Предвидение и прогнозирование

  • Вид работы:
    Курсовая работа (т)
  • Предмет:
    Социология
  • Язык:
    Русский
    ,
    Формат файла:
    MS Word
    159,04 kb
  • Опубликовано:
    2011-02-28
Вы можете узнать стоимость помощи в написании студенческой работы.
Помощь в написании работы, которую точно примут!

Предвидение и прогнозирование

Содержание

1. Основные понятия

2. Предвидение случайных событий

3. Примеры расчетов на будущее

4. Методы прогнозирования

Библиографический список

1. Основные понятия


Выбор решения во многом определяется теми условиями, той предполагаемой обстановкой, в которой решение будет проводиться в жизнь. Поэтому менеджер не может сделать буквально ни шагу, не заглядывая в завтра. Он должен получить представление о том, как пойдут дела у предприятия, какой результат даст бизнес, как поведет себя рынок. Можно ли, однако, сделать достоверные предсказания?

Около 80 лет назад одна газета распространила любопытную анкету. Читателям было предложено назвать семь чудес света того времени. Для облегчения работы газета привела список из наиболее значительных достижений науки и техники. Вот некоторые из них в алфавитном порядке:

автомобиль, анестезия (обезболивание), антидифтеритная сыворотка, антисептика, аэроплан, Эйфелева башня, велосипед, динамо-машина, дирижабль, кинематограф, микроскоп, мелинит (взрывчатое вещество), открытие полюсов, паровоз, пересадка органов, пишущая машинка, подводная лодка, радий, ротационная печатная машина, Симплонский туннель (в Альпах), скафандр, Суэцкий канал, счетная машина (арифмометр), телеграф без проводов, телескоп, телефон, фонограф, фотография, химический анализ, g-лучи (лучи Рентгена), холодильник, хронометр, электрическая печь и т. д.

Большинством голосов были установлены следующие семь чудес света: аэроплан, антидифтеритная сыворотка, динамо-машина, радий, паровоз, пересадка органов, телеграф без проводов.

Попробуй мы сегодня составить подобный список чудес, он выглядел бы совершенно по-иному. В нем были бы космические ракеты и атомные электростанции, суда на воздушной подушке и цветное телевидение, квантовые генераторы-лазеры, искусственное сердце и искусственный разум. И многое другое, о чем в начале века никто даже и не подозревал.

Сменились всего одно-два поколения, живы еще те, кто с удивлением и восторгом взирал на все эти чудеса. И как переменился мир! Никто уже не считает чудом аэроплан или радий. Что касается паровоза, то он просто устарел. Теперь это кажется смешным, но какие-нибудь 150 лет назад противники создания паровоза всерьез утверждали, что всякого, кто решится подвергнуть себя воздействию невиданной ужасающей скорости нового вида транспорта – 40 километров в час, ждет неминуемая смерть от удушья.

Новое качество движения казалось непреодолимым.

Всего 100 лет тому назад некоторые выдающиеся английские специалисты заявляли, что электрическая лампочка Эдисона не заслуживает «внимания людей науки и практики» и что «распределение электрической энергии для освещения – это глупейшая выдумка».

Опять новое качество, и снова – тяжелый барьер.

Кстати, и сам Эдисон тоже вначале не мог оторваться от привычных представлений. Его первая неудачная нить накаливания была не металлической, как теперь, а сделанной из угля. Переход от свечи к электрической лампочке требовал своего барьера.

Известный английский писатель и ученый Артур Кларк составил любопытный список осуществленных достижений и идей человечества. Вот он в несколько измененном, осовремененном виде:

 

Автомобили Рентгеновские лучи

Самолеты Ядерная энергия

Вертолет Радио

Паровые двигатели Телевидение

Подводные лодки Электроника

Космические корабли Фотография

Телефон Звукозапись

 

Роботы

Теория относительности

Транзисторы

Лазеры

Определение химического

состава небесных тел



Соль этого списка в том, что все помещенное в левой колонке было заранее предсказано, а то, что в правой, появилось совершенно неожиданно и не предвиделось.

Автор списка утверждает: « Все, что теоретически возможно, обязательно будет осуществлено на практике, как бы ни были велики теоретические трудности,– нужно только очень сильно захотеть». Поэтому в левой колонке нашего списка должны появиться: термоядерный реактор, добывающий энергию прямо из воды морей и океанов; электрический автомобиль, работающий на небольших по весу, но очень емких источниках тока, и многое-многое другое.

А вот правую колонку дополнять сегодня нельзя. Ведь все то, что в ней указано, получается неожиданно и точно предсказано быть не может.

Итак, заглянуть и будущее совсем не легко. Но тем не менее ежедневно передают прогнозы погоды, планируется будущий урожай пшеницы, мы знаем, в каком году закончится строительство завода. Наряду со всевозможными лже-предсказаниями, гаданиями и пророчествами существуют верные, основанные на научных методах пророческие высказывания. предвидение предсказание прогнозирование

Высказывания о будущем могут существовать в форме предвидения, предсказания, прогнозирования.

Предвидение – это широкое, обоснованное, носящее достоверный характер суждение о будущем. Можно предвидеть, например, полеты человека к планетам Солнечной системы, победу медицины над различными заболеваниями, овладение термоядерной энергией.

Предсказание очень похоже на предвидение, оно тоже достоверно. Но это уже не общее вполне конкретное суждение о будущем с более точным указанием, что и когда состоится. На пример, предсказывали, что мы научимся добывать энергию из воды в 80-х годах нашего столетия или что в это же время состоится высадка человека на Марсе.

В последнее время все чаще говорят еще одной форме суждения о будущем – о прогнозировании. Что это такое?

Прогнозирование – не просто высказывание о завтрашнем дне. Это исследование, пристальное изучение будущего какого-либо вполне определенного, интересующего нас дела. Например, существует прогнозирование развития промышленности, сельского хозяйства, транспорта, связи.

Прогнозирование, и это самое важное, не ограничиваясь изучением будущего, способствует воздействию на него в нужном направлении. Мы стремимся не только узнать, каким может стать, скажем, транспорт через пять лет, но главное – выяснить, что нужно сделать, чтобы он стал как можно лучше, эффективнее. Именно прогнозирование помогает правильно разрабатывать планы, составлять бюджет, определять перспективу бизнеса.

Прогнозирование может быть финансово-экономическим, научно-техническим, медико-биологическим – в зависимости от того, какие задачи оно решает, будущее каких явлений оно просматривает. Но независимо от решаемых с помощью прогнозирования задач самое главное и интересное качество, которое будет нас интересовать способность заглядывать в завтрашний день, проникать в будущее. Каким же образом, с помощью какого «механизма» это можно сделать?

2. Предвидение случайных событий

Подбросим обычную монету и попробуем угадать, какой стороной кверху она сейчас упадет. Монета нам хорошо знакома, мы не раз держали ее в руках, можно точно определить ее размеры и вес, вычертить траекторию полета при подбрасывании. Но вот предсказать, что окажется сверху – «орел» или «решка», – нам не удастся. Огорчаться, впрочем, не стоит. Не «потянет» эту нехитрую задачу и целый коллектив сильных математиков мира, вооруженных наисовременнейшей техникой. Дело в том, что наша монета находится во власти случая.

Случаем мы называем то, что в сходных условиях происходит неодинаково, причем заранее нельзя предугадать, что будет в этот раз. Спланировать каждый данный случай невозможно – мы видим это на примере монеты. А что уж говорить о более сложных явлениях! С утра до вечера, изо дня в день мы сталкиваемся с проявлениями случая: в значительной мере случайна погода и спрос на товар, длина очереди в автобус, выход из строя оборудования, простуда, курс акций и длина юбки в предстоящем сезоне. От случая во многом зависит удача предпринимателя и процветание фирмы.

Главный источник случайностей – неисчерпаемость мира, его бесконечная сложность и разнообразие. Возьмем, к примеру, ту монету, которую мы подбрасывали. Ее «летные» качества зависят от степени однородности металла, наличия и распределения в нем инородных примесей и т. п. Монету подбрасывает человек или механизм, изготовленный человеком. Значит, сила и характер броска зависят от качества этого человека, в свою очередь определяемых его анатомией, физиологией, историей развития и т. п. И здесь случаю явно остается много места. Об огромном числе возможных сочетаний событий окружающего нас мира говорит следующий простой, но впечатляющий пример. Как вы думаете, сколько может быть способов расположения 10 шаров по 10 ящикам? Тысяча? Сто тысяч? Не угадали – это число с десятью нулями. И если бы нам захотелось перечислить все возможные комбинации, понадобилось бы написать несколько сотен тысяч больших томов!

Еще одна, пожалуй, наиболее глубокая причина, порождающая случайности, – так называемый принцип (или соотношение) неопределенностей, открытый в 1927 году немецким физиком Вернером Гейзенбергом. Суть этого принципа заключается в том, что, зная положение в пространстве мельчайшей частицы материи – электрона, мы никакими способами не можем точно определить направление его дальнейшего движения. Видно, здесь, в недрах материи, и находятся глубинные истоки случая. Истребить случай, избавиться от него невозможно. Но, может быть, есть другие пути?

В 1829 году бельгийский ученый А. Кетле составил поразительную таблицу (табл. 1). Полученная в результате обобщения огромного статистического материала, таблица эта потрясла самого автора: цифры повторялись из года в год с удивительным постоянством. Кетле писал: «Печальное свойство рода человеческого... Мы можем заранее исчислить, сколько людей запятнают руки кровью себе подобных, сколько будет подделывателей, сколько отравителей...»

Таблица 1

События, обстоятельства, факты

Год



1826

1827

1828

1829

1830

1831

Убийств вообще

241

234

227

231

205

266

Ружье и пистолет

55

64

60

61

57

88

Сабля, шпага, стилет, кинжал и т. п.

15

7

8

7

12

30

Нож

39

40

34

46

44

34

Палка, трость и т. п.

23

28

31

24

12

21

Камень

20

20

21

21

И

9

Орудия режущие, колющие и ушибающие

35

40

42

45

46

49

Удушения

2

5

2

2

2

4

Сбрасывание и утопление

6

16

6

1

4

3

Удар ногой и кулаком

28

12

21

23

17

26

Огонь

-

1

-

1

-

-

Убийство от неизвестных орудий

17

1

2

2

2



Определенное постоянство числа фактов свойственно, конечно, не только «удушениям и утоплениям». Вот еще одна таблица, на этот раз полученная на основании статистических данных по городу Берлину в начале нашего века (табл. 2).

Таблица 2

События, обстоятельства, факты

Год


1900

1901

1902

Несчастные случаи в воскресенье

5219

5316

5250

Несчастные случаи в понедельник

7612

7446

7702

Вдовы, в третий раз вступившие в брак

23

37

26

Вдовы, в четвертый раз вступившие в брак

3

3

4

Переезды на другую квартиру в октябре

125627

133937

134 202

Переезды на другую квартиру в ноябре

45210

48493

46512

Извозчики, отъехавшие с седоками от Потсдамского вокзала

5205

5738

5945

Извозчики, отъехавшие с седоками от Герлицкого вокзала

1352

1306

1341


Что может, казалось бы, быть дальше от каких-либо правил, чем вступление в брак? Случайна обычно сама встреча будущих супругов. От многих трудноуловимых обстоятельств зависит, решат ли они связать свои жизни, – без раздумий и сомнений дело, как правило, не обходится. Внешность, характер – все тут имеет значение. Однако, как видно из таблицы, даже в таком событии, как брак, явно просматриваются железные регулярности, непреложные правила.

Закономерности в случайных явлениях были издавна подмечены и использованы людьми, в частности, для предсказания погоды по так называемым народным приметам. Существует, например, примета, по которой в первых числах августа – в Ильин день – увеличивается количество гроз («Илья Пророк в золотой колеснице по небу катается»). Метеорологи в результате почти сорокалетних наблюдений составили любопытную таблицу (табл. 3).

Таблица 3

Дата

31.VII

1.VIII

2.VIII

3.VIII

4.VIII

5.VIII

Число гроз

6

19

14

19

8

5


Таблица не оставляет сомнения в точности народных примет: в первых числах августа количество гроз действительно резко увеличивается. Так рождались безошибочные предсказания.

Одним из первых ученых, отметивших закономерности в массовых случайных явлениях был великий французский ученый П. Лаплас (кстати, А. Кетле был его учеником). Лаплас просмотрел метрические книги города Парижа с записями о рождении детей с 1745 года (в этом году впервые начали отмечать в книгах пол младенца) по 1884 год. За это время было зарегистрировано 393 386 мальчиков и 377 555 девочек. Таким образом, на каждые 25 мальчиков приходилось примерно по 24 девочки. Между тем Лаплас знал, что во Франции, а также в большинстве стран Европы и Америки это отношение составляет 22 и 21. Предоставим поэтому повсюду слово самому Лапласу: «Когда я стал размышлять об этом, то мне показалось, что замеченная разница зависит от того, что родители из деревни и провинции оставляют при себе мальчиков (мужчина в хозяйстве – более ценная рабочая сила), а в приют для подкидышей отправляют девочек». Изучив списки парижских детских приютов, Лаплас убедился в справедливости своего предположения: в случайном соотношении полов новорожденных просматривалась железная закономерность.

Итак, в сложных запутанных массовых явлениях, зависящих от необозримого множества случайных причин, случайность как бы перестала быть случайной. Неопределенность уступает место определенности. Вывод этот настолько ошеломлял, что знаменитый статистик К. Пирсон не поленился бросить монету 24 000 раз и... получил 12012 «гербов», что дает частоту, весы близкую к 0,5. Закономерность и здесь оказалась вполне определенной.

Произведем и мы не менее поучительный эксперимент.

Предложите вашему знакомому придумать свой личный шифр – каждая буква алфавита заменяется каким-либо «хитрым» значком: точкой, кружочком, треугольником и т. п. – и написать этим, известным только ему одному, шифром письмо вам на одной-двух страницах. Ручаюсь за эффект после того, как вы через некоторое время огласите расшифрованный текст письма.

Секрет этого «фокуса» в том, что в случайном, казалось бы, наборе букв «шифровки» проявляется строгая регулярность: частота появления каждой из букв алфавита в тексте является практически постоянной. Приведем эти данные (табл. 4).

Таблица 4

Относительная частота появления в тексте букв русского алфавита

Буква

Частота

Буква

Частота

Буква

Частота

а

0,075

К

0,034

Ф

0,002

б

0,017

л

0,042

X

0,011

в

0,046

м

0,031

ц

0,005

г

0,016

и

0,065

ч

0,015

д

0,030

о

0,110

ш

0,007

е, ё

0,087

II

0,028

щ

0,004

ж

0,009

р

0,048

ь, ъ

0,017

3

0,018

с

0,055

ы

0,019

и

0,075

т

0,065

э

0,003

и

0,012

у

0,025

ю

0,022





я

0,022


Из таблицы следует, что на каждую тысячу букв в среднем приходится 75 букв а, 17 букв б, 46 букв в и т. д.

Получив шифрованное письмо, вам придется лишь подсчитать частоты появления в нем различных секретных значков и сопоставить их с теми частотами, что в таблице. Так, если на тысячу восемьсот букв письма окажется 135 «треугольников», то это означает, что данный значок


А вот еще один эксперимент – специально для любителей «счастливых» билетов. (Как известно, «счастливым» считается такой трамвайный, автобусный, троллейбусный билет, у которого сумма первых трех цифр равна сумме трех последних). В теории вероятностей существует формула, в соответствии с которой на каждые 100 билетов в среднем 5–6 должны оказаться «счастливыми». И если не полениться собрать необходимую пачку в сто билетов, то можно легко в этом убедиться.

«Обязательность» случая была давно подмечена предприимчивыми людьми.

В чем смысл игры для хозяина рулетки? Главный «секрет производства» здесь в том, что выпадение цифры 0 – ее называют «зеро» – всегда в пользу хозяина, независимо от того, на «красное» или «черное» поставил игрок свои деньги. За счет этой единственной цифры и существует хозяин рулетки. И не только он. Целое государство Монако живет за счет доходов знаменитого игорного дома в Монте-Карло, где идет крупная игра в рулетку. Трудно придумать более яркий пример использования закономерностей случайных явлений: выход «зеро» определенное число раз столь же обязателен, как, скажем, падение подброшенного камня на землю, хотя каждая отдельная цифра появляется случайно и никакими силами заранее угадана быть не может.

И все же Смок Беллью, герой повести Джека Лондона, если вы помните, научился почти безошибочно предугадывать, где остановится шарик. Как ему это удавалось делать?

Джек Лондон раскрывает секрет своего любимого героя. Наблюдая за игрой, Смок подметил, что колесо останавливалось не как попало – этого, казалось бы, следовало ожидать, – а по определенным правилам. «Случайно я дважды отметил, где остановился шарик, когда вначале против него был номер девять. Оба раза выиграл двадцать шестой». Столь странное поведение колеса объяснялось тем, что рулетка стояла недалеко от печки: ее деревянное колесо рассохлось и покоробилось. Смоку удалось уловить скрытую от других закономерность поведения колеса.

Стоит ли, однако, утверждать, что можно выявить систему у любых – всех проявлений случая? Попробуйте, например, установить общие закономерности изменения моды, формы одежды, которая, безусловно, относится к случайным явлениям. На рис. 1 показаны колебания мод женской одежды почти за 50 лет XX века. Срок вполне достаточный, чтобы найти хоть какие-нибудь основательные регулярности. Однако их нет. Все – и форма шляпок, и силуэт платья – меняются «как попало». Остается незыблемым лишь общий принцип: «новое – это прочно забытое старое». Предпринимавшиеся попытки связать капризы моды с мировыми катаклизмами – войнами, экономическими кризисами, даже с солнечной активностью – ни к чему не привели.

Рис. 1. Динамика дамской моды

Возможность установления определенного порядка, закономерностей в случайных явлениях, как правило, связана с наличием в них так называемой «устойчивой частоты»: появление интересующего нас события, например рождение младенца мужского пола, при многократном повторении происходит в одинаковой доле от общего числа рождений.

Поисками закономерностей в случайных явлениях занимается специальная, хорошо разработанная в наши дни наука – статистика. Именно статистика после многих наблюдений над случаем делает заключение о том, устойчива ли частота его появления. Когда такую устойчивость удается обнаружить, статистики говорят о наличии статистического ансамбля.

Изучением закономерностей в случайных явлениях занимается теория вероятностей. Познакомимся с основами этой науки.

Как и многие другие понятия, слово «вероятность» с его производным «вероятно» входит в нашу жизнь с детства. Мы говорим: вероятно, вечером будет дождь; я, вероятно, простудился и т. п.

« Вероятно» в этих привычных фразах означает «возможно» – этим словом субъективно оценивается возможность наступления интересующего нас случайного события в будущем. Если же появляется необходимость показать степень этой возможности, мы уточняем: «весьма вероятно», «маловероятно», «совершенно невероятно». Более четкие градации, чем «много» и «мало», в обиходном языке не предусмотрены. Между тем жизненные задачи требуют оценки вероятности более конкретной, чем «много» или «мало». Сегодня на морском транспорте сказать: вероятно, будет (или не будет) происшествие – это значит не сказать почти ничего. Степень возможности появления будущего случайного события – вероятность – должна быть оценена объективно точно, определенным числом.

Самый старый, так называемый классический способ измерения вероятности – по частоте наступления интересующего нас события. Это можно сделать весьма просто: прийти в тир, выстрелить все 100 раз и сосчитать число попаданий в мишень. Доля, которую это число составит от общего числа выстрелов, и есть частота попаданий. Скажем, попали 70 раз – частота равна 0,7, или семидесяти процентам. Вот эта самая частота и принимается за вероятность.

Но что значит «принимается»? Почему не сказать просто: вероятность – это и есть частота интересующего нас события? По той же самой причине, по которой мы различаем вчерашнюю сводку погоды и прогноз на завтра. Частота -это результат события, которое уже произошло, вероятность – предсказание того, что должно случиться в будущем. Сказать: «Вероятность попадания 70 процентов» – значит предположить, что при очередной стрельбе 70 пуль из ста попадут в мишень. Это предположение мы делаем в уверенности, что соотношение шансов попасть – не попасть, которое определилось во время уже состоявшейся стрельбы, сохранится и на будущее. При этом, разумеется, предполагается, что условия стрельбы: оружие, расстояние до мишени, размеры мишени и т. д. – останутся неизменными.

Применительно к бизнесу это означает, что если при определенных условиях в прошлом мы получали, на каждые 100 рублей 30 рублей прибыли, то при повторении ситуации в будущем сохранится и прибыль.

Откуда, однако, у нас берется уверенность, что «дальше будет, как раньше»? К этому нас подводит весь многовековой коллективный опыт человечества. Когда народ говорит, например, «У семи нянек дитя без глаза», «Тише едешь – дальше будешь» или утверждается, что «бутерброд падает маслом вниз», – это не только о прошлом, но и о будущем.

Если в течение многих лет люди наблюдают, как из 100 куриных яиц появляется примерно поровну петушков и курочек, то нет основания не верить, что и на следующий год шансы появления петушка останутся прежними. В слове «вероятно» явственно прослушивается «надеюсь». Это дало основание магистру философии Вильнюсского университета Сигизмунду Ревковскому – первому, кто в 1829– 1830 годах стал преподавать в России (тогдашней) теорию вероятностей, – определить вероятность как «меру надежды».

Итак, для того чтобы рассчитать вероятность во многих распространенных жизненных задачах, достаточно произвести весьма элементарное арифметическое вычисление – разделить число случаев, благоприятствующих интересующему нас событию, на общее число всех возможных случаев.


Важно отметить, что чем больше опытов проведено при определении частоты, тем точнее, объективнее получается вероятность. Это проявление одного из важнейших законов, управляющих случаем, – так называемого закона больших чисел.

Классический способ определения вероятностей и его формула и сегодня находят широкое применение. Если нам, скажем, известно, что среди тридцати экзаменационных билетов три очень трудных, то можно быстро прикинуть вероятность вытащить трудный билет, как  = 0,1, или 10 процентов. И если бы можно было таким простым способом рассчитывать вероятности во всех случаях, то учебники по теории вероятностей (а заодно и данная глава) были бы много тоньше. К большому сожалению, столь просто рассчитывать вероятность удается далеко не всегда.

Представьте себе, что вы получили перед какой-либо жеребьевкой весьма обнадеживающую информацию: организатор кладет плохие билеты не как попало, а снизу, видно стараясь, чтобы они оказались подальше от испытуемых. Это, конечно, хорошо: стоит теперь вытянуть билет сверху – и вероятность заполучить выгодный номер резко увеличится. Но вот какой она станет? Узнать это с помощью классической формулы невозможно. Формула применима лишь тогда, когда все рассматриваемые случаи равновозможны – любой билет должен иметь одинаковые шансы попасть в руки испытуемого. Стоит исключить эту равновозможность, и классическая формула перестает работать.

Следовательно, правильно эту формулу записать так:


Откуда же мы знаем, равновозможны случаи или нет? На этот вопрос отвечает опыт. Причем опыт, который не обязательно ставить. Бывает, вполне достаточно провести его мысленно. Допустим, вы собрались сыграть с товарищем в шахматы. Кому играть белыми, должен решить жребий. Ваш партнер в одной руке зажимает белую фигуру, в другой – черную. Какова вероятность, что вы будете играть белыми? Каждый из нас, не задумываясь, назовет 50 процентов. Но почему? Это результат мысленного опыта: мы инстинктивно оцениваем шансы отгадать любую фигурку как равновероятные, и поскольку белых фигур ровно половина, то это и будет интересующая нас вероятность.

Вот еще один пример. Многим читателям, видимо, доводилось слышать о такой дикой игре армейского захолустья царской России. В барабан многозарядного револьвера закладывается лишь один патрон, после чего барабан несколько раз проворачивается. Затем участники игры по очереди приставляют револьвер к виску и нажимают на спуск. Так вот, для того чтобы сказать, чему равна при этом вероятность проигрыша, явно нет необходимости ставить эксперимент. Так же как и при отгадывании шахматной фигуры, равновозможность шансов здесь очевидна из соображения о симметрии возможных исходов. И вероятность проигрыша – получения пули – для того, кто стреляет первым, в расчете на 5 патронов равна:


Вполне можно ограничиться мысленным экспериментом и там, где равновозможность шансов очевидна из геометрического представления задачи. Скажем, в офисе проложен телефонный кабель длиной 60 метров, из которых 3 метра приходится на труднодоступное место. Спрашивается, какова вероятность в случае выхода кабеля из строя, что повреждение случится именно на труднодоступном участке?


Такую вероятность иногда называют геометрической – ведь она получена путем сопоставления длин двух отрезков. И соображение о равновозможности шансов (уверенность в том, что появление неисправности возможно в любом месте кабеля) в этом случае исходит из наглядных, геометрических представлений.

Интуитивное определение вероятности, выработанное человеком и ходе многовековой эволюции, не раз выручало его в сложных ситуациях. Принимая решение «что лучше», «что быстрее», «какова мера опасности», люди, сами того не ведая, часто основывают свой выбор на интуитивной вероятной оценке. «Лучше поездом, чем самолетом», «Поеду-ка я трамваем, автобуса не дождаться», «Сегодня стоит надеть плащ» – во всех этих решениях явно просматривается учет возможности случая.

С интуитивным определением вероятности тесно связан так называемый принцип практической уверенности. Принцип этот можно сформулировать так: «Если вероятность события мала, то следует считать, что в однократном опыте – в данном конкретном случае – это событие не произойдет. И наоборот – при большой вероятности событие следует ожидать».

В повседневной жизни мы широко, сами то не подозревая, пользуемся этим важным принципом. Скажем, собираясь лететь в отпуск самолетом, мы уверены в том, что нас доставят на места в целости и сохранности: не пишем завещание, даем телеграмму с просьбой встретить т. п. Тем самым мы интуитивно принимаем, что вероятность аварии самолета равна нулю – событие невозможное, хотя эта вероятность всегда имеет некоторое, правда весьма небольшое, но все же отличное от нуля значение. Вероятность же нашей доставки до места соответственно но принимается равной единице – событие это считается достоверным.

Оценивая практическую невозможность или достоверность события и принимая на этой основе решение, мы, однако, далеко не всегда связываем свой выбор с предельными, крайним значениями вероятности. Величина вероятности, которая нас практически устраивает, зависит от того, какова важность последствий принятого нами решения. Решение надеть плащ может быть принято и в том случае, если вероятность дождя, скажем, 70–80 %. Но вряд ли мы решимся прыгнуть с парашютом, узнав, что у него такая же (70–80 %) надежность.

Итак, вероятность – это степень возможности появления будущего случайного события Руководствуясь этим определением, решим несколько примеров.

 

3. Примеры расчетов на будущее

ПРИМЕР 1

«Я пришла к тебе против своей воли,– сказала она твердым голосом,– но мне велено исполнить твою просьбу. Тройка, семерка и туз выиграют тебе сряду...»

Вероятность события, предсказанного пушкинской «пиковой дамой», легко подсчитать с помощью классической формулы. Общее число равновозможных шансов при этом будет равно количеству всех вариантов, в которых могут быть взяты три любые карты из колоды. Считая, что в колоде Германна было 52 карты, это число равно количеству сочетаний из 52 по 3. Заглянув в учебник или справочник по математике, с помощью формул комбинаторики – раздела математики, изучающего комбинации перестановки предметов, получаем 44 200 сочетаний. Числом благоприятствующих шансов здесь будет количество возможных вариантов, включающих заветные карты из той же колоды. Например, сначала какую-нибудь одну из четырех троек, затем одну из четырех семерок, наконец, один из четырех тузов. Годится и любой другой порядок – он значения для Германна не имеет. Общее число таких благоприятствующих сочетаний равно 12.

Применив классическую формулу, получим:


Пушкин совершенно правильно оценил ситуацию: при такой ничтожной вероятности Герман мог рассчитывать только на чудо...

С помощью классической формулы легко подсчитать, например, вероятность такого обычно небезразличного нам события, как выигрыш в лотерею.

Вот типичный пример условий денежно-вещевой лотереи. На каждый разряд, включающий 10 000 лотерейных билетов, приходится 120 денежных и 80 вещевых выигрышей. Какова вероятность выиграть деньги, вещь или хоть что-нибудь по одному лотерейному билету? Решение столь простой задачи под силу ученику начальной школы, стоит лишь применить классическую формулу:

В последнем расчете мы суммируем в числителе дроби, так как число благоприятствующих шансов складывается из количества денежных и вещевых выигрышем.

Несколько сложнее дело обстоит с числовой лотереей, примером которой может служить некогда популярное у нас спортлото. Здесь не все отдано на откуп случаю: каждый участник может избирать номера для вычеркивания по своему полному усмотрению. Участники спортлото как бы играют друг с другом. Однако, как мы сейчас убедимся, и здесь места для случая остается вполне достаточно.

Какова, например, в числовой лотерее вероятность вычеркнуть правильно все 6 номеров из 49? Подсчитано, что вычеркивание 6 цифр из 49 может быть произведено почти 14 миллионами различных способов (точная цифра 13 983 816). Следовательно, вероятность единственного правильного вычеркивания равна


Отгадать 5 цифр – это значит указать ошибочно одну из нужных шести. Такую ошибку можно сделать 258 способами. Значит, именно таковы шансы, благоприятствующие угадыванию 5 номеров. А вероятность этого события по классической формуле равна


Четыре номера угадает, естественно, значительно больше людей, число благоприятствующих шансов повышается здесь до 13 545. И вероятность, соответственно, будет выше:


И наконец, вероятность угадать три номера равна


Все это ничтожно мало. Но зато в утешение любителей подобных лотерей теория вероятностей может несколько поднять их шансы на выигрыш (не зря ведь вероятность – мера надежды). Вычеркивая цифры, мы обычно не следим за тем, какую долю составляют среди вычеркнутых однозначные. И порой таких оказывается половина, а то и больше. Так делать не следует. Ведь из 49 цифр карточки однозначных всего 9. И следовательно, вероятность выпадания на них выигравшего номера составляет всего

 , или 18,4%.

Эту цифру легко проверить, взяв подряд 100 номеров, выигравших в спортлото. Из них около 18 будут однозначными. Значит, вычеркивать цифры тоже нужно с учетом этой вероятности: если у вас одна карточка, из шести вычеркнутых цифр лишь одна должна быть однозначной; если десять карточек, то на девяти вычеркивать по одной однозначной цифре, а на десятой – две.

На непосредственном подсчете основано и свойственное всем людям интуитивное определение вероятности. Скажем, нас спрашивают, что вероятнее, отгадать в спортлото правильно 3 или 4 номера? Мы, не задумываясь, без всякого расчета отвечаем – три. (Правда, мы вряд ли сможем сообразить без расчетов, что для трех номеров вероятность выше почти в 20 раз!)

Вот еще несколько примеров, когда интуиция оказывается несостоятельной.

ПРИМЕР 2

Теория вероятностей утверждает, что случайные события, те, которые мы стремимся предсказать, иногда могут происходить довольно часто. Можно произвести такой опыт. Если в вашей учебной группе юношей и девушек примерно поровну, попытайтесь предугадать, кто сейчас первым войдет в помещение: он или она? Сказав «он», вы рискуете ошибиться лишь в половине всех случаев – около 50 % ваших предсказаний обязательно оправдаются.

Зато если вы рискнете предсказать, что оба вошедших подряд окажутся юношами, вероятность резко упадет и окажется равной всего 25 % (по теореме умножения 0,5 х 0,5). Ваше предсказание сбудется лишь в одном случае из четырех.

Существует, однако, нехитрый способ добиться значительного увеличения числа «вещих» предсказаний. Для этого нужно только загадать, кто войдет, несколько по-иному: если вы будете утверждать, что юношей окажется не меньше, чем один из нескольких вошедших подряд, то это ваше предсказание имеет значительно больше шансов на успех. Расчет, сделанный по правилам теории вероятностей, показывает, что вероятность увидеть хотя бы одного юношу из пяти вошедших равна 93 %. Делая такое предсказание, вы практически ничем не рискуете – оно сбудется наверняка.

С высокой точностью сбудется также и предсказание прихода не менее двух юношей (или, если хотите, девушек – это в подобных задачах не имеет значения) из пяти вошедших. Вероятность этого события равна 81 %. Тоже высокая вероятность.

И даже предсказывая, что из пяти человек не менее трех окажутся лицами названного вами пола, вы все еще сохраняете шансы прослыть пророком – вероятность 50 %.

Приведем для разных случаев маленькую, но полезную табличку, взятую из теории вероятностей (табл. 5).

Таблица 5

Вероятности прихода предсказанного количества мужчин или женщин (в %)

Предсказанное количество мужчин или женщин

Количество вошедших


1

2

3

4

5

Не менее 1

50

75

94

97

Не менее 2

0

25

50

69

81

Не менее 3

0

0

12

31

50

Не менее 4

0

0

0

6

19

Не менее 5

0

0

0

0

3


Посмотрев табличку, вы можете уверенно предсказать, например, что из пяти вошедших будет не менее двух мужчин (или женщин). Вероятность этого события очень большая – 81 %. В восьми случаях из десяти ваше предсказание сбудется.

Этот пример поможет нам приоткрыть один из профессиональных секретов гадалок и прочих прорицателей. Предположим, гадалка предсказывает пять каких-то событий, которые могут равно как произойти, так и не произойти – точно так же, как в одинаковой степени могут войти мужчина и женщина. Такими предсказаниями могут быть, например, «приятная встреча», «лихой недруг», «дальняя дорога», «получение известия», «нечаянная радость» и т. п.

Вероятность того, что сбудутся все пять предсказаний, как показывает расчет, исключительно мала – всего 3,1 %. Но легковерному человеку вполне достаточно, если состоится хотя бы не менее двух-трех из них. Заметьте, не менее – это может быть и два, и три, и четыре, и даже пять. А такое количество пророчеств – мы уже знаем – происходит с высокой вероятностью – 81 %. Поэтому-то часть сделанных гадалкой предсказаний обычно и сбывается. А легковерные люди и не подозревают, что приобщились к «таинствам» теории вероятностей.

Помимо математической стороны дела есть и не менее важные причины психологического происхождения. Вот некоторые из них. Прорицатели, как правило, люди наблюдательные. Вороша карты или перемешивая кофейную гущу, они нет-нет да и ненароком бросят взгляд на доверчивого клиента. Не болезненный ли у него вид («лихой недуг»), не горит ли его взор лихорадочным ожиданием («нечаянная радость»)? Богатый профессиональный опыт подсказывает гадалке, что, кому и как говорить. Не последнюю роль играет и чутье, интуиция. Предсказатели издавна эксплуатируют и то, что человеку свойственно принимать желаемое за действительное. Оракул так формулирует свое откровение, что понимать его можно самым различным образом – как хочется «заказчику». Вспомним предсказание, сделанное дельфийским оракулом Крезу: «Если ты нападешь на персов, великое государство погибнет». Очень уж хотелось Крезу разрушить чужое государство. Вот он и поверил. А государство-то погибло его собственное.

Из множества сделанных предсказаний люди запоминают обычно лишь те, что сбылись. Несбывшиеся пророчества в памяти людей, как правило, не сохраняются. Но стоит сбыться нескольким предсказаниям из множества сделанных, как это немедленно поднимается суеверными людьми на щит, обрастает фантастическими подробностями, обретает достоверность «факта».

ПРИМЕР 3

Какова вероятность совпадения дней рождения у любых двух человек, например, из вашей группы в 30 студентов?

На первый взгляд кажется, что поскольку в году 365 дней, то возможность такого совпадения весьма невелика, что-нибудь около = 0,08, или 8 %. Это грубая ошибка. На самом деле следует рассуждать так.

В начале определим вероятность празднования дня рождения какого-нибудь студента в один из дней года. Здесь число всех возможных случаев – это число возможных дней рождения в году – 365. Число интересующих нас случаев – дней рождения одного человека в году – тоже 365. Вероятность празднования дня рождения студентом в один из дней года равна  = 1.

Действительно, можно с полной уверенностью сказать, что любой человек за год отпразднует свой день рождения.

Теперь возьмем любого второго студента и найдем вероятность того, что его день рождения не совпадает с днем рождения первого студента. Число всех возможных случаев – возможных дней рождения в году – остается здесь, конечно, тем же – 365, а вот число интересующих нас случаев уменьшится на 1 – ведь тот день, когда праздники могут совпадать, надо выбросить. Итак, вероятность несовпадения дня рождения второго студента с днем рождения


Затем возьмем любого третьего студента вашей группы и найдем подобным же образом, что вероятность несовпадения с днем рождения


И далее для всех студентов группы – в том же духе. Зададим себе такой вопрос: а какова вероятность того, что и у первого, и у второго, и у третьего, и у всех остальных студентов дни рождения не совпадут? Вероятности таких событий находят с помощью умножения.

Вероятность несовпадения дней рождения у


Число сомножителей равно общему числу студентов. В нашем случае таких сомножителей должно быть 30. Стоит перемножить, и получится, что вероятность несовпадения дней рождения у всех тридцати студентов равна 0,29.

А то, что нас интересует,– вероятность совпадения – мы найдем путем вычитания этой цифры из единицы.

Вероятность совпадения дней рождения у любых двух студентов из тридцати равна 1 - 0,29 = 0,71.

Это высокая вероятность. Значит, почти наверняка в любом коллективе, где 30 человек, есть люди, родившиеся в один день.

А как быть тем коллективам, где число людей 10, 40 или 50, т. е. отличается от 30? На этот случай пригодится готовая таблица вероятностей совпадения дней рождения для разных групп людей – от 5 до 100 и более человек (табл. 6). Как она рассчитывается, мы уже знаем.

 

Таблица 6

Вероятности совпадения дней рождения у различных групп людей

Число человек в группе

Вероятность совпадения дней рождения хотя бы у двух людей группы

5

0,03

10

0,12

15

0,25

20

0,41

21

0,44

22

0,48

23

0,51

24

0,54

25

0,57

30

0,71

40

0,89

50

0,97

60

0,99

70, 80,90, 100 и более

около 1,0


По нашей таблице получается, что, например, если в группе 50 человек, то с вероятностью 0,97, т. е. наверняка можно считать, что дни рождения хотя бы у двух из них совпадут.

Но главный вывод, на который нас наводит история с днями рождения, значительно важнее, чем рассмотренный эпизод: вероятности совпадения любых случайных событий (не только дней рождения) оказываются во много (порой в десятки) раз больше, чем это интуитивно представляется. И то, что мы обычно считаем роковыми совпадениями, на самом деле вполне нормальное явление.

Вот еще примеры, подтверждающие это правило.

ПРИМЕР 4

«Со мной вчера произошло нечто невероятное: я встретил на Невском своего школьного приятеля, с которым не виделся 20 лет». Такая или подобная фраза часто сопровождается нелестной оценкой теории вероятностей: мол, вероятности встретиться не было никакой, и вот на тебе.

Теория вероятностей между тем здесь, как и во многих других случаях, остается на высоте. Тот, кто усомнился в ее правильности, видимо, рассуждал так: в Санкт-Петербурге четыре с лишним миллиона жителей. Один из них - упомянутый школьный товарищ. Вероятность такой встречи равна примерно одной четырехмиллионной, т. е. практически нулю. Чем же, как чудом, можно такую встречу объяснить?

Произведем грубую ориентировочную прикидку с помощью теории вероятностей. Начнем с того, что школьный приятель у вас явно не один. Предположим, что их у вас в Санкт-Петербурге 40 человек. Это сразу же увеличит вероятность встречи в 40 раз, и она станет равна одной стотысячной.

Далее, пока вы прогуливались по Невскому мимо вас прошли по крайней мере тысяча человек. Вероятность выросла в 1000 раз и стала равна одной сотой. Это тоже маловато. Но ведь на Невском вы бывали не один раз, а, скажем, 80. Вот вам вероятность и поднялась до 80 %. Теперь уже надо удивляться не тому, что встреча на Невском состоялась, а тому, что это не произошло раньше.

ПРИМЕР 5

Мой автомобиль снабжен двумя противоугонными приспособлениями – механическим и электрическим. Каждое из них имеет свою вероятность срабатывания. Это не что иное, как надежность, которую можно установить из опыта: сколько раз из ста предохранитель сработает. Так вот, надежность механического приспособления Рм = 0,9, а электрического – Рэ = 0,8.

Известно, что вероятность того, что сработает какое-нибудь одно приспособление (нам совершенно безразлично, какое именно), равна сумме вероятностей Рм и Рэ. Но вероятность второго предохранителя следует здесь учитывать не полностью, а лишь при условии, что первое приспособление не сработает. Мы исходим того, что если раньше срабатывает, скажем, механическое приспособление, то электрическое уже не нужно. Математическая запись, видимо будет понятна:

Рм или Рэ = Рм + Рэ (1-Рм).

По этой формуле вероятность никогда не будет получаться больше единицы. Подставляя цифры, получим:

Рм или Рэ = 0,9 + 0,8 (1 - 0,9) = 0,98.

Что касается риска угона, то он, как нетрудно сообразить, равен 1 – 0,98 = 0,02.

При таком результате машину довольно спокойно можно оставлять на улице: на сто попыток угона удачных приходится лишь две. В жизни, однако, такое количество попыток угнать вашу машину нереально, и, следовательно, приспособление практически работает надежно.

Совершенно очевидно, что приведенный только что расчет полезно знать не только владельцам индивидуального автотранспорта. Предохранитель от аварии и поломок – важнейший элемент любого современного прибора или механизма.

ПРИМЕР 6

Наше предприятие собирается приобрести электронный прибор. На прибор дается заводская гарантия. Знающие люди предупредили, что в нашем городе сейчас можно приобрести приборы, выпускаемые тремя различными заводами, причем шансы получить прибор завода № 1 равны 0,6, завода № 2 – 0,3, а завода № 3 – 0,2. Какого завода попадется нам прибор, мы не знаем; а между прочим, это далеко не безразлично: вероятности того, что прибор проработает без остановки весь гарантийный срок, для каждого завода различные. На заводе № 1 – 0,9, на заводе № 2 – 0,8, на заводе №3-0,6.

Интересно, какова вероятность, что купленный прибор не придется отправлять обратно на завод? Доказано, что вероятность интересующего нас события равна сумме произведения вероятностей получения прибора того или иного завода на соответствующие вероятности их безотказной работы.

Вероятность работы прибора в течение гарантийного срока = 0,6 х 0,9 + 0,3 х 0,8 + 0,2 х 0,6 = 0,9.

Видимо, прибор покупать стоит: из десяти покупателей лишь одному не повезет.

Формула, по которой мы производили расчет, имеет в теории вероятностей специальное название – формула полной вероятности. Она может пригодиться при определении вероятности безотказной работы в течение заданного времени не только приборов, но и любых других современных машин или механизмов – промышленных автоматов, электронно-вычислительных машин и т. д.

ПРИМЕР 7

Предположим, вы задались целью обязательно решить некую трудную предпринимательскую задачу, например добиться большой прибыли, выхода на зарубежный рынок, высокого качества товаров.

Задачи такие обычно решаются не сразу, для этого нужно сделать несколько попыток. Вам, конечно, интересно, сколько таких попыток потребуется.

Вероятность самого события можно рассчитать по классической формуле. Так, если вас интересует вероятность получения определенной нормы прибыли, нужно количество случаев, при которых эта прибыль была вами получена в прошлом (например, 4 раза), разделить на общее число рассматриваемых случаев (например, 20). Тогда искомая вероятность будет равна  = 0,2, или 20 %.

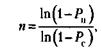
Но нас интересует не эта цифра. Наша цель – определить, сколько нужно сделать попыток п (на языке теории вероятностей – сколько нужно произвести испытаний), чтобы хотя бы одна из них (больше не требуется) гарантированно дала требуемую норму прибыли. Для решения этой задачи теория вероятности предлагает простую формулу:


где Рц есть вероятность, с которой мы хотим добиться своей цели – получить нужную норму прибыли, а Рсвероятность самого события – получения требуемой прибыли.

По данной формуле рассчитана простая, но весьма полезная таблица, позволяющая ответить на вопрос, с которого мы начали (табл. 7).

 

Таблица 7

Количество попыток для достижения цели

Вероятность события, %

Вероятность с которой мы хотим добиться цели, %


5

10

20

30

40

50

60

70

80

90

Около 100

5

1

2

4

7

10

14

18

24

31

45

76

10

1

2

3

4

7

8

11

15

22

37

20

-

-

1

2

2

3

4

6

7

10

17

30

1

1

2

3

3

5

6

11

40

-

1

1

2

2

3

4

8

50

_

1

1

2

2

3

6

60

1

1

2

2

4

70

1

1

2

3

80

1

1

2

90

-

1

2

Около 100

1


Входя в таблицу с нашей вероятностью события – получения прибыли 20 % – и задаваясь по вкусу желаемой вероятностью достижения цели, скажем, 90 %, получим требуемое число попыток, равное 10. Это означает, что на 10 попыток хотя бы одна будет наверняка счастливой.

Хотите гарантии, близкой к 100 %, – увеличьте число попыток до 17.

Расчет вероятности интересующего нас события не менее одного раза имеет весьма широкую область применения. Подобные расчеты необходимы, например, при определении качества различных приборов: какова вероятность того, что хотя бы один узел сложного устройства может выйти из строя? Они позволяют также определить, сколько понадобится испытаний, чтобы прийти хотя бы раз к нужному результату. Скажем, сколько раз нужно прочитать документ, чтобы хотя бы один раз не пропустить ошибки, и т. п.

Итак, уже сегодня, в настоящем времени есть способы пролить свет на завтрашний день, на то, что будет. И для того чтобы предвидеть, нужно уметь этими способами пользоваться.

4. Методы прогнозирования

Для проникновения в тайны будущего разработаны специальные методы, объединенные общим названием – прогностика.

Прогностика – наука о законах и способах прогнозирования. Она помогает увидеть, как будет выглядеть мир завтрашнего дня.

10 ноября 1845 года молодой французский ученый Леверье объявил Парижской академии наук, что он открыл новую планету за Ураном. Между тем Леверье не был астрономом и на небо не заглядывал. Его стихией была математика, свою планету он просто вычислил.

Сравнивая рассчитанный по формулам путь планеты Уран с ее фактическим движением, Леверье заметил, что этот спутник Солнца не подчиняется общим законам небесной механики и отклоняется в сторону.

В подобных случаях, часто бывающих и в жизни (вспомним любой детектив), оказывается, что есть некто, сбивающий положительного героя с правильного курса. Поэтому Леверье предположил существование некой неизвестной планеты, заставляющей Уран нарушать правила небесного движения. И совсем как в детективном романе, ученый предсказал, где следует искать возмутителя спокойствия: если направить телескоп в рассчитанную им точку неба, и там можно будет увидеть до сих пор неизвестную планету.

23 сентября 1846 года немецкий профессор Галле не поленился направить в эту точку свой телескоп, и... школьникам теперь приходите запоминать на одно название больше: прибавилась планета Нептун.

Проследим, как Леверье пришел к своем удивительному предсказанию. Ход его рассуждений был примерно таков.

Во-первых, раз есть общий закон движении планет, то ему должна подчиняться каждая отдельная планета, в том числе и Уран. Такой ход мысли от общего к отдельному, частному, называется дедукцией.

Во-вторых, если планета Уран в данном случае не подчиняется установленным правилам значит, есть какая-то неизвестная причина, которую тоже можно объяснить, пользуясь общим законом. Этот обратный путь размышления отданного, отдельного случая к общему называется индукцией.

Дедукция и индукция как бы два связанных между собой рычага. Движутся эти рычаги в противоположные стороны: дедукция – от общего к частному, индукция – наоборот. В их совместном движении и рождается предсказание.

Непревзойденным мастером такого предсказания был Шерлок Холмс. Свой метод раскрытия запутанных преступлений он называл дедуктивным.

Холмс говорил: «По одной капле воды человек, умеющий мыслить логически, может сделать вывод о существовании Атлантического океана или Ниагарского водопада, даже если он не видел ни того, ни другого и никогда о них не слышал». Это идея индукции. И Шерлок Холмс блестяще демонстрирует ее применение на деле. Он внимательно рассматривает палку доктора Мортимера – одного из героев «Собаки Баскервилей» – и предсказывает, что доктор – молодой человек, не старше тридцати лет, любезный, рассеянный, скромный и что у него есть собака, которая несколько больше спаниеля. Появляется доктор и полностью подтверждает предсказания: все так и есть. «Механизм» предсказания по индукции здесь предельно прост и ясен. Шерлок Холмс подробно разъясняет своему другу Уотсону, по каким признакам он воссоздал полный образ доктора Мортимера. Индукция понадобилась Холмсу и для того, чтобы представить себе общую картину преступления, задуманного Стэплтоном. И вот уже индукцию сменяет дедукция: зная общие повадки хитрого и умного преступника, Шерлок Холмс предвидит, как он будет действовать в роковую ночь.

Используя метод дедукции, можно предсказать, как поведет себя конкурент, что можно ожидать от поставщика товара, предвидеть предстоящие нововведения соперничающей фирмы.

А вот еще один инструмент для предсказания будущего – метод экстраполяции.

Представьте себе, что вы забыли таблицу умножения и решили освежить ее в памяти. Но вот беда: на обложке старой тетради сохранилась лишь часть таблицы. Что вы станете делать?

Перед нами оставшаяся часть таблицы умножения на 5:


Дальше таблица обрывается. Но это не страшно. Даже если мы и забыли, сколько будет 5x6, все же можно, глядя на таблицу, сообразить, что каждый следующий результат будет больше предыдущего на пять. Значит, после 25 должно быть 30, затем 35 и т. д.

Такой переход от того, что было, к тому, что будет, и называется экстраполяцией. Мы как бы говорим: вот что получится в будущем, если и дальше все пойдет как прежде.

Например, необходимо узнать, сколько людей будет жить на Земле через некоторое время, скажем, в 2010 году. Это не только интересно, но и весьма важно для экономики.

Попробуем произвести расчет методом экстраполяции. Возьмем листок миллиметровой бумаги и станем откладывать по горизонтальной оси годы, а по вертикальной – количество людей. Найдем точки пересечения каждого года с числом людей, которые в это время жили на Земле. Точки соединим плавной кривой линией. Эта кривая – график роста народонаселения нашей планеты. Однако довести кривую можно лишь до того года, в котором была последняя перепись населения. Что будет дальше, никто не знает.

Вспомним правило экстраполяции: «дальше как раньше» – и смело продолжим нашу кривую, плавно сохраняя ее форму. Продолжение сделаем не сплошной линией, а пунктиром. Ведь это лишь предположение. Но и оно оказывается весьма полезным. Теперь по нашему графику мы можем узнать, сколько примерно людей будут нас окружать в будущем, в том числе и в 2010 году.

Экстраполяция, однако, способна работать далеко не всегда. Так и в нашем примере роста народонаселения на планете: в 1900 году жило 1,5 миллиарда человек, в 1950-м – 2,5 миллиарда, в 1960-м – 3 миллиарда, в 1970-м – 3,5 миллиарда, а в 1976 году появился четырехмиллиардный житель Земли. При таких темпах число людей на Земле будет удваиваться примерно каждые 35 лет. Если продолжить с помощью экстраполяции этот процесс в будущее, то получится вот что. Один видный американский ученый подсчитал, что если рост человечества и дальше будет идти такими же темпами, то 13 июля 2116 года в мире не останется места, где бы мог стоять (!) очередной житель Земли. Это, конечно, явная чепуха.

Очевидно, помимо экстраполяции нужно уметь учитывать и какие-то более сложные закономерности роста народонаселения, закономерности, не укладывающиеся в столь простые схемы.

Экстраполяция широко применяется в экономических прогнозах будущего спроса и предложения, а также рыночной стоимости товаров и услуг, курсов ценных бумаг и т. д.

Могучим инструментом для предсказаний является издавна применяющийся в научных исследованиях метод анализа и синтеза. Анализ означает изучение целого по частям путем расчленения его на элементы. Синтез, наоборот,– воссоздание по отдельным элементам общей картины, единого целого.

С методом анализа и синтеза связано следующее. Однажды один ученый заметил, что если расположить различные элементы в порядке возрастания атомных весов, то их химические свойства периодически повторяются. Таков был результат анализа. Дальше начался синтез. Была получена цельная картина зависимости свойств элементов от атомного веса. Так появилась знаменитая периодическая система. Все известные элементы были размещены в клетках единой таблицы, каждому из элементов нашлось в ней место в соответствии с его качествами.

Сегодня периодическую систему изучают школьники всего мира. Таблицу элементов называют именем создавшего ее ученого – великого русского химика Дмитрия Ивановича Менделеева.

С помощью периодической системы Д. И. Менделеева сделали удивительное предсказание: в четырех пустых клетках таблицы должны обязательно появиться отсутствующие пока элементы. Их нет просто потому, что они еще не открыты. Мало того, Менделеев указал свойства трех из четверки неизвестных, дал им имена: экабор, экасилиций, экаалюминий.

После предсказания Д. И. Менделеева прошло всего шесть лет, и французский химик П. Лекок де Буабодран открыл элемент, названный им галлием, с теми самыми свойствами, что предназначались экаалюминию. Еще через четыре года был открыт элемент скандий, он же экабор, и, наконец, еще через семь лет – германий – экасилиций. Это было одно из самых блестящих предсказаний в истории науки.

В бизнесе прибегают к технико-экономическому анализу деятельности предприятий, на основе которого затем синтезируют (формируют) новую структуру и штаты управления.

Весьма простым и распространенным методом предсказания будущего является прием аналогии. Аналогичный – значит подобный, сходный, примерно такой же. Скажем, мы собрались в дальний поход по одному из туристических маршрутов, и нас интересует, сколько времени на такой поход потребуется. Мы, конечно, произведем нужные подсчеты с помощью карты. Но помимо этого наверняка спросим у бывалых туристов: «А обычно сколько уходит на это времени?» «Обычно» – это и означает в данном случае «по аналогии».

Аналогия дает возможность при планировании будущего учесть опыт предшественников и коллег, в том числе и такие обстоятельства, которые трудно поддаются предварительному учету. Попробуйте, например, заранее точно сказать, как уменьшится скорость движения группы по дороге, размытой дождем, или сколько времени займет приготовление пищи на походном костре в непогоду.

Метод аналогии находит применение при проектировании новых предприятий, строительстве транспортных магистралей, проходке шахт. Без опыта прошлого тут не обойтись. Мы ищем сегодня аналогии в экономике прошлого России и современных капиталистических стран.

Особый подход нужен для предсказания явлений, подвластных случаю.

Установлением закономерностей случайных явлений, как уже говорилось, занимается особая математическая дисциплина – теория вероятностей. На многих примерах мы убедились, что знание вероятностных закономерностей позволяет уверенно предсказывать будущие события и там, где господствуют случайности. Определение ожидаемого процента брака, возможности получить прибыль или выиграть в лотерею – все это предвидение в области случайных явлений.

Самый трудный, но в то же время самый простой метод предсказания – по интуиции. Трудный – потому что требует большого опыта и знании, простой – так как не нуждается ни в каких сложных вычислениях.

Интуиция – это особое чутье, проницательность, присущая человеку. Интуицией обладает далеко не каждый. Предсказания по интуиции делаются, как правило, без каких-либо расчетов, просто так, по догадке или, как говорят, по наитию.

Великолепной интуицией обладал Жюль Верн. Не будучи ученым, он предсказал в своих книгах самолет и вертолет, подводную лодку и космический корабль. Из 108 предсказаний Верна сбылось 98.

Итак, существует ряд методов предсказания, каждый из которых имеет свою область применения:

дедукция и индукция применяются в тех случаях, когда предсказание будущего связано с переходом от общих закономерностей к частным, отдельным (дедукция) или наоборот (индукция);

экстраполяция применяется тогда, когда ожидается плавный закономерный переход от событий сегодняшнего дня к завтрашним событиям;

анализ и синтез применяются тогда, когда предсказание будущего происходит с помощью расчленения интересующих нас событий на части (анализ) и затем воссоздания из этих частей общего представления о событиях будущего (синтез);

аналогия дает возможность учесть при предсказании опыт прошлого в предположении, что события будут развиваться и дальше подобным образом;

теория вероятностей применима тогда, когда будущее существенно зависит от случайных обстоятельств, которые имеют свои особые закономерности;

интуиция применима в тех случаях, когда нет возможности опереться на точные расчеты и предсказание приходится делать, лишь полагаясь на опыт, чутье и глазомер.

Особенно ценные результаты научные методы предсказания дают при их применении группой специалистов.

Все знают по собственному опыту, что в жизненных ситуациях, требующих прозорливости, весьма полезным может оказаться совет товарища. Как говорится, ум хорошо, а два лучше. Особенно полезно обратиться за таким советом к человеку знающему, бывалому. Если же опытного друга у вас нет – не беда. Дело в том, что правильность совета может зависеть не только от качества советчика, но и от их количества.

...Вы достаете из кармана обычный карандаш или авторучку и предлагаете группе людей быстро написать на бумаге ее предполагаемый размер в миллиметрах. Суммировав ответы и подсчитав среднюю длину, вы немало удивите самих «экспертов» – размер окажется весьма точен.

В последние годы ученые разных стран стали применять весьма результативный метод коллективного предвидения, названный «мозговой атакой» или «мозговым штурмом».

«Мозговая атака» – это острая дискуссия, спор между учеными, придерживающимися разных взглядов, по поводу будущего той или иной отрасли науки и техники. В данном случае выявляется направление, по которому пойдет развитие исследуемой области знания, экономики, намечаются пути технического прогресса, просматривается внешний облик грядущего.

«Мозговая атака» требует от ее руководителей и участников большого искусства. Оно заключается в умении так организовать дискуссию, чтобы исключалось подавление мнений молодых ученых маститыми авторитетами, чтобы не проявлялось столь частое в спорах стремление пооригинальничать, чтобы побороть упрямство у одних и смену позиции у других. Лучше всего этого можно избежать, делая экспертные оценки заочно-анонимно: и подумать можно спокойно, и меньше возникает «личностных», «престижных» наслоений.

Один из методов такого заочного опроса экспертов, получивший широкое международное признание, назван методом Делфи – в память о дельфийском оракуле. Этот любопытный способ заглянуть в будущее глазами наших современников заслуживает более подробного изложения. Тем более что может пригодиться многим нашим читателям. Суть метода заключается в следующем.

Прежде всего, четко определяются вопросы, на которые нужно дать ответ. Например: «Важнейшие научные открытия будущего и их влияние на бизнес»; «Изменение характера потребительского спроса к концу века» и т. п.

В качестве оракулов-экспертов привлекаются крупные специалисты (ученые и практики) по этим вопросам. В отличие от дельфийского оракула-одиночки эксперты выступают здесь большой шеренгой. В некоторых опросах их может быть до ста человек.

Рассмотрим в качестве примера прогнозирование будущих открытий.

Вначале каждому ученому предлагают две анкеты. Первая – назвать открытия, которые ожидаются в ближайшее время. Вторая – оценить вероятность того, что эти открытия войдут в жизнь в различные конкретные промежутки времени будущего, скажем, в первое десятилетие XXI века. Результаты опроса обрабатываются, цифры осредняются и доводятся до всех «оракулов». После этого раздаются еще две анкеты, в которых они получают возможность уточнить, скорректировать свои прогнозы с учетом коллективного мнения своих коллег.

И вот что получилось однажды в результате опроса. Приведем некоторые из предполагаемых открытий и их среднее ожидаемое время.

1.   Управление термоядерной энергией (1987).

2.   Искусственное создание жизни (1989).

3.   Добыча полезных ископаемых с океанского дна (1989).

4.   Производство синтетической жизни (1990).

5.   Прививки против всех болезней, вызываемых вирусами и бактериями (1994).

6.   Получение не менее 20 % продовольствия из океана (2000).

7.   Создание лекарств, вызывающих восстановление органов и конечностей человеческого тела (2007).

8.   Создание лекарств, повышающих уровень умственного развития (2020).

9.   Симбиоз человека и машины – непосредственное взаимодействие между человеческим мозгом и электронно-вычислительной техникой (2020).

10. Использование разумных животных (обезьян, дельфинов) для неквалифицированных работ (2023).

11. Управление тяготением (2023).

12. Воздействие на процесс старения с помощью химических препаратов, позволяющих увеличить продолжительность жизни на 50 лет (2023).

13. Двусторонняя связь с внезапными цивилизациями (2024).

14. Искусственное создание химических элементов (2024).

15. Обучение путем прямой регистрации информации в мозгу (2028).

Таковы ответы современных оракулов на вопросы о том, какой будет наука и техника завтрашнего дня. И пусть не кажутся нам фантастическими некоторые из них. Здесь приведена лишь та часть списка предсказаний современных оракулов – 15 пунктов, которые пока не сбылись, хотя срок некоторых уже прошел. Большая же часть прогнозов, сделанных еще в начале 60-х годов, уже в наши дни превратилась в реальность.

Было предсказано, например, и оправдалось

– экономически целесообразное опреснение морской воды, намеченное на 1970 год;

– создание новых синтетических материалов для сверхлегких конструкций (1971);

– пересадка и протезирование органов человеческого тела (1972).

Намеченное на 1982 год вживление в человеческое тело искусственных органов из пластмассы и электронных устройств состоялось в начале 70-х годов, значительно опередив прогноз.

Важным и весьма интересным методом прогнозирования является разработка и использование так называемых базовых сценариев будущего.

Разработка сценария будущего представляет собой сочетание рассмотренных нами методов прогнозирования – мозговой атаки, дедукции, экстраполяции, аналогии, анализа и синтеза. При разработке сценария будущего дается связное беллетристическое (порой похожее на увлекательный роман) описание грядущих событий. Логика такого описания, его правдоподобие дают возможность предпринимателю, менеджеру получить наглядное образное представление о том, как пойдут его дела завтра.

Основная идея сценария – предположение что события будут развиваться и дальше так как раньше, что те тенденции, которые наметились в прошлом, в основном сохранятся. При этом обычно делается допущение, что никаких неожиданных вмешательств в развитие событий за рассматриваемый период не произойдет. Поскольку это, как мы понимаем, маловероятно, то не следует ждать от такого сценария чудесных предвидений. Его цель в другом. Она заключается в том, чтобы изучить условия и найти момент, когда исследуемое предприятие или другая экономическая система начнут испытывать кризис и станут разрушаться под воздействием внутренних причин, даже если никаких посторонних, внешних воздействий не последует. Подобный анализ дает возможность своевременно принять предупредительные меры, не ожидая, пока наступит кризис. Определение этих мер, так же как и разработка самого сценария будущего, являются творческим процессом и не могут быть сведены к каким-то формальным правилам (так же как и для знакомых нам киносценариев).

Существуют два принципиально отличных вида сценариев будущего. Первый представляет собой ряд предполагаемых эпизодов, связанных между собой, из завтрашнего дня предприятия. Второй – взгляд на будущие события из еще более отдаленного будущего как на уже происшедшую историю, события вчерашнего дня.

Рассмотрим в качестве примера сценарий будущего второго вида, приведенный в книге известного американского специалиста Рассела Л. Акоффа «Планирование будущего корпорации».

Сценарий ориентирован на десятилетие и не утратил до настоящего времени своей актуальности. Рассматривается будущая судьба компании «Альфа», которая является филиалом фирмы (корпорации) «Бета корпорейшн» (названия условные).

Компания «Альфа» была полностью приобретена «Бета корпорейшн» у ее прежних владельцев. «Альфа» производит свою продукцию на старом заводе, где между администрацией, назначенной «Бета», и объединенными в профсоюзы рабочими традиционно неважные отношения.

Вот суть сценария (взгляд из будущего). Приведем его почти полностью, поскольку он глубоко и откровенно раскрывает основные проблемы рыночной экономики.

Руководство компании «Альфа» определило рынок, на котором намеревалось конкурировать в следующие десять лет. К этому моменту компания боролась за то, чтобы удовлетворить 70 % спроса на этом рынке. Вначале продукция отрасли, частью которой была «Альфа», росла в среднем на 7 % в стоимостном и лишь менее 3 % в физическом выражении в год. По расчетам компании ее рынок сбыта должен был увеличиться с 2 миллиардов до 3,8 миллиарда.

В течение 10 лет «Альфа» увеличивала объем выпуска продукции в среднем на 3,5 % в год. Экстраполируя, она рассчитывала на 10-процентное увеличение своей доли на совокупном рынке. Эти расчеты основывались на предположении, что доля рынка, контролируемая компанией, будет сохраняться, но эти прогнозы не оправдались. Зная об этом, администрация решила произвести крупные капиталовложения с целью поднять спрос на продукцию компании.

Прогнозируя значительное увеличение спроса в ответ на планируемые усилия в области рекламы и продвижения продукции к потребителю, администрация считала необходимым увеличить выпуск продукции на своем заводе. Было решено расширить производство на 10– 15 % на два месяца, но переговоры с профсоюзами по этому вопросу натолкнулись на непредвиденные трудности. Администрация утверждала, что в интересах рабочих профсоюз должен согласиться на овладение ими смежных профессий и гибкое распределение работы, не выдвигая при этом требования повысить заработную плату до уровня рабочего места высшей категории. Профсоюз утверждал, что единственная цель компании состоит в увеличении прибыли, и претендовал на значительную долю выгод от повышения производительности.

Профсоюз выдвинул два требования: восстановление на работе всех уволенных и снижение темпа производства до прежнего уровня. Администрация высказала намерение удовлетворить первое требование, но не второе.

Забастовка продолжалась несколько недель. Сбыт продукции начал сокращаться из-за ее нехватки и неблагоприятного для компании освещения событий в прессе. Под давлением этих обстоятельств администрация наконец пошла навстречу требованиям бастующих. Все рабочие, за исключением тех, кто участвовал в насильственных действиях, были приняты обратно. Увеличение скорости конвейера было ограничено 10 % на один месяц в году.

После забастовки объем продаж вернулся к прежнему уровню.

Новые мероприятия в области маркетинга, начатые в этот период, привели к значительному повышению спроса на продукцию компании. «Альфа» работала на полную мощность при небольшом увеличении занятых. Однако достигнутый «потолок» выпуска продукции был ниже, чем рассчитывала администрация. В значительной степени это было связано с отказом профсоюза допустить гибкое распределение рабочих заданий. Вдобавок производительность труда стала снижаться, увеличилось число прогулов, замедлился темп работы. Кроме того, устаревшее оборудование действовало менее эффективно, чем ожидалось.

Производственное оборудование «Альфы» плохо эксплуатировалось потому, что по расчетам руководства, «Бета» должна была построить для нее новые корпуса, как только это станет экономически оправданно. В результате возросли частота и продолжительность остановок производства, а поддержание качества продукции стало главной проблемой.

В отрасли, частью которой была «Альфа», вследствие слияний, поглощений и банкротств компаний значительно возросла концентрация производства. По этой причине «Альфа» все больше втягивалась в ожесточенную рекламную войну с основными конкурентами. Чтобы сохранить, не говоря уже о ее расширении, долю на рынке, она была вынуждена поднять расходы по сбыту значительно выше запланированных уровней. Вместе с ремонтом и заменой оборудования, а также разработкой новой продукции это поглощало большую часть прибылей компании. Мало что оставалось для улучшения условий труда. Это укрепило широко распространившееся к тому времени среди рабочих убеждение, что компании безразлично все, кроме выжимания из них большей прибыли.

Трудности в работе завода, связанные с загрузкой, близкой к предельной, накапливались. Широко распространилось мнение, что в них следует винить плохие коммуникации. По этой и другим причинам главной заботой администрации стала координация производственных операций на заводе. Руководство признавало, что начальники участков работали с огромным напряжением сил и что некоторые из них недостаточно подготовлены для того, чтобы справляться с кадровыми проблемами, порожденными предельной загрузкой производственных мощностей. Поэтому, чтобы дать этим управляющим больше времени для работы с подчиненными и высвободить их для дополнительной подготовки в области человеческих отношений, был введен еще один уровень управления непосредственно над ними. Этот второй уровень был создан, чтобы принять на себя все более сложные проблемы корпорации. Поощрялась ориентация работы начальников участков на кадровые проблемы. Однако, как оказалось, новые управляющие затрудняли коммуникации, направленные как вверх, так и вниз. Безуспешность их усилий сделала очевидным, что проблемы координации коренились не в производственном графике, а в растущем среди рабочих возмущении интенсификацией труда. Все это привело администрацию к решению, что следующий трудовой контракт должен включать условие гибкого распределения рабочих заданий.

К концу срока «Альфа» столкнулась со значительным сокращением сбыта продукции. По общему мнению руководства, это было следствием ухудшения ее качества. Но какова бы ни была причина падения сбыта, становилось ясно, что необходимо значительное сокращение работников. В связи с тем что администрация надеялась провести соглашение о гибком распределении работ в следующем трудовом контракте и из-за того что оптовики компаний накопили большие запасы нераспроданной продукции, администрация решила начать сокращение. Чтобы избежать неблагоприятной огласки, как случилось ранее, одновременно было уволено лишь небольшое число рабочих. Намеревались продолжать практику таких увольнений до тех пор, пока не будет достигнуто желаемое большое сокращение персонала.

Сокращения усилили непрочность положения оставшихся рабочих и привели к дальнейшему обострению и без того конфликтных трудовых отношений. Производительность снизилась, стычки и угрозы стали повсеместными. То чувство приверженности к компании, которое еще оставалось у рабочих, окончательно испарилось, когда они убедились, что здесь у них нет перспектив. Предварительные переговоры с профсоюзом показали, что рабочие скорее будут снова бастовать, чем согласятся на увеличение гибкости при распределении работ.

Сбыт продолжал снижаться, а производственные расходы расти. Тем временем основные конкуренты «Альфы» установили значительно более эффективное производственное оборудование. Снизив издержки производства, они увеличили свои инвестиции в маркетинг. Убытки компании продолжали расти, несмотря на ее усилия сохранить позиции.

В итоге «Бета» решила избавиться от «Альфы» и со временем продала ее одному из ее конкурентов.

Прояснение будущего является мощным рычагом эффективного бизнеса, существенно повышающим шансы на успех предпринимателя.

Библиографический список

1. Курс предпринимательства. – СПб.: Альфа, 2008.- 543 с.

2. Занимательная экономика и бизнес: 2-е изд., доп. - М.: Тигон, 2009. - 411 с.

3. Занимательная экономика и бизнес. – СПб.: Тригон, 2008.- 488 с.

4. Азбука маркетинга. - СПб.: Союз, 2008. - 270 с.

5. Азбука менеджмента. - СПб.: Союз, 2008. - 269 с.

6. Предприимчивость и риск. – СПб.: ИПК РП, 2010. - 64 с.

7. Управление в гибком производстве (в соавт.).– М.: Радио и связь, 2007.-126 с.

8. Азбука бизнеса. - СПб.: ИПК РП, 2008. - 74 с.

9. Автоматизация и управление предприятием. – Л.: ЛИМТУ, 2009. - 66 с.

10. Разработка систем управления (в соавт.). – Л.: ЛИМТУ, 2009.-83 с.

11. Модели и алгоритмы задач в управлении предприятиями. - Л.: ЛИМТУ, 2009. - 87 с.

12. Выработка решений в системе управления предприятием. - Л.: ЛИМТУ, 2006. - 86 с.

13. Принятие решений в условиях неполной информации. - Л.: ЛИМТУ 2007. - 36 с.

14. Основы выработки решений. – Л.: ВОК, 2006. – 55 с.

 


Не нашли материал для своей работы?
Поможем написать уникальную работу
Без плагиата!
Без нейросетей!