Гендерные различия тревожности в подростковом возрасте

  • Вид работы:
    Курсовая работа (т)
  • Предмет:
    Психология
  • Язык:
    Русский
    ,
    Формат файла:
    MS Word
    566,09 kb
  • Опубликовано:
    2010-06-20
Вы можете узнать стоимость помощи в написании студенческой работы.
Помощь в написании работы, которую точно примут!

Гендерные различия тревожности в подростковом возрасте

Введение

Проблема тревожности является одной из наиболее актуальных проблем в современной психологии. Её изучением занимались такие психологи как Прихожан А. М., Мэй Р., Спилберг Ч. Д., Филипс Б., Бернс Д., Новикова Е. В. и другие. Среди негативных переживаний человека тревожность занимает особое место, часто она приводит к снижению работоспособности, к трудностям в общении.

Эмоциональное благополучие подрастающего поколения – один из объектов пристального внимания школьных психологов, педагогов, родителей. Своевременная и качественная диагностика подобного неблагополучия, адекватные коррекционные меры могут уменьшить риск возникновения нежелательных тенденций в развитии личности. Одно из ярких проявлений эмоционального благополучия (тревожности) – нервный срыв. Измерение тревожности как свойства личности особенно важно, так как это свойство во многом обусловливает поведение человека.

В настоящее время увеличилось число тревожных детей, отличающихся повышенным беспокойством, неуверенностью, эмоциональной неустойчивостью. Возникновение и закрепление тревожности связано с неудовлетворением возрастных потребностей ребенка. Подросток с повышенной тревожностью впоследствии может столкнуться с различными соматическими заболеваниями. Устойчивым личностным образованием тревожность становится в подростковом возрасте, опосредствуясь особенностями “Я-концепции”, отношение к себе. Различия в проявлении тревожности изучалось с различных точек зрения, например с позиции воспитания (Э.Г. Эйдемиллер, В. Юстицкис, А. А. Плоткин), с позиции социального статуса (Кисловская В.Р., Н. В. Имедадзе) и т.д. При этом гедерная специфика проявления тревожности изучена не достаточно.

Целью является выявление гендерных различий в проявлении тревожности у мальчиков и девочек в подростковом возрасте.

Объект исследования – тревожность подростков.

Предмет исследования – гендерные различия проявления тревожности в подростковом возрасте.

Гипотеза нашего исследования предполагает существование различий в проявлении тревожности у мальчиков и девочек в подростковом возрасте. Проблема: как гендерные различия подросткового возраста влияют на проявление тревожности?

Задачи:

1)   Изучить психолого-педагогическую литературу по проблеме тревожности в подростковом возрасте.

2)   Раскрыть проблему гендерных различий тревожности в подростковом возрасте

3)   Рассмотреть гендерные различия проявления тревожности в подростковом возрасте.

3) Эмпирическим путем выявить различия в проявлениях тревожности в зависимости от гендерных особенностей в подростковом возрасте.

Методы исследования:

1) Анализ литературы по проблеме исследования;

2) Констатирующий эксперимент;

3) Психодиагностический метод;

4) Количественный и качественный анализ эмпирических данных, (методы математической статистики).

Методики исследования:

1) «Исследование тревожности» (опросник Ч. Д. Спилберга).

2) «Шкала тревожности» О. Кондаша.

3) Личностная шкала проявления тревоги (опросник Дж. Тейлора.)

Глава 1. Теоретический анализ проблемы гендерных различий в проявлении тревожности в подростковом возрасте

1.1 Общее понятие тревожность

Тревожность изучали такие зарубежные исследователи, как З. Фрейд, А.Адлер, К.Хорни, С.Салливен, Э. Фромм и такие отечественные ученые, как А.С.Спиваковская, Л.М.Костина, А.М.Прихожан, О.А.Коробанова, Р.С. Немов, Л.А. Китаев-Смык и другие.

Понимание тревожности было внесено в психологию психоаналитиками и психиатрами. Многие представители психоанализа рассматривали тревожность как врожденное свойство личности, как изначально присущее человеку состояние.

З. Фрейд считал, что столкновение биологических влечений с социальными запретами порождает тревожность. З. Фрейд смотрел на тревожность как на симптоматическое проявление внутреннего эмоционального конфликта, вызванного тем, что человек бессознательно подавляет в себе ощущения, чувства или импульсы, которые являются для него слишком угрожающими или раздражающими.

Проблема тревожности стала предметом специального исследования у неофрейдистов и, прежде всего у К. Хорни. В теории К. Хорни главные источники тревожности и беспокойства личности коренятся не в конфликте между биологическими влечениями и социальными запретами, а являются результатом неправильных человеческих отношений.

К. Хорни считает, что при помощи удовлетворения этих потребностей человек стремится избавиться от тревожности, но невротические потребности ненасыщаемы, удовлетворить их нельзя, а, следовательно, от тревоги нет путей избавления.[47]

С. Салливен известен как создатель "межличностной теории". Личность не может быть изолирована от других людей, межличностных ситуаций. Ребенок с первого дня рождения вступает во взаимоотношение с людьми и в первую очередь с матерью. Все дальнейшее развитие и поведение индивида обусловлено межличностными отношениями. С. Салливен считает, что у человека есть исходное беспокойство, тревога, которая является продуктом межличностных (интерперсональных) отношений. Тревога вызывается действительными или мнимыми угрозами безопасности человека.

С. Салливен так же, как и К. Хорни, рассматривает тревожность не только как одно из основных свойств личности, но и как фактор, определяющий ее развитие. Возникнув в раннем возрасте, в результате соприкосновения с неблагоприятной социальной средой, тревожность постоянно и неизменно присутствует на протяжении всей жизни человека.

Иначе подходит к пониманию тревожности Э. Фромм, представитель неофрейдизма.

Он считает, что в эпоху средневекового общества, с его способом производства и классовой структурой, человек не был свободен, но он не был изолирован и одинок, не чувствовал себя в такой опасности, и не испытывал таких тревог, потому что он не был "отчужден" от вещей, от природы, от людей. Человек был соединен с миром первичными узами, которые Э. Фромм называет естественными социальными связями, существующими в первобытном обществе. С развитием общества разрываются первичные узы, появляется свободный индивид, оторванный от природы, от людей, в результате чего он испытывает глубокое чувство неуверенности, бессилия, сомнения, одиночества и тревоги. Чтобы избавиться от тревожности, порожденной "негативной свободой", человек стремится избавиться от самой этой свободы. Единственный выход он видит в бегстве от свободы, то есть бегство от самого себя, в стремлении забыться и этим подавить в себе состояние тревоги. [44]

Э. Фромм, К. Хорни и С. Салливен пытаются показать различные механизмы избавления от тревожности.

Э. Фромм считает, что все эти механизмы, в том числе "бегство в себя", лишь прикрывает чувство тревожности, но полностью не избавляет индивида от нее. Наоборот, чувство изолированности усиливается, ибо утрата своего "Я" составляет самое болезненное состояние. Психические механизмы бегства от свободы являются иррациональными, по мнению Э. Фромма, они не являются реакцией на окружающие условия, поэтому не в состоянии устранить причины страдания и тревоги.

К. Роджерс являлся представителем направления гуманистической психологии, принципами которой являлось особое внимание личности человека, ее формирование, развитие. Источник тревожности К. Роджерс видит в том, что есть явления, которые лежат ниже уровня сознания, и если эти явления носят угрожающий характер для личности, то они могут быть восприняты подсознательно еще до того, как они осознанны. Это может вызвать вегетативную реакцию, сердцебиение, которое сознательно воспринимается как волнение, тревога, а человек не в состоянии оценить причины беспокойства. Тревога ему кажется беспричинной.

В понимании природы тревожности у зарубежных авторов можно проследить два подхода - понимание тревожности как изначально присущее человеку свойство, и понимание тревожности как реакцию на враждебный человеку внешний мир, то есть выведение тревожности из социальных условий жизни.

Бихевиористы рассматривают тревожность как неудачную заученную реакцию на угрожающие события, имеющие место в реальной жизни; возникающая при этом тревожность становится привязанной к обстоятельствам, ассоциирующимся с данным событием, и, т. о., эти обстоятельства начинают служить спусковым крючком тревожности человека независимо от какого бы то ни было угрожающего события. Если человек недостаточно контролирует у себя проявление тревожности, то у него может развиться состояние повышенной тревожности, приступов раздражительности, усиления сердцебиения и страха смерти или страха умопомешательства.[38]

В психологической литературе, можно встретить разные определения понятия тревожности, хотя большинство исследователей сходятся в признании необходимости рассматривать его дифференцированно - как ситуативное явление и как личностную характеристику с учетом переходного состояния и его динамики.

В отечественной психологической школе термином "тревога" обозначается эмоциональное состояние, а термином "тревожность" - личностная черта (однако нередко термин "тревожность" применяют и для обозначения обоих видов тревожности). Спилбергер определяет различие между тревогой и тревожностью (или, по терминологии Спилбергера, между Т-состоянием и Т-диспозицией) так: состояние тревожности характеризуется субъективно, сознательно воспринимаемыми ощущениями угрозы и напряжения, сопровождаемыми или связанными с активацией или возбуждением нервной системы. Тревожность как черта личности, по-видимому, означает мотив или приобретенную поведенческую диспозицию, которая предрасполагает индивида к восприятию широкого круга объективно безопасных обстоятельств как содержащих угрозу, побуждая реагировать на них состояниями тревоги, интенсивность которых не соответствует величине объективной опасности [46].

Таким образом, у каждого конкретного человека следует ожидать определенной взаимосвязи между значениями Т-состояния и Т-диспозиции. Предполагается также, что у имеющего высокий показатель по Т-диспозиции в стрессогенных ситуациях Т-состояние проявится сильнее.

А. М. Прихожан указывает, что тревожность – это переживание эмоционального дискомфорта, связанное с ожиданием неблагополучия, с предчувствием грозящей опасности. Различают тревожность как эмоциональное состояние и как устойчивое свойство, черту личности или темперамента.[29]

Несколько иначе рассматривает понятие тревожность Р. С. Немов, тревожность – постоянно или ситуативно проявляемое свойство человека приходить в состояние повышенного беспокойства, испытывать страх и тревогу в специфических социальных ситуациях.[27]

По определению С. С. Степанова «тревожность - переживание эмоционального неблагополучия, связанное с предчувствием опасности или неудачи».[41]

По определению А.В. Петровского: "Тревожность - склонность индивида к переживанию тревоги, характеризующаяся низким порогом возникновения реакции тревоги; один из основных параметров индивидуальных различий. Тревожность обычно повышена при нервно-психических и тяжелых соматических заболеваниях, а также у здоровых людей, переживающих последствия психотравмы, у многих групп лиц с отклоняющимся субъективным проявлением неблагополучия личности".

Современные исследования тревожности направлены на различие ситуативной тревожности, связанной с конкретной внешней ситуацией, и личностной тревожности, являющейся стабильным свойством личности, а также на разработку методов анализа тревожности, как результата взаимодействия личности и ее окружения.

Г.Г. Аракелов, Н.Е. Лысенко, Е.Е. Шотт, в свою очередь, отмечают, что тревожность - это многозначный психологический термин, который описывают как определенное состояние индивидов в ограниченный момент времени, так и устойчивое свойство любого человека.

Таким образом, понятием «тревожность» большинство психологов обозначают состояние человека, которое характеризуется повышенной склонностью к переживаниям, опасениям и беспокойству, имеющей отрицательную эмоциональную окраску.

В настоящее время можно считать принятым положение об индивидуальной "оптимальной зоне", то есть индивидуализированном влиянии тревожности на успешность деятельности[45]. Тревожность как сигнал опасности привлекает внимание к возможным трудностям, препятствиям для достижения цели, позволяет мобилизовать силы и тем самым достичь наилучшего результата. Поэтому нормальный или оптимальный уровень тревожности рассматривается как необходимый для осуществления деятельности. Чрезмерно высокий уровень тревожности, так же как и слишком низкий уровень (полное отсутствие тревожности) рассматриваются как явление, мешающее нормальной адаптации.

Неоднозначность оценок вектора действия тревожности проявляется и во взглядах на ее функциональную значимость. Отмечается, что тревога может играть охранительную и мотивационную роль, сопоставимую с ролью боли [4].Однако в отличие от боли, тревога - это сигнал опасности, которая еще не реализована.

Таким образом, подчеркивается вероятностный характер прогнозирования опасности (ее характера и величины), который зависит от ситуационных и личностных факторов. В связи с этим тревожность понимается как весомый личностный фактор, необходимый для опережающего.

В психологической литературе можно встретить разные определения этого понятия, хотя большинство исследований сходятся в признании необходимости рассматривать его дифференцированно – как ситуативное явление и как личностную характеристику с учетом переходного состояния и его динамику.

1.2 Специфика возникновения и проявления тревожности в подростковом возрасте

Подростковый возраст исследовали Л.С.Выготский, французский психолог Б.Заззо, Н.А.Рыбникова, В.Е.Смирнова, И.А.Арямова и другие. Подростковым принято считать период от 11 до 16 лет. Этот период обусловлен не только качественными навыками и полезным изменениями в организме подростка и в его окружении, но связан с возникновением специфических состояний, которые играют важную роль в период наибольшего развития, но и опасным звеном. Пубертатный период знаменуется бурным психофунологическим развитием и перестройкой социальной активности ребенка. Мощные сдвиги происходят во всех отраслях жизнедеятельности ребенка, делают этот возраст «переходным» от детства к взрослости.

Подростковый возраст богат переживаниями, трудностями и кризисами. В этот период складываются, оформляются устойчивые формы поведения, черты характера, способы эмоционального реагирования; это пора достижений, стремительно наращивания знаний, умений; становление «Я», обретение новой социальной позиции. Вместе с тем, это потерь детского мироощущения, появление чувства тревожности и психологического дискомфорта. В этом возрасте увеличивается внимание к себе, к своим физическим особенностям; обостряется реакция на мнение окружающих, повышается чувство собственного достоинства и обидчивость. У подростков развивается тревожность по поводу и нормы развития, это связано, прежде всего, с диспропорциями в развитии, с преждевременным развитием, и его задержкой. Состояние тревожности это следствие подросткового кризиса, который протекает, по-разному и дезорганирует личность подростка, влияет на все стороны его жизни.[37]

Тревожные подростки живут, ощущая постоянный беспричинный страх. Они часто задают себе вопрос: ”А вдруг что-нибудь случится?” Повышенная тревожность может дезорганизовать любую деятельность (особенно значимую), что, в свою очередь, приводит к низкой самооценке, неуверенности в себе. [23]

Таким образом, это эмоциональное состояние может выступать в качестве одного из механизмов развития невроза, так как способствует углублению личностных противоречий (например, между высоким уровнем притязаний и низкой самооценкой.

Тревожные подростки обычно не уверены в себе, с неустойчивой самооценкой. Постоянно испытываемое ими чувство страха перед неизвестным приводит к тому, что они крайне редко проявляют инициативу. Известно, что предпосылкой возникновения тревожности является повышенная чувствительность (сензитивность). Однако не каждый ребенок с повышенной чувствительностью становиться тревожным. Многое зависит от способов общения родителей с ребенком. Иногда они могут способствовать развитию тревожной личности. Например, высока вероятность воспитания тревожного ребенка родителями, осуществляющими воспитание по типу гиперпротекции (чрезмерная забота, мелочный контроль, большое количество ограничений и запретов, постоянное одергивание).

В этом случае общение взрослого с подростком носит авторитарный характер, ребенок теряет уверенность в себе и в своих собственных силах, он постоянно боится отрицательной оценки, начинает беспокоиться, что он делает что – нибудь не так, то есть, испытывает чувство тревоги, которое может закрепиться и перерасти в стабильное личностное образование – тревожность.[24]

Усилению у подростка тревожности могут способствовать такие факторы, как завышенные требования со стороны родителей, так как они вызывают ситуацию хронической неуспешности. Сталкиваясь с постоянными расхождениями между своими реальными возможностями и тем высоким уровнем достижений, которого ждут от него взрослые, ребенок испытывает беспокойство, которое легко перерастает в тревожность. Еще один фактор, способствующий формированию тревожности, - частые упреки, вызывающие чувство вины (“Ты так плохо вел себя, что у меня заболела голова”, “Из-за твоего поведения мы с мамой часто ссоримся”). В этом случае подросток постоянно боится оказаться виноватым перед родителями. Помимо перечисленных факторов страхи возникают и в результате фиксации в эмоциональной памяти сильных испугов при встрече со всем, что олицетворяет опасность или представляет непосредственную угрозу для жизни, включая нападение, несчастный случай, операцию или тяжелую болезнь. [29]

Если у подростка усиливается тревожность, появляются страхи – непременный спутник тревожности, то могут развиться невротические черты. Неуверенность в себе, как черта характера - это самоуничтожительная установка на себя, на свои силы и возможности. Тревожность как черта характера — это пессимистическая установка на жизнь, когда она представляется как преисполненная угроз и опасностей.

Неуверенность порождает тревожность и нерешительность, а они, в свою очередь, формируют соответствующий характер.

Неуверенный, тревожный подросток всегда мнителен, а мнительность порождает недоверие к другим. Такой ребенок опасается других, ждет нападения, насмешки, обиды. Он не справляется с делом.

Это способствует образованию реакций психологической защиты в виде агрессии, направленной на других. Так, один из самых известных способов, который часто выбирают тревожные подростки, основан на простом умозаключении: «чтобы ничего не боятся, нужно сделать так, чтобы боялись меня». Маска агрессии тщательно скрывает тревогу не только от окружающих, но и от самого ребенка. Тем не менее, в глубине души у них - все та же тревожность, растерянность и неуверенность, отсутствие твердой опоры. Также реакция психологической защиты выражается в отказе от общения и избежания лиц, от которых исходит «угроза». Такой подросток одинок, замкнут, малоактивен.[31]

Интенсивность переживания тревоги, уровень тревожности у мальчиков и девочек различны. Это связано с тем, с какими ситуациями они связывают свою тревогу, как ее объясняют, чего опасаются. И чем старше дети, тем заметнее эта разница. Девочки чаще связывают свою тревогу с другими людьми. К людям, с которыми девочки могут связывать свою тревогу, относятся не только друзья, родные, учителя. Девочки боятся так называемых «опасных людей» - пьяниц, хулиганов. Мальчики же боятся физических травм, несчастных случаев, а также наказаний, которые можно ожидать от родителей или вне семьи: учителей, директора школы. Отрицательные последствия тревожности выражаются в том что, не влияя в целом на интеллектуальное развитие, высокая степень тревожности может отрицательно сказаться на формировании дивергентного (то есть, креативного, творческого) мышления, для которого естественны такие личностные черты, как отсутствие страха перед новым, неизвестным.[30]

Одно из проявлений эмоционально-волевой деятельности подростков — тревоги и страхи, которые они испытывают в определенных жизненных ситуациях. Уровень тревожности и напряженности характеризует личность невротика — у него отмечается нестабильность настроения, эмоционально неадекватные реакции, страх. Страх — это психическое состояние преувеличенной (иногда адекватной) опасности. Страх сопровождается выработкой корой надпочечников нороадреналина. Как известно, нороадреналин понижает жизненный тонус, приводит к пассивности, оборонительным реакциям и вызывает стремление к безопасности. С одной стороны, стремление к безопасности вырабатывает аксидентальные способности и адаптацию. Человек становится более осторожным в сложных, опасных для существования ситуациях. С другой — необоснованная тревога и страх мешают, приводят к нестабильности, личность дезорганизуется и неспособна контролировать себя. При страхе происходят изменения в поведении и деятельности.[7]

Традиционно выделяют страх, направленный на определенный объект или определенную ситуацию. Различные формы страхов могут сочетаться друг с другом. Выделено 4 вида страхов: фобические, вызываемые определенными ситуациями или объектами; флюктуирующие (приступы страхов), не связанные с определенными ситуациями и возникающие в виде паники; генерализованные — длительные переживания, не связанные с определенными объектами или ситуациями, панические страхи.

У подростков на первый план выступает страх перед авторитарными личностями (учителем и директором), социальные страхи (страх не соответствовать стандартам или субкультуре референтной группы), страх в ситуациях с высокими требованиями. Немецкие специалисты отмечают зависимость страхов детей от страхов их родителей (страх обнищания). На появляющиеся страхи влияют стили взаимоотношений в семье (гиперопека, симбиоз между матерью и ребенком). [20]

Подростки начинают размышлять о жизни, поэтому у них появляются экзистенциальные страхи. Отмеченные страхи являются по своему типу фобическими и генерализованными.

О школьных страхах, их возникновении, причинах, формах проявления написано очень много. Этот пример лишний раз свидетельствует о появляющейся дезорганизованности личности вследствие излишней тревожности, ее неустойчивости и возможных отрицательных новообразованиях.

У подростков, учащихся общеобразовательных школ распространены школьные страхи и страхи разлуки (переход в другую школу, страх потерять одного из родителей, если в семье неблагоприятные отношения). Школьные страхи проявляются как страх оценки знаний, страх несоответствия оценке и требованиям окружающих.[7]

Страх разлуки и школьные фобии возникают чаще всего из-за чрезмерных требований учителя или недостаточной зрелости подростка в связи с привязанностью к значимому лицу. Подростки не любят отвечать у доски, потому что на них смотрят сверстники, боятся, что скажут глупость, которая вызовет их смех. Оказалось, что школьные страхи — постоянный спутник обучения. Для таких страхов в обучении характерно уклонение от посещения школы, привязанность к одному из близких людей, уклонение от общественных обязанностей. В МКБ-10 (Международная классификация болезней) не случайно подробно описаны признаки всех страхов — они могут спровоцировать расстройство психики. Уклоняться от школы они могут по-разному, например, полностью отказаться от посещения школы из-за боязни обид и унижений («мальчик для битья»). Ребенок избегает ситуации школьной неуспеваемости путем переключения на способы поведения, доставляющие удовольствие. В семье страхи нередко возникают дифференцированно: подросток боится отца, а мать скрывает истинную картину. В ситуациях с отчимом ситуация несколько меняется: отчим «редко, да метко» проверяет домашние задания, дневник. Его упреки становятся горче наказания.

Школьная фобия появляется из-за плохих материальных условий жизни, недостаточной интеграции семьи в общество или ближайшее окружение, физического или психического нездоровья родителей, супружеских или семейных конфликтов, отклонений в подходах к воспитанию детей. В итоге подростки становятся чрезмерно пугливыми и испытывают трудности в школе. У подростков, имеющих страхи, появляются вторичные проблемы-депрессии, нарастает социальная изоляция, подросток начинает отставать в учебе. Многие из них боятся, что одноклассники посчитают их прогульщиками, лентяями, больными.[13]

Все виды тревожного расстройства ухудшают работоспособность, потому что беспокойство не поддается контролю, от него нельзя избавиться [24]. Сосредоточившись на источнике тревоги, подросток не может уделить внимание качественному выполнению учебной или трудовой деятельности. Иногда у подростков встречаются элементы обсессивно-компульсивного расстройства: появляются навязчивые идеи или действия. Навязчивые состояния (обсессии) — это мысли, образы, желания («Нужно ли идти по этой улице, где мало народа?», «Закрыта ли дверь?»). Компульсивное поведение — повторение целенаправленных действий, выполняемых в соответствии с принятыми правилами (неоднократная проверка ошибок в сочинении или контрольной работе при неуверенности в правильности выполнения). Таким образом специфика возникновения и проявления тревожности в подростковом возрасте заключается в… Для того, чтобы раскрыть проблему гендерных различий проявления тревожности в подростковом возрасте, то рассмотрим значимость понятия гендерных особенностей подростков.

1.3 Понятие гендерных особенностей подростков

Понятие «гендер», введённое в обиход социологических исследований к середине 20 века, с самого начала актуализировало проблему соотношения биологического и социального. Традиционное выстраивание понятия «гендер» с опорой на понятие «биологический пол», в различных модификациях дожившее до наших дней, биолозирует социальные параметры человеческой жизни.[10]

Разделение людей на мужчин и женщин является центральной установкой восприятия нами различий, имеющихся в психике и поведении человека.

Исследования проблемы «пола» и «гендера» определяются сложностью и неоднозначностью самого предмета, включающего биологический, социальный и индивидуальный аспекты. В психологии используются как понятие «биологический», так и «психологический пол». В последние десятилетия идёт активное исследование соотношений между частными детерминантами психологического пола, например, между разными аспектами половых ролей.

В словарях можно найти следующие определения: пол – а) биологический – совокупность контрастирующих генеративных признаков особей одного вида; б) социальный – комплекс соматических, репродуктивных, социокультурных и поведенческих характеристик, обеспечивающих индивиду социальный, и правовой статус мужчины и женщины.

В результате разделения понятий биологического и социального пола возникло понятие «гендер».

Очевидно, что понятие социального пола является более широким, чем понятие пол биологический. Со временем, в англоязычной литературе авторы стали применять термин «гендер» (от латинского - род), под которым понималась вся совокупность свойств, отличающих мужчину от женщины.

1.   (Общее значение) – различие между мужчинами и женщинами по анатомическому полу.

2.   (Социологическое значение) социальное деление, часто основанное на анатомическом поле, но не обязательно совпадающее с ним.

Таким образом, социологическое использование термина может отличаться от повседневного.

По мнению Р.Ангер, гендер – совокупность социальных и культурных норм, которые общество предписывает выполнять людям в зависимости от их биологического пола.[48]

В.В.Абраменкова считает, что гендер – указывает на социальный статус и социально психологические характеристики личности, связанные с полом и сексуальностью, но возникающие во взаимодействии с людьми.[48]

В самом общем виде понятие «гендер» обозначает совокупность социальных и культурных норм, которые общество предписывает выполнять людям в зависимости от биологического пола.

Современная же наука различает понятия пол и гендер. Слово «пол» используется для обозначения тех анатомо-физиологических особенностей людей, на основе которых человеческие существа определяются как мужчины и женщины.

Пол человека считался фундаментом первопричиной психологических и социальных различий между мужчинами и женщинами. Но помимо биологических отличий между людьми существует разделение их социальных ролей, форм деятельности, различия в поведении и эмоциональных характеристиках.[19]

Итак, понятие гендер означает, в сущности, и сложный социокультурный процесс формирования (конструирования) обществом различий в мужских и женских ролях, поведении, ментальных и эмоциональных характеристиках, и сам результат – социальный конструкт гендера. Важными элементами создания гендерных различий являются противопоставления «мужского» и «женского».

Большая субъективная значимость взаимодействия с другим человеком и вообще взаимоотношений имеет своим следствием сравнительно большее развитие у женщин, чем у мужчин, социально перцептивных способностей:

Девушки тоньше улавливают состояние другого человека по изменениям в тембре голоса и в других экспрессивных проявлениях, точнее определяют эффект своего собственного воздействия на другого человека.

Девушки дают более детализированное описание другого человека, чем лица мужского пола. Это выявилось, в частности, в исследовании А.И. Бодалева, А.И. Донцова и Ш.В. Саркисяна. Девушки отмечали все качества личности чаще, чем юноши, при этом половые различия в частоте фиксирования коммуникативных черт характера и интеллектуальных качеств были достоверными. В то же время характеристику личности в целом юноши давали в два раза чаще, чем девушки.

Лица женского пола при оценке людей более «добрые», чем лица мужского пола. Женщины и мужчины могут быть внимательными и наблюдательными, если объект внимания им интересен. Однако девушки обнаруживают большую заинтересованность во взаимоотношении с окружающими.

Именно в подростковом возрасте гендерные различия становятся наиболее яркими и ощутимыми. Это объясняется тем, что в этом возрасте происходит половое созревание, осознание и принятие половой роли, формируется позиция собственного «Я», мировоззрение, закладываются и формируются важные качества и черты личности для дальнейшей жизни.[10]

Роговская Н. И. выделила следующие характеристики гендерных особенностей подростков:

Мальчики

Девочки

1. У большинства мальчиков больше развито правое полушарие, обеспечивающее склонность к творчеству, конкретно-образному характеру познавательных процессов, отвечающее за распознавание и анализ зрительных и музыкальных образов, форм и структуры предметов, за сознательную ориентацию в пространстве, что позволяет мыслить абстрактно, формируя понятия, образы.

1. У большинства девочек более развито левое полушарие, обеспечивающее склонность к абстрагированию и обобщению, словесно-логический характер познавательных процессов, оперирующее словами, условными знаками и символами, отвечающее за регуляцию речи, письма, логического мышления.

2. С психологической стороны у большинства мальчиков преобладает эмоциональная сдержанность, взаимоотношения с людьми поверхностные, конкретные.

2. Внимание большинства девочек привлекает сам человек, его внутренний мир, проблемы человеческих взаимоотношений, ядро их самосознания определяется межличностными отношениями.

3. Мальчики тяготеют к широкому кругу общения.

3. У девочек доминируют диады и триады, которые «закрыты» для посторонних.

4. Мальчики привлекают внимание противоположного пола логикой суждений, физической ловкостью и смелостью, мастерством в практических делах.

4. У девочек способ обращения на себя внимания – кокетство.

5. Мальчики предпочитают дух соревновательности и справедливой спортивной борьбы.

5. Девочки тоже соревновательные. Но на уровне межличностных отношений: в споре и в сравнении друг с другом.


У подростков наступает период, когда сознание и самосознание достигают определённого уровня, происходит овладение понятийным мышлением, накапливается моральный опыт, осваиваются различные социальные роли, в рамках самоопределения формируется идентичность.[15]

Таким образом, на основании приведённых выше данных можно сделать следующие выводы.

1.   Гендер – это совокупность социальных и культурных норм, которое общество предписывает выполнять в людям в зависимости от их биологического пола. В зависимости от того, к какому полу он принадлежит, индивид выстраивает своё поведение, свои взаимоотношения.

2.   Дифференциация понятий «пол» и «гендер» объясняется тем, что пол – это биологическое явление (генетические особенности строения клеток, анатомо-физиологические характеристики и детородные функции), а гендер является социально-культурным конструктом (социальный статус и социально-психологические характеристики личности, которые связаны с полом и сексуальность, но возникают во взаимодействии с другими людьми.)[19]

3.   Гендерный подход предполагает, что различия в поведении, психике, деятельности мальчиков и девочек подросткового возраста определяются не столько их анатомо-физиологическими особенностями, сколько социально-культурными факторами.

4.   Гендерные исследования стали неотъемлемой частью психологической науки. Гендерная проблематика стала вычленяться в разных областях психологии – при изучении когнитивной и эмоциональной сфер, проблемы социализации, межличностных взаимодействий и социальных отношений.

5.   Стереотипы проявляются во всех сферах жизни подростков: самосознании, в межличностном общении, межгрупповом взаимодействии, стереотипы имеют тенденцию рано усваиваться и изменяются с большим трудом. Они очень устойчивы и тем самым влияют на дальнейшую жизнь человека.

6.   Теоретическое исследование гендерных различий подросткового возраста позволило выявить то, что каждый юноша и девушка подросткового возраста имеют определённый набор психологических качеств, соответствующий полу. Но многочисленные психологические исследования показали, что ни в биологическом, ни в психологическом смысле не встречается чистой мужественности или женственности. У каждой личности наблюдается «смесь» признаков своего и противоположного пола. Такой тип личности принято называть андрогинным.

В настоящее время увеличилось число тревожных детей, отличающихся повышенным беспокойством, неуверенностью, эмоциональной неустойчивостью. Возникновение и закрепление тревожности связано с неудовлетворением возрастных потребностей ребенка.

При повышении уровня тревожности, что особенно часто происходит в подростковый период, человек теряет возможность к актуализации собственной личность, так как повышенная тревожность мешает ему двигаться вперед.

Понятием «тревожность» большинство психологов обозначают состояние человека, которое характеризуется повышенной склонностью к переживаниям, опасениям и беспокойству, имеющей отрицательную эмоциональную окраску.

Тревожные подростки обычно не уверены в себе, с неустойчивой самооценкой. Неуверенный, тревожный подросток всегда мнителен, а мнительность порождает недоверие к другим. Такой ребенок опасается других.

Гендерные исследования стали неотъемлемой частью психологической науки. Гендерная проблематика стала вычленяться в разных областях психологии – при изучении когнитивной и эмоциональной сфер, проблемы социализации, межличностных взаимодействий и социальных отношений.

Гендер – это совокупность социальных и культурных норм, которое общество предписывает выполнять людям в зависимости от их биологического пола. В зависимости от того, к какому полу он принадлежит, индивид выстраивает своё поведение, свои взаимоотношения.

Гендерный подход предполагает, что различия в поведении, психике, деятельности мальчиков и девочек подросткового возраста определяются не столько их анатомо-физиологическими особенностями, сколько социально-культурными факторами.

В подтверждение изученного и обобщенного материала, будет проведена практическая работа в виде исследования гендерных различий тревожности в подростковом возрасте.

Глава 2. Эмпирическое исследование гендерных различий тревожности в подростковом возрасте

2.1 Организация и методы исследования

Исследование проводилось на базе Тарской гимназии № 1 в г. Таре была проведена диагностика тревожности среди учеников 9 класса, в возрасте 14-15 лет. Всего в исследовании приняли участие 13 человек из них 9 девочек и 4 мальчика.

Целью исследования является выявление гендерных различий в проявлении тревожности у мальчиков и девочек в подростковом возрасте.

Объект исследования – тревожность подростков.

Предмет исследования – гендерные различия проявления тревожности в подростковом возрасте.

Гипотеза нашего исследования предполагает существование различий в проявлении тревожности у мальчиков и девочек в подростковом возрасте.

В нашем исследовании использовались следующие методы:

Методы исследования:

1). Анализ литературы по проблеме исследования;

2). Констатирующий эксперимент;

3). Психодиагностический метод;

4). Количественный и качественный анализ эмпирических данных, то есть, методы математической статистики.

Нами были проведены следующие методики:

- «Исследование тревожности» Ч. Д. Спилбергера. [33]

- «Шкала тревожности» О. Кондаша. [37]

- Личностная шкала проявления тревоги Дж. Тейлора. [33]

1.   Опросник Ч. Д. Спилбергера «Исследование тревожности».

Данная методика позволяет дифференцированно измерять тревожность и как личностное свойство, и как состояние. Учащимся предлагается прочитайте внимательно каждое из приведённых ниже предложений и выбрать соответствующий ответ в зависимости от того, как они себя чувствуют в данный момент. После того как ответили на первые 20 вопросов, предлагается прочитать следующие 20 и выбрать соответствующий ответ в зависимости от того, как себя чувствуют обычно. Обработка результатов осуществляется следующим образом:

1. Определение показателей ситуативной и личностной тревожности с помощью ключа.

2. Вычисление среднегруппового показателя СТ и ЛТ и их сравнительный анализ в зависимости, например, от половой принадлежности испытуемых.

При анализе результатов самооценки надо иметь в виду, что общий итоговый показатель по каждой из подшкал может находиться в диапазоне от 20 до 80 баллов. При этом чем выше итоговый показатель, тем выше уровень тревожности (ситуативной или личностной). При интерпретации показателей можно использовать следующие ориентировочные оценки тревожности: до 30 баллов — низкая, 31—44 балла — умеренная; 45 и более высокая.(Приложение 1)

2.   «Шкала тревожности» О. Кондаша.

Методика предназначена для работы с подростками. С помощью данной шкалы можно выявить уровень тревожности подростков, локализованной в трех основных плоскостях: учебная деятельность (школьная тревожность), взаимоотношения со сверстниками и значимыми взрослыми (межличностная тревожность) и представление о самом себе (самооценочная тревожность). Учащимся предоставляется бланк, в котором перечислены ситуации, с которыми часто встречаешься в жизни. Некоторые из них могут быть неприятными, вызывать волнение, беспокойство, тревогу, страх.

Затем внимательно прочитать каждое предложение и обвести кружком одну из цифр справа: 1,2,3,4. Обработка результатов осуществляется следующим образом, по окончании тестирования подсчитывается количество совпадений с ключом по каждому разделу шкалы и по шкале в целом. Общий показатель тревожности рассчитывается сложением результатов по отдельным шкалам. (Приложение 1)

3.   «Личностная шкала проявления тревоги» Дж. Тейлора.

Методика предназначена для диагностики уровня тревожности испытуемого. Шкала была создана Дж. Тейлором. Адаптация Т. А. Немчинова. Шкала лживости, введенная В. Г. Норакидзе в 1975 г., позволяет судить о демонстративности и неискренности. Опросник состоит из 60 утверждений. Учащиеся отвечают «да», если согласны с утверждением, «нет», если не согласны. Обработка результатов:Каждый ответ оценивается в 1 балл, в соответствии с ключом. (Приложение 3)

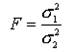
Поскольку целью нашего исследования было выявление гендерных различий в проявлении тревожности у подростков, мы использовали метод статистической обработки. Для подтверждения результатов диагностики мы применили Критерий Фишера. Он предназначен для сопоставления двух выборок по частоте встречаемости интересующего исследователя эффекта. Суть углового преобразования Фишера состоит в переводе процентных долей в величины центрального угла, который измеряется в радианах. Большей процентной доле будет соответствовать больший угол ф, а меньшей доле - меньший угол. При увеличении расхождения между углами φ1 и φ2 и увеличения численности выборок значение критерия возрастает. Чем больше величина φ* , тем более вероятно, что различия достоверны. Он вычисляется по формуле:


где - большая дисперсия, - меньшая дисперсия.

2.2 Анализ и обсуждение результатов исследования

Обратимся к рассмотрению результатов исследования, полученных на констатирующем этапе эксперимента; так, методика «Исследование тревожности» Ч. Д. Спилберга, направленная на выявление тревожности в подростковом возрасте, проводилась в 9 классе Тарской гимназии № 1им. А. М. Лупова.

После проведения данной методики были получены следующие результаты, которые изображены в таблице №1

Таблица №1 Проявление личностной и ситуативной тревожности

Ситуативная тревожность

Количество человек

Количество человек в %

Личностная тревожность

Количество человек

Количество человек в %

Высокая

2

15,4%

Высокая

7

53,8%

Умеренная

10

77%

Умеренная

6

46,2%

Низкая

1

7,6%

Низкая

0

0%


Как видно из таблицы ситуативная тревожность разделяется на три типа:

1)   высокий -15,4 %;

2)   умеренный –77 %;

3)   низкий – 7,6 %

Что касается личностной тревожности, то она также определяется по трем типам:

1)   высокий – 53,8 %;

2)   умеренный – 46,2 %;

3)   низкий – 0%.

Ситуативная тревожность как состояние характеризуется субъективно переживаемыми эмоциями: напряжением, беспокойством, озабоченностью, нервозностью. Это состояние возникает как эмоциональная реакция на стрессовую ситуацию и может быть разным по интенсивности и динамичности во времени.

Под личностной тревожностью понимается индивидуальная черта личности человека, отражающая его предрасположенность к эмоционально отрицательным реакциям на различные жизненные ситуации, несущие в себе угрозу для его я (самооценки, отношения к себе).

В таблице №2 представлены результаты, дифференцированные по половому признаку.

Таблица №2Уровни тревожности в ситуативном и личностном типах

Уровень тревожности учащихся

Ситуативная тревожность

Личностная тревожность

Мальчики

Мальчики

Высокая – 0%

Высокая – 25%

Умеренная – 75%

Умеренная – 75%

Низкая – 25%

Низкая – 0%

Девочки

Девочки

Высокая – 22,2%

Высокая – 66,7%

Умеренная – 77,8%

Умеренная – 33,3%

Низкая – 0%

Низкая – 0%


Из таблицы видно, что у девочек низкий уровень ситуативной и личностной тревожности отсутствует; умеренный уровень ситуативной тревожности составляет 77,8%; высокий уровень ситуативной тревожности составляет 22,2%. Умеренный уровень личностной тревожности составляет 33,3%; высокий уровень личностной тревожности составляет 66,7%.

У мальчиков низкий уровень ситуативной тревожности составляет 25 %; умеренный уровень ситуативной тревожности составляет 75%; высокий уровень ситуативной тревожности отсутствует. Низкий уровень личностной тревожности отсутствует; умеренный уровень личностной тревожности составляет 75%; высокий уровень личностной тревожности составляет 25%.

Высокотревожные подростки вспыльчивы, раздражительны и находятся в постоянной готовности к конфликту и готовности к защите, даже если в этом объективно нет надобности. Для них, как правило, характерна неадекватная реакция на замечания, советы и просьбы. Особенно велика возможность нервных срывов, аффективных реакций в ситуациях, где речь идет об их компетенции в тех или иных вопросах, их престиже, самооценке, их отношении. Боязнь неудачи - характерная черта высокотревожных подростков.

Для низкотревожных подростков характерно ярко выраженное спокойствие. Они не всегда склонны воспринимать угрозу своему престижу, самооценке в самом широком диапазоне ситуаций, даже когда она реально существует. Возникновение состояния тревоги у них может наблюдаться лишь в особо важных и личностно значимых ситуациях (экзамен, стрессовые ситуации, реальная угроза семейному положению и др.). В личностном плане такие люди спокойны , считают, что лично у них нет поводов и причин волноваться за свою жизнь, репутацию, поведение и деятельность. Вероятность возникновения конфликтов, срывов, аффективных вспышек крайне мала.

Таким образом, результат проведённого тестирования в области ситуативной и личностной тревожности показал, что высокий уровень тревожности в большей степени проявляется у девочек, чем у мальчиков.

Более подробно результаты представлены на рисунке 1 и 2.

 

Рис. 1 Проявление личностной и ситуативной тревожности у девочек

 

Данная диагностика позволяет выявить уровень ситуативной и личностной тревожности у девочек. По результатам исследования ситуативная тревожность у большинства девочек умеренная и составляет 66,7%, а высокий уровень ситуативной тревожности наблюдается у 33,3% испытуемых. Низкий уровень тревожности у девочек в данной выборке не зафиксирован.

 

Рис. 2 Проявление личностной и ситуативной тревожности у мальчиков

Данная диагностика позволяет выявить уровень ситуативной и личностной тревожности у мальчиков. По результатам исследования ситуативная тревожность у большинства мальчиков умеренная и составляет 75%, а низкий уровень ситуативной тревожности наблюдается у 25% испытуемых. Высокий уровень тревожности у мальчиков в данной выборке

не зафиксирован.

Обратимся к рассмотрению результатов исследования, полученных на констатирующем этапе эксперимента; так, методика «Шкала тревожности» Кондаша, направленная на выявление уровней тревожности подростков, локализованной в трех основных плоскостях: школьная тревожность, самооценочная тревожность, межличностная тревожность.

Результаты исследования по «Шкала тревожности» О. Кондаша представлены в таблице №3 и гистограмме №3 – результаты девочек.

Повышенная школьная тревожность у девочек составляет 44,4 %,; высокая школьная тревожность у девочек 22,2 %; очень высокая школьная тревожность у девочек составляет 11,1 %.

Повышенная самооценочная тревожность у девочек составляет 22, 2 %; высокая самооценочная тревожность у девочек 22,2 %; очень высокая самооценочная тревожность у девочек отсутствует.

Повышенная межличностная тревожность у девочек составляет 11, 1 %; высокая межличностная тревожность у девочек 11, 1 %; очень высокая межличностная тревожность у девочек не выявлена.

Повышенная тревожность общего типа среди девочек составляет 55, 5 %; высокая тревожность данного типа составляет 11, 1 %; очень высокий уровень не наблюдается.

Таблица №3 Уровень выраженности типов тревожности у девочек

Общий тип тревожности

Школьный тип тревожности

Самооценочный тип тревожности

Межличностный тип тревожности

Нормальный уровень (33,3%)

Нормальный уровень

(22,2 %)

Нормальный уровень

(55,5%)

Нормальный уровень

(77,8 %)

Повышенный уровень (55,5%)

Повышенный уровень

(44,4%)

Повышенный уровень

(22,2%)

Повышенный уровень

(11,1%)

Высокий уровень

(11,1%)

Высокий уровень

(22,2%)

Высокий Уровень (22,2%)

Высокий уровень (11,1%)

Очень высокий уровень (0%)

Очень высокий уровень (11,1%)

Очень высокий уровень

(0%)

Очень высокий уровень

(0%)


Таким образом, по результатам исследования уровня выраженности четырех типов тревожности у девочек, наблюдается преобладание нормального уровня по данным всех исследуемых типов, кроме школьного и общего типов тревожности. В школьном типе тревожности преобладает повышенный уровень, в самооценочном и межличностном типах тревожности преобладает нормальный уровень, в общем типе преобладает также нормальный уровень тревожности, следовательно, по результатам данной методики у девочек выявлен нормальный уровень тревожности, кроме школьного типа. Это свидетельствует о том, что девочки беспокоятся по поводу учебных ситуаций, это беспокойство проявляется в ожидании плохого отношения к себе, отрицательной оценки со стороны педагогов, сверстников.

Подростки с «повышенными», «высокими» и «очень высокими» значения школьной тревожности указывают на эмоциональное неблагополучие подростка в контексте тех или иных школьных ситуаций. Самооценочная тревожность связана с оценкой себя с другими. Самооценочной тревожностью испытывают неуверенность в себе, чувство неполноценности. Повышенный уровень тревожности у ребенка может свидетельствовать о его недостаточной эмоциональной приспособленности к тем или иным социальным ситуациям.

В таблице №4 и рисунке №4 представлены результаты исследования мальчиков.

Повышенная школьная тревожность у мальчиков отсутствует; высокая школьная тревожность у мальчиков составляет 25 %; очень высокая школьная тревожность у мальчиков не выявлена.

Повышенная самооценочная тревожность у мальчиков 25 %; высокая самооценочная тревожность у мальчиков не выявлена; очень высокая самооценочная тревожность у мальчиков отсутствует.

Повышенная межличностная тревожность у мальчиков 25 %; высокая межличностная тревожность у мальчиков не выявлена; очень высокая межличностная тревожность у мальчиков не выявлена.

Таблица №4 Уровень выраженности типов тревожности у мальчиков

Общий тип тревожности

Школьный тип тревожности

Самооценочный тип тревожности

Межличностный тип тревожности

Нормальный уровень (75%)

Нормальный

Уровень (75% )

Нормальный уровень

(75%)

Нормальный

Уровень (75 %)

Повышенный

Уровень (25%)

Повышенный

Уровень (0%)

Повышенный

Уровень (25%)

Повышенный

Уровень (25%)

Высокий уровень

(0%)

Высокий уровень

(25%)

Высокий

Уровень (0%)

Высокий

Уровень (0%)

Очень высокий уровень (0%)

Очень высокий уровень (0%)

Очень высокий уровень

(0%)

Очень высокий уровень

(0%)


Таким образом, в школьном, самооценочном, межличностном и общем типах тревожности преобладает нормальный уровень. По результатам данной методики выяснилось, что мальчики не проявляют тревожность ни в одном из данных типах.

Более подробно результаты представлены на рисунке №3 и №4.

 

Рис. 3 Проявление уровней тревожности в различных типах у девочек

 

Рис. 4 Проявление уровней тревожности в различных типах у мальчиков

Сравнивая данные можно сделать вывод, как у девочек, так и у мальчиков преобладает нормальный уровень тревожности во всех типах, кроме школьного.

Обратимся к рассмотрению результатов исследования, полученных на констатирующем этапе эксперимента; так, методика « Личностная шкала проявления тревоги» Дж. Тейлора, направленная на выявление уровня тревожности в подростковом возрасте, Результаты исследования по методике представлены в таблице №5 и гистограмме №5.

У девочек высокий уровень тревожности составляет 55,5%; средний, с тенденцией к высокому-33,3%; средний, с тенденцией к низкому -11%. Низкий уровень тревожности не выявлен. У мальчиков высокий уровень тревожности составляет 25%; средний, с тенденцией к высокому-50 %; средний, с тенденцией к низкому-25%. Низкий уровень тревожности не выявлен.

Таблица №5 Проявление уровней тревожности у девочек и мальчиков

Уровень тревожности

Мальчики

Уровень тревожности

Девочки

Высокий

25 %

Высокий

55,5 %

Средний, с тенденцией к высокому уровню

50 %

Средний, с тенденцией к высокому уровню

33,3 %

Средний, с тенденцией к низкому уровню

25 %

Средний, с тенденцией к низкому уровню

11,1 %

Низкий

0 человек

Низкий

0 %


Таким образом, высокий уровень тревожности больше проявляется у девочек, чем у мальчиков. Высокая тревожность связана с физическими и психическими особенностями возраста, с уровнем значимости для сверстников и взрослых. Для тревожных подростков характерно неумение оценить свои действия, найти оптимальную для себя зону трудности задания, а также определить вероятность желательного исхода события.

Более подробно результаты представлены на рисунке 5.

Рис. 5 Проявление уровней тревожности у девочек и мальчиков

Так как целью нашего исследования является выявление гендерных различий в проявлении тревожности у мальчиков и девочек в подростковом возрасте, то мы применили: метод сравнительного анализа, метод математической статистики – критерий φ* — угловое преобразование Фишера.

1)   Метод сравнительного анализа - это изучение одного и того же психического явления у разных групп испытуемых в зависимости от пола, возраста и т.д.

2)   Метод математической статистики - критерий φ* — угловое преобразование Фишера. Критерий Фишера предназначен для сопоставления двух выборок по частоте встречаемости интересующего исследователя эффекта. Суть углового преобразования Фишера состоит в переводе процентных долей в величины центрального угла , который измеряется в радианах. Большей процентной доле будет соответствовать больший угол ф, а меньшей доле - меньший угол. При увеличении расхождения между углами φ1 и φ2 и увеличения численности выборок значение критерия возрастает. Чем больше величина φ* , тем более вероятно, что различия достоверны.

В таблице № 6 представлен сравнительный анализ по методикам «Исследование тревожности» Ч. Д. Спилберга, «Шкала тревожности» О. Кондаша, «Личностная школа проявлений тревоги» Дж. Тейлора.

Таблица № 6 Сравнительный анализ по методикам (девочки)

Девочки

Уровень тревожности по методике «Исследование тревожности» Ч. Д. Спилберга

Уровень тревожности по методике «Шкала тревожности»

Уровень тревожности по методике «Личностная школа проявлений тревоги» Дж. Тейлора


Ситуативная

Личностная

Общая

Школьная

Самооценочная

Межличностная


Высокий

(22,2 %)

Высокий (66,7%)

Нормальный

(33,3%)

Нормальный (22,2 %)

Нормальный (55,5%)

Нормальный (77,8 %)

Высокий (55,5%)


Умеренный

(77, 8 %)

Умеренный (33,3%)

Повышенный

(55,5%)

Повышенный (44,4%)

Повышенный (22,2%)

Повышенный (11,1%)

Средний, с тенденцией к высокому уровню

(33,3%)


Низкий (0 %)

Низкий

(0 %)

Высокий (11,1%)

Высокий (22,2%)

Высокий

(22,2%)

Высокий

(11,1%)

Средний, с тенденцией к низкому уровню

(11,1%)




Очень высокий (0%)

Очень высокий (11,1%)

Очень высокий (0%)

Очень высокий (0%)

Низкий

(0%)


В таблице № 7 представлен сравнительный анализ методик «Исследование тревожности» Спилберга, «Шкала тревожности» О. Кондаша, «Личностная школа проявлений тревоги» Дж. Тейлора.

Таблица № 7 Сравнительный анализ по методикам (мальчики)

Мальчики

Уровень тревожности по методике «Исследование тревожности» Ч. Д. Спилберга

Уровень тревожности по методике «Шкала тревожности»

Кондаша

Уровень тревожности по методике «Личностная школа проявлений тревоги» Дж. Тейлора


Ситуативная

Личностная

Общая

Школьная

Самооценочная

Межличностная


Высокий

(0 %)

Высокий (25%)

Нормальный

(75%)

Нормальный

(75% )

Нормальный (75%)

Нормальный

(75 %)

Высокий

(25%)


Умеренный

(75 %)

Умеренный (75%)

Повышенный

(25%)

Повышенный

(0%)

Повышенный

(25%)

Повышенный

(25%)

Средний, с тенденцией к высокому уровню

(50%)


Низкий (25 %)

Низкий

(0 %)

Высокий

(0%)

Высокий

(25%)

Высокий

(0%)

Высокий

(0%)

Средний, с тенденцией к низкому уровню

(25%)




Очень высокий (0%)

Очень высокий (0%)

Очень высокий

(0%)

Очень высокий

(0%)

Низкий

(0%)

По данным результатам методики «Исследование тревожности» Ч. Д. Спилберга в группе девочек - подростков выявилось, что высокий уровень преобладает в личностном типе тревожности, а в ситуативном типе тревожности преобладает нормальный уровень. У мальчиков как в ситуативной, так и в личностном типе преобладает нормальный уровень тревожности.

По данным результатам методики «Шкала тревожности» О. Кондаша выявилось, что у девочек выявлен нормальный уровень тревожности во всех типах, кроме школьного типа. У мальчиков в школьном, самооценочном, межличностном и общем типах тревожности преобладает нормальный уровень.

По данным методики «Личностная школа проявлений тревоги» Дж. Тейлора выявилось, что высокий уровень тревожности больше проявляется у девочек, чем у мальчиков.

Для подтверждения достоверности нашей гипотезы мы использовали критерий ф* – угловое преобразование Фишера. Критерий Фишера предназначен для сопоставления двух выборок по частоте встречаемости интересующего нас эффекта - тревожность. Критерий оценивает достоверность различий между процентными долями двух выборок, в которых зарегистрирован интересующий нас эффект.

Гипотезы:

H0: Доля лиц, у которых проявляется исследуемый эффект, в выборке 1 не больше, чем в выборке 2.

H1: Доля лиц, у которых проявляется исследуемый эффект, в выборке 1 больше, чем в выборке 2.

В таблице № 8 показано угловое преобразование ф* критерия Фишера по методике «Исследование тревожности» Ч. Д. Спилберга, при ф* кр. = 1,64 (р≤ 0,05), 2,31 (р≤0, 01), где выборка 1 – девочки, выборка 2 мальчики.

Таблица № 8 Угловое преобразование ф* критерия Фишера по методике «Исследование тревожности» Ч. Д. Спилберга

Тип тревожности

Уровни тревожности

Эмпирическое значение критерия

ф* эмп.

Ситуативная

Высокий

1,634 (зона незначимости) Н1 отвергается

Умеренный

0,11 (зона незначимости) Н1 отвергается

Низкий

1,743 (зона незначимости) Н1 отвергается

Личностная

Высокий

1,764 (зона неопределенности) Н0 отвергается

Умеренный

1,438 (зона незначимости) Н1 отвергается

Низкий

0,000 (зона незначимости) Н1 отвергается


Мы видим, что в зону незначимости попадают почти все уровни и типы тревожности, значит мы можем утверждать, что принимается гипотеза Н0: доля девочек с данными уровнями и типами тревожности не больше, чем доля мальчиков.

Личностная тревожность с высоким уровнем находится в зоне неопределенности, т.е. принимается гипотеза Н0: доля девочек с высоким уровнем личностной тревожности больше, чем доля мальчиков с высоким уровнем личностной тревожности.

В таблице № 9 показано угловое преобразование ф* критерия Фишера по методике «Шкала тревожности» О. Кондаша.

Таблица № 9Угловое преобразование ф* критерия Фишера по методике «Шкала тревожности» О. Кондаша.

Общий тип тревожности

Эмпирическое значение критерия ф* эмп.

Школьный тип тревожности

Эмпирическое значение критерия ф* эмп.

Нормальный уровень

1,438 (зона незначимости) Н1 отвергается

Нормальный уровень

1,852 (зона неопределенности) Н0 отвергается

Повышенный уровень

1,058 (зона незначимости) Н1 отвергается

Повышенный уровень

2,429 (зона значимости) Н1 принимается

Высокий уровень

1,131 (зона незначимости) Н1 отвергается

Высокий уровень

0,11 (зона незначимости) Н1 отвергается

Очень высокий уровень

0,000 (зона незначимости) Н1 отвергается

Очень высокий уровень

1,131 (зона незначимости) Н1 отвергается

Самооценочный тип тревожности


Межличностный тип тревожности


Нормальный уровень

0,684 (зона незначимости) Н1 отвергается

Нормальный уровень

0,11 (зона незначимости) Н1 отвергается

Повышенный уровень

0,11 (зона незначимости) Н1 отвергается

Повышенный уровень

0,612 (зона незначимости) Н1 отвергается

Высокий уровень

1,634 (зона незначимости) Н1 отвергается

Высокий уровень

1,131 (зона незначимости) Н1 отвергается

Очень высокий уровень

0,000 (зона незначимости) Н1 отвергается

Очень высокий уровень

0,000 (зона незначимости) Н1 отвергается


Так как в зоны незначимости попали большинство уровней всех типов тревожности, то мы можем утверждать, что доля мальчиков с данными типами и уровнями тревожности больше, чем доля девочек. В зоне значимости находится повышенный уровень школьной тревожности, а это значит, что доля девочек с данным уровнем тревожности больше, чем доля мальчиков.

В таблице № 10 показано угловое преобразование ф* критерия Фишера по методике «Личностная шкала проявлений тревоги» Дж. Тейлора.

Таблица № 10 Угловое преобразование ф* критерия Фишера по методике «Личностная шкала проявлений тревоги» Дж. Тейлора.

Уровни тревожности

Эмпирическое значение критерия ф* эмп.

Высокий

1,058 (зона незначимости) Н1 отвергается

Средний с тенденцией к высокому

0, 567 (зона незначимости) Н1 отвергается

Средний с тенденцией к низкому

0,612 (зона незначимости) Н1 отвергается

Низкий

0,000 (зона незначимости) Н1 отвергается


Таким образом, мы видим, что все уровни тревожности находятся в зоне незначимости. А значит что доля тревожности у мальчиков, больше чем доля тревожности девочек. Следовательно, наша гипотеза о том, что существуют различия в проявлении тревожности у мальчиков и девочек в подростковом возрасте на математическо уровне не подтвердилась. А это значит, что гендерные особенности подростка не являются определяющим условием для специфики возникновения и проявления тревожности.

Нами было проведено исследование на базе Тарской гимназии № 1 им. Луппова А. М. в г. Таре. В ходе исследования была проведена диагностика тревожности среди учеников 9 класса, в возрасте 14-15 лет. Всего в исследовании приняли участие 13 человек из них 9 девочек и 4 мальчика.

Исследование заключалось в выявлении гендерных различий тревожности в подростковом возрасте.

Результат применения методик выявил преобладание среднего уровня ситуативной и личностной тревожности как у мальчиков, так и у девочек.

У девочек наблюдается повышенный уровень школьной тревожности, что свидетельствует о том, что эти дети имеют тревожное эмоциональное состояние, связанное с различными формами их включения в жизнь школы.

У мальчиков, в свою очередь, преобладает нормальный уровень тревожности.

Нормальный уровень тревожности, как у мальчиков, так и у девочек преобладает в самооценочном и межличностном типе тревожности.

Повышенный уровень тревожности, в общем типе, у девочек выше, чем у мальчиков.

Результатом применения 3 методики явилось преобладание среднего уровня, с тенденцией к высокому у мальчиков, и высокому уровню тревожности у девочек.

Угловое преобразование ф* критерия Фишера по методике «Исследование тревожности» Ч. Д. Спилберга, показало, что в зону незначимости попадают почти все уровни и типы тревожности, значит мы можем утверждать, что принимается гипотеза Н0: доля девочек с данными уровнями и типами тревожности не больше, чем доля мальчиков.

Личностная тревожность с высоким уровнем находится в зоне неопределенности, т.е. принимается гипотеза Н0: доля девочек с высоким уровнем личностной тревожности больше, чем доля мальчиков с высоким уровнем личностной тревожности.

Угловое преобразование ф* критерия Фишера по методике «Шкала тревожности» О. Кондаша показало, что в зоны незначимости попали большинство уровней всех типов тревожности, то мы можем утверждать, что доля мальчиков с типами и уровнями тревожности больше, чем доля девочек. В зоне значимости находится повышенный уровень школьной тревожности, а это значит, что доля девочек с данным уровнем тревожности больше, чем доля мальчиков.

Угловое преобразование ф* критерия Фишера по методике «Личностная шкала проявлений тревоги» Дж. Тейлора показало, что все уровни тревожности находятся в зоне незначимости. А значит что доля тревожности у мальчиков, больше чем доля тревожности девочек.

Заключение

В настоящее время увеличилось число тревожных детей, отличающихся повышенным беспокойством, неуверенностью, эмоциональной неустойчивостью. Возникновение и закрепление тревожности связано с неудовлетворением возрастных потребностей ребенка.

При повышении уровня тревожности, что особенно часто происходит в подростковый период, человек теряет возможность к актуализации собственной личность, так как повышенная тревожность мешает ему двигаться вперед.

Понятием «тревожность» большинство психологов обозначают состояние человека, которое характеризуется повышенной склонностью к переживаниям, опасениям и беспокойству, имеющей отрицательную эмоциональную окраску.

Тревожные подростки обычно не уверены в себе, с неустойчивой самооценкой. Неуверенный, тревожный подросток всегда мнителен, а мнительность порождает недоверие к другим. Такой ребенок опасается других.

Гендерные исследования стали неотъемлемой частью психологической науки. Гендерная проблематика стала вычленяться в разных областях психологии – при изучении когнитивной и эмоциональной сфер, проблемы социализации, межличностных взаимодействий и социальных отношений.

Гендер – это совокупность социальных и культурных норм, которое общество предписывает выполнять людям в зависимости от их биологического пола. В зависимости от того, к какому полу он принадлежит, индивид выстраивает своё поведение, свои взаимоотношения.

Гендерный подход предполагает, что различия в поведении, психике, деятельности мальчиков и девочек подросткового возраста определяются не столько их анатомо-физиологическими особенностями, сколько социально-культурными факторами.

В заключение следует отметить, что достоверность выдвигаемой нами гипотезы о том, что существуют различия в типах тревожности у мальчиков и девочек в подростковом возрасте, не подтвердилась.

Список литературы

1.   Абрамова Г. С. Возрастная психология. - М.: «Академия», 1997.-286 с.

2.   Андреева Г. М. Социальная психология. – М., 1981.-185 с.

3.   Бендас Т.В. Гендерная психология: учебное пособие. – СПб.: Питер, 2005. –431 с.

4.   . Березин Ф.Б. «Психическая и психофизиологическая адаптация человека». - Л., 1988.

5.   Большой психологический словарь (Сост. И общ. Ред. Б. Мещяриков, В. Зинченко – СПб.: прайм – Еврознак, 2004. – 672 с. )

6.   Бурлачук Л. Ф. Словарь-справочник по психодиагностике. – М., 2000. – 132 с.

7.   Вачков И. Тревожность, тревога, страх: различение понятий//Школьный психолог. – 2004. - №8.

8.   Введение в гендерные исследования/ под ред. В.Н.Жеребкиной.- Харьков, 2001

9.   Возрастная и педагогическая психология: Учебник для студентов пед. ин-тов/ В. В. Давыдов, Т. В. Драгунова и др.; Под ред. А. В. Петровского.-2-е изд., испр. И доп. – М.: Просвещение, 1979. – 288 с.

10. Гендерная педагогика и психология / под ред. О.И.Ключко – Саранск, 2005.

11. Добрович Л. Б. Воспитателю о психологии и психогигиене общения. – М., 1987. – 240 с.

12. Дубровина Т. В и др. Диагностическая и коррекционная работа школьного психолога. – М., 1987. – 225 с.

13. Захаров А. И. Неврозы у детей. СПб., 1996.

14. Кан-Калик В. А. Учителю о педагогическом общении. – М., 1987. – 150 с.

15. Клецина И.С. Гендерная социализация. СПб., 1998

16. Клецина, И.С. От психологии пола – к гендерным исследованиям в психологии / И.С.Клецина // Вопросы психологии. – 2003. - №1. – 243 с.

17. Ковалёва А. Г. Психология личности, изд. 3. – М.: Просвещение, 1970. – 320 с.

18. Колесов Д. В. Учителю о психологии и физиологии подростка. – М., 1986. – 162 с.

19. Костикова И.В. Основы гендерной педагогики: Программа спецкурса. М., 2001.

20. Кочубей Б., Новикова Е. Лики и маски тревоги// Воспитание школьника. – 1990. - № 6.

21. Крутецкий В. А., Лукин Н. С. Очерки психологии старшеклассника. – М., 1963. – 257 с.

22. Кузнецов Д. Демобилизующая тревожность// Школьный психолог. – 2005. - № 2.

23. Левитов Н.Д. Психическое состояние беспокойства, тревоги.//Вопросы психологии. - 1963.

24. Макшанцева Л. В. Тревожность и возможности её снижения у детей//Психологическая наука и образование. – 1998. - № 2.

25. Мусина И. А. Взаимосвязь самостоятельности познавательной деятельности и тревожности личности. – М.,1993.

26. Мэй Р. Проблема тревоги / Пер с англ. А. Г. Гладкова. – М.: Изд-во ЭКСМО-Пресс, 2001. – 432 с.

27. Немов Р. С. Психология: Учеб. для студ. Высш. пед. учеб. заведение: В 3 кн. – 4-е изд. – М.: Гуманит. изд. центр ВЛАДОС, 2001. – Кн. 3: Психодиагностика. Введение в научное психологическое исследование с элементами мат. статистики. – 640 с.

28. Петровский А. В. Общая психология.- М.: Просвещение. – 1986.

29. Прихожан А. М. Причины, профилактика и преодоление тревожности // Психологическая наука и образование. № 2. 1998. 235 с.

30. Прихожан А. М. Тревожность у детей и подростков: психологическая природа и возрастная динамика. – М. – Воронеж, 2000. – 235 с.

31. Психология современного подростка./ Под ред. Д. И. Фельдштейна. – М., 1987. – 246 с.

32. Психологический словарь. Под ред. В.В. Давыдова, А.В. Запорожца, Б.Ф. Ломова и др. М.: Педагогика, 1983.

33. Психологические тесты. / Под ред. А. А. Карелина: в 2 т. – М.: Гуманит. Изд. центр ВЛАДОС, 2002. –т № 1- 312 с.

34. Райс Ф. Психология подросткового и юношеского возраста. - СПб.: Питер, 2000. - 656 с.

35. Реан Л. А. К проблеме социальной адаптации личности. – М., 1996. – 210 с.

36. Рогов Е. И. Настольная книга практического психолога: Учеб. пособие: В 2 кн. – 2-е изд., перераб. и доп. – М.: Гуманист. изд. центр ВЛАДОС, 1999. – Кн.1: Система работы психолога с детьми разного возраста. – 384 с.

37. Рогов Е. И. Настольная книга практического психолога(Учебное пособие в двух книгах). Книга 1. – М.: ВЛАДОС. 1999.

38. Российская педагогическая энциклопедия. – М., 1999. – 560 с.

39. Спилберг Ч.Д. Концептуальные и методические проблемы исследования тревоги . - Сост. Ю.Л. Ханин. - М., 1983.

40. Степанов С. Беспокойство – его причины и следствия// Школьный психолог. – 2004. - №8.

41. Степанов В. Г. Психология трудных школьников: Учебное пособие для студентов высш. Пед. учеб. заведений. – 3 изд., переаб. и доп. – М.: Издательский центр «Академия», 2001. – 336 с.

42. Теория и методология гендерных исследований. - М., 2001

43. Тревога и тревожность. Хрестоматия./ Сост. В. М. Астапов. – СПб., 2001. – 146 с.

44. Фильдштейн Д. Психология современного подростка. – М., 1991. – 250 с.

45. Ханин Ю. Л. Психологические механизмы коррекции состояния тревожности личности. – М., 1980.

46. Хекхаузен Х. Мотивация и деятельность. Т. 1. М.,"Педагогика", 1986.

47. Хорни К. Тревожность. / Собр. соч. в 3 томах. М.: Смысл, 1997. Т.2. 180 с.

48. Хрестоматия по курсу "Основы гендерных исследований" - М., 2000

49. Хрипкова А. Г. Мир детства: подросток. – М., 1989. – 320 с.

Приложение 1

Опросник Спилберга «Исследование тревожности»

Шкала ситуативной тревожности (СТ)

Инструкция. Прочитайте внимательно каждое из приведенных ниже предложений и зачеркните цифру в соответствующей графе справа в зависимости от того, как вы себя чувствуете в данный момент. Над вопросами долго не задумывайтесь, поскольку правильных и неправильных ответов нет.

Суждения

№п

п

Суждение

Нет, это не так

Пожалуй, так

Верно

Совершенно верно

1

Я спокоен

1

2

3

4

2

Мне ничто не угрожает

1

2

3

4

3

Я нахожусь в напряжении

1

2

3

4

4

Я внутренне скован

1

2

3

4

5

Я чувствую себя свободно

1

2

3

4

6

Я расстроен

1

2

3

4

7

Меня волнуют возможные неудачи

1

2

3

4

8

Я ощущаю душевный покой

1

2

3

4

9

Я встревожен

1

2

3

4

10

Я испытываю чувство внутреннего удовлетворения

1

2

3

4

11

Я уверен в себе

1

2

3

4

12

Я нервничаю

1

2

3

4

13

Я не нахожу себе места

1

2

3

4

14

Я взвинчен

1

2

4

15

Я не чувствую скованности, напряжения

1

2

3

4

16

Я доволен

1

2

3

4

17

Я озабочен

1

2

3

4

18

Я слишком возбужден и мне не по себе

1

2

3

4

19

Мне радостно

1

2

3

4

20

Мне приятно

1

2

3

4


Суждения

№п

п

Суждение

Никогда

Почти никогда

Часто

Почти всегда

21

У меня бывает приподнятое настроение

1

2

3

4

22

Я бываю раздражительным

1

2

3

4

23

Я легко расстраиваюсь

1

2

3

4

24

Я хотел бы быть таким же удачливым, как и другие

1

2

3

4

25

Я сильно переживаю неприятности и долго не могу о них забыть

1

2

3

4

26

Я чувствую прилив сил и желание работать

1

2

3

4

27

Я спокоен, хладнокровен и собран

1

2

3

4

28

Меня тревожат возможные трудности

1

2

3

4

29

Я слишком переживаю из-за пустяков

1

2

3

4

30

Я бываю вполне счастлив

1

2

3

4

31

Я все принимаю близко к сердцу

1

2

3

4

32

Мне не хватает уверенности в себе

1

2

3

4

33

Я чувствую себя беззащитным

1

2

3

4

34

Я стараюсь избегать критических ситуаций и трудностей

1

2

3

4

35

У меня бывает хандра

1

2

3

4

36

Я бываю доволен

1

2

3

4

37

Всякие пустяки отвлекают и волнуют меня

1

2

3

4

38

Бывает, что я чувствую себя неудачником

1

2

3

4

39

Я уравновешенный человек

1

2

3

4

40

Меня охватывает беспокойство, когда я думаю о своих делах и заботах

1

2

3

4


Обработка результатов

1) Определение показателей ситуативной и личностной тревожности с помощью ключа.

2) На основе оценки уровня тревожности составление рекомендаций для коррекции поведения испытуемого.

3) Вычисление среднегруппового показателя СТ и ЛТ и их сравнительный анализ в зависимости, например, от половой принадлежности испытуемых.

При анализе результатов самооценки надо иметь в виду, что общий итоговый показатель по каждой из подшкал может находиться в диапазоне от 20 до 80 баллов. При этом, чем выше итоговый показатель, тем выше уровень тревожности (ситуативной или личностной). При интерпретации показателей можно использовать следующие ориентировочные оценки тревожности: до 30 баллов – низкая, 31 – 44 балла - умеренная; 45 и более высокая.

КЛЮЧ

СТ

Ответы

ЛТ

Ответы

№№

Никогда

Почти всегда

Почти никогда

Часто

№№

Никогда

Почти всегда

Почти никогда

Часто


СТ

ЛТ

1

4

1

3

2

21

4

3

2

1

2

4

1

3

2

22

1

2

3

4

3

1

4

2

3

23

1

2

3

4

4

1

4

2

3

24

1

2

3

4

5

4

1

3

2

25

1

2

3

4

6

1

4

2

3

26

4

3

2

1

7

1

4

2

3

27

4

3

2

1

8

4

1

3

2

28

. 1

2

3

4

9

1

4

2

3

29

1

2

3

4

10

4

1

3

2

30

4

3

2

1

11

4

1

3

2

31

1

2

3

4

12

1

4

2

3

32

1

2

3

4

13

1

4

2

3

33

1

2

3

4

14

1

4

2

3

34

1

2

3

4

15

4

1

3

2

35

1

2

3

4

16

4

1

3

2

36

4

3

2

1

17

1

4

3

37

1

2

3

4

18

1

4

2

3

38

1

2

3

4

19

4

1

3

2

39

4

3

2

1

20

4

1

3

2

40

1

2

3

4


По результатам обследования группы пишется заключение, оценивающее группу в целом по уровню ситуативной и личностной тревожности, кроме того, выделяются лица, высоко и низкотревожные.

Приложение 2

«Шкала тревожности»

(разработана по принципу «Шкалы социально-ситуативной тревожности» Кондаша (1973).)

Цель методики: с помощью данной шкалы можно выявить уровень тревожности подростков, локализованной в трех основных плоскостях: учебная деятельность (школьная тревожность), взаимоотношения со сверстниками и значимыми взрослыми (межличностная тревожность) и представление о самом себе (самооценочная тревожность).

Возрастные ограничения. Методика предназначена для работы с подростками. К настоящему моменту опубликованы тестовые нормы для учащихся 8—10-х классов (Рогов Е. И., 1996)

Необходимые материалы. Диагностический бланк содержит инструкцию и задания. В нем также указываются фамилия и имя учащегося, его возраст и дата диагностики.

Обработка результатов. По окончании тестирования подсчитывается количество совпадений с ключом по каждому разделу шкалы и по шкале в целом (школьная тревожность — вопросы 1,4, 6, 9,10, 13,16, 20, 25, 30; самооценочная тревожность — 3, 5,12, 14, 19, 22, 23, 27, 28, 29; межличностная тревожность — 2, 7, 8, 11, 15, 17, 18, 21, 24, 26). Общий показатель тревожности рассчитывается сложением результатов по отдельным шкалам.

Интерпретация результатов. Полученные по каждой шкале, а также суммарные баллы интерпретируются в качестве показателей уровня соответствующих видов тревожности, учитывая тестовые нормы.

Шкала тревожности.

Инструкция. «Ниже перечислены ситуации, с которыми вы часто встречаетесь в жизни. Некоторые из них могут быть для вас неприятными, вызывать волнение, беспокойство, тревогу, страх.

Внимательно прочитайте каждое предложение и обведите кружком одну из цифр справа: 1,2,3,4.

Если ситуация совершенно не кажется вам неприятной, обведите цифру 0. Если она немного волнует, беспокоит вас — обведите цифру 1.

Если ситуация достаточно неприятна и вызывает такое беспокойство, что вы предпочли бы избежать ее, обведите цифру 2.

Если она для вас сильно неприятна и вызывает сильное беспокойство, тревогу, страх, обведите цифру 3.

Если ситуация для вас крайне неприятна, если вы не можете перенести ее и она вызывает у вас очень сильное беспокойство, очень сильный страх — обведите цифру 4.

Ваша задача — представить себе как можно яснее каждую ситуацию и обвести кружком ту цифру, которая указывает, в какой степени эта ситуация может вызывать у вас опасение, беспокойство, тревогу или страх».

Текст методики приведен ниже.

1.   Перейти в новую школу 01234

2.   Отвечать у доски 01234

3.   Пойти в дом к незнакомым людям 01234

4.   Участвовать в соревнованиях, конкурсах 01234

5.   Разговаривать с директором школы 01234

6.   Думать о своем будущем 01234

7.   Учитель смотрит по журналу, кого бы спросить 01234

8.   Тебя критикуют, в чем-то упрекают 01234

9.   На тебя смотрят, когда ты что-нибудь делаешь 01234(наблюдают во время работы, решения задачи)

10. Пишешь контрольную работу 01234

11. После контрольной учитель называет отметки 01234

12. На тебя не обращают внимания 01234

13. У тебя что-то не получается 01234

14. Ждешь родителей с родительского собрания 01234

15. Тебе грозит неудача, провал 01234

16. Слышишь за своей спиной смех 01234

17. Сдаешь экзамены в школе 01234

18. На тебя сердятся (непонятно почему) 01234

19. Выступать перед большой аудиторией 01234

20. Предстоит важное, решающее дело 01234

21. Не понимаешь объяснений учителя 01234

22. С тобой не согласны, противоречат тебе 01234

23. Сравниваешь себя с другими 01234

24. Проверяются твои способности 01234

25. На тебя смотрят как на маленького 01234

26. На уроке учитель неожиданно задает тебе вопрос 01234

27. Замолчали, когда ты подошел (подошла) 01234

28. Оценивается твоя работа 01234

29. Думаешь о своих делах 01234

30. Тебе надо принять для себя решение 01234

31. Не можешь справиться с домашним заданием 01234

Приложение 3

 

Личностная шкала проявления тревоги

Цель теста: диагностика уровня личностной тревожности.

Дополнительная информация: методика предназначена для диагностики уровня тревожности испытуемого. Шкала была создана Дж. Тейлором. Адаптация Т. А. Немчинова. Шкала лживости, введенная В. Г. Норакидзе в 1975 г., позволяет судить о демонстративности и неискренности. Опросник состоит из 60 утверждений.

Интерпретация результатов: При оценке результатов 40-50 баллов рассматриваются как показатель очень высокого уровня тревоги, 25-40 баллов свидетельствуют о высоком уровне тревоги, 15-25 баллов - о среднем (с тенденцией к высокому) уровню, 5-15 баллов - о среднем (с тенденцией к низкому) уровню, 0-5 баллов - о низком уровне тревоги.

Шкала недостоверности диагностирует склонность давать социально желательные ответы. Если этот показатель превышает 6 баллов, то это свидетельствует о неискренности испытуемого.

Инструкция: выберите ответ "Да", если Вы согласны с утверждением, и "Нет" — если не согласны.

1.   Я могу долго работать не уставая

Да

Нет

2.   Я всегда выполняю свои обещания, не считаясь с тем, удобно мне это или нет

Да

Нет

3.   Обычно руки и ноги у меня тёплые

Да

Нет

4.   У меня редко болит голова

Да

Нет

5.   Я уверен в своих силах

Да

Нет

6.   Ожидание меня нервирует

Да

Нет

7.   Порой мне кажется, что я ни на что не годен

Да

Нет

8.   Обычно я чувствую себя вполне счастливым

Да

Нет

9.   Я не могу сосредоточиться на чём-то одном

Да

Нет

10. В детстве я всегда немедленно и безропотно выполнял всё то, что мне поручали

Да

Нет

11. Раз в месяц или чаще у меня бывает расстройство желудка

Да

Нет

12. Я часто ловлю себя на том, что меня что-то тревожит

Да

Нет

13. Я думаю, что я не более нервный, чем большинство людей

Да

Нет

14. Я не слишком застенчив

Да

Нет

15. Жизнь для меня почти всегда связана с большим напряжением

Да

Нет

16. Иногда бывает, что я говорю о вещах, в которых не разбираюсь

Да

Нет

17. Я краснею не чаще, чем другие

Да

Нет

18. Я часто расстраиваюсь из-за пустяков

Да

Нет

19. Я редко замечаю у себя сердцебиение или одышку

Да

Нет

20. Не все люди, которых я знаю, мне нравятся

Да

Нет

21. Я не могу уснуть, если меня что-то тревожит

Да

Нет

22. Обычно я спокоен и меня нелегко расстроить

Да

Нет

23. Меня часто мучают ночные кошмары

Да

Нет

24. Я склонен все принимать слишком серьёзно

Да

Нет

25. Когда я нервничаю, у меня усиливается потливость

Да

Нет

26. У меня беспокойный и прерывистый сон

Да

Нет

27. В играх я предпочитаю скорее выигрывать, чем проигрывать

Да

Нет

28. Я более чувствителен, чем большинство людей

Да

Нет

29. Бывает, что нескромные шутки и остроты вызывают у меня смех

Да

Нет

30. Я хотел бы быть так же доволен своей жизнью, как, вероятно, довольны другие

Да

Нет

31. Мой желудок сильно беспокоит меня

Да

Нет

32. Я постоянно озабочен своими материальными и служебными делами

Да

Нет

33. Я настороженно отношусь к некоторым людям, хотя знаю, что они не могут причинить мне вреда

Да

Нет

34. Мне порой кажется, что передо мной нагромождены такие трудности, которых мне не преодолеть

Да

Нет

35. Я легко прихожу в замешательство

Да

Нет

36. Временами я становлюсь настолько возбужденными, что это мешает мне заснуть

Да

Нет

37. Я предпочитаю уклоняться от конфликтов и затруднительных положений

Да

Нет

38. У меня бывают приступы тошноты и рвоты

Да

Нет

39. Я никогда не опаздывал на свидание или работу

Да

Нет

40. Временами я определенно чувствую себя бесполезным

Да

Нет

41. Иногда мне хочется выругаться

Да

Нет

42. Почти всегда я испытываю тревогу в связи с чем-либо или с кем-либо

Да

Нет

43. Меня беспокоят возможные неудачи

Да

Нет

44. Я часто боюсь, что вот-вот покраснею

Да

Нет

45. Меня нередко охватывает отчаяние

Да

Нет

46. Я — человек нервный и легко возбудимый

Да

Нет

47. Я часто замечаю, что мои руки дрожат, когда я пытаюсь что-нибудь сделать

Да

Нет

48. Я почти всегда испытываю чувство голода

Да

Нет

49. Мне не хватает уверенности в себе

Да

Нет

50. Я легко потею, даже в прохладные дни

Да

Нет

51. Я часто мечтаю о таких вещах, о которых лучше никому не рассказывать

Да

Нет

52. У меня очень редко болит живот

Да

Нет

53. Я считаю, что мне очень трудно сосредоточиться на какой-либо задаче или работе

Да

Нет

54. У меня бывают периоды такого сильною беспокойства, что я не могу долго усидеть на одном месте

Да

Нет

55. Я всегда отвечаю на письма сразу же после прочтения

Да

Нет

56. Я легко расстраиваюсь

Да

Нет

57. Практически я никогда не краснею

Да

Нет

58. У меня гораздо меньше опасений и страхов, чем у моих друзей и знакомых

Да

Нет

59. Бывает, что я откладываю на завтра то, что следует сделать сегодня

Да

Нет

60. Обычно я работаю с большим напряжением

Да

Нет

Похожие работы на - Гендерные различия тревожности в подростковом возрасте

 

Не нашли материал для своей работы?
Поможем написать уникальную работу
Без плагиата!
Без нейросетей!