Проектирование колонн и стропильных балок одноэтажного производственного здания
Министерство образования Российской Федерации
Сибирская
государственная автомобильно-дорожная академия
(СибАДИ)
Кафедра "Строительные
конструкции"
Пояснительная
записка к курсовому проекту:
Проектирование
колонн и стропильных балок одноэтажного производственного здания
Омск-2010
Содержание
1. Компоновка поперечника
2. Определение расчетных нагрузок и
параметров
3. Определение усилий в стойках
4. Проектирование стоек
5. Расчет сборной железобетонной
предварительно-напряженной двутавровой балки покрытия
1.
Компоновка
поперечника
Поперечная рама состоит
из колонн, заделанных в фундамент и стропильной конструкции, свободно
опирающейся на колонны.
Определяем размеры
колонны
Высота надкрановой части:
,
м
где Нкр - крановый
габарит здания.
(0,15+hпб) – высота подкрановой балки с
рельсом, м
Высота подкрановой части
колонн от верха фундамента:
,
где
Н1=Нг.р.+0,15,
где 0,15 – глубина
заложения верха фундамента,
,
,
– (кратна модулю 0,6 м для стеновых панелей).
Определяем размеры
поперечного сечения колонны
Привязка колонн к
разбивочным осям
"0" - при шаге
колонн 6 м и кранах с G ≤ 30 тс;
Размеры сечений
bк = 400 мм – при шаге колонн 6 м;
hв = 400 мм – при "0" привязке и кранах G <
20 тс;
с округлением в меньшую
сторону с модулем 50 мм.
Глубина заделки колонны в
стакан фундамента равна наибольшему из 1,5 bк или hн , и
получаем отметку (-) (Нзад. + 0,15)=1,2+0,15=1,35.
Расстояние от оси
кранового пути до внутренней грани подкрановой части колонны поверху: к< 250
мм при В = 6 м;
При ("привязка"
+ 750 + к)=0+750+250=1000мм < hн=1200мм
, значит
(750+100)+(250+100)=1200мм
Конструирование стен
модуль 0,6 м; высота
стеновых панелей и блоков остекления 1,2 м и 1,8 м; δпан=300 мм
(принять).
2. Определение
расчетных нагрузок и параметров
Постоянные нагрузки
·
от покрытия Fп
Fп =
,
где gк=1 кН/м2+1,5 кН/м2=2,5 кН/м2
– расчетная нагрузка от веса 1 м2 кровли и плит покрытия;
В=6м – шаг колонн, м;
L=12м – пролет рамы, м;
Qp=40,2тс- ориентировочный вес
стропильной конструкции, кН;
·
от собственной
массы (бз эксцентриситета)
где γf = 1,1 – коэффициент надежности по нагрузке;
γ = 25 кН/м3
– объемный вес железобетона
·
от стен и
остекления (бз эксцентриситета)
,
где В – шаг колонн, м;
gст, gост – расчетные нагрузки от веса 1 м2 стеновых панелей и оконных
блоков, навешанных на надкрановую или подкрановую части колонны (табл. 5)
hст, hост – высота панелей и остекления, м;
·
от массы
подкрановой балки с рельсом (бз эксцентриситета)
Fпб = 41,2 кН
Временные нагрузки
·
от снега СНиП 2.01.07-85 (5 раздел)
Fсн =
,
где Sg =1,8 кН/м2 снеговая
нагрузка в зависимости от района строительства; μ = 1, Fсн прикладывается так же как и Fп.
·
от крана СНиП
2.01.07-85 (4 раздел)
вертикальная
Dmax=287 кН, Dmin=59,6 кН.
горизонтальная
Т=10,3 кН
·
ветровая СНиП
2.01.07-85 (6 раздел, п. 6.3)
Wmi =Wо*k,
где Wо – 0,3 кН/м2
k - табл. 6(СНиП 2.01.07-85)
Фактическая ветровая
эпюра приводится к эквивалентной по моменту в защемлении с ординатой
|
до
|
5 м
|
0,75
|
|
10 м
|
1
|
|
20 м
|
1,25
|
|
40 м
|
1,5
|
|
|
|
|
|
Wm5=W0*k=0,3*0,75=0,225 кН/м2
Wm10=W0*k=0,3*0,71=0,3 кН/м2
Wm20=W0*k=0,3*1,25=0,375 кН/м2
Wm21.6=W0*k=0,3*1,27=0,381 кН/м2
Wm23.4=W0*k=0,3*1,29=0,387 кН/м2
на
высоте Н:
;
Сосредоточенная сила в
уровне верха колонны:
WН =
Wотс. =
где с = 0,8 – с
наветренной и с = 0,6 – с заветренной сторон
γf = 1,4 – коэффициент надежности по нагрузке;
Равномерно распределенная
погонная нагрузка:
Расчетная схема
(статически неопределимая)
Ригель считается
абсолютно жестким.
Основная система метода
перемещений (одно неизвестное).
3. Определение усилий
в стойках
;
Постоянной – нагрузка от собственного веса, стен и подкрановых
балок – приложена по оси колонны.
От покрытия Fп (симметричное воздействие)
y=0*HB;
Сила Fп приложена на расстоянии 150 мм от разбивочной оси, поэтому эксцентриситет приложения силы относительно оси надкрановой части
колонны:
e = hн/2 – hв/2=1,2/2-0,4/2=0,4м;
Rв← (+); →(-);


K1=2,152 ,K1=1,314 [3, тб.16.1]
при привязке "0",
аВ= 50 мм – при вк= 40 см от покрытия
МI =
МII =
NI = NII=Fп=110,1 кН
От стен, собственного
веса, подкрановых балок
МI = МII =0
NI =
NII =
От постоянной нагрузки
суммарная
МI =∑ МI=2.34+0=2,34кН*м
МII =∑ МII=-3,44+0=-3,44кН*м
NI =∑ NI=110,1+45,08=155,18 кН
NII =∑ NII=110,1+477,18=587,28 кН
Временная нагрузка
Снеговая Fсн – изгибающие усилия от покрытия умножаются на
коэффициент
Fсн / Fп =64,8/110,1=0,59
МI =2,34*0,59=1,38 кН*м
NI = NII=Fсн=64,8 кН
МII =-3,44*0,59=-2,03 кН*м
Крановая вертикальная Dmax ; (y = 1*Hн ,)
ан = "привязка"
+ 750 – hн/2=0+850-1200/2=250мм
ан = hн/2 - "привязка" -
750=1200/2-0-850=-250мм
K2=1,304 [3,тб.16.2]
- со своими знаками,
R11 – реакция в дополнительной связи от
перемещения
,
;
|
Стойка А
|
Стойка Б
|
|
NI = 0
NII =Dmax=287 кН
|
NI = 0
NII =Dmin=59,6 кН
|
Крановая горизонтальная ТА, ТБ
K3=0,775 [3, тб.16.3]
|
Стойка А
|
Стойка Б
|
|
NI = 0
NII =0
|
NI = 0
NII =0
|
Ветровая (слева)
K7=0,363 [3, тб.16.7]
;
;
;
;
;
|
Стойка А
|
Стойка Б
|
|
NI = 0
NII =0
|
NI = 0
NII =0
|
4. Проектирование стоек
Материал
Бетон В25
γв2 = 1,1
(табл. 15 [1])
Rв =14,5МПа*1,1=15,95МПа (табл. 13 [1]
с учетом γв2)
Eв =27,0*103МПа (табл. 18
[1])
Арматура А-III (Ø10 ÷ 40)
Rs =Rsc =365МПа (табл. 2.2 [1])
Es =200*103МПа (табл. 29 [1])
- коэффициент приведения
;
;
где
ω=α – 0,008
Rв=0,85-0,008*15,95=0,722 (п. 3.12 [1])
α=0,85 – для тяжелого бетона
σSR=Rs=365МПа
σSc,U=400 МПа, т.к. γв2
>1,0
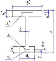
Надкрановая часть (армирование симметричное)
|
Исходные данные
|
|
Нв
|
370
|
см
|
|
hв
|
40
|
см
|
|
вк
|
40
|
см
|
|
J
|
213333
|
см4
|
|
lo
|
2,5Нв=925
|
см
|
|
i
|
0,289hв=11,56
|
см
|
Если λ=lo/I=925/11,56=80 >14, то учитываем выгиб колонны
Определение
зависимости "Ncr – As"
,
если
и φр = 1 (ф. 58)
где
Eв = МПа ·100 = Н/см2
;
As и A’s – см2 ;
lo, ho, a’ – см ;
J – см4 ; Ncr – H ;
После преобразования
формулы Ncr , получаем
;
;
;
Таблица 1
|
Показатели
|
Сочетание усилий
|
|
Мmax=23,06
кНм
|
Мmin=-49,13
кНм
|
|
N=220 кН
|
N=155,18 кН
|
|
1.
|
М , Нсм
|
2306000
|
-4913000
|
|
2.
|
N , Н
|
220000
|
155180
|
|
3.
|
, см
|
10,48
|
31,66
|
|
4.
|
Мдл , Нсм
|
234000
|
234000
|
|
5.
|
Nдл , Н
|
155180
|
155180
|
|
6.
|
|
0,5-0,01*925/40-
0,01*15,95=0,11
|
0,5-0,01*925/40-
0,01*15,95=0,11
|
|
7.
|
, (п.
3.6)
|
|
|
|
Принимаем δе
|
0,26
|
0,79
|
|
8.
|
|
|
|
|
9.
|
|
|
|
|
10.
|
где β = 1 (т.36)
|
|
|
|
11.
|
|
|
|
|
12.
|
|
|
|
|
13.
|
|
29321,3(41,08+(Аs+A’s))
|
29321,3(25,85+(Аs+A’s))
|
1) АSmin= А’Smin =μminвкho=0,002*40*34=2,72 см2
2) АSmin= А’Smin =4,02 см2
( 2 Ø16)
Принимаем по наибольшему n, Ø с ASmin = A’Smin =4,02 см2
(2Ø16)
Конструктивный расчет
по наиневыгоднейшему сочетанию (армирование симметричное)
Таблица 2
|
Показатели
|
Вычисления по сочетанию
|
|
М=-4913000Нсм;
|
|
Nсоотв= 155180Н.
|
|
1.
|
|
|
|
|
|
|
2.
|
Принимаем АS1 = A’S1= АSMIN
|
4,02см2
|
|
3.
|
Ncr (табл. 1)
Astot = AS1+ A’S1=4,02+4,02=8,04 см2
|
Ncr=29321,3,(25,85+
8,04)=993699
Н
|
|
4.
|
(ф. 19)
|
|
|
5.
|
,см
|
|
|
6.
|
|
|
|
7.
|
Проверка прочности по
другому, сочетанию, армирование АS = A’S=4,02см2
(табл. 2)
Таблица 3
|
Показатели
|
Вычисления
|
|
|
М=2306000 Н*см
|
|
|
N=220000 Н
|
|
|
1.
|
x = ξho (см)
|
|
|
|
2.
|
Ncr (табл. 1 и 2), Н
|
1440262
|
|
|
3.
|
|
|
|
|
|
4.
|
|
|
|
|
5.
|
N·e (ф. 36 п. 3.20)
|
|
|
|
6.
|
|
|
|
|
7.
|
Если п.5 ≤ п.6, то прочность обеспечена
|
5385600<11114956
Прочность обеспечена
|
|
Подкрановая часть
|
Исходные данные
|
|
Нн=
|
1805
|
см
|
|
hн=
|
120
|
см
|
|
вк=
|
40
|
см
|
|
J=
|
5760000
|
см4
|
|
lo=
|
2707,5
|
см (табл.32)
|
|
i=
|
34,68
|
см
|
λ=lo/i=2707,5/34,68=78 >14,
то учитываем выгиб
колонны.
1)АSmin= А’Smin =μminвкho=0,002*40*114=9,12 см2
2) АSmin= А’Smin 4,02 , см2 ( 2
Ø16)
Принимаем по наибольшему n, Ø с ASmin = A’Smin =9,82 см2
(2Ø25)
Таблица 4
|
Показатели
|
Сочетание усилий
|
|
Мmax=594,2
кНм
|
Мmin=-596,08
кНм
|
|
N=587,28 кН
|
N=652,08 кН
|
|
1.
|
М , Нсм
|
59420000
|
-59608000
|
|
2.
|
N , Н
|
587280
|
652080
|
|
3.
|
, см
|
|
|
|
4.
|
Мдл , Нсм
|
-344000
|
-34000
|
|
5.
|
Nдл , Н
|
587280
|
587280
|
|
6.
|
|
0,5-0,01*2707,5/120-
0,01*15,95=0,11
|
0,5-0,01*2707,5/120-
0,01*15,95=0,11
|
|
7.
|
, (п.
3.6)
|
|
|
|
Принимаем δе
|
0,84
|
0,76
|
|
8.
|
|
|
|
|
9.
|
|
|
|
|
10.
|
б где β = 1 (т.36)
|
|
|
|
11.
|
|
|
|
|
12.
|
|
|
|
|
13.
|
|
50916,7(31,61+(Аs+A’s))
|
50916,7(45,36+(Аs+A’s))
|
Конструктивный расчет
подкрановой части (армирование несимметричное)
Таблица 5
|
Показатели
|
Вычисления по сочетанию
|
|
Mmax=59420000 Н*см , Nсоотв=587280 Н
|
|
1.
|
А’S1= АSmin
|
9,82см2
|
|
2.
|
АS1= 2АSmin
|
10,33см2
|
|
3.
|
,Н
|
50916,7(31,61+(9,82+10,33))=2635448
|
|
4.
|
|
|
|
5.
|
|
|
|
6.
|
|
|
|
7.
|
Если А’S2 ≤ А’S1, то А’S2 = А’S1=9,82см
|
|
9.
|
|
|
|
10.
|
|
|
|
11.
|
|
|
|
12.
|
|
|
|
13.
|
≤ 5%,
|
|
Принимаем 2Ø28, с
Аs=12,32 см2.
Принимаем 2Ø25, с
Аs=9,82 см2.
Таблица 6
|
Показатели
|
Вычисления по сочетанию
|
|
Mmin=-59608000 Н*см , Nсоотв=652080 Н
|
|
1.
|
А’S1= АSmin
|
9,82 см2
|
|
2.
|
АS1= 2АSmin
|
10,33 см2
|
|
3.
|
,Н
|
50916,7(45,36+(9,82+10,33))=3335553
|
|
4.
|
|
|
|
5.
|
|
|
|
6.
|
|
|
|
7.
|
Т.к. А’S2 ≤ А’S1, то А’S2 = А’S1=9,82см
|
|
9.
|
|
|
|
10.
|
|
|
|
11.
|
|
|
|
12.
|
|
|
|
13.
|
≤ 5%,
|
|
Принимаем 2Ø25, с
Аs= Аs =9,82 см2.
Окончательное
конструирование продольной арматуры (п. 5.18)
Окончательное
армирование
Принимаем правую арматуру
2Ø28, с Аs=12,32 см2, левую 2Ø25, с Аs= 9,82 см2.
Проверка на ЭВМ
|
Показатели
|
Сочетание 1
|
Сочетание 2
|
|
Мmax=594,2
кНм
|
Мmin=-596,08
кНм
|
|
N=587,28 кН
|
N=652,08 кН
|
|
1.
|
Уточнение
;
|
|
|
|
2.
|
|
|
|
|
3.
|
|
|
|
|
4.
|
,
см
|

|
|
Расчет сборной
железобетонной предварительно-напряженной двутавровой балки покрытия.
1. Конструктивная схема покрытия
Покрытие представлено
ребристыми плитами шириной 3м, опирающимися продольными ребрами на двускатные
стропильные балки.
2. Предварительное конструирование балки
hmax=890+1/12(0,5L-25)=890+1/12(0,5*12000-25)=1388 мм
hx=890+1/12(x+125)=890+1/12(4329+125)=1260 мм
3. Расчетная схема
балки
l0=11,7м; x=4,329м.
Qmax=q*l0/2=32,22*11,7/2=188,5 кН
Сбор нагрузок на балку
Вид нагрузки
|
Нормат. кН/м2
|
γf
|
Расчетн кН/м2
|
Шаг колонн, В, м
|
Нормат. кН/м
|
Расчетн кН/м
|
|
I. Постоянные
|
|
|
|
|
|
|
|
1. Стяжка, пароизоляция, ковер
|
0,6
|
1,3
|
0,78
|
6
|
3,6
|
4,68
|
|
2.
Утеплитель (для отапливаемых)
|
0,4
|
1,3
|
0,52
|
2,4
|
3,12
|
|
3. Плиты покрытия
|
1,5
|
1,1
|
1,65
|
9
|
9,9
|
|
4. Балка
|
0,56
|
1,1
|
0,62
|
6
|
3,36
|
3,72
|
|
|
|
|
|
gн =18,36
|
g =21,42
|
|
II. Временные
|
|
|
|
|
|
|
|
1. Длительно-действующая
|
0,63
|
1,43
|
0,9
|
6
|
3,78
|
5,4
|
|
2. Кратковременно-действующая.
|
0,63
|
1,43
|
0,9
|
6
|
3,78
|
5,4
|
|
|
|
|
|
pн=27
|
p=37,8
|
|
|
|
|
|
qн=68,748
|
q=86,604
|
|
В том числе
|
Нагрузка от собственной
массы балки:
Вес балки нормативный, кН
–
Gб = 40,2кН,
где
Нормативная нагрузка на 1
м2 покрытия:
4. Расчет прочности
нормального сечения балки покрытия
Расчетное опасное сечение
находится на расстоянии равном приблизительно 0,37 lo.
Принимаем а’=3 см; аsp=8 см;
Бетон В25, арматура АIII, преднапрягаемая арматура АV
Определение площади
сечения напрягаемой арматуры
Определяем граничное
значение относительной высоты сжатой зоны бетона ξR (см. ф. 25 п.3,12). В этой формуле
γв2=0,9; σsp=(0,6÷0,8)Rs,ser=0,7*785=550 МПа ;
для упрощения
∆σsp=0.
sSR=RS+400-sSsp-Dssp=680+400-550-0=530 МПа
w=a-0,008*Rb=0,85-0,008*13,05=0,75
Кроме этого определяем
Определяем необходимость
постановки арматуры в сжатой зоне А’S по расчету (из предельного условия ξ=ξR ):
Т.к.A’Sтреб.< A’Smin , то A’Sтреб.=A’Smin=4,52 см2 (4 Ø12 АIII);.
Принимаем
A’S факт=4,52 см2 (4 Ø12 АIII)
Определяем положение
нейтральной оси в расчетном сечении : если
то нейтральная ось
находится в ребре, тогда
0,22≤ aR=0,4 à x=
Коэффициент γs6 определяется по п. 3,13. (формула 27), принимаем
Фактическое значение Аsp принимают по сортаменту
.
Aspфакт7,64см2 (4 Ø 18 А-V)
Арматуру размещают в
нижней полке балки с учетом конструктивных требований п.5.5 и 5.12., и
назначают размеры нижнего пояса балки. При этом без перерасчета уточняют
значения a и ho .
Проверка прочности
балки по нормальному сечению
Нейтральная ось проходит
в полке, если
,
тогда высота сжатой зоны
бетона определяется
,
Несущая способность
сечения (Нсм)
прочность сечения
обеспечена.
5. Расчет прочности наклонного
сечения балки покрытия
Задаемся Ø 10 АIII, S1=150 мм; n=2;
- учитывает влияние
сжатых полок
-
учитывает влияние продольных сил
,
кроме этого (1+φf
+ φn) ≤ 1,5
С=bпл-0,15=3-0,15=2,85 м
;
;
;
;
Проверка прочности
наклонной полосы
Где
,
β=0,01; Rв в МПа
;
;
Расчет балок покрытия
по II группе предельных состояний
1.
Назначение
величины предварительного напряжения арматуры
Исходные данные: способ
натяжения; длина натягиваемого стержня (l=12,25м) в метрах нормативное сопротивление арматуры Rsp,ser=785 МПа.
Назначаемая величина
предварительного напряжения арматуры σsp=550 МПа должна удовлетворять двум
условиям (см. п. 1.23 СНиПа)
2.
Вычисление
геометрических характеристик сечения
Исходные данные: размеры поперечного сечения балки в
наиболее напряженном месте в (см);
As=2,26 см2 ,
Asp=7,64 см2 , A’s=4,52см2, a=3см, asp=8 см , a’=3см,
Es=200000 МПа ,
Esp=190000 МПа ,
E’s=200000 МПа ,
Eв=27000 МПа ;
Коэффициенты приведения
арматуры к бетону:
Приведенная к бетону
площадь сечения:
Статический момент
приведенного сечения относительно оси проходящей по нижней грани:
Расстояние от нижней
грани сечения до его центра тяжести:
Момент инерции
приведенного сечения:
Момент сопротивления
сечения на уровне сжатой грани:
Момент сопротивления
сечения на уровне сжатой арматуры:
Момент сопротивления
сечения на уровне растянутой напряженной арматуры:
Момент сопротивления
сечения на уровне растянутой грани:
Упругопластический момент
сопротивления по нижней грани сечения:
Упругопластический момент
сопротивления по верхней грани сечения:
здесь γ=1,5 –
коэффициент упругопластичности для двутаврового сечения.
3.
Определение
потерь предварительного напряжения арматуры.
Исходные данные: тип арматуры (стержневая); способ
натяжения (механический); σsp=550 МПа, Rsp,ser785 МПа, передаточная прочность бетона Rвр=к·В=0,8*25=20 МПа, где В – класс бетона, к –
коэффициент предаточной прочности (например, при 80% предаточной
прочностик=0,8); Asp=7,64 см2; Ared=1673см2; Ws=54494,6 см3; yн=70 см; asp=8 см; Mсв н5360000
Нсм – нормативный изгибающий момент в расчетном сечении от собственного веса
балки.
При механическом способе
натяжения дополнительно
Ø (мм)=18мм -
диаметр преднапряженной арматуры;
L (мм)=13000мм - длина натягиваемого
стержня;
Esp190000 МПа.
А. Первые потери
σ1=0,1* σsp-20=0,1*550-20=35 МПа – потери от релаксации напряжений
арматуры (см. п. 1.26, табл. 5 СНиПа );
σ2=1,25*Δt=1,25*65=81,25 МПа – потери от температурного перепада (см. п. 1.26,
табл. 5 СНиПа );
σ3=
МПа –
потери деформации
анкеров, расположенных у натяжных устройств;
(см. п. 1.26, табл. 5
СНиПа );
σ4=0 – потери от трения арматуры, принимаются равным 0;
σ5=30 МПа – потери от деформации стальной формы
(см. п. 1.26, табл. 5
СНиПа );
Определяем усилие обжатия
в бетоне при обжатии в уровне центра тяжести преднапряженной арматуры:
– потери от
быстронатекающей ползучести бетона (см. п. 1.26, табл. 5 СНиПа );
Б. Вторые потери
σ7=0 – потери от релаксации напряжений арматуры,
принимаются равным
σ8=35 МПа – потери от усадки бетона
(см. п. 1.26, табл. 5
СНиПа );
Определяем усилие обжатия
с учетом первых потерь:
Определяем напряженияв
бетоне от усилия обжатия:
– потери от ползучести
бетона (см. п. 1.26, табл. 5 СНиПа );
Определяем сумму всех
потерь и усилие обжатия:
Σσi – σ1+ σ2+
σ3+ σ4+ σ5+ σ6+
σ7+ σ8+ σ9=35+81,25+66,76+0+30+8,16+0+
+35+25,31=236,37 ≥ 100 (МПа);
,
4.
Оценка
трещиностойкости верхней зоны балки при отпуске арматуры
Исходные данные:
P1=285690,2 (H); Мснв=5360000 (Нсм);
W’red =60333,3 (см3); W’pl =90500
(см3); yн=70 (см);
H=126 (см); asp=8 (см); k=0,8; Rвр,ser=k Rв,ser =14,8 (МПа);
Rвtр,ser=k Rвt,ser =1,28 (МПа);
Ared =1673 (см2); Ired=3378662,2 (см4).
Для возможной
корректировки жесткости конструкции и прогибов необходимо выполнить оценку
трещиностойкости верхней зоны балки при отпуске арматуры. Условие возникновения
верхних трещин оценивается по условию:
Где
,
- при неблагоприятном
влиянии преднапряжения
При механическом способе
натяжения
,
(см)
r’ – расстояние от центра тяжести
приведенного сечения до ядровой точки, наиболее удаленной от растянутой зоны:
, (см)
где
;
-верхних трещин нет, l1=0
5.
Оценка
трещинообразования нижней зоны балки в стадии эксплуатации
Исходные данные:
P2=239613,3 (H); h=126 (см); yн =70 (см);
asp =8 (см); Ared 1673 (см2);
Ired =3378662,2 (см4); Wred =48266,6 (см3); Wpl =72400 (см3); As =2,26 (см2); Asp= 7,64 (см2); A’s =4,52 (см2);
Rв,ser =18,5 (МПа); Rвt,ser 1,6 (МПа); М н=41350000
(Нсм);
К трещиностойкости балки
предъявляют требования 3-ей категории (п. 1.16 СНиПа). Расчет по образованию
трещин производят на действие полных нормативных нагрузок. Расчет заключается в
проверке условия:
- при благоприятном
влиянии преднапряжения
-
см. п. 4
еор - см. п. 4
41350000<31175984,2 – нижние трещины.
6.
Определение
раскрытия трещин в нижней зоне
Исходные данные:
b=8 (см); вf=20 (см); в’f =35 (см);
h0 =118 (см); hf =13 (см);
h’f =15 (см);
а=3 (см); аsp =8 (см); а’ =3 (см);
Esp =190000 (МПа);
Es =200000 (МПа);
E’s =200000 (МПа);
Asp
=7,64 (см); As =2,26 (см);
A’s
=4,52 (см);
Rв,ser =18,5 (МПа); P2 =239613,3 (H);
γsp1 = 0,9;
Выполняют расчеты по
непродолжительному раскрытию трещин на действие полных нормативных нагрузок и
по продолжительному раскрытию на действие постоянных и временных нормативных
нагрузок (п. 4.14 СНиПа).
Расчет сводится к
проверке условий трещиностойкости:
Здесь
- приращение ширины раскрытия от
действия кратковременных нагрузок;
-
ширина продолжительного раскрытия трещин.
Предельно допустимые
значения
,
,
указаны в табл. 2 СНиПа.
Параметры
,
, и
, рассчитывают по следующему алгоритму:
При определении
принимают М=М н ; φе=1;
ν=0,45.
При определении
принимают М=Мдлн
; φе=1; ν=0,45.
При определении
принимают М=Мдлн
; φе=1,6-15
; ν=0,15.
;
;
;
;
;
;
;
Плечо внутренней пары сил
ф-ла (166,)[1]
Напряжения в растянутой
арматуре ф-ла (147), [1]
Вычисляем ширину
раскрытия трещин: [1, п.4.14]
(ф. 144)
;
;
;
;
;
;
;
Плечо внутренней пары сил
ф-ла (166,)[1]
Напряжения в растянутой
арматуре ф-ла (147), [1]
Вычисляем ширину
раскрытия трещин: [1, п.4.14]
(ф. 144)
;
;
;
;
;
;
;
Плечо внутренней пары сил
ф-ла (166,)[1]
Напряжения в растянутой
арматуре ф-ла (147), [1]
Вычисляем ширину
раскрытия трещин: [1, п.4.14]
(ф. 144)
7.
Мероприятия по
обеспечению прочности и трещиностойкости опорного участка
Согласно п. 5.58 СНиПа у
торцов балки предусматривают дополнительную ненапрягаемую арматуру, т. к.
напрягаемая продольная арматура сосредоточена у нижней грани. Площадь сечения
одного стержня поперечной арматуры класса А-III равна:
,
где n – число стержней (4 или 6), надежно
закрепленных приваркой к опорным деталям.
Принимаем стержень
Ø10мм, Аs=0,785см2.
У концов балки устанавливают
дополнительную косвенную арматуру (сетки или хомуты с шагом 5 – 10 см, охватывающие все напрягаемые продольные стержни) на длине участка не менее 0,6 lp=21,6см и 20 см (п. 5.61).
0,6*lp =0,6*25,4=15,2<20 см, то Принимаем длину участка равной 20см.
8.
Армирование балки
Ребро балки армируют
двумя вертикальными каркасами из расчетных поперечных стержней (п. 5.27),
объединенных продольными стержнями .
Верхнюю полку армируют
горизонтальным каркасом, состоящим из двух продольных стержней Ø12 А-III и гнутых поперечных стержней
Ø5 Вр-I, расположенных с шагом 20 см.
Нижнюю полку армируют
замкнутыми хомутами Ø5 Вр-I, с
шагом не менее 2 hf Хомуты связаны в
пространственные каркасы продольной арматурой Ø5 Вр-I.
Балка имеет закладные
детали для крепления плит покрытия. Подъем балки осуществляют с помощью
специальных захватов, для чего в ней предусмотрены монтажные отверстия.
Литература
1.
СНиП 2.03.01-84*
Бетонные и железобетонные конструкции. М, 1989г.
2.
СНиП 2.01.07-85
Нагрузки и воздействия.; М, 1986.
3.
Улицкий И,И,
Железобетонные конструкции. Киев, 1973г.
4.
Методические указания
по применению ЭВМ в курсовом проекте.