Расчет системы водоснабжения

  • Вид работы:
    Курсовая работа (т)
  • Предмет:
    Строительство
  • Язык:
    Русский
    ,
    Формат файла:
    MS Word
    492,67 kb
  • Опубликовано:
    2010-03-11
Вы можете узнать стоимость помощи в написании студенческой работы.
Помощь в написании работы, которую точно примут!

Расчет системы водоснабжения

Московский Государственный Университет Путей Сообщения

Институт Транспортной Техники и Организации Производства

(ИТТОП)

Кафедра: «Теплоэнергетика железнодорожного транспорта»

(ТЖТ)





Курсовая работа по дисциплине:

«Технологические энергоносители промышленных предприятий»






Выполнила:

Ст. гр. ТЭН-412

Проверил:




Москва 2009

Расчет системы водоснабжения

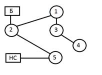
Необходимо:

- Построить график нагрузки сети и установить параметры режимов – максимального водопотребления и максимального транзита,

- Выбрать диаметры труб для участков сети, исходя из режима максимального транзита,

- Выполнить внутреннюю увязку сети для двух указанных режимов,

- Построить пьезометрические графики сети и вычислить характеристики водопитателей.

График нагрузки сети

Строится как сумма графиков потребления воды всеми потребителями. Режим максимального водопотребления соответствует часам максимальной нагрузки сети. В режиме максимального транзита нагрузки сети – минимально.

Потребитель

Расход, м3

Геодезическая высота

0-6

6-12

12-18

18-24

1

0,02

0,08

0,05

0,03

3,5

2

0,01

0,13

0,09

0,03

5,0

3

0,04

0,10

0,12

0,05

1,5

4

0,02

0,04

0,05

0,01

4,0

5

0,02

0,07

0,07

0,03

5,5

НС





0,5

Б





10,5

0,11

0,42

0,38

0,15



Qср – среднесуточная нагрузка системы определяется интегрированием графика нагрузки сети по времени

=(Q0-6*6+Q6-12*6+Q12-18*6+Q18-24*6)/24=(0,11+0,42+0,38+0,15)/4= 1,06/4=0,265 м3

Эта величина равна производительности насосной станции при условии, что в течении суток вода подается насосами равномерно.


Поток воды в водонапорную башню при минимальной нагрузке сети Qсmin =0,11 м3/с (режим максимального транзита)

QБ= QН – Qсmin=0,265 – 0,11 = 0,155 м3

В часы максимального водопотребления башня отдает воду в сеть в количестве:

QБ=Qcmax – QНС=0,42 – 0,265=0,155 м3,

где Qcmax =0,42 м3/с – максимальная нагрузка сети

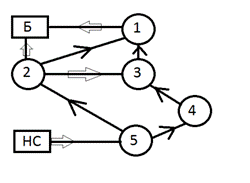
Выбор диаметров труб для участков сети

Режим максимального транзита (Qс=min) является определяющим для выбора диаметров. Вначале задается начальное потокораспределение, которое удовлетворяет первому закону Кирхгофа. Для этого, рассматривая конфигурацию сети, как граф, рекомендуется построить дерево графа путем удаления части участков сети, число которых равно n

n=p-m+1 (1),

где p- число участков, m – число узлов, n – количество элементарных контуров

n=9-7+1=3



В результате сеть становится тупиковой (контуры в сети отсутствуют, n=0). Для нее просто задать начальное потокораспределение путем суммирования потребления воды, начиная с концевых узлов. На исключенных участках поток воды принимается равным нулю.

Для каждого i-того участка дерева диаметр труб выбирается из таблицы 1 по величине приведенного расхода qiп

,

где qi – поток на участке, м3

Э – действительный экономический фактор,

Эт – табличный экономический фактор,

х – доля единичного расхода на участке,

Единичный расход на участке:

 


Qс – нагрузка сети для рассматриваемого режима, м3(Qс=min):

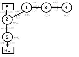
1уч. НС-5 qп=0,265*(0,11*0,3/0,265)1/3= 0,198 м3/с=198 литр/с → D=450мм=0,45м

2уч. 5-2 qп=0,245*(0,11*1/0,245) 1/3=0,189 м3/с=189 литр/с → D=450мм=0,45м

3уч. 2-Б qп=0,155*(0,11*0,7/0,155) 1/3=0,123 м3/с=123 литр/с → D=350мм=0,35м

4уч. 2-1 qп=0,08*(0,11*0,3/0,08) 1/3=0,060 м3/с=60 литр/с → D=250мм=0,25м

5уч. 1-3 qп=0,06*(0,11*0,3/0,06) 1/3=0,040 м3/с=49 литр/с → D=250мм=0,25м

6уч. 3-4 qп=0,02*(0,11*0,3/0,02) 1/3=0,024 м3/с=24 литр/с → D=175мм=0,175м

Диаметры исключенных участков принимаются равными средним значениям диаметров тех участков, которые они соединяют.

7уч. Б-1 D=(D2-Б+D2-1)/2=(0,35+0,25)/2=0,3м

8уч. 3-2 D=(D1-2+D1-3)/2=(0,25+0,25)/2=0,25м

9уч. 5-4 D=(D2-5+D3-4)/2=(0,45+0,175)/2=0,3125≈0,3м

Режим минимального транзита (Qс=max) :

 

1уч. НС-5 qп=0,265*(0,42*1/0,265)1/3= 0,309 м3/с=309 литр/с

2уч. 5-2 qп=0,245*(0,42*1/0,245) 1/3=0,293 м3/с=293 литр/с

3уч. 2-Б qп=0,155*(0,42*0,7/0,155) 1/3=0,192 м3/с=192 литр/с

4уч. 2-1 qп=0,08*(0,42*0,3/0,08) 1/3=0,093 м3/с=93 литр/с

5уч. 1-3 qп=0,06*(0,42*0,3/0,06) 1/3=0,077 м3/с=77 литр/с

6уч. 3-4 qп=0,02*(0,42*0,3/0,02) 1/3=0,037 м3/с=37 литр/с

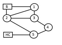
Внутренняя увязка сети:

Увязка выполняется по методу Лобачева-Кросса. Для каждого участка сети вычисляется гидравлическая характеристика si


где Di – диаметр трубы, м; Li – длина участка, м; а – коэффициент, учитывающий местные сопротивления.

Падение давления на участке связано с расходом квадратической зависимостью

pi=siqi2

где pi – падения давления, м вод ст; si – гидравлическая характеристика; qi – расход воды на участке, м3

По соотношению Эйлера (1) определяется количество элементарных контуров сети. Увязка выполняется следующих образом:

1. Для каждого участка сети задается положительное направление потока и его величина, причем все потоки на участках должны удовлетворять первому закону Кирхгофа; для этого удобно рассматривать его как нулевое приближение,

2. В каждом контуре вычисляется невязка ∆hn, определяющая меру несоответствия потоков воды в сети второму закону Кирхгофа,

∆hn=∑siqiabs(qi)

Суммирование выполняется по участкам сети, составляющим контур, с учетом знаков и направления обхода, принятых при формулировке второго закона Кирхгофа,

3. Если модуль максимальной невязки меньше допустимой величины, увязка заканчивается; в противном случае процесс итераций продолжается,

4. Для каждого контура вычисляется поправка ∆qn, положительное направление которой противоположно обходу контура по второму закону Кирхгофа


Суммирование в знаменателе выполняется по участкам контура,

5. Контурные поправки используются для коррекции значений потоков воды на участках

qik+1=qik+∑∆qn

Суммируются поправки только тех контуров, в состав которых входит рассматриваемый участок; суммирование выполняется с учетом направлений, принятых для потоков и контурных поправок; далее вычисления повторяются, начиная с пункта 2.


По программе получилось, что выбранные направления на участках 5,6,8,9 надо изменить на противоположные. Это будет выглядеть так:

Пьезометрический график

 

Номер узла

Геодез. Высота Z, м

Свободный Напор (предвар) Н,м

Пьез. Высота (предвар) П, м

Н, м

П, м

НС

0,5

32,636

33,136

63,8

64,3

1

3,5

1,504

5,004

21,5

25 (дикт)

2

5,0

19

24

38,996

43,996

3

1,5

21,728

23,228

41,724

43,224

4

4,0

20

24 (дикт)

51,164

55,164

5

5,5

18,453

23,953

49,617

55,117

Б

10,5

-5,507

4,993

14,489

24,989


Выбираю диктующего потребителя: 4. Задаю П4=24 м, H44-z4=24-4=20 м


П54-∆p4-5=24-0,047=23,953

П34-∆p3-4=24-0,772=23,228


П13-∆p1-3=23,228-18,224=5,004

П23+∆p2-3=23,228+0,772=24


ПНС5+∆pНС-5=23,953+9,183=33,136


ПБ1-∆pБ-1=5,004-0,001=5,003

ПБ2-∆pБ-2=24-19,017=4,983 ПБ≈4,993

ННСНС-zНС=33,136-0,5=32,636

Н11-z1=5,004-3,5=1,504

Н22-z2=24-5=19

Н33-z3=23,228-1,5=21,728

Н55-z5=23,953-5,5=18,453

НББ-zБ=4,993-10,5= -5,507

Минимальный свободный напор получился для потребителя 1

Принимаю П1=25м


П31+∆p1-3=25+18,244=43,224

П23+∆p2-3=43,224+0,772=43,996


П43+∆p3-4=43,224+11,940=55,164

П54-∆p4-5=55,164-0,047=55,117

ПНС5+∆pНС-5=55,117+9,183=64,3


ПБ1-∆pБ-1=25-0,001=24,999

ПБ2-∆pБ-2=43,996-19,017=24,979 ПБ≈24,989

ННСНС-zНС=64,3-0,5=63,8

Н11-z1=25-3,5=21,5

Н22-z2=43,996-5=38,996

Н33-z3=43,224-1,5=41,724

Н44-z4=55,164-4=51,164

Н55-z5=55,117-5,5=49,617

НББ-zБ=24,989-10,5=14,489

Характеристики водопитателей

Рабочий объем водонапорной башни Vp находится с помощью графика нагрузки сети. Необходимо вычислить интеграл

Vp=ʃ(Qc(τ)-Qc)d τ=6*[(0,42-0,265)+(0,38-0,265)]=1,62 м3

Если диаметр бака башни и максимальный уровень его заполнения относятся как 2:1, то с учетом 10% запаса воды диаметр бака равен

DБ=1,46Vp1/3=1,46*1,61/3=1,715 м,

h0=,5*DБ=0,8575 м

где h0 – максимальный уровень заполнения бака водой,

DБ – диаметр бака

Vp – рабочий объем

H’НС=Нтр+(zA-zНС)+∑∆p’i=20+(3,5-,5)+89,434=112,434

H”НС=HБ+(zБ-zНС)+h0+∑∆p’’i=14,489+(10,5-0,5)+0,8575+36,907=62,2535

Где ∆p’ падения давления при Qc=max, ∆p’’ падения давления при Qc=min, а

HБ, H’НС – max ; H”НС – min

 

Итоговая таблица

 

Уч

D, м

L, м

q’, м3

q’’,м3

∆p’, м вод ст

∆p’’, м вод ст

1 (НС-5)

0,45

700

0,309

0,198

9,183

3,771

2 (5-2)

0,45

900

0,301

0,194

11,215

4,671

3 (2-Б)

0,35

1000

0,191

0,123

19,017

7,817

4 (2-1)

0,25

800

0,088

0,056

19,015

7,817

5 (1-3)

0,25

850

0,083

0,053

18,244

7,472

6 (3-4)

0,175

700

0,029

0,019

11,940

4,995

7 (Б-1)

0,3

650

0,001

0,000

0,001

0,000

8 (3-2)

0,25

1200

0,014

0,010

0,772

0,344

9 (5-4)

0,3

600

0,008

0,005

0,047

0,020


89,434

36,907


Где ∆p’ и q’- падения давления и расход при Qc=max, а ∆p’’ и q” - падения давления и расход при Qc=min

Газопровод среднего давления

потребитель

Расход по часам суток, куб.м /час


0-6


6-12


12-18


18-24


1

150


550

 

400


200


2

200


950


750


250


3

150


400


800


100


4

100


500


550


200


5

250


850


850


150


6

100


150


150


100

100


200


250


100


8

150


350


250


200


9

200


100


200


100


сумма

1400


4050


4200


1400


Газопровод низкого давления

потребитель

Расход по часам суток, куб.м /час


0-6


6-12


12-18


18-24


6

100


150


150


100


7

100


200


250


100


8

150


350


250


200


9

200


100


200


100


сумма

550


800


850


500




Диаметры труб участков сети выбираются с помощью номограммы, исходя из найденного оптимального pi , а также Li , и расхода газа Vi

Участок

Длина, м

Расход, м3

Удельные потери, Па/м

Диаметр стандартный, м

1 – ГРП1

900




1 - 2

900




2 - 3

1000




2 - 4

550




2 - 5

750




5 – ГРП2

500




6 – ГРП2

250




6 - 7

400




6 - 8

150




9 – ГРП 2

250




Испр_max

N=9

DIM flux(N), diam(N), length(N),s(N), press(N)

READ dHmin, a

DATA 0.001, 0.15

for i=1 to N

READ b

flux(i)=b

READ b

length(i)=b

READ b

diam(i)=b

NEXT i

DATA 0.309, 700, 0.450

DATA 0.293,900, 0.450

DATA 0.192,1000, 0.350

DATA 0.093, 800,0.250

DATA 0.077, 850,0.250

DATA 0.037, 700, 0.175

DATA 0, 650, 0.300

DATA 0, 1200, 0.250

DATA 0, 600, 0.300

for i=1 to N

s(i)=0.001735*(1+a)*length(i)/diam(i)^5.3

next i

[A]

dH1=s(3)*flux(3)*Abs(flux(3))-s(7)*flux(7)*Abs(flux(7))-s(4)*flux(4)*Abs(flux(4))

dH2=s(4)*flux(4)*Abs(flux(4))-s(5)*flux(5)*Abs(flux(5))-s(8)*flux(8)*Abs(flux(8))

dH3=s(2)*flux(2)*Abs(flux(2))+s(8)*flux(8)*Abs(flux(8))-s(6)*flux(6)*Abs(flux(6))-s(9)*flux(9)*Abs(flux(9))

if Abs(dH1)<dHmin and Abs(dH2)<dHmin and Abs(dH3)<dHmin goto [B]

dq1=0.5*dH1/(s(4)*Abs(flux(4))+s(7)*Abs(flux(7))+s(3)*Abs(flux(3)))

dq2=0.5*dH2/(s(4)*Abs(flux(4))+s(5)*Abs(flux(5))+s(8)*Abs(flux(8)))

dq3=0.5*dH3/(s(8)*Abs(flux(8))+s(2)*Abs(flux(2))-s(9)*Abs(flux(9))+s(6)*Abs(flux(6)))

flux(1)=flux(1)

flux(2)=flux(2)-dq3

flux(3)=flux(3)-dq1

flux(4)=flux(4)+dq1-dq2

flux(5)=flux(5)+dq2

flux(6)=flux(6)+dq3

flux(7)=flux(7)+dq1

flux(8)=flux(8)+dq2-dq3

flux(9)=flux(9)-dq3

goto [A]

[B]

for i=1 to N

press(i)=s(i)*flux(i)*Abs(flux(i))

next i

for i=1 to N

PRINT "i="; i;

PRINT ";lenght="; length(i);

PRINT ";diam="; diam(i);

PRINT ";flux="; using ("#.###", flux(i));

PRINT ";press="; using ("##.###", press(i))

next i

PRINT "dH1="; using ("#.#####", dH1) ;";dH2="; using ("##.#####",dH2); ";dH3="; using("#.#####", dH3)

end

Испр_min

N=9

DIM flux(N), diam(N), length(N),s(N), press(N)

READ dHmin, a

DATA 0.001, 0.15

for i=1 to N

READ b

flux(i)=b

READ b

length(i)=b

READ b

diam(i)=b

NEXT i

DATA 0.198, 700, 0.450

DATA 0.189,900, 0.450

DATA 0.123,1000, 0.350

DATA 0.060, 800,0.250

DATA 0.049, 850,0.250

DATA 0.024, 700, 0.175

DATA 0, 650, 0.300

DATA 0, 1200, 0.250

DATA 0, 600, 0.300

for i=1 to N

s(i)=0.001735*(1+a)*length(i)/diam(i)^5.3

next i

[A]

dH1=s(3)*flux(3)*Abs(flux(3))-s(7)*flux(7)*Abs(flux(7))-s(4)*flux(4)*Abs(flux(4))

dH2=s(4)*flux(4)*Abs(flux(4))-s(5)*flux(5)*Abs(flux(5))-s(8)*flux(8)*Abs(flux(8))

dH3=s(2)*flux(2)*Abs(flux(2))+s(8)*flux(8)*Abs(flux(8))-s(6)*flux(6)*Abs(flux(6))-s(9)*flux(9)*Abs(flux(9))

if Abs(dH1)<dHmin and Abs(dH2)<dHmin and Abs(dH3)<dHmin goto [B]

dq1=0.5*dH1/(s(4)*Abs(flux(4))+s(7)*Abs(flux(7))+s(3)*Abs(flux(3)))

dq2=0.5*dH2/(s(4)*Abs(flux(4))+s(5)*Abs(flux(5))+s(8)*Abs(flux(8)))

dq3=0.5*dH3/(s(8)*Abs(flux(8))+s(2)*Abs(flux(2))-s(9)*Abs(flux(9))+s(6)*Abs(flux(6)))

flux(1)=flux(1)

flux(2)=flux(2)-dq3

flux(3)=flux(3)-dq1

flux(4)=flux(4)+dq1-dq2

flux(5)=flux(5)+dq2

flux(6)=flux(6)+dq3

flux(7)=flux(7)+dq1

flux(8)=flux(8)+dq2-dq3

flux(9)=flux(9)-dq3

goto [A]

[B]

for i=1 to N

press(i)=s(i)*flux(i)*Abs(flux(i))

next i

for i=1 to N

PRINT "i="; i;

PRINT ";lenght="; length(i);

PRINT ";diam="; diam(i);

PRINT ";flux="; using ("#.###", flux(i));

PRINT ";press="; using ("##.###", press(i))

next i

PRINT "dH1="; using ("##.#####", dH1) ;";dH2="; using ("##.#####",dH2); ";dH3="; using("##.#####", dH3)

end

Похожие работы на - Расчет системы водоснабжения

 

Не нашли материал для своей работы?
Поможем написать уникальную работу
Без плагиата!
Без нейросетей!