Соціальні установки щодо ставлення до людей з особливими потребами
ЗМІСТ
Вступ.
Розділ 1. Поняття соціальної установки
1.1 Сутність соціальної установки
1.2 Соціальна установка і реальна
поведінка
Розділ 2. Методичні основи
дослідження соціальних установок ставлення до людей з особливими потребами
2.1 Образ інваліда в свідомості жінок
2.2 Проведення дослідження образу
інваліда у свідомості жінок за методикою СОЛ
2.3 Обробка та інтерпретація
отриманих даних
Висновки
Список використаних джерел
Додатки
ВСТУП
Актуальність
теми. Реалізація прав людини в сфері праці та її соціального захисту є ознакою
будь-якого демократичного суспільства, країни з соціально орієнтованою
економікою. Стратегічний курс на побудову соціальної правової держави,
інтегрованої у світовий економічний простір, що обрала Україна, потребує
наближення вітчизняної гуманітарної політики до соціальних стандартів, які
застосовуються у світовій практиці відносно різних категорій населення і
спрямовані на забезпечення гідного життя людини. Однією з категорій, яка є
певним індикатором рівня соціальної зрілості держави і суспільства, є інваліди –
люди з обмеженими можливостями. Проблема забезпечення соціально-професійної
реабілітації інвалідів в Україні є вкрай важливою й актуальною, особливо через
зростання чисельності інвалідів в країні за 1994-2009 роки на 14% та низький
рівень зайнятості дорослих інвалідів (15,4%).
Окремі
теоретико-методологічні аспекти досліджуваної проблеми розглядались відомими
зарубіжними вченими Г.Беккером, Е.Дюркгеймом, Г.Слезингером, Б.Гєнкіним,
В.Роіком та ін. Вагомий внесок у дослідження соціально-економічних проблем ринку
праці, питань дискримінації окремих категорій громадян в процесі
працевлаштування здійснили такі вітчизняні вчені, як О.Амоша, Д.Богиня,
О.Грішнова, Н.Борецька, Т.Кір’ян, А.Колот, А.Гриненко, Е.Лібанова, О.Новикова,
О.Осауленко, А.Решетнікова та інші.
Мета роботи:
дослідити проблеми ставлення до людей з особливими потребами на сучасному етапі
розвитку суспільства.
Відповідно до
мети дослідження в роботі поставлено і вирішено такі завдання:
- теоретично
дослідити основи соціальних гарантій людей з обмеженими можливостями;
- проаналізувати
основні критерії та показники соціальних установок;
- надати
рекомендації щодо покращення процесу формування сучасних напрямків ставлення до
людей з обмеженими можливостями.
Об’єктом
дослідження є ставлення до людей з обмеженими можливостями.
Предметом
дослідження є соціальні установки ставлення до людей з обмеженими можливостями.
Методи
дослідження. В роботі застосовано діалектичний метод наукового пізнання,
системний методологічний підхід до дослідження процесу соціально-професійної
реабілітації, методи структурно-функціонального аналізу, методи порівняльного
аналізу.
Інформаційною
основою дослідження є матеріали Державного комітету статистики України стосовно
проблем соціального захисту людей з особливими потребами.
Інформаційною
базою роботи є наукові публікації, монографічні видання, підручники, чинне
законодавство України та інші джерела.
РОЗДІЛ 1. ПОНЯТТЯ СОЦІАЛЬНОЇ УСТАНОВКИ З ПОЗИЦІЇ ВІТЧИЗНЯНОЇ ТА
ЗАКОРДОННОЇ СОЦІАЛЬНОЇ ПСИХОЛОГІЇ
1.1 Сутність соціальної установки
Особистість, будучи суб'єктом спілкування у групі, займаючи певну позицію
в соціальному середовищі, виявляє оцінне, вибіркове ставлення до людей, що її
оточують.
Вона зіставляє, оцінює, порівнює й обирає осіб для взаємодії і
спілкування, враховуючи можливості конкретної групи, власні потреби, інтереси,
установки, досвід, які в сукупності становлять конкретну ситуацію
життєдіяльності особистості, постають як соціально-психологічний стереотип її
поведінки.
Особливості реагування індивіда на навколишнє середовище та ситуації, в
яких він опиняється, пов'язані з дією феноменів, які позначають поняття
“установка”, “атитюд”, “соціальна установка” та ін.
Установка особистості свідчить про її готовність діяти певним способом,
що зумовлює швидкість її реагування на ситуацію і деякі ілюзії сприймання.
Установка — цілісний стан особистості, вироблена на основі досвіду
готовність стійко реагувати на передбачувані об'єкти чи ситуації, вибіркова
активність, спрямована на задоволення потреби.
Традиційно установку розглядають як готовність до певної активності. Ця
готовність визначається взаємодією конкретної потреби із ситуацією, її
задоволенням. Відповідно установки поділяють на актуальні (недиференційовані)
та фіксовані (диференційовані, вироблені в результаті повторного впливу
ситуації, тобто базуються на досвіді).
Важливою формою установки є соціальна установка (атитюд).
Атитюд (англ. attitude — ставлення, установка) — внутрішній стан
готовності людини до дії, що передує поведінці.
Атитюд формується на підставі попереднього соціально-психологічного
досвіду, розгортається на усвідомленому і неусвідомленому рівнях та регулює
(спрямовує, управляє) поведінку індивіда. Він зумовлює стійку, послідовну,
цілеспрямовану поведінку в ситуаціях, що змінюються, а також звільняє суб'єкта
від необхідності приймати рішення і довільно контролювати поведінку в
стандартних ситуаціях, може бути чинником, що зумовлює інертність дії та
гальмує пристосування до нових ситуацій, котрі вимагають зміни програми
поведінки.
Звернулися до вивчення цієї проблеми американські соціологи Вільям-Айзек
Томас і Флоріан-Вітольд Знавецький у 1918 p., які розглядали установку як
феномен соціальної психології. Соціальну установку вони тлумачили як певний
психічний стан переживання індивідом цінності, значення або смислу соціального
об'єкта. Зміст такого переживання зумовлюють зовнішні, тобто локалізовані в
соціумі, об'єкти.
Соціальна установка — детермінована минулим досвідом психологічна
готовність індивіда до певної поведінки стосовно конкретних об'єктів, до
вироблення його суб'єктивних орієнтацій як члена групи (суспільства) щодо
соціальних цінностей, об'єктів тощо.
Такі орієнтації зумовлюють соціально прийнятні способи поведінки
індивіда. Соціальна установка є елементом структури особистості й одночасно
елементом соціальної структури. З точки зору соціальної психології вона є
чинником, здатним подолати дуалізм соціального та індивідуального, розглядаючи
соціально-психологічну реальність в її цілісності.
Найголовнішими її функціями є випереджувальна та регулятивна (готовність
до дії, передумова дії).
За твердженням Г. Олпорта, установка є психонервовою готовністю індивіда
до реакції на всі об'єкти, ситуації, з якими він пов'язаний. Справляючи
спрямовуючий і динамічний вплив на поведінку, вона завжди залежна від минулого
досвіду. Уявлення Олпорта про соціальну установку як про індивідуальне
утворення суттєво відрізняється від тлумачення її В.-А. Томасом і Ф.-В.
Знанецьким, які вважали цей феномен близьким до колективних уявлень.
Важливими ознаками установки є інтенсивність афекту (позитивного чи
негативного) — ставлення до психологічного об'єкта, її латентність, доступність
для прямого спостереження. Вимірюють її на підставі вербальних самозвітів
опитуваних, які є узагальненою оцінкою особистості власного відчуття схильності
або несхильності до конкретного об'єкта. Отже, атитюд — це міра відчуття,
викликаного конкретним об'єктом (“за” чи “проти”). За таким принципом
побудовані шкали установок американського психолога Луїса Терстоуна
(1887—1955), що є біполярним континуумом (сукупністю) з полюсами: “дуже добре”
— “дуже погано”, “цілком згоден” — “цілком не згоден” тощо.
Структуру атитюда утворюють когнітивний (пізнавальний), афективний
(емоційний) та конативний (поведінковий) компоненти (Додаток А). Це дає підстави
розглядати соціальну установку одночасно як знання суб'єкта про предмет і як
емоційну оцінку та програму дій щодо конкретного об'єкта. Багато вчених вбачає
суперечність між афективним та іншими її компонентами — когнітивним і
поведінковим, доводячи, що когнітивний компонент (знання про об'єкт) включає
певну оцінку об'єкта як корисного чи шкідливого, доброго чи поганого, а
конативний — включає оцінку дії стосовно предмета установки. В реальному житті
дуже важко відокремити когнітивний та конативний компоненти від афективного.
Цю суперечність було з'ясовано під час дослідження так званого “парадоксу
Р. Лапієра” — проблеми взаємозв'язку між атитюдами та реальною поведінкою, які
довели безпідставність тверджень про їх збіг.
У другій половині XX ст. виокремилися індивідуально-психологічна та
соціально-психологічна лінії у розумінні соціальної установки. У межах першої
розгортаються біхевіористські та когнітивістські дослідження, друга пов'язана
передусім з інтеракціоністською орієнтацією і зосереджена на дослідженні
соціально-психологічних механізмів і чинників, що регулюють процес виникнення
та зміни соціальних установок особистості.
На розуміння психологами-інтеракціоністами соціальної установки вплинуло
положення американського психолога Джорджа-Герберта Міда (1863—1931) про
символічне опосередкування взаємодії людини та навколишнього світу. Згідно з
ним індивід, який має у своєму розпорядженні символічні засоби (передусім
мову), тлумачить для себе зовнішні впливи і потім взаємодіє із ситуацією в її
символічно витлумаченій якості. Відповідно, соціальні установки розглядаються
як певні психічні утворення, що виникають на основі засвоєння установок інших,
референтних груп та осіб. У структурному плані вони є елементами “Я-концепції”
людини, певними визначеннями соціально бажаної поведінки. Це дає підстави
тлумачити їх як усвідомлюваний, фіксований у знаковій формі тип поведінки,
якому надається перевага. Основою соціальних установок є згода суб'єкта
розглядати певні об'єкти, ситуації через призму соціальних норм та цінностей.
За іншими підходами соціальна установка тлумачилася як стійка система
поглядів, уявлень, пов'язана з потребою індивіда у збереженні чи розриві
відносин з іншими людьми. її стійкість забезпечується або зовнішнім контролем,
що виявляється у необхідності підкоритися іншим, або процесом ідентифікації з
оточенням, або важливим її особистісним значенням для індивіда. Таке розуміння
лише частково враховувало соціальне, оскільки аналіз установки розгортався не
від соціуму, а від особистості. Крім того, наголос на когнітивному компоненті
структури установки залишає поза увагою її об'єктивний аспект — цінність
(ціннісне ставлення). Це принципово суперечить твердженням В.-А. Томаса та
Ф.-В. Знанецького про цінність як об'єктивний аспект установки, відповідно про
саму установку як індивідуальний (суб'єктивний) аспект цінності.
3 усіх складових установки провідну роль у регулятивній функції відіграє
ціннісний (емоційний, суб'єктивний) компонент, який пронизує когнітивний та
поведінковий компоненти. Подолати розбіжність соціального та індивідуального,
установки і ціннісної орієнтації допомагає поняття “соціальна позиція
особистості”, що поєднує ці компоненти. Ціннісна орієнтація є підґрунтям
виникнення позиції, як компонент структури особистості, вона утворює певну вісь
свідомості, навколо якої обертаються думки і почуття людини, і з огляду на яку
розв'язується багато життєвих питань. Властивість ціннісної орієнтації бути
установкою (системою установок) реалізується на рівні позиції особистості, коли
ціннісний підхід сприймається як установчий, а установчий — як ціннісний. У
цьому сенсі позиція є системою ціннісних орієнтацій та установок, що
відображають активні вибіркові відносини особистості.
Ще більш інтегральним, ніж установка, еквівалентом динамічної структури
особистості є психічний настрій особистості, який включає предметно спрямовані
і безпредметні психічні стани. Як і ціннісна орієнтація, він передує виникненню
позиції. Умовою виникнення позиції особистості є її оцінне ставлення і певний
психічний стан (настрій), який надає позиції різного емоційного забарвлення —
від глибокого песимізму, пригніченості до життєстверджувального оптимізму та
ентузіазму.
Установчо-позиційний, диспозиційний підхід до структури особистості
трактує диспозицію як комплекс схильностей, готовності до певного сприйняття
умов діяльності та до певної поведінки за цих умов (В. Ядов). У такому
розумінні вона є дуже близькою до поняття “установка”. Згідно з цією концепцією
диспозиції особистості є ієрархічно організованою системою з кількома рівнями
(Додаток Б):
— елементарні фіксовані установки без модальності (переживання “за” чи
“проти”) та когнітивних компонентів;
— соціальні фіксовані установки (атитюди);
— базові соціальні установки, або загальна спрямованість інтересів
особистості на конкретну царину соціальної активності;
— система орієнтацій на цілі життєдіяльності та засоби досягнення цих
цілей.
Така ієрархічна система є результатом попереднього досвіду і впливу
соціальних умов. У ній вищі рівні здійснюють загальну саморегуляцію поведінки,
нижчі — відносно самостійні, вони забезпечують адаптацію особистості за
мінливих умов. Диспозиційна концепція є спробою встановити взаємозв'язок між
диспозиціями, потребами та ситуаціями, які теж утворюють ієрархічні системи.
Залежно від того на який об'єктивний чинник діяльності спрямована
установка, виокремлюють три рівні регуляції поведінки — смислові, цільові та
операційні атитюди. Смислові атитюди містять інформаційний (світогляд людини),
емоційний (симпатії, антипатії щодо іншого об'єкта), регулятивний (готовність
діяти) компоненти. Вони допомагають сприймати систему норм і цінностей у групі,
зберігати цілісність поведінки особистості у ситуаціях конфлікту, визначати
лінію поведінки індивіда тощо. Цільові атитюди зумовлені цілями і визначають
стійкість перебігу певної дії людини. У процесі розв'язання конкретних завдань
на підставі врахування умов ситуації та прогнозування їх розвитку виявляються
операційні атитюди, які проявляються в стереотипності мислення, конформній
поведінці особистості тощо.
Отже, соціальна установка є стійким, фіксованим, ригідним (негнучким)
утворенням особистості, яке стабілізує спрямованість її діяльності, поведінки,
уявлень про себе та світ. За одними твердженнями, вони утворюють структуру
особистості, за іншими — лише посідають певне місце серед якісних рівнів
особистісної ієрархії.
1.2 Соціальна установка і реальна поведінка
Установка схиляє індивіда до певної форми реагування, оцінювання,
готовності, до орієнтації діяльності згідно з певними цінностями, що може
сприяти задоволенню - конкретної потреби. Повторення ситуацій поступово формує
фіксовані установки особистості, які впливають на соціальне життя, життєву
стратегію людини.
Вплив установок на поведінку людини вчені трактують по-різному.
Вітчизняні психологи вбачають між ними прямий зв'язок, до інших висновків
приводять дослідження їх зарубіжних колег.
У 1934 р. Р. Лапієр разом із китайським подружжям подорожував по США,
зупиняючись у готелях, кемпінгах, відвідуючи кафе, ресторани. Невдовзі він
надіслав господарям відвіданих закладів листи із запитанням: “Чи приймете Ви
представників китайської раси як гостей?” З'ясувалося, що 92 % господарів
ресторанів та 91 % власників готелів відповіли негативно. Це засвідчило, що
відповідь на запитання, поставлене господарям готелів і ресторанів про їхню
згоду чи незгоду прийняти китайців не є об'єктивним критерієм їх поведінки щодо
представників цієї раси. На цій підставі було зроблено висновок, що вербальні
відповіді є вербалізованою реакцією на символічну ситуацію, яка відрізняється
від реальної ситуації взаємодії.
Невідповідність між установкою (вербальною поведінкою) і реальною
поведінкою дослідники пояснювали залежністю відповіді від ситуації, яка може
належати до одного з трьох типів:
— знеособлена ситуація (наприклад, лист). Така ситуація зумовлює
одноманітну поведінку — залишити лист без відповіді;
— частковий особистий контакт (безпосередня або телефонна розмова). У
такому разі відповіді будуть дещо різноманітнішими — від згоди до пошуків
аргументів для відмови;
— безпосередня взаємодія (особистісна ситуація). Відповіді будуть майже
одноманітними: “приймемо та обслужимо”.
На аналізі таких ситуацій базуються твердження про відсутність прямого
зв'язку між установкою та поведінкою. Для конкретизації ситуації необхідно
задіювати допоміжні змінні: групові норми, очікування, вплив референтної групи,
риси особистості. Тому багато вчених без ентузіазму поставилося до самого
поняття “установка” та його наукової продуктивності. Водночас це спонукало
дослідників до пошуку чинників (допоміжних, ситуативних змінних), що
опосередковують зв'язок установок і реальної поведінки індивіда. Одним із
перших почав досліджувати їх М. Рокич, який, виокремивши два типи атитюдів (“до
об'єкта” і “до ситуації”), спробував за їх допомогою подолати ускладнення, що
виникають під час з'ясування психологічних характеристик атитюдів і соціальних
характеристик ситуації. “Парадокс Р. Лапієра” можна було пояснити існуванням
двох різних ситуацій, відповідно і двох різних типів поведінки. Китайцям, яких
супроводжує біла людина, відмовити було важко, але зробити це в листі було дуже
легко. З точки зору Рокича людина наділена суб'єктивною цілісною системою
уявлень, в якій теоретичному аналізу підлягає три найзначущіші її складові:
поняття “Я”, цінності та атитюди. В цій системі центральне місце посідає
поняття “Я”. Цінність, за Рокичем, є стійким уявленням про особливий спосіб
поведінки (інструментальна цінність) або ціль — стан (термінальна цінність).
Атитюди, за його твердженням, фіксують не спосіб поведінки чи стану, а уявлення
про певний предмет або ситуацію. Ці уявлення описують об'єкт чи ситуацію як
істинну або хибну, оцінюють їх як бажані або небажані, добрі чи погані.
М. Фішбейн розглядав установку, засвоєну у процесі научіння, як
схильність індивіда до реакції, стверджуючи, що поведінка людини значною мірою
перебуває під контролем змінних, що відрізняються від установки індивіда
стосовно конкретного об'єкта (мотиваційних, нормативних, ситуативних змінних).
Замість передбачення Впливу установки на поведінку він зосередився на
дослідженні впливу поведінки на установку. Тобто його модель прогнозувала не
поведінку, а поведінковий намір суб'єкта щодо реалізації певного акту. Цей
намір стосувався саме дії, а не об'єкта — стимулу установки. У такому розумінні
установка втрачає свій соціальний зміст і перетворюється на індивідуальну
поведінкову реакцію, засвоєну за схемою “стимул — реакція”. Водночас Фішбейн
запропонував типологію атитюдів, поділивши їх на атитюди до дії та атитюди до
об'єкта, вважаючи це одним з найважливіших відкриттів соціальної психології.
Така класифікація, на його думку, дає змогу пояснити труднощі, які виникають
при спробі змінити конкретні вчинки особистості стосовно об'єкта, впливаючи на
систему її атитюдів. Нормативним чинником, який регулює дію атитюдів на реальну
поведінку, він вважав вплив соціального оточення.
Поведінка особистості в соціумі зумовлюється та мотивується способами
розв'язання суперечностей середовища та особистості, механізмами реалізації
соціального життя, соціальними та індивідуальними умовами життєвої ситуації,
особливостями соціальної інфраструктури, засвоєними традиціями, звичаями та
життєвими цінностями, етнопсихологічними особливостями учасників взаємодії,
індивідуальними властивостями особистості. Щодо особистості, то йдеться
насамперед про “Я-концепцію” — сукупність уявлень, суджень, переконань індивіда
про себе. На їх основі він вибудовує свої стосунки з іншими людьми, визначає
тенденції поведінки. “Я-концепція” є передумовою й наслідком соціального життя,
соціальної взаємодії, що визначається соціальним досвідом. Мета взаємозв'язку
“Я-концепції” та соціального життя полягає не стільки у розширенні можливостей
“Я”, скільки у досягненні гармонії з оточенням, що передбачає не припасування
індивідуальних властивостей до соціального стандарту, а свідоме оцінювання
людиною своїх дій і вчинків, прийняття (неприйняття), зміну, корекцію
стереотипів, цінностей і норм, які пропонує суспільство.
Подальші дослідження виявили зв'язок між установками і тенденціями в
поведінці людини. На поведінку впливає багато чинників: погода, самопочуття,
взаємини з близькими людьми на конкретний момент та ін. Було з'ясовано, що
формування та зміна соціальних установок може відбуватися у процесі реальної
поведінки, а цілеспрямований вплив на поведінку людини зумовлює зміну її
соціальних установок.
РОЗДІЛ 2. МЕТОДИЧНІ ОСНОВИ ДОСЛІДЖЕНЯ
СОЦІАЛЬНИХ УСТАНОВОК СТАВЛЕННЯ ДО ЛЮДЕЙ З ОСОБЛИВИМИ ПОТРЕБАМИ
2.1 Образ інваліда в свідомості жінок
У цьому розділі необхідно застосувати наведені вище аттитюди досліджень
для визначення способу інваліда у свідомості жінок і зіставлення офіційних
даних, оцінюють психологічний, соціоперцептивний образ інваліда, як негативний,
з даними, отриманими в ході досліджень.
У дослідженні беруть участь 12 жінок, при чому шість з них є працівниками
медичної сфери, інші шість - представниці інших професій і видів діяльності.
Середній вік жінок складає 37 років. Наймолодшій учасниці 19 років,
найбільш літній - 65 років. Представлені жінки, що проводять різний спосіб життя,
представниці майже всіх категорій: студентка, працюючі, домогосподарки і
пенсіонерка.
Дослідження проводиться в спеціальному приміщенні. Роздатковий матеріал
представляють тексти із завданнями і бланки протоколів.
2.2 Проведення
дослідження образу інваліда у свідомості жінок за методикою СОЛ
Початок досліджень за методикою СОЛ структури образу людини включає
модифіковану методику «20 визначень». Жінкам видається папір і перед ними
ставиться завдання пояснити значення слова «інвалід» простими або складними
словами, визначеннями з декількох слів. Так, щоб кожне визначення розкривало
лише одну властивість інваліда. Учасницям дослідження необхідно пояснити, що
відповіді пишуться швидко, розташовуються в тому порядку, в якому в них подумки
виникають.
Час виконання завдання не повинно перевищувати п'яти хвилин.
Обробка відповідей за методикою «20 визначень» здійснюється методом
контент-аналізу. У структурі уявлень про інваліда потрібно виділити кілька груп
характеристик, в базовому варіанті методики включають дев'ять категорій
визначень інваліда:
- Конвенціональні, загальноприйняті характеристики (людина, сестра,
чоловік і т.п.) - умовне позначення «до»;
- Тілесно-фізичні характеристики (кволий, слабкий, худий і т.п.) - умовне
позначення «т»;
- Емоційно-особистісні характеристики (сумний, веселий, недоброзичливий і
т.п.) - умовне позначення «е»;
- Особистісно-вольові характеристики (завзятий, посидющий,
цілеспрямований і т.п.) - умовне позначення «в»;
- Характеристики інтелектуально-творчої сфери особистості (допитливий,
уважний і т.п.) - умовне позначення «і»;
- Характеристики особливостей поведінки особистості як суб'єкта взаємодії
(скаржник, агресивний і т.п.), соціальні характеристики - умовне позначення «з»;
- Характеристики особливостей поведінки особистості як суб'єкта
цілеспрямованої діяльності (трудівник, ледар, акуратний і т.зв.), діяльнісні
характеристики - умовне позначення «д»;
- Характеристики особливостей поведінки особистості, що проявляються у
діяльності, не пов'язаної з взаємодією (пасивний, обережний і т.п.),
поведінкові характеристики - умовне позначення «п».
- Метафоричні характеристики (ніч, поранений звір і т.п.) - умовне
позначення – «м».
Одну характеристику можна віднести до кількох (звичайно не більше ніж до
трьох) категоріям, наприклад: завзятий трудівник - «в», «д».
Виходячи з конкретних особливостей дослідження, можна додатково формувати
й інші категорії, наприклад:
- Гендерні (маскулінні, фемінні, Андрогінні),
- Математичні,
- Матеріальні і т.д.
Характеристиками кожної групи, привласнюється своя модальність,
позитивна, негативна або амбівалентна (Табл. 2.1). Результати досліджень
фіксуються в протоколах (Додатки В - П).
Таблиця 2.1
Модальність характеристик психологічного образу
Модальна |
Позитивна |
Негативна |
Амбівалентна |
Приклад |
Володіє силою волі, терплячий, благородний, тонко відчуває, що має надію. |
Хворий, дратівливий, емоційно нестійкий, викликає огиду, пригноблений, і ін. |
Чоловік, який потребує уваги, спокійний, читає, вимагає лікування |
Умовне позначення |
+ |
- |
* |
Форма протоколу вільна, але в ньому обов'язково повинні бути присутня
дата, організація (підприємство), належність об'єкта досліджень тієї чи іншої
структурної одиниці (група, клас, відділ і т.д.), ім'я об'єкта (прізвище, ім'я,
по батькові), його посада (учень, викладач, старший касир і т.д.). У протоколі
можуть бути зафіксовані інші відомості про об'єкт, важливі для подальшої
інтерпретації.
Після заповнення визначень учасницями в протоколах, проводиться первинна
обробка записів. Визначається група характеристик і її модальність. Для прикладу,
наведемо першу частину бланку першого протоколу (Табл. 2.2).
Таблиця 2.2
П.І.Б. - Іванова А.А.
Дата тестування - 11 червня 2010 року.
Професія - лікар-педіатр. Інші дані - 39 років, заміжня, двоє дітей.
|
№ п / п
|
Визначення
|
Група характеристик
|
Модальність
|
1 |
2 |
3 |
4 |
1 |
Чоловік
|
к, мускулінні |
* |
2 |
Сильний
|
т, в |
+ |
3 |
Нездоровий
|
т |
- |
4 |
Бореться з хворобою
|
в |
+ |
5 |
Володіє силою волі
|
в |
+ |
6 |
Долає випробування
|
в |
+ |
7 |
Може сприйматися близькими як тягар
|
с |
- |
8 |
Заздрісний
|
э |
- |
9 |
Потребує уваги
|
с, в |
* |
10 |
Дратівливий
|
э |
- |
11 |
Емоційно нестійкий
|
э |
- |
12 |
Огрядний
|
т |
* |
13 |
Пересувається на милицях
|
п |
- |
14 |
Проходить медкомісію
|
с |
* |
15 |
Отримує допомогу
|
с |
* |
16 |
Викликає гидливість
|
с |
- |
17 |
Викликає жалість
|
с |
- |
18 |
Провокує зневагу
|
с |
- |
19 |
Вчить терпінню оточуючих
|
с |
+ |
20 |
Може бути благородним
|
в, э |
+ |
Отже, можна переконатися, що за результатами першого протоколу переважає
негативноно-амбівалентна модальність. У протоколах № 2, 3, 4, 5,8 спостерігається
схожа ситуація. Але, протоколи № 6, 7, 9, 11, 12 дають позитивний «словесний
портрет».
Далі у другій частині протоколу складається «психогеометричний портрет».
Жінкам, учасницям дослідження, пропонується послідовно намалювати п'ять
геометричних фігур: коло, квадрат, прямокутник, зигзаг і трикутник. При цьому кожній
геометричній фігурі відповідають уявні риси образу інваліда.
В інструкції жінкам необхідно пояснити, що фігура висловлює не зовнішню
схожість, а внутрішню сутність людей-інвалідів. У першу чергу малюється та
фігура, яка найбільш відповідає психологічному портрету інваліда, далі та, яка
менше підходить до цього образу і так далі. Остання геометрична фігура, на
думку учасниці, буде найменш відповідати характеру інваліда в її уяві.
Приклад заповнення другої частини бланку методики СОЛ показано в таблиці
2.3.
Таблиця 2.3
Індивідуальні психогеометричні образи інваліда у свідомості жінок

|

|

|

|

|

|
|
Номер фігури
|
1 |
2 |
3 |
4 |
5 |
|
Результат
|
3 |
2 |
4 |
5 |
1 |
З таблиці видно, що учасниця Іванова першим для побудови портрета
інваліда поставила прямокутник, який стоїть під номером три, потім квадрат, під
номером два, зигзаг, під номером чотири, трикутник, під номером п'ять і коло,
що під номером один.
Виходячи з цього в портрет інваліда, складеному Іванової на першому місці
непослідовність, непередбачуваність, старанність, витривалість і стриманість.
Менш значимі для неї в структурі образу розвинене мислення, уява, інтуїція,
енергійність, цілеспрямованість. Такі якості як доброзичливість і гармонійні
міжособистісні взаємини, згідного даного портрета, відсутні або слаборозвинені
у інваліда.
У зведеній таблиці проставляються прізвища учасниць і номери обраних ними
фігур у послідовному порядку (Табл. 2.4).
Таблиця 2.4
Індивідуальні психогеометричні образи інваліда
|
Учасниці
|
Результати
|
|
Іванова А.А.
|
3 2 4 5 1 |
|
Сидорова Б.Б.
|
1 2 5 3 4 |
|
Семенова В.В.
|
1 2 4 3 5 |
|
Петрова Г.Г.
|
3 4 5 2 1 |
|
Сергєєва Д.Д.
|
1 2 4 3 5 |
|
Андрєєва І.І.
|
1 4 5 2 3 |
|
Максимова К.К.
|
1 2 5 3 4 |
|
Александрова Л.Л.
|
2 3 5 4 1 |
|
Богданова М.М.
|
5 1 2 3 4 |
|
Миколаєва М.М.
|
1 3 2 4 5 |
|
Пантелєєва О.О.
|
2 3 4 1 5 |
|
Михайлова П.П.
|
2 1 4 3 5 |
При складанні словесного портрета образу інваліда у свідомості жінок
обробка «сирих» даних оформляється вигляді у таблиці, в яку заносяться
кількість визначень, що потрапляють в кожну класифікаційну групу (таблиця 2.5).
Таким чином, визначається структура вербальної складової образу інваліда
у свідомості жінок.
Таблиця 2.5
Структура вербальної складової образу інваліда
Респонденти |
Характеристики |
Модальність |
к |
т |
э |
в |
и |
с |
д |
п |
м |
Іінше |
+ |
- |
* |
|
Іванова А.А.
|
1 |
3 |
4 |
6 |
0 |
8 |
0 |
1 |
0 |
1 |
6 |
9 |
5 |
|
Сидорова Б.Б.
|
0 |
2 |
6 |
2 |
1 |
4 |
3 |
3 |
1 |
1 |
3 |
8 |
9 |
|
Семенова В.В.
|
9 |
3 |
2 |
1 |
1 |
5 |
0 |
2 |
0 |
3 |
4 |
6 |
10 |
|
Петрова Г.Г.
|
4 |
5 |
2 |
1 |
1 |
4 |
0 |
2 |
0 |
3 |
1 |
12 |
7 |
|
Сергєєва Д.Д.
|
2 |
1 |
4 |
2 |
0 |
6 |
2 |
3 |
2 |
1 |
3 |
9 |
8 |
|
Андрєєва І.І.
|
2 |
1 |
5 |
3 |
7 |
1 |
1 |
0 |
2 |
11 |
3 |
6 |
|
Максимова К.К.
|
7 |
1 |
2 |
4 |
2 |
4 |
0 |
0 |
1 |
5 |
11 |
0 |
9 |
|
Александрова Л.Л.
|
1 |
1 |
3 |
1 |
0 |
9 |
2 |
4 |
2 |
0 |
3 |
11 |
6 |
|
Богданова М.М.
|
4 |
1 |
1 |
4 |
1 |
6 |
2 |
2 |
0 |
3 |
8 |
6 |
6 |
|
Миколаєва М.М.
|
1 |
3 |
6 |
1 |
2 |
6 |
1 |
2 |
1 |
0 |
4 |
8 |
8 |
|
Пантелєєва О.О.
|
2 |
3 |
6 |
3 |
0 |
7 |
1 |
1 |
0 |
2 |
1 |
16 |
3 |
|
Михайлова П.П.
|
8 |
7 |
5 |
1 |
0 |
7 |
1 |
1 |
0 |
1 |
1 |
15 |
4 |
За даними тесту «20 визначень» можна побудувати графік спектрів образу
інваліда у свідомості тестованих жінок. Для цього будується шкала характеристик
і шкала балів. Спектри вербального складової аналізу складаються у формі
кривих. Кожна крива, позначена певним кольором, відповідає словесним портретом
одній жінці, освіченій тими балами, які були отримані в результаті обробки
першої частини її протоколу.
Як ми можемо помітити на малюнку 2.1, найчастіше учасниці дослідження
давали поняттю «інвалід» визначення, що стосуються конвенціональних,
загальноприйнятих характеристик, соціальних і фізичних ознак інвалідів. Далі
слідують характеристики особистісного, емоційного і вольового плану. І на
останньому місці стоять інтелектуально-творчі та поведінкові особливості
інвалідів, не пов'язані із взаємодією.
Так, на прикладі Іванової А.А. на малюнку 2.1, ми бачимо, що в числі її
визначень чільне місце займають соціальні характеристики інваліда - 8
визначень. Далі слідують особистісно-вольові характеристики - 6 визначень. На
третій позиції емоційно-особистісні показники - 4 визначення. Потім змінюються
фізичні, тілесні характеристики - 3 визначення, конвенціальні, поведінкові й
інші (для незначних, не включені в графік) - по одному визначенню.
Кілька схожих спектру образу інваліда зі спектром образів інваліда
Сидорової Б.Б., Андрєєвої І.І., Максимової К.К.
Відмінними є графіки Михайлової П.П., Александрової Л.Л. та ін.
Рис. 2.1. Графік спектрів образу інваліда у свідомості жінок
Схожим чином аналізуються і дані психогеометричного тесту З. Делінгер, як
складової методики СОЛ. Дані другої частини протоколу тестованих жінок
обробляються у зведеній таблиці (табл. 2.6) і за їх результатами будується
спектральний графік психогеометричного образу інваліда (Рис. 2.2).
Таблиця 2.6
Індивідуальні психогеометричні образи інвалідів
|
Респондент
|
Квадрат
|
Трикутник
|
Прямокутник
|
Коло
|
Зигзаг
|
|
Іванова А.А.
|
2 |
4 |
1 |
5 |
3 |
|
Сидорова Б.Б.
|
2 |
3 |
4 |
1 |
5 |
|
Семенова В.В.
|
2 |
5 |
4 |
1 |
3 |
|
Петрова Г.Г.
|
4 |
3 |
1 |
5 |
2 |
|
Сергєєва Д.Д.
|
2 |
5 |
4 |
1 |
3 |
|
Андрєєва І.І.
|
4 |
3 |
5 |
1 |
2 |
|
Максимова К.К.
|
2 |
3 |
4 |
1 |
5 |
|
Александрова Л.Л.
|
1 |
3 |
2 |
5 |
4 |
|
Богданова М.М.
|
3 |
1 |
4 |
2 |
5 |
|
Миколаєва М.М.
|
3 |
5 |
2 |
1 |
4 |
|
Пантелєєва О.О.
|
1 |
5 |
2 |
4 |
3 |
|
Михайлова П.П.
|
1 |
5 |
4 |
2 |
3 |
Рис.2.2. Психогеометричні образи інваліда
Потім на підставі досліджень складаються зведені таблиці «сирих» даних за
методикою «20 визначень» (група жінок медиків про образ інваліда і група жінок
не медиків про образ інваліда) (табл. 2.7) і зведена таблиця по психогеометричному
тесту (аналогічно).
Середній бал, що характеризує інтенсивність прояву того чи іншого
компоненту структури образу інваліда в досліджуваній групі, обчислюється як
частка від ділення суми балів на кількість жінок, що сформували цю групу.
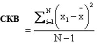
Крім середнього бала потрібно також визначити його середнє квадратичне
відхилення (СКВ) - параметр стійкості оцінки середнього балу.
Таблиця 2.7
Структура вербальної складової образу інваліда у свідомості жінок медиків
|
Медики
|
к |
т |
э |
в |
и |
с |
д |
п |
м |
+ |
- |
* |
|
Іванова А.А.
|
1 |
3 |
4 |
6 |
0 |
8 |
0 |
1 |
0 |
6 |
9 |
5 |
|
Семенова В.В.
|
9 |
3 |
2 |
1 |
1 |
5 |
0 |
2 |
0 |
4 |
6 |
10 |
|
Сергєєва Д.Д.
|
2 |
1 |
4 |
2 |
0 |
6 |
2 |
3 |
2 |
3 |
9 |
8 |
|
Максимова К.К.
|
7 |
1 |
2 |
4 |
2 |
4 |
0 |
0 |
1 |
11 |
0 |
9 |
|
Богданова М.М.
|
4 |
1 |
1 |
4 |
1 |
6 |
2 |
2 |
0 |
8 |
6 |
6 |
|
Пантелєєва О.О.
|
2 |
3 |
6 |
3 |
0 |
7 |
1 |
1 |
0 |
1 |
16 |
3 |
|
Сума балів
|
25 |
12 |
19 |
20 |
4 |
36 |
5 |
9 |
3 |
33 |
46 |
41 |
|
Середній бал
|
4,17 |
2 |
3,17 |
3,34 |
0,7 |
6 |
0,83 |
1,5 |
0,5 |
5,5 |
7,67 |
6,84 |
|
СКВ
|
-0,004 |
0 |
-0,004 |
0,128 |
-0,04 |
0 |
0,004 |
0 |
0 |
0 |
-0,004 |
-0,008 |
Його визначають за формулою:
(2.1)
де N - кількість учасниць в групі,
i - номер жінки в списку,
Х1 - бал першої жінки,
Х ˉ - середній бал у групі,
У - символ складання, що означає результат складання:
(2.2)
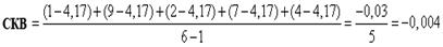
Розрахуємо
середньоквадратичне відхилення для конвенціальних характеристик у групі
жінок-медиків:
(2.3)
Подібним чином розраховуються показники середньоквадратичного відхилення
та інших характеристик. Аналогічно оформляється і розраховується таблиця для
групи жінок не медиків (Табл. 2.8).
Таблиця 2.8
Структура вербальної складової образу інваліда у свідомості жінок не
медиків
|
Не медики
|
к |
т |
э |
в |
и |
с |
д |
п |
м |
+ |
- |
* |
|
Сидорова
|
0 |
2 |
6 |
1 |
4 |
3 |
3 |
1 |
3 |
8 |
9 |
|
Петрова
|
4 |
5 |
2 |
1 |
1 |
4 |
0 |
2 |
0 |
1 |
12 |
7 |
|
Андрєєва
|
2 |
2 |
1 |
5 |
3 |
7 |
1 |
1 |
0 |
11 |
3 |
6 |
|
Александрова
|
1 |
1 |
3 |
1 |
0 |
9 |
2 |
4 |
2 |
3 |
11 |
6 |
|
Миколаєва
|
1 |
3 |
6 |
1 |
2 |
6 |
1 |
2 |
1 |
4 |
8 |
8 |
|
Михайлова
|
8 |
7 |
5 |
1 |
0 |
7 |
1 |
1 |
0 |
1 |
15 |
4 |
|
Сума балів
|
16 |
20 |
23 |
11 |
7 |
37 |
8 |
13 |
4 |
23 |
57 |
40 |
|
Сидорова
|
0 |
2 |
6 |
2 |
1 |
4 |
3 |
3 |
1 |
3 |
8 |
9 |
|
Петрова
|
4 |
5 |
2 |
1 |
1 |
4 |
0 |
2 |
0 |
1 |
12 |
7 |
|
Андрєєва
|
2 |
2 |
1 |
5 |
3 |
7 |
1 |
1 |
0 |
11 |
3 |
6 |
|
Александрова
|
1 |
1 |
3 |
1 |
0 |
9 |
2 |
4 |
2 |
3 |
11 |
6 |
|
Миколаєва
|
1 |
3 |
6 |
1 |
2 |
6 |
1 |
2 |
1 |
4 |
8 |
8 |
|
Михайлова
|
8 |
7 |
5 |
1 |
0 |
7 |
1 |
1 |
0 |
1 |
15 |
4 |
|
Сума балів
|
16 |
20 |
23 |
11 |
7 |
37 |
8 |
13 |
4 |
23 |
57 |
40 |
|
Середній бал
|
2,67 |
3,34 |
3,83 |
1,83 |
1, 17 |
6,17 |
1,33 |
2.16 |
-,67 |
3,83 |
9,5 |
6,67 |
|
СКВ
|
-0,004 |
-0,008 |
0,004 |
0,004 |
-0,004 |
-0,004 |
0,004 |
0,008 |
-0,004 |
0,33 |
0,6 |
-0,004 |
Останнє дозволить провести порівняння результатів прояву тієї чи іншої
якості в різних групах з використанням математико-статистичних методів
(наприклад, критерію Стьюдента).
t-критерій Стьюдента - загальна назва для класу методів статистичної
перевірки гіпотез (статистичних критеріїв), заснованих на порівнянні з
розподілом Стьюдента. Найбільш часті випадки застосування t-критерію пов'язані
з перевіркою рівності середніх значень у двох вибірках.
Припустимо, ми по черзі порівнюємо показники характеристик образу
інваліда в наявних двох групах жінок. Є дві гіпотези:
N0: середні значення рівня інтелекту в обох вибірках не розрізняються,
N1: середні значення рівня інтелекту в обох вибірках статистично
розрізняються. [18]
У даному випадку для отримання емпіричного значення t-критерію
використовується наступна формула:
(2.4)
де М1, М2 - середні арифметичні характеристик,
b1, b2 - стандартні відхилення,
N1, N2 - розміри вибірок.
(2.5)
Ми беремо величину р рівну 0,95, тоді згідно з таблицями розрахунку
критерію Стьюдента, стандартне відхилення становить 1,06
Ступінь свободи - df = N1 N2-2 = 6 6-2 = 10
1,125> 1,06
Отримане емпіричне значення t-критерію перевищує стандартне, значить, N0
гіпотеза відхиляється і можна зробити висновок про статистично значущому
відмінності середніх арифметичних значень конвенціальних характеристик образу
інваліда у двох групах.
Провівши подальший статистичний аналіз, розрахунки якого не наводяться,
щоб не займати багато місця в роботі, можна сказати, що також статистично
розрізняються показники особистісно-вольових характеристик образу інваліда,
показники позитивної та негативної модальності визначень.
Остаточним етапом обробки даних є частотний аналіз характеристик образу,
що дозволяє виявити типовий узагальнений образ інваліда.
Нижче наведено приклад фрагменту частотного словника характеристик образу
інваліда, складеного на підставі наявних протоколів дослідження за методикою
СОЛ.
Частотний словник визначень, що використовувався різними респондентами,
дозволяє зробити висновки про глибинні (професійних: етнокультурних і т.д.) підставах
образу інваліда в пізнанні жінок.
Аналогічно наведеним прикладом формуються частотні словники для обох груп
респондентів.
Частотні словники.
Таблиця 2.9
Частотний словник характеристик образу інваліда у свідомості жінок
№ пп |
к |
т |
э |
в |
с |
п |
Інші |
1 |
Найменування |
Кількість |
Найменування |
Кількість |
Найменування |
Кількість |
Найменування |
Кількість |
Найменування |
Кількість |
Найменування |
Кількість |
Найменування |
Кількість |
Людей |
2 |
Не здоровий, хворий |
6 |
Не щасливий |
4 |
Терплячий |
4 |
Потребує уваги |
8 |
Не може самостійно рухатись |
3 |
Чоловік |
3 |
2.3 Обробка та
інтерпретація отриманих даних
За отриманими мною даними, таблиць, графіків і розрахунків я можу
сказати, що соціальна модель інвалідності дійсно підтверджується.
Соціальна модель інвалідності передбачає, що труднощі інвалідів
створюються суспільством, які не передбачають участі в загальній діяльності, у
тому числі і людей з різними потребами. [13]
В уявленні більшості жінок образ інваліда є негативним. Особливо, якщо
вони знайомі з інвалідами лише поверхово, не працювали з ними і не мають їх в
числі друзів і родичів. Але негативний відтінок мають і результати жінок
медиків, які стикаються з людьми з обмеженими можливостями безпосередньо.
Про це свідчать протоколи тестів «20 визначень». Як ми можемо бачити,
найвища негативна модальність спостерігається у медсестри Пантелєєвої О.О.,
пенсіонерки Михайлової П.П., продавця Александрової Л.Л. і секретаря Сидорової
Б.Б. У даному випадку на такі результати міг вплинути особистий професійний
образ Пантелєєвої О.О., і низька освіта, недостатність світогляду інших жінок.
Найбільш позитивний образ інваліда склався у свідомості студентки
художнього ВНЗ - Андрєєвої І.І., віруючою медсестри Максимової К.К., яка має
дитину-інваліда і студентки-аспірантки медичного ВУЗу Богданової М.М. У даному
випадку професійний і творчий рівень жінок, а також їхній особистий досвід
сформував позитивний образ інваліда.
Серед інших учасниць, як лікарів, так і жінок, що займаються іншим родом
діяльності, переважає амбівалентне, відносно нейтральне ставлення до образу
інваліда.
Інвалід в основному представлявся жінкам в образі чоловіка (не даремно
саме слово не має жіночого аналога), хворого, слабкого фізично. Найбільше уваги
жінки приділили соціальним і загальноприйнятим характеристикам інвалідів, що
свідчить про соціальну проблему інвалідності. Найчастіше учасниці підкреслювали
ті почуття, які інваліди викликають у суспільства - жалість, співчуття,
презирство, гидливість. А також потреба інвалідів у підвищеній увазі,
адекватному відношенні і повазі. Значить, вони усвідомлюють потреби і проблеми
інвалідів.
В особистісній, емоційній і вольовій сфері серед позитивних якостей
тестовані виділили силу волі інвалідів, їх спокій, врівноваженість, оптимізм,
надію. Але, поряд з цим, інша частина учасниць, головним чином з негативною
модальністю, виділили емоційну нестійкість, дратівливість і заздрісність
інвалідів в їх поданні.
Поведінкові особливості інвалідів у свідомості жінок головним чином
зафіксувалися в їх відокремленості, нездатності самостійно пересуватися, любові
до читання, перегляду телевізора. Інтелектуально-творчої сфери жінка торкнулися
мало, але майже всі визначення характеризували інвалідів як людей розумних і
здібних.
У психогеометричному портреті інваліда переважають кола і квадрати, що
характеризує інвалідів, як особистості чутливих, щирих, старанних і завзятих. У
меншій мірі образ інвалідів асоціювався у жінок з трикутником, прямокутником і
зигзагом. Тобто вони не вважають, що інваліди в основній своїй масі енергійні,
непередбачувані і гармонійні.
ВИСНОВКИ
Сьогодні
соціальна політика України формально спрямована на всебічний соціальний захист
населення, особливо людей з обмеженими можливостями. Цьому сприяє підписання
нашою країною міжнародних документів, створення і вдосконалення власної
правової бази, розробка відповідних соціальних програм.
Особливого
значення проблема соціального захисту людей з функціональними обмеженнями
набуває у зв’язку з постійним зростанням їх частки в загальній структурі населення
України. За останні десять років чисельність осіб з особливими потребами в
Україні перевищила 2,77 млн. осіб, що становить понад 5% населення держави.
Розв’язання проблем, пов’язаних із реалізацією завдань соціального забезпечення
осіб з обмеженими фізичними можливостями — має бути у колі постійної уваги
суспільства та органів влади всіх рівнів.
Важливою умовою
досягнення в суспільстві соціальної стабільності є реформування системи
соціального захисту, головною метою якого є розширення соціальної бази
перетворень на основі стабілізації життєвого рівня населення, зменшення тягаря
наслідків економічних реформ для найуразливіших верств населення, вжиття
заходів щодо соціальної адаптації населення до цих перетворень.
Серед головних
напрямків реформування слід виділити: розвиток пенсійного забезпечення та
пенсійного страхування; впровадження системи медичного страхування;
реформування системи соціальної допомоги, розвиток адресної допомоги; соціальне
забезпечення жінок, дітей, молоді; забезпечення інвалідам рівних з іншими
громадянами можливостей для участі в різних сферах життя суспільства тощо.
СПИСОК ВИКОРИСТАНИХ ДЖЕРЕЛ
1. Алексеев А.А., Громова Л.А. Психогеометрия для менеджеров
– М.: Знание, 2001. - 163 с.
2. Андреева Г.М. Социальная психология. Учебник. - 4-е изд. -
М.: Аспект Пресс, 2006. - 376 с.
3. Дельгадо Х. Мозг и сознание.- М.: Мир, 2001. - 264 с.
4. Елисеев О.П. Практикум по психологии личности. Спб., 2001.
- 554 с.
5. Завалова Н.Д., Ломов Б.Ф., Пономаренко В.А. Образ в
системе психической регуляции деятельности.- М. Наука, 2006. – 176 с.
6. Куликов Л.В. Психология сознания. – Спб.: Питер, 2001. -
480 с.
7. Леонтьев А.Н. Деятельность. Сознание. Личность. – М.:
Смысл, Академия, 2004. – 352 с.
8. Леонтьев Д.А. От социальных ценностей к личностям:
социогенез и феноменология ценностной регуляции деятельности// Вестник МГУ,
№14.
9. Любимов В.В. Психология восприятия. Учебник. – М.:
Эксмо-Пресс, 2007.- 472 с.
10. Наследов А.Д. Математические методы психологического
исследования. – М.: Речь, 2004. – 392 с.
11. Райгордский Д. Психология самосознания. – М.: Бахрах-М,
2003. – 672 с.
12. Репина Н.В., Воронцов Д.В., Юматова И.И. Основы
клинической психологии. - Ростов н/Д: Феникс, 2003. - 480 с.
13. Романов П, Ярская-Смирнова Е. Политика инвалидности.
Социальное гражданство инвалидов в современной Росси. – М.: Научная книга,
2006. – 260 с.
14. Ситников В.Л. Образ ребенка в сознании детей и взрослых,
Ленинградский педагогический университет, Спб. Химииздат, 2001.
15. Соловьева С.Л. Медицинская психология. Курс лекций. – М.:
АСТ, 2004. – 392 с.
16. Соснин В.А., Красникова Е.А. Социальная психология. – М.:
Форум, 2008. – 334 с.
17. Столяренко А.М. Общая и профессиональная психология,
2003. – М.: Инити-Дана, 2003. – 383 с.
18. Титкова Л.С. Математические методы в психологии.
Владивосток. Издательство дальневосточного университета, 2002.
19. Фрейд З. Психология бессознательного, пер. А.М.
Боковикова. - М.: Фирма СТД, 2006 – 335 с.
20. Хорни К. Психология женщины. Академический проект, 2006.
– 240 с.
21. Шаповаленко И.В. Возрастная психология. – М.: Гардарики.
– 2005, - 349 с.
22. Щвецов А.Е., Швецова Е.В. Психология и педагогика.
Учебно-методическое пособие– Тамбов.: Издательство ТГТУ, 2003. – 80 с.
23. Юнг К. Г. Психологические типы. – М.: АСТ; 2008 г. - 761 с.
ДОДАТОК А
Структура соціальної установки (за М. Сміттом)
ДОДАТОК Б
Система диспозиційних утворень, які регулюють поведінку і діяльність
людини (За В. Ядовим)
ДОДАТОК В
Протокол № 2
П.І.Б. - Сидорова Б.Б.
Дата тестування - 11 червня 2010 року.
Професія - секретар. Інші дані - 22 роки, незаміжня, дітей немає.
№ п/п |
Визначення
|
Група характеристик
|
Модальність
|
1 |
2 |
3 |
4 |
1 |
Пригнічений
|
с, э |
- |
2 |
Слабкий
|
т, в |
- |
3 |
Забутий
|
с |
- |
4 |
Пасивний
|
п |
- |
5 |
Прохач
|
с |
* |
6 |
Самотній
|
п |
- |
7 |
Тонко відчуває |
+ |
8 |
Інвалідний візок
|
м |
* |
9 |
Матеріально бідний, без грошей
|
матеріальні |
- |
10 |
Нещасний
|
э |
- |
11 |
Спокійний
|
п |
* |
12 |
Віруючий
|
д |
* |
13 |
Заздрісник
|
с |
- |
14 |
Той, хто читає
|
д |
* |
15 |
Задуманий
|
и |
* |
16 |
Крихкий
|
т, э |
* |
17 |
Ранимий
|
э |
* |
18 |
Чекає одужання
|
д |
* |
19 |
Має надію
|
э |
+ |
20 |
Володіє стійкістю
|
в |
+ |
ДОДАТОК Д
Протокол № 3
П.І.Б. - Семенова В.В.
Дата тестування - 11 червня 2010 року.
Професія - лікар-офтальмолог. Інші дані - 27 років, заміжня, дітей немає,
мати - інвалід II групи.
№ п/п |
Визначення
|
Група характеристик
|
Модальність
|
1 |
2 |
3 |
4 |
1 |
Мати
|
к, фемінна |
+ |
2 |
Людина, що вимагає турботи
|
к,с |
* |
3 |
Ветеран
|
к |
* |
4 |
Пацієнт
|
к, мускулінна |
* |
5 |
Незрячий
|
к, т |
- |
6 |
Його можливості обмежені
|
п |
- |
7 |
Має необхідність у лікуванні
|
п |
* |
8 |
Нетерплячий
|
э |
- |
9 |
Страждаючий
|
э |
- |
10 |
Фінансово незабезпечений
|
матеріальна |
- |
11 |
Параолміпіец
|
к |
* |
12 |
Літня людина
|
к |
* |
13 |
Мудрий
|
и |
+ |
14 |
Вміє цінувати життя
|
в |
+ |
15 |
Хороший співрозмовник
|
к, с |
+ |
16 |
Тихий
|
т |
* |
17 |
Непомітний
|
с |
* |
18 |
Покалічений
|
т |
- |
19 |
Оточений увагою
|
с |
* |
20 |
Герой публікацій
|
к, с |
* |
ДОДАТОК Е
Протокол № 4
П.І.Б. - Петрова Г.Г.
Дата тестування - 11 червня 2010 року.
Професія - продавець продтоварів. Інші дані - 48 років, розлучена, двоє
дітей.
№ п/п |
Визначення
|
Група характеристик
|
Модальність
|
1 |
2 |
3 |
4 |
1 |
Нещасний
|
э |
- |
2 |
Той, хто не може ходити
|
т |
- |
3 |
Старий
|
к, мускулінна |
* |
4 |
Буркотливий
|
с |
- |
5 |
Сусід
|
к, мускулінна |
* |
6 |
Бідний грошово
|
матеріальна |
- |
7 |
Незадоволений життям
|
в |
- |
8 |
Маленький
|
т |
* |
9 |
Худий
|
т |
* |
10 |
Кульгавий, без ніг
|
т |
- |
11 |
Учасник бойових дій
|
к |
* |
12 |
Який отримав травму на роботі
|
т |
- |
13 |
Сумний
|
э |
- |
14 |
Сирота
|
к |
- |
15 |
Потребує догляду
|
с |
* |
16 |
Самотній
|
п |
- |
17 |
Мало спілкується
|
с |
- |
18 |
Багато дивиться телевізор
|
п |
* |
19 |
Розумний
|
и |
+ |
20 |
Викликає жалість
|
с |
- |
ДОДАТОК Ж
Протокол № 5
П.І.Б. - Сергеєва Д.Д.
Дата тестування - 11 червня 2010 року.
Професія - лікар-психіатр. Інші дані - 33 роки, одружена, одна дитина.
№ п/п |
Визначення
|
Група характеристик
|
Модальність
|
1 |
2 |
3 |
4 |
1 |
Пацієнт
|
к, мускулінна |
* |
2 |
Дитина
|
к |
* |
3 |
Церебральний параліч
|
м |
- |
4 |
Травми
|
м |
- |
5 |
Слабкий
|
т, в |
- |
6 |
Непрацездатний
|
д |
- |
7 |
Залежний
|
с |
* |
8 |
Пасивний
|
п |
- |
9 |
Хто має надію
|
в |
+ |
10 |
Віруючий
|
д |
+ |
11 |
Тяжіє до близьких
|
с, э |
+ |
12 |
Заздрить людям
|
э |
- |
13 |
Буває агресивним
|
с |
- |
14 |
Потребує розуміння
|
с |
* |
15 |
Потребує адекватної оцінки
|
с |
* |
16 |
Викликає співчуття
|
с |
* |
17 |
Вимагає реабілітації, лікування
|
п |
* |
18 |
Схильний до депресії
|
э |
- |
19 |
Ранимий
|
э |
- |
20 |
Серйозний
|
п |
* |
ДОДАТОК З
Протокол № 6
П.І.Б. - Андрєєва І.І.
Дата тестування - 11 червня 2010 року.
Професія - студентка художнього ВНЗ. Не одружена, дітей немає.
№ п/п |
Визначення
|
Група характеристик
|
Модальність
|
1 |
2 |
3 |
4 |
1 |
Чоловік
|
к, мускулінна |
* |
2
|
т |
- |
3 |
Має силу волі
|
в |
+ |
4 |
Урівноважений
|
в |
+ |
5 |
Симпатичний
|
т, с |
+ |
6 |
Сподівається на краще
|
в |
+ |
7 |
Творча особистість
|
и, д |
+ |
8 |
Чуттєвий
|
э |
+ |
9 |
Самотній
|
п |
- |
10 |
Любить спілкування
|
с |
+ |
11 |
Привітний
|
с |
+ |
12 |
Меланхолік
|
в |
* |
13 |
Мислитель
|
и |
* |
14 |
Друг
|
к, мускулінна |
+ |
15 |
Викликає повагу
|
с |
+ |
16 |
Потребує уваги
|
с |
* |
17 |
Не хоче афішувати недоліки
|
с |
* |
18 |
Потайливий
|
с |
- |
19 |
Розумний
|
и |
+ |
20 |
Постійний
|
в |
* |
ДОДАТОК К
Протокол № 7
П.І.Б. - Максимова К.К.
Дата тестування - 11 червня 2010 року.
Професія - медсестра терапевтичного відділення.
Інші дані - 53 роки, одружена, троє дітей, віруюча.
№ п/п |
Визначення
|
Група характеристик
|
Модальність
|
1 |
2 |
3 |
4 |
1 |
Людина
|
к |
* |
2 |
Мученик
|
к, мускулінна |
- |
3 |
Світло
|
м |
+ |
4 |
Ніжний
|
э, с |
+ |
5 |
Потребує допомоги
|
с |
* |
6 |
Викликає співчуття
|
с |
* |
7 |
Старий
|
к, мускулінна |
* |
8 |
Дитина
|
к |
* |
9 |
Пацієнт
|
к, мускулінна |
* |
10 |
Терплячий
|
в |
+ |
11 |
Добрий
|
э |
+ |
12 |
Вимагає турботи про себе
|
с |
* |
13 |
Сильний духом
|
в |
+ |
14 |
Оптиміст (ка)
|
к |
+ |
15 |
Герой
|
к, мускулінна |
+ |
16 |
Брат
|
к, мускулінна |
* |
17 |
Мудрий
|
и |
+ |
18 |
Прозорливий
|
и |
+ |
19 |
Тихий
|
т |
* |
20 |
Наполегливий
|
в |
+ |
ДОДАТОК Л
Протокол № 8
П.І.Б. - Александрова Л.Л.
Дата тестування - 11 червня 2010 року.
Професія - листоноша.
Інші дані-45 років, одружена, одна дитина.
№ п/п |
Визначення
|
Група характеристик
|
Модальність
|
1 |
2 |
3 |
4 |
1 |
Нещасний
|
э |
- |
2 |
Інвалідний візок
|
м |
* |
3 |
Той, хто постраждав в аварії
|
п |
- |
4 |
Непрацездатний
|
д с |
- |
5 |
Злий
|
э |
- |
6 |
Милиця
|
м |
* |
7 |
Хворий
|
т |
- |
8 |
Викликає жалість
|
с |
- |
9 |
Викликає страх
|
с |
- |
10 |
Викликає гидливість
|
с |
- |
11 |
Незрозумілий
|
с |
* |
12 |
Насторожує
|
с |
- |
13 |
Ветеран
|
к |
* |
14 |
Вимагає поваги
|
с |
+ |
15 |
Не любить уваги
|
с, э |
* |
16 |
Завзятий
|
в |
+ |
17 |
Активний
|
п, д |
+ |
18 |
Крикливий
|
п |
* |
19 |
Обмежено
|
с |
- |
20 |
Самотній
|
п |
- |
ДОДАТОК М
Протокол № 9
П.І.Б. - Богданова М.М.
Дата тестування - 11 червня 2010 року.
Професія - аспірантка медичного ВНЗ
Інші дані-24 роки, одружена, одна дитина.
№ п/п |
Визначення
|
Група характеристик
|
Модальність
|
1 |
2 |
3 |
4 |
1 |
Пацієнт
|
к, мускулінна |
* |
2 |
Людина
|
к |
* |
3 |
Болен
|
т |
- |
4 |
Непрацездатний
|
д с |
- |
5 |
Незахищений
|
с |
- |
6 |
Фінансово бідний
|
матеріальна |
- |
7 |
Морально стійок
|
в |
+ |
8 |
Має труднощі
|
с |
- |
9 |
Береже надію
|
в |
+ |
10 |
Активний
|
п, д |
+ |
11 |
Самовдосконалюється
|
в |
+ |
12 |
Вміє співчувати
|
э |
+ |
13 |
Товариський
|
с |
+ |
14 |
Забуто суспільством
|
с |
- |
15 |
Має підвищені потреби
|
с |
* |
16 |
Терплячий
|
в |
+ |
17 |
Кмітливий
|
и |
+ |
18 |
Серйозний
|
п |
* |
19 |
Ветеран |
* |
20 |
Працівник легкої праці
|
к |
* |
ДОДАТОК М
Протокол № 10
П.І.Б. - Миколаєва М.М.
Дата тестування - 11 червня 2010 року.
Професія - домогосподарка.
Інші дані-30 років, одружена, одна дитина-інвалід.
№ п/п |
Визначення
|
Група характеристик
|
Модальність
|
1 |
2 |
3 |
4 |
1 |
Дитина
|
к |
* |
2 |
Маленький
|
к |
* |
3 |
Крихкий
|
т |
* |
4 |
Ніжний
|
э, с |
+ |
5 |
Болісний
|
т |
- |
6 |
Церебральний параліч
|
м |
- |
7 |
Пересувається на візку
|
п |
- |
8 |
Потребує лікування
|
п |
* |
9 |
Тривожний
|
э |
- |
10 |
Нестабільний
|
э |
- |
11 |
Сумний
|
э |
- |
12 |
Непрацездатний
|
с, д |
- |
13 |
Вимагає турботи
|
с |
* |
14 |
Суспільство його ігнорує
|
с |
- |
15 |
Любить рідних
|
с |
+ |
16 |
Сприйнятливий
|
э |
* |
17 |
Легкоранім
|
э |
* |
18 |
Розумний
|
и |
+ |
19 |
Творчо розвинений
|
и |
+ |
20 |
Залежний
|
с |
* |
ДОДАТОК Н
Протокол № 11
П.І.Б. - Пантелєєва О.О.
Дата тестування - 11 червня 2010 року.
Професія - медсестра в лікувальному оздоровчому центрі.
Інші дані-50 років, незаміжня, дітей немає.
№ п/п |
Визначення
|
Група характеристик
|
Модальність
|
1 |
2 |
3 |
4 |
1 |
Хворий
|
т |
- |
2 |
Травмований
|
т |
- |
3 |
Пацієнт
|
к, мускулінна |
* |
4 |
Знедолений
|
э |
- |
5 |
Невеселий
|
э |
- |
6 |
Терплячий
|
в |
+ |
7 |
Ізольований
|
с |
* |
8 |
Пересувається на пристрої
|
п, т |
- |
9 |
Непрацездатний
|
с, д |
- |
10 |
Забутий
|
с |
- |
11 |
Потребує
|
матеріальна |
- |
12 |
Принижений
|
с, э |
- |
13 |
Незадоволений
|
э |
- |
14 |
Зневірений
|
э |
- |
15 |
Немолодий
|
к |
- |
16 |
Несамостійний
|
с |
- |
17 |
Сумнівається
|
в |
- |
18 |
Нещирий
|
в |
- |
19 |
Стиснутий
|
с, э |
- |
20 |
Привертає увагу
|
с |
* |
ДОДАТОК О
Протокол № 12
П.І.Б. - Михайлова П.П.
Дата тестування - 11 червня 2010 року.
Професія - пенсіонерка
Інші дані-65 років, заміжня, четверо дітей.
№ п/п |
Визначення
|
Група характеристик
|
Модальність
|
1 |
2 |
3 |
4 |
1 |
Ветеран
|
к |
- |
2 |
Людина хворий
|
к, т |
- |
3 |
Можливо літній
|
к |
* |
4 |
Слабкий
|
т, в |
- |
5 |
Безпомічний
|
э, с |
- |
6 |
Зворушливий
|
э, с |
+ |
7 |
Незрячий
|
т, к |
* |
8 |
Глухий
|
т, к |
- |
9 |
Непрацездатний
|
с, д |
- |
10 |
Каліка
|
к, т |
- |
11 |
Жалісливий
|
э |
- |
12 |
Спокійний
|
п |
- |
13 |
Вимагає турботи
|
с |
- |
14 |
Не може сам пересуватися
|
т |
- |
15 |
Хронічно хворий
|
т |
- |
16 |
Неустроєв в житті
|
с, э |
- |
17 |
Нешановні
|
с |
- |
18 |
Завжди сумнівається
|
э |
- |
19 |
Нещасний
|
э |
- |
20 |
Жебрак прохач
|
с, к |
* |
ДОДАТОК П
Тексти роздавальних завдань методики СОЛ
Завдання 1:
Уявіть собі, що Ви зустрілися з людиною, яка добре володіє українською
мовою, але не знає лише одного слова - "інвалід", і тільки Ви можете
пояснити йому значення цього слова. Для того, щоб у нього склалося найбільш
точне і повне уявлення про інваліда, потрібно дати йому не більше (але й не
менше) 20 визначень того поняття. Це можуть бути прості або складні визначення,
що складаються з декількох слів, але в будь-якому випадку кожне визначення слід
розкривати тільки одну властивість. Розташуйте відповіді в тому порядку, в
якому вони приходять вам в голову. Не піклуйтеся про їх логічності або важливості,
правильності чи не правильності. Пишіть швидко, оскільки Ваш час обмежений.
Отже, 20 визначень ...
Завдання 2:
Перед Вами намальовані п'ять різних фігур: квадрат, трикутник,
прямокутник, круг і зигзаг. Уявіть собі, що це не постаті, а «портрети» різних
людей-інвалідів, передайте внутрішню сутність цих людей.
Подивіться на ці «портрети» і знайдіть той, який більше за інших схожий
на Ваш образ інваліда. Запишіть у рядку «Результат» номер, яким позначена
обрана Вами фігура. Знову подивіться на «портрет» і з решти чотирьох знову
виберіть той, який більше за інших схожий на Ваш образ і запишіть у рядку
«Результат» його номер. Повторіть цю процедуру до кінця, включаючи п'ятий
«портрет» - того, хто менше всього або зовсім не схожий на Ваш образ інваліда.