Инженерные системы
Министерство образования и науки
Республики Казахстан
Карагандинский государственный
технический университет
УЧЕБНО-МЕТОДИЧЕСКИЙ КОМПЛЕКС
ДИСЦИПЛИНЫ
ПРЕПОДАВАТЕЛЯ
по дисциплине «Инженерные системы 1»
для студентов специальности 050420
«Архитектура»
Факультет «Инженерно-строительный»
Кафедра «Технологии строительного
производства и
архитектуры»
2008
Предисловие
Учебно-методический комплекс дисциплины преподавателя разработан:
канд.техн.наук, доцентом Эповым Георгием Клеонниковичем, преподавателем
Рожковым Андреем Владимировичем, ассистентом Ким Ларисой Борисовной
Обсужден на заседании кафедры «ТСПиА»
Протокол № ______от «______»________2008 г.
Зав. кафедрой_____________ «____»________2008 г.
Одобрен методическим бюро факультета инженерно-строительного
Протокол № ______от «______»________2008 г.
Председатель_______________ «____»________2008 г.
1 Рабочая учебная программа
1.1 Сведения о преподавателе и контактная информация
Эпов Георгий Клеонникович, канд.техн.наук, доцент, Рожков Андрей
Владимирович преподаватель, Ким Лариса Борисовна ассистент
Кафедра «ТСПиА» находится в 1 корпусе КарГТУ
(Бульвар-Мира 56), аудитория 178, контактный телефон - 56-59-32 вн.239
1.2 Трудоемкость дисциплины
|
Форма обучения
|
Семестр
|
Количество кредитов
|
Вид занятий
|
Количество часов СРС
|
Общее количество часов
|
Форма контроля
|
|
|
|
количество контактных часов
|
Коли- чество
часов СРСП
|
Все го ча- сов
|
|
|
|
|
|
|
лекции
|
практические занятия
|
лабора торные
занятия
|
|
|
|
|
|
|
очное
|
5
|
3
|
15
|
30
|
-
|
45
|
90
|
45
|
135
|
экз
|
|
зао., полн.
|
4
|
3
|
10
|
6
|
-
|
119
|
90
|
|
|
экз., (к.р)
|
|
ФАО
|
2
|
3
|
15
|
30
|
-
|
45
|
90
|
45
|
|
экз.
|
1.3 Характеристика дисциплины
Дисциплина «Инженерные системы 1» является базовой дисциплиной при
изучении инженерных сетей и оборудования зданий
1.4 Цель дисциплины
Целью изучения данной дисциплины является получение знаний в области
создания систем теплоснабжения, водоснабжения, канализации и вентиляции
1.5 Задачи дисциплины
Задачи дисциплины следующие:
Изучить теоретические основы водоснабжения, канализации
тепло-газоснабжения и вентиляции, получить практические навыки по их расчету и
проектированию.
В результате изучения данной дисциплины студенты должны:
иметь представление о: инженерных системах зданий и сооружений,
параметрах инженерных систем, свойствах жидкости как рабочего тела инженерных систем,
законах и понятиях гидростатики и гидродинамики рабочего тела;
знать: характеристику инженерных систем, свойства жидкости и газа, законы
гидростатики и гидродинамики;
уметь: применять законы гидростатики и гидродинамики при проведении
расчетов инженерных систем;
приобрести практические навыки: по определению параметров инженерных
систем, расчету магистральных трубопроводов, воздуховодов и движению жидкости в
открытых руслах.
1.6 Пререквизиты
Для изучения данной дисциплины необходимо усвоение следующих дисциплин (с
указанием разделов (тем)):
|
Дисциплина
|
Наименование разделов (тем)
|
|
1 Математика
|
Дифференциальное и
интегральное исчисления.
|
|
2 Физика
|
Законы гидравлики и
гидростатики
|
|
3 Строительные материалы
|
Физические и механические
свойства материалов
|
1.7 Постреквизиты
Знания, полученные при изучении дисциплины «Инженерные системы 1»
используются при освоении следующих дисциплин: «Технология строительного
производства», «Архитектурная физика», «Инженерное благоустройство и
транспорт».
1.8 Содержание дисциплины
1.8.1 Содержание дисциплины по видам занятий и их
трудоемкость
|
Наименование раздела,
(темы)
|
Трудоемкость по видам
занятий, ч.
|
|
лек ции
|
практи ческие
|
лабора торные
|
СРСП
|
СРС
|
|
1. Системы водоснабжения.
Классификация, нормы водопотребления, расчет потребности в воде
|
1
|
|
|
3
|
3
|
|
2. Проектирование и расчет
системы внутреннего водоснабжения здания
|
2
|
8
|
|
6
|
6
|
|
3. Инженерное оборудование
зданий. Насосы, насосные станции
|
2
|
|
|
6
|
6
|
|
4. Системы водоотведения,
проектирование и расчет
|
2
|
8
|
|
6
|
6
|
|
5. Теплопередача, закон
Фурье, теплопроводность, конвекция, излучение
|
2
|
|
|
6
|
6
|
|
6. Теплопередача через сложную стенку
|
1
|
|
|
3
|
3
|
|
7. Общие сведения об отоплении и требования к системе
отопления
|
1
|
|
|
3
|
3
|
|
8 Системы водяного
отопления. Системы парового отопления.
|
2
|
8
|
|
6
|
6
|
|
9. Естественная вентиляция,
аэрация зданий. Системы механической вентиляции
|
1
|
6
|
|
3
|
3
|
|
10 Газоснабжение
|
1
|
|
|
3
|
3
|
|
Итого
|
15
|
30
|
|
45
|
45
|
1.8.2 Тематика курсовых работ (проектов)
Курсовой проект по дисциплине не предусмотрен.
1.9 Список основной литературы
1. Калицун В.И., Кедров В.С. и др.
Основы гидравлики, водоснабжения и канализации.-М: Строиздат,1980-359с. илл.
2. Прозоров И.В., Николадзе
Г.И., Минаев А.В. Гидравлика, водоснабжение и канализация.-М: Высшая
школа,1990-448с
3. Внутренние санитарно-технические
устройства в 3 ч. ч.2. Водовод и канализация под ред И.Г.Староверова и
Ю.И.Шиллера-М.:1990-247с.
4. Тихомиров К.В., Сергиенко З.С.
Теплотехника, теплогазоснабжение и вентиляция: Учебник для вузов. - М.:
Стройиздат, 1991. - 475 с., ил.
5. Внутренние санитарно-технические
устройства в 3 ч. Ч.1. Отопление. Ю.Н.Саргин и др. / Под редакцией
И.Г.Староверова и Ю.И.Шиллера. 4-е изд. - М.: Стройиздат, 1989. - 346 с., ил.
(Спр. Проект.)
6. Богословский В.Н., Сканави А.Н.
Отопление. Учебник для вузов. - М.: Стройиздат, 1991. - 735 с., ил.
7. Ю.М.Варфоломеев, О.Я.Кокорин
Отопление и тепловые сети:Учебник.-М.:ИНФРА-М, 2006.-480с.
8. Грудзинский М.М., Ливчак
В.И., Поз М.Я. Отопительно-вентиляционные системы повышенной
этажности.-М.:Стройиздат, 1982
1.10 Список дополнительной литературы
1. СНиП 3.05.01-85 Внутренние санитарно-технические системы
2. СНиП 2.04.01-85 Внутренний водопровод и канализация
здания
3. СНиП РК 4.01-02-2001 Водоснабжение. Наружные сети и
сооружения
4. СНиП 2.04.03-85 Канализация. Наружные сети и
сооружения
5. Кострюков В.А. Примеры расчета по
отоплению и вентиляции.ч.1 Отопление-М.:Стройиздат, 1964.-199с.
6. СНиП 41-01-2003. Отопление,
вентиляция и кондиционирование.-М:ФГУП ЦПП, 2004
7. СНиП 23-01-99*. Строительная
климатология.- М.: ГУП ЦПП, 2003
1.11 Критерии оценки знаний студентов
Экзаменационная оценка по дисциплине определяется как сумма максимальных
показателей успеваемости по рубежным контролям (до 50%) и итоговой аттестации
(экзамену) (до 50%) и составляет значение до 100% в соответствии с таблицей.
|
Оценка по буквенной системе
|
Баллы
|
% - ное содержание
|
Оценка по традиционной
системе
|
|
1
|
2
|
3
|
4
|
|
А цифровой эквивалент
|
4,0
|
95-100
|
Отлично
|
|
А-
|
3,67
|
90-94
|
|
|
В+
|
3,33
|
85-89
|
Хорошо
|
|
В
|
3,0
|
80-84
|
|
|
В-
|
2,67
|
75-89
|
|
|
С
|
2,33
|
70-74
|
Удовлетворительно
|
|
С-
|
2,0
|
65-69
|
|
|
С-
|
1,67
|
60-64
|
|
|
D+
|
1,33
|
55-59
|
|
|
D
|
1,0
|
50-54
|
|
|
F
|
0
|
0-49
|
Неудовлетворительно
|
|
Z
|
0
|
0-29
|
Неудовлетворительно
|
Рубежный контроль проводится на 5-й, 10-й и 15-й неделях обучения и
складывается исходя из следующих видов контроля:
|
Вид контроля
|
%-ное содержание
|
Академический период
обучения, неделя
|
Итого, %
|
|
|
1
|
2
|
3
|
4
|
5
|
6
|
7
|
8
|
9
|
10
|
11
|
12
|
13
|
14
|
15
|
|
|
Посещаемость
|
0,33
|
*
|
*
|
*
|
*
|
*
|
*
|
*
|
*
|
*
|
*
|
*
|
*
|
*
|
*
|
*
|
5
|
|
Практические занятия
|
1,33
|
*
|
*
|
*
|
*
|
*
|
*
|
*
|
*
|
*
|
*
|
*
|
*
|
*
|
*
|
*
|
20
|
|
СРСП
|
0,66
|
*
|
*
|
*
|
*
|
*
|
*
|
*
|
*
|
*
|
*
|
*
|
*
|
*
|
*
|
*
|
10
|
|
СРС
|
0,66
|
*
|
*
|
*
|
*
|
*
|
*
|
*
|
*
|
*
|
*
|
*
|
*
|
*
|
*
|
*
|
10
|
|
Рубежный контроль (модуль)
|
5
|
|
|
|
|
*
|
|
|
|
|
*
|
|
|
|
|
*
|
15
|
|
Экзамен
|
|
|
|
|
|
|
|
|
|
|
|
|
|
|
|
|
40
|
|
Всего
|
|
|
|
|
|
|
|
|
|
|
|
|
|
|
|
|
100
|
1.12 Политика и процедуры
При изучении дисциплины «Инженерные системы 1» прошу соблюдать следующие
правила:
1. Не опаздывать на занятия.
2. Не пропускать занятия без уважительной причины, в случае болезни
прошу предоставлять справку, в других случаях - объяснительную записку.
3. Активно участвовать в учебном процессе.
4. Быть терпимыми, открытыми, откровенными и доброжелательными к
сокурсникам и преподавателям.
1.13 Учебно-методическая обеспеченность дисциплины
|
Ф.И.О
|
Наименование учебно-
методической литературы
|
Издательство, год издания
|
Количество экземпляров
|
|
|
|
в библиотеке
|
на кафедре
|
|
Основная литература
|
|
1. Калицун В.И., Кедров
В.С. и др
|
Основы гидравлики,
водоснабжения и канализации
|
М: Строиздат,1980
|
30
|
3
|
|
2. Прозоров И.В., Николадзе
Г.И., Минаев А.В.
|
Гидравлика, водоснабжение и
канализация
|
М: Высшая школа,1990
|
20
|
2
|
|
3.И.Г.Староверова и
Ю.И.Шиллера-.
|
Внутренние
саниатрно-технические устройства. ч.2. Водовоснабжение и канализация
|
М.:1990-247с
|
5
|
2
|
|
4 Богословский В.Н.,
Сканави А.Н
|
Отопление. Учебник для
вузов
|
М.: Стройиздат, 1991. - 735
с., ил
|
30
|
|
5.Ю.М.Варфоломеев,
О.Я.Кокорин.
|
Отопление и тепловые сети:
Учебник
|
М.:ИНФРА-М, 2006.-480с.
|
25
|
1
|
|
6. Грудзинский М..М.,
Ливчак В.И., Поз М. Я.
|
Отопительно-вентиляционные
системы повышенной этажности
|
М.:Стройиздат, 1982
|
25
|
1
|
|
Дополнительная литература
|
|
7.СНиП РК 4.01-02-2001
|
Водоснабжение. Наружные
сети и сооружения
|
ЦИТП Госстрой 1986
|
1
|
2
|
|
8.СНиП 2.04.03-85
|
Канализация. Наружные сети
и сооружения
|
ЦИТП Госстрой 1986
|
5
|
2
|
|
9. СНиП 2-01-01-82
|
. Строительная климатология
и геофизика
|
ЦИТП Госстрой 1986
|
10
|
1
|
|
9. Кострюков В.А. -
|
Примеры расчета по
отоплению и вентиляции.ч.1 Отопление
|
М.:Стройиздат, 1964.-199с
|
10
|
1
|
|
10.СНиП 3.05.01-85
|
Внутренние
санитарно-технические системы
|
ЦИТП Госстрой 1986
|
5
|
2
|
|
|
|
|
|
|
|
|
2 График выполнения и сдачи заданий по дисциплине
|
Вид контроля
|
Цель и содержание задания
|
Рекомендуемая литература
|
Продолжи тельность
выполнения
|
Форма контроля
|
Срок сдачи
|
|
Аттестация
|
Расчет системы внутреннего
водоснабжения
|
1-3
|
2 часа
|
контрольная
|
5 неде ля
|
|
Аттестация
|
Расчет теплопотерь через
ограждающие конструкции
|
4-6
|
2 часа
|
контрольная
|
10-ая неделя
|
|
Аттестация
|
Расчет воздуховодов систем
вентиляции
|
4-6
|
2 часа
|
контрольная
|
15 неде ля
|
3 Конспект лекции
Лекция 1
Тема: Системы водоснабжения. Классификация, нормы потребления, расчет
потребности в воде (1 час)
План лекции
1.Классификация систем водоснабжения.
2.Нормы водоснабжения и требования к качеству воды.
3.Расчет потребности в воде.
Система водоснабжения - это комплекс инженерных
сооружений, предназначенных для забора воды из источника водоснабжения, ее
очистки, хранения и подачи к потребителям.
Системы водоснабжения классифицируют по ряду
признаков.
По виду обслуживаемого объекта системы водоснабжения
делят на городские, поселковые, промышленные, сельскохозяйственные,
железнодорожные и пр.
По назначению системы водоснабжения (или водопроводы)
подразделяют на хозяйственно-питьевые, предназначенные для подачи воды, на
хозяйственные и питьевые нужды населения и работников предприятий;
производственные, снабжающие водой технологические цехи; противопожарные,
обеспечивающие подачу воды для тушения пожаров.
Часто устраивают объединенные системы водоснабжения:
хозяйственно-противопожарные, производственно-противопожарные или
хозяйственно-производственно-противопожарные. Так, в городах и поселках обычно
устраивают единый хозяйственно-противопожарный водопровод. На промышленных
предприятиях, как правило, сооружают два раздельных водопровода -
производственный и хозяйственно-противопожарный. Объединенный
производственно-хозяйственно-противопожарный водопровод устраивают тогда, когда
для технологических нужд предприятия требуется небольшое количество воды
питьевого качества. На некоторых промышленных предприятиях устраивают
специальные противопожарные водопроводы.
Системы водоснабжения могут обслуживать как один
объект, например город или промышленное предприятие, так и несколько объектов.
В последнем случае эти системы называют групповыми. Систему водоснабжения,
обслуживающую несколько крупных объектов, расположенных на значительном
расстоянии друг от друга, называют районной системой водоснабжения или районным
водопроводом. Небольшие системы водоснабжения, обслуживающие одно здание или
небольшую группу компактно расположенных зданий из близлежащего источника,
называют обычно местными системами водоснабжения.
В случаях, когда отдельные части территории имеют
значительную разницу -в отметках, устраивают зонные системы
водоснабжения. При таком рельефе местности насосы должны поддерживать в
наружной сети для высоко расположенных участков высокое давление, которое не
нужно для низко расположенных участков (обычно в наружной сети при шести -
восьмиэтажной застройке поддерживается давление не более 6 атм). В связи с этим
водопроводную сеть разбивают на зоны, для каждой из которых устанавливают напор
требуемой величины.
Нередко для производственных целей требуется подача
воды различного качества и под разными напорами. В этом случае устраиваются две
самостоятельные сети или даже несколько сетей.
Вода, использованная в технологическом процессе,
подается в канализационную сеть и после соответствующей очистки сбрасывается в
водоем ниже по течению.
На ряде промышленных предприятий (химические,
нефтеперерабатывающие, металлургические заводы, ТЭЦ и пр.) вода применяется для
целей охлаждения и почти не загрязняется, а только нагревается. Такую
производственную воду, как правило, используют вновь, предварительно охладив
ее.
Нормой водопотребления называют количество воды,
расходуемой на определенные нужды в единицу времени или на единицу
вырабатываемой продукции.
Следует различать нормы хозяйственно-питьевого
водопотребления в населенных местах и на промышленных предприятиях.
В населенных пунктах нормы хозяйственно-питьевого
водопотребления назначаются по СНиП в зависимости от степени благоустройства
жилых районов и климатических условий.
Меньшие значения норм водопотребления относятся к
районам к районам с теплым климатом. Д крупных городов и курортов принимаются
повышенные, специально обоснованные нормы.
На промышленных предприятиях вода расходуется рабочими
и служащими на хозяйственно-питьевые нужды и для душей. Нормы водопотребления
для хозяйственно-питьевых целей на промышленных предприятиях следует принимать
согласно СНиП. Количество воды, подаваемой для душей, определяется из условия,
что часовой расход воды на одну душевую сетку составляет 500 л (продолжительность
пользования душем 45 мин после окончания смены). Количество душевых
сеток определяется по проектам внутренних водопроводов, а при их отсутствии в
зависимости от количества работающих и вида производства.
Нормы потребления воды для производственных нужд.
Многие отрасли промышленности (химическая, текстильная, металлургическая и др.)
расходуют значительные количества воды. Обычно устанавливают нормы расходования
воды на единицу вырабатываемой продукций (1 т металла, 1 т волокна,
1 т хлеба и т. д.). Эти нормы разрабатываются технологами
соответствующих производств с учетом принятой технологии.
Нормы потребления воды для тушения пожаров. Эти нормы
также устанавливают по СНиП. Расчетный расход воды для тушения пожаров в
населенных местах определяют по таблице II.3 [1], а на промышленных предприятиях - по таблице II.4 [1]. Для промышленного предприятия
определяют расходы воды для тушения пожаров в отдельных зданиях. За расчетный
принимают наибольший расход.
Водопровод должен быть рассчитан так, чтобы пропускная
способность его сооружений была достаточна в течение всего расчетного срока его
действия. За расчетный принимают расход в часы максимального водоразбора
суток с наибольшим водопотреблением.
Расчетный расход хозяйственно-питьевого
водопотребления населенного места определяют по формуле
где q-
среднесуточная норма водопотребления на одного жителя в л;
N - расчетное число жителей;
86 400- число секунд в
сутках.
Расчетный расход воды на
производственные нужды принимается по данным технологов.
Контрольные вопросы:
1 Как предохранить водонапорные трубы внутренней
разводки от конденсата?
2 Критическое значение числа Рейнольдса для воды:
3 Что такое диктующий прибор в расчетной схеме
водоснабжения здания?
Рекомендуемая литература
1. Калицун В.И., Кедров В.С. и др. Основы гидравлики,
водоснабжения и канализации.-М: Строиздат,1980-359с. илл.
2. Прозоров И.В., Николадзе Г.И., Минаев А.В.
Гидравлика, водоснабжение и канализация.-М: Высшая школа,1990-448с.
Лекция 2
Тема: Проектирование и расчет системы внутреннего водоснабжения здания (2
часа)
План лекции
1. Основные положения проектирования системы внутреннего водоснабжения
2. Аксонометрическая схема водоснабжения
3. Гидравлический расчет
Для выбора системы водопровода необходимо установить:
обеспеченность здания напором, потребность в регулирующей емкости. Если
гарантийный напор больше или равен требуемому напору для здания, то
повысительного насоса при этом не требуется.
Ввод водопровода прокладывают под прямым углом к стене
здания с наименьшей длиной, в среднюю часть здания или подземную пристройку к
зданию, где размешают повысительные насосы. Диаметр ввода определяют расчетом.
При устройстве ввода применяют чугунные трубы диаметром 50, 100 мм и более или
стальные оцинкованные при диаметре ввода менее 50 мм. Глубину заложения ввода с
уклоном от здания принимают с учетом глубины заложения труб городского
водопровода и глубины промерзания грунта. Ввод водопровода располагают выше
труб канализации на расстоянии в плане не менее 1,5 м друг от друга. К городскому
водопроводу ввод присоединяется с применением запорной арматуры, тройника или
седёлки.
Водомерный узел располагают непосредственно за
наружной стеной подвала в помещении с температурой воздуха не ниже +2о
С. Внутреннюю водопроводную сеть проектируют из стальных водо-газопроводных
оцинкованных труб с уклоном 0,005 к водомерному узлу. Стояки водопровода
располагают в санузлах, кухнях (вблизи мест потребления воды). Трубы
целесообразно прокладывать в каналах, бороздах, санитарно-технических кабинах.
Водопроводные стояки должны иметь нумерацию. Магистраль водопровода соединяет
стояки с водомерным узлом и прокладывается по стенам и колоннам.
Поливочные краны (через 60-70 м по периметру здания)
для поливки прилегающей территории показывают на плане подвала и на
аксонометрической схеме сети, предусматривая опорожнение подводок на зиму.
Подводки от стояков к водозаборной арматуре целесообразно прокладывать по
стенам на 0,15-0,25 м выше пола.
Аксонометрическая схема водопроводной сети и ввода
вычерчивается в масштабе поэтажного плана и является расчетной схемой. Если
подводки к водоразборным точкам на всех этажах одинаковы, то достаточно их
показать только для одного (верхнего) этажа. На остальных этажах показывают
ответвления от стояков. Дальний прибор на самом удаленном от ввода стояке
является диктующим прибором.
Гидравлический расчет водопроводной сети выполняют по
участкам расчетного направления от диктующего водоразборного устройства до
места присоединения ввода к наружной сети.
В пределах расчетного участка расход воды и диаметр
трубы не меняются. При выборе диктующего водоразборного устройства следует
учитывать величину свободного (рабочего) напора, высоту.
Расчетные расходы воды определять по методике СНиП
2.04.01-85*. Весь расчет, как правило представляется в табличной форме. При
этом следует учесть, что гидравлический расчет сетей внутренних водопроводов
холодной воды необходимо производить по максимальному секундному расходу воды (q, л/с). В жилых и общественных
зданиях, по которым отсутствуют сведения о расходах воды и технических
характеристиках санитарно-технических приборов, СНиП допускает принимать
Сети объединенного
хозяйственно-противопожарного и производственно-противопожарного водопроводов
должны быть проверены на пропуск расчетного расхода воды, пожаротушения при
наибольшем расходе ее на хозяйственно-питьевые и производственные нужды, при
этом расход воды на пользование душами, мытье полов, поливку территорий не
учитывается. Скорость движения воды в трубопроводах при этом не должна
превышать 3 м/с, в синклерных и дренчерных системах - 10 м/с. Диаметры
трубопроводов водоразборных стояков в секционном узле следует выбирать по
расчетному расходу в стояке с коэффициентом 0,7.
Потери напора на участках
трубопроводов определяются по
H=il(1+kl)
Значение kl следует
принимать:
0,3 - в сетях
хозяйственно-питьевого водопроводов жилых и общественных зданий;
0,2 - в сетях объединенных
хозяйственно-противопожарных водоводов и производственных;
0,15 - в сетях объединенных производственных
противопожарных водоводов;
0,1 - в сетях противопожарных
водоводов.
Контрольные вопросы:
1 Глубина заложения
водопроводной сети (Н3) в зависимости от глубины промерзания грунта
(Нп):
2 Максимальное давление на
которое испытываются системы внутреннего водопровода
3 Отчего
зависит коэффициент местных сопротивлений?
4 Основной расчетный параметр инженерных сетей:
Рекомендуемая литература
1. Калицун В.И., Кедров В.С. и др. Основы гидравлики,
водоснабжения и канализации.-М: Строиздат,1980-359с. илл.
2. Прозоров И.В., Николадзе Г.И., Минаев А.В.
Гидравлика, водоснабжение и канализация.-М: Высшая школа,1990-448с.
3.СНиП РК 4.01-02-2001 Водоснабжение. Наружные сети и сооружения
Лекция 3
Тема: Инженерное оборудование зданий. Насосы, насосные станции
(2 часа)
План лекции
1.Общие понятия о преобразовании гидравлической
энергии.
2.Объемные гидромеханизмы.
3. Гидродинамические передачи.
4. Контрольно распределительная арматура насосных
станций.
Особенностью энергии потока жидкости является возможность ее
преобразования в механическую энергию и наоборот - преобразование механической
энергии в энергию потока жидкости, но необходимо отметить, что преобразование
потенциальной энергии и кинетической (скоростного напора) происходят отдельно в
каждом виде преобразователей. Механизмы, в которых преобразованию подвергается
потенциальная энергия потока жидкости называются объемными гидромашинами
(силовые и моментные гидравлические пневмоцилиндры, шестеренные, поршневые,
пластинчатые и винтовые машины). Если преобразованию подвергается кинетическая
энергия потока жидкости, то механизмы преобразования называются
гидродинамическими передачами (центробежные, вихревые насосы, эрлифты, струйные
насосы, гидромуфты и гидротрансформаторы).
Особенностью объемных машин является то, что процесс
всасывания-нагнетания жидкости связан с изменением внутреннего рабочего объема
и давления внутри него. При увеличении внутреннего объема в нем возникает
разряжение и за счет внешнего атмосферного давления происходит всасывание
жидкости, при уменьшении объема жидкость сжимается, давление в ней возрастает и
происходит процесс нагнетания жидкости. Наиболее характерным объемным насосом
является поршневой, в котором возвратно-поступательное движение поршня создает
основу для рабочего процесса. Однако поршневая пара весьма чувствительна к
свойствам перекачиваемой жидкости и для воды неприменима. Менее чувствительны к
свойствам перекачиваемой жидкости шестеренные, пластинчатые и винтовые насосы,
но и в этом случае отрицательное влияние воды на рабочие поверхности и
внутренние каналы ограничивает возможность их применения в системах
водоснабжения. Для перемешения воды наиболее применимы гидродинамические
механизмы. Наиболее простым образцом которых являются водоструйные насосы
(гидроэлеваторы). Действие струйных насосов основано на вовлечении и
движении частиц транспортируемой жидкости частицами рабочей жидкости,
движущейся с большей скоростью. К струйным насосам относятся эжекторы,
инжекторы и гидроэлеваторы. В инжекторах в качестве рабочей среды используется
водяной пар.
Гидроэлеваторы применяют для подъема воды из колодцев,
траншей и т. д., а также для транспортирования неоднородных сред в виде пульп.
В зависимости от области применения гидроэлеваторы имеют различное
конструктивное оформление.
Коэффициент полезного действия водоструйных насосов не
превышает 0,25-0,3, в связи с чем их используют на небольших установках
периодического действия.
Наиболее широко в водоснабжении применяют центробежные насосы,
характеризующиеся надежностью, относительной конструктивной простотой,
удобством в эксплуатации.
Центробежные насосы можно классифицировать по напору, числу колес,
расположению вала, назначению и пр.:
по напору - низконапорные (до 2 МПа), средненапорные
(0,2-0,6 МПа) и высоконапорные (более 0,6 Мпа);
по способу отвода воды из рабочего колеса в напорный
трубопровод - спиральные и турбинные;
по расположению вала - горизонтальные и вертикальные;
по характеру перекачиваемой жидкости - водопроводные, канализационные,
кислотные, песковые, грязевые и др.
Основной рабочий орган центробежного насоса - рабочее колесо с лопатками,
расположенное внутри корпуса на валу. Лопатки рабочего колеса изогнуты в
сторону, противоположную направлению вращения колеса. Корпус насоса соединен со
всасывающим и нагнетательным трубопроводами. Перед пуском насоса в работу
корпус его и всасывающий трубопровод заполняют жидкостью. При вращении рабочего
колеса жидкость, находящаяся в корпусе между лопатками, под действием
центробежной силы отжимается к периферии, переходит в спиральную камеру и затем
в напорный трубопровод. В центре насоса перед входом в рабочее колесо возникает
пониженное давление, и жидкость под действием атмосферного давления поступает
из всасывающего трубопровода в насос.
Высота всасывания и напор, развиваемый насосом. Для обеспечения
нормальной работы центробежных насосов необходимо, чтобы разрежение в их
патрубке не превышало определенной допустимой вакуумметрической высоты
всасывания, которая зависит от особенностей их конструкции, частоты вращения
рабочего колеса и др. Допустимая вакуумметрическая высота всасывания приводится
в каталогах, обычно она не превышает 8,5м.
Различают геометрическую высоту всасывания и вакуумметрическую высоту
всасывания. Геометрическая высота всасывания определяется как разность отметок
оси колеса и уровня воды в источнике. Вакуумметрическая высота всасывания
представляет собой сумму геометрической высоты всасывания, потерь напора во
всасывающем трубопроводе и скоростного напора на входе в насос. Она не должна
превышать допустимую вакуумметрическую высоту всасывания для насоса данного
типа.
Полный напор Н, создаваемый центробежным насосом складывается из
геометрической высоты всасывания Нг.в., геометрической высоты
нагнетания Нг.н., потерь напора во всасывающем трубопроводе hнв, потерь напора в напорном
трубопроводе hп.н. и разности скоростного напора на
входе и выходе из насоса.
Вихревые насосы благодаря парному кольцевому вихревому движению жидкости
под действием лопастей рабочего колеса внутри корпуса в состоянии развивать
напор в 2-4 раза больший, чем напор центробежных насосов при одном и том же
диаметре колеса. Это позволяет существенно уменьшить габариты и массу насоса.
Серийно выпускаемые насосы имеют подачу 1-40 м3/ч при напорах 15-90
м. Достоинством вихревых насосов является их самовсасывающая способность,
исключающая необходимость заливки перекачиваемой жидкостью корпуса и
всасывающей линии перед пуском; недостаток их - невысокий КПД, равный 0,25-0,5
Современные насосные станции систем водоснабжения обычно оснащаются
центробежными насосами, позволяющими создать большее давление в сети. В
качестве контрольно-распределительной аппаратуры применяются предохранительные
и обратные клапана, вентили, задвижки, воздушные колпаки (для предохранения от
гидроудара), манометры и счетчики воды. В насосной станции всегда должна быть
предусмотрена резервная группа насосов включающихся в аварийном режиме.
Необходимый расход воды в насосной станции должен обеспечиваться несколькими
насосами, что позволяет регулировать подачу воды в часы максимального
водопотребления. Соединение насосов в насосной группе может быть параллельным и
последовательным. В первом случае повышается суммарный расход, во втором случае
рабочий напор.
Контрольные вопросы
1 Как определяется величина давления развиваемого центробежным насосом
2 Способ устранения распространения шума от насоса по
трубопроводам:
3 Какие насосы находят наибольшее применение в
инженерных сетях?
4 Какая принципиальная схема насоса позволяет получить максимальный КПД
по расходу
Рекомендуемая литература
1. Калицун В.И., Кедров В.С. и др. Основы гидравлики,
водоснабжения и канализации.-М: Строиздат,1980-359с. илл.
2. Прозоров И.В., Николадзе Г.И., Минаев А.В.
Гидравлика, водоснабжение и канализация.-М: Высшая школа,1990-448с.
Лекция 4
Тема: Системы водоотведения. Проектирование и расчет. (2 часа)
План лекции
1.Особенности систем водоотведения (канализации).
2.Сточные воды, понятие и классификация.
3. Расчет системы водоотведения.
Вода, которая была использована для различных нужд и получила при этом
дополнительные примеси (загрязнения), изменившие ее химический состав или
физические свойства называется сточной жидкостью (стоками) и является объектом
водоотведения. В зависимости от происхождения стоки подразделяются на бытовые
(хозяйственно-фекальные), производственные (промышленные) и атмосферные.
Состав бытовых сточных вод более или менее однообразен. Он
характеризуется содержанием, в основном, органических загрязнений в
нерастворенном, коллоидном и растворенном состояниях. Концентрация загрязнений
зависит от степени разбавления их водопроводной водой, т.е. от нормы
водопотребления.
Производственные сточные воды образуются в результате загрязнения
водопроводной воды в процессе использования ее в производстве. Производственные
сточные воды делятся на загрязненные и условно чистые.
Состав и концентрация загрязнений производственных сточных вод весьма
разнообразны, так как они зависят от характера производства, выпускаемой
продукции и особенностей технологического процесса.
Некоторые производства дают несколько видов сточных
вод с различным составом и концентрацией загрязнений. Загрязненные
производственные сточные воды могут быть подразделены на содержащие в основном
органические загрязнения и содержащие в основном минеральные загрязнения.
Условно чистые воды, содержащие весьма малое количество загрязнений, можно
спускать в водоем без очистки.
Атмосферные сточные воды образуются в результате выпадения
дождей и таяния снегов и делятся соответственно на дождевые и талые. Отвод
и обезвреживание атмосферных сточных вод также входят в задачу канализации.
Атмосферные сточные воды содержат преимущественно
минеральные загрязнения и в меньшем количестве органические загрязнения.
Атмосферные сточные воды, образующиеся на территориях промышленных предприятий,
содержат отходы и отбросы соответствующих производств. Для атмосферных сточных
вод характерна большая неравномерность поступления в канализацию. В сухую
погоду они совсем отсутствуют, а в период сильных ливней их количество бывает
весьма значительным. Секундные расходы атмосферных сточных вод могут в 50-150
раз превышать расходы бытовых вод от той же площади застройки города или
другого населенного места.
Поддержание санитарного благополучия городов и других
населенных мест, а также промышленных предприятий возможно только при
своевременном удалении с занимаемой ими территории сточных вод с последующей их
очисткой и обеззараживанием.
Канализация представляет собой комплекс инженерных
сооружений и мероприятий, предназначенных для следующих целей:
а) приема сточных вод в местах их образования и
транспортирования их к очистным сооружениям;
б) очистки и обеззараживания сточных вод;
в) утилизации полезных веществ, содержащихся в сточных
водах и их осадке;
г) выпуска очищенных вод в водоем.
Условия места
выпуска очищенных стоков в водные объекты необходимо согласовывать с органами
по регулированию использования и охране вод и местными органами управления.
Санитарно-защитные зоны от канализационных сооружений до границ зданий жилой
застройки, участков общественных зданий и предприятий пищевой промышленности, с
учетом их перспективного расширения, следует принимать строго по СНиПу.
Особенностью
систем водоотведения является их самотечность на основных участках и
необходимость вентиляции трубопроводов и коллекторов. Самотечность достигается
укладкой труб с уклоном большим гидравлическому уклону (сопротивлению на
трение), и регламентируется СНиПом в зависимости от расхода и трубопроводов.
Вентиляция достигается путем неполного заполнения труб, установкой
вентиляционных стояков на стояках канализации, специальными вытяжными
устройствами во входных камерах дюкеров, смотровых и переходных колодцев. Для
естественной вытяжной вентиляции наружных сетей, отводящих стоки необходимо
предусматривать стояки диаметром 300 мм и высотой не менее 5м через 250 м
трубопровода.
Гидравлический расчет канализационных самотечных трубопроводов (лотков,
каналов) производится на расчетный максимальный секундный расход сточных вод по
таблицам и графикам СНиПа, составленными на основании формулы Шези. Наименьшие диаметры
труб самотечных сетей: для уличной сети - 200 мм, для внутриквартальной - 200
мм. Во избежание заиливания канализационных сетей расчетные скорости движения
сточных вод следует принимать в зависимости от степени наполнения труб и
каналов и крупность взвешенных веществ, содержащихся в сточных водах в
соответствии с СНиП 2.04.03-85. Расчет системы внутреннего водоотведения зданий
производится на основе СНиП 2.04.01-85* в зависимости от назначения здания и
предъявляемых требований к сбору стоков. Расчет внутренних канализационных
трубопроводов следует производить, назначая скорость движения V м/с и наполнение H/d таким образом, чтобы было выполнено условие V/ÖH/d³к; к=0,5 для трубопроводов из пластмассовых, полиметаллических труб, к =
0,6 - для труб из других материалов. При этом скорость движения жидкости должна
быть не менее 0,7 м/с, а наполнение трубопроводов не менее 0,3. В том случае,
когда выполнение данного условия не представляется возможным из-за
недостаточной величины расходов стоков, безрасчетные участки трубопроводов
диаметром 40-50мм следует прокладывать с уклоном 0,03, а диаметром 85 и 100 мм
с уклоном 0,02. Наибольший уклон трубопроводов не доложен превышать 0,15 (за
исключением ответвлений от приборов длиной до 1,5м). Размеры и уклоны лотков
следует принимать из условия обеспечения самоочищающей скорости стоков,
наполнения лотков не более 0,8 их высоты, ширину лотков не менее 0,2м; при
высоте лотка свыше 0,5м, ширина его должна быть не менее 0,7м.
Контрольные вопросы
1 Санитарно-защитная зона для сливных станций, м:
2 Число вторичных отстойников на очистном сооружении:
3 Диаметр горловины канализационных колодцев:
4 Какая
зависимость называется формулой Шези?
5 Максимальная скорость сточных вод в металлических трубах, м/с
Рекомендуемая литература
1. Калицун В.И., Кедров В.С. и др. Основы гидравлики,
водоснабжения и канализации.-М: Строиздат,1980-359с. илл.
2. Прозоров И.В., Николадзе Г.И., Минаев А.В.
Гидравлика, водоснабжение и канализация.-М: Высшая школа,1990-448с.
3.СНиП 2.04.01-85 Внутренний водопровод и канализация здания
4.СНиП 2.04.03-85 Канализация. Наружные сети и сооружения
Лекция 5
Тема: Теплопередача, закон Фурье, теплопроводность, конвекция,
излучение (2 часа)
План лекции
1. Виды теплопередачи
2. Теплопроводность
3. Конвекция, излучение
Теория теплообмена - это наука о процессах переноса
теплоты. С теплообменом связаны многие явления, наблюдаемые в природе и
технике. Ряд важных вопросов проектирования и строительства зданий и сооружений
решается на основе теории теплообмена или некоторых ее положений. Знание
законов теплообмена позволяет инженеру-строителю увязать толщину и материал
ограждающих конструкций с отопительными устройствами, разработать новые
строительные материалы и конструкции, более экономичные и способные надежно защищать
человека от холода, решить и другие вопросы, которые возникают в процессе
развития строительной техники. Теплообмен представляет собой сложный процесс,
который можно расчленить на ряд простых процессов. Различают три элементарных
принципиально отличных один от другого процесса теплообмена - теплопроводность,
конвекцию и тепловое излучение. " Процесс теплопроводности происходит при
непосредственном соприкосновении (соударении) частиц вещества (молекул, атомов
и свободных электронов), сопровождающемся обменом энергии и их теплового
движения. Такой процесс теплообмена может происходить в любых телах, но
механизм переноса теплоты зависит от агрегатного состояния тела.
Теплопроводность жидких и в "особенности газообразных тел незначительна.
Твердые тела обладают различной теплопроводностью. Тела с малой
теплопроводностью называют теплоизоляционными.
Процесс конвекции происходит лишь в жидкостях и газах
и представляет собой перенос теплоты в результате перемещения и перемешивания
частиц жидкости или газа. Конвекция всегда сопровождается теплопроводностью.
Если перемещение частиц жидкости или газа
обусловливается разностью их плотностей, то такое перемещение называют
естественной конвекцией. При естественной конвекции нагретые объемы
теплоносителя поднимаются, охладившиеся - опускаются. Например, отопительный
прибор системы центрального отопления соприкасается с воздухом, который
получает от него теплоту и поднимается, уступая место более холодному воздуху.
Таким образом, теплота вместе с воздухом передается от прибора в другие части
помещения.
Если жидкость или газ перемещается с помощью насоса,
вентилятора, эжектора и других устройств, то такое перемещение называют
вынужденной конвекцией. Теплообмен происходит в этом случае значительно
интенсивнее, чем при естественной конвекции.
Процесс теплового излучения состоит в переносе теплоты
от одного тела к другому электромагнитными волнами, возникающими в результате
сложных молекулярных и атомных возмущений. Лучистая энергия возникает в телах
за счет других видов энергии, главным образом тепловой. Электромагнитные волны
распространяются от поверхности тела во все стороны. Встречая на своем пути
другие тела, лучистая энергия может ими частично поглощаться, превращаясь снова
в теплоту (повышая их температуру).
Закон Фурье (1822 г.) является основным законом
теплопроводности, устанавливающим прямую пропорциональность между поверхностной
плотностью теплового потока и температурным градиентом:
где l - множитель пропорциональности, который
называется коэффициентом теплопроводности, Вт/(м-К).
Знак минус указывает, что вектор теплового потока
направлен в сторону, противоположную температурному градиенту. Из уравнения
видно, что коэффициент теплопроводности количественно равен удельному тепловому
потоку при температурном градиенте, равном единице (изменение температуры в 1°С
на единицу длины).
Коэффициент теплопроводности является важной
теплофизической характеристикой вещества: чем больше l, тем большей теплопроводностью
обладает вещество. Коэффициент теплопроводности зависит от природы вещества,
его структуры, влажности, наличия примесей, температуры и других факторов.
В практических расчетах коэффициент теплопроводности
строительных материалов надлежит принимать по СНиП П-3-79** «Строительная
теплотехника».
Контрольные вопросы:
1. Что называется теплообменом?
2. Назовите способы переноса теплоты в пространство и теплообмена между
телами.
3. Что представляет собой процесс теплопроводности?
4. Какой процесс теплообмена называется теплопередачей?
5. Как
называется сочетание различных видов теплообмена?
Рекомендуемая литература
|
1. Тихомиров К.В.,
Сергиенко З.С. Теплотехника, теплоснабжение и вентиляция: Учебник для вузов.
- М.: Стройиздат, 1991. - 475 с., ил.
|
|
2. Внутренние
санитарно-технические устройства в 3 ч. Ч.1. Отопление. Ю.Н.Саргин и др. /
Под редакцией И.Г.Староверова и Ю.И.Шиллера. 4-е изд. - М.: Стройиздат, 1989.
- 346 с., ил. (Спр. Проект.)
|
|
3. Богословский В.Н.,
Сканави А.Н. Отопление. Учебник для вузов. - М.: Стройиздат, 1991. - 735 с.,
ил.
|
Лекция 6
Тема: Теплопередача через сложную стенку (1 час)
План лекции
1.Теплопроводность многослойной стенки
Рассмотрим теплопроводность плоской многослойной
стенки, состоящей из п материальных слоев, плотно прилегающих один к
другому. Каждый слой имеет заданную толщину и коэффициент теплопроводности.
Многослойными являются, например, стены и перекрытия крупнопанельных и
кирпичных зданий.
При стационарном тепловом режиме тепловые потоки,
проходящие через каждый из слоев стенки, одинаковы. Поэтому, пользуясь формулой
для каждого слоя, можно написать:
откуда:
Просуммировав, правые и левые части этих равенств,
получим:
откуда g,
Вт/м2:
Для построения температурного поля многослойной стенки
необходимо знать температуру на поверхности каждого слоя в отдельности, которая
определяется из следующих очевидных равенств:
Температурное поле многослойной стенки изобразится
ломаной линией.
Тепловой поток Q, Вт,
через многослойную плоскую стенку определяется по формуле
Для расчета теплового потока через однослойную или
многослойную цилиндрическую стенку, если толщина ее по сравнению с диаметром
незначительна, можно пользоваться формулами для плоской стенки. При этом F подсчитывается как Fcv=ndcpl, где dcv - средний диаметр цилиндра между наружной и внутренней
поверхностями его стенки.
Для определения величины а для различных
случаев конвективного теплообмена предложено несколько эмпирических формул,
имеющих, однако, ограниченную область применения. Значительно лучшие результаты
дает определение величины а на основе эксперимента с использованием
критериев подобия - безразмерных соотношений параметров, характеризующих
физический процесс. Ниже приводятся некоторые «критерии подобия» для оп-ределения
а и их краткая характеристика: критерий Нуссельта Nu ; критерий Прандтля Рг, критерий Рейнольдса Re; критерий Грасгофа Gr
Критерий Нуссельта Nu, или критерий теплоотдачи, характеризует интенсивность
теплоотдачи на границе жидкость (или газ) - твердое тело и всегда является
величиной искомой.
Критерий Рейнольдса Re представляет собой отношение сил инерции к силам внутреннего
трения и характеризует гидродинамический режим движения жидкости. При Re <2300 движение ламинарное, при Re>l О4 - турбулентное, при 2300<Re<104 режим движения
переходный - от ламинарного к турбулентному.
Критерий Прандтля Рг характеризует физические свойства
жидкости (или газа) и способность распространения теплоты в жидкости (или
газе). Критерий Грасгофа Gr
учитывает подъемные силы, возникающие в жидкости (или газе) вследствие разности
плотностей их частиц и вызывающие так называемую свободную конвекцию.
В общем случае конвективного теплообмена критериальная
зависимость имеет вид
Nu = f(Re, Gr, Pr). (2.25)
Для условий внутренних поверхностей ограждающих
конструкций отапливаемых зданий критерии подобия объединяются уравнением
Nu = 0,135 (GrPr)°-333.(2.27)
Для расчета теплового потока через однослойную или
многослойную цилиндрическую стенку, если толщина ее по сравнению с диаметром
незначительна, можно пользоваться формулами для плоской стенки. При этом F подсчитывается как Fcv=ndcpl, где dcv - средний диаметр цилиндра между наружной и внутренней
поверхностями его стенки, принимается абсолютное значение разности температур.
Контрольные вопросы
1. Что такое термическое сопротивление
2. Как изменяется температура по толщине стенки
3. Чему равно термическое сопротивление многослойной стенки
4. Как определяется тепловой поток через многослойную стенку
Рекомендуемая литература
|
1. Тихомиров К.В.,
Сергиенко З.С. Теплотехника, теплоснабжение и вентиляция: Учебник для вузов.
- М.: Стройиздат, 1991. - 475 с., ил.
|
|
2. Внутренние
санитарно-технические устройства в 3 ч. Ч.1. Отопление. Ю.Н.Саргин и др. /
Под редакцией И.Г.Староверова и Ю.И.Шиллера. 4-е изд. - М.: Стройиздат, 1989.
- 346 с., ил. (Спр. Проект.)
|
|
3. Богословский В.Н.,
Сканави А.Н. Отопление. Учебник для вузов. - М.: Стройиздат, 1991. - 735 с.,
ил.
|
Лекция 7
Тема: Общие сведения об отоплении и требования к системе отопления
(1 час)
План лекции
1. Классификация систем отопления
2. Теплоносители
Гигиенические исследования микроклимата помещений и
того, как влияют изменения его отдельных компонентов на организм человека,
Рисунок 3.1 - Принципиальная схема системы отопления
позволили выработать требования к системам отопления.
Основные из них:
санитарно-гигиенические - обеспечение требуемых
соответствующими строительными нормами и правилами температур во всех точках
помещения и поддержание температур внутренних поверхностей наружных ограждений
и отопительных приборов на определенном уровне;
экономические - обеспечение минимума приведенных
затрат по сооружению и эксплуатации, определяемого технико-экономическим
сравнением вариантов различных систем, небольшого расхода металла;
строительные - обеспечение соответствия
архитектурно-планировочным и инструктивным решениям здания, увязка размещения
отопительных элементов со строительными конструкциями;
монтажные - обеспечение монтажа индустриальными методами
с максимальным использованием унифицированных узлов заводского изготовления при
минимальном количестве типоразмеров;
эксплуатационные - простота и удобство обслуживания,
управления и ремонта, надежность, безопасность и бесшумность действия;
эстетические - хорошая сочетаемость с внутренней
архитектурной отделкой помещения, минимальная площадь, занимаемая системой
отопления.
Все перечисленные требования важны и их необходимо
учитывать при выборе системы отопления. Однако среди них можно выделить главное
требование - это надежное обеспечение требуемых санитарно-гигиенических условий
в течение всего срока эксплуатации зданий.
Система отопления представляет собой комплекс
элементов, предназначенных для получения, переноса и передачи необходимого
количества теплоты в обогреваемые помещения. Каждая система отопления (рисунок
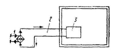
3.1) включает в себя три основных элемента: теплогенератор, служащий для
получения теплоты и передачи ее теплоносителю, системы теплопроводов 2 для
транспортировки по ним теплоносителя от теплогенератора к отопи-тельным
приборам и отопительных приборов 3, передающих теплоту от теплоносителя
воздуху и ограждениям помещения.
Классификацию систем отопления проводят по ряду
признаков:
1. По взаимному расположению основных элементов
системы отопления подразделяются на центральные и местные.
2. По виду теплоносителя, передающего теплоту
отопительными приборами в помещения, центральные системы отопления
подразделяются на водяные, паровые, воздушные и комбинированные (например,
пароводяные, паровоздушные и др.).
З. По способу циркуляции теплоносителя центральные и
местные системы водяного и воздушного отопления подразделяются на системы с
естественной циркуляцией
за счет разности плотностей холодного и горячего
теплоносителя и системы с искусственной циркуляцией за счет работы насоса.
Центральные паровые системы имеют искусственную циркуляцию за счет давления
пара.
4. По параметрам теплоносителя центральные водяные и паровые системы
подразделяются на водяные низкотемпературные с водой, нагретой до 100°С и
высокотемпературные с температурой воды более 100 °С; на паровые системы
низкого (р-0,1-0,17 МПа), высокого (р = 0,17-0,3 МПа) давления и вакуум-паровые
с давлением р<0,1 МПа.
Контрольные вопросы:
1. Какие требования предъявляют к системе отопления
2. По каким признакам классифицируют системы отопления
Рекомендуемая литература
|
1. Тихомиров К.В.,
Сергиенко З.С. Теплотехника, теплоснабжение и вентиляция: Учебник для вузов.
- М.: Стройиздат, 1991. - 475 с., ил.
|
|
2. Внутренние
санитарно-технические устройства в 3 ч. Ч.1. Отопление. Ю.Н.Саргин и др. /
Под редакцией И.Г.Староверова и Ю.И.Шиллера. 4-е изд. - М.: Стройиздат, 1989.
- 346 с., ил. (Спр. Проект.)
|
|
3. Богословский В.Н.,
Сканави А.Н. Отопление. Учебник для вузов. - М.: Стройиздат, 1991. - 735 с.,
ил.
|
Лекция 8
Тема: Системы водяного отопления.
Системы парового отопления (2 часa)
План лекции
1. Устройство и принцип действия водяного отопления
2. Классификация систем водяного отопления
3. Свойство пара как теплоносителя в системах отопления
Водяное отопление благодаря ряду преимуществ перед
другими системами получило в настоящее время наиболее широкое распространение.
Вода, нагретая в теплогенераторе (например, котле или другом источнике тепловой
энергии) до температуры tТ поступает
через теплопровод - главный стояк в подающие магистральные теплопроводы
(соединительные трубы между главным стояком и подающими стояками). По подающим
магистральным теплопроводам горячая вода поступает в подающие стояки
(соединительные трубы между подающими магистралями и подающими подводками к
отопительным приборам). Затем по подающим подводкам (соединительным трубам
между стояками и отопительными приборами) горячая вода поступает в отопительные
приборы, через стенки которых теплота передается воздуху помещения. Из отопительных
приборов охлажденная вода с температурой tо по обратным подводкам, обратным стоякам и обратным
магистральным теплопроводам возвращается в теплогенератор, где она снова
подогревается до температуры tr, и
далее циркуляция происходит по замкнутому кольцу.
Система водяного отопления гидравлически замкнута и
имеет определенную вместимость отопительных приборов, теплопроводов, арматуры,
т. е. постоянный объем заполняющей ее воды. При повышении температуры воды она
расширяется и в замкнутой заполненной водой системе отопления внутреннее
гидравлическое давление может превысить механическую прочность ее элементов.
Чтобы этого не произошло, в системе водяного отопления имеется расширительный
бак, предназначенный для вмещения прироста объема воды при ее нагревании, а
также для удаления через него воздуха в атмосферу как при заполнении системы
водой, так и в период ее эксплуатации (в случае открытого расширительного
бака). Для регулирования теплоотдачи отопительных приборов на подводках к ним
устанавливают регулировочные краны.
Классификация систем водяного отопления проводится по
следующим основным признакам.
По способу создания циркуляции водяные системы
подразделяют на системы с естественной циркуляцией и с искусственной, по схеме
включения отопительных приборов в стояк или ветвь системы водяного отопления
подразделяются на двухтрубные и однотрубные; по направлению объединения
отопительных приборов как двухтрубные так и однотрубные могут быть вертикальные
и горизонтальные; по месту расположения подающих и обратных магистралей системы
подразделяют на системы с верхним и нижним расположением обеих магистралей; по
направлению движения воды в подающих и обратных магистралях системы
подразделяют на тупиковые и с попутным движением воды
В системах парового отопления используется свойство
пара при конденсации выделять скрытую теплоту фазового превращения. При
конденсации в нагревательном приборе 1 кг пара помещение получает около 2260
кДж теплоты.
По сравнению с системами водяного отопления системы
парового отопления имеют следующие преимущества:
1) благодаря малой плотности пара он перемещается с
большими скоростями, вследствие чего требуются меньшие диаметры теплопроводов,
чем
при водяном отоплении, поэтому стоимость теплопроводов
в системах парового отопления ниже, чем в системах водяного отопления;
2) больший коэффициент теплоотдачи от пара к стенкам
отопительного прибора (за счет высокой величины
скрытой теплоты фазового превращения), благодаря этому и высокой температуре
пара площадь поверхности
отопительных приборов в
системах парового отопления приблизительно на 25-30 % меньше, чем в системах водяного отопления
3) быстрый прогрев помещений и
выключение систему из работы;
4) возможность использования систем
отопления в зданиях повышенной этажности
вследствие малой плотности пара.
В соответствии со СНиП 2.04.05-86 системы парового
отопления рекомендуется устраивать в производственных помещениях (согласно
обязательному приложению 10), а также в лестничных клетках, пешеходных
переходах, вестибюлях и тепловых пунктах
Системы парового отопления подразделяют: по наличию
связи с атмосферой, по величине начального давления пара, способу возврата
конденсата в котел или в тепловую сеть, месту расположения паропровода и схеме
стояков В настоящее время применяют открытые (сообщающиеся с атмосферой)
системы отопления.
По величине давления, подаваемого в систему отопления,
различают системы отопления высокого, низкого давления и вакуум-паровые.
По способу возврата конденсата системы парового
отопления подразделяются на замкнутые (конденсат благодаря наклону
трубопроводов самотеком возвращается из отопительных приборов в котел или в
тепловую сеть) и разомкнутые (конденсат поступает сначала в конденсаторный бак,
а затем перекачивается насосом в котел или в тепловую сеть).
По месту расположения паропровода и схеме стояков
системы парового отопления можно выполнять так же, как и системы водяного
отопления, т. е. с верхним, нижним и промежуточным распределением пара при
однотрубной и двухтрубной схемах обслуживания отопительных приборов.
Система парового отопления низкого давления с нижним
распределением пара отличается от системы с верхним распределением главным
образом расположением магистрального паропровода, при котором устраивают
специальный гидравлический затвор или устанавливают водоотводчик у дальнего
стояка для отвода конденсата из стояков и магистрального паропровода.
Находит применение горизонтальная однотрубная проточная система,
экономичная и вполне приемлемая для отопления больших помещений зданий в 1-2
этажа, в которых не требуется индивидуальная регулировка теплоотдачи приборов.
Вертикальные однотрубные системы отопления с теплоносителем - паром в СССР
широкого применения не получили. Паровое отопление высокого давления рабс>0,17
МПа обычно принимают в тех случаях, когда пар вырабатывается в заводских
котельных и основным потребителем его является производство.
Контрольные вопросы:
1. Какие требования предъявляют к системам водяного отопления
2. Укажите достоинства и недостатки водяного и парового отопления
3. Схемы двухтрубной и однотрубной систем отопления
Рекомендуемая литература
|
1. Тихомиров К.В.,
Сергиенко З.С. Теплотехника, теплоснабжение и вентиляция: Учебник для вузов.
- М.: Стройиздат, 1991. - 475 с., ил.
|
|
2. Внутренние
санитарно-технические устройства в 3 ч. Ч.1. Отопление. Ю.Н.Саргин и др. /
Под редакцией И.Г.Староверова и Ю.И.Шиллера. 4-е изд. - М.: Стройиздат, 1989.
- 346 с., ил. (Спр. Проект.)
|
|
2. Богословский В.Н.,
Сканави А.Н. Отопление. Учебник для вузов. - М.: Стройиздат, 1991. - 735 с.,
ил.
|
Лекция 9
Тема: Естественная вентиляция, аэрация зданий. Системы
механической вентиляции. (1 час)
План лекции
1. Гигиенические основы вентиляции
2. Принципиальная схема и конструктивные элементы канальной системы
естественной вентиляции. Аэрация зданий.
3. Преимущества системы механической вентиляции
4.Схемы и конструкции приточной и вытяжной систем вентиляции
Современные условия жизни человека требуют эффективных
искусственных средств оздоровления воздушной среды. Этой цели служит техника
вентиляции. К факторам, вредное действие которых устраняется с помощью
вентиляции, относятся: избыточная теплота (конвекционная, вызывающая повышение
температуры воздуха, и лучистая); избыточные водяные пары - влага; газы и пары
химических веществ общетоксичного или раздражающего действия; токсичная и
нетоксичная пыль; радиоактивные вещества. В помещениях, где бывает много людей
(зрелищные предприятия, магазины, столовые и др.), тепловыделения создают
неблагоприятные условия, вредно отражающиеся на самочувствии, здоровье и
работоспособности людей. В цехах и отделах промышленных предприятий избы точная
теплота возникает при значительных тепловыделениях машинами, станками,
производственной аппаратурой, различными печами, трубопроводами, нагретыми
изделиями, остывающими в помещении, людьми, от солнечной радиации и от других
источников тепла. При отсутствии вентиляции перечисленные и другие
тепловыделения значительно повышают температуру воздуха и затрудняют процесс
терморегуляции в организме человека и, кроме того, могут отрицательно влиять на
технологический процесс производства.
Системы естественной вентиляции. Канальными системами
естественной вентиляции называются системы, в которых подача наружного воздуха
или удаление загрязненного осуществляется по специальным каналам,
предусмотренным в конструкциях здания, или приставным воздуховодам. Воздух в
этих системах перемещается вследствие разности давлений наружного и внутреннего
воздуха.
В системах естественной вентиляции величина
располагаемого давления, которое расходуется на преодоление сопротивления
движению воздуха по каналам и другим элементам системы, незначительна и
непостоянна. По-этому приточную канальную вентиляцию с естественным побуждением
в настоящее время почти не применяют.
Вытяжная естественная канальная вентиляция
осуществляется преимущественно в жилых и общественных зданиях для помещений, не
требующих воздухообмена больше однократного. В производственных зданиях
согласно СНиП 2.04.05-86 естественную вентиляцию следует проектировать, если
она обеспечит нормируемые условия воздушной среды в помещениях и если она
допустима по технологическим требованиям.
Вытяжная естественная канальная вентиляция состоит из
вертикальных внутристенных или приставных каналов с отверстиями, закрытыми
жалю-зийными решетками, сборных горизонтальных воздуховодов и вытяжной шахты.
Для усиления вытяжки воздуха из помещений на шахте часто устанавливают
специальную насадку - дефлектор. Загрязненный воздух из помещений поступает
через жалюзийную решетку в канал, поднимается вверх, достигая сборных
воздуховодов, и оттуда выходит через шахту в атмосферу. В современных
крупнопанельных зданиях вентиляционные каналы изготовляют в виде специальных
блоков или панелей из бетона, железобетона и других материалов. Вентиляционные
блоки для зданий с числом этажей до пяти изготовляют с индивидуальными каналами
для каждого этажа, а для зданий с числом этажей пять и более с целью сокращения
площади, занимаемой каналами, выполняют по схеме с перепуском через один или
несколько этажей. Такие блоки имеют сборный канал большого сечения, к которому
подключаются вертикальные каналы из этажей. Устройство самостоятельных каналов
из каждого помещения обеспечивает пожарную безопасность вентиляционных систем,
звукоизоляцию и выполнение санитарно-гигиенических требований.
Если в зданиях внутренние стены кирпичные, то
вентиляционные каналы устраивают в толще стен или бороздах, заделываемых
плитами.
Аэрацией зданий называется организованный и
управляемый естественный воздухообмен через открывающиеся фрамуги в окнах и
вентиляционно-световые фонари с использованием теплового и ветрового давлений.
Аэрация широко применяется в производственных зданиях с большими
теплоизбытками и позволяет осуществлять воздухообмены, достигающие миллионов
кубических метров в 1 ч.
Системы механической вентиляции по сравнению с
естественной более сложны в конструктивном отношении и требуют больших
первоначальных затрат и эксплуатационных расходов. Вместе с тем они имеют ряд
преимуществ. К основным их достоинствам относятся: независимость от
температурных колебаний наружного воздуха и его давления, а также скорости
ветра; подаваемый и удаляемый воздух можно перемещать на значительные
расстояния; воздух, подаваемый в помещение, можно обрабатывать, т.е. нагревать
или охлаждать, очищать, увлажнять и осушать. Вследствие этого механическая
вентиляция, как приточная так и вытяжная, получила весьма широкое применение
особенно в промышленности.
Приточные системы механической вентиляции состоят из
следующих конструктивных элементов: 1) воздухоприемного устройства, через
которое наружный воздух поступает в приточную камеру; 2) приточной камеры с
оборудованием для обработки воздуха и подачи его в помещения; 3) сети каналов и
воздуховодов, по которым воздух вентилятором распределяется по отдельным
вентилируемым помещениям; 4) приточных отверстий с решетками или специальных
приточных насадков, через которые воздух из приточных каналов поступает в
помещения; 5) регулирующих устройств в виде дроссель клапанов или задвижек,
устанавливаемых в воздухоприемных устройствах, на ответвлениях воздуховодов и в
каналах.
Вытяжные системы механической вентиляции обычно
состоят из следующих элементов: 1) жалюзийных решеток и специальных насадков,
через которые воздух из помещений поступает в вытяжные каналы; 2) вытяжных
каналов, по которым воздух, извлекаемый из помещений, транспортируется в
сборный воздуховод; 3) сборных воздуховодов, соединенных с вытяжной камерой; 4)
вытяжной камеры, в которой установлен вентилятор с электродвигателем; 5)
оборудования для очистки воздуха, если удаляемый воздух сильно загрязнен; 6)
вытяжной шахты, служащей для отвода в атмосферу воздуха, извлекаемого из
помещений; 7) рейдирующих устройств (дроссель-клапанов или задвижек).
Отдельные приточные и вытяжные системы механической
вентиляции могут не иметь некоторых из перечисленных элементов. Например,
приточные системы вентиляции не всегда комплектуются фильтрами для очистки
воздуха.
В настоящее время в общественных и производственных зданиях устраивают
преимущественно механическую вентиляцию, в которой воздух перемещается по сети
воздуховодов и другим элементам системы с помощью радиальных и осевых
вентиляторов, приводимых в действие электродвигателями.
Контрольные вопросы:
1. Каким образом можно усилить естественную вентиляцию
2. Расскажите кратко о конструктивных элементах канальной системы
естественной вентиляции
3. Какую роль играют «теплые» чердаки зданий
4. Назовите конструктивные основные элементы приточных и вытяжных
систем вентиляции
5. Какие типы вентиляторов применяются в системах вентиляции
6. Что понимают под местной приточной вентиляцией
1. Тихомиров К.В., Сергиенко З.С. Теплотехника, теплоснабжение и
вентиляция: Учебник для вузов. - М.: Стройиздат, 1991. - 475 с., ил.
2. Внутренние санитарно-технические устройства в 3 ч. Ч.1.
Отопление. Ю.Н.Саргин и др. / Под редакцией И.Г.Староверова и Ю.И.Шиллера. 4-е
изд. - М.: Стройиздат, 1989. - 346 с., ил. (Спр. Проект.)
3. Богословский В.Н., Сканави А.Н. Отопление. Учебник для вузов. -
М.: Стройиздат, 1991. - 735 с., ил.
4. Грудзинский М.М., Ливчак В.И., Поз М.Я.
Отопительно-вентиляционные системы повышенной этажности.-М.:Стройиздат, 1982
Лекция 10
Тема: Газоснабжение (1 час)
План лекции
1. Газовые распределительные сети. Устройство и оборудование
2. Техника безопасности при строительстве и монтаже газопроводов
По газовым распределительным сетям, проложенным на
территории города или другого населенного пункта, газ подается к потребителям.
В зависимости от максимального рабочего давления, МПа,
газораспределительные сети согласно СНиП 2.04.08-87 «Газоснабжение»
подразделяются на газопроводы
высокого давления 1 категории . св. 0,6 до 1,2,
то же, для сжиженных углеводородных газов; св. 0,6 до
1,6
высокого давления II категории; св. 0,3 до 0,6
среднего давления , св. 0,005 до 0,3
низкого давления до 0,005 включительно.
Рисунок 3.2 - Трехступенчатая схема снабжения газом
города
1 - ГРС (газораспределительная станция); 2 -
газгольдерная станция;
3 - ГРН (газорегуляторный пункт) среднего давления; 4
- ГРП низкого давления; 5 - газопровод высокого давления; 6 -
газопровод среднего давления; 7 - газопровод низкого давления; 8 магистральный
газопровод от источника газоснабжения
К газопроводам низкого давления подключаются жилые и
общественные здания и мелкие коммунально-бытовые предприятия. Газопроводы
среднего и высокого давления II
категории ризб до 0,6 МПа служат для питания газовых
распределительных сетей низкого давления через газорегуляторные пункты (ГРП), а
также крупных потребителей газа (производственных предприятий, хлебозаводов,
бань и др.).
По числу ступеней давления, применяемых в газовых
сетях, системы газоснабжения подразделяются на двухступенчатые, трехступенчатые
и многоступенчатые. Применение той или иной схемы определяется величиной
населенного пункта, планировкой его застройки, расположением жилой (селитебной)
и промышленных зон и расходом газа отдельными потребителями.
В небольших населенных пунктах с малым расходом газа и
в средних городах применяются главным образом двухступенчатые системы, а в
крупных - трехступенчатые или многоступенчатые, так как при больших расходах
газа промышленными и коммунально-бытовыми предприятиями с подаче его на значительные
расстояния работа на низком давлении требует увеличения диаметра газопроводов и
затрудняет поддержание проходимого давления у отдаленных от ГПР потребителей.
Трехступенчатая схема снабжения газом города включает в себя газопроводы
высокого, среднего и низкого давления. По этой схеме весь газ, поступающий от
источника газоснабжения, подается по транзитным газопроводам высокого давления
к ГРС и газгольдерным станциям, откуда после соответствующего снижения давления
он поступает в распределительные сети среднего давления с последующей подачей
через ГРП в сети низкого давления.
От городских распределительных сетей газ подается к
потребителю по отводу (ответвлению), т.е. по той части газопровода, которая
идет от распределительной его части до задвижки, устанавливаемой на вводе в
домовладение или предприятие. Участок газопровода от отключающей задвижки до
ввода в здание называется дворовым (внутриквартальным) газопроводом. Внутри
здания газопровод от его ввода до газопотребляющего прибора называется внутридомовым
или внутрицеховым.
Газорегуляторные пункты (ГРП) и установки (ГРУ) служат
для снижения давления газа и поддержания его на
необходимом заданном уровне. ГРП обычно сооружают для питания газом
распределительных сетей, а ГРУ - для питания отдельных потребителей. ГРП
размещают в отдельно стоящих зданиях или шкафах снаружи здания, ГРУ - в
помещениях предприятия, где расположены агрегаты, использующие газ. Расстояния
между отдельно стоящими ГРП и другими зданиями и сооружениями приведены в СНиП
2.04.08-87.
ГРП и ГРУ в подвальных и полуподвальных помещениях, а
также в жилых и общественных зданиях, детских и лечебных учреждениях и учебных
заведениях не устраивают. Здания, в которых располагаются ГРП, должны отвечать
требованиям, установленным для производств категории А. Они одноэтажные, I и II степеней огнестойкости, имеют покрытие легкой конструкции и
полы из несгораемых материалов.
Двери помещений ГРП открываются наружу. Если применяют
трудно-сбрасываемые перекрытия, то общая площадь оконных проемов и световых
фонарей должна быть не менее 5000 см2 на 1 м3 внутреннего
объема ГРП. Если ГРП размещается в пристройке к зданию, то пристройка
отделяется от здания глухой газоплотной стеной и имеет самостоятельный выход.
Помещение ГРП отапливается, так как для нормальной
работы установленного в нем оборудования и контрольно-измерительных приборов
температура воздуха в помещении должна быть не ниже +15 °С. Отопление может
быть водяным от тепловой сети или от индивидуальной котельной, которая
отделяется капитальной стеной от помещения, где установлено оборудование, и
имеет самостоятельный вход. Для отопления помещения ГРП применяются также печи,
заключенные в металлический герметичный кожух с выносом топки наружу.
-Вентиляция ГРП осуществляется с помощью дефлектора (вытяжка) и жалюзийной
решетки (приток), устроенной внизу двери. Электрическое освещение здания ГРП
может быть внутренним во взрывобезопасном исполнении или наружным в обычном
исполнении (кососвет).
На рисунке 3.2 показаны план и разрез помещения ГРП с
установленным оборудованием. Технологическая схема действия оборудования ГРП
заключается в следующем. Газ высокого или среднего давления входит в ГРП и
после отключающей задвижки 5 проходит через фильтр 4, где очищается от пыли и
механических примесей. После фильтра газ через предохранительно-запорный клапан
3 поступает в регулятор давления 2, где давление газа снижается
до заданного. После регулятора газ пониженного давления выходит через задвижку 1
в городскую газораспределительную сеть соответствующего давления. Чтобы во
время ремонта оборудования ГРП не было перерыва в газоснабжении, на
технологической линии предусматривается обводной газопровод 7 (байпас). При
перекрытии задвижек 1 и 5 и открытой задвижке б байпаса
газ идет, минуя регулятор давления, в газораспределительную сеть. Для снижения
давления газа в этом случае прикрывается задвижка 6.
На выходном газопроводе низкого давления после
регулятора давления устанавливают гидравлический предохранительный клапан,
который сбрасывает избыток газа в атмосферу, предотвращая повышение давления
газа после регулятора. Если избыток газа будет настолько велик, что пропускная
способность предохранительного клапана будет недостаточной для его удаления, то
срабатывает предохранительно-запорный клапан. Для замера. давления в
газопроводе до регулятора и после него служат показывающие и самопишущие
манометры, устанавливаемые на щите 8.
Кроме ГРП и ГРУ в системах газоснабжения имеются
газораспределительные станции (ГРС), которые подают газ из магистральных
газопроводов в городские сети. На ГРС давление газа снижают до величины,
необходимой для систем газоснабжения (до 2000-1200- 600-300 кПа), и
поддерживают постоянным. Основное отличие ГРС от ГРП и ГРУ состоит в том, что
они получают газ из магистральных газопроводов и поэтому их оборудование
рассчитывают на рабочее давление в 5,5; 7,5 МПа. ГРС отличается от ГРП также
дополнительной обработкой газа (очисткой, одоризацией, подогревом). Чаще всего
работа современных ГРС автоматизирована, чтобы обеспечить безвахтенное
обслуживание. Для этого ГРС оснащают контрольно-измерительными приборами,
защитной автоматикой, дистанционным управлением отключающих устройств и
аварийной сигнализацией. Такие ГРС обслуживают два оператора на дому, которые
по получении сигнала (звукового или светового) являются на ГРС и устраняют
неисправность.
Газопроводы, особенно среднего и высокого давления,
являются наиболее опасными из всех видов городских подземных сооружений, так
как газ при повреждении газопровода может просочиться через грунт, проникнуть в
подвалы зданий, колодцы и каналы (коллекторы) и скопиться там, создавая угрозу
взрыва газовоздушной смеси.
Рисунок 3.3 - Газораспределительный пункт (ГРП)
Прокладка наружных газопроводов, независимо от
назначения и давления газа, проектируется, как правило, подземной. При выборе
трассы необходимо предусматривать прокладку газопровода по возможности дальше
от зданий, сооружений и других коммуникаций, особенно работающих неполным
сечением (канализация) и проложенных в каналах (тепловая сеть), а также от
водопроводных и телефонных колодцев и трамвайных путей.
Надземная прокладка газопроводов допускается на
территории промышленных и коммунально-бытовых предприятий, а также внутри жилых
кварталов и дворов.
Расстояния по горизонтали между подземными
газопроводами, различными сооружениями и другими коммуникациями,
предусмотренные правилами безопасности в газовом хозяйстве, указаны в СНиП II-60-75** по проектированию
планировки, застройки городов, поселков и сельских населенных пунктов.
При пересечении газопровода с другими коммуникациями
расстояние между ними по вертикали должно быть не менее 150 мм, а с
электрическими или телефонными кабелями - не менее 0,5 м. При пересечении
газопровода с трамвайными путями или при вынужденной прокладке газопровода
поперек какого-либо канала применяют футляры из стальных труб, на концах
которых устанавливают контрольные трубки.
Газопроводы выполняют из стальных труб, соединяя их
электросваркой. В местах установки газовых приборов, арматуры и другого
оборудования применяют фланцевые и резьбовые соединения. Глубина заложения
газопроводов зависит от состава транспортируемого газа. При влажном газе
глубину заложения труб принимают ниже средней глубины промерзания грунта для
данной местности. Газопроводы для осушенного газа можно укладывать в зоне
промерзания грунта, но заглубление их должно быть не менее 0,8 м от поверхности
земли. Газопроводы прокладывают с уклоном не менее 2 мм на 1 м, что
обеспечивает отвод конденсата из газа в конденсатосборники и предотвращает
образование водяных пробок.
Для выключения отдельных участков газопровода или
отключения потребителей устанавливают запорную арматуру, размещаемую в колодце.
При изменении температурных условий на газопроводе появляются растягивающие
усилия, которые могут разорвать сварной стык или задвижку. Чтобы избежать
этого, на газопроводе, и особенно у задвижек, устанавливают линзовые
компенсаторы, воспринимающие эти усилия. Кроме восприятия температурных
деформаций компенсаторы позволяют легко демонтировать и заменять задвижки и
прокладки, так как компенсатор с помощью особых приспособлений можно сжать или
растянуть.
Рисунок 3.4 - Газовый колодец
а -
из бетонных колец; б - бетонный монолитный: 1 - верхнее кольцо; 2
съемная плита; 3 - ковер; 4 - скосы; 5 - среднее кольцо; 6 -
днище; 7 - настил из досок; 8 - шлаковая вата; 9 - люк
Линзовые компенсаторы устанавливают в одном колодце с
задвижками, располагают их после задвижек по ходу газа (рисунок 3.4).
Управление задвижками в газовом колодце выведено на
поверхность земли с помощью штока, защищенного в верхней части механическим
колпаком (ковером).
Защита газопроводов от коррозии, вызываемой окружающей
средой и блуждающими токами, проектируется и выполняется в соответствии с
требованиями ГОСТ 9.015-74* и СНиП 1.04.08-87*.
Устройство внутренних газопроводов.
Вводы газопровода в жилые здания устраивают в
лестничных клетках, кухнях или коридорах. На вводе газопровода в здание
устанавливают запорную арматуру.
Вводы газопроводов в насосные и машинные отделения,
вентиляционные и лифтовые камеры и шахты,
Рисунок 3.5 - Вводы газопроводов в здание
/-крышка футляра; 2 - футляр для наружной части
газопровода; 3 - стальная гильза; 4- дверка люка; 5 - битумное
заполнение; 6 - пробка; 7 -крючок; 8 - соединение сваркой
Рисунок 3.6 - Схема внутридомовой газовой сети
/ - газовая плита; 2 - газовая колонка; 3 -
газовый счетчик; 4 - краны пробочные; 5 - газопровод; 6 ввод
газопровода; 7 -вытяжная вентиляция
помещения мусоросборников, электрораспределительных
устройств, складские помещения не устраивают.
Газ подается в квартиры верхних этажей жилых зданий по
стоякам, которые прокладывают в кухнях, на лестничных клетках или в коридорах.
В жилых помещениях, ванных комнатах и санитарных узлах их не прокладывают. Если
газопровод проходит через стену или
При строительстве и монтаже газопроводов, газовых приборов
и агрегатов должны соблюдаться требования техники безопасности в строительстве,
а также нормы и правила строительного производства, утвержденные Госстроем
СССР. К газоопасным относятся работы, выполняемые при наличии в окружающей
среде газа или при возможности его появления. Работы, связанные с
присоединением к действующим газовым сетям, ликвидацией утечек газа, ремонтом
оборудования на действующих газопроводах, ГРП и ГРУ, производятся в газоопасной
среде. Работы в газоопасных местах выполняют не менее чем два слесаря. Место
газоопасных работ ограждают и охраняют. Рабочих снабжают противогазами: при
работе в колодцах и котлованах - шланговыми, при работе в помещениях -
изолирующими.
При выполнении работ в колодцах и котлованах рабочие
надевают пояса с веревками, концы которых держат наверху наблюдающие за
производством работ. Работы по присоединению к действующим газопроводам
выполняют организации, эксплуатирующие газовое хозяйство города, поселка,
предприятия.
Газовую резку и сварку на действующих газопроводах при
ремонте или присоединении к ним новых газопроводов выполняют при давлении газа
200-1200 Па, которое проверяют в течение всего времени работы. Если давление
становится ниже или выше указанных пределов, резку или сварку необходимо
прекратить.
Внутренние газопроводы испытывает монтажная
организация в присутствии представителя заказчика. Газопроводы низкого давления
в жилых и общественных зданиях испытывают воздухом на прочность при давлении 5
кПа с подключенными приборами, но без счетчиков. Газопровод считается
выдержавшим испытание на плотность, если падение давления в нем в течение 5 мин
не превышает 200 Па. Внутренние газопроводы среднего давления до 300 кПа
подвергают испытанию на прочность и плотность воздухом, а газопроводы высокого
давления - выше 300 и до 1200 кПа - испытывают на прочность водой, а на
плотность - воздухом.
Нормы и продолжительность испытания на прочность и
плотность внутренних газопроводов среднего и высокого давления приведены в СНиП
2.04.08-87. Выявленные при испытании дефекты устраняют только после снижения
давления в газопроводе до атмосферного.
Газовую сеть принимает в эксплуатацию комиссия,
назначаемая заказчиком. Комиссия проверяет соответствие газовой сети проекту и
техническим условиям, качество работ, наличие актов на скрытые работы и
проведенные испытания, а также состояние арматуры и оборудования. Приемка в
эксплуатацию оформляется актом специальной формы, к которому должна быть
приложена соответствующая документация.
Контрольные вопросы
1. Какова роль газа в топливном балансе страны?
2. Из каких основных звеньев со стоят
магистральные газопроводы?
3. Как подразделяются газопроводы в
зависимости от давления транспортируемого газа?
4. Какие виды работ относятся к
газоопасным?
5. С соблюдением каких условий проводится работа в газоопасных местах?
Рекомендуемая литература
|
1. Тихомиров К.В.,
Сергиенко З.С. Теплотехника, теплогазоснабжение и вентиляция: Учебник для
вузов. - М.: Стройиздат, 1991. - 475 с., ил.
|
|
2. Внутренние
санитарно-технические устройства в 3 ч. Ч.1. Отопление. Ю.Н.Саргин и др. /
Под редакцией И.Г.Староверова и Ю.И.Шиллера. 4-е изд. - М.: Стройиздат, 1989.
- 346 с., ил. (Спр. Проект.)
|
|
3. Богословский В.Н.,
Сканави А.Н. Отопление. Учебник для вузов. - М.: Стройиздат, 1991. - 735 с.,
ил.
|
Контрольные задания для СРС
Целью самостоятельной работы студентов является закрепление теоретических
знаний в проектировании инженерных систем жилых и общественных зданий.
1. Расчет системы водоснабжения и канализации специальных зданий
(бань, прачечных, фонтанов, бассейнов)
2. Определить фактическое естественное давление в циркуляционных кольцах
системы отопления. Коэффициент полезного действия изоляции главного стояка и
трубопроводов, проходящих через неотапливаемые помещения h=0,7.
3. Проверить напряжение на изгиб при самокомпенсации трубопровода системы
отопления диаметром d=25 мм в месте
его поворота, если температура теплоносителя 115оС.
4. Рассчитать воздуховоды системы естественной
вытяжной вентиляции, обслуживающей врачебные кабинеты двухэтажного здания
поликлиники. Воздух удаляется из верхней зоны помещений на высоте 0,5м от
потолка. Высота этажей, включая толщину перекрытия 3,3м. Высот чердака под
коньком крыши 3,6м.
4 Методические указания для
выполнения практических (семинарских занятий)
Цель проведения практических занятий: закрепление
теоретических знаний и приобретение практических навыков в расчете и
проектировании систем водоснабжения и канализации, теплогазоснабжения,
вентиляции.
Тематика практических занятий составлена в
соответствии с рабочим учебным планом специальности 050420-Архитектура.
1.
Проектирование
системы водоснабжения и канализации здания
2.
Системы водяного
отопления. Системы парового отопления
3. Естественная вентиляция, аэрация зданий. Системы
механической вентиляции.
Практическое занятие 1 (8 часов)
Тема: Проектирование и расчет системы внутреннего
водоснабжения и канализации здания
Выполняемые работы:
1. Изучить основные теоретические
положения по тематике практических занятий
2. Произвести расчеты
Начертить аксонометрическую схему водопроводной сети и
ввода. Показать ответвления от стояков.
Произвести гидравлический расчет водопроводной сети по
участкам расчетного направления от диктующего водоразборного устройства до
места присоединения ввода к наружной сети.
Расчетные расходы воды определять по новой методике
СНиП П-30-76. Весь расчет свести в таблице 1.
Таблица. 1 Форма записи расчета внутреннего
водопровода
Количество квартир пкв; количество подводок
к водоразборной арматуре ппод в квартире.
Средняя заселенность одной квартиры ucp=F/f, где F- жилая площадь, м, f- санитарная норма (9 м /чел).
Принимается по графику или по приложению 1 и 2 СНиПа.
График для определения a.
Расчетные секундные в часовые расходы можно определять
по формулам 2.1 и 2.2. Чтобы определить значение a=f(NP), следует найти вероятность действия водоразборных
устройств по. таблице 2.2 или по формуле
Расчетный секундный расход подсчитывают по формуле
Диаметр труб предварительно подбирают по таблице
приложения 11 учебника при скоростях движения в магистралях н стояках в
пределах 1 -1.5 м/с. Необходимый (требуемый) напор определяют по формуле
где Нг - геометрическая высота
подачи воды от ввода до отметки диктующего водоразбора, м; h bb - потери напора во вроде (до
водосчетчикаа), м; hвод - потери
напора водосчетчика, м; hТ-
потеря напора в трубах по расчетному направлению; hM-потери на местные сопротивления в арматуре и фасонных
частях (принимают в размере 30% от рт), м; НР -
рабочий напор у диктующего водоразбора, м.
Потери напора водосчетчика определяют по формуле
hвoд=S-qH2,
где qB
- расчетный расход воды, л/с;
S - сопротивление водосчетчика, принимаемое по таблице
5.
Суточные расходы воды определяют по табл.3.
Потери напора в крыльчатых водосчетчиках при
хозяйственно-питьевых расходах не должны превышать 2,5 м, а турбинных
водосчетчиках- 1 м.
Если гарантийного Нгар напора не
хватает, то можно на отдельных участках сети увеличить диаметры, что приведет к
уменьшению
где Q4 - норма
расхода воды (л/ч) на одного потребителя (см. табл.3);
U- число потребителей, чел.;
N- число подводок к водоразборным устройствам;
qo - удельный наибольший расход воды из числа
водоразборов (см. табл.).
Для подбора оборудования (насосов, бака водосчетчика)
определяют по формуле
Таблица 2
Таблица 3
Здесь aч, следует
найти для значения NP4 , где Рч-Р/К
и Ки - коэффициент
использования прибора с максимальным удельным расходом
qo. Значения Ku,qo принимают из табл.
Практическое занятие 2 (8 часов)
Тема: Проектирование и расчет системы водоотведения
Выполняемые работы:
1. Изучить основные теоретические положения по
тематике практических занятий
2. Произвести расчеты
На плане следует показать выпуски от стояков до
смотровых колодцев из дворовой сети. Длину выпуска (от стены здания) принимают
равной 3-5 м. На выпусках указывают диаметр, длину и уклон труб.
Диаметры стояков принимают: 50 мм при расходах 0,8;
1,21 и 1,4 л/с и угле присоединения к ним поэтажных отводов соответственно 90;
60 и 45°, 100 мм при расходах 4,3; 6,4 и 7.4 л/с (отводах диаметром 50 мм) или
3,2; 4,87 и 5,5 л/с (отводах 100 мм).
Для поворота стояка на выпуск применяют пологое колено
или два отвода по 135°. На разрезе по выпуску должны быть указаны: смотровой
колодец, его номер, глубина, отметки лотка труб, поверхности земли и пола
подвала, а также диаметр, длина и уклон выпуска. Нормальный уклон 0,035 для d=50 мм и 0,02 для d== 100 мм.
Канализационные выпуски проверяют
на выполнение условия
, при этом наполнение h/d
должно быть не менее 0,3 и не более 0,5, а скорость движения жидкости - не
менее 0,7 м/с.
Определяется расход по
формуле qK-5qo(K)a и табл. 2.4.
Для ориентировочных расчетов qK-qe +1.6 л/с (где qB -
по формуле 1).
Расчеты
заносят в таблицу 2.6.
Практическое занятие 3 (8 часов)
Тема: Системы водяного отопления. Системы парового
отопления.
Выполняемые работы:
1.Изучить основные теоретические положения по тематике
практических занятий
2.Решить задачи
Задача 1. Две вертикальные трубы центрального
отопления соединены горизонтапьным участком , на котором установлена задвижка
диаметром d. Температура воды в правой
вертикальной трубе tn = 80
С , а в левой - tn = 20 С. Найти разность суммарных
давлений на задвижку справа и слева . Высота воды в вертикальных трубах h над уровнем горизонтальной трубы.
АВ в месте ее крепления к цилиндрической части последнего.
Внутреннее давление в котле р = ЗО«1О Н/м 3 , диаметр
цилиндрической части котла D =
2 м.
Задача 2. Найти потери давления на трение при
движении воды с температурой t = 20 ° С в стальной цельносварной трубе , бывшей в
употреблении , с внутренним диаметром d = 0,500 м . Расход воды
Q = 0,60 м3/ с , длина трубы l = 500 м .
Задача 3. Вода при температуре t = 20 ° С протекает в количестве
Q=800 л/мин в горизонтальной трубе кольцевого сечения,
состоящей из двух концентрических оцинкованных стальных труб. Внутренняя труба
имеет наружный диаметр d =
100 мм, а наружная труба имеет внутренний диаметр D = 120 мм .Найти потери напора на трение на длине
трубы 1 = 500 м .
Рекомендуемая литература
1. Тихомиров К.В., Сергиенко З.С. Теплотехника, теплоснабжение и
вентиляция: Учебник для вузов. - М.: Стройиздат, 1991. - 475 с., ил
2. Внутренние санитарно-технические устройства в 3 ч. Ч.1. Отопление.
Ю.Н.Саргин и др. / Под редакцией И.Г.Староверова и Ю.И.Шиллера. 4-е изд.
- М.: Стройиздат, 1989. - 346 с., ил. (Спр. Проект.)
Практическое занятие 4 (6 часов)
Тема: Естественная вентиляция, аэрация зданий. Системы
механической вентиляции.
Выполняемые работы:
1. Изучить основные теоретические положения по
тематике практических занятий
2. Произвести расчеты по примерам
Пример 1. Рассчитать воздуховоды системы естественной вытяжной
вентиляции, обслуживающей врачебные кабинеты двухэтажного здания поликлиники.
Воздух удаляется из верхней зоны помещения на высоте 0,5м от потолка. Высота
этажей, включая толщину перекрытия 3,3м. Высота чердака под коньком крыши 3,6м.
Пример 2. Рассчитать калориферную установку для нагревания воздуха в
количестве L = 28000 м3/ч с начальной
температурой tн= --18ОС до конечной требуемой tк= +20ОС. Теплоноситель - вода tг= 150ОС и tо= 70ОС.
Контрольные задания для СРС
1. Расчет системы водоснабжения и канализации специальных зданий
(бань, прачечных, фонтанов, бассейнов)
2. Определить фактическое естественное давление в циркуляционных кольцах
системы отопления. Коэффициент полезного действия изоляции главного стояка и
трубопроводов, проходящих через неотапливаемые помещения h=0,7.
3. Рассчитать воздуховоды системы естественной
вытяжной вентиляции, обслуживающей врачебные кабинеты двухэтажного здания
поликлиники. Воздух удаляется из верхней зоны помещений на высоте 0,5м от
потолка. Высота этажей, включая толщину перекрытия 3,3м. Высот чердака под
коньком крыши 3,6м.
Рекомендуемая литература
1. Тихомиров К.В., Сергиенко З.С. Теплотехника, теплоснабжение и вентиляция:
Учебник для вузов. - М.: Стройиздат, 1991. - 475 с., ил
2. Внутренние санитарно-технические устройства в 3 ч. Ч.1. Отопление.
Ю.Н.Саргин и др. / Под редакцией И.Г.Староверова и Ю.И.Шиллера. 4-е изд.
- М.: Стройиздат, 1989. - 346 с., ил. (Спр. Проект.)
5 Методические указания для выполнения лабораторных работ
Лабораторные работы по данной дисциплине не предусмотрены
6 Тематический план самостоятельной
работы студента с преподавателем
|
Наименование темы СРСП
|
Цель занятий
|
Формат проведения занятия
|
Содержания занятия
|
Рекомендуемая литература
|
|
1 Системы водоснабжения.
Классификация, нормы водопотребления, расчет потребности в воде
|
Углубление знаний по данной
теме
|
Практическое занятие
|
Самостоятельно изучить
особенности водоснабжения
|
1,2,3
|
|
2 Проектирование и расчет
системы внутреннего водоснабжения здания
|
Приобретения практических
навыков
|
Практическое занятие
|
Расчетные
(аксонометрические) схемы водоснабжения
|
1,3,6,7
|
|
3 Преобразователи
гидравлической энергии. Насосы, насосные станции
|
Приобретение практических
навыков в выборе насосов
|
Практические занятия
|
Последовательное и
параллельное соединение центробежных насосов
|
1,2
|
|
4 Системы водоотведения
проектирования и расчета
|
Углубление знаний по теме
|
Практическое занятие
|
Построение продольных
профилей дворовой канализации
|
1,3,8
|
|
5 Теплопередача, закон
Фурье, теплопроводность, конвекция, излучение
|
Углубление знаний по теме
|
Семинар
|
Теплопроводность,
конвекция, излучение
|
4,5
|
|
6. Теплопередача через сложную стенку
|
Приобретения практических
навыков
|
Практическое занятие
|
Расчет потерь через сложные
стенки
|
4,5,6,7
|
|
7. Общие сведения об отоплении и требования к системе
отопления
|
Углубление знаний по теме
|
Семинар
|
Требования, предъявляемые в
системе отопления
|
4,5
|
|
8 Системы водяного
отопления. Системы парового отопления.
|
Углубление знаний по теме
|
Семинар
|
Преимущества и недостатки
водяной и паровой систем отопления
|
4,5,6
|
|
9. Естественная вентиляция,
аэрация зданий. Системы механической вентиляции
|
Углубление знаний по теме
|
Семинар
|
Преимущества системы
механической вентиляции
|
6,7,8
|
|
10.Газоснабжение
|
Углубление знаний по теме
|
Семинар
|
Устройство и оборудование
|
4
|
7 Материалы для контроля знаний
студентов в период рубежного контроля и итоговой аттестации
7.1 Тематика контрольных работ
1. Расчет системы водоснабжения [1] - тема 2
2. Расчет системы водоотведения [3] - тема 3
3.Расчет и проектирование системы водяного отопления
4.Расчет теплопотерь через ограждающие конструкции
5.Расчет воздуховодов систем вентиляции
7.2 Вопросы для самоконтроля
1 Потери давления на преодоление местных сопротивлений
определяются по формуле, Па:
2 Потери давления на преодоления трения на участке
трубопровода с постоянным
расходом воды
определяются:
3 Основной тип насосов применяемый в системе
водоснабжения:
поршневые.
4 Что достигается при параллельном соединении
центробежных насосов?
5 Что достигается
последовательным соединением центробежных насосов?
6 Отчего зависит коэффициент местных сопротивлений?
7 Необходимое особое условие для успешного запуска
центробежного насоса:
8 Назначение предохранительного клапана:
9 Какие параметры потока жидкости изменяются при
гидроударе?
10 Назначение "ревизии" на канализационном
стояке:
11 Глубина заложения водопроводной сети (Н3)
в зависимости от глубины промерзания грунта (Нп):
12 Наиболее рациональный способ соединения
водопроводных труб при внутренней разводке:
13 Основной рабочий элемент пружинного манометра:
14 Чем обусловлено ограничение минимальной скорости
движения сточных вод в трубопроводах?
15 Для чего применяются сифоны при установке санитарных
приборов?
16 Как предохранить водонапорные трубы внутренней
разводки от конденсата?
17 Глубина заложения выпуска канализации из здания (Нк):
18 Критическое значение числа Рейнольдса для воды:
19 Чем должен заканчиваться канализационный стояк в
многоэтажном доме?
20 Что обеспечивает вентиляцию канализационных труб и
коллекторов?
21 Назначение обратного клапана:
22 Минимальное время выдержки при гидравлическом
испытании водопроводных трубопроводов:
23 Максимальное давление на которое испытываются системы
внутреннего водопровода:
24 Где должен быть установлен канализационный стояк в
жилом здании?
25 Какие из перечисленных насосов позволяют получить
максимальное рабочее давление?
26 Что означает выражение водопроводная труба
диаметром 1 дюйм?
27 Минимальный уклон при горизонтальной прокладке
канализационных труб:
28 Наиболее экономичная скорость движения воды в
водопроводных трубах:
29 Что такое диктующий прибор в расчетной схеме
водоснабжения здания?
30 Максимальная величина уклона трубопроводов канализационной
сети диаметром 150мм:
31 Минимальное значение самоочищающей скорости для
бытовых сточных вод, м/с:
32 Величина максимальной разности давления на
проводках горячей и холодной воды в смесителях, МПа:
33 Максимальное давление водовоздушной смеси при промывке
трубопроводов, МПа:
34 Необходимая температура воды в системе горячего
водоснабжения, °С:
35 Причины возникновения шума в трубопроводах систем
водоснабжения:
36 Способ устранения распространения шума от насоса по
трубопроводам:
37 Способ борьбы с конденсацией паров на поверхности
водопроводных труб:
38 Нормативный срок службы водозаборной арматуры,
годы:
39 Нормативный срок службы холодного водопровода не
оцинкованного, годы:
40 Нормативный срок службы холодного водопровода
оцинкованного, годы
41 Нормативный
срок службы чугунных канализационных труб, годы:
42 Основной расчетный параметр инженерных сетей:
43 Какой параметр ограничивается во всех инженерных системах?
44 Какая инженерная система является самотечной?
45 Минимальный свободный напор у бытовых приборов, м:
46 Место установки канализационного стояка:
47 Прочистки устанавливаются:
48 Таблицы Щевелева предназначены для:
49 Величина
коэффициента местных сопротивлений зависит от:
50 Величина давления развиваемого центробежным насосом определяется:
51 Единицы измерения норм хозяйственно-питьевого водоснабжения:
52 Единицы измерения кинетической вязкости:
53 Отчего зависит коэффициент местных
сопротивлений?
54 Способ устранения распространения шума от насосов по трубопроводам:
55 Минимальный уклон при горизонтальной прокладке канализационных труб:
56 Какая зависимость является характеристикой сети?
57 Расстояние между гидрантами на городской сети водоснабжения, м:
58 Расход воды на противопожарную защиту
здания, на 1 м2 площади пола:
59 Минимальное значение температуры горячей воды в точках водоразбора, °С:
60 Минимальный уклон для трубопроводов горячего водоснабжения:
61 Удельное водоотведение в механизированных районах
л/сут на 1 человека:
62 Санитарно-защитная зона для сливных станций, м:
63 Наименьший диаметр труб самотечных уличных сетей,
мм:
64 Расчетное наполнение каналов прямоугольного
поперечного сечения принимать в зависимости от высоты h:
65 Расстояние между смотровыми канализационными колодцами при
диаметре трубы 200 мм:
66 Диаметр круглых канализационных колодцев при
трубопроводах диаметром до 600 мм:
67 Число вторичных отстойников на очистном сооружении:
68 Назначение редукционных клапанов:
69 Высота установки ревизии (от пола), м
70 Диаметр горловины канализационных колодцев:
71 Какие насосы находят наибольшее применение в
инженерных сетях?
72 Водосливом
называется:
73 На
каком явлении основан гидротаран?
74 Каким
коэффициентом характеризуется движение жидкости в открытых руслах?
75 Основной
недостаток шестеренных машин:
76 ”Слабый
узел” силового цилиндра:
77 По
какой зависимости строится напорная линия потока?
78 По
какой зависимости строится линия пьезометрического напора?
79 Что
такое гидравлический уклон
80 Гидравлически
гладкая труба-
81 Какой
вид насадка позволяет получить максимальный расход?
82 Какой
насадок имеет максимальный коэффициент местных сопротивлений?
83 Какая
зависимость называется формулой Шези?
84 Какая
зависимость называется формулой Н Н Павловского?
85 Что
называется фильтрацией?
86 Что характеризует коэффициент фильтрации?
87 Гидравлический радиус это:
88 Минимальный уклон для трубопроводов горячего водоснабжения
89 Кратность воздухообмена что это
90 Расход воды на противопожарную защиту здания, на 1 м3
площади пола
91 На какое рабочее давление рассчитывается арматура
хозяйственно-питьевого водопровода, МПа
92 Минимальное значение температуры горячей воды в точках водоразбора, оС
93 Какая зависимость является характеристикой сети?
94 Расстояние между гидрантами на
городской сети водоснабжения, м
95 Максимальная скорость сточных вод в металлических трубах, м/с
96 Максимальная скорость сточных вод в неметаллических трубах
97 Дроссель в гидросистеме
98 Принцип гидравлического замка
99 Какая принципиальная схема насоса позволяет получить максимальный КПД
по расходу
100 Какая цель достигается при последовательном соединении насосов и при
параллельном включении насосов
101 Прибор для определения наносов отрытом русле
102 Какой трубопровод работает под давлением, ниже атмосферного?
103 Что такое нижний бьеф
7.3 Экзаменационные билеты (тесты)
1 Отчего зависит коэффициент местных сопротивлений?
A) режима движения жидкости
B) свойств жидкости
C) скорости движения жидкости
D) конструктивных параметров элементов
E) гидростатического давления
А) 2000;
В) 3500;
С) 4000;
D) 3750;
Е) 2320.
3 Таблицы Щевелева предназначены для:
A)определения
вязкости жидкости;
B)расчета
потерь на трение;
C)расчета
потерь на местных сопротивлениях;
D)определения
коэффициента трения;
E)определения
шероховатости трубопровода.
4 Единицы измерения кинетической вязкости:
A)Пуаза;
B)м2
в час;
C)м/с2;
D)м2/с;
E)с/м.
5 Каким
коэффициентом характеризуется движение жидкости в открытых руслах?
A)
Дарси
B)
Вейсбаха
C)
Рейнольдса
D)
Шези
E)
Ньютона
6 Гидравлический
уклон это:
A)
Разность между геодезическими отметками
B)
Отношение перепада высот к длине
C)
Отношение потерь на трение к длине
D)
Соотношение между общими потерями и длиной
E)
Отношение средней скорости к длине
7 Гидравлически
гладкая труба-
A)
Труба с ламинарным потоком жидкости
B)
Труба с шероховатостью менее 0,01 мм
C)
Труба с эквивалентной шероховатостью менее 0,02 мм
D)
Труба, в которой отсутствуют потери на трение
E) В
практике не существует
8 Какой
вид насадка позволяет получить максимальный расход?
A)
Цилиндрический внешний
B)
Цилиндрический внутренний
C)
Конический сходящийся
D)
Конический расходящийся
E)
Коноидальный
9 Что
называется фильтрацией?
A) Движение воды в пористой среде
B) Движение воды под действием атмосферного давления
C) Движение грунтовых вод
D) Движение воды за счет сил гравитации
E) Естественное движение воды в грунте
10 Гидравлический радиус это:
A) Отношение смоченного периметра к площади живого сечения
B) Отношение площади живого сечения к смоченному периметру
C) Отношение площади сечения к средней скорости
D) Эквивалентный диаметр
E) Условие понятия
11 Что описывает уравнение Бернулли
A)
характер режима движения
B)
давление внутри жидкости
C)
энергию потока жидкости
D)
внутреннюю энергию жидкости
E)
тепловой режим
12 Что такое кавитация
A)
схлопывание пузырьков растворенного воздуха
B)
резкое повышение давления
C)
изменение направления потока
D)
падение температуры
E)
повышение скорости
13 Безнапорным называется поток жидкости если
A)
параметры потока не меняются по длине
B)
параметры потока не меняются во времени
C) Re > 2320
D) Re < 2320
E)
поток имеет свободную поверхность
14 Равномерное движение если
A)
параметры потока не меняются по длине
B)
параметры потока не меняются во времени
C) Re > 2320
D) Re < 2320
E)
поток имеет свободную поверхность
15 Установившееся движение если
A)
параметры потока не меняются по длине
B)
параметры потока не меняются во времени
C) Re > 2320
D) Re < 2320
E)
поток имеет свободную поверхность
16 Единицы измерения кинетической вязкости жидкости
A)
Пуаза
B)
градус/мин
C) м2/с
D) м3/с
E)
кг/с2
18 Прибор для измерения скорости движения воды в открытом русле
A)
расходомер Вентури
B)
трубка Пито
C)
анеометр
D)
пьезометр
E)
барометр
19 Что является основным внешним признаком задвижки
A)
фланцевое соединение
B)
винтовой шток
C)
ручка поворота
D)
форма корпуса
E)
габаритные размеры
20 Наиболее эффективный способ борьбы с гидроударом в трубопроводах
A)
установка предохранительного клапана
B)
применение редукционных клапанов
C)
применение гидравлических аккумуляторов
D)
увеличение продолжительности срабатывания запорной арматуры
E)
уменьшение давления
21 Простой длинный трубопровод это
A)
сифон
B)дюкер
C)трубопровод
только одного диаметра
D)
система только с последовательным соединением участков разных размеров
E)
система с параллельным соединением трубопроводов
22 Чем объясняется сопротивление жидкости растягивающим усилиям?
A) Вязкостью
B) Внутренней энергией
C) Силами молекулярного взаимодействия
D) Поверхностным натяжением
E) Плотностью
23 Какой трубопровод работает под давлением, ниже атмосферного?
A) Простой
B) Сложный
C) Дюкер
D) Сифон
E) Короткий
24 Наивыгоднейшее сечение канала
A) Прямоугольное
B) Трапецеидальное
C) Треугольное
D) Полукруг
E) Квадрат
25 Какой вид теплообмена в твердых телах:
A) конвекция;
B) теплопроводность;
C) тепловое излучение;
D) теплопередача;
E) теплоусвоение;
26 В жилых помещениях Dt принимается для стен:
A) 2;
B) 4;
C) 6;
D) 8;
E) 10.
27 Расчет теплопотерь через наружные ограждающие
конструкции проводится по следующей зависимости
A) Q=FK (tв-t1);
B) Q=FK(tB-t1)a
e ;
C) Q=R0F(tB-t1)n;
D) Q=FK(tB-t1)n;
E) Q=FK(tH-t1)n;
28 Расчет теплопотерь по укрупненным показателям:
A) Q=FK(tB.cp-t1)
;
B) Q=(F(tв.cр-t1)a)/Ro;
C) Q=q0 (tВ.ср-t,)n;
D) Q=q0Vc(tB.cр-t1)n;
E) Q=q0Vc(tВ.ср-t1).
29 Назначение элеватора:
A) снизить температуру теплоносителя;
B) повысить давление;
C) уменьшить количество подаваемого в здание тепла;
D) снизить количество подаваемого в здание тепла;
E) снизить давление в трубопроводе здания;
30 Площадь поверхности нагревательного прибора
определяется по формуле, ЭКМ:
A) F=Q/K(t1-ta);
B) F=(Qb1b2)/K(t1-ta
);
C) F=(Qb1b2)/q1;
D) F=(Qb1b2b3b4)/K(tfl6-ta);
E) F=(Qb3b4)/K(tfi6-ta);
31 Расширительный сосуд предназначен для:
A) удаления избыточного количества воды;
B) удаления воздуха и компенсации изменяющегося объема воды при
нагревании
C) создания перепада давления в системе;
D) заполнения системы водой;
E) удаление пара;
32 Системы водяного отопления называются
вертикальными, когда:
A) имеют вертикальные трубы;
B) имеют расширительный сосуд;
C) установлен воздухосборник;
D) нагревательные приборы присоединены по горизонтали;
E) нагревательные приборы присоединены по вертикали;
33 По схеме питания нагревательных приборов системы
отопления бывают двухтрубные, когда:
A)имеется два горячих стояка;
B)один горячий стояк;
C)приборы присоединены к стояку с двух сторон;
D)теплоноситель поступает в прибор из одной трубы и возвращается из него в
эту же трубу;
E) теплоноситель поступает в прибор из одной трубы а
возвращается в другую трубу;
34 Системы парового отопления называются открытыми,
когда:
A) теплоноситель используется на другие
нужды;
B)
конденсатопровод
имеет связь с атмосферой;
C)
конденсат
используется для технологических нужд;
D) конденсатопровод не имеет связи с
атмосферой;
E) паропровод имеет связь с атмосферой через
предохранительный клапан;
35 Аэрация это:
A) естественная неорганизованная
вентиляция
B)
искусственная
вентиляция
C)
комбинированная
D) естественная организованная
E) вентиляция с применением каналов и
воздуховодов
36 Вентиляция локализирующая когда:
A) воздух подается в месте выделения
вредностей;
B)
воздух удаляется
из места выделения вредностей;
C)
воздух подается и
удаляется независимо от места выделения вредностей;
D) воздух подается или удаляется из
места выделения вредностей;
E) при работе вентиляции предотвращается
распространение вредностей по всему объему помещения;
37 Тепловые сети называются закрытые, когда:
А) имеют связь с атмосферой;
В) теплоноситель идет на горячее водоснабжение;
С) весь теплоноситель возвращается к месту выработки;
D) теплоноситель используется на внутренние нужды по месту
выработки;
Е) теплоноситель используется на технологические
нужды.
38 К конвективным системам отопления относятся системы
оборудованные следующими нагревательными приборами:
A) ребристыми трубами
B) регистры
C) гладкотрубные
D) змеевиками
E) подвесные панели
39 По схеме питания нагревательных приборов системы
отопления бывают однотрубные, когда:
A) имеется два горячих стояка;
B) один горячий стояк;
C) приборы присоединены к стояку с двух сторон;
D) теплоноситель поступает в прибор из одной трубы и
возвращается из него в эту же трубу;
E) теплоноситель поступает в
прибор из одной трубы и возвращается в другую трубу.
40 Системы водяного отопления называются с попутным
движением, когда:
А) теплоноситель движется за счет работы насоса;
В) направление движения теплоносителя в стояках совпадают;
С) движение теплоносителя в стояках направлено в
разные стороны;
D) движение теплоносителя в магистральных трубопроводах внутри здания
направлены в разные стороны;
Е) движение теплоносителя в магистральных трубопроводах внутри
здания имеют одинаковое направление.
41 Система парового отопления называется разомкнутой,
когда:
А) пар поступает в нагревательные приборы через
редукционный клапан;
В) конденсат в котел поступает из
конденсатного бака;
С) конденсат в котел поступает из конденсатопровода;
D)
система имеет напорный конденсатопровод;
Е) пар поступает в приборы без редукционного клапана.
42 Канальная вентиляция:
A) естественная неорганизованная вентиляция;
В) искусственная вентиляция;
С) комбинированная;
D) естественная организованная;
Е) вентиляция с применением каналов и воздуховодов.
43 Местная вентиляция, когда:
А) воздух подается в месте выделения вредностей;
В) воздух удаляется из места выделения вредностей;
С) воздух подается и удаляется независимо от места
выделения вредностей;
D) воздух подается или удаляется из места выделения
вредностей;
Е) при работе вентиляции предотвращается
распространение вредностей по всему объему помещения.
44 К лучистым системам отопления относятся системы
отопления оборудованные:
A) ребристыми трубами;
B) регистрами;
C)гладкотрубные;
D) змеевики;
E) подвесные панели.
45 Регистры изготавливают из:
A) труб;
B) конвекторов;
C) подвесных панелей;
D) ребристых труб;
A) чугунных радиаторов.
46 Система парового отопления называется замкнутой,
когда:
A) пар поступает в нагревательные приборы через редукционный
клапан;
B) конденсат в котел поступает из конденсатного бака;
C) конденсат в котел поступает из конденсатопровода;
D) система имеет напорный конденсатопровод;
E) пар поступает в приборы без редукционного клапана.
47 Запах газа в системах газоснабжения обусловлен
содержанием:
А) метана;
В) пропана;
C) бутана;
D) этана;
E) одоранта.
48 Газовая груба прокладывается через стену в:
A) стальном футляре
B) бетонном футляре
C) деревянном корпусе
D) специальной обмотке
E) отверстие заделанном в толщине цементным раствором
49 Инфильтрация - это:
A) естественная неорганизованная ывентиляция;
B) искусственная вентиляция;
C) комбинированная;
D) естественная организованная;
E) вентиляция с применением каналов и
воздуховодов.
50 Вентиляция общеобменная когда:
A) воздух подается в месте выделения вредностей;
B) воздух удаляется из места выделения вредностей;
C) воздух подается и удаляется независимо от места выделения
вредностей;
D) воздух подается или удаляется из места выделения
вредностей;
E) при работе вентиляции предотвращается
распространение вредностей по всему объему помещения.
51 Нагрев вентиляционного воздуха производится в:
A) регистрах;
B) калориферах;
C) конвекторах;
D) ребристых трубах;
E) стальных италерованных радиаторах.
52 Основной тип насосов применяемый в системе
водоснабжения:
А) шестеренные;
В) пластинчатые;
С) центробежные;
D) плунжерные;
Е) поршневые.
53 Что достигается при параллельном соединении
центробежных насосов?
A) увеличивается производительность;
B) повышается рабочее давление;
C) повышается КПД;
D) улучшаются условия эксплуатации;
E) повышение экономичности работы.
54 Что достигается
последовательным соединением центробежных насосов?
A) увеличивается производительность;
B) повышается напор;
C) понижается напор;
D) повышается КПД;
E) снижаются
энергозатраты.
55 Необходимое особое условие для успешного запуска
центробежного насоса:
A) предварительное заполнение жидкостью;
B) установка обратного клапана;
C) использование фильтра во всасывающей магистрали;
D) установка предохранительного клапана в напорной магистрали;
E) установка дросселя.
56 Где должен быть установлен канализационный стояк в
жилом здании?
A) у каждого санитарного прибора в квартире;
B) один на две смежные квартиры;
C) не менее одного на квартиру у прибора с наибольшим расходом
сточных вод;
D) у унитаза;
Е) в ванной комнате.
57 Что такое диктующий прибор в расчетной схеме
водоснабжения здания?
A) прибор с наибольшим расходом;
B) с эквивалентом расхода равным 1;
C) наиболее удаленный от ввода;
D) расположенный на максимальной высоте;
Е) обладающий наибольшим свободным напором.
58 Способ устранения распространения шума от насоса по
трубопроводам:
A) снижение скорости вращения вала насоса;
B) установление гибких вставок в напорный трубопровод;
C) замена амортизаторов под двигателем;
D) применение эластичных муфт при передаче крутящего момента с
двигателя на насос;
Е) изменение конструкций фундамента.
59 Нормативный срок службы водозаборной арматуры,
годы:
А) 5;
В) 10;
С) 15;
D) 20;
E) 25.
60 Нормативный срок службы чугунных радиаторов, годы:
А) 5;
В) 10;
С) 20;
D) 30;
E) 40.
61 Какой параметр ограничивается во всех инженерных системах?
A)
давление;
B)
скорость;
C)
температура;
D)
вязкость;
62 Какая инженерная система рассчитывается для трех различных параметров
среды?
А)Водоснабжение;
В)Канализация;
С)Отопление;
D)Вентиляция;
E)Электроснабжение.
63 Величина давления развиваемого центробежным насосом определяется:
A)конструкцией
насоса;
B)характеристикой
сети;
C)скоростью
вращения колеса;
D)режимом
движения жидкости;
E)плотностью
жидкости.
64 Потери давления на преодоление местных
сопротивлений определяются по
формуле, Па:
A)Z=Σξ(V2/2)1;
B)
Z=Σξ(7tPV2/2)l;
C)
Z=Σξ(V2/2)p;
D)
Z=Σξ(πd2V/2)p;
E) Z=Σξ( V 2/2)pc;
65 Потери давления на преодоления трения на участке
трубопровода с постоянным
расходом воды
определяется:
A) RT =(lpv2l)/d3
В) RT=(lpdl)/2v
С) RT =(lpv2l)/d2
D) RT=(pdpl)/2
E) RT=(pdv)/pl
66 Отчего зависит коэффициент местных сопротивлений?
A) режима движения жидкости
B) свойств жидкости
C) скорости движения жидкости
D) конструктивных параметров элементов
E) гидростатического давления
67 Какие параметры потока жидкости изменяются при
гидроударе?
А) температура;
В) давление;
С) расход;
D) режим движения;
E) скорость.
68 Критическое значение числа Рейнольдса для воды:
А) 2000;
В) 3500;
С) 4000;
D) 3750;
Е) 2320.
69 Таблицы Щевелева предназначены для:
A)определения
вязкости жидкости;
B)расчета
потерь на трение;
C)расчета
потерь на местных сопротивлениях;
D)определения
коэффициента трения;
E)определения
шероховатости трубопровода.
70 Величина коэффициента местных сопротивлений зависит от:
A)конструкции
элемента системы;
B)вязкости
жидкости;
C)скорости
жидкости;
D)давления;
E)расхода.
71 Единицы измерения кинетической вязкости:
A)Пуаза;
B)м2
в час;
C)м/с2;
D)м2/с;
E)с/м.
72 Расчетное наполнение каналов прямоугольного
поперечного сечения принимать в зависимости от высоты h:
A) 0,5h;
B) 0,6h;
C) 0,7h;
D) 0,75h;
Е) 0,8h.
73 На
каком явлении основан гидротаран?
A)
Кавитация
B)
Изменение скорости в насадке
C)
Турбулентность
D)
Трение в трубопроводе
E)
Гидравлический удар
74 Каким коэффициентом характеризуется движение жидкости в открытых
руслах?
A)
Дарси
B)
Вейсбаха
C)
Рейнольдса
D)
Шези
E)
Ньютона
75 По
какой зависимости строится напорная линия потока?
A)
B) Z+
+
C) Z+
D)
E) Z+
+
+
h
76 По какой зависимости строится линия пьезометрического
напора?
A)
B) Z+
+
C) Z+
D)
E) Z+
+
+
h
77 Гидравлический уклон это:
A) Разность между геодезическими отметками
B) Отношение перепада высот к длине
C) Отношение потерь на трение к длине
D) Соотношение между общими потерями и длиной
E) Отношение средней скорости к длине
78 Гидравлически гладкая труба-
A) Труба с ламинарным потоком жидкости
B) Труба с шероховатостью менее 0,01 мм
C) Труба с эквивалентной шероховатостью менее 0,02 мм
D) Труба, в которой отсутствуют потери на трение
E) В практике не существует
79 Какой вид насадка позволяет получить максимальный
расход?
A) Цилиндрический внешний
B) Цилиндрический внутренний
C) Конический сходящийся
D) Конический расходящийся
E) Коноидальный
80 Какой насадок имеет максимальный коэффициент местных
сопротивлений?
A) Цилиндрический внешний
B) Цилиндрический внутренний
C) Конический сходящийся
D) Конический расходящийся
E) Коноидальный
81 Какая зависимость называется формулой Шези?
A) C=
B) C=
C)
C=
D)
E) C=
+17.72lgR
82 Какая зависимость называется формулой Н Н Павловского?
A) C=
B) C=
C)
D)
E) C=
83 Что
называется фильтрацией?
F) Движение воды в пористой среде
G) Движение воды под действием атмосферного давления
H) Движение грунтовых вод
I) Движение воды за счет сил гравитации
J) Естественное движение воды в грунте
84 Что характеризует коэффициент фильтрации?
A) Пористость грунта
B) Фильтрационную способность грунта
C) Пьезометрический уклон
D) Скорость фильтрации
E) Расход фильтрационного потока
85 Гидравлический радиус это:
F) Отношение смоченного периметра к площади живого сечения
G) Отношение площади живого сечения к смоченному периметру
H) Отношение площади сечения к средней скорости
I) Эквивалентный диаметр
J) Условие понятия
86 Что представляют собой градусы Энглера
A)
единица измерения вязкости
B)
температурный показатель
C)
безразмерный критерий
D)
показатель режима движения
E)
параметр внутренней энергии
87 В каких единицах измеряется напор жидкости
A)
Паскаль (Па)
B)
Ньютон (Н)
C)кгс/см2
D)
метр столба жидкости
E) м2/с
88 Что описывает уравнение Бернулли
A)
характер режима движения
B)
давление внутри жидкости
C)
энергию потока жидкости
D)
внутреннюю энергию жидкости
E)
тепловой режим
89 По какой зависимости определяется критерий Рейнольдса
A)
B)
C)
D)
E)
90 По какой зависимости
определяются потери по длине
A)
B)
C)
D)
E)
91 Какая зависимость
называется скоростным напором
A)
B)
C)
D)
E)
92 Какая зависимость
называется уравнением сплошности потока
A)
B)
C)
D)
E)
93 По какой зависимости
определяются потери на трение
A)
B)
C)
D)
E)
94 Что такое кавитация
A) схлопывание пузырьков растворенного воздуха
B) резкое повышение давления
C) изменение направления потока
D) падение температуры
E) повышение скорости
95 Чем обусловлен
гидравлический удар
A) резким возрастанием температуры
B) изменение направления движения
C) падением давления
D) возрастанием вязкости
E) резким падением скорости
96 В каких единицах
измеряется пьезометрический напор
A) метр столба жидкости
B) Паскаль (Па)
C) Ньютон (Н)
D) кгс/см2
E) м2/с
97 По какой зависимости
рассчитывается гидроудар
A)
B)
C)
D)
E)
98 По какой зависимости
определяется гидростатическое давление
A)
B)
C)
D)
E)
99 Безнапорным называется
поток жидкости если
A) параметры потока не меняются по длине
B) параметры потока не меняются во времени
C) Re > 2320
D) Re < 2320
E) поток имеет свободную поверхность
100 Равномерное движение если
A) параметры потока не меняются по длине
B) параметры потока не меняются во времени
C) Re > 2320
D) Re < 2320
E) поток имеет свободную поверхность
101 Установившееся движение
если
A) параметры потока не меняются по длине
B) параметры потока не меняются во времени
C) Re > 2320
D) Re < 2320
E) поток имеет свободную поверхность
102 Единицы измерения
кинетической вязкости жидкости
A) Пуаза
B) градус/мин
C) м2/с
D) м3/с
E) кг/с2
103 Коэффициент местных
сопротивлений зависит от
A) скорости
B) давления
C) критерия Рейнольдса
D) конструкции элемента системы
E) расхода жидкости
104 Единица измерения
критерия Рейнольдса
A) безразмерная величина
B) м2/с
C) м3/с
D) град/с
E)кг/м·сек
105 Соотношение между
коэффициентом объемного состояния
и
модулем упругости Е
A)
B)
C)
D)
E)
106 Прибор для измерения
скорости движения воды в открытом русле
A) расходомер Вентури
B) трубка Пито
C) анеометр
D) пьезометр
E) барометр
107 Что является основным
внешним признаком задвижки
A) фланцевое соединение
B) винтовой шток
C) ручка поворота
D) форма корпуса
E) габаритные размеры
108 Турбулентность в потоке
возникает при
A) повышении давления
B) снижении давления
C) повышении скорости
D) снижении скорости
E) изменении направления вектора скорости
109 Наиболее эффективный
способ борьбы с гидроударом в трубопроводах
A) установка предохранительного клапана
B) применение редукционных клапанов
C) применение гидравлических аккумуляторов
D) увеличение продолжительности срабатывания запорной
арматуры
E) уменьшение давления
110 Смоченный периметр это:
A) периметр сечения потока
B) периметр сечения потока по твердым стенкам
C) условный периметр характеризующий расход
D) отношение живого сечения к средней скорости
E) зависимость между уклоном и расходом
111 Наивыгоднейшие пропорции
сечения прямоугольного канала
A) b=h
B) b=2h
C) 2=h
D) b=3h
E) b=1,5h
112 Соотношение между
диаметром и гидравлическим радиусом для напорных труб
A) D=2R
B) D=R
C) D=3R
D) D=4R
E) D=0,5R
113 Прибор для измерения
вязкости жидкости
A) анеометр
B) вакуумметр
C) вискозиметр
D) дифференциальный манометр
E) трубка Пито
114 Свободная поверхность
A) поверхность на границе жидкости и газа
B) поверхность под атмосферным давлением
C) поверхность с постоянным давлением
D) поверхность с нулевым давлением
E) горизонтальный уровень жидкости
115 Соотношение между
единицами давления Ат и Паскаль (Па)
A) 1 ат = 1 Па
B) 1 ат = 9,8 Па
C) 1 ат = 1×104
Па
D) 1 ат = 0,1 МПа
E) 1 ат = 0,1 кПа
116 Абсолютное давление
A) показания барометра
B) показания манометра
C) сумма барометрического и манометрического давления
D) разность барометрического и пьезометрического
давления
E) понятие не имеющее физического смысла
117 Скоростной напор это
A) m·V
B) m·a2
C) m·V2/2
D) P+Rg
E) m·V2/2g
118 Истечение жидкости из
отверстия определяется по
A)
B)
C)
D)
E)
119 Вихрем в жидкости
является
A) турбулентное движение
B) вектор угловой скорости вращения частицы жидкоси
C) нормальная составляющая скорости движения
D) ускорение частиц жидкости перпендикулярное средней
скорости потока
E) вращательное движение частиц в потоке
120 Причина сжатия струи за
тонким отверстием
B) поверхностное натяжение в жидкости
C) вязкость жидкости
D) влияние внешнего давления
E) влияние гравитации
121 Простой длинный
трубопровод это
A) сифон
B)дюкер
C)трубопровод только одного диаметра
D) система только с последовательным соединением
участков разных размеров
E) система с параллельным соединением трубопроводов
122 Коэффициент сжатия струи
A) отношение площади отверстия к площади сжатого
сечения
B) отношение площади сжатого сечения к площади
отверстия
C) соотношение скоростей до сжатия струи и после
D) соотношение скоростей в сжатой струе и после сжатия
E) отношение площади сжатого сечения к скорости струи
123 В каком случае трубу
присоединенную к отверстию можно считать насадком
A) l<d
B) l=d
C) l=(3¸5)d
D) l>5d
E) l=(6¸10)d
124 Прибор для определения
наносов отрытом русле
A) вискозиметр
B) трубка Пито
C) барометр
D) расходомер Вентури
E) профилограф
125 Фарватер это
A) сечение наименьше глубины потока
B) линия наименьших глубин
C) линия наибольших глубин
D) сечение потока в максимальной глубине
E) средняя глубина русла
126 Чем измеряется средняя
скорость реки по вертикали
A) точечный поплавок
B) гидрометрический шест
C) профилограф
D) гидрометрическая вертушка
E) трубка Пито
127 Чем объясняется
сопротивление жидкости растягивающим усилиям?
F) Вязкостью
G) Внутренней энергией
H) Силами молекулярного взаимодействия
I) Поверхностным натяжением
J) Плотностью
128 Чем обусловлена капиллярность жидкости?
A) Вязкостью
B) Внутренней энергией
C) Силами молекулярного взаимодействия
D) Поверхностным натяжением
E) Плотностью
129 Какой трубопровод работает под давлением, ниже атмосферного?
F) Простой
G) Сложный
H) Дюкер
I) Сифон
J) Короткий
130 Нижний бьеф это:
A) Уровень твердой поверхности после водосливной стенки
B) Часть потока за водосливной стенкой
C) Сечение потока за водосливом
D) Ширина потока после водослива
E) Глубина подпора
131 Наивыгоднейшее сечение канала
F) Прямоугольное
G) Трапецеидальное
H) Треугольное
I) Полукруг
J) Квадрат
132 Наиболее целесообразное сечение канала из соображений устойчивости
стенок:
A) Прямоугольное
B) Трапецеидальное
C) Треугольное
D) Полукруг
E) Квадрат
|
Номер вопроса
|
Правильный ответ
|
|
1.
|
D
|
|
2.
|
Е
|
|
3.
|
D
|
|
4.
|
B
|
|
5.
|
D
|
|
6.
|
D
|
|
7.
|
C
|
|
8.
|
A
|
|
9.
|
E
|
|
10.
|
A
|
|
11.
|
B
|
|
12.
|
C
|
|
13.
|
A
|
|
14.
|
E
|
|
15.
|
B
|
|
16.
|
B
|
|
17.
|
B
|
|
18.
|
C
|
|
19.
|
D
|
|
20.
|
D
|
|
21.
|
D
|
|
22.
|
D
|
|
23.
|
D
|
|
24.
|
B
|
|
25.
|
В
|
|
26.
|
С
|
|
27.
|
D
|
|
28.
|
Е
|
|
29.
|
А
|
|
30.
|
С
|
|
31.
|
В
|
|
32.
|
Е
|
|
33.
|
Е
|
|
34.
|
В
|
|
35.
|
D
|
|
36.
|
Е
|
|
37.
|
С
|
|
38.
|
А
|
|
39.
|
D
|
|
40.
|
Е
|
|
41.
|
В
|
|
42.
|
Е
|
|
43.
|
D
|
|
44.
|
Е
|
|
45.
|
А
|
|
46.
|
С
|
|
47.
|
Е
|
|
48.
|
А
|
|
49.
|
А
|
|
50.
|
С
|
|
51.
|
В
|
|
52.
|
С
|
|
53.
|
А
|
|
54.
|
В
|
|
55.
|
А
|
|
56.
|
С
|
|
57.
|
С
|
|
58.
|
В
|
|
59.
|
С
|
|
60.
|
Е
|
|
61.
|
B
|
|
62.
|
D
|
|
63.
|
B
|
|
64.
|
С
|
|
65.
|
С
|
|
66.
|
D
|
|
67.
|
В
|
|
68.
|
Е
|
|
69.
|
D
|
|
70.
|
B
|
|
71.
|
B
|
|
72.
|
D
|
|
73.
|
E
|
|
74.
|
D
|
|
75.
|
B
|
|
76.
|
C
|
|
77.
|
C
|
|
78.
|
A
|
|
79.
|
E
|
|
80.
|
B
|
|
81.
|
D
|
|
82.
|
A
|
|
83.
|
A
|
|
84.
|
A
|
|
85.
|
B
|
|
86.
|
A
|
|
87.
|
D
|
|
88.
|
C
|
|
89.
|
A
|
|
90.
|
D
|
|
91.
|
C
|
|
92.
|
B
|
|
93.
|
D
|
|
94.
|
A
|
|
95.
|
E
|
|
96.
|
A
|
|
97.
|
D
|
|
98.
|
A
|
|
99.
|
E
|
|
100.
|
B
|
|
101.
|
E
|
|
102.
|
D
|
|
103.
|
B
|
|
104.
|
A
|
|
105.
|
B
|
|
106.
|
B
|
|
107.
|
C
|
|
108.
|
C
|
|
109.
|
D
|
|
110.
|
B
|
|
111.
|
B
|
|
112.
|
D
|
|
113.
|
C
|
|
114.
|
A
|
|
115.
|
D
|
|
116.
|
C
|
|
117.
|
C
|
|
118.
|
B
|
|
119.
|
B
|
|
120.
|
A
|
|
121.
|
D
|
|
122.
|
A
|
|
123.
|
C
|
|
124.
|
C
|
|
125.
|
C
|
|
126.
|
B
|
|
127.
|
D
|
|
128.
|
D
|
|
129.
|
D
|
|
130.
|
B
|
|
131.
|
D
|
|
132.
|
B
|
8 Методические указания для
выполнения курсового работы (проекта)
Курсовая работа (проект) по данной дисциплине не предусмотрена.