|
Критерии
|
Интрафункциональные
|
Оперативные
|
|
Членство
|
Сотрудники различной
квалификации, включаемые в
команду в соответствии с
поставленной задачей. Единое
рабочее пространство с
выделением отдельных рабочих
мест
|
Специалисты различного профиля,
сотрудники различных
подразделении организации.
Работают на своих рабочих местах,
собираются один раз в неделю на
1-2 часа
|
|
Цели и функции
|
Реализация производственного
процесса. Разделение функций
между членами команды в
соответствии с квалификацией
|
Решение актуальных проблем и
выработка рекомендаций по
совершенствованию конкретных
процессов
|
|
Жизненный
цикл
|
Реорганизуются при
необходимости перестроить производственный процесс
|
Расформировываются после
выработки рекомендаций
|
|
Управление
|
Функции управления в
компетенции менеджеров нижнего
и среднего уровней
|
Равноправное участие в
совещаниях. Окончательное
решение в компетенции менеджмента
|
|
Взаимодействие
|
Координируются супервайзерами и менеджерами
|
Взаимодействуют в период проведения совещаний
|
|
Методы
|
Определяются
квалификационными
характеристиками
|
Мозговой штурм и другие методы
принятия решений
|
|
Критерии
|
Кроссфункциональные
|
Предпринимательские
|
|
Членство
|
Специалисты различного профиля,
сотрудники различных
подразделений организации.
Общее рабочее пространство
|
Сотрудники различных
подразделений организации
(менеджмент, отделы сбыта и
снабжения, контроля качества,
маркетинга). Совещания 2-3 раза в
неделю по 1-2 часа
|
|
Цели и функции
|
Разработка или
совершенствование
производственного процесса
|
Наблюдение за процессом
производства специфического
продукта или сегментом клиентов;
поддержание и совершенствование
системы, ориентированной на
потребителя. Часто реализуют
функции маркетинга и т.п
|
|
Жизненный
цикл
|
Часто после предложенных
преобразований реорганизуются в
постоянно действующие команды
без ограничения срока деятельности
|
Постоянно действующие команды
|
|
Управление
|
На этапе разработки или совершенствования процесса окончательное
решение в компетенции менеджеров, после реорганизации - самоуправление
|
Равноправное участие в совещаниях. Принятие решений с
последующим утверждением менеджерами
|
|
Взаимодействие
|
Постоянный взаимный контакт
|
Взаимодействуют в период проведения совещаний
|
|
Методы
|
Стандартизация, системный анализ, статистические методы, методы
измерения, методы коммуникации, обучения и вовлечения
|
Методы принятия решений, исследования рынка, управления
качеством, планирования, контроля
|
|
Критерии
|
Исполнительные команды менеджеров
|
Координационные команды менеджеров
|
|
Членство
|
Первое лицо в организации (заместитель) и менеджеры высшего
уровня руководства
|
Менеджеры верхнего и среднего уровней руководства
|
|
Цели и функции
|
Разработка стратегических направлений, руководство частью
организации
|
Разработка стратегических направлений, координация и поддержка
команд нижнего уровня
|
|
Жизненный цикл
|
Постоянно действующие команды
|
Постоянно действующие команды
|
|
Управление
|
Принятие окончательного решения за первым лицом в организации
(заместителем)
|
Равноправное участие в совещаниях и принятие решений
|
|
Взаимодействие
|
Взаимодействие в ходе регулярных совещаний и встреч
|
Взаимодействуют в ходе регулярных совещаний и встреч
|
|
Методы
|
Анализ результатов и данных, методы стратегического
планирования, системный анализ, методы принятия решений, методы контроля
|
Анализ результатов и данных, методы стратегического
планирования, системный анализ, методы принятия решений
|
|
Критерии
|
Самоуправляемые команды
|
Самонаправляемые команды в производстве и сервисе
|
|
Членство
|
Сотрудники разносторонней квалификации
|
Сотрудники разносторонней квалификации
|
|
Функции
|
Реализация производственного процесса Контроль качества, принятие
решений по реорганизации процесса, административные функции
|
Постановка целей команды. Организация и реализация процесса.
Контроль качества, контакты с поставщиками и потребителями, принятие решений по
реорганизации процесса, административные функции, выработка стратегии
развития
|
|
Жизненный
ЦИКЛ
|
Постоянно действующие
команды
|
Постоянно действующие команды
|
|
Управление
|
Самоуправление, ротация лидера.
Стратегия развития и контакты с
поставщиками и потребителями
остаются под контролем
менеджеров и других
подразделений организации
|
Самоуправление, ротация лидера.
Стратегия развития и контакты с
поставщиками и потребителями
находятся под контролем команды
|
|
Взаимодействие
|
Постоянный взаимный контакт, в
том числе в ходе совещаний
|
Постоянный взаимный контакт, в
том числе в ходе совещаний
|
|
Методы
|
Методы планирования
производства, контроля качества,
измерения результатов,
стандартизации, принятия
решений, коммуникации
|
Методы исследования рынка и
потребителей, планирования
производства, контроля
удовлетворения потребителя,
контроля качества, измерения
результатов, стандартизации,
принятия решении, коммуникации
|
|
Критерии
|
Самонаправляемые
команды в интеллектуальной
сфере
|
Виртуальные команды
|
|
Членство
|
Высококвалифицированные
сотрудники разносторонней
квалификации
|
Высококвалифицированные
сотрудники разносторонней
квалификации
|
|
Функции
|
Постановка целей команды.
Разработка новых изделий,
процессов, технологий. Контакты
с поставщиками и потребителями,
принятие проектных решении,
административные функции,
выработка стратегии развития
|
Постановка целей команды.
Разработка новых изделий,
процессов, технологий. Принятие
проектных решений, выработка
стратегии развития, часть
административных функций
|
|
Жизненный
цикл
|
Постоянно действующие команды
|
Постоянно действующие команды
|
|
Управление
|
Самоуправление, ротация лидера.
Часть административных функций
и контактов с внешней средой у
менеджера (координатор)
|
|
Взаимодействие
|
Постоянный взаимный контакт, в
том числе в ходе совещаний
|
Постоянный взаимный контакт
посредством компьютерных сетей
|
|
Методы
|
Методы исследования рынка и
потребителей, планирования
выполнения проекта, контроля
качества, измерения результатов,
стандартизации, принятия
решений, коммуникации
|
Планирования выполнения
проекта, контроля качества,
измерения результатов,
стандартизации, принятия
решений, коммуникации
|
Несомненно,
что многие команды на практике будут иметь характеристики, присущие различным
типам команд. Так, например, сегодня практически все интеллектуальные команды в
США используют компьютерные сети, многие самонаправляемые команды в производстве
и сервисе для достижения поставленных целей решают задачи, свойственные
интеллектуальным командам. Но в этом случае происходит и взаимопроникновение
других характеристик. Поэтому приведенная классификация может помочь в процессе
проектирования и развития команды.
Наибольший
интерес в плане сравнения различных рабочих команд представляют такие
характеристики, как «делегирование на уровень команд исполнителей функций
управления» и «знания и умения». Так как именно эти характеристики определяют
процесс формирования и развития рабочей команды в условиях применения
динамической сетевой структуры управления. На рис. 1.1 представлена, матрица
«Делегирование функций управления -знания и умения» и место различных типов
рабочих команд исполнителей в данной матрице. В основу ориентации команд в
матрице положен принцип достаточности. То есть рабочая команда может быть
отнесена к определенному типу при выполнении требований соответствия уровням
делегирования функций управления и знаний и умений.
В матрице
отсутствуют виртуальные команды, так как этот тип команд обладает рядом
специфических особенностей, которые будут рассмотрены в следующих разделах, и
не может быть однозначно ориентирован на матрице. На основе предложенной
матрицы можно планировать процесс развития команд до уровня самонаправляемых
рабочих команд. Этот процесс может быть осуществлен посредством реализации
параллельно опережающего образовательного процесса и делегирования отдельных
функций управления.
Далее
рассмотрим более подробно особенности самонаправляемых рабочих команд, так как
именно самонаправляемые рабочие команды, обладая наибольшей степенью
самостоятельности, позволяют перейти к формированию динамической сетевой
структуры управления в организации.
Рис. 1.1. Матрица
«Делегирование функцийуправления - знания и умения»
Типы команд:
ИФ - интрафункциональные; КФ - кроссфункциональные; О - оперативные; В
-виртуальные; П - предпринимательские; СУ - самоуправляемые; СН -
самонаправляемые.
Основные
подходы к процессу командообразования.
Процесс
создания формальных и неформальных команд является достаточно сложным и длительным.
Существует два принципиально разных подхода к формированию команд
-проектирование
команды, когда ее потенциальные члены специально подбираются с учетом тех требований,
которые выдвигаются к членам команды,
-развитие команды,
когда состав будущей команды уже собран, необходимо лишь превратить группу в
команду[60].
При
формировании управленческих команд необходимо принимать во внимание те
требуемые для потенциальных членов команды навыков и качеств для эффективной
работы в проектируемой команде.
При формировании
и развитии команд необходимо принимать во внимание и то, в какой среде будет
работать команда, как и с кем она будет взаимодействовать.
Многие из
патологий (негативных факторов командообразования) можно преодолеть, закладывая
"основы иммунитета" еще на стадии формирования или развития команды.
Во многом это
определяется тем, с каким типом команд мы имеем дело.
Наиболее
часто встречаемый подход в типологизации команд выделяет несколько наиболее
часто встречающихся типа команд:
Координирующие
- сеть полуформальных команд в организации, координирующих работу организации в
целом.
Внутренние -
существуют внутри каких-либо подразделений организаций и обеспечивают работу
данного подразделения.
Самоуправляющиеся
команды - им делегировано право принимать любые решения, касающиеся их
деятельности, за исключением того, что должна делать команда - это решение
предопределяется стратегией компании.
Другой подход
разделяет команды на управленческие, исполнительские и творческие, постоянные и
временные, а также и по др. критериям.
Безусловно,
при формировании или развитии каждого типа команды должны учитываться как этот
тип, так и цели дальнейшей работы развиваемой команды. Здесь может быть масса
различий, как с точки зрения методологии, так и с точки зрения концепции.
Однако есть и общие черты формирования и развития команд. На них мы и
остановимся.
Один из
главных принципов командообразования - его единство с решением
общеорганизационных задач. Это может означать, что только соединение групповой
динамики с содержательными аспектами работы может принести положительные
результаты командообразования.
Зинкевич-Евстигнеева
Т., Фролов Д., Грабенко Т. описывают процесс создания команды по трем этапам:
-
диагностическому,
-
тренинговому
- этапу
психологического сопровождения команды [45].
В рамках
диагностического этапа проводятся мероприятия, направленные на оценку
совместимости членов команды, коррекцию ее состава путем отбора кандидатов, а
также определения потенциала к совместной деятельности и форм проявления
творчества у кандидатов.
Тренинговый
этап по данной модели состоит из двух программ: "Эффективное
взаимодействие в команде", в ходе которой группа последовательно двигается
по пяти ключевым психологическим идеям взаимодействия в команде: от доверия к
сотрудничеству, от сотрудничества к работе на общий результат, к творческим
действиям и конструктивной самореализации; а также программы "Технологии
эффективного решения проблем", в рамках которой отрабатываются навыки
ситуационного анализа.
Этап
психологического сопровождения команды характеризуется помощью членам команды,
которая уже работает над достижением своих целей, в текущем ситуационном
анализе, индивидуальным консультированием членов команды, а также проведением
профилактических и образовательных мероприятий.
А.И. Пригожий
предлагает работать над командообразованием по четырем различным направлениям
(не этапам): диагностика командности, тренинг командности, командная
диагностика организации, командные разработки[50].
Методы
диагностики командности направлены на определение зрелости внутрикомандных
отношений по разным признакам и основаниям. Каждый из них проблематизирует
команду на качество взаимодействия внутри нее, вызывает коллективную и
индивидуальную саморефлексию, т.е. осмысление состояния команды в целом и роли
в ней каждого из участников.
Тренинг
командности, в свою очередь, направлен как на отработку необходимых для работы
в команде навыков ее членов, так и на "рождение", укрепление в
формате тренинга коллективного командного духа.
Командная
диагностика организации проводится (наверное, регулярно) для сплочения и
развития команды. Могут использоваться предлагаемые автором методики
"Метафора", "Крестовина" "Жизненный цикл
организации" и др.
Для
наращивания потенциала команды наиболее эффективно работает четвертое
направление - командные разработки, суть которого сводится к тому, что перед
командой встает задача выработки продукта, связанного с текущей работой команды
(определение служебных функций, совершенствование системы мотивации и др.)
Второй подход
представляется более комплексным, нежели первый. Он включает как аспекты,
направленные на развитие уже существующих групп до уровня командной работы, так
и эффективные при проектировании команды.
Кроме того,
на мой взгляд, работы по командообразованию могут и должны осуществляться
только комплексно, с учетом многих возможных факторов, влияющих как на
эффективность процесса командообразования, то есть появления у группы
рассмотренных нами в первой главе признаков, так и эффективности работы этой
группы по достижению ее целей.
1.2 Критерии оценки
кандидатов в управленческие команды
Существуют
несколько основных критериев, по которым, как правило, оценивают кандидатов в
управленческие команды.
1.
Профессиональные навыки и успешный опыт работы в соответствующей сфере бизнеса.
Зинкевич-Евстигнеева
Т., Фролов Д., Грабенко Т. выделяют следующие требования к навыкам и
способностям людей, необходимым для их эффективной работы в команде:
1. Навыки системного
мышления и владение ситуационным анализом, которые в себя включают - умение
выделять из разнообразных источников полезную информацию по сравнительным
данным, технологиям, методам, рыночной коньюктуре, потенциальным конкурентам и
т.д.; умение системно анализировать информацию, формируя прогнозы, стратегии действий,
вырабатывая возможные новые направления деятельности; умение оценивать риски возможных
действий, объективно оценивать все плюсы и минусы различных последствий
развития событий.
2. Коммуникативные данные,
которые выражаются в умении создавать и поддерживать атмосферу доверия, ценить
идеи, выдвигаемые другими; умение формировать мотивационные стимулы для других
сотрудников, обеспечивая их ресурсами, обратной связью, обучением и развитием,
необходимыми для их личностного и профессионального роста; умение ясно и убедительно
аргументировать свои и чужие предложения.
3.Лидерские способности
кандидатов, которые, по мнению авторов включают в себя уверенность, умение четко
определить наиболее рациональный вариант действий и заразить других уверенностью
в успехе
выбранного
пути; умение наладить партнерское взаимодействие даже с теми службами и
партнерами, с которыми традиционно складываются конфликтные взаимоотношения;
нацеленность на действие и результат, способность брать на себя ответственность
за достижение поставленных целей, преодолевая внешние трудности[45].
Кроме
перечисленных навыков и способностей членов эффективной команды следует
добавить еще высокий уровень развития базовых профессиональных умений и
навыков, а также позитивные личные черты, которые в какой-то мере пересекаются
с коммуникативными данными, предложенными в приведенной классификации.
2.
Совместимость с лидером.
Профессионалов
среднего и высшего звена набирают по-разному. Первые должны соответствовать ряду
формализованных требований, а «управленческая командаскладываетсявокруглидера».
Необходимость
совместимости нового члена команды с лидером признают практически все
опрошенные.
Субъект,
развивающий или формирующий команды должен учитывать некоторые формы
"заболеваний" команд.
А.И. Пригожий
приводит перечень возможных болезней управленческих команд:
1. "Пассажиры
автобуса" - каждому важно доехать до своей остановки, и никого не
интересуют проблемы водителя или автобуса в целом.
2. "Мы и он" -
глубокое различие интересов сотрудников и руководителя, осознаваемое большей
частью сотрудников.
3. "Один на поле,
остальные на трибунах" - руководитель работает за всех, подчиненные
наблюдают, изредка хлопают и комментируют.
4. "Каждый несет свой
чемодан, но без ручек" - большая нагрузка без прав и ресурсов.
5. "Хор солистов"
- все члены команды являются сильными специалистами, но не склонными к
совместной работе.
6. "Серпентарий
единомышленников" - все работают в общем деле при острой конфликтности
между собой.
7. "Уважайте меня,
бездельники, полюбите меня, тупицы!" - руководитель демонстрирует
превосходство, порой унижает сотрудников, но в то же время требует высокой
лояльности к себе, личной преданности.
8. "Грозный отец и
напуганные дети" - руководитель настойчиво включает сотрудников в
общеорганизационные решения, расправляясь с каждым за ошибки, неудачи,
оплошности.
9. "Много умных, мало
взрослых" - специалисты высокого класса во главе с сильным руководителем
избегают принятия на себя ответственности шире их прямых обязанностей, уклоняются
от инициатив по решениям общеорганизационного уровня, во всем полагаясь на
лидера.
10."Негативная
селекция" - сотрудники специально подбираются с учетом того, чтобы их
интеллектуальные способности, уровень профессионализма уступал
руководителю[50].
3.
Совместимость с командой на уровне мировоззрения и ценностей.
Близость
мировоззрений и ценностей членов команды является необходимым условием
командообразования
Однако
наиболее психологически толерантные руководители, наоборот, предпочитают иметь
дело с сотрудниками, сильно отличающимися друг от друга, в том числе, на уровне
мировоззрения, при условии, что все они сумеют договориться между собой[55].
Групповые
нормы в команде могут соответствовать или наоборот, противоречить нормам
общества в целом. Нормы в команде выполняют регулятивную и контролирующую
функцию по отношению к ее деятельности. Члены команды должны придерживаться
определенных норм поведения не только на производстве, но и после работы. В
команде возникают такие групповые нормы как: совместный труд, взаимовыручка,
взаимоподдержка, контроль над своими эмоциями, скрытие от окружающих истинные
чувства и побуждения; гордость за свою команду. Если индивидуальные цели не
совпадают с нормами групповыми, то возникает групповое давление на личность.
Групповое давление может подчинить чувства, побуждения, эмоции индивида на
вынужденное единообразие группового поведения, четкое соблюдение норм в команде
[24].
Нормы в
группе связаны с ценностями, так как любые правила могут быть сформулированы
только на основании принятия или отвержения, каких - либо социально значимых
явлений. От того, какие ценности ставит перед собой каждый член команды,
зависит не только их совместная жизнедеятельность, но и эффективность команды.
Можно выделить несколько типов ценностей. Первая группа - материальная
ценность. Их значимость обусловлена тем, что могут скомпенсировать недостаток
внимания членов семьи, проживания в "экстремальной" обстановке и т.д.
Вторая группа - ценность труда. Она выражается в то что, члены команды
выполняют работу в соответствии с их профессией, родом занятием, призванием,
способностями, профессиональной подготовкой. Третья группа - ценность
взаимоподдержки, взаимовыручки членов. Четвертая группа - ценность в социальном
общении - равноправном эмоциональном контакте с другими людьми, обмене
духовными ценностями сопереживании. В зависимости от того, какие ценности и
нормы членов команды совпадают, зависит не только их совместная
жизнедеятельность, но и эффективность деятельности[45].
4.
Психологическая совместимость с командой.
Это один из
самых принципиальных показателей.
Совместимость
можно
определить как способность членов группы к совместной деятельности, основанной
на их оптимальном сочетании, и вызывающие чувства удовлетворения. Обеспечение
совместимости связано с повышенными требованиями к членам бригады и зависит от
личностных характеристик самих людей. К ним относятся способность личности к
адаптации, т.е. способность устанавливать гармонические отношения с окружающей
средой, от ее эмоций, интеллекта, темперамента, характера, интересов и т.д.
На
физиологическом уровне выделяют возрастные особенности индивидов, особенности
метаболических процессов и темпо - ритмической организации индивидов.
Психофизиологический уровень совместимости основывается на взаимодействии
темпераментов индивидов. Психологический уровень предполагает взаимодействие
характеров, мотивов поведения. Социально - психологический уровень предполагает
согласование социальных ролей, интересов, эмоциональных переживаний и
взаимоотношений, ценностных ориентации. Социальный уровень предполагает эффект
оптимального сочетания типов поведения людей в группе, социальных установок,
потребностей, в которых отражаются все взаимодействия членов группы[23].
Также в понятие
"психофизиологическая совместимость" включается взаимная
"созвучность", положительный характер эмоциональных установок,
взаимовнушаемость, общность интересов, потребностей, сходство динамической
направленности и психофизиологических реакций (при операторской деятельности) и
отсутствие в данной группе выраженных эгоцентрических устремлений. То же самое
характерно и для сплоченной группы. Раскроем смысл некоторых приведенных
характеристик.
"Созвучность"
- взаимопонимание между членами группы, когда каждый из них достаточно хорошо
знает личностные качества своих партнеров. Обеспечивает надежность
межличностных отношений.
Под
положительным характером эмоциональных установок подразумевается взаимная
симпатия, потребность в общении, взаимодействии друг с другом, что обеспечивает
хорошее самочувствие.
Взаимовнушаемость
- есть частный случай (эффект) подражания, когда происходит сближение мнений,
оценочных суждений, возникает взаимное уподобление членов группы в характере
поведения и в поступках.
Для
сплоченности группы только психофизиологической совместимости недостаточно,
утверждаем мы вслед за К.К. Платоновым и Н.Н. Обозовым, необходимо и духовное
сближение между людьми [5 9].
В.Б.
Ольшанский пишет, что наиболее общим признаком, включаемым в понятие
"совместимость" считается взаимное соответствие свойств участников
группы. Но каких именно свойств? В словаре В.И. Даля, например, их
насчитывается несколько тысяч...[59]
Совместимыми
можно считать тех людей, которые, в известном смысле, ситуативно неделимы и
автономны (в смысле внутреннего единства и самоуправления). Но наиболее
существенным признаком сходства явлений целостности и совместимости можно
считать наличие внутреннего единства субъектов общения. Так же в группе важна
роль эмпатического отреагирования как феномена, связывающего систему в единое
целое[25].
Уровень
благополучия взаимоотношений, или психологический климат в группе, во многом
зависит от психологической совместимости ее членов. Психологическая
совместимость - это такое сочетание личностных качеств у членов группы, которые
способствуют успеху групповой деятельности и приносят личное удовлетворение
каждому из них. Взаимоприемлемость деловых и личных качеств друг друга для
членов группы является основой групповой совместимости и ее дальнейшего сплочения.
Высокая степень согласия по основным идейным нормам, совпадение взглядов и
убеждений необходимы для достижения психологической совместимости. Порой
причиной взаимных антипатий могут стать отдельные черты характера членов
группы. Высокомерие, зазнайство, сварливость, склочность в группах любого типа
действуют разобщающее[21].
Сработанность
есть
согласованность в работе между ее участниками. В этом определении существенны
два признака: согласованность и работа [59]
Согласие
определяется как единомыслие, общность точек зрения, единодушие и дружеские
отношения. Согласованность здесь связана не с любым видом взаимодействия людей,
а с конкретной деятельностью.
При
срабатываемости взаимная удовлетворенность взаимодействием партнеров
опосредована деятельностью. При совместной деятельности, в случае ее достаточно
высокой успешности, у партнеров возникает удовлетворенность не только собой как
при индивидуальной деятельности, но и удовлетворенность партнером, также
успешно выполняющим совместные задачи,общиедляпартнеров-членовгруппы.
Совместимость
является условием возникновения межличностных симпатий, а несработанность может
и не вызывать взаимных антипатий. Субъективная удовлетворенность - главный
компонент совместимости. Антипатии возникают при несовместимости. Совместимость
не связана с продуктивностью, успешностью, в отличие от срабатываемости, в которой
продуктивность является самым главным компонентом. Примеры этому особенно часты
в спортивных командах (особенно в игровых видах спорта).
Наличие
психологической несовместимости, по мнению большинства специалистов в данной
области, не фатально, так как ее можно скорректировать. Они убеждены, что
профессионал должен быть в состоянии решить эту проблему. В различных
организациях, ожидания, относительно совместимости нового сотрудника с
командой, в которой ему предстоит работать, не совпадают. Однако, когда
встречаются очень большие психологические и мировоззренческие расхождения между
людьми, их постоянная совместная работа оказывается невозможной, но они могут
сотрудничать в рамках отдельных проектов[55].
Существует
проблема определения мировоззренческой и психологической совместимости членов
команды. Используемые в настоящий момент процедуры опроса и тестирования при
приеме на работу дают результаты ограниченной достоверности. Поэтому риск
ошибки всегда остается.
Процесс
формирования совместимости представляет собой срабатываемостъ. В условиях
трудовой деятельности срабатываемость может выступать, во - первых, как
согласие на уровне межличностных отношениях. Во - вторых, как согласованность
членов бригады в производственной деятельности, которая ведет к
результативности, успешности, способствует лучшей срабатываемости и повышает
эффективность производства[55].
При
оптимальной совместимости и срабатываемости по всем компонентам должно
обнаруживаться сходство между партнерами.
Таким
образом, можно утверждать, что совместимость и срабатываемость в комплексе
определяют групповую сплоченность команды.
Групповая
сплоченность и лидерство характеризуют результат оптимальной совместимости
членов команды. Групповая сплоченность команды представляет собой определенный
процесс развития внутригрупповых и производственных связей, соответствующие
развитию групповой деятельности.
По А.Е.
Донцову, в качестве операционального определения сплоченности можно
использовать тесноту связей между индивидами, членами данной малой группы,
которая может быть измерена с помощью социометрической методики. В основе
исследования сплоченности лежат два аспекта: 1) изучение реального поведения
членов малой группы; 2) обращение к реальности второго порядка, то есть к
мнениям индивидов о желательности или нежелательности участвовать в совместной
деятельности определенного рода со своими коллегами по малой группе[24].
Межличностная
взаимоприемлемость, несомненно, имеет отношение к групповой сплоченности,
иногда составляя внешне наблюдаемую форму ее. Однако, сама по себе, она еще не
открывает тех специфически групповых процессов, которые порождают этот феномен.
"Взаимно-выборные" связи, основанные на межличностных симпатиях и
антипатиях, конечно, существует в любой группе. Но в производственных
коллективах изначальная основа объединения - социально санкционированная
совместная деятельность, поэтому непосредственные эмоциональные связи, по сути
своей, здесь не являются решающим фактором группового сплочения.
Анализу
проблемы сплоченности посвящена значительная часть работы Т.В. Забарина. Он
считал, что "в процессе изучения личных взаимоотношений, механизма их
действия, можно, а и подчас, и нужно, отвлекаться от главного содержания
деятельности данного коллектива..."[26]. В результате, единственным
объектом экспериментального изучения и здесь оказываются личные
"эмоционально-интеллектуальные отношения членов коллектива друг к другу:
взаимная и невзаимная симпатии, устойчивое или неустойчивое тяготение или,
наоборот, отрицательное отношение". Критики считают, что не только вся
система внутригрупповой активности, но и само межличностное общение не может
быть сведено к сугубо эмоциональным контактам.
Известная
абсолютизация роли непосредственного общения как фактора внутригрупповой
динамики характерна и для работ А.С. Леонавичуса. Исходный теоретический тезис
- положение о том, что "... общение есть тот "механизм", который
является базой, условием различного рода взаимоотношений между членами коллектива,
своего рода "механизм" возникновения общественно-психологических
явлений", в том числе, как далее отмечает автор, и сплоченности. На
основании своей работы, В.И. Зацепин делает вывод: "... чем чаще общаются
люди в коллективе, тем, в конечном счете, создаются лучшие предпосылки для формирования
в нем высокой сплоченности".
Материалистический
подход к анализу сплоченности коллектива, отмечает В. Михеев, предполагает
исследование ее как проявляющейся в реальной деятельности общности целей,
интересов и норм поведения членов коллектива. Согласно автору, сплоченность -
это степень единства действий (поведения) членов коллектива, где единство
действий есть выполнение каждым из них своих задач в рамках общих целей, то
есть сотрудничество. Здесь важно, что единство поведения должно быть достигнуто
в условиях свободного, без прямого принуждения со стороны, выбора членами
коллектива того или иного вида действий из объективно возможных в данной
ситуации. Условие свободного выбора автор рассматривает как важнейшее при
анализе сплоченности [41].
Считая
социометрические индексы сплоченности непоказательными, В. Михеев предпринял
попытку разработки оригинальной методики измерения степени единства поведения
членов коллектива, являющейся, по мнению автора, центральным показателем уровня
сплоченности [41].
К числу
наиболее последовательных относится подход к исследованию групповой
сплоченности, предложенный В.В. Шпалинским. В основу экспериментального
исследования им была положена идея о ценностно-ориентационном единстве группы
как важнейшем показателе групповой сплоченности, являющимся интегральной
характеристики системы внутригрупповых связей. Индексом
ценностно-ориентационного единства "... может служить частота или степень
совпадения мнений, оценок, установок и позиций членов группы по отношению к
объектам (лицам, явлениям, событиям), наиболее значимым для группы в
целом". Например, по отношению к лидеру, который является
"носителем" определенных черт, представляющих для группы социальную
значимость[62].
Существует
значительное многообразие конкретных операциональных трактовок групповой
сплоченности, но фактически единым термином обозначаются: межличностная
эмоциональная взаимоприемлемость, сходство мнений и установок, сенсомоторная
согласованность, единство поведения членов группы. Но, как это было показано
выше, эти характеристики фиксируют состояние локальных и, отнюдь не всегда,
жестко связанных аспектов внутригрупповой активности.
Выделяются
три разновидности групповых процессов, которые наиболее стойко концентрируют
вокруг себя исследования сплоченности.
Во-первых,
это эмоциональные моменты межличностных отношений, в случае сплоченности
характеризующиеся высоким уровнем взаимной приемлемости членов группы.
Методический аппарат измерения здесь, как правило, - социометрическая техника,
в основе которой сопоставление числа полученных или отданных выборов
(отвержений), сделанных членами группы.
Во-вторых,
изучение когнитивно-оценочных аспектов внутригрупповой активности. В данном
случае, за показатель сплоченности берется степень согласованности (точнее,
сходства) различных по характеру представлений, ориентации или интересов членов
группы. Общая идея состоит в предположении, что, чем выше мера подобного
сходства, тем выше уровень сплоченности группы.
Предметом
анализа третьего направления исследований сплоченности является изучение
условий оптимальности внутригруппового взаимодействия, нацеленного на решение
стоящих перед группой задач. Это направление представлено исследованиями
психофизиологической и сенсомоторной совместимости членов группы в процесс
взаимосвязанной практической деятельности.
Поскольку
сплоченная группа - это всегда совместимая группа, К.К. Платонов выделяет 4
вида совместимости: физиологическую, психофизиологическую, психологическую,
социально-психологическую (мы ужеупоминалиэтотфакт-В.Н.).
Физиологический
уровень включает возрастно-половые особенности индивидов, темпо-ритмическую
организацию индивидов, свойства нервной системы.
Психофизиологический
уровень основывается на взаимодействии особенностей темперамента, потребностей
индивидов.
Психологический
уровень предполагает взаимодействие характеров, мотивов поведения.
Социально-психологический
уровень - это более интегрированный уровень взаимодействия, предполагает
согласование социальных ролей, интересов, ценностных ориентации.
Производственная
сплоченность команды означает, что данный состав группы обеспечивать выполнение
групповой функции, т.е. выполнения производственного задания. Социальная и
психологическая сплоченность членов команды, выражается во взаимопонимании,
терпении, доброжелательности и готовности к взаимопомощи. Таким образом, в
основе сплоченности лежат интересы людей - производственные, социальные,
дружеские и т.д.
Субъективные
оценки членов группы, в которых отражаются когнитивные и эмоциональные
процессы, обнаруживают зависимость от эффективности совместной деятельности и
взаимодействия.
Взаимосвязь
когнитивного и эмоционального компонентов проявляется в оценках и самооценках.
Соотношения оценок и самооценок не одинаково, в зависимости от степени
сплоченности группы.
В сплоченных
группах оценки, даваемые другим членам группы, выше, чем те, которые испытуемые
дают себе. Наоборот, в менее сплоченных группах уровень самооценки преобладает
над уровнем тех оценок, которые даются другим ее членам.
Различное
соотношение элементов оценочной системы говорит о неодинаковых типах
межличностных отношений в группах сплоченных и несплоченных. Увеличение уровня
самооценки свидетельствуют об ориентации членов группы на себя. Для членов
этого типа групп другие не являются источником удовлетворения потребности в
общении, а потому им даются более низкие оценки, чем самим себе. Сплоченность
группы, как показатель межличностных отношений, является одним из важнейших факторов, определяющих характер
взаимодействия в коллективе. Наряду с этим, сплоченность группы - это результат
оптимальной совместимости ее членов и условие эффективности групповой работы.
"Чем более сплоченная группа, тем более в ней положительных взаимных связей
и наоборот".
Как показано
в совместной работе Р.М. Зильбана, В.Ф. Сафина и др., в сплоченной группе ее
члены меньше "угадывают" лиц, которые выбрали их для совместной
деятельности. Наоборот, в менее сплоченных группах более адекватно оцениваются
межличностные притяжения ее членами. Дело не только в адекватности оценок, но и
в самом критерии выбора. В менее сплоченных группах ее члены осуществляют выбор
при условии большей уверенности во взаимности. Члены сплоченной группы
производят выбор, используя менее жесткий критерий в своих оценках. Для них
взаимность выборов не является главным условием регулирования отношений. В то
же время, авторы обнаружили при сравнении самооценочных и взаимных оценочных
показателей большое сходство в группах сплоченных.
Изучение
внутригрупповых связей, объединяющих людей, привлекает внимание многих
отечественных и зарубежных ученых.
В
социально-психологической науке правильно выделены признаки сплоченности
группы: взаимная привязанность ее членов, взаимная привлекательность, согласие
в отношениях к значимым для групповой деятельности объектам, близость позиций и
установок. Однако, при выявлении этих признаков зарубежными авторами
используются неадекватные приемы и экспериментальные методы. Например, степень
сплоченности группы в американской социальной психологии оценивается
количеством актов общения, частотой общения между членами групп: чем чаще
вступают в общение члены группы, тем выше, якобы, индекс сплоченности.
Несостоятельность подобного подхода к оценке сплоченности группы неоднократно
отмечали отечественные психологии (Н.Н. Обозов, А.В. Петровский, А.Л.
Свенцицкий, В.В. Шпалинский и др.)[62].
Методически
неубедительные формулы измерения групповой сплоченности встречаются и на
страницах отечественной социально-психологической литературы. В основу этих
формул положены социометрические выборы. Так, В.А. Тихонов считает, что
коэффициент степени сплоченности коллектива может быть выведен из соотношения
числа произведенных взаимных выборов к общему числу возможных взаимных выборов.
Иное решение
проблема измерения сплоченности группы, коллектива дано в исследованиях В.В.
Шпалинского [62]. Они исходят из того, что в группах, которые длительно
функционируют на основе общих для них ценностей, интенсифицируется процесс
групповой сплоченности как ценностно-ориентационного единства группы. При этом,
ценностно-ориентационное единство членов группы рассматривается как показатель
ее сплоченности: речь идет о совпадении позиций членов группы в нравственной и
деловой сферах, в оценке целей и задач совместной деятельности. За индекс
сплоченности берется частота совпадения мнений или позиций членов группы по
отношению к объектам, существенно значимым для всех ее членов.
Прикладная
роль исследования сплоченности велика. В практической деятельности людей характер
их взаимодействия имеет решающее значение, так как сейчас не так много
индивидуальных видов деятельности. Это позволяет вырабатывать специальные
рекомендации с целью повышения эффективности совместной деятельности и
получения удовлетворения от совместной работы.
5.
Способность усвоить корпоративную культуру организации.
Это базовое
требование, но соответствие ему до сих пор определяется скорее интуитивно, хотя
есть некоторые выделенные критерии, в каждой компании свои.
И по критерию
совместимости на уровне корпоративной культуры не всегда удается добиться
желаемого соответствия.
Оценка нового
человека на соответствие требованиям организации только начинается в момент его
трудоустройства. Принципиальное значение имеет то, как он сумеет проявить себя в
период адаптации.
1.3 Диагностика
межличностных отношений в системе
командообразования
Эффективное
функционирование команд предполагает выведение на новый уровень межличностных
отношений в команде. От того насколько развита степень сотрудничества в команде,
во многом зависит эффективность последней. Вместе с тем команды, как правило,
не создаются на пустом месте (если только речь не идет о вновь создаваемом
предприятии иле подразделении),
поэтому немаловажный фактор играют уже сложившееся межличностные отношения,
один из важнейших компонентов организационно» культуры.
Поэтому в
качестве первого шага в процессе командообразования предлагается процедура
исследования межличностных отношений в подразделениях,
в рамках которых планируется создать команды. Естественно, речь может идти и об
отношениях между сотрудниками различных подразделений, но которых планируется
«свести» в одну команду.
Среди
известных методов формирования групп нами были выделены следующие:
Социометрический
метод Дж. Морено [51]. Метод позволяет определить общий уровень взаимоотношений
(благополучия) в группе и ранжировать членов группы от категории «отвергаемых»
до категории «звезд» (людей, пользующихся наибольшей популярностью, симпатией в
группе), потенциальную способность человека к лидерству.
Методика
КОС-2 [28].
Методика позволяет выявить коммуникативные и организаторские способности членов
группы.
АдаптированныйварианттестовойметодикиQ-
сортировки Б.Стефансона [51].
Методика позволяет определить шесть основных тенденций поведения человека в
реальной группе: зависимость, независимость, общительность, необщительность,
принятие «борьбы» (активное стремление участвовать в групповой жизни) и
избегание «борьбы» (стремление уйти от взаимодействия, сохранить нейтралитет в
спорах, конфликтах, склонность к компромиссам).
Методика
«Восприятие индивидом группы» [51] позволяет выявить индивидуалистическое, прагматическое и
коллективистское восприятие человеком группы.
Тест
«Диагностика межличностных отношений» Т. Лири [51]. Тест позволяет выявить потенциальных лидеров и
достаточно подробно характеризует отношение человека к окружающим людям по 21
группе, сведенным в 8 блоков: авторитарный, эгоистический, агрессивный,
подозрительный, подчиняемый, зависимый, дружелюбный, альтруистический.
Учитывая специфику
изложенных методов параллельно с анализом межличностных отношений,
целесообразно провести и анализ характеристик отдельных личностей для
последующего комплектования команд.
Предлагается
следующая организация проведения исследования межличностных отношений и
выявления личностных характеристик.
На первом
этапе предлагается провести исследование общего уровня взаимоотношений
(благополучия) в коллективе с помощью социометрического метода Дж. Морено. Если
уровень благополучия взаимоотношений (УБВ) соответствует равенству («звезды» +
«предпочитаемые») = («пренебрегаемые» + «изолированные» + «отверженные») или
звезд и предпочитаемых больше, то переход на второй этап. В противном случае следует
использовать один из методов управления изменениями организационной культуры:
• найм сотрудников, соответствующих
требуемой организационной культуре, и увольнение, не соответствующих (при очень
низком УБВ);
• изменение стиля
управления кризисом или конфликтом (при низком УБВ);
•перепроектирование
ролей и изменение фокуса в программах обучения (при низком УБВ);
•смена
организационной символики и обрядности (при низком УБВ). Применение социометрического
метода также позволит выявить
категорию
людей малокоммуникативных и нежелательных в команде (категория «отвергаемые» по
классификации Морено). Можно уточнить (или подтвердить) вхождение того или
иного рабочего в указанную группу используя методику «Восприятие индивидом группы».
Эта информация понадобится в первую очередь для подбора членов команды.
Очевидно, что указанные сотрудники будут нежелательными элементами в команде.
Поэтому их следует либо перевести на участок, где не планируется внедрение
команд, либо принять меры по воздействию на их поведение в группе (обучение
коммуникативным приемам, тренинг, собеседование и т.п.).
На втором
этапе целесообразно выявить потенциальных лидеров команд, вокруг которых в
дальнейшем будет формироваться команда. Это могут быть как менеджеры, так и
рядовые исполнители. Необходимость выявления последних связана с высокой
вероятностью отсутствия среди менеджеров достаточного количества лидеров (типа
ШХ - реальные лидеры изменений по Дж. КаценбахуПотенциальные лидеры команд
должны иметь тенденции
к обладанию
следующими характеристиками:
• ориентированы на
удовлетворение клиентов фирмы и ее сотрудников, а не на существующие в компании
формальные показатели;
• умеют вести за собой
людей и работать в команде;
• чувствуют себя комфортно
в ситуациях неопределенности, устойчивы к стрессам;
• не боятся ошибаться,
умеют быстро исправлять ошибки и извлекать из них уроки;
• быстро осваивают новые
знания и навыки;
• не испытывают страха
перед неизвестным;
• умеют устанавливать
диалог с руководством компании, отстаивать свою точку зрения, добиваться
необходимых для работы полномочий;
• являются хорошими
коммуникаторами и обладают даром убеждения;
• справедливо распределяют
вознаграждения и премии;
• обладают природным даром,
позволяющим определять необходимый темп перемен.
По нашему
мнению, в наибольшей степени для решения этой задачи подходит тест «Диагностика
межличностных отношений» Т. Лири. В том случае, если необходим экспресс-анализ
можно воспользоваться методикой КОС-2. Как показывает практика, оба метода дают
достаточно высокий показатель достоверности, однако первый более объективен и разносторонен.
Необходимо
провести обучение отобранных лидеров. Дать информацию о теории командной
работы, привести примеры положительного эффекта работы в командах, пояснить
принципы командообразования и разъяснить новые подходы в материальном
стимулировании.
После
выявления лидера следует приступить к комплектованию команд. Команда
формируется вокруг лидера, поэтому в процессе отбора кандидатов в команду
должен участвовать и выявленный лидер. При этом следует придерживаться
следующих, предлагаемых нами на основе изученного опыта, рекомендаций:
• для снижения вероятности возникновения
дисфункциональных конфликтов необходимо стараться, чтобы в команды входили люди
с близкими нормами поведения (можно использовать для этого адаптированный
вариант тестовой методики С2-сортировки Б. Стефансона или тест «Диагностика межличностных
отношений» Т. Лири);
• в команду желательно включать
только одного сотрудника с явно выраженными лидерскими способностями. Наличие
нескольких лидеров (или людей, привыкших лидировать в своих коллективах),
особенно на начальных этапах развития команды, нарушает эффективную деятельность
команд, способствует порождению межличностных, а иногда и межгрупповых конфликтов;
• для успешного результата
коллективного принятия решений, одного из базисных положений командной работы,
целесообразно в команду включать сотрудников с разноплановыми
многофункциональными знаниями и умениями. Для строительно-монтажных команд это требование
стыкуется и со спецификой деятельности, в строительстве при выполнении большинства
заказов требуются люди различных профессий. Решение этой задачи находится в
компетенции менеджмента;
• рекомендуется, чтобы
команда состояла из непохожих личностей, так как это сулит большую
эффективность, чем, если бы члены команды имели схожие точки зрения. Некоторые
люди обращают больше внимания на важные детали проектов и проблем, а другие
хотят взглянуть на картину в целом, некоторые хотят подойти к проблеме с
системных позиций и рассмотреть взаимосвязь различных аспектов (можно
использовать результаты адаптированного варианта тестовой методики
С2-сортировки Б. Стефансона или теста «Диагностика межличностных отношений» Т.
Лири);
• состав команды
варьируется от 10 до 15 человек. Этого достаточно для обеспечения при выполнении
строительно-монтажных работ взаимозаменяемости и необходимой комплексности, с
другой стороны, при таком количественном составе мала вероятность возникновения
неформальных группировок внутри команды;
• необходимо обеспечить социально-психологическую
совместимость. Команда должна состоять либо из различных типов личности -
лидеры, индивидуалисты, приспособленцы, коллективисты, либо только коллективистов.
Для этого также можно использовать уже указанные методы.
Обучение
членов команд. На этапе формирования можно ограничиться той же информацией, что
и в пункте 3. Однако рекомендуется дополнить обучающий курс такими аспектами
совместной деятельности, как методы коллективного принятия решений и методы
управления качеством.
Распределение
ролей в команде. Так как одним из базовых принципов рабочих команд является
ротация ролей, на данном этапе производится первоначальное ранжирование членов
команды. При этом не исключается проведение дискуссии по данному вопросу.
Необходимо предусмотреть следующие обязательные роли:
• делопроизводитель. Человек,
который будет вести документацию команды и будет ответственным за проведение собраний
команды (оповещение, подготовка информации, фиксирование процесса совещания и результатов);
• ответственный за внешние контакты.
На первом этапе вместе с менеджером, а в дальнейшем самостоятельно этот человек
будет осуществлять взаимодействие с поставщиками, заказчиками, смежниками.
Необходимо для данной роли подобрать наиболее коммуникабельного человека,
способного грамотно и профессионально вести переговоры;
• ответственный за
качество. На эту роль в наибольшей степени подходит наиболее опытный и
квалифицированный рабочий. В его задачу будет входить не только контроль
качества, кстати, это задача всей команды, но и подготовка проблем качества для
проведения совещаний (аналогично «кружкам качества»), обучение членов команды
методам управления качеством;
• ответственный за
финансовую сторону деятельности команды. Несмотря на тот факт, что финансовые функции
на начальных этапах полностью остаются у менеджмента, необходимо заранее
наработать навыки ведения дел в данной сфере;
• лидер команды. Даже в самоуправляемой
команде, руководимой менеджером нижнего звена (бригадиром, мастером), есть необходимость
выделение роли менеджера для оперативного управления, замещения лидера- менеджера
на время отсутствия последнего, выражения мнения команды по тем или иным
вопросам.
Указанные
комплексные роли в основном закрывают по своим функциональным характеристикам
целевые и поддерживающие групповые роли.
Уточнение
места конкретной команды в производственном процессе. Определение полномочий и
обязанностей команд на начальном этапе. Обозначение перспектив развития команд.
Предлагается на начальном этапе передать командам функции, обозначенные в табл.
1.3.
Таблица 1.3. - Схема распределения
ответственности команд
исполнителей и менеджеров
на начальном этапе
|
Обязанность
|
Команда исполнителей
|
Верхний уровень менеджмента
|
|
Отбор и увольнение членов команд
|
X
|
X
|
|
Выборы и смещение лидеров команды
|
X
|
X
|
|
Распределение рабочих заданий, учет
произведенной продукции
|
X
|
X
|
|
Выравнивание рабочей нагрузки,
определение времени отдыха и перерывов
|
X
|
|
|
Решение проблем
|
X
|
X
|
|
Проведение собраний команды
|
X
|
X
|
|
Заполнение табелей рабочего времени
|
X
|
|
|
Разработка графика отпусков
|
X
|
|
|
Обучение работников
|
|
X
|
|
|
Наставничество
|
X
|
|
|
|
Консультации по техническим вопросам
|
|
X
|
|
|
Соблюдение технических стандартов. Контроль за качеством и сбор
данных
|
|
X
|
|
|
Расстановка людей для выполнения будущих проектов
|
|
X
|
|
|
Обеспечение консультаций по вопросам служебного продвижения
|
|
X
|
|
|
Анализ и одобрение задач команды
|
|
X
|
|
|
Контакты с поставщиками и потребителями
|
|
X
|
|
|
Опрос мнения потребителей об эффективности команды
|
X
|
|
|
|
Участие в оценке эффективности
|
X
|
|
|
|
Решение дисциплинарных проблем
|
X
|
X
|
|
|
Рекомендации относительно улучшений. Инициатива по ремонту машин
и оборудования
|
X
|
|
|
|
Подготовка бюджетов материально-технического обеспечения и
оплаты труда
|
|
X
|
|
|
|
|
|
|
Вместе с тем
не следует забывать, что самостоятельное решение вопросов, связанных с
количественным и качественным составом команды в значительной мере определяет
психологический климат в команде, и директивное вмешательство менеджеров на
последующих этапах деятельности команды может существенно снизить эффективность
работы команды. Как показали исследования американских ученых, большинство
членов команд очень негативно относятся к вмешательству менеджмента в решение
подобных вопросов.
Как
подчеркивается в ряде работ, становление команды не происходит сиюминутно (по
мнению известного специалиста в теории и практике команд М. Бейерлайна,
становление команд занимает от двух до пяти лет). Необходимо разработать
стратегию развития команд на продолжительный период времени, прежде чем
передавать обозначенные в табл. 1.1. функции командам.
2 ДИАГНОСТИЧЕСКОЕ
ИССЛЕДОВАНИЕ МЕЖЛИЧНОСТНЫХ ОТНОШЕНИЙ В ПРОЦЕССЕ КОМАНДООБРАЗОВАНИЯ
2.1 Организация и
обоснование методов исследования
Целью
экспериментального исследования ставилось изучение межличностных отношений в
группе в процессе командообразования.
В
соответствии с поставленной целью были сформулированы задачи эмпирического
исследования:
—исследование
связи между внутригрупповыми отношениями и уровнем групповой сплоченности;
—исследование
взаимосвязи между внутригрупповыми отношениями, уровнем развития группы как коллектива
и благоприятностью его социально-психологического климата;
—интерпретация
полученных результатов с последующей разработкой практических рекомендаций, направленных
на повышение эффективности командообразования в бригаде быстрого реагирования частного
охранного предприятия.
Характеристика
выборки: в наше исследование был включен такой профессиональный коллектив, для
членов которых характерно повседневное взаимодействие с другими людьми, т.е.
занятые в сфере „человек-человек", -действующая бригада частного охранного
предприятия, на базе которой планируется создание группы быстрого реагирования
в экстренных ситуациях.
Общая выборка
8 человек. Средний возраст участников эксперимента составляет 32 года,
большинство работающих имеют средне-специальное и высшее образование. При этом
следует отметить, что коллектив «молодой», большее число сотрудников работают в
данном коллективе около 3 лет, следовательно, в коллективе есть «текучесть»
кадров.
В
исследования нами были использованы следующие методики: 1) Метод социометрии. Для
определения фактических отношений в исследуемой группе применялась социометрическая
методика. Данная методика позволяет определить положение исследуемого в системе
межличностных отношений той группы, к которой он принадлежит. А также выявить
уровень благополучия взаимоотношений (УБВ). Применение социометрического метода
также позволит выявить категорию людей малокоммуникативных и нежелательных в
команде (категория «отвергаемые» по классификации Морено).
2)
Определение индекса сплоченности. Данные социометрического обследования группы, представленные
в виде матрицы и социограмм, дополняютсясоциометрическимииндексами,количественно
характеризующими
группу. Наиболее известных из них - индекс групповой сплочённости. Он
определяется по формуле:
где
сумма взаимных выборов, сделанных
членами данной группы;
- максимально возможное
число взаимных выборов в данной группе. Оно, в свою очередь, устанавливается по
следующей формуле:
где n - число членов в
изучаемой группе.
Бесспорно,
социометрический метод является весьма оперативным и с его помощью может быть
достаточно чётко выявленная картина эмоциональных тяготений внутри группы, для
обнаружения которой путём наблюдений потребовалось бы отдельное время.
3) В данном
исследовании мы использовали также метод рефентометрии.
Для
определения референтов тестируемым предполагается 10 вопросов-ситуаций (1-А) и
список людей, окружающих их (1-Б) [Приложение 1].
После
осуществлённого выбора следует попросить отложить список 1-Би по пятибалльной
шкале (5,4,3,2,1) оценить каждое из выбранных лиц. Обработка полученных данных
достаточно проста. Все упомянутые лица записываются в отдельных список без
повторений, затем «оценки» лиц заносят в список и суммируются для каждого из
них. После сравнения два- три лица, имеющие наибольшее количество балла,
выписываются на отдельный листок в порядке уменьшения количества баллов. Эти
люди и составляют референтную группу.
4) С целью
диагностики вероятности возникновения дисфункциональных конфликтов необходимо
провести диагностику восприятия членами формируемой команды норм поведения, а
также выявить потенциального лидера - для решения этих задач нами был использован
тест «Диагностика межличностных отношений» Т. Лири);
5) Для
рассмотрения наиболее важного вопроса исследования — существует ли связь между
УБВ, сплоченностью и интеграцией личности в формируемой команде — была
использована «Экспресс-методика» по изучению социально-психологического климата
в трудовом коллективе. Авторами методики являются О.С. Михалюк и А.Ю. Шалыто.
Методика позволяет выявить эмоциональный, поведенческий и когнитивный
компоненты отношений в коллективе, на основании анализа которых составляется
мнение о социально-психологическом климате коллектива в целом. Тестовый
материал и инструкция к методике представлены в (Приложении 3).
Обработка
первичной информации проводилась на персональном компьютерес помощью методов математической
статистики и корреляционного анализа.
2.2 Результаты изучения
межличностных отношений в процессе
командообразования
1) Представим
результаты социометрического исследования Для изучения межличностных отношений
был применён метод социометрии. Все члены группы получили социометрические
карточки. Им дана была инструкция следующего содержания: «Уважаемые сотрудники!
Ваш коллектив существует уже давно. За это время вы хорошо узнали друг друга и
между вами сложились определённые отношения: симпатии и антипатии. С кем-то вы
дружите, хотели бы и дальше продолжать работать вместе, к кому-то испытываете
неприязнь. Представьте себе, что создаётся новая команда, и каждый из вас по
собственному желанию определяет его состав».
Были
предложены следующие вопросы:
Работа: 1. С
кем бы Вы хотели бы работать в одной бригаде? 2. С кем бы Вы не хотели работать
в одной бригаде?
Досуг: 1.
Кого бы Вы хотели пригласить на встречу Нового года? 2. Кого бы вы не хотели
пригласить на встречу Нового года?
Листы с
ответами испытуемых на предложенные вопросы обрабатываются, и имеющаяся в них
информация перенесена нами в социометрическую матрицу (Таблица 1: Работа, Таблица
2: Досуг,
[Приложение
5]).
Анализ
социометрического исследования в группе, позволил выявить лидеров по двум
параметрам.
1. Работа: №4
(6 полученных выборов), №6 (6 полученных выборов)
1. Досуг: №4
(6 полученных выборов), №6 (6 полученных выборов)
По количеству
отклонений можно определить того, кто вызывает к себе наибольшие антипатии.
Исходя из результатов, явного аутсайдера в группе нет, но всё же есть лица,
набравшие наибольшее количество отклонений.
1. Работа: №8
(2 полученных отклонений), №3 (1 отклонение),
В данной
группе нет отвергаемых. Следовательно, в группе нет изолированных от остальных,
не имеющих положительных взаимоотношений с другими членами. То есть можно
говорить о высоком уровне благоприятности взаимоотношений (УБВ). При этом
следует отметить, что результаты по обоим параметрам (работа и досуг)
практически совпадают. Это говорит, на наш взгляд о том, что в члены коллектива
не только работают в дружественно обстановке, но и время и во внерабочее
(досуговое) время. Это подтверждает результаты исследования СПК о положительном
психологическом климате в группе на эмоциональном уровне.
Так же по
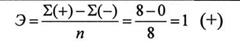
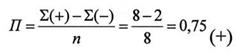
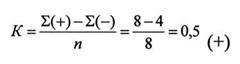
результатам социометрии нами вычислен индекс групповой сплочённости:
где Σ
в.в. - сумма взаимных выборов;
где п - число
членов группы.
Данный индекс
характеризует систему групповых отношений в целом. Полученный результат
свидетельствует не только о благополучном характере отношений в группе, но и о
возможностях его повышения.
Следует отметить,
что группа отличается большим количеством
взаимных
выборов (46) (взаимных отклонений нет), по обоим параметрам.
Данный факт
свидетельствует о том, что в группе сложились устойчивые положительные
взаимосвязи и взаимные неприязни. При этом следует отметить, что взаимные
выборы, чаще всего, обусловлены совместной работой. То есть друг друга выбирают
те люди, которые работают вместе в одной бригаде.
Далее
представим результаты референтометрии, по данным которой была выделена группу
сотрудников, мнение которых является определяющим для большинства данного
коллектива, это №4, №5и№6
Данные лица и
составляют референтную группу данного коллектива.
Таким
образом, результаты социометрии в целом подтверждаются и референтометрией. Выявленный
в результате социометрии лидер (№6) входит в референтную группу исследуемого
коллектива. При этом в референтную группу вошли еще два человека.
Итак, на
первом этапе диагностики межличностных отношений были получены данные,
позволяющие говорить о достаточно высоком УБВ, следовательно, мы можем перейти
к второму этапу исследования, на котором, необходимо провести диагностику
восприятия членами формируемой команды норм поведения, с целью определения
вероятности возникновения дисфункциональных конфликтов, а также подтвердить
(или опровергнуть) позицию потенциального лидера. Использованный для этих целей
тест «Диагностика межличностных отношений» Т. Лири), показал следующие
результаты:
В таблице 2.1
приведены результаты использования теста «Диагностика межличностных отношений»
Т. Лири в исследуемой группе.
Таблица 2.1. - Результаты
исследований по тесту «Диагностика межличностных отношений» Т. Лири
|
№ блока
|
Число баллов по блокам у тестируемых
|
|
1
|
2
|
3
|
4
|
5
|
6
|
7
|
8
|
|
р
|
и
|
р
|
и
|
р
|
и
|
р
|
и
|
р
|
и
|
р
|
и
|
р
|
и
|
р
|
и
|
|
1
|
6
|
9
|
7
|
7
|
8
|
10
|
9
|
11
|
12
|
4
|
9
|
12
|
14
|
14
|
9
|
9
|
|
2
|
5
|
6
|
4
|
7
|
9
|
8
|
7
|
7
|
8
|
8
|
9
|
9
|
9
|
7
|
7
|
|
3
|
5
|
3
|
6
|
7
|
9
|
8
|
6
|
6
|
8
|
8
|
7
|
5
|
4
|
6
|
8
|
9
|
|
4
|
2
|
1
|
3
|
2
|
7
|
6
|
2
|
1
|
2
|
2
|
9
|
5
|
4
|
2
|
4
|
4
|
|
5
|
9
|
2
|
11
|
5
|
1
|
2
|
6
|
2
|
6
|
4
|
6
|
5
|
8
|
3
|
3
|
3
|
|
6
|
4
|
5
|
6
|
6
|
4
|
4
|
6
|
4
|
8
|
8
|
6
|
7
|
7
|
11
|
3
|
3
|
|
7
|
9
|
10
|
8
|
11
|
7
|
7
|
9
|
9
|
9
|
9
|
8
|
10
|
6
|
11
|
9
|
9
|
|
8
|
9
|
9
|
9
|
11
|
6
|
7
|
10
|
10
|
10
|
10
|
9
|
10
|
9
|
12
|
8
|
8
|
Как
показывает анализ результатов исследований по тесту «Диагностика межличностных
отношений» Т. Лири в рассматриваемой группе из восьми человек личностный
профиль сотрудников может быть охарактеризован следующим образом:
I По блоку «Авторитарный»
к категории «Доминантный, энергичный компетентный, авторитетный лидер, успешный
в делах, любит давать советы, требует к себе уважения» относятся (№ 5,3,4,6,7,8).
II По блоку «Эгоистический»
к категории «Эгоистические черты, ориентация на себя, склонность к соперничеству»
относятся и явно проявляют эти качества (№ 3,6,7).
III По блоку «Агрессивный» к
категории «Требовательный, прямолинейный, откровенный, строгий и резкий в
оценке других, непримиримый, склонный во всем обвинять окружающих, насмешливый,
ироничный, раздражительный» подходит № 3,8. У остальных данная характеристика
выражена незначительно.
IV. По блоку
«Подозрительный» к категории, «имеет трезво- реалистический подход к жизни» относится
№6. У остальных данный аспект выражен очень незначительно.
V По блоку «Подчиняемый» к
категории «Покорный, слабовольный, склонный уступать всем и во всем» относится
№1, и (№2).
VI По блоку «Зависимый» относятся
№5 и №7. У остальных данная характеристика выражена незначительно.
VII По блоку «Дружелюбный» к
категории « человек нацеленный на сотрудничество и взаимодействие с
окружающими, занимает активную позицию» относятся №1, 2,4,5,6,8.
VIII По блоку
«Альтруистический» к категории «артистические доброжелательные помогающие» относятся
№1,2,4,5,6,7. (при диапазоне 0-8-12) по категории «Ответственный по отношению к
людям, деликатный, мягкий, добрый и т.п».
Таким
образом, в рассматриваемой группе на роль лидера явно претендует № 6. Что
подтверждается и мнением руководства. Личностный профиль социальных ориентации
№ 6 по Т. Лири приведен на рис. 2.1.
Рис.2.1. Личностный
профиль социальных ориентации потенциального лидера команды (№6)
Тест Лири
показал, что статистически значимые различия в восприятии членами исследуемой
группы норм поведения отсутствуют. Это говорит о возможности создания на базе
данной группы эффективной команды.
Данное
положение подтверждают и результаты оценки социально-психологического климата в
коллективе, представленные в таблице 2.2., где показаны результаты по трем
компонентам - эмоциональному, поведенческому и когнитивному. Суммарные
результаты рассчитаны на основе указанных в методике формул ( преобладание +
говорит о положительной оценке компонента, - об отрицательной и 0 -
нейтральной).
Таблица 2.2.- Оценка
социально-психологического климата в коллективе группы исследуемых
|
№
|
Эмоциональный компонент
|
Поведенческий компонент
|
Когнитивный компонент
|
|
1
|
+ - +
|
+
|
0 + +
|
+
|
+ 00
|
0
|
|
2
|
+ + +
|
+
|
0 + +
|
+
|
+ 00
|
0
|
|
3
|
+ + +
|
+
|
00 +
|
0
|
+ + +
|
+
|
|
4
|
+ + 0
|
+
|
0- +
|
0
|
+ + +
|
+
|
|
5
|
+ + +
|
+
|
0 + +
|
+
|
000
|
0
|
|
6
|
+ + +
|
+
|
0 + +
|
+
|
000
|
0
|
|
7
|
+ + +
|
+
|
+ + +
|
+
|
+ + +
|
+
|
|
8
|
+ + +
|
+
|
0 + +
|
+
|
+ + 0
|
+
|


Как
показывают данные таблицы 1 по всем трем компонентам социально-психологического
климата в коллективе - эмоциональному (в качестве существенного признака
эмоционального компонента рассматривается критерий привлекательности на уровне
понятий «нравится - не нравится», «приятный - не приятный»), поведенческому
(критерий «желание - нежелание работать в данном коллективе», «желание -
нежелание общаться с членами коллектива в сфере досуга») и когнитивному
(переменная «знание - незнание особенностей членов коллектива») получены
положительные результаты, что в целом, позволяет оценить, климат, сложившийся в
коллективе как весьма благоприятный (++ +).
Итак, наша
гипотеза о том, что существует ли связь между УБВ (уровнем благоприятности
взаимоотношений), сплоченностью и интеграцией личности в формируемой команде
полностью подтвердилась - высокий УБВ, определяет достаточный для эффективного
командообразования уровень сплоченности и социально-психологического климата коллектива.
Все члены
исследуемой группы могут быть включены в формируемую команду, лидером которой
должен стать участник исследования под №6.
По
результатам проведенного диагностического исследования руководству частного
охранного предприятия можно рекомендовать в целях эффективного
командообразования (создания группы быстрого реагирования в экстремальных
ситуациях) на базе исследуемого коллектива провести серию специальных
тренингов.
ЗАКЛЮЧЕНИЕ
Анализ
проведенного исследования, позволяет в целом сделать следующие выводы и
рекомендации
1.Команда,
как одна из форм коллективного управления, в отличие от рабочей группы,
построенной на четкой иерархии полномочий, основана на процессе делегирования
полномочий. Почти все организации наделяют менеджеров различных уровней
ответственностью за более широкий круг задач, нежели тот, с которым они могли
бы справиться лично. Для того чтобы они могли нести эту ответственность и создаются
те или иные формы коллективного управления, основанные на перераспределении
ответственности. В успешных управленческих группах выработка и принятие решений
осуществляется непосредственно группой, а роль администратора сводится к тому,
чтобы создать для этого необходимые условия, определить границы пространства
решения и дать в затруднительном случае необходимый совет.
Команда
образуется из рабочей группы путем специальных мероприятий, направленных на
более полное раскрытие творческого потенциала, создание психологической
совместимости всех членов команды, устранение стереотипов и увязывание
индивидуальных интересов в поле общей деятельности. В рабочей группе все это
может присутствовать, но в гораздо меньшей степени (а обычно какие-то из этих
параметров отсутствуют). Команда естественным путем не образуется. Деятельность
команды гораздо эффективнее, чем группы. И совершенству здесь нет предела.
2.Эффективное
функционирование команд предполагает выведение на новый уровень межличностных
отношений в команде. От того насколько развита степень сотрудничества в
команде, во многом зависит эффективность последней. Вместе с тем команды, как
правило, не создаются на пустом месте (если только речь не идет о вновь создаваемом
предприятии или подразделении), поэтому немаловажный фактор играют уже сложившееся
межличностные отношения, один из важнейших компонентов организационной культуры.
Поэтому в
качестве первого шага в процессе командообразования предлагается процедура
исследования межличностных отношений в подразделениях, в рамках которых
планируется создать команды. Среди известных методов формирования групп нами
были выделены следующие:
Социометрический
метод Дж. Морено [28, 44, 41, 40]. Метод позволяет определить общий уровень взаимоотношений
(благополучия) в группе и ранжировать членов группы от категории «отвергаемых»
до категории «звезд» (людей, пользующихся наибольшей популярностью, симпатией в
группе), потенциальную способность человека к лидерству.
Тест
«Диагностика межличностных отношений» Т. Лири [41, 40]. Тест позволяет выявить
потенциальных лидеров и достаточно подробно характеризует отношение человека к
окружающим людям по 21 группе, сведенным в 8 блоков: авторитарный,
эгоистический, агрессивный, подозрительный, подчиняемый, зависимый,
дружелюбный, альтруистический.
Экспресс-методика
определения социально-психологического климата в коллективе О.С. Михалюк и А.Ю.
Шалыто. Специфика и одновременно сложность социально-психологического климата
состоит, прежде всего в том, что он дает наиболее интегральную и динамическую
характеристику психологического состояния всех проявлений жизни коллектива.
СПК
определяет собой не только меру включенности каждого индивида в деятельность,
но ее эффективность в конечном итоге. Влияние атмосферы на личность может быть
двояким: как стимулирующим, так и тормозящим. Очевидна актуальность задачи
диагностики, прогнозирования и регулирования СПКа в процессе
командообразования.
Учитывая
специфику изложенных методов параллельно с анализом межличностных отношений,
целесообразно провести и анализ характеристик отдельных личностей для
последующего комплектования команд.
3.
Использование перечисленных выше методик для диагностики межличностных
отношений в коллективе сотрудников частного охранного предприятия, на базе
которого планируется создание команды (группыбыстрого реагирования в экстремальных
ситуациях), позволило сделать следующие выводы:
- определяющим фактором для
эффективного командообразования на базе действующего коллектива, являются
межличностные взаимоотношения его членов. Последние опосредуют степень
удовлетворенности своей работой и психологическое самочувствие каждого
работника, и в конечном итоге, результаты профессиональной деятельности
коллектива;
- ключевое значение для эффективного
командообразования имеют взаимоотношения между сотрудниками, определяющие социально-
психологический климат в коллективе. Как показало наше исследование, в коллективе,
где структура межличностных отношений близка к оптимальной - отсутствие отвергаемых,
большое количество взаимных выборов, царит благоприятный
социально-психологический климат;
среди
факторов, которые мешают формированию эффективного командообразования, по
данным включенного наблюдения можно назвать: психологическая несовместимость,
некомпетентность, отсутствие самокритики, завышенная требовательность,
настроение руководителя. Причинами конфликтов в действующем коллективе являются
нечеткость в ее организации, стресс-факторы связанные со спецификой
деятельности, неправильное распределение должностных обязанностей;
-эффективному
командообразованию, сплочению единства, поднятию настроения и формированию положительного
общественного мнения способствуют высокий профессионализм, общая культура,
общие увлечения коллег, приоритетность производственных интересов и общения вне
работы. Поэтому руководители должны внимательнее подходить к распределению должностных
обязанностей в своих подразделениях, учитывать психологическую совместимость
при выполнении совместных работ, уметь находить компромиссные решения в опорных
вопросах, применять современные методы в работе с кадрами, в частности тренинги
командообразования.
Таким
образом, цель исследования достигнута, гипотезы подтверждены.
СПИСОК ЛИТЕРАТУРЫ
1.
Американская
экономика: человек, технический прогресс и предпринимательство / В.Б. Супян,
А.Р Даниелов, В.Б. Беневоленский и др. - М: Наука, 2003. - 240 с.
2.
Андреев
Б.Г., Черевань В.П. Производственные бригады нового типа: руководство их
развитием. - М.: Мысль, 2004. - 271 с.
3.
Андреева
Г. М Социальная психология. М., 1994. - 375 с.
4.
Андреева
Г. М., Богомолова Н. Н., Петровская Л. А. Современная социальная психология на
Западе. М., 1978.
5.
Аоки
М. Фирма в японской экономике. - СПб.: Лениздат, 1995. - 431 с.
6.
Армстронг
М. Основы менеджмента. - Ростов-на-Дону: «Феникс», 2005.-512 с.
7.
Бронштейн
В.В. Коллективный подряд: проблемы и перспективы. - М.: Экономика, 1999. - 140
с.
8.
Базаров
Т.Ю. Культура организации// Бюллетень финансовой информации, № 11,1996.
9.
Базаров
Т.Ю., Рыбкин И. В., Пыркова Т.С. Управленческие команды и их формирование //www.cpt21.ru/old/bookl/ 5uprkom.htm.
10.
Батаршев
А.В. Психология личности и общения. М. 2004г.
11.
БазаровТ.Ю..
Управление персоналом развивающейся организации: Учебное пособие. М., 1996.
12.
Бойетт
Дж.Г., Бойетт Дж.Т. Путеводитель по царству мудрости: Лучшие идеи мастеров
управления
13.
Борисов
В.В. О труде совместном и коллективном // Материалы Международной НПК «Россия
на пороге XXI века», 27-28 мая. - Архангельск, 1999.-С.304-305.
14.
Бунич
П. Самофинансирование основного хозяйственного звена: предпосылки, сущность,
проблемы и тенденции //Труд. - 2001. - №9. - С. 10-19.
15.
Винокуров
Л. В. Хрестоматия. Психология работы с персоналом - С. П. 2001г.
16.
Виссема
X. Управление бизнес-единицами:
децентрализация предпринимательства // www.cfin.ru/press/management/2005-4/03 .shtml.
17.
Ворожейкин
И.Е. Соревнование: от прошлого к настоящему. - М.: Советская Россия, 1990. -
330 с.
18.
Вудкок
М., Френсис Д. Раскрепощенный менеджер. М., 1991.
19.
Гайдар
Е.Т. Аномалии экономического роста. - М.: Евразия , 1997. - 215 с.
20.
Гвишиани
Д.М. Организация и управление. Социологический анализ буржуазных теорий. - М.:
Наука, 1970. - 382 с.
21.
Грачев
М.В. Управление трудом. - М.: Наука, 2005. - 137 с.
22.
Грейсон
Дж.К.мл., (УДелл К. Американский менеджмент на пороге XXI века: Пер. с англ.
/Авт.предисл. Б.З.Мильнер. - М.: Экономика, 2004. - 319 с.
23.
Гроув
Э. Высокоэффективный менеджмент. М., 1996.
24.
Донцов
А.И. Психология коллектива (Методол. проблемы исследования): Учеб.пособие. -
М.: Изд-во Моск. ун-та, 1984. - 208 с.
25.
Егоршин
А.П. Управление персоналом. - Н.Новгород: НИМБ, 2003. - 607 с.
26.
Забарина
Т. В. Участие персонала в управлении как одна из возможностей решения экономических
проблем // Вестник КазГУ. Серия экономическая. - 1998. - №10. - С. 18-22.
27.
Захаров
И.В., Ляхович Е.С. Миссия университетов в европейской культуре. - М.: Фонд
"Новое тысячелетие", 1994. - 240 с.
28.
Зотов
В.В., Ленский Е.В. Задачи и организационные основы менеджмента.М., 1996.
29.
Инновационный
менеджмент / под ред.С.Д. Ильенковой. М., 1997.
30.
Карякин
A.M. Рабочие команды: основы
теории и практики. - Иван, гос. энерг. ун-т. - Иваново, 1997. - 116 с.
31.
Карякин
A.M. Совершенствование управления
предприятиями в наукоемких отраслях на основе динамических структур. - Иваново:
ИвГУ, 1999.-126 с.
32.
Карякин
A.M. Совершенствование управления
предприятиями в сфере наукоемкого производства и инновационной деятельности на
основе концепции рабочих команд. - Иван. гос. эн. ун-т. - Иваново, 1998. - 160
с.
33.
Коно Т.
Стратегия и структура японских предприятий: Пер. с англ./Общ. ред. и вступ. ст.
О.С.Виханского. - М.: Прогресс, 2004. - 384 с.
34.
Лебедев A. Microsoft
Solutions Framework. Модель проектной группы //Решения Microsoft, N4. - М.: Компьютер
Пресс, 1998. - С. 16-20.
35.
Лященко
П.И. История народного хозяйства СССР. В 3-х т. Т.1. - М.: Гос.изд-во
полит.лит-ры, 1950. - 656 с.
36.
Майер
Р. О чудесах и чудовищах. Стахановское движение и сталинизм.
//"Отечественная история", №3 - М.: Наука, 1993.
37.
Машков
В.Н. Психология управления. - С-Пб: Изд-во В.А. Михайлова, 2005. - 208 с.
38.
Мерсер
Д. ИБМ: управление в самой преуспевающей корпорации мира: Пер. с англ. - М.:
Прогресс, 1991. - 456 с.
39.
Мескон
М.Х., Альберт М, Хедоури Ф. Основы менеджмента: Пер.с англ. - М.: Дело, 2002. -
702 с.
40.
Мильнер
Б.З. Теория организаций. - М.: ИНФРА-М, 2004. - 336 с.
41.
Михеев
В. Современная команда менеджмента проекта // Директор информационных систем,
№5, 2004.
42.
Никитенко
А.И., Давыдович Д.Д. Организация работы персонала в рамках реинжениринга бизнес
процессов // «Экономика, экология и общество России в 21-м столетии», Труды 3-й
Международной НПК. - СПб: Изд-во СПбГТУ,2001.- С.654-660.
43.
Ньюстрем
Дж.В., Дэвис К. Организационное поведение. - СПб: «Питер», 2000. - 448 с.
44.
Олдхем
Д. Культура организации. М.,1991
45.
Организационное
поведение /Под ред. Э.М.Короткова и А.Н.Силина. - Тюмень: Вектор Бук, 2004. -
308 с.
46.
Основы
менеджмента / Под ред. А.А.Радугина. - М.: Центр, 2005. - 432 с.
47.
Обозов
Н.Н. Межличностные отношения. М. 1998г.
48.
О'Шонесси
Дж. Принципы организации управления фирмой. - М.: Прогресс, 1979.-420 с.
49.
Психология.
Под редакцией А. А. Крылова -М. 2001г.
50.
Пригожий
А.И. Современная социология организаций. М., 1995.
51.
Психологические
тесты для деловых людей / Под ред. Н.А. Литвинцева. - М.:ВИНИТИ, 2004. - 317 с.
52.
Пугачев
В.П. Тесты, деловые игры, тренинги в управлении персоналом. - М: Аспект Пресс,
2005. - 285 с.
53.
Рогов
Е.И Психология. 2001г.
54.
Русинов
Ф.М., Никулин Л.Ф., Фаткин Л.В. Менеджмент и самоменеджмент в системе рыночных
отношений. - М.:ИНФРА-М, 2006. - 352 с.
55.
Самыгин
СИ., Столяренко Л.Д. Психология управления. - Ростов н/Д.: Изд-во «Феникс»,
1997. - 512 с.
56.
Синк Д.С.
Управление производительностью: планирование, измерение и оценка, контроль и
повышение. - М.: Прогресс, 1989. - 528 с.
57.
Соколин
Б. Кризисная экономика России: рубеж тысячелетий. - СПб: Лики России, 1997. -
350 с.
58.
Уткин
Э.А., Кочеткова А.И. Управление фирмой - М.: АКАЛИС, 1996.-516 с.
59.
Фалмер
P.M. Энциклопедия современного
управления. Т.З. -М.: ВИПКэнерго, 2002.- 109 с.
60.
Фаткин
Л., Морозова К. Командообразование в организации как фактор эффективности
совместной деятельности // Проблемы теории и практики управления, №1, 2001 -http://www.ptpu/isues/l_01/%2020_ l_01.htm.
61.
Шамхалов
Ф.И. Американский менеджмент: теория и практика. - М.: Наука, 1993.-176 с.
62.
Шпалинский
В.В. Управление персоналом современной организации. - М.: Бизнес-школа
"Интел-Синтез", 2006. - 300 с.