Грузозахватные устройства механизмов
Министерство
образования и науки Украины
Кафедра ММК и ПМ
Реферат
На тему "Грузозахватные
устройства механизмов"
Выполнил: ст. гр. ММК – 08 – 1
Плетнёв М. И.
Проверил: Ульяницкий В. Н.
Алчевск 2010
Грузозахватные органы
Они служат для соединения поднимаемых грузов с гибкими
грузовыми органами и в зависимости от того, с какими грузами работают, они
подразделяются на: универсальные - крюки, петли, которые работают с любыми
навесными устройствами; специальные, которые работают с определенными
категориями грузов, например, бадьи и грейферы работают только с сыпучими
грузами. При использовании специальных захватов значительно повышается
производительность крана.
Универсальные
грузозахватные органы
При небольших
грузоподъемностях (до 50 т) применяются однорогие кованые крюки.
Метрические резьбы
применяются при грузоподъемностях до 3 т. При большей грузоподъемности нужны
более сильные резьбы, например, трапецеидальная. Для устранения возможности
выпадения стропа из зева крюка применяются предохранительные замки (для
специальных кранов). При грузоподъемностях свыше 50 т применяются двурогие
крюки.
При больших
грузоподъемностях используются также пластинчатые крюки, набираемые из
отдельных стальных пластин, которые скрепляются заклепками.
Пластинчатые крюки
более дешевы в изготовлении. При грузоподъемностях порядка нескольких сотен
тонн применяются двурогие пластинчатые крюки. Для обеспечения равномерного
нагружения всех пластин зев пластинчатых крюков обычно оснащается специально
спрофилированным вкладышем из мягкой стали. Наличие вкладышей улучшает работу
каната. Петли (скобы) выполняются либо коваными либо шарнирными в зависимости
от грузоподъемности.
Специальные
грузозахватные органы.
Стропы, траверсы,
захваты, подъемные электромагниты предназначены для работы со штучными грузами,
а ковши, бадьи и грейферы - с сыпучими. Стропы
- это короткозвенные участки канатов.

Эксцентриковый захват
предназначен для работы с плоскими грузами.
Для перегрузки сыпучих
грузов используются бадьи
- грейфер
применяется значительно чаще и имеет разновидности:
Производительность
двухканатной системы выше, но чаще используют одноканатные грейферы. Так как
они навешиваются на крюк любого крана.
Особенности расчета крюков и петель.
Если нельзя
воспользоваться стандартным крюком, то его надо рассчитать. Основным проектным
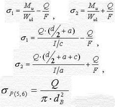
размером является d - диаметр зева крюка. Опасными являются сечения 1-2 и 3-4. Расчет
производится в два этапа: определяются размеры опасных сечений, считая крюк
прямолинейным брусом; проверяются эти размеры, считая крюк криволинейным
брусом.
где dB - диаметр резьбы
по впадинам; I , F- момент инерции и площадь сечения. Форму сечения крюка
выбирают трапецеидальной с соотношением размеров В/b=3. Такая форма сечения
оправдывается простотой изготовления.
Если груз висит на
одном стропе, то в сечении 3-4 возникает напряжение среза от Q2 , изгиба от Q1
и растяжения от Q1.

где коэффициент перед
дробью учитывает неравномерность нагружения. Опасные сечения: 1-2 - на срез от
Q5 , на растяжение и изгиб от Q4; 3-4 - на срез от Q3, на растяжение и изгиб от
Q2.
Расчет петель (скоб).

Внутренние поверхности
проушин рассчитываются на смятие по формуле Ламе (Lame).
Тело проушины
проверяется на разрыв в опасном сечении. Оси рассчитываются на срез и на изгиб.
Список литературы
2.
Справочник по кранам. Александров М.П.,Гохберг М.М., том 1,2. -Л:Машиностроение
,1988.
3.
Подъёмно-транспортные машины . Атлас конструкций .,под ред. Александрова М.П. и
Решетникова Д.Н.-М.:1987.