Ремонтная мастерская

  • Вид работы:
    Дипломная (ВКР)
  • Предмет:
    Транспорт, грузоперевозки
  • Язык:
    Русский
    ,
    Формат файла:
    MS Word
    1,50 Mb
  • Опубликовано:
    2010-01-09
Вы можете узнать стоимость помощи в написании студенческой работы.
Помощь в написании работы, которую точно примут!

Ремонтная мастерская

СОДЕРЖАНИЕ

Введение.

1.   Краткая характеристика хозяйства

2.   Характеристика ЦРМ

3.   Расчет количества ремонтов и ТО

4.   Количество ТО для тракторов

5.   Количество ремонтов тракторов и сельхозмашин

6.   Расчет трудоемкости ремонтов техники

7.   Расчет трудоемкости по обслуживанию работ

8.   Построение плана-графика номерных плановых обслуживаний

9.   Составление годового плана загрузки ЦРМ

10. Расчет штата работников ЦРМ

11. Анализ дефектов и ремонта АКБ

12. Технология ремонта АКБ

13. Определение штата работников ЦРМ

14. Расчет и подбор оборудования

15. Охрана труда

16. Определения себестоимости ремонта АКБ

Заключение

Литература

ВВЕДЕНИЕ

В 2007 году отношение государства к сельскохозяйственному производству изменилось.

На приобретение техники акционерным обществом, колхозам и фермерам продается техника по лизингу, то есть, открыто досрочное представление, но не каждое хозяйство сможет выполнить закупку по долгосрочным обязательствам. Имеющаяся в агропромышленном комплексе техника на 90% и более выработала свой моторесурс, прицепной инвентарь находится за сроком амортизации. Актуальность ТО и ремонта возрастает до наивысших значений.

В настоящее время возникла необходимость в приобретении скоростной, высоко-производственной техники.

Санкт-Петербург на Кировском заводе планово выпускает трактор К-704, производительность которого по сравнению с трактором К-701 увеличена на 30%.

Волгоградским тракторным заводом выпускается трактор ВТ-100, производительность которого по сравнению с ДТ-75 увеличилась на 20%.

Липецким тракторным заводом выпускается принципиально новая модель ЛТЗ-155. на Смоленском заводе дорожного машиностроения выпускается принципиально новая модель трактора Т-150К.

Горьковским автомобильным заводом выпущена целая серия автомобилей для села. Камским автозаводом выпущен новый автомобиль КАМАЗ-65102.

Во всех моделях тракторов и автомобилей увеличена производительность, повышена комфортность, надежность, что в конечном итоге скажется на снижении затрат на проведение технического обслуживания и ремонта.

Наиболее рациональный путь повышения производительности сельскохозяйственных машин – это применение широкозахватной техники и увеличение рабочих скоростей и тракторов и автомобилей.

Так, объединение Орловский машинно-строительный завод выпускает множество новой техники для поверхностной обработки почвы.

Барнаульским заводом сельскохозяйственных машин выпущен комбинированный агрегат по одновременной подготовке и посеву зерновых культур. В бюджет 2007 года заложено на 12 млрд. рублей больше по сравнению с 2006 годом на финансирование и развитие сельскохозяйственного производства.

В Воронежской области все колхозы, села соединены дорогами с твердым покрытием, что позволяет использовать большегрузный автотранспорт и повышать социальную инфраструктуру села.

1. ХАРАКТЕРИСТИКА ХОЗЯЙСТВА

ООО «Победа» находится на территории Еланского сельского совета Грибановского района, Воронежской области. Центральной усадьбой является село Хомутовка. Хозяйство расположено на востоке Воронежской области в 165км от областного центра города Воронеж и 70км от районного центра пгт Грибановский. Там же находится ближайшая железнодорожная станция, хлебоприемный пункт, масло-сыр завод, сахарный завод, агропромтехника.

Поля расположены в степной зоне. Рельеф изрезан оврагами. Некоторые поля имеют прямоугольную форму, так как разбиты лесо-посадками на квадраты. По данным Новохоперской метеостанции среднегодовая температура +80С.

Общий вегетативный период 170 дней. Хозяйство располагает следующей структурой посевных площадей:

зерновых – 1200га;

технических – 500га;

подсолнуха – 400га;

прочих культур – 1300га.

 

Таблица №1 Тракторы и автомобили.

Марка

трактора

Количество

Годовые

планируемые

нагрузки, га

трактора

Марка

автомобиля

Количество

Годовой

пробег автомобиля,

км

К-701

ДТ-75 МВ

МТЗ-80

3

13

13

4820

1600

1250

ГАЗ 5312

ГАЗ-САЗ 5307

ЗИЛ 43410

9

4

4

22500

31000

29500

Таблица №2. Количество комбайнов и сельхозмашин.

Комбайны

Сельхозмашины

Енисей 1200

КСК-100А

ККУ-2А

Плуги

Культиваторы

Лущильщики

Сеялки зерновые

Картофелесажалки

Бороны зубовые

Косилки

Прессподборщики

Грабли тракторные

Разбрасыватель удобрений

Прицеп тракторный

6

7

4

31

15

10

7

4

85

9

4

6

9

14


Таблица № 3. Структура посевных площадей.

№№

пп

Культура

Площадь, га

Урожайность,

ц/га

1

2

3

4

5

6

7

8

9

10

11

12

Озимая пшеница

Озимая рожь

Ячмень

Овес

Горох

Сахарная свекла

Гречиха

Просо

Подсолнечник

Бахчевые

Сенокосы и

многолетние травы

Пары

600

200

150

140

110

200

200

100

400

50

1250

400

20

14

15

11

9

220

8

13

8

-

40

-

Итого

3900

-


Животноводство в 2007 году отсутствует полностью, поэтому сенокосы и многолетние травы выдаются на земельное правопользование за пай и продается тюкованными населению.

2. ХАРАКТЕРИСТИКА ЦРМ

Главным пунктом технического обслуживания и ремонта является ремонтная мастерская, находящаяся за территорией села в приспособленном помещении.

Летом техническое обслуживание выполняется персоналом на открытой площадке с использованием мастерской по назначению во время сложных и трудоемких работ. Ремонт топливной аппаратуры, гидравлики требует высокой квалификации и производится в Дубровской РТП в 30км от колхоза.

Для обеспечения бесперебойной работы техники в период весенних полевых работ, уборочных компаний создается мобильная бригада, состоящая из слесаря-наладчика, газоэлектросварщика, водителя АПМ.

Возглавляет эту бригаду техник-механик.

В мастерской имеется склад для хранения запасных частей, а также место и гаражи для хранения сельскохозяйственной техники.

В силу сложившихся обстоятельств тракторы, автомобили. Комбайны находятся у лиц, закрепленных за данной техникой.

База ГСМ с заправочными колонками находится на территории мастерской, которая охраняется круглосуточно. Рабочий день нормированный, оплата труда производится по тарифной сетке, общая площадь мастерской составляет 390 м2.

3. РАСЧЕТ КОЛИЧЕСТВА РЕМОНТОВ И ТО

Для тракторов К-701 определяют потребное количество капитальных ремонтов на планируемый год.

планируем Nk = 1, где

Nk – количество капитальных ремонтов;

Br – годовая планируемая наработка одному трактору любой марки.

n – количество тракторов конкретной марки.

Для тракторов К-701 определено количество плановых текущих ремонтов:


Принимаем Nт пл = 2, где

Br – годовая планируемая наработка одному трактору конкретной марки в у.э.га;

Ат – периодичность проведения плановых текущих ремонтов;

n – количество тракторов конкретной марки;

Nk – количество капитальных ремонтов.

Для тракторов К-701 определено конкретное количество ТО – 3.


Принимаем N3 = 2, где

Br – годовая планируемая наработка одному трактору конкретной марки в у.э.га;

А3 – потребность проведения ТО - 3;

n – количество тракторов конкретной марки;

Nk – количество капитальных ремонтов.

Для тракторов К-701 определено конкретное количество ТО – 2.


Принимаем N2 = 14, где

Br – годовая планируемая наработка одному трактору конкретной марки в у.э.га;

А2 – потребность проведения ТО - 2;

n – количество тракторов конкретной марки;

Nk – количество капитальных ремонтов.

Nт пл – количество плановых текущих ремонтов;

N3 – потребное количество ТО - 3

Для тракторов К-701 определено конкретное количество ТО – 1.


Принимаем N1 = 55, где

Br – годовая планируемая наработка одному трактору конкретной марки в у.э.га;

А1 – потребность проведения ТО - 1;

n – количество тракторов конкретной марки;

Nk – количество капитальных ремонтов.

Nт пл – количество плановых текущих ремонтов;

N3 – потребное количество ТО – 3;

N2 – потребное количество ТО – 2.

Для тракторов ДТ-75 МВ определяют потребное количество капитальных ремонтов на планируемый год.

Принимаем Nk=3, где

Nk – количество капитальных ремонтов;

Br – годовая планируемая наработка одному трактору конкретной марки в у.э.га;.

n – количество тракторов конкретной марки.

Для тракторов ДТ-75 МВ определено потребное количество плановых текущих ремонтов:


Принимаем Nт пл = 5, где

Br – годовая планируемая наработка одному трактору конкретной марки в у.э.га;

Ат – периодичность проведения плановых текущих ремонтов;

n – количество тракторов конкретной марки;

Nk – количество капитальных ремонтов.

Для тракторов ДТ-75 МВ определено конкретное количество ТО – 3.


Принимаем N3 = 8, где

Br – годовая планируемая наработка одному трактору конкретной марки в у.э.га;

А3 – периодичность проведения ТО - 3;

n – количество тракторов конкретной марки;

Nk – количество капитальных ремонтов.

Nт пл – количество плановых текущих ремонтов

Для тракторов ДТ-75 МВ определено конкретное количество ТО – 2.


Принимаем N2 = 16, где

Br – годовая планируемая наработка одному трактору конкретной марки в у.э.га;

А2 – периодичность проведения ТО - 2;

n – количество тракторов конкретной марки;

Nk – количество капитальных ремонтов.

Nт пл – количество плановых текущих ремонтов;

N3 – потребное количество ТО - 3

Для тракторов ДТ-75 МВ определено конкретное количество ТО – 1.


Принимаем N1 = 94, где

Br – годовая планируемая наработка одному трактору конкретной марки в у.э.га;

А1 – периодичность проведения ТО - 1;

n – количество тракторов конкретной марки;

Nk – количество капитальных ремонтов.

Nт пл – количество плановых текущих ремонтов;

N3 – потребное количество ТО – 3;

N2 – потребное количество ТО – 2.

Для тракторов МТЗ-80 определяют потребное количество капитальных ремонтов на планируемый год.

Принимаем Nk=4, где

Аk – периодичность проведения капитальных ремонтов;

Br – годовая планируемая наработка одному трактору конкретной марки в у.э.га;.

n – количество тракторов конкретной марки.

Для тракторов МТЗ-80 определено потребное количество плановых текущих ремонтов:


Принимаем Nт пл = 9, где

Br – годовая планируемая наработка одному трактору конкретной марки в у.э.га;

Ат – периодичность проведения плановых текущих ремонтов;

n – количество тракторов конкретной марки;

Nk – количество капитальных ремонтов.

Для тракторов МТЗ-80 определено конкретное количество ТО – 3.


Принимаем N3 = 14, где

Br – годовая планируемая наработка одному трактору конкретной марки в у.э.га;

А3 – периодичность проведения ТО - 3;

n – количество тракторов конкретной марки;

Nk – количество капитальных ремонтов.

Nт пл – количество плановых текущих ремонтов

Для тракторов МТЗ-80 определено конкретное количество ТО – 2.


Принимаем N2 = 27, где

Br – годовая планируемая наработка одному трактору конкретной марки в у.э.га;

А2 – потребность проведения ТО - 2;

n – количество тракторов конкретной марки;

Nk – количество капитальных ремонтов.

Nт пл – количество плановых текущих ремонтов;

N3 – потребное количество ТО - 3

Для тракторов МТЗ-80 определено конкретное количество ТО – 1.

Принимаем N1 = 160, где

Br – годовая планируемая наработка одному трактору конкретной марки в у.э.га;

А1 – потребность проведения ТО - 1;

n – количество тракторов конкретной марки;

Nk – количество капитальных ремонтов.

Nт пл – количество плановых текущих ремонтов;

N3 – потребное количество ТО – 3;

N2 – потребное количество ТО – 2.

4. КОЛИЧЕСТВО ТО-1 ДЛЯ ТРАКТОРОВ

Определяем количество ТО-1 для тракторов К-701 за каждый месяц года.

55×0,047 = 2

55×0,051 = 3

55×0,058 = 3

55×0,072 =4

55×0,141 =8

55×0,101 =6

55×0,092 = 5

55×0,119 = 7

55×0,118 = 7

55×0,087 = 5

55×0,057 = 3

55×0,057 = 3


Определяю количество ТО-2 для тракторов К-701 за каждый месяц года.

14×0,047 = 1

14×0,051 = 1

14×0,058 = 1

14×0,072 =1

14×0,141 =2

14×0,101 =1

14×0,092 = 1

14×0,119 = 2

14×0,118 = 2

14×0,087 = 1

14×0,057 = 1

14×0,057 = 1


Определяю количество ТО-3 для тракторов К-701 за каждый месяц.

2×0,047 = 0

2×0,051 = 0

2×0,058 = 0

2×0,072 =0

2×0,141 =0

2×0,101 =0

2×0,092 = 0

2×0,119 = 0

2×0,118 = 0

2×0,087 = 0

2×0,057 = 0

2×0,057 = 0


Определяю количество ТО-2 для тракторов К-701 за каждый месяц года.

2×0,047 = 0

2×0,051 = 0

2×0,058 = 0

2×0,072 =0

2×0,141 =0

2×0,101 =0

2×0,092 = 0

2×0,119 = 0

2×0,118 = 0

2×0,087 = 0

2×0,057 = 0

2×0,057 = 0


Опреределяю количество проведения ТО –1 для тракторов ДТ-75 МВ за каждый месяц года:

94×0,047 = 4

94×0,051 = 5

94×0,057 = 5

94×0,072 = 7

94×0,141 = 13

94×0,101 = 9

94×0,092 = 10

94×0,119 = 11

94×0,118 = 11

94×0,087 = 10

94×0,057 = 5

94×0,057 = 5


Определяю количество проведения ТО –2 для тракторов ДТ-75 МВ за каждый месяц года:

16×0,047 = 1

16×0,051 = 1

16×0,057 = 1

16×0,072 = 1

16×0,141 = 2

16×0,101 = 2

16×0,092 = 1

16×0,119 = 2

16×0,087 = 1

16×0,057 = 1

16×0,057 = 1


Опреределяю количество проведения ТО –3 для тракторов ДТ-75 МВ за каждый месяц года:

8×0,047 = 0

8×0,051 = 0

8×0,057 = 1

8×0,072 = 1

8×0,141 = 1

8×0,101 = 1

8×0,092 = 1

8×0,119 = 1

8×0,118 = 1

8×0,087 = 1

8×0,057 = 0

8×0,057 = 0


Опреределяю количество проведения текущих ремонтов для тракторов ДТ-75 МВ за каждый месяц года:

5×0,047 = 0

5×0,051 = 0

5×0,057 = 0

5×0,072 = 0

5×0,141 = 1

5×0,101 = 1

5×0,092 = 1

5×0,119 = 1

5×0,118 = 1

5×0,087 = 0

5×0,057 = 0

5×0,057 = 0


Опреределяю количество проведения ТО –1 для тракторов МТЗ-80 за каждый месяц года:

160×0,047 = 8

160×0,051 = 8

160×0,057 = 9

160×0,072 = 11

160×0,141 = 23

160×0,101 = 16

160×0,092 = 15

160×0,119 = 19

160×0,118 = 19

160×0,087 = 14

160×0,057 = 9

160×0,057 = 9


Опреределяю количество проведения ТО –2 для тракторов ДТ-75 МВ за каждый месяц года:

27×0,047 = 1

27×0,051 = 1

27×0,057 = 2

27×0,072 = 2

27×0,141 = 4

27×0,101 = 3

27×0,092 = 2

27×0,119 = 3

27×0,118 = 3

27×0,087 = 2

27×0,057 = 2

27×0,057 = 2


Опреределяю количество проведения текущих ремонтов для тракторов МТЗ-80 за каждый месяц года:

10×0,047 = 0

10×0,051 = 0

10×0,057 = 1

10×0,072 = 1

10×0,141 = 1

10×0,101 = 1

10×0,092 = 1

10×0,119 = 1

10×0,118 = 1

10×0,087 = 1

10×0,057 = 1

10×0,057 = 1


Таблица проведения номерных технических обслуживаний и плановых ремонтов для тракторов.

Таблица № 4.

Марка тракторов

№ технического обслуживания

месяцы

I

II

III

IV

V

VI

VII

VIII

IX

X

XI

XII

К-701

ТО-1

1

2

2

4

1

1

4

1

3

3

2

2

ТО-2

-

1

2

-

-

-

-

1

-

1

-

-

ТО-3

-

1

-

-

1

-

-

1

-

-

-

-

ТР

1

-

-

-

-

-

-

-

1

-

-

1

КР

-

-

-

-

-

-

-

-

-

-

-

-

ДТ-75МВ

ТО-1

4

5

5

7

13

9

10

11

11

10

5

4

ТО-2

1

1

1

1

2

2

1

2

2

1

1

1

ТО-3

-

-

1

1

1

1

1

1

1

1

-

-

ТР

-

-

-

-

1

1

1

1

1

-

-

-

КР

1

1

-

-

-

-

-

-

-

-

-

1

МТЗ-80

ТО-1

8

8

9

11

23

16

15

19

19

14

9

9

ТО-2

1

1

2

2

4

3

2

3

3

2

2

3

ТО-3

-

-

1

1

2

2

1

2

2

1

1

1

ТР

-

-

1

1

1

1

1

1

1

1

1

1

КР

1

1

-

-

1

-

-

-

-

-

-

1

5. КОЛИЧЕСТВО РЕМОНТОВ ТРАКТОРОВ И СЕЛЬСКОХОЗЯЙСТВЕННЫХ МАШИН

 

Определяю количество ремонтов тракторов, комбайнов и сельскохозяйственных машин с помощью коэффициента охвата по формуле:

NК = n0 0.. ЗД. ЗВ , где

n0 - общее число комбайнов конкретной марки;

 З0 – годовой коэффициент охвата капитальных ремонтов;

ЗД – поправочный коэффициент, учитывающий средний срок использования машин в парке.

Определяю количество плановых текущих ремонтов для комбайнов и сельскохозяйственных машин по формуле:

nт пл = n0 - nп п, где

nп п, - число комбайнов эксплуатируемых в гарантийный период.

Тогда количества капитальных ремонтов будет:

«Енисей - 1200»

NК = n0 × З0 × ЗД ×ЗВ = 6 × 0,15× 0,95× 1 = 0,86

Принимаем Nк = 1

«КСК-100»

NК = n0 × З0 × ЗД ×ЗВ = 7 × 0,15× 0,99× 1,13 = 1,14

Принимаем Nк = 1

«ККУ-2А»

NК = n0 × З0 × ЗД ×ЗВ = 4 × 0,20× 0,95× 1,25 = 0,95

Принимаем Nк = 1

Коэффициенты:

Енисей – 1200 З0 = 0,15 ЗД = 0,95 ЗВ = 1

КСК - 100А    З0 = 0,15 ЗД = 0,95 ЗВ = 1,15

ККУ – 2А     З0 = 0,20 ЗД = 0,95 ЗВ = 1,25

Тогда количество текущих ремонтов будет:

Енисей-1200

nт пл = n0 - nп п = 6 – 1 = 5

КСК-100А

nт пл = n0 - nп п = 7 – 1 = 6

ККУ-2А

nт пл = n0 - nп п = 4 – 1 = 3

6. РАСЧЕТ ТРУДОЕМКОСТИ ТЕКУЩИХ РЕМОНТОВ ДЛЯ ТРАКТОРОВ

Для тракторов трудоемкость текущих ремонтов складывается из трудоемкости плановых и неплановых ремонтов.

Годовая трудоемкость неплановых текущих ремонтов всех тракторов одной марки определяется по формуле:

Тт непл = tт непл × n, где

Тт непл – средняя годовая трудоемкость неплановых текущих ремонтов одного трактора берется из таблицы № 6 из пособия;

n– количество тракторов конкретной марки.

К-701                  Тт непл = tт непл × n = 19,1× 3 = 364,8 чел/ч;

ДТ-75МВ   Тт непл = tт непл × n = 19,4 × 13 = 252 чел/ч;

МТЗ-80      Тт непл = tт непл × n = 17,4 × 18 = 313,2 чел/ч.

Годовая трудоемкость плановых текущих ремонтов всех тракторов одной марки определяется по формуле:

Tт пл = 0,001× Ат × tт пл × Nт пл, где

Ат - периодичность прохождения плановых текущих ремонтов;

tт пл л – средняя годовая трудоемкость текущего ремонта;

Nт пл – количество проведения плановых текущих ремонтов;

tт пл – берется из таблицы № 6 пособия.

К-701: tт пл = 76

ДТ-75МВ: tт пл = 110

МТЗ-80: tт пл = 91

К-701                  Tт пл = 0,001 × 4820 × 76 × 2 = 732,6 чел/ч;

ДТ-75 МВ  Tт пл = 0,001 × 2640 × 110 × 5 = 1452 чел/ч;

МТЗ-80      Tт пл = 0,001 × 1680 × 97 × 9 = 1466,6 чел/ч;

Расчет трудоемкости текущих ремонтов для комбайнов.

У комбайнов трудоемкость неплановых ремонтов составляет 20 %.

Трудоемкость от плановых текущих ремонтов.

Норматив суммарной годовой трудоемкости текущих ремонтов одного комбайна составляет:

tт пл = 210 : 1,2 = 175 чел/ч

Tт пл = 175 × n = 175 × 5 = 875 чел/ч

tт непл = 210 – 175 = 35 чел/ч

Тт непл  = 35×5 = 175 чел/ч.

Для кормоуборочных:

tт пл = 200 : 1,2 = 167 чел/ч

Tт пл = 167 ×6 = 1002 чел/ч

tт непл = 200 – 167 = 33 чел/ч

Тт непл  = 33×6 = 198 чел/ч.

Для картофелеуборочных:

Норматив трудоемкости увеличивается на 50 %, так как комбайны старые.

Tт пл = 86,25 × 3 = 258,75 чел/ч

tт непл = 103,5 – 86,25 = 17,25 чел/ч

Тт непл  = 17,25 × 3 = 51,75 чел/ч

Расчет трудоемкости текущих ремонтов равна 15 % от трудоемкости плановых текущих расходов.

Суммируют годовую трудоемкость текущего ремонта одной машины конкретной марки.

Беру из приложения № 5

Для плугов:

Принимаю:

ПЛН – 5 – 35 – 4 шт

ПЛН – 4 – 35 – 13 шт

ПЛН – 3 – 35 – 14шт

ПЛН – 5 – 35:

tт пл = 21 : 1,15 = 18 чел/ч

Tт пл = 18 × 4 = 72 чел/ч

 tт непл = 21 – 8 = 3 чел/ч

Тт непл  = 3 × 4 = 12 чел/ч

ПЛН – 4 – 35:

tт пл = 17 : 1,15 = 15 чел/ч

Tт пл = 15 × 13 =195 чел/ч

 tт непл = 17 – 15 = 2 чел/ч

Тт непл  = 2 × 13 = 26 чел/ч

ПЛН – 3 – 35:

tт пл = 14 : 1,15 = 12 чел/ч

Tт пл = 12 × 14 = 168 чел/ч

 tт непл = 14 – 12 = 2 чел/ч

Tт пл = 2 × 14 = 28 чел/ч

Общая трудоемкость плановых текущих ремонтов плугов:

Tт пл = 72 + 195 + 168 = 435 чел/ч

Tт пл = 12 + 18 + 28 = 66 чел/ч

Для культиваторов:

Принимаю:

КПС – 4 - 9 шт

КОН – 2,8 ПМ - 6 шт

КПС – 4 :

tт пл = 22 : 1,15 = 19 чел/ч

Tт пл = 19 × 9 = 171 чел/ч

tт непл = 22 – 19 = 3 чел/ч

Тт непл  = 3 × 9 = 27 чел/ч

КОН – 2,8 ПМ:

tт пл = 27 : 1,15 = 23 чел/ч

Tт пл = 23 × 13 =138 чел/ч

tт непл = 27 – 23 = 4 чел/ч

Тт непл  = 4 × 6 = 24 чел/ч

Общая трудоемкость плановых текущих ремонтов плугов:

Tт пл = 171 + 138 = 309 чел/ч

Tт пл = 57 + 24 = 81 чел/ч

Для лущильщиков:

Принимаю:

ЛДГ – 10 - 6 шт

ЛДГ – 5 - 4 шт

ЛДГ – 10:

tт пл = 31 : 1,15 = 27 чел/ч

Tт пл = 27 × 6 = 162 чел/ч

 tт непл = 31 – 27 = 4 чел/ч

Тт непл  = 4× 6= 27чел/ч

ЛДГ – 5:

tт пл = 17 : 1,15 = 15 чел/ч

Tт пл = 15 × 4 = 60 чел/ч

tт непл = 7 – 5 = 2 чел/ч

Тт непл  = 2 × 4 = 8 чел/ч

Общая трудоемкость плановых текущих ремонтов лущильщиков

Tт пл = 162 + 6 = 168 чел/ч

Tт пл = 24 + 84 = 32 чел/ч

Для сеялок зерновых:

tт пл = 63 : 1,15 = 55 чел/ч

Tт пл = 55 × 7 = 385 чел/ч

 tт непл = 63 – 55 = 8 чел/ч

Тт непл  = 8 × 7 = 56 чел/ч

Для картофелесажалок:

tт пл = 91 : 1,15 = 79 чел/ч

Tт пл = 79 × 4 = 316 чел/ч

 tт непл = 91 – 79 = 12 чел/ч

Тт непл  = 12 × 4 = 48 чел/ч

Для борон зубовых:

tт пл = 4 : 1,15 = 3,5 чел/ч

Tт пл = 3,5 × 85 = 297,5 чел/ч

 tт непл = 4 – 3,5 = 0,5 чел/ч

Тт непл  = 0,5 × 8,5 = 42,5 чел/ч

Для косилок:

tт пл = 40 : 1,15 = 35 чел/ч

Tт пл = 35 × 9 = 315 чел/ч

 tт непл = 40 – 35 = 5 чел/ч

Тт непл  = 5 × 9 = 45 чел/ч

Для пресс-подборщиков:

tт пл = 76 : 1,15 = 66 чел/ч

Tт пл = 66 × 4 = 264 чел/ч

tт непл = 86 – 66 = 20 чел/ч

Тт непл  = 20 × 4 = 80 чел/ч

Для грабель тракторных:

tт пл = 29 : 1,15 = 25 чел/ч

Tт пл = 25 × 6 = 150 чел/ч

tт непл = 29 – 25 = 4 чел/ч

Тт непл  = 4 × 6 = 24 чел/ч

Для разбрасывателей:

tт пл = 41 : 1,15 = 36 чел/ч

Tт пл = 36 × 9 = 324 чел/ч

 tт непл = 41 – 36 = 5 чел/ч

Тт непл  = 5 × 9 = 45 чел/ч

Для прицепов тракторных:

Трудоемкость определяю по формуле:

T = 0.001 × Br × n × t, где

Br - годовой планируемый пробег, км;

n- количество автомобилей;

t- удельная трудоемкость текущего ремонта.

Таблица № 5

Марка автомобиля

Количество

Удельная трудоемкость чел/ч, 1000км

Годовой планируемый пробег

ГАЗ 53-12

9

5,9

22500

ГАЗ-САЗ

35-07

4

6,8

31000

ЗИЛ 43 1410

4

5,3

29500


Газ 53-12:

T = 0.001 × Br × n × t = 0,001× 22500 × 9 × 5,9 = 1194,75 чел/ч×

ГАЗ-САЗ 35-07

T = 0.001 × Br × n × t = 0,001× 31000 × 4 × 6,8 = 843,7 чел/ч

ЗИЛ 43 1410

T = 0.001 × Br × n × t = 0,001× 29500 × 4 × 5,3 = 625,4 чел/ч.

7. РАСЧЕТ ТРУДОЕМКОСТИ ТЕКУЩИХ РЕМОНТОВ ОБСЛУЖИВАЮЩИХ РАБОТ

Мастер-наладчик вместе с механизатором проводят номерные и сезонные технические обслуживания для тракторов и комбайнов.

Рабочим местом является пост технического обслуживания.

Для проведения низкономерных технических обслуживаний при большом удалении он использует передвижной агрегат технического обслуживания.

Трудоемкость технического обслуживания планируется по одному на комбайн и каждый трактор.

Трудоемкость технических обслуживаний тракторов и распределение их по месяцам следует распределять пропорционально загрузке в течение года

Сезонное техническое обслуживание планируется по одному на каждый трактор в апреле и сентябре, то есть после зимних стоянок и перед постановкой на хранение.

Трудоемкость технических обслуживаний тракторов определяют укрупненным расчетом, используя норматив на 100 часов работы.

«Енисей-1200» - 3,43 чел.час/100 час работы;

«КСК-100А» - 6,3 чел.час/100 час работы;

«ККУ-2А» -7 чел.час/100час работы.

Количество часов работы одного комбайна за сезон:

«Енисей-1200» - 115 часов;

«КСК-100А» - 130 часов;

«ККУ-2А» - 200 часов.

Тогда трудоемкость номерных технических обслуживаний всех комбайнов составит:

«Енисей-1200»   Т = 0,01 × 115 × 3,43 × 6 = 35,5 чел/час;

«КСК-100А»      Т = 0,01 × 130 × 6,3 × 7 = 57,3 чел/час;

Т = 0,01 × 200 × 7 × 4 = 56 чел/час;

8. ПОСТРОЕНИЕ ПЛАНА - ГРАФИКА ПРОВЕДЕНИЯ НОМЕРНЫХ ТЕХНИЧЕСКИХ ОБСЛУЖИВАНИЙ ТРАКТОРОВ

Номерные технические обслуживания тракторов и комбайнов проводят через определенный период времени их работы. В хозяйствах с хорошо налаженной работой инженерного цеха мастер-наладчик планирует проведения номерных технических обслуживаний для тракторов на месяц или квартал. На начало планируемого месяца берут сведения о наработке каждого трактора. После номерных технических обслуживаний, подсчитывают ожидаемую среднесуточную наработку в предстоящий месяц.

Из годового плана загрузки мастера-наладчика видно, что наиболее загруженные месяца сентябрь и октябрь.

Руководитель, по согласованию, на период уборочных работ обычно устанавливает 10-часовой рабочий день, а выходные дни сдвигают на дождливый период.

Определяют среднесуточную ожидаемую наработку одного трактора каждой марки:

К-701: 4820 × 0,118/26 = 21,87 у.э.га;

ДТ-75 МВ: 1600 × 0,118/26 = 7,26 у.э.га;

МТЗ-80: 1250 × 0,118/26 = 5,67 у.э.га.

Определение ТО-1 будет проводиться через следующее количество рабочих дней:

К-701                  Д = АТО – 1/Br = 270/21,57 = 12,3

Принимаю

Д = 12

ДТ-75 МВ

Д = АТО – 1/Br = 163/7,26 = 22,7

Принимаю Д = 23

МТЗ-80

Д = АТО – 1/Br = 105/5,67 = 18,6

Принимаю Д = 19.

При планировании номерных технических обслуживаний нужно иметь ввиду, что ТО-3 за один день не проведешь, нужно планировать 2-3 дня. ТО-2 при участии двух человек можно провести за один день. Нужно помнить, что при проведении высокономерных технических обслуживаний должно предшествовать диагностирование.

Таблица № 6

Наименование операции

К-701

ДТ-75 МВ

МТЗ-80

При проведении ТО-3

26,69

13,63

15,26

При проведении ТО -2

8,1

6,69

5,2

При техосмотре

Без техобслуживания

20

12

11

Предремонтное

диагностирование

3,5

4

3,5

При отказах

2,5

2,5

2


Для каждого трактора, указанного в плане-графике отводится 2 срока.

Первая плановая;

Вторая плановая.

В строке «план» указывается планируемый срок проведения конкретного технического обслуживания.

В строке «факт» отмечается дата фактического проведения технического обслуживания. Помимо того выписки из него должны иметь бригадир тракторной бригады и мастер-диагност.

Это уменьшает количество ненужных согласований при нормальных условиях эксплуатации, распределяют ремонты и техническое обслуживания по месту проведения.

ГОСНИТИ дает рекомендации по распределению ремонта, обслуживающих работ между предприятием и подразделением технического сервиса.

Ориентировочные распределения объемов работ между мастерскими (подразделениями).

Таблица № 7

Наименование машин и оборудования

Техобслуживание

Текущий ремонт

хоз

ПТР р-он

хоз

ПТР

р-он

Тракторы и самоходные шасси

80

20

70

30

В том числе К-701 и Т-150К

20

80

10

90

Зерноуборочные комбайны

90

10

40

60

Специальные комбайны

90

10

70

30

Автомобили

40

60

25

75


Ориентировочное распределения трудоемкости работ в хозяйстве в зависимости от места исполнения.

Таблица № 8

Наименование машин и оборудования, вид работ

Распределение работ

ЦРМ

гараж

машдвор

В поле

Бриг.

1.Тракторы и самоходные   машины.

  Техобслуживание

  Текущий ремонт



20

60



-

-



-

-



30

10



50

30

2. Автомобили:

  Техобслуживание

  Текущий ремонт


-

20


100

80


-

-


-

-


-

-

3. комбайны:

  Техобслуживание


20


-


35


-


45

4. текущий ремонт СХМ

30

-

20

-

50


При определении доли трудоемкости работ, происходящей на ЦРМ хозяйства, учитывают состояние районных и областных предприятий технического сервиса, финансовые возможности самого хозяйства уже сложившиеся схемы взаимодействия ЦРМ со службами машинного двора, мастера-наладчика, мастера-диагностика.

Номерные и сезонные ТО автомобилей, их текущий ремонт выполняют в гараже. Часть работ текущего ремонта этих машин выполняет ЦРМ.

Расчет доли трудоемкости ремонтно-обслуживающих работ приходящихся на ЦРМ.

Таблица № 10

Наименование машин и оборудования

Суммарная

трудоемкость

Отчет о работах

.выполненных в

хозяйстве

В том числе в

ЦРМ

%

Чел

час

%

Чел

час

Трактор К-701К

Плановый текущий ремонт

Неплановый текущий ремонт


656,6

76.4


70

100


459,6

76,4


100

90


459.6

68,8

Трактор ДТ-75 МВ

Плановый текущий ремонт

Неплановый текущий ремонт


1452

252.2


70

100


1016,4

252,2


100

90


1016,4

226

МТЗ-80

Плановый текущий ремонт

Неплановый текущий ремонт


1466,8

313,2


70

100


1026,6

313,2


100

90


1026,6

281,9

Комбайн «Енисей-1200»

Плановый текущий ремонт

Неплановый текущий ремонт


875

175


70

100


612,5

175


100


612,5

140

КСК-100А

Плановый текущий ремонт

Неплановый текущий ремонт


1002

198


70

100


701,4

198


100

80


701,4

158,4

ККУ-2А

Плановый текущий ремонт

Неплановый текущий ремонт


258,75

51,75


90

100


232,9

5,75


100

80


232,9

41,4

Текущий ремонт автомобилей

Плановый текущий ремонт


2668,4


100


2668,4


50


1334,2

Плугов

Культиваторов

Лущильников

Сеялок зерновых

Картофелесажалок

Зубовых борон

Косилок

Пресс-подборщиков

Грабель тракторных

Разбрасыватель удобрений

Прицепов тракторных

435

309

22

385

316

297,5

315

264

150

324

468

100

100

100

100

100

100

100

100

100

100

100

435

309

222

385

316

297,5

315

264

150

324

486

100

100

100

100

100

100

100

100

100

100

100

435

309

222

385

316

297,5

315

264

150

324

486

Неплановых текущих ремонтов всех СХМ

551,5

100,

551,5

100

551,5

Техническое обслуживание тракторов

1596,15

100

1596,15

100

1596,15






11359,6


Номерные и сезонные технические обслуживания тракторов будет выполнять на участке технического обслуживания ЦРМ со службой мастера наладчика.

9. СОСТАВЛЕНИЕ ГОДОВОЙ ПЛАН ЗАГРУЗКИ ЦРМ ХОЗЯЙСТВА

Кроме основных работ ЦРМ хозяйства выполняют дополнительные работы. Трудоемкость дополнительных работ определяют в процентном отношении от суммарной трудоемкости основных работ в мастерской:

Ремонт оборудования мастерской 6-8 %.

Принимаем – 8 %.

Ремонт и изготовление приспособлений и инструментов 0,5-1 %.

Принимаем 1 %.

Ремонт и изготовление деталей в фонд запчастей 3-5 %.

Принимаем 5 %.

Прочие внеплановые работы по 10-12 %.

Принимаем 12 %.

Выполняем расчеты:

Тоб = 11359,4 × 0,08 = 908,8 чел/час.

Тинет = 11359,4 × 0,05 = 113,6 чел/час

Т3-2 = 11359,4 × 0,05 = 567 чел/час.

Тпр = 11359,4 × 0,12 = 1363,1 чел/час.

10. РАСЧЕТ ШТАТА РАБОТНИКОВ ЦРМ

В зависимости от характера выполняемых функций все рабочие ЦРМ разделяются на группы:

Производственные рабочие (мастера-наладчики, слесаря);

Вспомогательные рабочие, инженерно-технические работники, служащие, младший обслуживающий персонал (МОП), пожарно-сторожевая охрана.

Различают важные и списочное число производственных рабочих. Явочное число производственных рабочих определяют по номинальному фонду времени.

Ря = Тчн, где

Тч – годовая суммарная трудоемкость работ в мастерской за расчетный период:

Фн = Др × tсм × Дв × (tcv - tt) = 308 × 7 – 54 76 = 2102.

Ря = 14791,05/2102 = 7,03 чел.

Принимаем Ря = 7 чел.

Списочное среднегодовое число производственных рабочих определяют по формуле:

Рс = Т/Фр × к, где

Фр – действительный фонд времени рабочего;

к – коффициент перевыполнения наработки (1,05 – 1,15).

Принимаем к = 1,1.

Действительный фонд времени рабочего определяю по формуле:

Фр = (Ф н– До × tсм) –Зр, где

До – количество дней отпуска:

Зр – коэффициент, учитывающий невыход на работу по уважительной причине (0,95).

Фр = (2102 – 24,7) × 0,95 = 187,3 чел/час.

Тогда: Рс = 14791,05/1873,3 = 8 чел.

Число выполняемых рабочих составляет 10-15 % от числа основных производственных рабочих.

Принимаю 13 %.

Рв = Рс × 0,13 = 8 × 0,13 = 1,04

Принимаю Рв = 1.

Число инженерно-технических работников, младшего обслуживающего персонала, служащих принимаем соответственно:

8-10 %

2-4 %

2-3 %


Принимаем максимальные значения: 10,4,3.

Ритр = (Рс + Рв) × 0,1 = (8 + 1) × 0,1 = 0,9.

Принимаю Ритр = 1 (зав мастерской).

Рмоп = (Рс + Рв) × 0,4 = (8 + 1) = 0,36.

Принимаю Рмоп = 1 (уборщица с загрузкой по автопарку).

Рслуж = (Рс + Рв) × 0,03 = 0,27

Принимаем Рслуж = 1 (бухгалтер с догрузкой работ по автопарку и службы машинного двора).

Тогда всего количество работников будет составлять 12 человек.

11. АНАЛИЗ ДЕФЕКТОВ И ТЕХНИЧЕСКИЕ УСЛОВИЯ НА РЕМОНТ

Основными дефектами аккумуляторных батарей являются повышенный саморазряд, краткое замыкание и сльфатация пластин, трещины и сколы моноблока, повреждение крышек выводных штырей и перемычек.

Повышенный саморазряд может происходить по следующим причинам: наружная поверхность батареи покрыта грязью, влагой и электролитом, что приводит к разряду по поверхности крышек; в электролит попали вредные примеси (железо и медь), замыкание пластин отстоем, незначительное разрушение сепараторов.

Саморазряд батарей при температуре 20 ± 50С за 28 суток не должен превышать 15-20% ее номинальной емкости. Короткое замыкание возникает при разрушении сепараторов, при выпадение на дно бака большого количества активной массы.

Коробление пластин возникает из-за неодинакового объемного расширения активной массы на площади пластин, которое ведет к образованию трещин и ее выпадению из решеток.

Пластины разобранных батарей можно ремонтировать, когда стрела прогиба покоробившихся отрицательных пластин преобразуется из губчатого свинца PbSО4 с изменением цвета из серого в светло-серый.

Активная масса положительных пластин аккумулятора преобразуется из перекиси свинца PbSО2 в серно-кислый свинец PbSО4 с изменением цвета от темно-коричневого до коричневый.

Практически при допустимом разряде аккумулятора в химических реакциях соответствует не более 40-50% активной массы в следствии не достаточной ее пористости электролит в необходимом количестве не поступает так как в процессе разряда серная кислота идет на образование серно-кислого PbSО4 при одновременном выделении воды, то плотность электролита уменьшается с 1,25-1,31 до 1,08-1,15 г/см3.

Таким образом, плотность электролита при стопроцентном разряде уменьшается на 0,16г/см3.

Изменение плотности электролита является одним из основных показателей степени разряда аккумулятора.

Обломы и сколы пластмассы на моноблоках глубиной не более 3мм и общей площадью не более 5см2 устраняют разделкой с последующим заполнением их пластмассой. При дефектах больших размеров, а также при трещинах в перегородках моноблока и крышки бракуют.

Электролит должен быть плотностью 1,25-1,30г/см3. электролит готовится из аккумуляторной серной кислоты и дистиллированной воды. Нельзя применять техническую серную кислоту и недистиллированную воду, так как это приводит к ускоренному саморазряду, сульфатации и разрушению пластин, уменьшению их емкости.

При приготовлении электролита кислоту льют тонкой струйкой в воду, одновременно помешивая стеклянной палочкой этот раствор.

Нельзя лить воду в кислоту, так как при этом выделяется большое количество тепла, и электролит будет разбрызгиваться.

При разряде активная масса пластин не превышает 3мм, количество пустых ячеек и сквозных отверстий в решетке не превышает двух и они находятся не под ушками пластин, активная масса выпала не более, чем из семи ячеек без образования сквозных отверстий: в решетке нет подломов и трещин, положительные пластины имеют цвет от черного до темно-коричневого и на них нет белых пятен, отрицательные пластины имеют светло-серый цвет без зеленого налета, а их масса плотно прилегает к решеткам.

При проведении по пластинам острием ножа на них должен оставаться блестящий след.

Причиной сульфатации может быть пониженный уровень электролита, частые разряды током большой силы, повышение плотности электролита, его температура, саморазряд и короткое замыкание пластин.

Сильно сульфатированные восстанавливают продолжительным зарядом током малой силы (не более 0,05 от емкости) и при низкой емкости электролита (не более 1,11г/см3).

В результате преобразования активной массы пластин при разряде PbО2 и Pb в PbSО4, а также, в следствие уменьшения плотности электролита, внутреннее сопротивление аккумулятора возрастает в несколько раз.

I

 
 

t,час

 

изм. плотности электролита

 

 

 

Область допустимого разряда

 

 

Iр – сила разряженного тока:

ЕАКК – ЭДС аккумулятора;

Е0 – ЭДС покоя;

Нп – напряжение на зажимах разряжаемого аккумулятора;

Qр – емкость аккумулятора;

Iракк – величина падения в аккумуляторе напряжения.

Неисправности моноблоков встречаются в виде трещин, пробоин, которые появляются в результате ударов.

При разряде активная масса отрицательных пластин постепенно превращается из серно-кислого свинца PbSО4 в губчатый свинец Pb (серного свинца), а активная масса положительных пластин превращается из PbSО4 в перекись свинца PbО2 (темнокоричневый). При этом, в следствие образования серной кислоты при одновременном уменьшении воды, повышается плотность электролита с 1,08 -1,15 до 1,25-1,31г/см3 .

Как только активная масса пластин преобразуется в PbО2 и Pb, при дальнейшем заряде аккумулятора плотность электролита перестает повышаться, что служит признаком конца зарядки Pb губчатый свинец отрицательной пластиной.

Аккумуляторные батареи 6СТ-190 применяются в электрооборудовании тракторов, в условиях рыночной экономики увеличивается стоимость аккумулятора, по этому актуальным является ремонт аккумуляторных батарей в сельскохозяйственных предприятиях. Внедрение в технологию ремонта и технического обслуживания нового современного оборудования значительно улучшает выполнение сельхозработ.

Однако в настоящее время затраты на поддержание технической готовности машинно-тракторного и автомобильного парка приближается к стоимости самого автомобиля, по этому многие технические мероприятия производятся не своевременно, ремонт и ТО требуется в большем объеме.

Генераторные установки служат для питания потребителей и заряда аккумуляторных батарей, генератор Г283 работает в режиме 22-30V в 24 вольтовой системе. Генератор выдает переменный ток, который выпрямляется за счет диодного моста, смонтированного внутри генератора. Работу генератора проверяют непосредственно на двигателе, переносными приборами. Проверку также осуществляют на стенде. Для этого снимают генератор, крепят на стенд, подводят к к клемме «Ш» напряжение через реостат незначительное питание от источников тока стенда, а к выходной клемме «+» подключают нагрузочный реостат, которым нагружают генератор до 50А и устанавливают соответствующие технические характеристики I = 20A b U= 24V.

Проверку интегрального регулятора напряжения ИРНЯ-120 проверяют на том же стенде при помощи выходной лампы напряжением 24V – если она загорается, то транзистор открыт, а при U=30V гаснет, транзистор отключается верно, если в обоих случаях лампочка не горит, то в выходной цепи обрыв, для устранения снимают крышку ИРН, соединяют отрезком провода выводные клеммы В и Д генератора, включают «массу» подключают вольтметр со шкалой 25 В и снимают показания характеристики при различной частоте вращения.

Для проверки реле защиты на стенде собирают схему с полностью введенным сопротивлением реостата, включают напряжение и уменьшают сопротивление, в момент сбрасывания реле защиты стрелка амперметра резко отклоняется к нулю и слышен характерный щелчок, если реле сработало при 5А, то его регулируют натяжением пружины.

Разработка последовательности устранения дефектов электрооборудования

При поступлении на участок для ремонта электрооборудования всегда начинают с очистки от грязи и пыли.

При текущем ремонте производят замену неисправных полубоковых пластин, замену крышек, производят заливку мастики, направляют выводные клеммы, заделывают трещины в моноблоках, готовят и заливают электролит, заряжают аккумулятор.

Трещены моноблоков разделывают и заливают пластмассой. Если трещины имеют большие размеры, то моноблок бракуют.

Замену крышек производят следующим образом: отсоединяют межэлементные соединения от выводных штырей, высверливают выводные штыри, удаляют мастику, снимают съемником неисправную крышку, устанавливают новую крышку, заливают мастикой, направляют выводные штыри с помощью формы, приплавляют межэлементные соединения. Заряжают током 0,1 номинальной емкости до наступления обильного газовыделения.

При поступлении генераторной установки на участок производят очистку и визуально осматривают. Наиболее часто возникают неисправности из-за механических повреждений, поломок ушек, трещин в крышках, износа и коробления шкивов, износа подшипников. Недостаток натяжения ремней приводит к быстрому истиранию и вызывает нарушение электроснабжения.

Электрические неисправности во многом определяются качеством ТО и Р, но и возможно нарушение контакта, замыкание обмоток на корпус, межщитковые замыкания, обрыв обмоток, пробой и обрыв ИРН.

Эти неисправности выявляют на стендах.

Первоначально работу проверяют на новом тракторе при обкатке, а затем при ТО-2. Выявляют и устраняют вышеуказанные дефекты.

При ТО-3 через 2000 моточасов обязательно снимают генератор для замены деталей, ремонта, проверки работоспособности.

Важно помнить, что выключать при регулировке на стенде напряжения нельзя, так как это ведет к выводу из строя диодового моста выпрямителя.

12.ТЕХНОЛОГИЯ РЕМОНТА ДЕТАЛЕЙ Г-283 АКБ 6СТ190 НА ОСНОВЕ ТРЕБОВАНИЙ ТИПОВОЙ ТЕХНОЛОГИИ НА УЧАСТКЕ РКМОНТА ЭЛЕКТРООБОРУДОВАНИЯ

Все дефекты аккумуляторных батарей подразделяют на внешние (трещины на стенках баков и крышек, растрескивание и расслаивание мастики, окисление контактов, расшатывание штырей и межэлементных соединений) и внутренние (трещины в перегородках между банками, отклонение состояния электролита от ТУ, разрушение решетки и выкрошивание активной массы пластин, короткое замыкание пластин, уплотнение активной массы, отрыв пластин от бюреток, разрушение сепараторов).

Поступившие в ремонт батареи очищают от загрязнений и предварительно проверяют наружным осмотром (наличие трещин, отколов, окисленных контактов и т.д.) затем определяют состояние электролита, плотность, уровень над пластинами и напряжение под нагрузкой.

Батарею моют 3-5% раствором кальцинированной соды, после мойки ополаскивают холодной водой и протирают ветошью. Проверяют плотность электролита ареометром на 1 грамм H2SO4 1см3 H2О – 1,25 – плотность. При изменении плотности так же проверяют температуру электролита.

Температура должна быть 20-250С, так как при изменении температуры на 150С плотность электролита изменяется приблизительно на 0,01 г/см3.

Нагрузочной вилкой определяют состояние аккумуляторной батареи в режиме ее разряда.

Напряжение исправного аккумулятора должно быть постоянным в течение не менее 5 секунд, затем батарею заряжают силой тока, равной 0,1 ее емкости до напряжения 1,7в на один аккумулятор. Разряд аккумулятора необходим потому, что под действием кислорода воздуха активная масса отрицательно заряженных пластин разрушается и, кроме того, образуется гидроокись свинца, которая снижается емкостью аккумуляторов.

После того, как разрядили батарею, сливают электролит, затем разбирают батарею. Удаляют межэлементные соединения. Их отсоединяют от выводных штырей при помощи трубчатых сверл, которыми высверливают кольцевую канавку вокруг штыря (диаметр кольца сверла должен соответствовать диаметру выводного штыря), удаляют выводные штыри, высверливают, удаляют мастику после предварительного нагревания ее под нагревательным колпаком, снимают крышки батареи при помощи съемников, удаляют блоки пластин из баков, при помощи захватов разъединяют блоки на полублоки, очищают их и промывают в проточной воде в течение 1-2 часов, промывают пластмассовые сепараторы, обломы и сколы пластмассы на моноблоках устраняют разделкой с последующим заполнением их пластмассой. При больших дефектах моноблоков их бракуют.

Разряд аккумуляторных батарей при постоянной силе трка применяют на зарядных станциях и при вводе новых батарей в строй. Ток для первого заряда должен соответствовать 0,1А.

Заряд ведут до напряжения не менее 2,4В на каждом аккумуляторе, после чего его уменьшают на 50% и продолжают заряжать при обильном газовыделении до постоянного напряжения и плотности электролита, отмечаемых в течение 2 часов. Затем корректируют плотность электролита если она отличается от установленной для данной климатической зоны.

Для понижения плотности электролита в аккумулятор доливают дистиллированную воду, для повышения плотности электролита 1,40г/см3.

Во время заряда следует следить. Чтобы температура электролита не поднималась выше 450С в холодной и умеренной климатической зоне и выше 500С - в жарких и теплых влажных зонах.

При дефектах заменяют негодные пластины и сепараторы. Рекомендуется использовать бывшие в эксплуатации, но годные пластины того же размера, взятые из других разобранных батарей, в противном случае будет возникать выравнивающий ток, которых приведет к быстрому их разрушению. Затем полублоки вставляют так чтобы каждая положительная пластина располагалась между двумя отрицательными. Между пластинами начиная от середины вставляют сепараторы так, чтобы из ребра были обращены к положительным пластинам (при двойных сепараторах к положительным пластинам обращен стекловой ток). Блоки пластин обжимают на приспособлении и устанавливают в банки.

Каждый аккумулятор закрывают крышкой и уплотняют зазоры асбестовым шнуром и проверяют вольтметром на отсутствие короткого замыкания между пластинами. Крышку аккумулятора заливают мастикой (нефтяной битум 15-75%, машинное масло – 25%) при температуре 1700 – 1800С.

На выводные штыри надевают межэлементные соединения и приваривают их. Выводные зажимы наплавляют.

Малые диаметры конусных зажимов должны быть следующими:

- положительные 17,25-17,75мм;

- отрицательные 15,75-16,25мм

при конусности 1:9.

Затем готовят электролит из аккумуляторной серной кислоты и дистиллированной воды. Для этого применяют термостойкую посуду, в которую вливают дистиллированную воду, а затем тонкой струйкой кислоту при непрерывном помешивании.

Запрещается лить воду с кислоту, так как при этом выделяется большое количество теплоты, и электролит будет разбрызгиваться, температура электролита, заливаемого в аккумулятор должна быть в пределах 15-300С.

Электролит заливают плотностью на 0,07 меньше той, которую необходимо получить в конце заряда. Уровень электролита должен быть выше пластин на 15-20мм.

Затем батарея должна постоять 4-6 часов для того, чтобы пластины хорошо пропитались электролитом. Затем проверяют уровень электролита и при необходимости доливают его. Затем заряжают при постоянной силе зарядного тока. В процессе зарядки следят, чтобы температура не повышалась выше 450С, в противном случае зарядку прекращают до остывания электролита или уменьшают силу зарядного тока.

Генератор Г 283 имеет сложную конструкцию. Он состоит из обмотки статора, якоря, который вращается в подшипниках, ИРН – регулятора напряжения, расположенного в корпусе диодового моста, который, в свою очередь, расположен в корпусе шкава, прикрученного к якорю спереди лопостного вентилятора, прикрученного сзади и представляет собой герметическую конструкцию. Поэтому при выявлении неисправности при ТО необходимо производить ремонт на стенде, хотя выявить дефекты можно не снимая Г-283 с двигателя ЯМЗ 240.

Снятый генератор разбирают начиная с откручивания гаек крепления задней крышки, где расположен диодовый мост и ИРН – регулятор напряжения. При замене подшипника в задней крышке снимают диодовый мост и ИРН во избежания технических повреждений. Замена переднего подшипника осложняется из-за сложности демонтажа, который можно осуществить специальным съемным оборудованием. Обмотка якоря не ремонтируется, а заменяется путем выдавливания на гидравлическом прессе.

При замыкании других обмоток – ремонт производится заменой, например, обмотки возбуждения и т.д.

Интегральный регулятор напряжения не ремонтируется, а при неисправности заменяется. При ремонте диодового моста выявляется дефектный диод и меняется на исправный. Правильно работающий диод пропускает напряжение только в одну сторону.

Электрооборудование привода, переключателя фар, дублеры поворотов и др., проверяются ежесменно, провода подлежат замене, если повреждено более 1% изоляции. Ремонт фар сводится к зачистке контактов и замене электроламп.

В выключателе зачищаются контакты и подтягиваются соединения.

Напряжение сети может быть больше ЭДС аккумулятора, а сопротивление аккумулятора незначительным, поэтому сила зарядного тока I3 может быть чрезмерно большой. По мере зарядки аккумулятора повышается ЭДС, что вызывает уменьшение силы тока.

Для поддержания необходимой величины силы тока в начале и в конце процесса зарядки включают регулировочный реостат.

Величина сопротивления реостата определяется по формуле:

, где

Uc – напряжение сети;

r – расчетное напряжение на один аккумулятор;

n – число последовательно включенных аккумуляторов в цепи заряда;

I3 – сила зарядного тока.

В случае последовательного включения в одну ветвь аккумуляторной батареи с разной емкостью необходимую величину силы зарядного тока устанавливают по батареи меньшей емкости.

Зарядку ведут до обильного газообразования, а напряжение и плотность электролита будут оставаться постоянными в течении 2 часов, что служит признаком конца зарядки.

При помощи литейных форм в случае необходимости отливают новые детали.

При правильной работе АКГ и Г283 зарядка не превышает 10А, так как большой ток может вызвать преждевременное осыпание пластин, для этого служит регулятор напряжения.

Рационализация работ на участке

Участок по ремонту электрооборудования требует ремонта помещения включая замену электропроводки и усовершенствования вентиляции.

Вентиляцию нужно сделать проточно-вытяжной.

Необходимо расширить площадь и установить стеллажи для хранения АКБ, кислоты и запчастей.

Есть необходимость в приспособлениях по переноске и поднятию аккумуляторов, оборудованию по ремонту АКБ.

Хранение АКБ

Снятые с машин после непродолжительной работы или приведенные в действие, но не бывшие в эксплуатации аккумуляторные батареи, перед установкой на хранение, надо полностью разрядить, плотность электролита должна быть доведена до нормы, соответствующей климатической зоны, но не выше 1,28г/см3. Батареи, хранящиеся при положительной температуре как резервные следует 1 раз в месяц подзаряжать нормальным зарядом 0,1в для восстановления емкости, потерянной после саморазряда. В батареях этого же назначения, но хранящиеся при отрицательной температуре контролируется ежемесячно плотность электролита.

Если плотность понизится на 0,04 от первоначальной, батарею следует подзарядить.

Генераторную установку при этом, внимательно осмотреть и проверить натяжение ремня, помня, что перетягивание ремня ведет к преждевременному износу подшипников.

13. ОПРЕДЕЛЕНИЕ ЧИСЛА ПРОИЗВОДСТВЕННЫХ РАБОЧИХ

Состав рабочих различают списочным и явочным.

Списочный – полный состав работающих, числящихся по спискам на предприятии, включает как фактически являющихся на работу, так и отсутствующих по уважительным причинам (по болезне, в отпуске, в командировке и т.п.)

Явочным называется состав, работающих фактически являющихся на работу.

Число производственных рабочих определяется по формуле:

,

, где

mяв – явочное число рабочих;

mсп – списочное число рабочих:

Туч – годовая трудоемкость работ на участке:

Фнр – номинальный годовой фонд рабочего времени;

Ф – действительный годовой фонд рабочего времени.

Номинальный годовой фонд рабочего времени определяется по формуле:

Фнр = (Дк × Дв × Дп ) × Тсм × П , где:

Дк – дни календарные;

Дв – дни выходные;

Дп – дни праздничные;

Тсм – продолжительность смены;

П – количество смен в сутки.

Фнр = (366 × 104 × 8) × 8 × 1 = 2032,4.

Действительный фонд времени рабочего определяется по формуле:

Фдр = Фнр × Пув, где:

Пув - коэффициент отсутствия рабочего по уважительной причине (болезнь, отпуск и т.д.) равный 0,9.

Фдр = 2032 × 0,9 = 1829,4.

.

Принимаем mяв = 1.

Так как рабочий на участке загружен менее, чем на 30%, то он будет обслуживать и ТО1, ТО2, СО.

Определение числа рабочих мест.

Число рабочих мест определяется по формуле:

, где:

Туч – годовая трудоемкость работ на участке;

Фрм – годовой фонд времени рабочего места.

Фрм = Фнр.

m – число рабочих.

.

Принимаем Хрм = 1 с учетом ремонта другого электрооборудования.

14. РАСЧЕТ И ПОДБОР ОБОРУДОВАНИЯ

Таблица №11. Перечень оборудования для аккумуляторного участка.

Наименование

Модель,

тип

Харак

терис

тика

Мощ

ность,

кВт

Габа

риты,

м

Пло

щадь,

м2

Коли

чест

во

1.Стенд для испытания почасовым и стартерном режимах разряда.

2. Нагрузочная вилка

3. Бак для приготовления электролита.

4. Верстак ремонта аккумуляторов.

5. Ванна для промывки моноблоков и пластин.

6. Аккумуляторный денсиметр.

7. Аккумуляторный термометр.

8. Щетка для очистки батарей.

9. Выпрямитель силовой

10. Дистиллятор.

11 Приспособление для разлива кислоты.

12. Тележка для перевоза аккумуляторных батарей.

13. Бак для слива электролита.

14. Стеллаж для хранения батарей.

15. Стеллаж для батарей.

16. Стеллаж для отходов.

17. Съемник, формы для накапливания выводных клемм, нагревательный колпак.

 18. Приспособление для изготовления блоков пластин.

19. Ящик с песком.

20. Пожарный щит.

21. Шкаф.







НИИ

АТЛе

собст.

То же

То же

 

ГОСТ

195-66

ТП-4


ВСА-5

Д2

собтв.

изгот.

То же


То же

То же

То же

То же











с местн.

откосом


предел

измер.

1,10-1,28

предел

измер.

5-650С






по два

аккум.

0,8








1,0











2,6

4,0

1,0х1,0




1,0х1,0


2,0х0,75

1,0х1,0











0,56х0,35

3,0х0,3

0,6х0,5


0,67х0,8

1,0х0,9

2,0х1,0

1,5х1,0

1,0х1,0

1,0




1,0


1,5

1,0











1,9

0,9

0,3


0,53

0,9

1,0

1,5

1,0

1

2

1

1

1

2

2

2

1

1

1

1

1

4

4

1

2

2

1

1

1

1

1


Расчет площади участка

Состав и величина площади участка зависят от назначения и годового объема работ на участке. Площадь помещения можно рассчитать двумя методами детальным и укрупненным.

При детальном методе площадь рассчитывают по площади поля, занятого оборудованием и инвентарем и коэффициенту перехода от площади оборудования к площади участка, учитывающим рабочие места перед оборудованием, проходы, проезды и нормальные расстояния между оборудованием, стенами здания.

При укрупненном методе площадь рассчитывают по удельной площади на одного рабочего, на единицу оборудования или на одно рабочее место.

При дипломном проектировании производственную площадь участка рассчитывают детальным методом, с последующим уточнением после получения планируемого решения.

Производственную площадь участка рассчитывают по формуле:

Fу = Fоб × Кп, где:Fоб – площадь пола занятая инвентарем и оборудованием;Кп – коэффициент перехода от площади, занятой оборудованием и инвентарем к площади участка.

Для аккумуляторного участка коэффициент равен 3,5

Fу = 20,5 × 3,5 : 5,5 = 71,75м2

Предлагаю разместить проектируемый участок на существующей территории, но достроить до 80м2, увеличив длину участка до 13м.

Участок хранения 14м2.

15. ОХРАНА ТРУДА

Цех по ремонту электрооборудования и аккумуляторное отделение относится к участку с вредными условиями труда.

Рабочие аккумуляторного отделения должны знать безопасные методы труда в результате:

- вводного инструктажа при поступлении на работу;

- инструктажа на рабочем месте;

- повторного и дополнительного инструктажа.

Обучение основам техники безопасности.

Все работники аккумуляторного отделения не зависимо от квалификации и стажа работы, не реже одного раза в шесть месяцев проходят повторный инструктаж.

Зарядку аккумуляторов проводят в изолированных местах, оборудованных приточно-вытяжной вентиляцией и водопроводом.

При плавке свинца, окислы, образующиеся на его поверхности нужно удалять металлическим черпаком и сбрасывать в ящик с плотно закрывающейся крышкой.

Открывать крышку нужно только во время сброса окислов. Работать мокрым черпаком или заливать свинец в мокрые формы запрещается.

При замене пластин одежда и руки рабочих постоянно загрязняются соединениями свинца, поэтому необходимо работать в хлопчатобумажном с кислотостойкой пропиткой, резиновом фартуке и перчатках.

Серную кислоту нельзя хранить в металлической посуде. Обычно для этого используются стеклянные бутыли с притертыми пробками.

Выливать кислоту из бутылки необходимо только при помощи приспособлений не допускающих ее проливаний. Следует соблюдать осторожность при работе с кислотой, так как при попадании на кожу она вызывает ожоги, язвы. При приготовлении электролита необходимо лить серную кислоту в дистиллированную воду тонкой струйкой, периодически помешивая раствор стеклянной палочкой.

Категорически запрещается вливать воду в кислоту.

При организации аккумуляторных отделений особое внимание уделяется устройству приточно-вытяжной вентиляции.

В воздухе могут содержаться пары серной кислоты, свинца и его окислов. Их концентрация не должна превышать на 1ч воздуха:

- для паров кислоты – 0,002;

- для паров свинца – 0,00001.

Интенсивность поступления или удаления воздуха из помещения называют воздухообменом. Отношение воздухообмена к объему вентилируемого помещения называют кратностью воздухообмена.

К = L/V, где

L – воздухообмен;

V – объем помещения.

Кратность воздухообмена показывает, сколько раз в течение часа заменяется воздух в помещении.

При выделении газов, паров, пыли воздухообмен определяют по формуле:

a = с × (д - дпр), где:

с – скорость выделения вредных веществ;

д – предельно допустимая концентрация этого вещества в воздухе мг/м3;

дпр – конец этого вещества в приточном воздухе. Принимаем равным нулю.

Для зарядной:  

a = 3,2 × (0,002 - 0) = 1600м3/г.

к = 1600/3240 = 5.

Для ремонтного помещения:

a = 1,6 × (0,003 - 0) = 800м3/г,

к = 0,048 × 800 = 3,2.

В течение часа воздух должен поменяться в зарядной – 5 раз и 2,5 раза для ремонтного помещения.

Освещение рабочих мест должно быть оптимальным по величине, а его спектр максимально приближен к дневному свету.

Различают естественное, искусственное и совмещенное освещение.

Расчет естественной освещенности сводится к определению площади световых проемов помещения:

,

где:Сн – нормированное значение коэффициента естественной освещенности;

Кз - коэффициент запаса;

по – световая характеристика окон;

r – общий коэффициент светопропускания окон r0 - r1 r2 r3 r4 r5, здесъ:

r1 – светопрпускание стекла;

r2 – потери света в переплетах;

r3 – потери света в низких конструкциях помещения;

r4 – потери света в солцезащитных устройствах;

r5 – потери света в защитной сетке, устанавливаемой под фонарем;

r – коэффициент, учитывающий отражение света от стен, потолка;

Кзд – коэффициент, учитывающий затемнение оон, противостоящим зданием.

л/м2.

Особое внимание нужно уделить аккумуляторщику, электрику в целях сохранения их здоровья. Для этого им ежедневно выделяется по 1 литру молока.

Расчет освещения

При расчете искусственного освещения надо подсчитать число ламп для участка, выбрать тип светильника, определить высота подвеса светильников, размещение их на участке.

Необходимое число ламп для нормальной освещенности определяется по формуле:

, где

Еср – средняя освещенность;

F – площадь помещения;

К – коэффициент запаса освещенности к = 1,3;

Fл – световой поток каждой лампы, NK;

h - коэффициент использования живого потока, h = 0,4;

Определяю количество ламп мощностью 200Вт:

люкс/м2.

Принимаю 6.

Расчет вентиляции.

Высота помещения 3,5 м. При расчете искусственной вентиляции определяют необходимый воздухообмен, подбирают вентилятор и электодвигатель. Производительность вентилятора определяют по формуле:

Wв = Vn Кв м3, где

Vn – объем помещения м3;

Кв – кратность обмена воздуха.

Wв = 252×5 = 1260 м3.

По производительности подобрали вентилятор 13470.

Определили требуемую мощность Nb на валу электродвигателя для привода вентилятора.

 кВт.

Подобрали тип электродвигателя 4А71134.

16. ОПРЕДЕЛЕНИЕ СЕБЕСТОИМОСТИ РЕМОНТА ЭЛЕКТРООБОРУДОВАНИЯ К – 701

Себестоимость определяется по формуле:

Срэ = Зот + Нвр + Сз + Сн + Нп, где:

Зот - оплата труда;

Нвр – непредвиденные расходы – 5%;

Сз - нормативные отчисления на ремонт;

Сн - общехозяйственные расходы;

Нп – общепроизводственные затраты – 10%.

1.Определяем затраты труда слесаря – электрика из расчета оплаты труда за 1 час – 78,19 рублей по формуле:

Зот = Зог + Зоа + Зоэ, где:

Зог – оплата за ремонт генератора;

Зоа – оплата за ремонт аккумулятора;

Зоэ – оплата за ремонт электрооборудования.

При ТО 6% времени относится к ремонту электрооборудования и составляет:

364,8чел/час × 0,06 = 21,9 часа.

В равной степени распределяется на ремонт:

21,9 : 3 = 7,3чел/час.

Зот = 7,3 × 78,19 + 7,3 × 78,19 +7,3 × 78,19 = 1720 рублей.

2. Непредвиденные расходы составляют 5% от оплаты за ремонт.

Нвр = 1720 × 0,05 = 86 рублей.

3. Определяем нормативные отчисления по формуле:

Сз = 0,5 ¸ 0,3 × 4 × nа + nг +nэ , где

0,5 ¸ 0,3 – коэффициент;

nа – стопроцентная закупочная цена ремонтного оборудования для четырех аккумуляторов;

nг – стопрцентная закупочная цена ремонтного оборудования генераторов;

nэ – цена ремонтного оборудования электропроводки.

Сз = 0,4 × 4 × 2600 + 3000 + 2000 = 6160 рублей.

Закупочные цены на 1.05.07 года.

4.Определяем общепроизводственные расходы по формуле:

Сн = (Сот + Нвр + Сз) × 10% = (1720 + 86 + 6160) × 0,01 = 796 рублей.

5.Определяем общехозяйственные затраты по формуле:

Нп = (Сот + Нвр + Сз + Сн) × 18% = (1720 + 86 + 6160 + 796) × 0,18 = 1584 рублей.

6.Определяем полную себестоимость ремонта электрооборудования.

С = 1720 + 86 + 6160 + 796 + 1584 = 10346 рублей.

ЗАКЛЮЧЕНИЕ

В результате производственных расчетов получил следующие данные по участку.

Годовая трудоемкость работ на участке. Работает один человек, он же обслуживает ремонт электрооборудования при ТО и СТО.

Число рабочих мест – одно.

Площадь участка реконструкции составляет 80м2, в том числе 14м2 – для хранения АКБ.

Себестоимость текущего ремонта одной аккумуляторной батареи составляет 10346,00 , что значительно дешевле замены.

Техника безопасности согласно нормативным требованиям при ремонте электрооборудования.

ЛИТЕРАТУРА

1.   Клебаков. Проектирование производственных участков, мастерской.

2.   Румянцев. Ремонт автомобилей.

3.   Ульщан. ТО и ремонт машин.

4.   Водолазов. Курсовое и дипломное проектирование.

5.   Шилова. Что надо знать об аккумуляторах.

6.   «Тракторы и автомобили». Учебник под ред. Боготырева А.В., М., «Колос», 2005г.

7.   «Тракторы и автомобили». Учебник под ред. Скотникова В.А., М., «Агропромиздат», 1985г.

8.   «Трактор К- 701». Справочник, М., «Колос»,1986г.


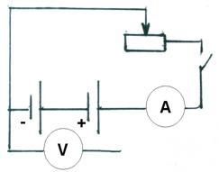
Схема заряда аккумулятора при постоянной силе тока

Похожие работы на - Ремонтная мастерская

 

Не нашли материал для своей работы?
Поможем написать уникальную работу
Без плагиата!
Без нейросетей!