Разработка бульдозеров
Федеральное
агентство по образованию
Государственное
образовательное учреждение профессионального высшего образования
Читинский
государственный университет
(ЧитГУ)
Курсовой
проект
Тема: Бульдозер
Выполнил: студент гр. СДМ
Руководитель: ст. преподаватель
Вараница Е.Н.
Чита 2008
Содержание
Введение
1. Конструкторская часть
1.1 Выбор прототипа
1.2 Назначение
бульдозера, принцип его работы и выполняемые операции
1.3 Расчет основных параметров
1.4 Тяговый расчет
1.5 Расчет мощности привода базовой
машины
1.6 Проверка бульдозера на
устойчивость
1.7 Расчет производительности
бульдозера
1.8 Расчет на прочность
Охрана труда и окружающей среды
Заключение
Список литературы
Введение
Целью
данного курсового проекта является приобретение навыков в расчете и конструировании
специфических узлов, главным образом рабочих органов машин для земляных работ,
а также выработка умения применять теоретических материал при решении
практических задач.
Сейчас
разрабатывают бульдозеры для работ на более твердых грунтах. Разрабатывают бульдозеры
с повышенной единичной мощностью машин и оборудования. Добиваются снижения
материала и энергоемкости машин, повышения ресурса и надежности, а также применения
новых материалов с лучшими физикомеханическими свойствами и характеристиками;
повышения требований к эргономике и технической эстетике машины на основе более
полного учета физических и финансовых возможностей человека оператора;
автоматизации систем управления, контроля, и обеспечения безопасности работы
машины; повышения скоростей движения., что позволяет увеличить
производительность; конструирования машин и оборудования из унифицированных
блоков, что позволит сократить процесс создания машин и сократить время простоя
ее в ремонте.
Все эти
нововведения позволят увеличить темпы развития других отраслей народного
хозяйства, сократить сроки строительства различных агротехнических сооружений.
1.
Конструкторская часть
1.1 Выбор прототипа
Выбираем параметры прототипа по [1, стр. 146-147], тяговому классу
базовой машины, и эти параметры заносим в таблицу 1.
Таблица 1 Техническая
характеристика бульдозера
|
Наименование
показателей
|
Показатели
|
|
ТС – 10
|
|
Базовый
трактор, Тип
|
гусеничный
|
|
Модель
|
Т – 130
|
|
Мощность
двигателя
|
132
|
|
Наибольшее
тяговое усилие в кгс
|
15000
|
|
Эксплуатационная
масса в кг
|
15000
|
|
Тип
рамы
|
внутренняя
|
|
Расположение
|
прямолинейное
|
|
Крепление
|
жесткое
|
|
Управление
|
гидравлическое
|
|
Габаритные
размеры с базовым трактором, мм, длина
|
5960
|
|
ширина
|
3240
|
|
высота
|
3090
|
|
Масса
бульдозерного оборудования, кг
|
2050
|
1.2
Назначение бульдозеров, принцип работы и выполняемые операции
Бульдозер представляет собой базовый тягач, оснащенный ножевым
навесным рабочим оборудованием, в которое входит отвал 3 с ножами 5, толкающие
брусья 6, подкосы 7 и гидроцилиндры 2 (см. рис.). Отвал изготовляют в виде коробчатой
сварной конструкции с накладками жесткости, приваренными к тыльной стороне.
Толкающие коробчатые брусья 6 передними концами шарнирно соединяют с проушинами
тыльной стороны отвала, а задними — с упряжными шарнирами 8, плиты которых
приварены к балкам гусеничных тележек трактора. Подкосы соединяют верхнюю часть
отвала с проушинами толкающих брусьев; перестановкой подкосов можно изменять
угол резания в пределах 45—60°. Вследствие трудоемкости операций по
перестановке подкосов их заменяют гидроцилиндрами.
Бульдозерным оборудованием иногда оснащают другие
землеройно-транспортные машины (автогрейдеры, экскаваторы, погрузчики), у
которых это оборудование является вспомогательным. Бульдозеры могут
разрабатывать талые и мерзлые предварительно взрыхленные грунты. В качестве базовых
машин для бульдозеров чаще всего используют гусеничные тракторы мощностью от 55 до 650 кВт, реже — колесные тракторы или тягачи
мощностью 75—1200 кВт.
Для выполнения подготовительных работ на раму бульдозера
навешивают дополнительные виды рабочего оборудования: кусторезы, корчеватели, собиратели
и др. Бульдозеры нередко выпускают в комплекте с рыхлителями и
канавокопателями, навешиваемыми сзади машины.
Бульдозер послойно срезает грунт и одновременно перемещает его
волоком по поверхности земли к месту укладки.
Бульдозеры применяют для возведения насыпей из грунтов боковых
резервов, разработки выемок, грубого планирования поверхностей земляных
сооружений, для засыпки рвов, траншей, обваловки сооружений, а также для
подготовительных работ— валки отдельных деревьев, срезки кустарника, корчевания
отдельных пней и камней.
Бульдозеры используют также для распределения грунтовых отвалов
при работе экскаваторов и землевозов, образования штабелей сыпучих материалов
(песка, щебня) и их подачи к перерабатывающим агрегатам, для снегоочистки,
формирования террас на косогорах, производства вскрышных работ в карьерах.
1.3
Расчёт основных параметров отвала бульдозера
Для
выполнения этих расчётов используем следующую литературу: [1, стр. 189 – 202]
Углы установки отвала бульдозера
|
Тип бульдозера
|
Углы установки
отвала, град
|
|
захвата X
|
зарезания В
|
резания a
|
|
С неповоротным отвалом
|
90 60
|
0 0
|
50 – 60
|
|
С поворотным отвалом
|
90 60
|
3 8
|
50 – 0
|
|
универсальный
|
90
|
|
50—60
|
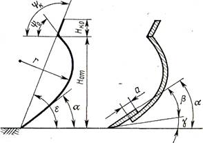
Высоту козырька Нк по вертикали принимают 0,1 — 0,25 от
высоты отвала.
Основные параметры поперечных профилей отвалов бульдозеров приведены
в табл.
Параметры отвалов
|
Отвал
|
|
Параметры
|
неповоротный
|
поворотный
(универсальный)
|
|
Угол резания а, град
|
50—60
|
50—60
|
|
Угол наклона отвала е, град
|
75
|
75
|
|
Угол опрокидывания ф0, град
|
70—75
|
60—75
|
|
Угол установки козырька фк, град Задний угол v, град
|
90—100 10—15
|
90—100 10—15
|
|
Радиус цилиндрической поверхности отвала, мм
|
—
|
(0,8-0,9)
|
Основным рабочим органом бульдозера является отвал.
Производительность и потребная величина тягового усилия зависят от выбора
параметров отвала.
Геометрическими параметрами отвалов являются показанные на рис. угол
резания
, угол наклона отвала
, угол опрокидывания
, угол установки козырька
, задний угол
,
высота отвала
, высота козырька
, радиус кривизны отвала
, ширина отвала
,
длина прямой части отвальной поверхности а. Высоту отвала определяют в
зависимости от расчетной номинальной силы тяги Ртм и грунтовых
условий, для которых предназначают проектируемый бульдозер. Ее можно найти для
бульдозера с неповоротным отвалом по формуле.
1.4
Тяговый расчет
Задачей
тягового расчета бульдозера является определение силы тяги, необходимой для
преодоления суммарного сопротивления. Условие тягового расчета определяется
неравенством:
, (1)
где:
-, кН;
–, кН;
–, кН.
-
, (2)
где:
– толщина снимаемой стружки = 0,1 м;
– ширина отвала, м;
- угол установки отвала в плане = 90
град;
;
; (3)
где: Н –
высота отвала, м;
– ширина отвала, м;
- характеристика грунта, кг/м;
- уклон = 0,5;
j - = 0.1,
; (4)
где:
- = 0,5.
; (5)
где:
;

; (6)
- скорость на 1 передаче, м/с.
; (7)
; (8)
; (9)
(10)
(11)
1.5
Расчет мощности привода базовой машины
Мощность
привода базовой машины определяется по формуле N, к Вт:
, (12)
где ν – скорость движения машины, км/ч;
η =
(0,8 ÷0,9) – механический КПД машины, принимаем равным = 0,9.
1.7
Расчет производительности бульдозера
Производительность
бульдозера при резании и перемещении грунта, определяется по формуле:
м3/ч, (13)
где:
- объём грунта (в плотном теле) перед
отвалом, м3;
м3, (14)
где Кпр
– коэффициент, зависящий от характера грунта (связности, коэффициента рыхления)
и от отношения Н/L, Кпр
= 0,40;
L – длина отвала =
3,18, м;
Н – высота
отвала = 1,35, м;
- коэффициент использования машины по
времени = 0,8;
- коэффициент разрыхления грунта =
1,25;
- коэффициент, учитывающий влияние
уклона местности на производительность бульдозера = 1.
м3
м3/ч
- длительность рабочего цикла, с.
с; (15)
где:
- длина пути резания = 7 м;
- длина пути перемещения, 25м;
- скорость движения бульдозера при
копании грунта, =0,4м/с;
- скорость движения бульдозера при
перемещении грунта, =0,9 м/с;
- скорость холостого хода бульдозера, =
1,1 м/с;
- время, необходимое на разворот, = 10
с;
- время на опускание отвала, = 2 с;
- время на переключение передач, = 4 с.
с.
1.8
Расчет на прочность
Общие положения при расчете на прочность
Нагрузки действующие на элементы конструкции бульдозеров, делятся
на нормальные, случайные и аварийные.
Под нормальными понимаются нагрузки, действующие в процессе работы
машины в условиях нормальной ее эксплуатации. Эти нагрузки являются основными
для расчета элементов конструкции машины на долговечность.
Случайные нагрузки представляют собой совокупность одновременно
действующих нагрузок в самом неблагоприятном их сочетании, которая может иметь
место в условиях нормальной эксплуатации машины как во время рабочего цикла,
так и при некоторых специальных режимах. Случайные нагрузки являются основой
для счета элементов конструкции машины на прочность.
К аварийным относятся нагрузки, которые возникают при некоторых
редко встречающихся обстоятельствах, но действие их приводит конструкцию в
неработоспособное состояние. Расчет конструкции на аварийные нагрузки
проводится с целью создания действенных предохранительных устройств и блокировок.
Расчет на прочность элементов конструкции бульдозеров ведется методами,
принятыми для расчета деталей машин и металлоконструкций он то о назначения.
Для этого к рассматриваемому элементу прикладывают силы, соответствующие
принятому расчетному положению и определяемые с учетом динамики нагружения
машины. Зачем определяются опасные сечения и вычисляются максимальные
напряжения в точках этих сечений. Получаемые напряжения сравниваются с
допускаемыми. Допускаемые напряжения определяются исходя из выбранного
предельного состояния. В качестве основного предельного состояния обычно
принимают потерю несущей способности. При определении расчетных действующих сил
и проведении расчета на прочность необходимо предварительно выяснить, и каких
положениях и при каких условиях работы элементы конструкции машины могу г испытывать
наибольшие нагрузки, г.е, наметить расчетные положения и расчетные условия.
Выбор расчетных положений может быть произведен на основании анализа общей
схемы действующих сил и характера их изменений во время работы машины.
Расчет на прочность бульдозерного оборудования
Для расчета узлов и деталей бульдозера на прочность исходными
являются случайные нагрузки, действующие на металлоконструкцию машины. За
расчетные принимают такие положения бульдозера в процессе его работы, при
которых в деталях возникают наибольшие напряжения. Расчетным условиям
соответствуют наиболее неблагоприятные сочетания активных сил, действующих на
отвал бульдозера. Такие нагрузки возникают сравнительно редко, однако узлы и
детали конструкции бульдозера должны 'воспринимать эти нагрузки без
возникновения пластических деформаций. При расчете бульдозеров принимают пять
расчетных положений.
Расчетное положение 1 (см. рис.). Внезапный упор в препятствие средней
точкой отвала при движении по горизонтальной поверхности; механизм подъема в
положении закрыто. принимают, что в средней точке на кромку отвала действует
усилие:
, Н (16)
где Тр - максимальное (расчетное) тяговое усилие
бульдозера по сцеплению;
, Н (17)
- вес трактора с бульдозерным
оборудованием, кг;
- коэффициент сцепления, = 0,9;
- динамическое усилие, Н
, (18)
где:
- скорость бульдозера в момент встречи
с препятствием, (номинальная скорость на 1 передаче), м/с = 0,67;
g – ускорение
свободного падения = 9,8 м/с;
С –
приведенная жесткость препятствия и системы навесного оборудования, кН/м;
, (19)
где: С1
– жесткое препятствие;
С2 –
жесткость навесного оборудования.
, (20)
где:
- коэффициент жесткости навесного
оборудования на 1 кг массы трактора, = 0,9;
- вес бульдозерного оборудования, кг.
Схемы
сил, действующие на нож отвала при расчёте на прочность
Расчетное положение II (см.рис.). В процессе заглубления отвала при
одновременном движении вперед по горизонтальной поверхности трактор
вывешивается на средней точке отвала, при этом гидроцилиндры развивают усилие,
достаточное для опрокидывания трактора относительно точки А.
Принимаем, что на кромку ножа (точка О) действуют вертикальное и
горизонтальное усилия Вертикальное усилие:
где:
- линейные размеры, мм.
Горизонтально
усилие:
, Н (22)
где:
Расчетное положение III (см.рис.2,в). В процессе заглубления отвала при
одновременном движении вперед по горизонтальной поверхности трактор
вывешивается на крайней точке(О~) отвала, при этом развивается усилие,
достаточное для опрокидывания трактора относительно точки А.
Кроме вертикального и горизонтального усилий, определяемых как и
для расчетного положения П. на нож отвала действует боковое усилие:
, (24)
где: В –
ширина отвала, мм.
Расчетное положение IV (см.рис.2.в) В процессе выглубления отвала при
одновременном движении вперед по горизонтальной поверхности трактор
вывешивается на средней точке отвала, при этом развивается усилие, достаточное
для опрокидывания фактора относительно точки В.
Расчетная схема положения бульдозера при опирании на кромку ножа
отвала
Принимаем
что на кромку ножа действует вертикальное горизонтальное усилие.
Вертикальное
усилие:
, Н (25)
Горизонтальное
усилие:
, Н (26)
Выбран расчетные положения и наметив расчетные условия, приступают
к определению сил. действующих на машину и ее части.
На рабочее оборудование бульдозера по время работы действую;
следующие силы (рис.4) : результирующая сил сопротивления копанию Ро ; сила,
тяжести навесного оборудования
; сила со стороны
механизма подъемного отвала 8 (усилие на штоке гидроцилиндра) ; реакция в упряжном
шарнире О.
Направление действия силы Ро зависит от угла резания, от вида и
состояния грунта. При угле резания 50° и заглублении на 10-.12 см сила,
приложена на высоте
При нормальной работе бульдозера
однако при выявлении максимальных усилий следует принять;
Спроектирован вес силы на горизонтальную ось, можно найти
горизонтальную составляющую реакции в упряжном шарнире
Вертикальная реакция К;. найдется из уравнения
равновесия относительно точки В (точки приложения силы Ро).
• линейные размеры (см.рис.4) мм.
Вертикальная составляющая сил сопротивления копанию определяется
по формуле
Сила со стороны механизма подъема определяется из условия
равновесия относительно точки О (см. рис.)
Схема
сил действующих на бульдозер
Из
уровня моментов относительно точки А (∑MA
= 0), выразим силу внедрения
(22)
Второе расчетное
положение – определение условий выглубления зуба при максимальном его
заглублении. В этом случае силу выглубления
, кН, рисунок 4б, определяем из условий опрокидывания рыхлителя
относительно точки В.
Из уравнения моментов
относительно точки В (∑Мб = 0), выразим силу выглубления
, кН:
(23)
Наибольшим является
усилие выглубления,
, и поэтому расчет на
прочность ведем из условия опрокидывания трактора назад.
В процессе работы
рыхлителя на него также действуют динамические нагрузки, которые значительно
превышают тяговые и весовые показатели машины. Учитывая динамические нагрузки
усилие выглубления определяется [1]:
, (24)
где
= 1,5 – коэффициент динамичности
вертикальных усилий,
Схема четырехточечной
параллелограммной подвески рыхлителя и действующих на него сил для второго
расчетного положения показана на рисунке.
Определим усилия, действующие
в элементах подвески. Усилия, направленное вдоль элемента ДС, определяется из
суммы моментов относительно точки В (∑Мв=0):
(25)
Горизонтальную
составляющую усилия Rвх, действующую в элементе АВ,
определяем, составив сумму моментов проекции на ось Х (∑х=0):
Rвх = Rc * cos
α1- Tmax, (26)
где Tmax – максамальная сила тяги, кН;
Rвх = 447,6*cos 15о – 162,81 = 269,5 кН
Вертикальную составляющую
Rву определяет из суммы проекций всех
сил на ось Y:
Rву=Rc* sin α1- Gpo+ RZBo, (27)
Rву= 269,5*sin 15о – 20,1+181,2=230,8 кН.
Усилия Ro в гидроцилиндре (элемент ДВ)
определяем из уравнения моментов сил действующих в узле относительно точки А (∑МА=0):
(28)
Повторный расчет производим
для случая, когда на оборудование рыхлителя действуют максимальные нагрузки.
Они могут возникать в случае упора зуба рыхлителя в препятствие при
максимальной глубине рыхления.
Производим проверку
стойки зуба на изгиб.
Условия прочности на
изгиб:
, (29)
где
- напряжение, воздействующее в стойке
зуба, МПа,
[δu]-допускаемое
напряжение на изгиб. Мпа,
Ми- изгибающий
момент
Wx – момент сопротивления сечения.
Согласно рисунка,
изгибающий момент определяется относительно точки С.
Ми= Ro*b2
– Tmax* (H+h4) – Gpo*m1 (30)
Ми=
458500*1092-162810*(700+600)-20100*430=280386*103 Н мм
, (31)
где b – толщина стойки, мм;
h – ширина стойки, мм:
=2535*102 ,мм3
МПа
‹
МПа
Пальцевое соединение на
смятие прочно.
Основную
металлоконструкцию изготавливаем из стали 15ХСНД.
Охрана
труда и окружающей среды
С целью
предотвращения аварий и несчастных случаев, постоянно совершенствуются конструкции
машин, улучшаются условия труда оператора, разработаны специальные требования и
правила безопасности, которые должен знать и выполнять оператор.
На
рабочей площадке должны быть приняты меры, предотвращающие опрокидывания или
сползания машины. Откосы и косогоры, на которых предстоит работать машине, не
должны превышать значений, допускаемых техническим паспортом машины.
В случае
расположения рабочей площадки около ЛЭП, необходимо учитывать требования
электробезопасности.
Во время
работы рыхлителя с заглубленными зубьями, запрещается делать повороты машины.
При заднем ходе рыхлителя оборудование должно быть поднято. Во время движения
запрещается становиться на подвеску рыхлительного оборудования.
Чтобы
обеспечить максимальную безопасность эксплуатации проектируемой машины, ее
оборудуют необходимыми приборами и устройствами безопасности.
Большое
внимание должно быть уделено охране природной среде в процессе земляных работ.
При подготовке трассы, сооружении необходимо очищать ее от леса и кустарника с
максимально возможным сохранением лесного массива. Деревья ценных пород должны
быть пересажены.
При
эксплуатации машин необходимо соблюдать следующие правила. Гусеничные машины,
во время транспортирования своим ходом, должны перемещаться по обочинам дорог,
а в случае пересечения асфальтированных покрытий, следует использовать
временные настилы. Запрещается работа на машинах с повышенной дымностью, при
утечках топлива, масел, рабочих жидкостей. Попадая в грунт, эти материалы отрицательно
влияют на окружающую среду. Категорически запрещается сливать отработанные
нефтепродукты на землю, в водоемы и канализационную сеть. Эти материалы следует
собирать и сдавать на нефтебазы или уничтожать методами, согласованными с
Госсанинспекцией.
Заключение
В данном
курсовом проекте спроектировано рыхлительное оборудование на базе трактора Т – 180 Г., с тяговым классом ТС – 15. Тяговое усилие трактора Тн = 162,8 кН.
В
процессе проектирования были определены основные параметры рыхлителя.
В
проекте проведены тяговый расчет и расчет на устойчивость. условия этих
расчетов выполняются. В результате расчета на прочность определена марка стали
для изготовления зубьев рыхлителя – 40ХН2МА.
В
экономической части проекта определяются основные технико-экономические
показатели спроектированной машины. Кроме того, в результате экономического
расчета был определен годовой экономический эффект от внедрения
спроектированной машины, он составляет 280594 руб/год.
Список
литературы
1. Бородочев И.П. Справочник конструктора
дорожных машин – М.: Машиностроение, 1973 – 504 с.
2. Васильев А.А. Дорожные машины -
М.: Машиностроение, 1979 – 448 с.
3. Методические указания Машины для
земляных работ – Чита:
Чит ГТУ, 1997 – 41 с.
4. Холодов А.М. Проектирование машин
для земляных работ – Х.: Вища шк., 1986 – 272 с.
|
Формат
|
зона
|
поз
|
Обозначение
|
Наименование
|
кол
|
Прим
|
|
|
|
|
|
|
|
|
|
|
|
Документация
|
|
|
|
|
|
|
|
|
|
|
А1
|
|
|
КП
МЗР 190205 08 69 0200СБ
|
Сборочный
чертеж
|
1
|
|
|
А4
|
|
|
КП МЗР 190205 08 69 0000 ПЗ
|
Пояснительная
записка
|
1
|
24
стр.
|
|
|
|
|
|
|
|
|
|
|
|
Детали
|
|
|
|
|
|
|
|
|
|
|
|
1
|
08 001
|
Отвал
|
1
|
|
|
|
2
|
08 002
|
Толкающий
брус
|
2
|
|
|
|
3
|
08 003
|
Раскос
винтовой
|
2
|
|
|
А3
|
|
4
|
08 004
|
Палец
|
1
|
|
|
|
5
|
08 005
|
Шайба
|
6
|
|
|
А3
|
|
6
|
08 006
|
2
|
|
|
|
7
|
08 007
|
Втулка
|
4
|
|
|
|
8
|
08 008
|
Шплинт
|
4
|
|
|
|
9
|
08 009
|
Палец
|
2
|
|
|
|
10
|
08 010
|
Палец
|
2
|
|
|
А3
|
|
11
|
08 011
|
Проушина
|
2
|
|
|
А3
|
|
12
|
08 012
|
Захват
|
2
|
|
|
|
|
|
Стандартные изделия
|
|
|
|
|
13
|
08 013
|
Гидроцилиндр
ГОСТ-1417-79
|
2
|
|
|
|
|
|
|
|
|
|
|
|
|
|
|
|
|
|
|
|
|
|
|