальмування, км/год;

tп – час підготовки гальмів до дії, с; цей час для автогальмів вантажного типу дорівнює:

- для поїздів довжиною 200 осей і менше:

- для поїздів довжиною від 200 до 300 осей:

- для поїздів довжиною більш ніж 300 осей;

Тут iс – крутизна ухилу, для якого розв’язується гальмівна задача;

bт – питома гальмівна сила при початковій швидкості гальмування Vн.

Число осей в складі    

Побудова залежності підготовчого гальмівного шляху Sп від швидкості виконують по двох точках, для чого підраховуємо значення Sп при Vн=0 (в цьому випадку Sп=0) і при Vн==100 км/год.

Обчислюємо підготовчий гальмівний шлях при Vн=100 км/год


Проведена пряма Sп=f(Vн) перетне ламану лінію ABCDEFGHNP в точці N. Точка N визначає максимально допустиму швидкість руху поїзду на найбільш крутому спуску ділянки:

Vдоп = 75.5 км/год;

Sп = 300 м;

Sд =900 м.

Результати розв’язання гальмівної задачі враховуються при побудові кривої швидкості руху поїзда V=f(s) з тим, щоб не перевищити швидкості, тобто щоб поїзд зміг завжди зупинитися на відстані, яка не перевищує довжини повного гальмівного шляху.

9. ПОБУДОВА КРИВИХ ШВИДКОСТІ V=F(S) ТА ЧАСУ T=F(S)

При виконанні тягових розрахунків поїзд розглядається як матеріальна точка, в якій зосереджена вся маса поїзду і до якої прикладені зовнішні сили. Умовно приймають, що ця матеріальна точка знаходиться в середині поїзда.

Крива швидкості будується для руху поїздів в одному (заданому) напрямку, виходячи з того, що поїзд відправляється зі ст.А, проходіть без зупинки станцію К та робить зупинку на ст.Е. При цьому потрібно зберігати умову, що швидкість поїзда по вхідних стрілках станції, на якій передбачена зупинка, відповідно до правил ПТЕ не повинна перевищувати 50 км/год внаслідок можливого прийому на бокову колію для схрещення чи обгону.

По побудування кривої швидкості потрібно перевірити проходження поїздом підйому більшої крутизни, ніж розрахунковий .

При побудування кривої V=f(s) необхідно враховувати обмеження найбільшої допустимої швидкості руху поїзду. В даній роботі ми приймаємо наступні обмеження:

- конструкційна швидкість вантажних вагонів 100 км/год;

- найбільша допустима швидкість поїзду по міцності колії 100 км/год;

- конструкційна швидкість локомотиву ( у нашому випадку 100 км/год );

- найбільша допустима швидкість поїзду по гальмівних засобах визначена вище і дорівнює 75.5 км/год.

Максимально допустима швидкість руху поїзду при побудуванні кривої V=f(s) повинна прийматись як найменша з чотирьох вже перерахованих раніше обмежених швидкостей. Якщо при побудові кривої швидкості поїзда на спусках швидкість прагне перевищити допустиму, то необхідно застосовувати службове регулювальне гальмування. В таких випадках рекомендується керуватись п.1.4.8 ПТР, у відповідності з якими дозволяється будувати криву швидкості V=f(s) на таких спусках у вигляді горизонтальної лінії, що проводиться нижче рівня допустимої швидкості на величенну поправки ∆V.

Обов’язково потрібно мати на увазі, що при виконанні тягових розрахунків необхідно прагнути до можливо більш повного використання тягових можливостей та потужності локомотиву з тим, щоб час руху поїзду на перегонах був мінімальним. Тільки в цьому випадку можна досягнути найбільшої пропускної здатності ділянки. Саме тому перехід з режиму тяги на режим холостого ходу чи гальмування може бути виправданий лише в тих випадках, коли швидкість, зростаючи, доходить до найбільшого допустимого значення. При побудови кривої V=f(s) потрібно враховувати перевірку гальм, яка згідно Інструкції по експлуатації гальм виконується при досягненні поїздом швидкості 40-60 км/год на площадці чи схилі; зменшення швидкості при цьому для вантажних допускається на 15-20 км/год .

При графічних побудовах рахуємо, що центр маси поїзду розміщується приблизно по середині поїзду по його довжині, вісі станцій – в середині елементів, на яких вони розміщені, вхідні стрілки – відповідно на відстані 425 м від осі станції  .

Крива швидкості зображує рух центру маси поїзду. Коли локомотив, наприклад, входить на вхідні стрілки, центр маси поїзду знаходиться від них на відстані, що дорівнює половині довжини поїзду . В даному випадку допустима швидкість руху 50 км/год для точки, що зображує центр маси поїзду, повинна витримуватися не на рубіжі, де розміщені стрілки, а на відстані  від вертикальної лінії, що проводиться через місце розміщення вхідних стрілок на станційному елементі профілю.

10. Визначення часу ходу поїзда по перегонах

Всі данні зводяться у таблицю 3. Розрахункові дані беруться по кривій t=f(s) з точністю до 0.1 хв, а прийняті для графіку руху поїздів час ходу по перегонах округлюються з точністю до 1 хв.

Часи ходу по перегонам         Таблиця 3

Перегони

Довжина, км

Час ходу, хв

По розрахунку

Прийняте для графіку руху

А – К

20,3

19,9

20

К – Е

28,06

47,9

48

По ділянці

48,36

67,8

68


Технічна швидкість руху поїзду по ділянці в км/год:

                               (36)

де t1 і t2 – відповідно час ходу поїзду по першому і по другому перегону заданої ділянки А – К – Е, хв;

L – довжина ділянки, км.

11. ВИЗНАЧЕННЯ ЧАСУ ХОДУ ПОЇЗДА МЕТОДОМ РІВНОМІРНИХ ШВИДКОСТЕЙ

Визначення часу ходу поїзда методом рівномірних швидкостей основане на допущенні, що поїзд рухався рівномірно по кожному елементу профілю. При цьому швидкість рівномірного руху на кожному елементі випрямленого профілю визначаємо по діаграмі питомих рівнодіючих сил для режиму тяги.

Для підйомів більш крутих, ніж розрахунковий, величину рівномірної швидкості приймаємо рівною розрахунковій швидкості Vр. На спусках, коли рівномірна швидкість, визначена по діаграмі питомих сил для режиму тяги, перевищує максимально допустиму швидкість руху, приймаємо рівномірну швидкість рівною максимально допустимій.

До часу руху по перегонах, отриманому при розрахунку цим шляхом, слід додати 2 хвилини на розгін і 1 хвилину на гальмування. Всі розрахунки зводимо в таблицю 4.

Розрахунок часу ходу методом рівномірних швидкостей Таблиця 4

Номера елементів випрямленого профілю

Довжина елементів s, км

Крутизна ухилу i, ‰

Vрів, км/год

60/Vрів, хв/км

(60/Vрів)ּS, хв

Час на розгін і гальмування, хв

1

1,60

0

75,5

0,795

1,272

2

2

2,80

+0,84

75,5

0,795

2,226


3

1,80

+2,09

59,5

1,008

1,814


4

1,50

-10

75,5

0,795

1,192


5

7,80

-8

75,5

0,795

6,201


6

1,70

-2

75,5

0,795

1,352


7

0,60

-4,65

75,5

0,795

0,477


8

1,50

+1

73

0,822

1,233


9

2,00

0

75,5

0,795

1,590


10

2,60

+4,93

33

1,818

4,727


11

1,30

0

75,5

0,795

1,034


12

1,50

+12

20

3,000

4,500


13

8,00

+9,0

20

3,000

24,000


14

1,80

1

73

0,822

1,479


15

2,75

-3,87

75,5

0,795

2,186


16

0,86

-3

75,5

0,795

0,684


17

1,95

-1,5

75,5

0,795

1,550


18

2

0

75,5

0,795

1,590


19

2,5

2

60

1,000

2,500


20

1,8

1,5

65,5

0,920

1,669

1






63,276

3


 хв

12. ПЕРЕВІРКА ЕЛЕКТРИЧНИХ МАШИН ЛОКОМОТИВА НA ПЕРЕГРІВАННЯ

Перевірку на нагрівання електричних машин тепловоза слід виконувати, керуючись побудованою кривою струму Iг = f (S) і кривої часу

t = f (S) .

У тепловозі 2М62 на нагрівання перевіряються обмотки якорів тягових електродвигунів.

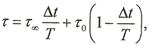
Перегрів обмоток тягових електродвигунів визначаємо за формулою:

 

             (37)

де ґ - перевищення температури обмоток над температурою навколишнього середовища, °С;

ґ 0 -початкове перевищення температури обмоток для розрахункового інтервалу часу, °С;

∆t- інтервал часу, в якому величина струму приймається постійної, хв;

ґ - перевищення температури обмоток електричної машини над температурою навколишнього повітря, що встановилося для даного значення середнього струму,°С;

Т - теплова стала часу для даного значення струму, хв.

Інтервали часу ∆t вибираємо так, щоб виконувалось співвідношення

∆t/T≤0.1       (38)

Розрахунок температури ведуть шляхом інтерацій і починають з вихідного значення температури ґ 0=20°С . Одержане на першому кроці значення ґ підставляють замість ґ 0 на другому кроці і т.д. Значення ґ і Т визначаємо за тепловою характеристикою в залежності від Іср.

Зниження температури обмоток тягових машин локомотива при їзді без струму розраховуємо за формулою

      (39)

Розрахунок перегріву обмоток зводимо в таблицю 5

Розрахунок перегріву електродвигунів локомотива 2М62 Таблиця 5

Номер елемента

Середня швидкіст Vсер,км/год

Середній струм,  I,А

Інтервал часу  ∆t , хв

Теплова стала часу, Т, хв

Відношення ∆t /Т

Значення τ∞, ˚С

Значення τ∞ (∆t /Т)

Значення τ۪ (1-(∆t /Т))

Температура  обмоток τ,˚С

0-1

5,0

908,33

0,70

42,8

0,016

189

3,09

19,60

22,69

1-2

15,0

716,67

0,50

33,8

0,015

116

1,72

22,36

24,07

2-3

25,0

533,33

29,4

0,024

68

1,62

23,50

25,12

3-3а

32,5

450,00

0,45

28,0

0,016

60

0,96

24,71

25,68

3б-4

34,3

529,17

0,35

29,3

0,012

67

0,80

25,37

26,17

4-5

40,0

495,83

1,55

28,9

0,054

62

3,33

24,77

28,09

5-6

49,5

441,66

2,05

27,9

0,073

60

4,41

26,03

30,44

6-7

49,0

0,00

0,25

24,3

0,010

0

0,00

30,12

30,12

7-8

39,0

0,00

0,20

24,3

0,008

0

0,00

29,88

29,88

8-9

38,5

558,33

2,20

29,8

0,074

72

5,32

27,67

32,99

9-10

48,0

500,00

0,40

28,9

0,014

62

0,86

32,53

33,39

10-10а

56,5

416,67

0,30

27,8

0,011

60

0,65

33,03

33,68

10б-11

61,5

475,00

0,10

28,4

0,004

60

0,21

33,56

33,77

11-12

68,0

458,33

0,25

28,1

0,009

60

0,53

33,47

34,00

12-13

74,3

425,00

0,30

27,7

0,011

60

0,65

33,63

34,28

13-14

75,5

416,67

2,40

27,8

0,086

60

5,18

31,32

36,50

14-15

75,5

416,67

2,40

27,8

0,086

60

5,18

33,35

38,53

15-16

75,5

416,67

2,40

27,8

0,086

60

5,18

35,20

40,38

16-17

75,5

416,67

0,20

27,8

0,007

60

0,43

40,09

40,53

17-18

70,3

416,67

0,25

27,8

0,009

60

0,54

40,16

40,70

18-19

60,0

0,00

0,20

24,3

0,008

0

0,00

40,37

40,37

19-20

57,5

0,00

0,75

24,3

0,031

0

0,00

39,12

39,12

20-21

47,5

0,00

1,20

24,3

0,049

0

0,00

37,19

37,19

21-22

48,0

450,00

1,10

28,0

0,039

60

2,36

35,73

38,08

22-23

46,0

466,67

2,20

28,3

0,078

60

4,66

35,12

39,79

23-24

39,0

508,33

1,30

29,0

0,045

64

2,87

38,00

40,87

24-25

42,0

483,33

1,30

28,6

0,045

60

2,73

39,02

41,74

25-26

48,0

441,67

0,45

27,9

0,016

60

0,97

41,07

42,04

26-27

44,0

475,00

0,65

28,5

0,023

60

1,37

41,08

42,45

27-27а

36,0

525,00

0,55

29,3

0,019

67

1,26

41,65

42,91

27б-28

31,0

425,00

0,35

27,7

0,013

60

0,76

42,37

43,12

28-29

24,5

525,00

1,20

29,3

0,041

67

2,74

41,36

44,10

29-30

20,0

0,00

2,40

24,3

0,099

0

0,00

39,75

39,75

30-31

20,0

0,00

2,40

24,3

0,099

0

0,00

35,82

35,82

32-33

20,0

0,00

2,40

24,3

0,099

0

0,00

32,28

32,28

34-35

20,0

0,00

2,40

24,3

0,099

0

0,00

29,09

29,09

35-36

20,0

0,00

2,40

24,3

0,099

0

0,00

26,22

26,22

36-37

20,0

0,00

2,40

0,099

0

0,00

23,63

23,63

37-38

20,0

0,00

2,40

24,3

0,099

0

0,00

21,30

21,30

38-39

20,0

0,00

2,40

24,3

0,099

0

0,00

19,19

19,19

39-40

25,0

630,00

0,80

31,6

0,025

88

2,23

18,71

20,94

40-40а

31,5

425,00

0,40

27,7

0,014

60

0,87

20,63

21,50

40б-41

36,5

516,67

0,90

29,2

0,031

65

2,00

20,84

22,84

41-42

42,0

483,33

0,90

28,5

0,032

60

1,89

22,12

24,01

42-43

50,0

441,67

0,75

27,9

0,027

60

1,61

23,37

24,98

43-43а

57,5

408,33

0,45

27,4

0,016

60

0,99

24,57

25,56

43б-44

62,5

475,00

0,40

28,5

0,014

60

0,84

25,20

26,04

44-45

70,3

450,00

1,00

28,0

0,036

60

2,14

25,11

27,25

45-46

75,5

0,00

0,85

27,8

0,031

0

0,00

26,42

26,42

46-47

74,0

0,00

1,50

28,0

0,054

0

0,00

25,00

25,00

47-48

67,0

0,00

1,70

24,3

0,070

0

0,00

23,25

23,25

48-49

65,5

458,33

2,30

28,2

0,082

60

4,89

21,36

26,25

49-50

60,0

0,00

0,05

24,3

0,002

0

0,00

26,20

26,20

50-51

51,0

0,00

1,30

24,3

0,053

0

0,00

24,80

24,80

51-52

42,5

0,00

0,10

24,3

0,004

0

0,00

24,69

24,69

52-53

35,0

0,00

0,25

24,3

0,010

0

0,00

24,44

24,44

53-54

25,0

0,00

0,20

24,3

0,008

0

0,00

24,24

24,24

54-55

15,0

0,00

0,15

24,3

0,006

0

0,00

24,09

24,09

55-56

5,0

0,00

0,15

24,3

0,006

0

0,00

23,94

23,94

По проведених розрахунках видно, що перегріву електричних машин не буде, тому що максимальна температура складає 44,10°C, при допустимій 120°C.

13. ВИЗНАЧЕННЯ ВИТРАТ ЕНЕРГОРЕСУРСІВ ЛОКОМОТИВОМ

Витрати дизельного пального тепловозом на заданій дільниці, кг, визначають за формулою:

 

E = Gtт+gхtх, (44)

де G – витрати дизельного пального тепловозом на режимі тяги, що відповідає 15-тому положенню ручки контролера, кг/хв (G=11,6 кг/хв.);

tт сумарний час роботи тепловоза на режимі тяги, хв;

gхвитрати пального тепловозом при вимкненому струмі (режимі холостого ходу і гальмування), кг/хв. (gх=0,84 кг/хв);

tхсумарний час руху тепловоза на режимі холостого ходу і гальмування, хв.

Час роботи тепловоза tт і tх визначається по кривій часу t=f(S) і відмітках про зміну режиму роботи тепловоза на кривій V=f(S). (tт=53,3 хв tх=14,7 хв )

E = 11,6∙53,3+0,84∙14,7=630,63 кг

Питома втрата пального на вимірювач, кг/104 ткм

 

е=Е∙104 /(QL), (45)

де L – довжина ділянки, км

Qмаса состава, т

е=630,63∙104/(3750∙48,36)=34,77 ткм

Питома витрата пального звичайно приводиться до питомої витрати умовного пального, кг/104 ткм

 

еу=е∙Е , (46)

де Е – еквівалент дизельного пального (Е=1.43)

еу=34,771,43= 49,72 ткм

14. ПОБУДОВА ТОННО-КІЛОМЕТРОВОЇ ДІАГРАМИ

При прямуванні поїздів на великі відстані їх масу не можна змінювати для кожного перегону або дільниці, оскільки це вимагало б частого переформування составів, при якому ускладнилась би боротьба станції і уповільнилась доставка вантажів.

Вага встановлюється по найважчому перегону дільниці, але може бути підвищена шляхом використання тих або інших спеціальних заходів. Цьому і сприяє попередньо побудована тонно-кілометрова діаграма (QS- діаграма).

QS- діаграму будують окремо для кожної дільниці, а потім їх зіставляють разом по всьому розглянутому напрямку.

За встановленими розрахунковими підйомами згідно з формулою (6), розраховується найбільша вага состава для кожного перегону, яку може везти локомотив заданої серії.

В даному випадку Q приймаємо рівним 3750 т, що дає можливість не використовувати допоміжні локомотиви–підштовхувачі і інші заходи.

ЛІТЕРАТУРА:

1. Подвижной состав и тяга поездов /Под ред. Н.А. Фуфрянского. М.: Транспорт, 1979.

2. Осипов С.И. Основы электрической и тепловозной тяги. М.: Транспорт, 1985.

3. Правила тяговых расчетов для поездной работы. М.: Транспорт, 1985.

4. Гребенюк П.Т., Долганов А.Н. Тяговые расчеты. М.: Транспорт, 1985.

5. Хуторянский Н.М. Тяговая характеристика тепловоза. М.: ВЗИИТ 1980.

6. Хуторянский Н.М. Выполнение тяговых расчетов на ЭЦВМ. М.: ВЗИИТ 1979.

7. Хуторянский Н.М. Решение тормозной задачи. М.: ВЗИИТ 1990.

ВИСНОВОК

На основі проведених розрахунків я можу зробити висновок, що по заданому профілю довжиною 48,36 км електровоз 2М62 може провести состав масою 3750 тон.

При цій масі поїзд надійно подолає найважчий підйом профілю довжиною 8000 метрів і крутизною 9‰, рушання поїзду з місця і розгін поїзда забезпечені на всіх роздільних пунктах ділянки. Було визначено максимальну допустиму швидкость руху на найбільш крутому спуску, що складає Vдоп = 75,5 км/год. Технічна швидкість руху поїзду по ділянці складає 42,8 км/год, час ходу по перегонам 67,8 хв

, для графіка приймаю 68 хв. Перегріву не буде, тому що максимальна температура складає 44,10°C, при допустимій 120°C.

Витрати енергоресурсів електровозом на заданій ділянці – 630,63 кг.

Проаналізувавши Q-S діаграму я визначив уніфіковану масу поїзду. В даному випадку Q приймаємо рівним 3750 т.

Похожие работы на - Рухомий склад і тяга поїздів

 

Не нашли материал для своей работы?
Поможем написать уникальную работу
Без плагиата!
Без нейросетей!