Профессиональная ориентация школьников

  • Вид работы:
    Курсовая работа (т)
  • Предмет:
    Психология
  • Язык:
    Русский
    ,
    Формат файла:
    MS Word
    63,93 kb
  • Опубликовано:
    2009-10-25
Вы можете узнать стоимость помощи в написании студенческой работы.
Помощь в написании работы, которую точно примут!

Профессиональная ориентация школьников

СОДЕРЖАНИЕ

ВСТУПЛЕНИЕ

1. ТЕОРЕТИЧЕСКАЯ ЧАСТЬ

1.1. Профессиональная ориентация

1.2. Профессиональное обучение

1.3. Основные методы профориентации

1.4. Основные стратегии организации профориентационной помощи

1.5. Краткие выводы по первой части

2. ПРАКТИЧЕСКАЯ ЧАСТЬ

2.1. Анализ методик

2.2. Подготовка первичной профконсультации

2.3. Кратки выводы по второй части

ВЫВОДЫ

ЛИТЕРАТУРА

ПРИЛОЖЕНИЯ

ВСТУПЛЕНИЕ

Не секрет, что далеко не каждая работа позволяет человеку чувствовать себя полноценным членом общества (вопреки известным лозунгам о том, что "все работы хороши" и т.п.). Более того, даже в так называемых творческих профессиях, вызывающих восхищение и даже зависть окружающих, сами работники далеко не всегда чувствуют себя достойными людьми, которым есть чем гордиться. И дело не только в том, что у них не всегда получается реализовать свои сложные творческие замыслы, но и в том, что сама оценка их труда со стороны общества (и окружающих коллег) не всегда бывает справедливо. В итоге, труд, вместо того чтобы доставлять человеку радость самореализации, нередко приводит к серьезным страданиям и ощущению неудачности всей жизни.

Получается, что неудачное профессиональное (а в более широком смысле - и трудовое) самоопределение и самореализация может стать серьезной причиной многих собственно психологических, жизненных, экзистенциальных (а может даже и патопсихологических) проблем. Именно поэтому обращение к проблематике психологии труда в целом, и профессиональной ориентации и подготовки личности к трудовой деятельности в частности, становится неизбежным условием развития теории и практики всей психологии.

Объектом исследования указанной темы является профессиональная ориентация, как этап подготовки личности к будущей профессиональной деятельности.

Предметом исследования являются профессионально обусловленные явления, закономерности и механизмы взаимосвязи человека с миром профессий.

Цель работы: теоретический анализ исторических и современных подходов в методах профессиональной ориентации и подготовки личности к трудовой деятельности. Изучение практических методик диагностики направленности (предрасположенности) личности к какой-либо профессии.

Гипотеза исследования:

1. Выбор профессии напрямую зависит от личностной предрасположенности человека.

2. Профессиональная деятельность наиболее продуктивна при положительном отношении субъекта к роду своей работы.

Задания исследования:

1. Провести теоретический анализ литературы по вопросам профессиональной ориентации, как в Украине, так и за рубежом.

2. Изложить суть необходимости профессиональной ориентации и подготовки личности.

3. Привести примеры методик исследования профессиональной направленности личности.

Практическое значение: изучение возможности практического применения приведенных методик в ходе профессиональной ориентации и подготовке личности.

1. ТЕОРЕТИЧЕСКАЯ ЧАСТЬ

1.1. Профессиональная ориентация

Профессиональная ориентация — одна из первых составляющих психологии труда. Становление этой научной дисциплины и практики датируется 1908 г. — то есть датой открытия Ф. Парсонсом первого бюро по консультации молодежи. В последующие десятилетия это направление активно развивалось в США и в странах Западной Европы.

Под профессиональной ориентацией понимают «широкий, выходящий за рамки педагогики и психологии комплекс мер по оказанию помощи в выборе профессии»; под профессиональной консультацией — «индивидуально ориентированную помощь в профессиональном самоопределении».

И профориентация и профконсультация — это «ориентирование» школьника (оптанта), тогда как профессиональное самоопределение больше соотносится с «самоориентированием» учащегося, выступающего в роли субъекта самоопределения.[11]

Основные тенденции в развитии этой дисциплины: активное использование психодиагностики, наглядных средств, описаний профессий и конкретных рабочих постов, становление диалогового режима консультирования клиента как пути его самореализации в жизни в профессиональной сфере, как пути самопознания, а не только лишь ознакомления с существующими профессиями, учебными заведениями и вакансиями.

Активное развитие репертуара средств и техник работы профконсультантов во многом определилось психотерапией как особой дисциплиной и широкой практикой ее разных направлений (гештальт-психология, психодрама, роджерианская терапия, трансактный анализ, НЛП и др.). Техники и технологии психотерапии, наработанные и широко апробированные в 1960-1970-х гг., в 1980-1990-х гг. быстро и эффективно адаптируются для решения задач профессиональной ориентации людей разного возраста, как в индивидуальных, так и в групповых формах.[13]

С самого начала важным моментом профессиональной ориентации было посредничество опытного специалиста — педагога, профессионала, а позже и специалиста-психолога — в ориентации молодого человек, в огромном пространстве актуальных и востребованных профессий, доступных для овладения данным человеком с учетом его физических и психологических особенностей и внешних, объективных условий. Ближе к концу XX в. необходимость в таком периодическом посредничестве становится актуальной на каждом возрастном этапе — как вопрос профессиональной карьеры человека в широком смысле. Возрастной диапазон лиц, нуждающихся в периодической поддержке, имеет тенденцию предельно расширяться — от подросткового до пенсионного и постпенсионного возраста. В сфере искусства и в спорте к середине XX в. нормой стала ранняя специализация — с 6-8-летнего возраста.

Вторым важным условием профессиональной ориентации в это же время стали называть и психологическое сопровождение — целостный процесс изучения, формирования, развития и коррекции профессионального становления личности.[3]

Профессиональная ориентация как целостное направление, в свою очередь, также разделяется не несколько самостоятельных ветвей, направлений деятельности, отличающихся по своей методологии и методическому инструментарию: на профинформацию, профагитацию, профпросвещение, профдиагностику, профконсультацию.

Профориентация в целом — широкое по своему содержанию понятие, имеющее разные смыслы в разных национальных культурах. Например, в США ребенка с раннего возраста ориентируют на «успешную карьеру», что предполагает особое отношение ко всему, что связано с выбором в будущем людей как клиентов, с одной стороны, с другой — ответственность специалистов-консультантов.

Профессиональное и личностное самоопределение тесно взаимосвязаны. Так, например, Э. Эриксон рассматривает их как два взаимосвязанных процесса становления идентичности личности.[15] Н. С. Пряжников выделяет два принципиальных различия между ними:

• в отличие от личностного, профессиональное самоопределение более конкретно, обычно оформляется официально (диплом о профессиональном образовании, сертификат и т. п.);

• личностное самоопределение всегда более сложное явление, зависящее больше не от благоприятных внешних, а от внутренних причин (личностных особенностей, «жизненных сценариев», по Э. Берну, доминирующих в обществе ценностей и т. д.).[11]

Глубокие социально-экономические изменения, произошедшие в России в 1980-1990-х гг., затронули не только внешние условия, влияющие на представления о профессиях человека, вступающего в жизнь. Серьезно деформирована и его субъективная сфера. Были разрушены семейные традиции передачи профессии от поколения к поколению, резко упал авторитет родителей и учителей как экспертов в выборе профессиональной стези, стали размываться границы «мужских» и «женских» профессий. В 14-15 лет подростки больше прислушиваются к мнению сверстников и учителей, но меньше — к мнению родителей и родственников. С возрастом влияние окружающих резко уменьшается. Шестнадцати - семнадцатилетние проявляют достаточную самостоятельность, сознательность и активность в профессиональном самоопределении, девушки — большую активность, чем юноши. Профессиональный выбор наиболее интеллектуально развитых и личностно зрелых подростков чаще делается самостоятельно, без заметного влияния окружающих их значимых людей — родителей, родственников, учителей, друзей.[13]

Основными проблемами, препятствующими успешному решению типовых задач профориентации, остаются отсутствие единых стандартных батарей психодиагностики, недостаточное финансовое и техническое оснащение центров, недостаток опыта и квалификации их сотрудников, порою архаичность и некоординированность деятельности со стороны центральных и региональных государственных органов. В 1990-х гг. профориентация переживала общие для многих психологических дисциплин трудности. На уровне методологии господствовали эклектика, заимствование зарубежных технологий и методик, поспешные конструирования собственных, не проходящих должную психометрическую проверку тестов; на уровне методического обеспечения — неполнота; на уровне профессионализма специалистов — отсутствие опыта, психологического или педагогического образования; на уровне стратегии — отсутствие координации деятельности двух ветвей профориентационной работы в масштабе государства в целом.[8]

Тем не менее отрасль активно развивалась. В качестве примера можно привести типичный хронотоп начала XXI в. — программную часть дисциплины, оформленную Э. Ф. Зеером с сотрудниками:

Профориентология — научная дисциплина, находящаяся на стыке философии, психологии и педагогики, изучающая факты, механизмы и закономерности профессионального становления личности.

Цель профориентологии — оказание психологической и педагогической помощи при выборе профессии, в процессе карьерного роста, а также актуализация профессионально-психологического потенциала личности.

Задачи профориентологии:

1) формирование профессиеведческой компетентности: ознакомление с миром профессий, классификацией и социально-психологической характеристикой профессий, типовыми сценариями профессиональной биографии;

2) развитие профессиеведческих компетенций: коммуникативных и презентационных навыков, умений по трудоустройству и самомаркетингу, способностей в области проектирования своего карьерного роста и др.;

3) обеспечение психологически компетентного сопровождения профессиональной жизни человека с начала профессиональной дифференциации интересов и склонностей до завершения профессиональной биографии.[3]

Профориентология, как самостоятельная отрасль науки, характеризуется собственным предметом и методами исследования. Ее предметом являются профессионально обусловленные явления, закономерности и механизмы взаимосвязи человека с миром профессий.

Профессиональное становление охватывает длительный период жизни человека (35-40 лет). В течение этого времени меняются жизненные и профессиональные планы, происходит смена социальной ситуации, ведущей деятельности, перестройка структуры личности. В целостном профессиональном становлении личности выделяются семь стадий.

1. Началом данного процесса является зарождение профессионально ориентированных интересов и склонностей у детей под влиянием родственников, учителей, сюжетно-ролевых игр и учебных предметов (0-12 лет).

2. Затем следует формирование профессиональных намерений, которое завершается осознанным, желанным, а иногда и вынужденным выбором профессии. Этот период получил название оптации.

3. Следующая стадия профессиональной подготовки начинается с поступления в профессиональное учебное заведение.

4. По окончании учебного заведения наступает стадия профессиональной адаптации.

5. По мере освоения профессии личность все больше погружается в профессиональную среду. Наступает стадия первичной профессионализации и становления специалиста.

6. Дальнейшее повышение квалификации, индивидуализация технологий выполнения деятельности, выработка собственной профессиональной позиции, высокое качество и производительность труда приводят к переходу личности на второй уровень профессионализации, на котором происходит становление профессионала.

7. Часть работников, обладающих творческим потенциалом, развитой потребностью в самоосуществлении и самореализации, переходит на следующую стадию — профессионального мастерства.[3]

Формально сущность профориентации как раздела науки можно обозначить в виде превращения исходной формулы психологии труда как системы «субъект — объект» в более развернутую форму: система «субъект — объект (профессиональная деятельность — профессиональная карьера — жизненный путь — личностное развитие) — другие субъекты — социальная среда».[13]

1.2 Профессиональное обучение

На протяжении столетия профессиональная ориентация и профессиональное обучение шли рука об руку, ориентируясь, прежде всего на лиц подросткового возраста, исходя из посылки «обучение и профессия — на всю жизнь». Изменение государственного устройства России и Украины, структурные изменения в экономике, появление института безработных в начале 1990-х гг. внесли серьезные коррективы в ранее сложившуюся практику. Часть задач профессионального обучения по-прежнему решается в традиционных формах среднего и высшего профессионального образования, часть — в системе региональной службы занятости, часть — в системе краткосрочной подготовки и переподготовки, в том числе на базе первого высшего образования, часть — в системе корпоративного обучения. Изменяется сама концепция профессионального образования: «от образования — на всю жизнь, к образованию через всю жизнь». Ключевым моментом профессионального обучения выступает посредничество опытного наставника в овладении субъектом определенной профессией.

К концу XX в. необходимость такого посредничества в профессиональном становлении субъекта квалифицированного труда становится актуальной уже неоднократно на протяжении профессиональной карьеры человека.

Соответственно, все более увеличивается и число необходимых специалистов-посредников, специализирующихся в разных предметных областях, спектр которых также постоянно расширяется. Профессиональное развитие работника уже немыслимо без его личностного развития, его развития как индивидуальности, без разработки новых средств, форм, методов обучения. В связи с расширением возрастных границ обучающихся актуализируется роль новых педагогических дисциплин — андрологии, андрогогики, акмеологии.[1]

В середине 1980-х гг. в отечественной истории развития психологической проблематики в сфере профессионального обучения 3. А. Решетова выделяла три периода:

• первый (1920-1930-е гг.) — «психотехнический»;

• второй (конец 1930-х — середина 1950-х гг.) — «становление концепций»;

• третий (середина 1950-х — 1970-е гг.) — «развитие концепций».[12]

• четвертый (1980-е - начало 1990-х гг.) — «деятельностный подход»;

• пятый (1990-е гг.) — «период смятения и заимствования»;

• шестой (с конца 1990-х гг.) — восстановление отечественных на­учных школ.[13]

Первоначально психологические проблемы профессионального обучения заявили о себе в 1920-х гг. и решались в рамках психотехники. Рассматривая в едином ключе задачи профотбора, профконсультации и профессионального обучения, определяющими для психотехников были пути и способы изучения профессий и разработки «психограмм». Профессии дробились на отдельные операции, диктуемые сложившейся технологией труда. Составлялись «операциограммы», и для каждой из операций выявлялись характерные психологические и психофизиологические функции и степень их актуализации (например, ощущения, восприятия внимания, специфики эмоционального тона и т. п.). В обобщающей профессиограмме выделялись «профессионально важные признаки» и соответствующие требования профессии к человеку (например, способность выдерживать принудительный темп, ритм, однообразие работы, эмоциональная устойчивость и т. п.).

Разрабатываемые тесты и диагностика «профессионально важных признаков» больше служили не задачам их развития в процессе обучения, а задачам отбора и профконсулътации. Тренировке подлежали не психологические и психофизиологические функции, а «установки» — состояния предрасположенности к определенным рабочим движениям. Психофизиологические состояния человека в труде игнорировались. Наиболее ценным и объективным материалом считались движения, которые можно измерять и оценивать.[12]

В начале 1930-х гг. (первый этап) в связи с индустриализацией экономики, и расширением потребности в квалифицированной рабочей силе, с одной стороны, и развитием психологии как науки, с другой стороны, стало изменяться отношение к профессиональному образованию и подготовке рабочих кадров. Невозможность удовлетворить потребности производства в квалифицированных работниках за счет отбора выдвинула на первый план задачи обучения, ориентированного на формирование «политехнических навыков» и на развитие личности работника. Задачами становятся формирование качеств, определяющих лабильность профессионального поведения, эффекты переноса навыка, «соупражняемость» и «сопряженное развитие» профессионально важных качеств, а также создание условий, способствующих развитию качеств и личности работника. Л. С. Выготский, С.Л. Рубинштейн подвергают жесткой критике механистические представления о сущности обучения, присущие психотехнике. Большое значение в преодолении механистических представлений о природе рабочих движений сыграли исследования Н.А. Бернштейна по физиологии движений.[7]

Во второй период, с 1930-х по 1950-е гг., произошло свертывание психотехнических подходов и коренное изменение методологии отечественной психологии. В области психологии труда главными проблемами стали: профессиональное мастерство, закономерности формирования и совершенствования трудовых умений и навыков, их изменение в новых условиях деятельности, характер возникающих затруднений, обобщения и переноса навыков, динамика формирования профессиональных способностей, вопросы политехнического обучения, форм производственного обучения и др. В это время изучаются:

• влияние профессиональной деятельности на формирование сенсорных способностей рабочих (цветоразличения, процеприоцептивной и кинестетической чувствительности, вкусовой, высотной и звукочастотной чувствительности и т. д.);

• влияние «практического интеллекта», влияние мотивации на предметное содержание деятельности;

• вопросы свертывания действия и смены ведущего типа афферентации, например переход от зрительной к кинестетической;

• вопросы «кривой упражнения», эффекты плато.

В качестве методологических оснований исследований выступает принцип единства сознания и деятельности.

В третий период (1950-1970-е гг.) в отечественной психологии С.Л. Рубинштейн, А.Н. Леонтьев, П.Я. Гальперин и другие активно разрабатывают проблему сущности психического и психического отражения, не сводимого к физиологическим механизмам, механизмов порождения психики, «единиц» психического. Детерминанты порождения психического усматриваются не в физиологических механизмах, а в «предметных» условиях жизни и деятельности человека. Решающим считается характер ориентировки человека в этих условиях. Соответственно, доминирующей проблематикой становятся вопросы «ориентировочной основы деятельности» и поэтапного формирования умственной деятельности (П.Я. Гальперин), психического образа (В.П. Зинченко и др.). Активно обсуждается тема «проблемного обучения» (В.В. Давыдов, Н.Ф. Талызина и др.).

В этот период в отечественной инженерной психологии разворачиваются исследования сравнительных характеристик решения задач машиной и человеком, характера ошибок, условий надежности, помехоустойчивости, пропускной способности каналов приема и скорости переработки информации оператором и т. п. В психологии труда изучается содержание новых профессий (диспетчера, наладчика, ткачихи, летчика и др.) с целью разработки вопросов эффективного обучения. Изучаются феномены творческой личности, высокого профессионализма, технического мышления, оперативного мышления, взаимосвязи теоретического обучения и практической деятельности. Методологической основой многих практических разработок, как правило, выступает теория деятельности А. Н. Леонтьева.

В четвертый период (1980-е - начало 1990-х гг.) в русле деятельностного подхода разрабатывается широкий спектр вопросов образа и структуры профессиональной деятельности, профессиональных способностей, профессионально важных качеств, микро- и макрогенетические аспекты развития профессионального мышления, профессиональной надежности и др. в связи с проблемой профессиональной подготовки субъектов.[13] Методологической основой многих практических разработок наряду с теорией деятельности А.Н. Леонтьева выступает теория функциональных систем П.К. Анохина. Предметом исследования становятся как вопросы онтогенеза и микрогенеза перцептивной деятельности, микроструктуры когнитивных процессов на одном полюсе, так и тема профессиональных личностных образований — профессионального самосознания, профессиональной картины мира, профессионального самоопределения и др. Изучаются психологические основы индивидуального подхода к учащимся в процессе производственного обучения.[6]

В 1990-е гг. (пятый этап) фактически свертываются все серьезные разработки в области профессионального обучения и образования. Условно эту фазу можно назвать «периодом смятения и заимствования»: утрачиваются позиции отечественных научных школ, происходит стихийное заимствование зарубежных психотехнологий. Последовательные и научно обоснованные программы нередко заменяются тренингами. В зоне активного внимания остается, пожалуй, только подготовка менеджеров низового и среднего звена управления.

Шестой этап можно датировать концом 1990-х гг. Восстанавливаются позиции отечественных научных школ, творчески усваиваются разные зарубежные концепции, активно разрабатываются новые принципы и подходы к профессиональному образованию — как к личностно ориентированному, развивающему потенциал человека и метапрофессиональные качества, реализующему его потребности в самоосуществлении, самоактуализации и т.п. В качестве основных принципов новой образовательной парадигмы называются:

• развитие личности обучаемого;

• формирование компетентностей, компетенций и социально значимых качеств обучаемого как личности, способной к самоопределению, саморегуляции и самоактуализации;

• учет индивидуально-психологических особенностей учащихся, их потребностей в самореализации;

• преемственность всех уровней образования (общего, начального, среднего специального и высшего);

• адекватность уровней образования и культуры, обеспечиваемая вариативными и личностно ориентированными технологиями и др.[2]

Приоритетами профессионального образования нового типа выступают:

• развитие новых стандартов образования;

• компетентностный подход как основа проектирования нового содержания образования и новых образовательных технологий;

• формирование межкультурной (интеркультурной) компетентности; обеспечение непрерывного образования;

• воспитание социальной компетентности;

• инициирование самоактуализации и самоопределения обучающихся в процессе обучения, их подготовка к свободному выбору альтернативных сценариев жизнедеятельности.[2]

Новой составляющей профессионального образования признаются этические проблемы деятельности профессионала, экологическое мышление профессионала, тема профессионального долголетия.

Важным условием эффективности образовательного процесса становится мониторинг знаний и потребностей обучающихся.

Формально сущность профессионального обучения можно обозначить как превращение исходной формулы психологии труда — системы «субъект — объект» в специфическую развернутую форму: система «субъект — субъект-предмет и средства труда (другие субъекты — социальная среда — объект труда — объектные условия — предмет и средства труда — предмет и средства обучения) — профессиональное развитие — личностное развитие».[13]

1.3 Основные методы профориентации

Обычно при рассмотрении практической методики выделяют:

1) имитационную модель, где отражается смысл и содержание методики;

2) психотехническую модель, где отражены условия использования методики, а в хорошо описанных методиках и возможные трудности при ее проведении. Имитационная и психотехническая модели относятся к методике как к «внешнему средству», представленному в различных книгах и метадических пособиях. Чтобы методика работала, необходим подготовленный для ее использования специалист, разбирающийся в смоделированных в методике проблемах (владеющий имитационной моделью) и умеющий провести ее практически (владеющий психотехнической моделью). Все это относят к методике как к «внутреннему средству работы психолога».

Как отмечает Е. А. Климов, методика — это как минимум совокупность внешних и внутренних средств профессиональной деятельности психолога.[5] Иногда бывает так, что психолог хорошо разбирается в проблематике, но не умеет работать подобными процедурами практически. И тогда использовав методики будет менее эффективным.

При прогнозировании эффективности методики важно еще учесть, насколько предполагаемые учащиеся (клиенты) готовы воспринять смоделированные проблемы и участвовать в данных процедурах. Важно учитывать и приемлемость рассмотрения этих проблем в данном учреждении (например, нет ли противодействия со стороны администрации и коллег), а также приемлемость использования процедуры методики (например, в некоторых школах администрация иногда заявляет: «Нашим школьникам тесты уже надоели»). В подобных ситуациях профконсультанту нужно либо постараться «просветить-переубедить» администрацию, что далеко не всегда получается, либо, прекрасно понимая необходимость тестирования или использования игровых методов, работать с этими методами как-то «полуподпольно», чтоб не сталкиваться с открытым противодействием влиятельных в школе лиц. Тем более что сам психолог (как специалист с высшим образованием) в немалой степени отвечает за то, как и с помощью каких методов он работает.[11]

Ниже представлены основные группы методов профориентации, составленные в соответствии с выделенными ранее основными целями профориентационной помощи.

Информационно-справочные, просветительские методы:

o   профессиограммы — краткие описания профессий (проблема в том, что традиционные профессиограммы с трудом «воспринимаются» многими школьниками, поэтому важно искать более компактные и понятные формы описания профессий);

o   справочная литература (при условии достоверности такой справочной информации);

o   информационно-поисковые системы — ИПС (для оптимизации поиска профессий, учебных заведений и мест работы): «ручные» варианты ИПС (например, карточные, бланковые, в виде картотек и т.п.), компьютеризированные ИПС (банки информации в ЭВМ);

o   профессиональная реклама и агитация (при условии достоверности, оперативности и привлекательности для тех, кому такая реклама предназначена);

o   экскурсии школьников на предприятия и в учебные заведения (при условии заблаговременного подбора и подготовки квалифицированных ведущих и экскурсоводов);

o   встречи школьников со специалистами по различным профессиям (при условии специального отбора и психолого-педагогической подготовки таких специалистов по профессии);

o   познавательные и просветительские лекции о путях решения проблем самоопределения;

o   профориентационные уроки со школьниками как система занятий (а не как отдельные «мероприятия»);

o   учебные фильмы и видеофильмы (на сегодняшний день очень проблематично для нашей страны, так как показывать почти нечего);

o   использование средств массовой информации (СМИ) может быть достаточно эффективным, но при обязательном учете их специфики (специфического жанра общения с телеаудиторией, требующего не только динамичного изложения существа вопроса, но и умения «производить впечатление» на самую разную аудиторию, а также неизбежность сокращения «объема» профессиографической информации и спокойного отношения к разного рода «редакторским правкам» и «цензуре»);

o   различные «ярмарки профессий» и их модификации, уже показавшие свою эффективность в профориентационной помощи не только безработным, но и выпускникам школ.[10]

Методы профессиональной психодиагностики (в идеале — помощь в самопознании):

o   беседы-интервью закрытого типа (по строго обозначенным вопросам);

o   открытые беседы-интервью (с возможностью некоторого отвлечения от заранее заготовленных вопросов; опытные профконсультанты считают, что такие беседы дают о клиенте информации больше, чем традиционное тестирование);

o   опросники профессиональной мотивации (специалисты считают, что для клиентов, выбирающих массовые профессии, т. е. для большинства, это более важная диагностика, чем определение способностей к профессии);

o   опросники профессиональных способностей (требуется очень избирательное их использование и особая подготовка профконсультанта при интерпретации результатов; эти опросники оправдывают себя применительно к профессиям с особыми условиями труда; для большинства же профессий «профпригодность формирмируется в самой трудовой деятельности» — по Е. А. Климову[5]);

o   «личностные» опросники (для их использования требуется особая подготовка профконсультантов, понимание смысла и ограничений применения такого типа опросников в профконсультации. По-настоящему личность нельзя «просчитать», настоящий личностный тест — это поступок человека в ответственные моменты жизни (например, на «референдумах» при «голосованиях», когда испытывается способность противостоять изощренной пропаганде); иногда о человеке можно многое сказать и по его поведению в общественном транспорте; таким образом, получается, что тест на «личность» — это, с одной стороны, поступок глобального масштаба, но, с другой стороны это проявление своей нравственной позиции в «мелочах» жизни так что очень сложно оценить личность в обыденном, «усредненном» режиме жизни;

o   проективные личностные тесты (требуется особая подготов профконсультанта для их использования);

o   метод наблюдения — это «один из основных научно-практических методов работы психолога» — по Е. А. Климову (при условии владения этим методом, т. е. выделения четкого объекта и параметров наблюдения, способов наблюдения и фиксации результатов, способов интерпретации результатов и др.);

o   сбор косвенной информации о клиенте от знакомых, от родителей и товарищей, от педагогов и других специалистов (при условии тактичности и этической корректности такого опроса);

o   психофизиологические обследования (в широкой практике имеет смысл для профессий с особыми условиями труда, а в специальных исследованиях могут быть использованы для самых разных видов трудовой деятельности);

o   «профессиональные пробы» в специально организованном процессе по типу «Р-теста» японского профессора Фукуя;

o   использование различных игровых и тренинговых ситуаций, где моделируются различные аспекты профессиональной деятельности, что позволяет строить прогнозы относительно будущего профессионального поведения участников этих процедур;

o   исследование и наблюдение за клиентом непосредственно в трудовой деятельности (например, в случаях, когда человека берут на работу с «испытательным сроком»);

o   использование различных тренажеров, где не только отрабатываются трудовые навыки, но и изучается и прогнозируется сама готовность осваивать новые профессиональные действия.[10]

Методы морально-эмоциональной поддержки клиентов:

o   группы общения (в профориентации чаще используются для создания благоприятной атмосферы взаимодействия, но не для решения собственно профконсультационных проблем); своеобразным развитием подобных групп применительно к профориентационной проблематике стали «Клубы ищущих работу» и их всевозможные модификации, где на фоне благоприятной психологической атмосферы удается более эффективно рассматривать и собственно профориентационные вопросы;

o   тренинги общения (иногда позволяют клиентам освоить некоторые коммуникативные навыки поведения при приеме на работу, на экзаменах и при различных деловых контактах);

o   сложные методы индивидуальной и групповой психотерапии (НЛП, гештальт-группы, логотерапия и др.); иногда они позволяют клиенту лучше осознать смысл выбираемой деятельности или смысл самого процесса самостоятельного решения проблем, связанных с самоопределением; требуют особой подготовки профконсультанта;

o   «пламенные» публичные выступления, несмотря на некоторое ироничное к ним отношение, при умелом использовании могут сформировать серьезную мотивационную основу самоопределения у ряда клиентов, но в других случаях могут стать и сильным манипуляционным средством для доверчивых клиентов;

o   профориентационные и профконсультационные активизирующие методы (игры) с элементами психотренинга;

o   различные положительные (успешные) примеры самоопределения, на которые может ссылаться профконсультант для повышения уверенности клиента в принципиальной возможности разрешения своих проблем;

o   «праздники труда», повышающие престиж конкретных профессий (естественно, при умелой организации и учете специфики той аудитории, для которой такой праздник организуется, т. е. чтобы это был праздник с буфетами и развлечениями, а не «торжественное заорганизованное мероприятие»).[10]

Методы оказания помощи в конкретном выборе и принятии решений:

o   построение «цепочки» основных ходов (последовательных действий), обеспечивающих реализацию намеченных целей и перспектив, которые позволяет наглядно (на листочке) представить возможные жизненные перспективы самоопределяющегося человека;

o   построение системы различных вариантов действий клиента в виде своеобразных «деревьев» и «ветвей»), ведущих к определенной цели, позволяющих выделить наиболее оптимальные варианты перспектив;

o   использование различных схем альтернативного выбора из имеющихся вариантов выбора профессии, учебного заведения специальности в конкретном заведении (обычно используются на заключительных этапах консультации).[10]

Почти любая методика и форма работы обладает определенным активизирующим потенциалом. Проблема лишь в том, чтобы определить и использовать этот потенциал. Например, даже такая традиционно «неактивная» форма работы, как лекция, может оказаться более активизирующей, чем иная психотерапевтическая группа (если лекция проводится с умелым сочетанием вербальных и невербальных средств, по умело выстроенной и понятной логике изложения, а также при расчете на подготовленную аудиторию).

Другой пример — беседа. При умелой организации, а так при внутренней готовности участников (уже созданной мотивации и т. п.) беседа позволяет моделировать в воображении такие проблемы, которые невозможно проиграть в традиционных игровых процедурах. Заметим, что именно в беседе удается добиться максимального уровня условности, вымышлено-воображаемого действия. В частности, беседа позволяет проигрывать в воображении разные варианты построения жизни клиента и выхода на достаточно высокий уровень интуиции и прогнозирования. К сожалению, к такой работе готовы далеко не все клиенты и профконсультанты, часто ориентируясь лишь на «конкретную» помощь в конкретной (однозначной) ситуации.

И все-таки существуют методы, у которых активизирующий потенциал по сравнению с другими методиками представлен в более доступном и понятном для многих психологов и их клиентов виде. Такие методы и называются собственно активизирующими.[4]

1.4 Основные стратегии организации профориентационной помощи

Традиционно выделяют две основные стратегии (подходы) в профессиональном самоопределении: диагностическую (диагностико-рекомендательную) и развивающую. Но можно представит и несколько дифференцированные направления работы, разбив их условно на две группы: допустимые подходы и недопустимые (нежелательные) подходы.

Допустимые стратегии:

o   тестологическая (в основе — стандартизированные испытания профпригодности);

o   информационно-просветительская (главная идея — вооружить клиента необходимой информацией, а там уж он «сам разберется»);

o   рационалистическая. Предполагается, что профессиональный выбор и вообще самоопределение можно «рационально просчитать». Наиболее популярны сейчас разработка и использование компьютерных методов при принятии решения, что вполне обосновано при условии рассмотрения компьютера только как вспомогательного средства;

o   «глубинная», психоаналитическая стратегия, основанная на выявлении «внутренних» стремлений самоопределяющегося человека и направление этих стремлений в позитивное русло;

o   «гуманистическая-психотерапевтическая», основанная на положительном отношении к уникальности и целостности самоопределяющегося человека. При всей привлекательности и эффективности многих психотерапевтических процедур следует признать что гуманистические психологи «недооценивают роль социума в формировании личности» (по Б. В. Зейгарник), хотя самоопределяется человек именно в пространстве общества и культуры. К сожалению, многие клиенты-пациенты, у которых «осуществился личностный рост» на занятиях в психотерапевтических группах (о чем они любят радостно сообщать со странными улыбочками), часто неспособны понять, что происходит в окружающем мире;

o   организационно-управленческая. В основе — реально работающая система профориентации, предполагающая взаимодействие самых разных социальных институтов: школы, психологических центров, общественных организаций, предприятий, учебных заведений и т.п., что, конечно же, облегчает работу конкретного профконсультанта;

o   «частичные услуги», предполагающие ограниченную помощь, например только профдиагностика или только профинформирование, или помощь в принятии решения. Многие профконсультанты вынужденно работают в режиме «частичных услуг», так как не всегда возможно оказать полноценную помощь;

o   идеологическая (воспитательная, мировоззренческая). В основе — предположение о том, что на жизненные выборы оказывают сильное влияние господствующие в обществе идеи. Например, идея «служения царю и отечеству» в дореволюционной России, или идеи «индустриализации», «освоения целины» и т. п. в советские периоды истории страны. Очень интересно понять, какие идеи господствуют в обществе сейчас (возможно, для каких-то масс людей это идея «накопительства любыми путями» или идея «поскорее и подальше уехать из этой страны», а для каких-то людей — это стремление не потерять совесть в такой сложной ситуации). К сожалению, все это мало исследовано, но, может быть, это самое главное в профессиональном и личностном самоопределении;

o   «принудительная». Подобная стратегия — для особых случаев, Например: при выборе рода войск для призывника, при распределении работ среди заключенных. В ряде случаев это выбор профессии и места работы, которые явно не соответствуют высокой квалификации безработного в условиях развала производства. На первый план здесь выходит помощь в обретении смысла даже в случае самого непривлекательного и даже унизительного выбора;

o   активизирующая стратегия, в основе которой лежит реальное взаимодействие с клиентом и выведение его на уровень субъекта построения своей жизни. Важным условием такой стратегии является активная, творческая позиция самого профконсультанта, поскольку клиент и консультант фактически образуют единую систему и в каком-то смысле стремятся к тому, чтобы стать одним субъектом решения профконсультационной проблемы.

Нежелательные стратегии:

o   стратегия «обмана». В консультационной практике нередко возникает проблема, кого «обманывать» — клиента или начальника-заказчика (оба обязывают психолога работать определенным образом и строго наказывают за иные варианты работы). Если удается переубедить (или «просветить») заказчика или администратора, то лучше делать все так, как подсказывает совесть и квалификация, а в отчетах рапортовать, что работа выполнена «как положено». Опыт показывает, что при некотором навыке это вполне достижимо. Опыт также показывает, что начальство иногда догадывается о «хитрости» психолога, но не наказывает его так как он соблюдает «правила игры» и не стремится публично доказывать, что начальство ведет себя неправильно и некорректно;

o   стратегии «самообмана». Здесь психолог оказывает непосредственную помощь или просто «манипулирует» клиентом (и иногда даже понимает это), но находит оправдание такой работе. Часто основой такого оправдания является «полное удовлетворение»: пациентов, которые несут психологу-манипулятору цветы, восторжено рассказывают о нем своим знакомым и т. п.[14]

1.5 Краткие выводы по первой части

В профориентации традиционно выделяются следующие подразделения: профинформация, профагитация, профпросвещение, профдиагностика (профотбор, профподбор) и профконсультация. Профориентация — очень объемное понятие, она предполагает широкий, выходящий за рамки не только педагогики, а и психологии, комплекс мер по оказанию помощи в выборе профессии, куда входит и профконсультация как индивидуально профориентированная помощь в профессиональном самоопределение личности.

И профориентация и профконсультация — это «ориентирование» школьника (оптанта), тогда как профессиональное самоопределение больше соотносится с «самоориентированием» учащегося, выступающего в роли субъекта самоопределения.

И задача практикующего психолога, работающего в сфере психологии труда, как раз и найти тот консенсус между самоопределением личности и результатами ее профдиагностики.

2. ПРАКТИЧЕСКАЯ ЧАСТЬ

2.1. Анализ методик

Методика №1

ПРОФЕССИОНАЛЬНАЯ МОТИВАЦИЯ УЧАЩЕГОСЯ

Вводные замечания. Под мотивацией традиционно понимаются побуждения, вызывающие активность и определяющие ее направленность. Мотивация, обусловливая поведение и деятельность, оказывает влияние на профессиональное самоопределение, на удовлетворенность человека своим трудом. Профессиональная мотивация — это действие конкретных побуждений, которые обусловливают выбор профессии и продолжительное выполнение обязанностей, связанных с этой профессией. Профессиональная мотивация формируется у молодежи под влиянием факторов окружающей действительности, работы по профессиональной ориентации, проводимой к школе или в соответствующих центрах профориентации.

Профессиональная ориентация динамична, изменчива и представляет собой непрерывный процесс, протекающий под постоянным воздействием объективных и субъективных факторов. Структуру профессиональных мотивов можно выявлять на разных этапах становления (развития) професси­онала: на этапе выбора профессии или специальности (взвешиваются все плюсы и минусы предлагаемой работы); в процессе работы по избранной специальности; при смене рабочего места (переход с одной работы на дру­гую).

Профессиональная мотивация формируется в результате целенаправленной деятельности школы, вуза и коллективов, в которых приходится работать выпускникам школ, вузов и других учебных заведений. При рассмотрении проблем, связанных с профессиональной мотивацией, вопрос о влиянии мотивации на успешность деятельности является одним из основных. Общепризнано, что от выраженности профессиональных мотивов зависит эффективность деятельности.

Цель занятия. Изучение мотивов профессиональной деятельности.

Оснащение. Опросник на выявление ведущих мотивов профессиональной деятельности (прил. 1) и лист для ответов (форма 1).

Порядок работы. Обследование может проводиться как индивидуально, так и в группе. Испытуемым раздают бланки для ответов и зачитывают инструкцию: «Предлагаемый опросник состоит из ряда утверждений, каждое из которых имеет три различных окончания. Необходимо из трех вариантов окончания выбрать наиболее верный. Далее в бланке ответов следует отыскать соответствующий ответ и отметить его, обведя кружком. Будьте внимательны: для каждого утверждения должен быть выбран и помечен только один ответ. Отвечая на вопросы, не стремитесь произвести заведомо приятное впечатление. Нам важен не конкретный ответ, а суммарный балл по серии вопросов».

Обработка результатов. Методика предназначена для изучения мотивов профессиональной деятельности. Среди них условно выделены четыре основные группы:

1 — мотивы собственного труда,

2 — мотивы социальной значимости труда,

3 — мотивы самоутверждения в труде,

4 — мотивы профессионального мастерства.

После заполнения бланка ответов подсчитывается сумма кружков в каждом столбике. Вначале находится абсолютная сумма баллов по каждой из четырех групп мотивов. Для этого складывается отдельно сумма всех столбиков: 1.1, 1.2, 1.3, 1.4, 1.5, 1.6; 2.1... 2.6 и т. д. Однако в различных группах мотивов выделено неодинаковое количество. Для их сравнения абсолютные суммы баллов первой и второй групп необходимо умножить на 2, а третьей и четвертой на 3. Полученные суммы имеют одинаковый «вес» баллов и могут сравниваться друг с другом.[9]

Методика №2

СФЕРА ПРОФЕССИОНАЛЬНЫХ ПРЕДПОЧТЕНИЙ УЧАЩИХСЯ

Вводные замечания. В целях профессионального самоопределения для изучения профессиональных интересов и склонностей учащихся чаще всего используется дифференциально-диагностический опросник (ДДО), разработанный под руководством Е. А. Климова сотрудниками ВНИИ профтехобразования. По классификации Е. А. Климова все профессии делятся на пять типов: «человек—природа», «человек—техника», «человек—человек», «человек — знаковая система», «человек — художественный образ».

Методика ДДО известна и широко используется в практике профессиональной ориентации. Для аналогичных целей может быть предложена методика Йовайши, модифицированная в Хабаровском краевом центре занятости населения. Данная методика применяется для оценки склонностей оптантов к различным сферам профессиональной деятельности. По этой методике все профессии можно отнести к следующим шести типам.

1. Сфера искусства «человек — художественный образ».

2. Сфера технических интересов «человек — техника».

3. Сфера работы с людьми «человек — человек».

4. Сфера умственного труда склонность к умственной деятельности.

5. Сфера физического труда склонность к подвижной (физической) деятельности.

6. Сфера материальных интересов производство и потребление материаль­ных благ.

Цель занятия. Изучение склонностей к различным сферам профессиональной деятельности.

Оснащение. Модифицированный вариант опросника Йовайши (см. прил. 2) и лист для ответов (форма 2).

Порядок работы. Ответный лист можно заполнять индивидуально или в группе.

Инструкция: «Вам будет предложен перечень положений или вопросов, имеющих два варианта ответа. Определите, какому из вариантов вы отдаете предпочтение, и зафиксируйте это в бланке для ответов.

Если вы полностью согласны с вариантом "а" и не согласны с вариантом "б", то в клетку с цифрой, соответствующей номеру вопроса или утверждения, и буквой "а" поставьте 3, а в клетку "б" — 0.

Если вы не согласны как с вариантом "а", так и с вариантом "б", то выберите из них наиболее предпочтительный для вас и оцените его в 2 балла, менее предпочтительный вариант оценивается в 1 балл.

Отвечайте на вопросы, не пропуская ни одного из них».

Обработка результатов. В заполненном листе ответов в каждом столбце подсчитывается количество баллов. Результаты записываются под каждым столбцом, который соответствует определенной сфере профессиональных интересов:

1-й столбец — сфера искусства: 1а, 5б, 8а, 10а, 11б, 17а, 21а, 23а, 24б, 28а;

2-й столбец — сфера технических интересов: 1б, 3б, 6а, 8б, 12а, 14а, 15б, 25а, 26а, 29б;

3-й столбец — сфера работы с людьми: 2а, 4а, 6б, 9а, 12б, 16а, 17б, 19б, 23б, 28б;

4-й столбец — сфера умственного труда: 4б, 7а, 10б, 13а, 14б, 18а, 20а, 21б, 26б, 30а;

5-й столбец — сфера физического труда: 2б, 5а, 13б, 15а, 18б, 20б, 22а, 24а, 25б, 27а;

6-й столбец — сфера материальных интересов: 3а, 7б, 9б, 11а, 16б, 19а, 22б, 27б, 29а, 30б.

Анализируя полученные данные, необходимо выделить столбцы, содержащие наибольшее количество баллов, и эти сферы деятельности можно считать предпочитаемыми оптантом. Столбцы, содержащие наименьшее количество баллов, отражают сферы деятельности, отвергаемые оптантом.[9]

ОЦЕНКА КОММУНИКАТИВНЫХ И ОРГАНИЗАТОРСКИХ СКЛОННОСТЕЙ В ПРОЦЕССЕ ПЕРВИЧНОЙ ПРОФКОНСУЛЬТАЦИИ

Вводные замечания. Для оценки потенциальных возможностей личности, ее способностей на этапах первичной профконсультации тщательно анализируются данные анкеты оптанта, разделы, касающиеся успешности обучения, опыта и успехов во внеучебной и внешкольной деятельности, а также используется анкета для оценки коммуникативных и организаторских склонностей (КОС), предложенная Б.А. Федоришиным. (Методы, рассмотренные в двух предыдущих заданиях, рассчитаны в основном на диагностику направленности личности, ее мотивов, интересов, т.е. так называемой «сфе­ры хочу». Однако для профессиональной ориентации не меньшее значение имеет «сфера могу», т.е. способности, потенциальные возможности личности.)

Коммуникативность как черта характера развивается на основе общительности, которая, закрепляясь в поведении, является предпосылкой для формирования таких качеств личности, как направленность на общение, интерес к людям, социальная перцепция, рефлексия, эмпатия. Все эти качества можно считать необходимыми для работы в сфере профессии «человек — человек», а также в других сферах, где работа связана с руководством и общением. Не менее важны и организаторские склонности, которые проявляются в способности к самостоятельному принятию решений, особенно в сложных ситуациях, в инициативности в деятельности и общении, в планировании деятельности.

Цель занятия. Оценка коммуникативных и организаторских склонностей.

Оснащение. Вопросник КОС и лист для ответов (см. прил. 3 и 4).

Порядок работы. Эксперимент может проводиться как индивидуально, так и в группе. Испытуемым раздают бланки для ответов и зачитывают инструкцию: «Вам нужно ответить на все предложенные вопросы. Свободно выражайте свое мнение по каждому вопросу и отвечайте так: если ваш ответ на вопрос положителен (вы согласны), то в соответствующей клетке листа ответов поставьте плюс, если же ваш ответ отрицателен (вы не согласны) — поставьте минус. Следите, чтобы номер вопроса и номер клетки, куда вы запишете свой ответ, совпадали. Имейте в виду, что вопросы носят общий характер и не могут содержать всех необходимых подробностей. Поэтому представьте себе типичные ситуации и не задумывайтесь над деталями. Не следует тратить много времени на обдумывание, отвечайте быстро. Возможно, на некоторые вопросы вам будет трудно ответить. Тогда постарайтесь дать тот ответ, который вы считаете предпочтительным. При ответе на любой из этих вопросов обращайте внимание на его первые слова. Ваш ответ должен быть точно согласован с ними. Отвечая на вопросы, не стремитесь произвести заведомо приятное впечатление. Нам важен не конкретный ответ, а суммарный балл по серии вопросов».

Обработка результатов

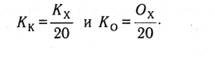
1. Сопоставить ответы испытуемого с дешифратором (см. прил. 5) и подсчитать количество совпадений отдельно по коммуникативным и организаторским склонностям.


2. Вычислить оценочные коэффициенты коммуникативных (Кк) и организаторских (Ко) склонностей как отношения количества совпадающих ответов по коммуникативным склонностям (Кх) и организаторским склонностям (Ох) к максимально возможному числу совпадений (20), по формулам:

Для качественной оценки результатов необходимо сопоставить полученные коэффициенты со шкальными оценками (табл. 1).

При анализе полученных результатов необходимо учитывать следующие параметры:

1.Испытуемые, получившие оценку 1, характеризуются низким уровнем проявления коммуникативных и организаторских склонностей.

2.Испытуемым, получившим оценку 2, коммуникативные и организаторские склонности присущи на уровне ниже среднего. Они не стремятся к общению, чувствуют себя скованно в новой компании, кол­лективе, предпочитают проводить время наедине с собой, ограничивают свои знакомства, испытывают трудности в установлении контактов с людь­ми и в выступлении перед аудиторией, плохо ориентируются в незнакомой ситуации, не отстаивают свое мнение, тяжело переживают обиды, проявле­ние инициативы в общественной деятельности крайне занижено, во многих делах они предпочитают избегать принятия самостоятельных решений.

3. Для испытуемых, получивших оценку 3, характерен средний уровень проявления коммуникативных и организаторских склонностей. Они стремятся к контактам с людьми, не ограничивают круг своих знакомств, отстаивают свое мнение, планируют свою работу, однако потенциал их склонностей не отличается высокой устойчивостью. Эта группа испытуемых нуждается в дальнейшей серьезной и планомерной воспитательной работе по формированию и развитию коммуникативных и организаторских склонностей.

4.Испытуемые, получившие оценку 4, относятся к группе с высоким уровнем проявления коммуникативных и организаторских склонностей. Они не теряются в новой обстановке, быстро находят друзей, постоянно стремятся расширить круг своих знакомых, занимаются общественной деятельностью, помогают близким, друзьям, проявляют инициативу в общении, с удовольствием принимают участие в организации общественных мероприятий, способны принять самостоятельное решение в трудной ситуации. Все это они делают не по принуждению, а согласно внутренним устремлениям.

5.Испытуемые, получившие высшую оценку 5, обладают очень высоким уровнем проявления коммуникативности и организаторских склонностей. Они испытывают потребность в коммуникативной и организаторской деятельности и активно стремятся к ней, быстро ориентируются в трудных ситуациях, непринужденно ведут себя в новом коллективе, инициативны, предпочитают в важном деле или в создавшейся сложной ситуации принимать самостоятельные решения, отстаивают свое мнение и добиваются, чтобы оно было принято товарищами, могут внести оживление в незнакомую компанию, любят организовывать всякие игры, мероприятия, настойчивы в деятельности, которая их привлекает. Они сами ищут такие дела, которые бы удовлетворяли их потребность в коммуникации и организаторской деятельности.[9]

Таблица 1

Шкала оценок коммуникативных и организаторских склонностей

Кк

Ко

Шкальная оценка

0,10 – 0,45

0,20 – 0,55

1

0,46 – 0,55

0,56 – 0,65

2

0,56 – 0,65

0,66 – 0,70

3

0,66 – 0,75

0,71 – 0,80

4

0,76 – 1,00

0,81 – 1,00

5


2.2 Подготовка первичной профконсультации

Вводные замечания. Профориентацию следует понимать как комплекс социально-экономических, психолого-педагогических и медико-физиологических задач, цель которых — формирование профессионального самоопределения, соответствующего индивидуальным особенностям каждой личности и запросам общества в кадрах. В числе психолого-педагогических задач называют в первую очередь профессиональное информирование и профессиональное консультирование. В проведении профориентационной консультации выделяют два этапа — первичная профконсультация и углубленная индивидуальная профконсультация.

Первичная профконсультация — это форма индивидуальной консультации, проводимая с группой (5-7 человек), в процессе которой происходит обучение правилам выбора профессии, дается информация о многообразии профессий, об интересах и склонностях. Результатом первичной профконсультации является оказание помощи в формировании профессионального плана, повышение степени осознанности и ответственности выбора. Помимо этого, на основании первичной профконсультации выявляются испытуемые, нуждающиеся в углубленной индивидуальной профконсультации.

Углубленная индивидуальная профконсультация основывается на глубоком всестороннем изучении человека: его склонностей, интересов, состояния здоровья и физического развития, уровня и структуры внимания, мышления, ручной умелости и координации движений, особенностей характера. При этом учитываются мнение учителей и родителей, успешность обучения и особенности референтной группы. Обобщение этих данных раскрывает широкие возможности целенаправленного воздействия не только в целях профориентации, но и на формирование личности.

В программе первичной профконсультации выделяются три аспекта: информационный, диагностический и собственно консультационный.

Информационная часть включает беседу о правилах выбора профессии, анализ типичных ошибок, совершаемых при выборе профессии, знакомство с классификацией профессий (в частности, разработанной Е. А. Климовым для целей профориентации).

Диагностический аспект включает выявление профессиональной направленности и особенностей развития познавательных интересов, наличия и степени сформированности профессионального плана, выявление особенностей профессиональной мотивации, а также анализ некоторых индивидуально-психологических особенностей.

Собственно консультативный аспект представляет собой заключительную часть первичной профконсультации, которая проводится в форме беседы. Специфика и задачи беседы определяются индивидуально-психологическими особенностями, ситуацией выбора профессии, степенью сформированности профплана и некоторыми другими факторами.

Цель занятия. Заполнение и анализ «Карты первичной профконсультации» и составление плана профконсультации.

Оснащение. Карта первичной индивидуально-психологической профконсультации (см. прил. 6).

Порядок работы. После обработки результатов трех предыдущих методик заполняется «Карта первичной профконсультации». Далее сопоставляются и анализируются все имеющиеся в ней данные.[9]

В результате анализа «Карты первичной профконсультации» может быть выявлено несколько ситуаций выбора профессий, в каждой из которых тактика профконсультанта должна быть особой. Разберем некоторые из этих ситуаций.

1. У испытуемого хорошая информированность о мире профессий, сформирован профессиональный план, мотивы адекватны, план соответствует познавательным интересам, профессиональной направленности, индивидуально-психологическим особенностям. В этом случае профконсультация строится на психотерапевтической и информационной основе. Оптант поддерживается в своих намерениях, они одобряются, дополняются справочной информацией об учебных заведениях, правилах приема, указывается на необходимость и условия развития некоторых профессионально важных качеств — это составляет содержание домашнего задания. Уточняется путь профессионализации, вырабатываются запасные варианты на случай, если получение выбранной специальности связано с преодолением трудностей (например, конкурсные специальности). Определяется область профессиональных противопоказаний.

2. У испытуемого имеется профессиональный план, но он не обоснован: не совпадает с областью профессиональной направленности и познавательных интересов, мотивы не адекватны, либо его индивидуальные свойства не соответствуют выбранной профессии. Следовательно, он нуждается в углубленной профконсультации и коррекции на ее основе профессионального плана.

3. Профессионального плана у испытуемого нет, интересы, и склонности не выражены. Задача первого этапа консультационной работы с ним — формирование познавательных интересов и склонностей. На основании первичной профконсультации составляется система домашних заданий с привлечением к этой работе родителей, учителей, референтной для испытуемого группы. С целью облегчения поиска сферы предпочтений профконсультант может использовать метод проективной беседы, профориентационные игры. На первом этапе работы, чтобы сузить круг поиска, желательно определить психологически противопоказанную сферу деятельности. С таким испытуемым проводят углубленную профконсультацию.

4. Профессионального плана и профессиональной направленности у испытуемого нет, однако имеются хорошо выраженные интересы, склонности. Суть профконсультации в этом случае заключается в углублении самопознания, в выработке умения понимать себя, свои интересы и способности. Необходимо также расширение знаний о разнообразии профессий. Ему предлагается поработать с картотекой профессий, рекомендуется специальная литература, обсуждается план посещения им учебных заведений и предприятий — все это составляет суть домашнего задания. После этого он приглашается на углубленную профконсультацию.

Конечно, все многообразие профконсультационных ситуаций не исчер­пывается этими четырьмя типами. Их можно рассматривать только как наиболее часто встречающиеся.

2.3 Кратки выводы по второй части

Во второй части работы мы имели возможность, познакомится с примерами методик, которые используются при профессиональной ориентации школьников. На основе данных исследований заполняется «Карта первичной профконсультации». Далее сопоставляются и анализируются все имеющиеся в ней данные. И на основе выводов, сделанных при анализе, выбирается порядок дальнейших действий необходимых для полноценной подготовки личности к будущей профессиональной деятельности.

ВЫВОДЫ

Выполняя курсовую работу, я провел теоретический анализ литературы по вопросам профессиональной ориентации, как в Украине, так и за рубежом. Попытался изложить суть необходимости профессиональной ориентации и подготовки личности. Привел примеры методик исследования профессиональной направленности личности.

Также, я надеюсь, мне удалось показать, что выбор профессии напрямую зависит от личностной предрасположенности человека, а профессиональная деятельность наиболее продуктивна при положительном отношении субъекта к роду своей работы. Чем и доказал гипотезы, сформулированные перед началом исследования.

И в качестве заключения, хотел бы выделить следующие основные группы задач психолога в процессе профессиональной ориентации клиента: 1) информационно-справочные, просветительские; 2) диагностические (в идеале — помощь в самопознании); 3) морально-эмоциональная поддержка клиента; 4) помощь в выборе, в принятии решения.

Каждая из этих задач может решаться на разных уровнях сложности: 1) проблема решается «вместо» клиента (клиент занимает пассивную позицию и еще не является «субъектом» выбора); 2) проблема решается «вместе» (совместно) с клиентом — диалог, взаимодействие, сотрудничество, к которому еще надо прийти (в случае успеха клиент уже является частичным субъектом самоопределения); 3) постепенное формирование у клиента готовности самостоятельно решать свои проблемы (клиент становится подлинным субъектом).

Например, при решении информационно-справочной задачи на первом уровне клиенту просто сообщается нужная информация (это тоже помощь), на втором уровне — психолог вместе с клиентом анализирует определенную информацию, на третьем уровне — психолог объясняет клиенту, как самостоятельно получить необходимую информацию (какие задавать вопросы специалистам по данной профессии, куда обращаться и т. п.).

ЛИТЕРАТУРА

1. Зеер Э.Ф. / Психология профессий. – Екатеринбург: Деловая книга, 2003.

2. Зеер Э.Ф., Павлова А.М., Сыманюк Э.Э. / Модернизация профессионального образования: компетентностный подход. – М.: МПСИ, 2005.

3. Зеер Э.Ф., Павлова А.М., Садовникова Н.О. / Основы профориенто-логии. – М.: Высш. Шк., 2005.

4. Иванова Е.М. / Психология професиональной деятельности. – М.: ПЕРСЭ, 2006.

5. Климов Е.А. / Введение в психологию труда. – М.: Изд-во МГУ, 1988.

6. Климов Е.А., Носкова О.Г. / История труда в России. – М.: Изд-во МГУ, 1992.

7. Носкова О.Г. / История психологии труда в России. – М.: Изд-во МГУ, 1997.

9. Практикум по общей, эксперементальной и прикладной психологии / В.Д.Балин, В.К.Гайда, В.К.Горбачевский и др. Под общей ред. А.А.Крылова, С.А.Маничева. - 2-е изд., доп. и перераб. – СПб.: Питер, 2007.

10. Пряжников Н.С. / Психологический смысл труда. – М.: ИПП, 1997.

11. Пряжников Н.С., Пряжникова Е.Ю. / Психология труда и человечиского достоинства. – М.: Академия, 2001.

12. Решетова З.А. / Психологичаские основы профессионального обучения. – М.: Изд-во Моск. ун-та, 1985.

13. Толочек В.А. / Современная психология труда: Учебное пособие. 2-е изд. – СПб.: Питер, 2008.

14. Шульц Д., Шульц С. / Психология и работа. – СПб.: Питер, 2003.

15. Эриксон Э. / Детство и общество. – СПб.: Летний сад, 2000.

Похожие работы на - Профессиональная ориентация школьников

 

Не нашли материал для своей работы?
Поможем написать уникальную работу
Без плагиата!
Без нейросетей!