Обслуживание вылетающих пассажиров в агентстве и аэропорту

  • Вид работы:
    Контрольная работа
  • Предмет:
    Транспорт, грузоперевозки
  • Язык:
    Русский
    ,
    Формат файла:
    MS Word
    83,57 kb
  • Опубликовано:
    2010-04-03
Вы можете узнать стоимость помощи в написании студенческой работы.
Помощь в написании работы, которую точно примут!

Обслуживание вылетающих пассажиров в агентстве и аэропорту

Министерство транспорта Российской Федерации

Санкт-Петербургский государственный университет гражданской авиации







Контрольная работа по дисциплине: Организация сервиса на воздушном транспорте

Тема: Обслуживание вылетающих пассажиров в агентстве и аэропорту












Санкт-Петербург

2010г.

Оглавление

Услуги обслуживания пассажиров в агентстве

Услуги обслуживания пассажиров в аэропорту

Обслуживание транзитных и трансфертных пассажиров в агентстве и аэропорту

Виды обслуживания транзитных и трансфертных пассажиров в аэропорту

УСЛУГИ ОБСЛУЖИВАНИЯ ПАССАЖИРОВ В АГЕНТСТВЕ

Бронирование воздушных перевозок.

Бронирование является необходимым условием перевозки пассажиров и багажа (сверхнормативного багажа). Бронирование места на указанные клиентом рейс, дату и класс обслуживания достигается выдачи системы статуса подтверждающего бронирование, либо статусов постановки заявки клиента на лист ожидания (Wating list).

При обращении пассажира в международное агентство по продаже перевозок и бронированию мест необходимо:

• выяснить пункт назначения и даты желаемого маршрута полета. На основании полученной от пассажира информации составляется план полета пассажира в пункт назначения;

Примечание:

При бронировании места пассажир должен сообщить агенту по продаже перевозке полную информацию о маршруте, дате вылета, количестве мест, класс обслуживания, гражданстве и особых услуг перевозке. Особыми условиями перевозке требующими предварительного согласия перевозчика при бронировании является:

- Пассажир с ребенком до 3 лет.

- Не сопровождаемый ребенок от 2 до 12 лет.

- Перевозка оружия и боеприпасов.

- Сверхнормативный багаж.

- Негабаритный багаж (длинный или объемный).

- Багаж в салоне (зарегистрированный).

- Спортивное личное снаряжение (лыжи, велосипед, снаряжение для гольфа).

- Животное, птица.

- Слепой пассажир с собакой поводырем.

- Пассажир на носилках.

- Инвалид в кресле коляске.

- Больной пассажир, которому необходимо помощь со стороны перевозчика.

- Пассажир со спецпитанием.

- транзит без визы.

• забронировать места на запланированном маршруте полета;

При получении подтверждения бронирования по всему маршруту полета делается отметка о бронировании в имеющимся у пассажира билете либо в новом билете. Бронирование является предварительным пока пассажиру не оформлен авиабилет.

Существуют следующие статусы бронирования:

ОК – подтвержденное бронирование;

WL – бронирование на листе ожидания;

RQ - бронирование в статусе "запрос на место", оставшийся неподтвержденным;

OPEN – билет без предварительного бронирования;

SA – на свободное место, применяется для служебных пассажиров;

NS – бронирование не предусматривает предоставление отдельного места (место для ребенка, не занимающего кресла)

• оформить авиабилет и забронировать место для сверхнормативного багажа. При отсутствии у пассажира авиабилета ему выписывается билет после его оплаты в соответствии с забронированным местом на рейс. Если у пассажира имеется заранее известный багаж сверх установленной нормы бесплатного провоза, он должен заявить об этом в агентстве для бронирования соответствующего места и оформления квитанции на провоз сверхнормативного багажа;

• информировать пассажира о правилах полета и необходимых формальностях. Информация должна содержать:

- требования по визам и прививкам в стране назначения (Справочник TIM - издается ежемесячно /или TIM в системе "Габриэль" >TIFV /, есть разделы по каждой стране: требование таможни, виза и др. информация);

- сведения об ограничении провоза ручной клади (незарегистрированного багажа), об условиях и ограничениях, накладываемых тарифами, применяемыми при перевозке пассажира и его багажа;

Коды классов обслуживания:

F - первый класс, норма провоза багажа 40 кг

C - бизнес класс, норма провоза багажа 30 кг

Y - экономический класс, норма провоза багажа 20 кг

- данные о месте времени отправления наземного транспорта из города в аэропорт вылета, включая стоимость проезда;

- сведения о самом позднем времени прибытия пассажира в аэропорт для регистрации и, в случае необходимости, описания процедур и порядка обслуживания пассажира в аэропорту вылета;

- требование о заблаговременном заявлении, о наличии сверхнормативного багажа (в противном случае этот багаж может быть не принят к перевозке);

- сведения о назначении и необходимости использования именных адресных бирок для обеспечения сохранности багажа;

Оформление продажи международных авиаперевозок осуществляется на специальных бланках перевозочных документов международного образца, являющихся бланками строгого учета и имеющих кодовую нумерацию для каждой авиакомпании, устанавливаемую ИАТА.

Основными перевозочными документами, которые оформляются при продаже перевозок, являются авиационный билет, квитанция оплаты сверхнормативного багажа, авиагрузовая накладная, ордер разных сборов (МСО) и др.

ДОКУМЕНТЫ ПАССАЖИРА

Пассажирский билет и багажная квитанция.

Пассажирский билет и багажная квитанция (далее – билет) являются документом, удостоверяющим заключение договора и условия воздушной перевозки пассажира.

Стандартный билет IATA имеет вид буклета из нескольких копии с копировальной бумаги на обратной стороне. Каждый буклет составляют следующие части.

· Обложка (Front Cover) ее наличие обязательно при регистрации пассажира на рейс.

· Копия аудитора (Auditors Coupon) копия зеленого цвета еженедельно сдаваемая авиакомпаниям вместе с отчетом о проданных билетах.

· Копия агента (Agents Coupon) копия розовою цвета остающаяся в агентстве для отчетности.

· Полетный купон (Flight Coupon) часть билета, сдаваемая пассажиром при регистрации в обмен на посадочный талон число полетных купонов в билете должно соответствовать количеству рейсов на маршруте.

· Копия пассажира (Passengers Coupon)- последняя копия буклета остающаяся у пассажира в качестве расписки, наличие этой копии также необходимо при регистрации на рейс.

Билет не подлежит передаче для использования его другим лицом.

Если билет предъявлен не тем лицом, которое имеет право на перевозки или перерасчет по этому билету, то перевозчик не несет ответственности перед лицом, действительно имеющим право на такую перевозку или на перерасчет по указанному билету, если примет к перевозке лицо, предъявившее билет, либо по нему был произведен возврат сумм этому лицу.

Действительность билета.

Билет действителен для перевозки пассажира и его багажа от пункта отправления до пункта назначения по маршруту и классу обслуживания, указанному в нем. Каждый полетный купон действителен для перевозки пассажира и его багажа только по указанному в нем участку маршрута, классу обслуживания, дате и рейсу, на который он выписан.

Если билет выдан без отметки о бронировании (с открытой датой вылета), то место бронируется в соответствии с запросом пассажира при наличии свободных мест на запрашиваемом рейсе.

Место и дата выдачи билета должны быть указаны во всех его полетных купонах.

Билет, выданный по нормальному (полному) тарифу, действителен для перевозки пассажира и его багажа в течение года, считая от даты начала перевозки, а если ни один из полетных купонов не был использован - то от даты выдачи билета.

Билет, выданный по специальному тарифу, действителен для перевозки пассажира и его багажа в сроки, установленные правилами применения этого тарифа.

Пассажир допускается к перевозке только при наличии у него действительного билета, должным образом оформленного и выданного перевозчиком, агентом авиакомпании, или другим перевозчиком, перевозочные документы которого признаются действительными для перевозки пассажира и его багажа на линиях авиакомпании.

Пассажир не допускается к перевозке, если предъявленный им билет содержит исправления или изменения, внесенные в него лицом иным, чем перевозчик или агент авиакомпании, Перевозчик или его агент могут вносить изменения в билет только путем постановки стикера, заверенного печатью офиса, внесшего изменения. Билет выдается только после оплаты соответствующего тарифа. Выдача билета по безналичному расчету или бесплатно может производиться только после выполнения всех установленных правилами и инструкциями авиакомпании, требований.

Изменение срока действия и модификация билета.

Срок действия билета продлевается до вылета ближайшего рейса авиакомпании, на котором имеется свободное место того класса обслуживания, который соответствует первоначально оплаченному тарифу, если пассажир не смог совершить полет в течение первоначального срока действия билета в случае:

- отмены рейса, на который у пассажира забронировано место;

- отмены остановки воздушного судна по расписанию движения в пункте, который для пассажира является пунктом отправления, назначения, пере-садки (трансферта), остановки в пути (стоп-овера);

- невыполнения рейса в соответствии с временем, указанным в расписании;

- непредоставления обслуживания по классу, указанному в билете;

- непредоставления пассажиру в воздушном судне ранее забронированного места.

В этих случаях срок действия билета продлевается без дополнительной платы.

Если пассажир, имеющий билет, оплаченный по нормальному или по специальному тарифу со сроком годности билета один год, обращается с просьбой о бронировании места, а перевозчик не имеет возможности предоставить место в течение срока годности билета, то срок действия такого билета продлевается до ближайшего рейса авиакомпании, на котором имеется свободное место того класса обслуживания, который соответствует первоначально оплаченному тарифу.

Если пассажир не смог завершить начавшийся полет в течение срока действия билета вследствие своей болезни либо болезни члена его семьи, следующего совместно с ним на воздушном судне, то срок действия такого билета продлевается до той даты, когда, согласно медицинскому заключению, он или член его семьи будет в состоянии совершить полет, либо после этой даты до ближайшего рейса авиакомпании, на котором имеются свободные места класса обслуживания, соответствующего первоначально оплаченному тарифу. В правилах применения каждого конкретного тарифа Аэрофлота может быть предусмотрен иной порядок.

Возврат билета

Размер возвращаемых сумм по неиспользованному билету или части билета определяется в соответствии с правилами применения тарифов и инструкциями авиакомпании. Из возвращаемых пассажиру сумм удерживаются все сборы, платежи и расходы (включая штрафы), которые перевозчик уплатил или должен уплатить за пассажира или за его багаж.

Добровольный возврат.

Если пассажир отказывается от забронированного места или не прибыл к месту регистрации ко времени, установленному авиакомпании, или прибыл с неправильно оформленными документами, в результате чего не использовал забронированное для него место, то, в случае возврата билета, такой возврат считается добровольным и с пассажира может быть удержан сбор в случаях и размерах, предусмотренных правилами применения тарифа.

Если перевозка была выполнена частично, то пассажиру возвращается разница между суммой, уплаченной за всю перевозку, и суммой, соответствующей стоимости выполненной части перевозки, с удержанием относящихся к выполненной части перевозки сборов, если возврат допускается правилами применения тарифа.

Вынужденный возврат.

При вынужденном отказе пассажира от полета возврат сумм производится в случаях:

- отмены, переноса, задержки рейса, на который у пассажира забронировано место;

- неправильного оформления перевозочных документов пассажира по вине авиакомпании или его агента;

- отмены остановки по расписанию в пункте, который для пассажира является пунктом отправления, назначения, пересадки или остановки в пути;

- невыполнения рейса в соответствии с временем, указанным в расписании;

- замены класса обслуживания или типа воздушного судна;

- невозможности предоставить пассажиру место в соответствии с бронированием, произведенным ранее;

- необеспечения перевозчиком стыковки рейсов;

- непредоставления специальных услуг, заранее согласованных с перевозчиком.

Суммы, выплачиваемые пассажиру при вынужденном отказе от полета, определяются в соответствии со следующими положениями:

- если перевозка ни на одном участке не была выполнена, то возвращается вся сумма, уплаченная за перевозку;

- если перевозка была выполнена частично, то возвращается сумма,

соответствующая невыполненной части перевозки исходя из расчета тарифа по участкам.

Утрата билета, выписка дубликата.

Лицо, которое не имеет либо не предъявит действительный и должным образом оформленный билет, содержащий пассажирский и соответствующие полетные купоны, к перевозке не допускается.

В случае утраты, повреждения билета или любой его части, либо в случае предъявления билета, в котором отсутствует пассажирский или какой-либо из полетных купонов, перевозчик может по просьбе пассажира выдать взамен такого билета новый билет с взиманием сборов, предусмотренных правилами и инструкциями авиакомпании.

В случае утраты, повреждения билета (или любой его части), выданного иностранным перевозчиком, необходимо получить письменное разрешение этого перевозчика на оформление дубликата.

В этих случаях пассажир должен представить удовлетворительные для перевозчика доказательства, что ему действительно был выдан билет для полета по соответствующему маршруту. Пассажир должен также дать по установленной форме в письменном виде гарантийное обязательство возместить перевозчику (в пределах применяемого тарифа по новому билету) убытки, которые перевозчик может понести, если утраченный билет или отсутствующие полетные купоны будут кем-либо использованы, либо по ним будет произведен возврат сумм.

Отсутствие, неправильность оформления по вине авиакомпании или его агента или утрата билета не влияют ни на существование, ни на действительность договора перевозки.

Ордер разных сборов.

Ордер разных сборов (МСО - Miscellaneous Charges Order) - платежный документ, выданный пассажиру перевозчиком или его агентом для подтверждения оплаты билета, сверхнормативного багажа или сопутствующих услуг, связанных с выполнением или изменением условий перевозки.

Существует 2 вида МСО: конкретизированное и неконкретизированное.

Конкретизированное МСО выписывается на оплату конкретного вида услуг: переоформление авиабилета, оплата гостиницы, заказ автомобиля и т.п.

Сумма, на которую может быть выписано конкретизированное МСО не ограничина.

Неконкретизированное МСО выписывается без указания какого-либо вида услуг. По мере оплаты услуг средства списываются путем внесения в определенную графу израсходованной суммы и изъятия купона. Неконкретизированное МСО может быть выписано на сумму не более 750 USD (резолюция IATA №725а).

Квитанция платного багажа.

Квитанция платного багажа - документ, удостоверяющий оплату перевозки багажа сверх нормы бесплатного провоза или предметов, перевозка которых подлежит обязательной оплате, а также удостоверяющий оплату сборов за объявленную ценность багажа.

Манифест о прерывании полета (FIM).

Перевозочный документ, выдаваемый авиакомпанией пассажиру при вынужденном изменении маршрута или в случае невозможности совершить (продолжить) перевозку, при условии, что использование полетных купонов пассажирского билета невозможно, а также нет возможности переписать первоначальный авиабилет по новому маршруту.

Другие перевозочные документы.

GEBA (government excess baggage authorization)

Правительственное подтверждение разрешения на перевозку платного багажа. На основании данного документа выписывается квитанция платного багажа на перевозку того количества багажа, которое указано в GEBA. Если вес платного багажа больше, чем указано в документе, то пассажир должен оплатить разницу.

GEBAT (excess baggage authorizatoin/ticket)

Перевозочный документ, выписываемый по запросу правительства или государственных органов США для перевозки сверхнормативного багажа.

Личные документы пассажира (паспорт, виза).

Пассажир несет ответственность за получение всех необходимых для путешествия документов, виз, разрешений и т.п., а также за соблюдение всех применяемых законов о выезде, въезде и транзите страны вылета, прибытия и транзита. Авиакомпания не несет ответственности перед пассажиром в случае, если пассажир не получит таких документов или виз или не выполнит требований применяемых законов.

По требованию авиакомпании пассажир обязан предъявить уполномоченным лицам, представителям соответствующих государственных органов все документы на выезд, въезд, транзит, о состоянии здоровья, другие документы, требуемые применяемым законодательством, а также разрешить авиакомпании сделать и оставить у себя копии документов, либо каким-то иным образом оставить у себя данные, содержащиеся в соответствующих документах, если авиакомпания считает это необходимым.

Авиакомпания имеет право отказать в перевозке пассажиру, который не выполнил применяемые законы, или надлежащим образом не оформил документы (в том числе при отсутствии визы, денежных средств, обратного билета и т.п.), или отказался их предъявить.

Условия отказа пассажиру в перевозке.

Авиакомпания имеет право отказать в перевозке или в ее продолжении пассажиру (багажу) в целях обеспечения безопасности полета и выполнения требований применяемых законов, либо если, исходя из собственных обоснованных решений, определит, что подобное действие необходимо, в следующих случаях:

- для выполнения применяемых законов страны отправления, назначения или транзита;

- по причине поведения, возраста, психического или физического состояния пассажира, если есть основания считать, что пассажир нуждается в специальной помощи со стороны авиакомпании, которую она не может оказать при определенных обстоятельствах или может причинить дискомфорт другим пассажирам, или может стать причиной какого-либо риска для себя или для других пассажиров, либо собственности пассажиров и авиакомпании;

- пассажир не выполнил указаний авиакомпании, связанных с обеспечением безопасности полета, комфорта и качества перевозки других пассажиров, если он создает неудобства для перевозки других пассажиров, в связи с чем авиакомпания не может выполнить свои обязательства перед другими пассажирами, находящимися на борту ВС;

- пассажир ведет себя таким образом или демонстрирует такое поведение, что возникают сомнения в обеспечении безопасности полета в процессе его перевозки.

К такому поведению относится агрессивное поведение пассажира с использованием угроз в адрес других пассажиров, работников авиакомпании и экипажа ВС;

- пассажир отказался пройти досмотр на авиационную безопасность службы безопасности аэропорта или соответствующих государственных органов;

- пассажир может представлять или же уже представляет опасность для других пассажиров (багажа, груза) или ВС;

- пассажир не оплатил соответствующий тариф или какие-либо сборы, или если не было выполнено кредитное соглашение между авиакомпанией и пассажиром;

- пассажир не согласовал с авиакомпанией предоставление какой-либо спецуслуги;

- пассажир не предъявил к проверке документы, необходимые для путешествия;

- пассажир пытается въехать в страну транзита в которую он не имеет действительного документа на въезд/транзит;

- пассажир во время рейса повредил билет или другие документы, идентифицирующие личность;

- билет, предъявленный пассажиром:

а) недействителен для перевозки (в таком случае авиакомпания имеет право изъять данный билет, объявить его недействительным и отказать в возврате сумм);

б) приобретен у лица, не являющегося уполномоченным представителем авиакомпании или ее агентом (в этом случае авиакомпания имеет право изъять данный билет, объявить его недействительным и отказать в возврате сумм);

в) был объявлен утерянным, украденным, недействительным, имеет подделки или вызывает подозрение (в таком случае авиакомпания имеет право изъять такой билет, объявить его недействительным и отказать в возврате сумм);

г) имеет полетный купон, исправленный кем-либо кроме уполномоченного представителя авиакомпании (ее агента), либо испорченный купон (в этом случае авиакомпания имеет право изъять такой билет, объявить его недействительным и оформить дубликат билета);

д) имеет первый неиспользованный полетный купон, а пассажир начинает свое путешествие в каком-либо ином пункте остановки по маршруту перевозки по новому, тарифу, не урегулированному тарифным нормативом авиакомпании (в подобном случае авиакомпания имеет право изъять такой билет, объявить его недействительным и добровольно осуществить возврат сумм);

- лицо, предъявившее билет, не может идентифицировать себя как лицо, указанное в билете (в этом случае авиакомпания имеет право изъять данный билет, объявить его недействительным и отказать в возврате сумм);

- пассажир ранее уже совершал одно из перечисленных выше действий или нарушений и при наличии признаков того, что такое поведение может повториться;

- авиакомпания уведомила пассажира в письменной форме о том, что не может его перевезти на своих рейсах после наступления определенной даты.

УСЛУГИ ОБСЛУЖИВАНИЯ ПАССАЖИРОВ В АЭРОПОРТУ

Обслуживание авиапассажиров при перевозке воздушным транспортом включает целый ряд процедур, направленных на обеспечение гарантии перевозки, соблюдение условий безопасности полетов, а также выполнение требований различных государственных органов, предъявляемых к гражданам, пользующимся услугами авиаперевозчиков.

Для прохождения этих процедур пассажир обязан прибыть в аэропорт заблаговременно. Как правило, на международных рейсах время прибытия пассажира в аэропорт составляет 2,5 ч до вылета воздушного судна, а на внутренних — 2 ч. Это время необходимо для прохождения пассажиром предполетных административных формальностей и процедуры регистрации.

Время начала регистрации билета, и оформления багажа перед вылетом устанавливается перевозчиком и должно быть указано в билете или другом документе, вручаемом пассажиру при продаже билета. Если такая информация не была предоставлена, то в случае опоздания на рейс пассажир (в соответствии со ст. 10 "Закона о защите прав потребителей") имеет право потребовать возмещения убытков, возникших в результате не предоставления информации.

Пассажир международной перевозки проходит следующие административные формальности:

-   таможенный досмотр;

-   санитарно-эпидемиологический контроль (при необходимости);

-   паспортно-визовый (пограничный) контроль;

-   контроль авиационной безопасности (досмотр пассажиров и их ручной клади).

На внутренних перевозках пассажиры проходят контроль авиационной безопасности (досмотр пассажиров их ручной клади и багажа).

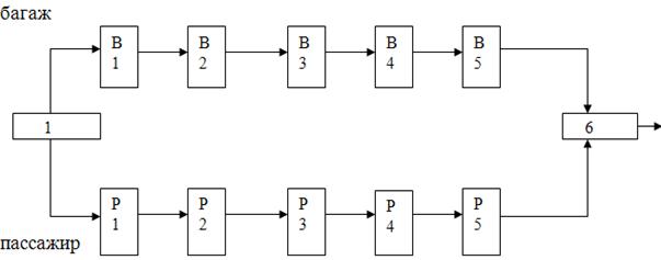
Традиционная схема технологии оформления пассажиров и обработки багажа перед вылетом

Технологические операции

Пассажир должен иметь при себе для предъявления

Действия работников и служб аэропорта

1. Контроль АБ при входе пассажиров в терминал аэропорта

Удостоверение личности

Досмотр пассажиров (посетителей) их ручной клади и багажа службой АБ

2.Прохождение таможенного контроля

Паспорт, билет, таможенную декларацию, багаж и ручную кладь

Таможенный контроль ручной клади и багажа. Оформление таможенной декларации.

3. Регистрация билета и оформление багажа

Паспорт с визой, билет, багаж и ручную кладь. Деньги если имеется сверхнормативный багаж

Проверка перевозочных и личных документов пассажира; взвешивание багажа, внесение информации о багаже пассажира в графу авиабилета; изъятие полетного купона; крепление багажных бирок и отбор багажа на транспортер;  выдача пассажиру посадочного талона и "отрывную часть" от багажных бирок; составление пассажирского манифеста или внесение данных о пассажире и его багаже в автоматизированную систему.

Оплата за сверхнормативный багаж

Деньги, авиабилет с отметкой о весе багажа

Выдача пассажиру квитанции платного багажа с указанием веса и суммы оплаты

4. Прохождение санитарно-карантинного контроля

Паспорт. Международное удостоверение по форме, установленной ВОЗ.

Санитарно-карантинный контроль проверяет наличие свидетельства о необходимых в страну следования прививках.

5. Прохождение паспортного контроля

Паспорт с визой. Посадочный талон

Контроль паспорта, визы и посадочного талона

6. Ожидание в транзитном зале

__________________

Оформление транзитных и трансфертных пассажиров. Сервисное обслуживание пассажиров (салон бизнес класса, бар, магазины, ресторан)

7. Прохождение специального контроля пассажиров и ручной клади.

Посадочный талон, ручная кладь

Предполётный досмотр пассажиров и их ручной клади службой АБ. Изъятие предметов и веществ, запрещенных к перевозке в салоне ВС в качестве ручной клади и незарегистрированного багажа.

8. Посадка в самолет

Посадочный талон (паспорт)

Сопровождение пассажиров из накопителя в самолет. Сверка числа пассажиров в самолете с числом зарегистрированных.


РЕГИСТРАЦИЯ ПАССАЖИРОВ И ИХ БАГАЖА (chick-in)

Под регистрацией понимается сверка пассажиров, пришедших на рейс, со списками забронированных пассажиров, фамилии которых внесены в PNL (Passenger Name List — пофамильный список пассажиров рейса). Эта процедура осуществляется за регистрационной стойкой, снабженной указателем номера и маршрут рейса.

Одновременно с регистрацией пассажиров на рейс происходит и оформление их багажа. Для этого зоны регистрации оборудуются весами для взвешивания багажа и ручной клади, установками для досмотра багажа, транспортерами, средствами связи. Регистрация пассажиров и оформление багажа пассажиров бизнес - и эконом-класса осуществляются, как правило, за различными регистрационными стойками. Однако если регистрация происходит за одной стойкой, то она проводится в приоритетном отношении пассажиров бизнес-класса.

Порядок регистрации пассажиров на рейс осуществляется следующим образом:

- оператор (агент по регистрации) регистрационной стойки берет у пассажира авиабилет и документы, удостоверяющие личность пассажира;

- сверяет соответствие фамилии, указанной в паспорте (или другом документе, удостоверяющем личность пассажира), с фамилией в билете;

- проверяет действительность билета, место и дату выдачи, наличие подписи агента, данные бронирования (код перевозчика, номер рейса, дату вылета, статус бронирования, вид тарифа, норму бесплатного провоза багажа, класс обслуживания), при необходимости — наличие штампа "Передаточная надпись/Ограничения";

- сверяет фамилию пассажира по списку забронированных пассажиров в PNL и отмечает их в Бланке (ведомости) регистрации пассажиров (эти Бланки (ведомости) составляются отдельно для каждого класса обслуживания).

Если в билете пассажира указан статус ОК, а его фамилия не внесена в PNL и рейс полностью загружен, то оператор, установив причину отсутствия фамилии пассажира в PNL, должен предложить пассажиру либо перевозку другого перевозчика в этот же день, либо перевозку ближайшим своим рейсом и обеспечение проживания в гостинице за свой счет, либо сделать возврат денег за оплаченный билет без штрафных санкций. В дальнейшем устанавливается конкретное лицо, виновное в данной ошибке бронирования.

Примечание:

• При отсутствии брони мест "OK" на данный рейс пассажиров со статусом "RQ", "OPEN" и "SA", а также принять конкретное решение об их перевозке в зависимости от условий рейса и конкретной ситуации;

• При необходимости выбора пассажиров в случае регистрации полностью забронированных или перебронированных рейсов рекомендуется следующей очередности:

1. Пассажиры с билетами "OK"

2. Пассажиры, внесённые в список твердо забронированных пассажиров, но не имеющей соответствующей отметки в билете;

3. Транзитные пассажиры типа "HN";

4. Пассажиры с билетами "ОК", но не подтвердившие свое бронирование, в случае, если для полета данным рейсом переподтверждение необходимо;

5. Пассажиры, имеющие билет со скидкой "ID" (у этих пассажиров в билетах стоит "ОК" и на купоне делается одна линия по диагонали);

6. Пассажиры, записанные на листе ожидания;

7. Пассажиры с билетами "RQ", которые не внесены в лист ожидания;

8. Пассажиры с исправленной бронью в билете без специальной наклейки, не указанные в списке бронированных пассажиров;

9. Пассажиры, имеющие билеты с открытой датой (OPEN), не внесенные в список бронированных пассажиров;

10. Транзитные пассажиры типа "SA" (в купоне две параллельные линии по диагонали);

11. Местные пассажиры типа "SA", внесенные (в качестве информации) в списке бронированных пассажиров (в купоне две параллельные линии по диагонали);

12. Местные пассажиры типа "SA", не внесенные в список бронированных пассажиров (в купоне две параллельные линии по диагонали);

При определении приоритета следует также учитывать:

• Время прибытия к стойке регистрации (на обложке билета следует отмечать точное время прибытия) при оформлении местных пассажиров одной и той же группы;

• Совместное путешествие групп и семей с детьми;

•Пассажиров, следующих на участке данного рейса большей протяженности;

• Трансфертных пассажиров, имеющих приоритет перед местными;

• Пассажиров "VIP", больных, пассажиров преклонного возраста и семей.

Данная последовательность является только рекомендацией и за работниками, осуществляющими регистрацию (представителями авиакомпаний), остается право в каждом конкретном случае принимать самостоятельное решение.

При необходимости проверить наличие документов, требуемых государственными органами в стране назначения.

После сверки фамилии оператор закрепляет за пассажиром конкретное место в салоне самолета, исходя из класса обслуживания. При этом обычно учитываются интересы пассажиров — место у окна или у прохода, рядом со спутником (двойные, тройные места) или отдельно, в салоне для курящих или для некурящих. В некоторых случаях оператор сам определяет место в салоне для пассажира. Так, места у аварийных выходов предпочтительно предоставлять пассажирам без явных физических или умственных недостатков, способных в случае эвакуации оказать помощь другим пассажирам или, по крайней мере, не препятствовать эвакуации в силу своего немощного состояния. Пассажиры, которые не смогут ускорить процесс эвакуации из самолета, размещаются на местах, не загораживающих подходы к аварийному оборудованию и выходы. К таким пассажирам относятся лица с явными физическими или умственными недостатками; лица, чье здоровье не позволяет им быстро передвигаться; дети до 12 лет.

В знак закрепления за пассажиром места ему выдается посадочный талон, где указаны номер конкретного места, дата и номер рейса, порядковый номер по ведомости регистрации, а также номер выхода, через которым будет производиться посадка на самолет.

В процессе регистрации багажа пассажира необходимо соблюдать следующую очередность и правила:

1. Спросить у пассажира, сколько у него мест багажа и какие из них он желает перевезти при себе в пассажирском салоне самолета. При этом работник у стойки регистрации обязан:

• проверить, отвечает ли этот багаж по своему виду и содержанию требованиям безопасности при перевозке в пассажирском салоне и одновременно проинформировать пассажира о предметах и вещах личного пользования, которые отбираются спецслужбами. Рекомендовать пассажиру поместить их в багаж, который он передаст для перевозки в багажниках самолета в качестве зарегистрированного багажа;

• проверить, отвечает ли багаж по своей форме и размерам определению "незарегистрированный багаж", т.е. может ли быть размещен под пассажирским креслом, либо на багажной полке в пассажирском салоне самолета (при наличии такой полки на самолете, выполняющий данный рейс).

Максимальные размеры перевозимого в кабине самолета багажа определяются каждым перевозчиком, в зависимости от типа эксплуатируемого самолета.

2. Если пассажир объявит, что у него только ручная кладь, которую ему разрешается перевезти в пассажирском салоне самолета и не будет передавать другой багаж, т.е. пассажир не имеет зарегистрированного багажа, рекомендуется перечеркнуть соответствующие графы полетного купона. Взвесить каждое место багажа, принятого перевозчиком к перевозке в качестве незарегистрированного багажа и отметить их вес в соответствующую графу полетного купона.

Пример: У пассажира имеется только 7 кг незарегистрированного багажа

Bagg

Check’d

Unck’d

Pcs

Wt

Unch

Wt

7


3. Каждое место незарегистрированного багажа, принятого к перевозке, должно быть оформлено багажной биркой "В кабину". Вышеуказанное не относится к ручной клади, которую пассажиру разрешается перевезти сверх установленной нормы бесплатного провоза и который находится на руках у пассажира и не вложен в багаж (дамская сумочка, пальто или плащ, жакет, зонтик, малый фотоаппарат, печатные издания для чтения в полете, питание для ребенка, детская дорожная колыбелька, складная инвалидная коляска и/или костыли, если такие предметы пассажиру необходимы)

4. Если пассажир объявит, что у него имеется также и багаж для перевозки в багажниках самолета, т.е. в качестве зарегистрированного багажа, то работник у стойки обязан:

• проверить каждое место багажа (чемодан, сумка, контейнер, сундук и т.п.) хорошо ли оно закрыто, завязано, закупорено каким-либо другим надежным способом, в результате чего им обеспечена безопасная перевозка при обычном с ним обращении.

• проверить имеется ли на каждом отдельном месте багажа именная адресная бирка, инициалы или любая другая личная буквенная номерная идентификация. В случае её отсутствия пассажир должен заполнить именную бирку или другую форму идентификации к каждому месту багажа до того, как передать его у стойки оформления для взвешивания и дальнейшего обслуживания.

5. Взвесить весь багаж пассажира за исключением ручной клади (как зарегистрированный так и не зарегистрированный багаж) и нанести в ручную либо напечатать в соответствующие графы полетного купона количество мест и вес зарегистрированного и незарегистрированного багажа.

Пример: У пассажира 1 место (12 кг зарег. и 5 кг незарег. багажа)

Bagg

Check’d

Unck’d

Pcs

1

Wt

12

Unck

Wt

5


6. Если общий вес незарегистрированного и зарегистрированного багажа пассажира превышает норму бесплатного провоза в соответствии с классом и тарифом, по которому оформлен его авиабилет, то на провоз сверхнормативного багажа оформляется квитанция платного багажа и взимается определенная сумма.

7. Для каждого места зарегистрированного багажа, принятого к перевозке, необходимо оформить багажную бирку и прикрепить её к багажу, а идентификационную часть бирки прикрепить к верхней обложке авиабилета таким образом, чтобы не закрывать и не повредить напечатанных в нем условий договора о перевозке и чтобы аэропорт назначения, напечатанный на идентификационной части бирки, был отчетливо виден.

В случае, когда два или более пассажиров летят вместе и предъявляют одновременно свой багаж у стойки регистрации, разрешается объединять багаж с учетом суммарной нормы бесплатного провоза багажа.

При этом в авиабилете руководителя группы или одного из пассажиров записывается общее количество мест и общий вес зарегистрированного багажа.

В графе "RESTRICTIONS/ENDORSMENT" записывается код "PL" и количество пассажиров, которые оформили вместе свой багаж. В билетах остальных пассажиров в соответствующих графах записывается также код "PL" и последние три цифры серийного номера авиабилета пассажира, в котором отмечено общее количество мест и вес багажа.

Пример: В первом билете - 2/40/5РLx 2

Во втором билете – PL 475

При наличии у пассажира сверхнормативного багажа необходимо до начала перевозки оформить квитанцию платного багажа и взыскать за его перевозку соответствующую плату.

Если пассажир объявит ценность багажа, которая превышает предел ответственности перевозчика, установленный Варшавской конвенцией и измененной Гаагским протоколом, то такой багаж можно оформить для перевозки в качестве ценного только при условии, что он принимается к перевозке соответствующим перевозчиком.

Примечание:

1. Пассажир имеет право объявить ценность зарегистрированного багажа (excess value declaration) не менее чем 20 USD за 1 кг, но не более, фактической ценности багажа.

2. Багаж с объявленной ценностью свыше 5000 USD, как правило, не принимают к воздушной перевозке.

3. Багаж страхуется только "оптом" — независимо от того, что в него вложено, и, кроме того, большинство отечественных страховых компаний не решаются на выплату страховых покрытий более чем на 1500 $ США.

8. Затем агент по регистрации изымает полетный купон на данный участок полета и возвращает пассажиру билет вместе с отрывными талонами багажных бирок. Изъятый полетный купон служит подтверждением того, что пассажир действительно явился на регистрацию на рейс.

Если пассажир решил лететь более высоким классом обслуживания, он должен обратиться к старшему диспетчеру зоны регистрации с просьбой о повышении в классе обслуживания. При наличии свободных мест в бизнес-классе самолета такое разрешение, как правило, выдается путем наложения отметки на лицевой стороне билета, в которой указывается дата, номер рейса и фамилия выдавшего разрешение. Затем пассажиру предлагается пройти в кассу, где он доплачивает соответствующую сумму денег. Агент по бронированию оформляет пассажиру ордер разных сборов МСО, а в полетный купон вклеивается стикер с изменением класса обслуживания. При регистрации такого пассажира оператор на регистрационной стойке изымает соответствующий купон МСО и скрепляет его с полетным купоном авиабилета. Сам ордер разных сборов остается у пассажира.

9. После регистрации пассажирам предлагается пройти для дальнейшего оформления на рейс в зону санитарного и паспортного контроля, а затем в зону ожидания (пассажирам эконом-класса) или бизнес-зал (пассажирам бизнес-класса).

Обычно регистрация пассажиров заканчивается за 40 мин до отправления международного рейса и за 30 мин до отправления внутреннего рейса. Пассажир, опоздавший на регистрацию, к перевозке на данный рейс может быть не допущен. При возврате денег с такого пассажира может быть удержан сбор в соответствии с правилами применяемого тарифа. Сбор может не браться лишь в том случае, если пассажир не прибыл на регистрацию вследствие болезни (о чем должен быть предъявлен официальный медицинский документ); вследствие задержки или отмены стыковочного рейса, или из-за не предоставления этому пассажиру забронированного места на стыковочном рейсе. Если же пассажир все же желает осуществить перевозку, то он должен отметить на билете время своего прибытия на регистрацию и отправиться в кассу аэропорта перебронировать билет, если это позволяют условия действия тарифа.

10. По окончании регистрации пассажиров и оформления их багажа представитель авиакомпании на линии регистрации дает указание на закрытие рейса и подведение итогов регистрации билетов и оформления багажа.

Итоговые данные включают:

1

сведения о пассажирах:

-   фактическое количество зарегистрированных пассажиров,

-   класс обслуживания,

-   возрастные категории;

2

сведения о багаже:

-   количество мест,

-   масса багажа,

-   масса сверхнормативного багажа,

-   масса ручной клади.


Представитель авиакомпании на линии регистрации:

1

получает информацию из зала официальных делегаций о пассажирах VIP;

2

подводит итоги о фактическом количестве зарегистрированных пассажиров по классам обслуживания и возрастным категориям;

3

сверяет наличие полетных и обменных купонов с данными регистрации по каждому пункту посадки и в целом по рейсу;

4

заверяет своей подписью итоговые данные ведомости регистрации;


Посадка пассажиров на борт воздушного судна

Посадка пассажиров на борт воздушного судна может осуществляться непосредственно с перрона аэровокзала (когда самолет подруливают к перрону) либо к перрону подаются автобусы, доставляющие пассажиров к трапу воздушного судна.

Первыми на посадку приглашаются пассажиры с детьми, пассажиры преклонного возраста и инвалиды. Если при посадке в самолет используется один трап, то пассажиры бизнес-класса приглашаются на посадку после отъезда последней группы пассажиров эконом-класса. Если используются два трапа, посадка пассажиров разных классов может идти одновременно. Количество пассажиров, одновременно находящихся на трапе, не должно превышать восьми человек.

Доставка и посадка несопровождаемого ребенка на борт самолета производятся по окончании посадки основной массы пассажиров. При этом старший бортпроводник, принимая несопровождаемого ребенка, ставит свою подпись в соответствующем документе.

В последнюю очередь на борт самолета доставляются пассажиры VI Р.

Все пассажиры перед входом на борт воздушного судна должны предъявить агенту по посадке посадочные талоны. Агент отрывает корешки посадочных талонов и определяет по ним количество пассажиров, явившихся на посадку. В случае неявки пассажира на посадку старший диспетчер на линии регистрации принимает все необходимые меры для розыска пассажира. Если такие меры не приносят желаемых результатов, дается команда о снятии багажа, не явившегося на посадку пассажира с борта воздушного судна. При этом изъятый багаж подлежит обязательному досмотру.

Пассажир, не явившийся вовремя на посадку, может перебронировать билет на другой рейс или сдать его. Однако в обоих случаях к пассажиру будут применены штрафные санкции. Исключением может быть болезнь пассажира или его спутника, а также случай, если неявка пассажира произошла по вине перевозчика. При этом следует иметь в виду, что за задержку пассажира при прохождении таможенного, паспортного или спецконтроля перевозчик ответственности не несет.

Обслуживание пассажиров в аэропорту назначения

Традиционная схема технологии обслуживания пассажиров и обработки багажа после прилета

Технологическая операция

Действия работников служб аэропорта и авиакомпании

1.

Высадка из самолета

Сопровождение пассажиров от трапа самолета до аэровокзала или по телетрапу до паспортного контроля

2.

Прохождение санитарного контроля

Контроль паспорта, удостоверения

3.

Прохождение паспортного контроля

Контроль паспорта, визы

4.

Получение багажа с транспортера

Организация выдачи багажа с ленты транспортера. Обеспечение пассажиров ручными тележками.

5.

Оформление претензий на неисправность при перевозке багажа

Оформление PIR , DPR – акта о неисправностях при перевозке багажа, повреждении багажа

6.

Прохождение таможенного досмотра

Контроль ручной клади и багажа

7.

Посадка в транспорт, следующий в город

Предоставление пассажирам информации о видах транспорта до центра города.


Порядок выхода пассажиров

1

Несопровождаемые дети UM

2

VIP и бизнес класс пассажиры

3

Трансфертные пассажиры

4

Пассажиры экономического класса

5

Пассажиры с ограниченной подвижностью или нуждающиеся в специальной помощи

6

Депортированные


На автобусах пассажиры доставляются в здание аэровокзала. Если пассажиры прибыли с внутреннего рейса, они сразу проходят в зону выдачи багажа. Если пассажиры прибыли с международного рейса, они проходят санитарно-эпидемиологический (при необходимости) и паспортно-визовый контроль, а затем идут в зону выдачи багажа. После его получения они направляются на таможенный досмотр.

Багаж из зоны разгрузки поступает в зону выдачи, где прилетевшие пассажиры отбирают свои вещи. При выходе работник багажной зоны сверяет номер багажных бирок, прикрепленных к багажу, с номерами на отрывных талонах багажных бирок, вклеенных в авиабилет пассажира. На практике эта процедура несколько упрощена — к помощи оператора багажной зоны прибегают, главным образом, в спорных ситуациях или в случае неприбытия багажа.

Если пассажир не получил свой багаж или получил его в неисправном состоянии, представитель службы розыска багажа или авиакомпании обязан составить акт о неприбытии или неисправности багажа.

Вещи, забытые пассажирами в салоне самолета или автобуса, сдаются на хранение в службу розыска багажа. По предоставлению отрывных талонов багажных бирок или письменному заявлению пассажиров (в случае недокументированных вещей) вещи выдаются их владельцам.

Примечание

Представитель авиакомпании входит в состав комиссии по встрече рейса в случае, если имеется информация о наличии на борту ВС пассажиров с подозрением на инфекционное заболевание, при этом ВС направляется на санитарную стоянку. Дальнейшие действия регламентируются Планом первичных противоэпидемических мероприятий.

ОБСЛУЖИВАНИЯ ТРАНЗИТНЫХ И ТРАНСФЕРТНЫХ ПАССАЖИРОВ В АГЕНТСТВЕ И АЭРОПОРТУ

Обслуживание трансфертных пассажиров при продаже авиабилета

• Во время первого контакта с пассажирами следует:

Выяснить точный маршрут полета с учетом его желаний.

• Произвести бронирование мест на всех запланированных участках маршрута пассажира, включая бронирование мест в гостиницах и заказ услуг специальных служб (переводчики, гиды и т.д.) (по желанию пассажира). При получении подтверждения бронирования на полет по всему маршруту следования пассажира, необходимо проинформировать его обо всех деталях следования и произвести записи результата бронирования в новый или уже имеющийся у пассажира билет. В случае необходимости, получить у пассажира гарантию следовать по ранее забронированному маршруту.

• Информация пассажира по его пути следования должна содержать:

- Требования по визам, прививкам для отдельных стран на пути следования.

- Сведения об ограничении провоза ручной клади (не зарегистрированного багажа), об условиях и ограничениях, накладываемых тарифами, применяемыми при перевозке пассажира и его багажа.

- Данные о месте и времени отправления наземного транспорта из города в аэропорт вылета, включая стоимость проезда.

- Сведения о самом позднем времени прибытия пассажира в аэропорт для регистрации и, в случае необходимости, описания процедур и порядка обслуживания пассажира в аэропорту вылета.

- Сведения о назначении и о необходимости использования именных адресных бирок.

• В зависимости от продолжительности пребывания пассажира в отдельных аэропортах трансфера дать информацию или краткое описание процедур и порядка обслуживания, существующих в них, а также о возможной необходимости документации, требуемой обслуживающим персоналом для служб пункта трансферта.

• В том случае, когда правительственные распоряжения стран пунктов трансфера требуют, чтобы трансфертный пассажир, его ручная кладь и зарегистрированный багаж, проходили таможенный контроль, следует информировать его об этом в обязательном порядке.

Регистрация трансфертных пассажиров и их багажа в аэропорту вылета

Первоначальный перевозчик до начала перевозки трансфертных пассажиров и их багажа по своим линиям должен провести регистрацию пассажиров и багажа в соответствии со стандартными процедурами, применяемыми в аэропорту вылета.

Особое внимание необходимо обратить на следующее:

1.

Наличие у пассажира отдельного или дополнительного билета на стыковочный рейс; возможное наличие наклеек с отметками о перебронировании (стикеры должны закрывать на полетных купонах информацию о стыковочном рейсе);

2

Проверка документов, требуемых для пунктов транзита, трансфера, stopover и назначения государственными органами;

3

Проверить правильность оплаты багажа сверх нормы бесплатного провоза и в случае его наличия изъять соответствующий полетный купон квитанции платного багажа.

4

Изъять соответствующий полетный купон билета.

5

Определить пункт, до которого должна быть оформлена трансфертная бирка;

6

Заполнить трансфертную багажную бирку;

7

Подведение итогов наличия трансфертных пассажиров и составление РТМ;

8

Соблюдение приоритета пассажира и багажа в случае полного бронирования и перебронирования;

9

Загрузка багажа трансфертных пассажиров в самолет (загружается в последнюю очередь, чтобы выгрузить в первую)


В процессе регистрации трансфертных пассажиров необходимо:

1

Заполнить (нанести вручную или напечатать) соответствующие графы полетного купона авиабилета количество мест и общий вес багажа, который принимается от пассажира к перевозке в качестве зарегистрированного и незарегистрированного багажа;

2

Подготовить багажную бирку;

3

Для каждого места багажа, принятого к трансфертной перевозке, оформить и приклеить к багажу межлинейную багажную бирку, а ее идентификационную часть прикрепить к верхней обложке авиабилета так, чтобы не закрыть и не повредить напечатанных на авиабилете условий договора о перевозке и чтобы название аэропорта назначения, напечатанное на идентификационной части багажной бирки, было отчетливо видно;


Очередность отправки пассажиров

1

С билетами, имеющими статус бронирования "ОК"

2

Внесенные в список PNL, но не имеющих статуса бронирования "ОК" в билетах

3

С билетами, имеющими статус бронирования "ОК", но не переподтвердившие бронирование в случае необходимости такого перебронирования

4

С льготными билетами "ID", "RG", "DG" при условии, что в билетах указан статус бронирования "ОК"

5

Внесенные на лист ожидания

6

С билетами, имеющими открытую дату вылета и не внесенные в список PNL

7

Прочие пассажиры при наличии мест


Обработка трансфертного багажа

1

Доставить трансфертный багаж от воздушного судна и произвести его сортировку на стыковочные рейсы;

2

Доставку трансфертного багажа от самолета необходимо осуществлять в первую очередь.

Если время стыковки меньше минимального стыковочного времени, требуемого для трансфера в данном аэропорту, но имеется возможность для перегрузки багажа на рейс принимающего перевозчика, необходимо обеспечить доставку багажа непосредственно от самолета к самолету, действуя в соответствии с местными инструкциями и технологиями;

3

Загрузка трансфертного багажа осуществляется таким образом, чтобы в пункте трансфера его снять в первую очередь.

4

В случае когда полный маршрут пассажира включает в себя стыковку двух или более рейсов, оформление багажа трансфертной багажной биркой до конечного пункта назначения будет производиться, когда:

- прибытие рейса передающего перевозчика и вылет рейса принимающего перевозчика осуществляются согласно действующему расписанию в тот же день;

- прибытие рейса передающего перевозчика попадает на конец календарных суток, а вылет рейса принимающего перевозчика – на ранее утро следующих календарных суток. При этом принимается условие, что время трансфера не превышает 6 часов. В случае нахождения пассажира в пункте трансфера от 6 до 12 часов оформление багажа трансфертной биркой производится с учетом пожеланий пассажира и возможностей перевозчика.


Пример заполнения багажной бирки на нескольких перевозчиков.

TORONTO

TO YYZ

Вносится трехбуквенный код или полное наименование пункта назначения, или и то и другое, до которого следует багаж

Airline

TC

Flight

851

Вносится двухбуквенный код авиакомпании, осуществляющей перевозку багажа до пункта первой передачи и номер рейса за отвесной линией

VIA

YUL

Вносится трехбуквенный код пункта, в котором производится вторая передача багажа.

Airline/flight

KL

875

Вносится двухбуквенный код авиакомпании, осуществляющей перевозку багажа до пункта второй передачи и номер рейса за отвесной линией

VIA

AMS

Вносится трехбуквенный код пункта, в котором производится первая передача багажа.

Airline/flight

SU

229

Вносится двухбуквенный код авиакомпании, осуществляющей перевозку багажа до пункта первой передачи и номер рейса за отвесной линией

TO TORONTO

Вносится полное наименование пункта назначения, указанного в пассажирском билете

 
ВИДЫ ОБСЛУЖИВАНИЯ ТРАНЗИТНЫХ И ТРАНСФЕРТНЫХ ПАССАЖИРОВ В АЭРОПОРТУ

Транзитные и трансфертные пассажиры, следующие через аэропорт, разделяются на четыре потока:

• пассажиры, следующие прямым транзитом;

• трансфертные пассажиры с кратковременной остановкой (до 3 ч);

• трансфертные пассажиры с длительной остановкой ("стоп-овер");

• трансфертные пассажиры, следующие без виз.

Пассажиры прямого транзита (direct transit), которые после кратковременной остановки в аэропорту транзита продолжают воздушную поездку тем же ВС. Сетевой график обслуживания выглядит следующим образом:


1. Доставка пассажиров в "стерильную транзитную зону" аэровокзала, в которую исключен доступ посторонних лиц. Вручение транзитных карточек для учета количества пассажиров

2. Различные дополнительные услуги перед посадкой пассажиров в ВС (магазины сувениров, кафе, рестораны и другие виды услуг).

3. Контроль авиационной безопасности

4. При объявлении посадки пассажиров через телетрап или на автобусах доставляют к самолету

5. При посадке в самолет у пассажиров отбирается транзитная карточка.

Изъятие транзитных карточек для подсчета явившихся на посадку.

6. Посадка в ВС.

Если пассажир при международной ВП должен сделать пересадку на маршруте (transfer), то это потребует выполнение определенных операций, как в агентстве, так и в аэропорту начала ВП:

А) В АГЕНТСТВЕ:

- уточнение маршрута и пунктов пересадки (route intermediate points),

- подбор стыковочных рейсов по пунктам пересадки (transfer connections);

- бронирование места по всем участкам маршрута (reservation of scats);

- информация пассажира о требованиях к паспортам, визам и прививкам в странах трансфера, о правилах перевозки ручной клали;

Б) В АЭРОПОРТУ ВЫЛЕТА:

- проверка билета и документов, необходимых в аэропорту пересадки;

- оформление межлинейной багажной бирки"TRANSFER"

и при необходимости, если таковой имеется, оплата сверхнормативного багажа до пункта назначения или стоповера;

- накопление данных о трансфертных пассажирах для составления сообщения о них (РТМ - passenger transfer message).

2. Трансфертные пассажиры с кратковременной остановкой в аэропорту пересадки (short time transfer)

ТРАНСФЕР - передача пассажира с обслуживания одним перевозчиком на обслуживание другим перевозчиком одной и той авиакомпании или другой авиакомпанией. Передача пассажира с одного рейса на другой при стыковке рейсов должна занимать минимальное время, опубликованное в международном расписании.

У дежурного по транзиту трансфертный пассажир в аэропорту пересадки регистрирует билет на стыковочный рейс, после чего попадает в общий поток с первоначально вылетающими пассажирами данного рейса и проходит спецконтроль.

В это время его багаж силами авиакомпании, при наличии соглашения по "интерлайну" (interline agreement), переоформляется на другой рейс и доставляется к ВС стыковочного рейса.

Для подготовки к встрече трансфертных пассажиров и соблюдения минимального времени стыковки в аэропорт трансфера заранее посылают сообщение о трансфертных пассажирах РТМ (passenger transfer message)

Сетевой график обслуживания трансфертных пассажиров с кратковременной остановкой в аэропорту пересадки:


1 - разгрузка прибывшего ВС (багаж, почта, груз)

В1- выгрузка и разделение багажа "TRANSFER" и прилетевших пассажиров

В2- доставка багажа в зону раздачи и в зону трансфера для переоформления на стыковочный рейс

В3 - переоформление багажа трансфертных пассажиров

В4 - доставка багажа трансфертных пассажиров к ВС

В5 - загрузка багажа трансфертных пассажиров в ВС

Р1 - высадка прилетевших и трансфертных пассажиров

Р2 - получение трансфертными пассажирами трансфертных карточек

Р3 - регистрация на стыковочный рейс у диспетчера по транзиту (ДТ)

Р4 - контроль безопасности перед посадкой в ВС с изъятием трансфертных карточек

Р5 - посадка пассажиров в ВС стыковочного рейса

6 - отправление ВС из аэропорта пересадки.

3. Пассажиры с длительной остановкой в промежуточном аэропорту (stopover).

Длительной остановкой (стоповером) называется случай, когда пассажир, прибыв в промежуточный аэропорт трансфера не имеет возможности продолжать воздушную поездку в течение ближайших 24 часов из-за отсутствия в день его прибытия стыковочного рейса.

Стоповером также называется заранее согласованный с перевозчиком перерыв в воздушной перевозке по просьбе пассажира (break of the journey arranged at the passenger request) в пункте, предусмотренном расписанием, кроме случаев, когда в данном пункте стоповер запрещен (stopover is not allowed) т. е. если:

- перевозчик не имеет коммерческих прав в этом пункте (the carrier has no traffic right), т. е. не может обмениваться коммерческой загрузкой;

- правила применяемых тарифов или скидок запрещают или ограничивают стоповер (prohibit or limit the stopover).

Сетевой график обслуживания пассажиров, делающих длительную остановку (stopover) в промежуточном аэропорту на маршруте:


1 - высадка из ВС и выгрузка багажа (disembarkation, unloading)

2- паспортно-визовый контроль (passport, visas)

3- получение багажа (baggage collect)

4- таможенный, санитарный, карантинный контроль (customs, sanitary)

5- отметка у диспетчера по транзиту о продолжении рейса после стоповера

6 - покидание аэропорта.

4 Обслуживание безвизовых пассажиров (TWOV - transit without visa).

В некоторых случаях, по рекомендациям ИКАО, пассажир может не иметь визы для страны, в которой производится пересадка на другой рейс. При этом необходимо выполнение следующих условий:

- у пассажира имеется билет на стыковочный рейс со статусом бронирования "OK";

- пребывание в стране трансфера лежит в пределах 24 часов, но всего не более 72 часов;

- пассажир не может покидать безвизовую зону аэровокзала или должен проживать в гостинице для безвизовых пассажиров.

ПО ПРИБЫТИИ в аэропорт трансфера пассажиры проходят все административные формальности, паспорта оставляют на КПП пограничной службы, сдают лишние вещи в камеру хранения, проверяют наличие брони на стыковочный рейс в сопровождении дежурного по транзиту следуют в гостиницу для безвизных пассажиров. При небольших интервалах времени между стыковочными рейсами безвизные пассажиры находятся в аэровокзале,

ПРИ ВЫЛЕТЕ пассажиры проходят все формальности, связанные с вылетом.

В любом случае, если на рейсе имеются трансфертные пассажиры, которым необходима пересадка на маршруте, то во все пункты пересадки передают сообщение об этих пассажирах, вылетающих из пунктов пересадки в течение календарных суток с момента прибытия в пункт трансфера "РТМ" (Passenger Transfer Message) - сообщение о трансфертных пассажирах.

Сообщение о трансфертных пассажирах из аэропорта Шереметьево (SVO) в Копенгаген (СРН) с пересадкой в Копенгагене на другие рейсы:

CPHAPRA

SVOKTRA

РТМ

RA 216/06 - № рейса из аэропорта Шереметьево, дата взлета.

SK 028/06 - № рейса, на который запланирована пересадка в Копенгагене до Парижа.

CDG Y3/RQI/SA1B3/1/0 - сведения о количестве пассажиров, их статусах бронирования, их багажа.

ВА 302/06 - № рейса на который запланирована пересадка в Копенгагене до Лондона

LHR Y2/RQ2/SA 2 В 2/1/1 - сведения о количестве пассажиров, их статусах бронирования, их багажа.

Предоставление услуг трансфертным пассажирам и распределение расходов за эти услуги

Правила применяются только при обслуживании пассажиров, следующих регулярными рейсами.

В случае нерегулярности полетов предоставление услуг трансфертным пассажирам производится в соответствии с "Инструкцией по обслуживанию и регистрации пассажиров, а также по составлению документов при нерегулярности полетов.

При предоставлении услуг трансфертным пассажирам следует учитывать условное деление мира на зоны ИАТА:

а) зона 1-я: весь американский континент и к нему прилегающие острова;

b) зона 2-я: Европа, включая Алжир, Тунис, Марокко, Исландию, Мальту, всю Турцию, Иран, Африку и все к ней прилегающие острова;

с) зона 3-я: Азия и все к ней прилегающие острова (кроме тех. Которые принадлежат к зоне 2-ой), Австралия, Новая Зеландия и острова в Тихом океане.

Для уточнения следует придерживаться соответствующих определений, содержащихся в последнем издании справочника "APT".

При предоставлении услуг трансфертным пассажирам существуют следующие ограничения.

До прибытия в аэропорт трансфера пассажир должен иметь билет для перевозки из аэропорта трансфера и подтвержденное бронирования на дальнейший полет (или же иметь в билете статус бронирования RQ, который в аэропорту трансфера изменяется на статус "OK" сразу после прибытия перед началом предоставления услуг).

Предоставление услуг трансфертным пассажирам производится:

а) до времени вылета ближайшего рейса того перевозчика, на самолете которого пассажир, согласно пассажирскому билету и указанному на нем бронированию должен вылетать из аэропорта трансфера, но

Ь) не более чем на 24 часа с момента прибытия пассажира в аэропорту трансфера.

Если пассажир вылетает из аэропорта трансфера после 24 часов пребывания, а в течение первых 24 часов есть регулярный рейс какого-либо другого перевозчика в пункт, куда трансфертный пассажир продолжает свой полет согласно своему билету, тогда перевозчику не разрешается нести расходы по трансфертным услугам.

Перевозчик не может нести расходы по предоставлению услуг трансфертным пассажирам в аэропортах трансфера в рамках зоны, включающей в себя Европу (СНГ - вся территория, всю Турцию в Европе и Азии, Алжир, Азорские острова, Исландию, Мадейру, Мальту, Марокко, Тунис), когда вся воздушная перевозка осуществляется в пределах этой зоны.

Расходы по предоставлению услуг трансфертным пассажирам перевозчик не может нести, если это запрещают услуги примененного тарифа, или когда пассажир в пункте трансфера делает перерыв ("стоп-овер"). Расходы, оплачиваемые в рамках услуг трансфертным пассажирам, могут включать в себя:

а) ночевку в гостинице (если она необходима);

b) питания;

c) наземный транспорт между гостиницей и аэропортом трансфера;

d) аэродромный сбор (если он взимается).

Объем услуг (количество блюд, время их предоставления, максимальные цены, стандарт гостиницы) в основном регулируется совместными правилами, которыми руководствуются авиакомпания в случае нерегулярности полетов, причем стоимость услуг не выплачивается пассажиру наличными, а только посредством выдачи талонов или аналогичных документов, предназначенных для соответствующего ресторана, гостиницы или подобного предприятия.

Указанное обслуживание не должно рекламироваться. Допускается лишь общая информация о самом факте предоставления обслуживания, предлагаемая пассажиру устно или в расписании авиакомпании.

Похожие работы на - Обслуживание вылетающих пассажиров в агентстве и аэропорту

 

Не нашли материал для своей работы?
Поможем написать уникальную работу
Без плагиата!
Без нейросетей!