Кризис среднего возраста, гендерные отношения
Кризис среднего возраста, гендерные отношения
Содержание
Введение
1.
Теоретические подходы к проблеме кризиса середины жизни
1.1 Понятие и
сущность возрастных кризисов
1.2 Фазы
кризиса
1.3
Особенности кризисов взрослых
1.4 Особенности
кризиса середины жизни
1.5 Изменение
образа жизни в период кризиса
2.
Эмпирическое исследование психологического состояния в период кризиса среднего
возраста
2.1 Задачи и
гипотеза исследования
2.2 Анализ и
интерпретация результатов
Заключение
Список
литературы
Приложение 1
Приложение 2
Введение
Актуальность темы работы обусловлена
тем, что психология возрастных кризисов является сегодня мало разработанной
областью. В возрастной психологии наиболее подробно исследованы вопросы
развития детей и подростков. И это понятно, так как в эти периоды развитие
происходит очень быстро и напрямую связано с ростом и физиологическими изменениями.
Оно во многом определяется внешними факторами, а промежуточные результаты доступны
наблюдению. Как правило, случаи трудно протекающих возрастных кризисов у
взрослых людей рассматриваются просто как индивидуально-биографические
осложнения без учета возрастной специфики.
Тем не менее, психологические
исследования показывают, что кризис середины жизни является весьма
распространенным явлением. Главной особенностью прохождения кризиса является
то, что человек всегда сам, и только сам может пережить события, обстоятельства
и изменения своей жизни, породившие кризис. Никто за него этого сделать не
может, как не может самый искушенный учитель понять за своего ученика
объясняемый материал. Но процессом переживания можно в какой-то степени
управлять — стимулировать его, организовывать, направлять, обеспечивать благоприятные
для него условия, стремясь к тому, чтобы этот процесс вел к росту и совершенствованию
личности или, по крайней мере, не шел патологическим или социально неприемлемым
путем, таким как алкоголизм, наркомания, токсикомания, формирование
лекарственной зависимости, невротизация, психопатизация, суицидальное
поведение. Таким образом, необходимо изучать особенности этого кризиса и искать
пути управления. Это обусловило актуальность темы работы и интерес к ее
изучению.
Целью работы является изучение
особенностей кризиса середины жизни.
Задачи работы:
Рассмотреть понятие и сущность
возрастных кризисов
Выделить фазы кризиса
Проанализировать особенности кризисов
взрослых, в частности кризисов 40 -45 лет
Выделить основные изменения образа
жизни в четырех измерениях.
Составить анкету согласно выделенным
изменениям образа жизни,
Провести эмпирическое исследование
психологического состояния мужчин и женщин в 40-45-летнем возрасте.
Объект исследования: мужчины и
женщины 40-45 лет
Предмет исследования: кризис середины
жизни
Гипотеза исследования: в возрасте
40-45 лет мужчины и женщины переживают состояние которое можно назвать
кризисным, однако протекание этого состояния происходит по-разному.
1. Теоретические подходы к проблеме кризиса середины жизни
Кризис, от греческого krineo,
буквально означает «разделение дорог». В китайском языке слово «кризис» состоит
из двух иероглифов, один из которых означает «опасность», а другой —
«возможность». Таким образом, слово «кризис» несет в себе оттенок
чрезвычайности, угрозы и необходимости в действии. Само понятие «кризис»
реально означает острую ситуацию для принятия какого-то решения, поворотный
пункт, важнейший момент.
Кризис определяется психологически
как ситуация невозможности, невозможности дальнейшего существования в прежнем
статусе, т. е. такая ситуация, в которой субъект сталкивается с невозможностью
реализации внутренних необходимостей своей жизни (мотивов, стремлений, ценностей).
При упоминании о кризисе имеется в виду острое эмоциональное состояние,
возникающее в ситуации столкновения личности с препятствием на пути
удовлетворения ее важнейших жизненных потребностей, препятствием, которое не
может быть устранено способами решения проблемы, известными личности из ее
прошлого жизненного опыта. Психологический кризис — это внутреннее нарушение
эмоционального баланса, наступающее под влиянием угрозы, создаваемой внешними
обстоятельствами.
В психологии обычно выделяют возрастные
кризисы и ситуационные кризисы.
Возраст — качественно специфическая
ступень онтогенетического развития человека. Каждый возраст в человеческой
жизни имеет определенные нормативы, при помощи которых можно оценить
адекватность развития индивида и которые касаются психофизического,
интеллектуального, эмоционального и личностного развития. Эти нормативы
обозначаются также как задачи возрастного развития. Переход к следующему этапу
происходит в форме кризисов возрастного развития, или возрастных кризисов. Это
относительно небольшие по времени (до года) периоды онтогенеза, характеризующиеся
резкими психологическими изменениями. Форма, длительность и острота кризиса
может значительно различаться в зависимости от индивидуально-типологических
особенностей человека, социальных и микросоциальных условий.
В отечественной психологии термин
«возрастной кризис» был введен Л.С. Выготским и определен как целостное
изменение личности ребенка, регулярно возникающее при смене стабильных
периодов. По Выготскому, возрастной кризис обусловлен возникновением основных
новообразований предшествующего стабильного периода, которые приводят к разрушению
одной социальной ситуации развития и возникновению другой, адекватной новому
психологическому облику ребенка. Механизм смены социальных ситуаций составляет
психологическое содержание возрастного кризиса.
Ряд исследователей считают
возрастные кризисы нормативным процессом, необходимым элементом социализации,
обусловленным логикой личностного развития и необходимостью разрешения основного
возрастного противоречия (3. Фрейд, Э. Эриксон, Л. Выготский, Л. Божович).
Другие авторы видят в возрастных кризисах девиантное, злокачественное
проявление индивидуального развития (С.Л. Рубинштейн, А.В. Запорожец).
Выделяют восемь возрастных кризисов.
Пять из них приходятся на детский возраст. Шестой свойствен молодым взрослым
людям. Седьмой кризис переживается в сорокалетнем возрасте (плюс-минус два
года). Восьмой по счету и последний кризис жизненного пути переживается во
время старения.
При описании развития взрослых
необходимо также учитывать внутриличностную и межличностную гетерохронность, т.
е. несовпадение у одного человека темпов развития различных процессов
(биологических, социальных, познавательных) и несовпадение этих темпов у разных
людей.
Кроме того, нужно помнить, что
развитие взрослых, во время которого осуществляются важнейшие личностные выборы
(профессиональные, отношение к любви, браку, семье, друзьям, ценностям, своему
образу жизни), является суммой не только эволюционных, но и инволюционных процессов.
Помимо отмеченных факторов,
осложняющих периодизацию взрослости, необходимо добавить еще один, может быть,
наиболее существенный. Для описания развития взрослого человека недостаточно
выделения только биологической и психической линий. Необходимо рассматривать и
духовный аспект жизни, поскольку он не только существенно влияет на динамику развития,
но и определяет качественные изменения.
Примем за исходную посылку, что при
переходе от одной возрастной стадии развития к другой существуют критические
периоды, или кризисы, когда происходит разрушение прежней формы отношений
человека с окружающим миром и формирование новой системы взаимоотношений с
миром и людьми, что сопровождается значительными психологическими трудностями
для самого человека и его социального окружения.
Многие авторы (Ниемеля, 1982;
Эриксон, 1996), рассматривая периодизацию жизни взрослого человека, пишут не
просто о наличии в ней возрастных кризисов, но и об их необходимости для
продолжения процесса развития. Действительно, в течение кризисных периодов
человек совершает важную духовную работу: выявляет противоречия между тем, кто
он есть на самом деле и кем хотел бы быть, что имеет и что хотел бы иметь. В
эти периоды он начинает понимать, что некоторые моменты своей жизни он
переоценивал, а другие — недооценивал. Человек может осознать, что не проявляет
свои способности, не реализует идеалы. При этом у него может появиться смутное
чувство, что с ним что-то не так. И лишь когда человек начинает понимать, что
ему необходимо изменить что-то не в социальном окружении, а в себе самом, лишь
тогда он начинает строить новую жизнь на реальной основе.
Сущностью каждого кризиса является
выбор, который человек должен сделать между двумя альтернативными вариантами
решения возрастных задач развития. Принятое решение сказывается на успешности и
развитии всей последующей жизни.
По мнению Выготского, кризис, или
критический период, — время качественных позитивных изменений, результатом
которых является переход личности на новую, более высокую ступень развития.
Содержание кризиса — это распад сложившейся социальной ситуации развития и
возникновение новой. Основными характеристиками кризисных периодов, по Выготскому,
можно назвать:
• наличие резких изменений в
короткие отрезки времени;
• неотчетливость границ кризиса, т.
е. трудность определения моментов его наступления и окончания;
• конфликты с окружающими и
трудновоспитуемость ребенка, выпадение его из системы педагогического
воздействия;
• наличие разрушения в развитии: «на
первый план выдвигаются процессы отмирания и свертывания, распада и разложения
того, что образовывалось на предшествующей стадии» (Выготский, 1984).
Положения Выготского применимы и для
понимания закономерностей развития взрослых.
В отличие от Выготского и его
последователей А.Н. Леонтьев разделяет понятия «критический период» и «кризис».
Если критический период — неизбежный переход с одной стадии психического
развития на другую, то при адекватном управлении процессом развития извне
кризисов может не быть (Леонтьев, 1981). Возникновение новой деятельности
связано с механизмом возникновения новых мотивов, со «сдвигом мотива на цель».
Кризис (болезненный, острый период в развитии) не есть необходимый симптом
перехода от одного стабильного периода к другому, от одной ведущей деятельности
к другой (Леонтьев, 1983).
Д.Б. Эльконин определил кризисы как
переходы от одной системы к другой (от овладения мотивационно-потребностной
сферой к операционально-технической и наоборот). При этом переходы между
эпохами названы «большими» кризисами. В этот момент открывается новая эпоха и
новый период развития мотивационно-потребностной сферы. Переход между периодами
внутри одной эпохи характеризуется как «малый» кризис.
Итак, в целом в отечественной
психологии существуют две принципиальные позиции в понимании критических
возрастов.
1. Признание критических возрастов
необходимыми моментами развития, в которых происходит особая психологическая
работа, состоящая из двух противонаправленных, но единых в своей основе
преобразований: возникновение новообразования (преобразование структуры
личности) и возникновение новой ситуации развития (преобразование социальной
ситуации развития). Это позиция Л.С. Выготского и Д.Б. Эльконина.
2. Признание необходимости
качественных преобразований, которые состоят в смене ведущей деятельности и
одновременном переходе в новую систему отношений. При этом акцент делается на
внешних условиях, социальных, а не на психологических механизмах развития. В
таком виде позиция представлена А.Н. Леонтьевым, Л.И. Божович и др. В зарубежной,
а в последние годы — и в отечественной психологии многие авторы исходят из
представления о нормативности, необходимости кризисов. В настоящее время такой
подход является общепризнанным, хотя и идут дискуссии по поводу механизмов
кризисов, их привязанности к конкретным возрастам и событиям и т. д.
Д. Левинсон (Levinson, 1978; 1986)
рассматривает развитие как регулярную последовательность стабильных и
переходных стадий. Примерно в 30 лет возникает необходимость пересмотра своих
жизненных схем, причем, если обнаруживается их неправильность, возникает
потребность в их изменении. При этом возможна дифференциация перехода по
половому признаку: мужчины чаще пересматривают собственные карьерные установки
и способы их реализации, женщины — делают окончательный выбор между карьерой и
семьей.
Л.С. Выготский (1984) ввел деление
кризисного возраста на предкритическую, собственно критическую и
посткритическую фазы. В предкритической фазе возникает противоречие между
объективной и субъективной составляющими социальной ситуации развития (средой и
отношением человека к среде). В собственно критической фазе это противоречие
обостряется и проявляется, обнаруживая себя, и достигает своего апогея. Затем в
посткритической фазе противоречие разрешается через образование новой социальной
ситуации развития, через установление новой гармонии между ее составляющими.
Предкритическая фаза состоит в том,
что человеку открывается неполнота той реальной формы, в которой он живет.
Такое открытие возможно лишь на основе возникновения представления об иной,
новой идеальной форме. Человеку открылось нечто иное, ожидающее его в будущем,
образ нового поведения. До подобного открытия человек довольствуется сегодняшними
проблемами и их решениями. В переломные моменты жизни этого оказывается
недостаточно. Иное, будущее, предстоящее оказывается привлекательным, притягивающим.
Обнаружить это открытие будущего можно лишь косвенно, поскольку оно
нерефлексивно. Этот этап можно назвать этапом эмансипации: в предшествующий
стабильный период ребенок был полностью погружен в текущую ситуацию, теперь эта
ситуация представляется ему пока еще как привлекательная, но уже лишь как одна
из многих.
Далее наступает собственно
критическая фаза, состоящая из трех этапов.
На первом этапе происходит попытка
непосредственно реализовать наиболее общие представления об идеальной форме в
реальных жизненных ситуациях. Открыв новое, иное, отсутствующее у него, человек
сразу же пытается «попасть» в это другое измерение. Специфика этого этапа
связана с особенностями самой идеальной формы, с тем, что идеальная форма существует
в культуре не обособленно, не сама по себе, а в разнообразных воплощениях.
Далее наступает этап конфликта —
необходимое условие нормального развития в кризисе, позволяющее человеку и
окружающим его людям предельно обнажить собственные позиции. Позитивный смысл
этого этапа состоит в том, что для человека раскрывается невозможность прямого
воплощения идеальной формы в реальную жизнь. До конфликта единственной преградой
для материализации идеальной формы остаются внешние ограничители — старые формы
жизни и взаимоотношений. Конфликт создает условия для дифференциации этих
ограничителей. Посредством конфликта обнаруживается, что часть из них действительно
была связана с теряющими свою актуальность табу (и они затем убираются), но
какая-то часть связана и с собственной недостаточностью (неумением, отсутствием
способностей). В конфликте с предельной ясностью обнажаются и эмоционально
переживаются преграды к реализации идеальной формы. Внешние преграды затем
убираются, но остаются внутренние, связанные с недостаточностью собственных
способностей. Именно в этот момент и возникает мотивация новой деятельности,
создаются условия для преодоления кризиса. Именно в фазе конфликта происходит
обнаружение человеком нового «жизненного значения» (Запорожец, 1986).
Прежде чем критическая фаза
завершится, должен произойти третий этап — рефлексия собственных способностей,
должно возникнуть новообразование кризиса. Здесь мы рассматриваем рефлексию как
этап кризиса, представляющий собой интерио-ризацию конфликта между желаемым и
реальным. Интеллектуальная рефлексия может быть лишь одной из форм
рефлексивного отношения к собственным возможностям.
Кризис завершается посткритической
фазой, представляющей собой создание новой социальной ситуации развития. В этой
фазе завершается переход «реальное-идеальное» и «свое-иное» (Эльконин, 1994),
принимаются новые формы культурной трансляции идеальной формы (новая ведущая деятельность),
происходит поиск нового «значимого другого». Реализуется новая форма —
идеальная, а не идеализированная, полноценная, а не формальная.
У взрослых большинство
исследователей выделяет три основных кризиса: кризис молодости, кризис
«середины жизни» и кризис старости, а также ряд менее значимых критических
периодов.
Стадия ранней зрелости, или
молодость (20—30 лет), соответствует вступлению человека в интенсивную личную
жизнь и профессиональную деятельность, периоду «становления», самоутверждения
себя в любви, сексе, карьере, семье, обществе.
В зрелые годы выделяют также кризис
(примерно в 33—35 лет), когда, достигнув определенного социального и семейного
положения, человек с тревогой начинает думать: «Неужели это все, что может дать
мне жизнь? Неужели нет ничего лучшего?» Затем наступает недолгий (около десяти
лет) период стабилизации, когда человек закрепляет все то, чего он достиг, уверен
в своем профессиональном мастерстве, в своем авторитете, имеет приемлемый
уровень успеха в карьере и материального достатка, нормализуется здоровье,
положение в семье, сексе.
Вслед за периодом стабильности
наступает критическое десятилетие «среднего возраста» (45—55 лет), когда
появляются первые признаки ухудшения здоровья, потери красоты и физической
формы, отчуждения в семье и в отношениях с повзрослевшими детьми, приходит
опасение, что уже ничего лучшего не получишь в жизни, в карьере, в любви. В
результате возникает чувство усталости от надоевшей действительности,
депрессивные настроения, от которых человек прячется либо в мечтах о новых
любовных победах, либо в реальных попытках «доказать свою молодость» через
любовные интриги или взлет карьеры.
Завершающий период зрелости (55—65
лет) — период физиологического и психологического равновесия, снижения сексуального
напряжения, постепенного отхода человека от активной трудовой и социальной
жизни.
Предпосылки и протекание кризиса
Кризис
середины жизни, кризис 40-летия, получил наибольшую известность и одновременно
наиболее противоречивые оценки. Первые признаки кризиса, разлада внутреннего
мира – изменение отношения к тому, что раньше казалось важным, значимым,
интересным, или напротив, отталкивающим. Кризис «идентичности выражается в
переживании чувства нетождественности самому себе, того, что стал иным.
По
крайней мере, один из моментов кризиса связан с проблемой убывающих физических
сил, привлекательности. Открытие убывающих жизненных сил – жестокий удар по
самооценке и Я – концепции.
Это психологический феномен,
переживаемый людьми, достигшими возраста 40—45 лет, и заключающийся в
критической оценке и переоценке того, что было достигнуто в жизни к этому
времени. К сожалению, очень часто эта переоценка приводит к пониманию того, что
«жизнь прошла бессмысленно и время уже потеряно». В результате доминирующими в
общем фоне настроений становятся депрессивные состояния.
Как считал К. Юнг, чем ближе
середина жизни, тем сильнее человеку кажется, что найдены правильные идеалы,
принципы поведения. Однако слишком часто социальное утверждение происходит за
счет потери целостности личности, гипертрофированного развития той или иной ее
стороны. Кроме того, многие пытаются перенести психологию фазы молодости через
порог зрелости. Поэтому в 35—40 лет учащаются депрессии, те или иные
невротические расстройства, которые и свидетельствуют о наступлении кризиса. По
мнению Юнга, сущностью этого кризиса является встреча человека со своим
бессознательным. Но для того чтобы человек мог встретиться со своим
бессознательным, он должен осуществить переход от экстенсивной позиции к
интенсивной, от стремления расширить и завоевать жизненное пространство — к
концентрации внимания на своей самости. Тогда вторая половина жизни послужит
для достижения мудрости, кульминации творчества, а не невроза и отчаяния.
Хочется особо подчеркнуть слова Юнга о том, что душа человека второй половины
жизни глубинно, удивительно изменяется. Но, к сожалению, пишет Юнг, большинство
умных и образованных людей не подозревают о возможности этих изменений и
вследствие этого вступают во вторую половину жизни неподготовленными (Юнг,
1993).
Близкие взгляды насущность кризиса
«середины жизни» высказывал Б. Ливехуд. Он называл возраст 35—45 лет
своеобразной точкой расходящихся путей. Один из путей — это постепенная
психическая инволюция человека в соответствии с его физической инволюцией.
Другой — продолжение психической эволюции несмотря на физическую инволюцию.
Следование первому или второму пути определяется степенью развитости в нем
духовного начала. Поэтому итогом кризиса должно стать обращение человека к
своему духовному развитию, и тогда по ту сторону кризиса он будет продолжать
интенсивно развиваться, черпая силы из духовного источника. В противном случае
он становится «к середине пятого десятка трагической личностью, испытывающей
грусть по старым добрым временам, чувствующим угрозу для себя во всем новом»
(Ливехуд, 1994).
Большое значение кризису «середины
жизни» придавал Э. Эриксон. Возраст 30—40 лет он называл «десятилетием роковой
черты», главными проблемами которого являются убывание физических сил,
жизненной энергии и уменьшение сексуальной привлекательности. К этому возрасту,
как правило, появляется осознание расхождения между мечтами, жизненными целями
человека и его реальным положением. И если двадцатилетний человек
рассматривается как многообещающий, то 40 лет — это время исполнения данных
когда-то обещаний. Успешное разрешение кризиса, по Эриксону, приводит к
формированию у человека генеративности (продуктивности, неуспокоенности),
которая включает стремление человека к росту, заботу о следующем поколении и о
собственном вкладе в развитие жизни на Земле. В противном случае формируется
застой, которому могут соответствовать чувство опустошения, регрессия. Человек
может начать потакать собственным желаниям и удовольствиям, как если бы был
собственным ребенком (Эриксон, 1996).
М. Пек (Пек, 1996) обращает особое
внимание на болезненность перехода от одной жизненной стадии к другой. Причину
этого он видит в трудности расставания с выношенными идеями, привычными
методами работы, ракурсами, с которых привычно смотреть на мир. Многие люди, по
мнению Пека, не хотят или не способны выдерживать душевную боль, связанную с
процессом отказа от того, что они переросли. Поэтому они цепляются за старые
стереотипы мышления и поведения, отказываясь разрешать кризис. Страх изменений
затрудняет или даже делает невозможным успешное разрешение кризиса.
В конце юности и начале взрослости
многие считают, что лучшие годы уже позади, а предстоящее время жизни
представляется им в виде некой гигантской «черной дыры», в которой предстоит
провести по меньшей мере лет двадцать своей жизни.
По мнению лиц, придерживающихся этой
точки зрения, рост и развитие человека прекращаются, когда он достигает средней
взрослости. Человеку в этот период жизни придется распрощаться как со своими
юношескими мечтами, так и с планами в отношении профессиональной карьеры,
семейной жизни и личного счастья. Если молодость — это надежды, то середина жизни
— это застой и страхи, связанные с потерей здоровья и возможностью реализоваться
в этой жизни.
Убывание физических сил и
привлекательности — одна из главных проблем, с которыми сталкивается человек и
в годы кризиса среднего возраста, и позже. Для тех, кто в молодости полагался
на свои физические качества, средний возраст может стать периодом тяжелой
депрессии.
Второй главный вопрос среднего
возраста — это сексуальность. У человека среднего возраста часто изменяются
сексуальные интересы, потребности и возможности, особенно по мере того, как
подрастают дети. Многие люди поражаются тому, сколь большую роль играла
сексуальность в их отношениях с людьми, когда они были моложе.
Удачное достижение зрелости в
среднем возрасте требует значительной «эмоциональной гибкости» — способности
изменять эмоциональный вклад в отношения с разными людьми и разными видами
деятельности. Эмоциональная гибкость необходима в любом возрасте, но в среднем
возрасте, по мере того как умирают родители, подрастают и покидают дом дети,
она становится особенно важной (Крайг, 2003).
Другой, тоже необходимый, вид
гибкости — это «духовная гибкость». Среди людей зрелого возраста существует
тенденция к росту ригидности во взглядах и действиях, к тому, чтобы сделать
свои умы закрытыми для новых идей. Эту умственную закрытость следует
преодолеть, иначе она перерастает в нетерпимость или фанатизм. Кроме того,
жесткие установки ведут к ошибкам и неспособности воспринимать творческие
решения проблем. Успешное разрешение кризиса включает обычно переформулировку
идей в рамках более реалистичной и сдержанной точки зрения и осознание
ограниченности времени жизни каждого человека. Супруг(а), друзья и дети
приобретают все большее значение, тогда как собственное «Я» все более лишается
своего исключительного положения. Все более усиливается тенденция довольствоваться
тем, что есть, и меньше думать о вещах, которых скорее всего никогда не удастся
достичь.
В среднем возрасте как мужчины, так
и женщины пересматривают свои цели и размышляют о том, выполнили ли они ранее
поставленные перед собой задачи.
Модели
поведения мужчин
В работе (Farrell, Rosenberg, 1981)
приведены результаты исследований того, как мужчины реагируют на достижение
середины жизни. В целом существуют 4 главных пути развития мужчины в среднем
возрасте, отражающих его мотивационную направленность.
Трансцендентно-генеративный мужчина
проходит мотивационный кризис практически незаметно, так как большая часть его
желаний и потребностей воплотилась в жизнь. Для такого человека середина жизни
может быть временем реализации своих возможностей и достижения новых целей.
Псевдоразвитый мужчина внешне
справляется со своими проблемами и делает вид, что все происходящее его
удовлетворяет или находится под его контролем. На самом деле он, как правило,
чувствует, что потерял направление, зашел в тупик или что ему все осточертело.
Мужчина, находящийся в
замешательстве. Ему кажется, что весь его мир рушится. С одной стороны, он не в
состоянии соответствовать предъявляемым к нему требованиям, а с другой — его
собственные потребности также остаются неудовлетворенными. Для одних мужчин
этот кризис может быть временным периодом неудач; для других он может стать
началом непрерывного падения.
Обездоленный судьбой. Такой человек
был несчастлив или отвергаем другими большую часть своей жизни. Обычно он не в
состоянии справиться с кризисными проблемами (Крайг, 2003).
Фаррелл и Розенберг отмечают, что
общество вынуждает мужчин соответствовать единому образцу успеха и
мужественности, и большинство мужчин пытаются соответствовать этому образцу.
Ряд проблем возникает у мужчин в середине жизни как раз из-за того, что им
приходится свыкнуться с мыслью, что они не соответствуют этому образцу, или
из-за того, что они вынуждены были отказываться от многих собственных желаний,
пытаясь достичь соответствия ему. Лишь немногим мужчинам удается в это время
избежать ощущения неудачи, внутреннего разлада или потери самоуважения.
Модели
поведения женщин
Кризис середины жизни у женщин также
отличается своими особенностями. Этот важный переходный период примерно для
трети женщин приходится на постродительский отрезок жизни, когда дети уже
выросли.
Анализ структуры мотивационной сферы
женщин среднего возраста показывает изменения в жизненных целях, установках и
ценностях, связанных прежде всего с семейным циклом, а не с предсказуемыми
возрастными изменениями, а также с этапами профессионального пути. Это
означает, что наступление ключевых событий именно в семейном и профессиональном
циклах мотивирует выбор определенного статуса и образа жизни женщин среднего
возраста — их основных занятий, радостей и горестей, круга общения.
Так, женщина, которая откладывает
рождение ребенка до сорока лет, часто делает это для того, чтобы преуспеть в
карьере; и, напротив, женщина, рано образовавшая семью и имеющая выросших,
достаточно определившихся, возможно, уже вставших на ноги детей, получает
значительное количество свободного времени, чтобы заниматься собой, своим
самосовершенствованием в личном и профессиональном плане.
Возрастные изменения не являются
столь определяющими в формировании мотивационной структуры женщины, как семья и
работа. Тем не менее для нее они представляются более значимыми, чем для
мужчины. Женщины сильнее, чем мужчины, реагируют на физическое старение. Поэтому
сохранение внешней привлекательности и поддержка физической формы также
является одной из основных потребностей многих женщин после сорока лет (Крайг,
2003).
Кризис «середины жизни», как и
другие возрастные кризисы, сопровождают те или иные депрессивные переживания.
Это может быть снижение интереса ко всем событиям или удовольствия от них,
апатия; человек может чувствовать систематическое отсутствие или снижение
энергии, так что приходится заставлять себя ходить на работу или выполнять
домашние дела. Часто встречаются переживания по поводу собственной никчемности,
беспомощности. Особое место в депрессивных переживаниях занимает тревога в
отношении своего будущего, которая зачастую маскируется тревогой за детей или
даже за страну в целом. Нередко депрессивные переживания концентрируются вокруг
потери смысла и интереса к жизни.
Часто можно встретить проекцию
внутриличностного кризиса на свое окружение: социальную обстановку в стране,
семейную ситуацию. Естественно, что проекция кризиса на окружение приводит к
попыткам, часто хаотичным, изменить именно окружение: страну, семью, работу.
Некоторые женщины в этот период заполняют внутреннюю пустоту рождением еще одного
ребенка. При достаточно высоком уровне развития рефлексии люди пытаются
осмыслить свое состояние, понимают, что причина кроется не в окружении, а в них
самих. В этом случае характерны размышления о собственных достижениях, сожаления
о том, что не получилось, но что хотелось бы иметь. Иногда происходит
переоценка ценностей.
В некоторых случаях переживание
кризиса происходит настолько остро, что может послужить причиной суицида. Как
отмечал Э. Гроллман, для тех, кого опустошают отсутствие истинного
самоопределения, разлука с детством и страх перед грядущей старостью, «кто
испытывает муку утраты собственного «Я», смерть может показаться
освобождением». И действительно, по его данным, уровень самоубийств в 40—45 лет
повышается (Су-ицидология..., 2001).
1.5 Изменение образа жизни в
период кризиса
B переходные моменты образ жизни
подвергается внезапным изменениям в четырех измерениях.
Первое измерение: внутреннее
ощущение себя по отношению к другим
С возрастом возрастает значимость
для человека притязания на признание ценности и уникальности своего внутреннего
мира, а также духовной позиции. Многие представления о себе, которые
формировали Я-концепцию человека в период его взросления и продолжают обогащать
ее уже у взрослой личности, по-прежнему основываются на собственном
организмическом — в лексике К. Роджерса (1994) — оценочном процессе
(здоровый-нездоровый, красивый-некрасивый, счастливый-несчастливый и т. д.).
Этот процесс связан с тенденцией актуализации. Таким образом, Я-концепция
формируется в связи с самоактуализацией личности; стремление к актуализации —
мотивирующий стимул развития Я-концепции.
Однако у взрослого человека этот
процесс в большей мере контролируется принятыми личностью социальными
(культурными, нравственными и др.) понятиями и ценностями. В соответствии с
представлениями, устремленностями, критериями оценки определенных социальных
групп, к которым относится личность, у нее возникают различные представления
относительно личной направленности и способов самоактуализации. Следовательно,
Я-концепция включает в себя и то, что связано с определенными стремлениями в
самоактуализации. Таким образом возникает конфликт взаимообусловленности.
Самооценка личности зависит от того,
кем ей хотелось бы стать, какое место занять в этом мире, какими методами
реализовать свои устремления, и индивидуальных критериев самооценки собственных
успехов или неудач. На самооценку влияет уровень достижения личности: она
повышается, если притязания личности реализуются, и понижается, если цели не
удается достигнуть.
В случаях неудачи личность имеет
несколько возможностей поддержания константности Я-концепции:
• каким-то образом объяснить свой
неуспех, используя рационализацию;
• отрицать неуспех;
• снизить уровень своих притязаний;
• заняться другой деятельностью, в
которой возможна большая успешность.
Я-концепция индивидуализирует
самооценку. То, что для одного является безусловным успехом, другой
воспринимает как неудачу.
С возрастом самооценка становится
все более дифференцированной. Взрослый человек может очень высоко оценивать
одни свои качества, например свой интеллектуальный уровень, и очень низко
другие — уровень межличностных взаимодействий или физических возможностей. Этот
факт дифференциации самооценки некоторые исследователи объясняют тем, что
единая Я-концепция с возрастом распадается на ряд независимых друг от друга Я-концепций.
Поскольку развитие человека
происходит наряду с хронологическим еще и в психологическом времени, то
Я-концепция личности имеет индивидуальный временной контекст.
В среднем возрасте взрослые люди
пытаются быть преуспевающими и состоятельными в самых разных направлениях
жизни. Они проходят новые стадии развития вместе со своими взрослеющими детьми,
меняются их формы взаимодействия и статус относительно стареющих родителей.
Происходят изменения в их общесоциальном положении и в сфере профессиональной
деятельности.
Второе измерение: чувство
безопасности и опасности
Достигнув среднего возраста,
личность начинает испытывать какое-то беспокойное оживление. Почти каждый хочет
внести некоторые изменения в свою жизнь. Ограничения, которые человек ощущает при
приближении к тридцати годам, — это отголоски выбора в двадцатилетнем возрасте,
хотя выбор был необходим на том этапе развития. Но теперь человек чувствует
себя по-другому. Он осознает сейчас, что какой-то аспект жизни не принимал до
этого во внимание. Это внезапное чувство нехватки становится все настойчивее.
Обычно в этом возрасте появляется
ощущение, что жизнь, которую вы налаживали с двадцати лет, разваливается. Это
означает, что нужно найти другую дорогу, ведущую к новым представлениям.
Возможен развод или, по крайней мере, серьезный анализ брачного союза. Люди,
которые наслаждались одиночеством и отсутствием детей, внезапно ощущают желание
вступить в традиционный брачный союз, завести детей и сидеть с ними дома.
Третье измерение: восприятие
времени – достаточно ли у человека времени, или он начинает чувствовать его
нехватку?
Большинство людей все чаще
задумываются о том, что они смертны и что их время уходит. Еще в юности
человеку необходимо научиться одновременно жить настоящим, опираться на богатство
своего прошлого и вместе с этим устремляться в будущее. Однако достижение такой
гармонии — непростая задача. У многих людей и в зрелости сохраняется
подростковая устремленность в будущее, т. е. установка на то, что происходит
еще не жизнь, а подготовка к жизни, а сама жизнь еще впереди. Время не
бережется, оно проводится различными способами, потому что кажется, что его еще
очень много. Но в какой-то момент человек начинает понимать, что будущее
преобразовалось в прошлое, а возможность настоящего потеряна. В этом случае
довольно рано может появиться ощущение законченности жизни, сожаление о несделанном.
В этом случае календарный возраст
воспринимается с чувством грусти и тревоги, различными способами маскируется.
Часто это проявляется в стиле одежды, который становится подчеркнуто молодежным
или спортивным. Как отмечал Б. Ливе-худ (Ливехуд, 1994), многие женщины
стараются выглядеть сестрами своих дочерей, желательно младшими.
В случае отсутствия контакта
человека со своим настоящим возможно искажение субъективных единиц измерения
времени. У мужчин такой единицей часто является количество достижений. У женщин
— рост и взросление их детей. В этом случае перспективы для первых определяются
последующими достижениями, у вторых — будущим их детей. Однако в последующие
годы, когда продолжение достижений станет невозможным, а дети начнут строить
свою жизнь, у таких людей возможна полная потеря будущего и настоящего. Взамен
этого разовьется устремленность в прошлое, сопровождающаяся глубокими негативными
переживаниями.
Четвертое измерение: ощущение
физического спада
С возрастом происходят изменения в
половой активности мужчин и женщин. Если же люди плохо информированы о
возможных изменениях, у них могут возникнуть те или иные страхи, неправильная
оценка действий партнера.
Все эти ощущения задают основной тон
жизни и подталкивают его к тем или иным решениям. Выявление этих ощущений будет
доказывать прохождение респондентами через кризис среднего возраста, что
обусловило разработку соответствующего опросника и направление практического
исследования.
2. Эмпирическое исследование психологического состояния в
период кризиса среднего возраста
В ходе
практической работы проводился анализ психологического состояния мужчин и женщин в период кризиса среднего
возраста.
Целью работы было показать, что
особенности их психологического состояния соответствуют кризисной ситуации,
характерной для данного возраста и выявить гендерные особенности протекания
кризиса.
Задачи работы:
На основе 4 критериев кризиса по
Шихи составить анкету и по ней провести исследование изменений образа жизни в четырех
измерениях.
При помощи методики Фанталовой
провести исследование рассогласования ценностных ориентаций и их доступности.
Гипотеза исследования: в возрасте 40-45
лет мужчины и женщины переживают состояние которое можно назвать кризисным,
однако протекание этого состояния происходит по-разному.
В работе использовалась
самостоятельно сформированный
опросник по качествам изменения, выделенным Шихи, методика Фанталовой «уровень
соотношения ценности и доступности».
В работе была исследована выборка 15
мужчин и 15 женщин в возрасте от 40 до 45 полных лет.
Описание выборки приведено в Таблице
1.
Таблица 1 - Описание выборки
испытуемых
|
|
Семейное положение
|
Количество детей
|
Возраст
|
Основные проблемы
|
|
Мужчины
|
|
1.
|
Александр
Г
|
Женат
|
1
|
41
|
Переживает, что не может уделить достаточно времени семье и работе и
из-за этого
|
|
2.
|
Алексей
Б
|
Холост
|
0
|
45
|
Имеет проблемы в общении с женщинами, т.к. мать авторитарна и возражает
против женитьбы
|
|
3.
|
Алексей
Г.
|
Женат второй раз
|
2
|
40
|
Постоянно имел кратковременные романы с женщинами, один раз развелся и
в настоящем браке имеет проблемы во взаимоотношениях с женой
|
|
4.
|
Андрей
Н.
|
В разводе
|
0
|
42
|
Проблемы с работой – работал на ней с 1 курса института, а сейчас фирма
реорганизуется и его должность сокращается
|
|
5.
|
Артем
Ж
|
Женат
|
0
|
45
|
Достаточно долго был на первых ролях - институт с красным дипломом,
аспирантура, однако сейчас интенсивный рост закончился, диссертацию защитить
не удалось
|
|
6.
|
Артем
З
|
Холост
|
0
|
41
|
Принципиально не хочет жениться
|
|
7.
|
Виктор
К.
|
Холост
|
0
|
40
|
Все время уделял работе в ущерб личной жизни
|
|
8.
|
Владимир
Е
|
Женат второй раз
|
2
|
43
|
Постоянно меняет работу, однако если вначале это вело к увеличению
зарплаты, то сейчас дважды его переводили с понижением
|
|
9.
|
Владимир
П
|
Женат второй раз
|
2
|
43
|
Достаточно долго считался лучшим сотрудником фирмы, однако сейчас
пришло новое поколение программистов, и над ним поставили начальника отдела
моложе и менее опытного
|
|
10.
|
Вячеслав
Ж
|
Женат
|
2
|
42
|
Проблемы в браке
|
|
11.
|
Вячеслав
К.
|
Женат
|
2
|
44
|
«Свободный художник». Противоречие между потребностью к свободному
творчеству и необходимостью зарабатывать на жизнь.
|
|
12.
|
Геннадий
Б
|
В разводе
|
1
|
45
|
Часто меняет работу, в ВУЗе недоучился, развелся после полугода брака,
жалеет что не уделял ни одному из увлечений достаточно внимания
|
|
13.
|
Денис
К
|
В разводе
|
1
|
44
|
Считает, что выбранная им специальность – программирование – не его
дело. Начал изучать восточные языки, жалеет о потраченном времени
|
|
14.
|
Дмитрий
А
|
В разводе
|
1
|
42
|
Проблемы отношений с бывшей женой, которая не дает видеться с сыном.
Причина развода – «мало зарабатывал»
|
|
15.
|
Дмитрий
З.
|
Женат второй раз
|
1
|
42
|
Жалеет, что женился второй раз. Считает, что «все женщины одинаковые»
|
|
16.
|
Женщины
|
|
17.
|
Алина
К.
|
В разводе
|
1
|
40
|
Проблемы в отношениях с мужчинами
|
|
18.
|
Дина
А
|
Не замужем
|
0
|
43
|
Имеет проблемы в общении с мужчинами, т.к. мать авторитарна и возражает
против замужества
|
|
19.
|
Светлана
И
|
Замужем
|
1
|
45
|
Проблемы в браке
|
|
20.
|
АннаД
|
Замужем
|
2
|
45
|
Проблемы в браке
|
|
21.
|
Екатерина
Е
|
В разводе
|
1
|
40
|
Не работает. Живет на случайные заработки
|
|
22.
|
Алина
К.
|
В разводе
|
1
|
42
|
Проблемы в отношениях с мужчинами
|
|
23.
|
Дина
А
|
Не замужем
|
0
|
42
|
Не может найти работу
|
|
24.
|
Светлана
И
|
Замужем
|
1
|
43
|
Дети выросли, а с мужем нет общих интересов
|
|
25.
|
АннаД
|
Замужем
|
2
|
44
|
Проблемы в браке
|
|
26.
|
Екатерина
Е
|
В разводе
|
1
|
41
|
Работа не удовлетворяет запросам
|
|
27.
|
Алина
К.
|
В разводе
|
1
|
40
|
Проблемы в отношениях с мужчинами
|
|
28.
|
Дина
А
|
Не замужем
|
0
|
45
|
Нет цели в жизни
|
|
29.
|
Светлана
И
|
Замужем
|
1
|
40
|
Проблемы в браке
|
|
30.
|
АннаД
|
Замужем
|
2
|
43
|
Проблемы в браке
|
|
31.
|
Екатерина
Е
|
В разводе
|
1
|
40
|
Не может найти работу по душе
|
Анкета на выявление изменений в стиле жизни
Учитывая, что в переходные моменты
образ жизни подвергается внезапным изменениям в четырех измерениях:
внутреннее ощущение себя по
отношению к другим.
чувство безопасности и опасности.
восприятие нехватки времени
ощущение физического спада
нами были разработаны по 10 вопросов
на каждый из этих факторов кризиса.
Респондентам было предложено
ответить на эти вопросы, «да, иногда, нет». При этом ответу «да» присваивалось
2 балла, ответу «иногда» – 1 балл, ответу «нет» - 0 баллов. Таким образом,
выраженность каждого фактора кризиса могла быть от 0 до 20 баллов.
Значение факторов определяется
суммой ответов на следующие вопросы:
внутреннее ощущение себя по
отношению к другим: 1,5,9,13,17, 21,25, 29, 33, 37
чувство безопасности и опасности:
2,6,10,14,18,22,26,30,34,38
восприятие нехватки времени:
3,7,11,15,19,23,27,31,35,39
ощущение физического спада:
4,8,12,16,20,24,28,32,26,40
Уровень от 0 до 6 - слабо выражен
фактор кризиса
От 7 до 14 – средняя степень
выраженности фактора кризиса
От 15 до 20 – фактор кризиса явно
выражен.
Интегральный показатель уровня
кризиса:
от 0 до 24 - слабо выражен фактор
кризиса
От 25 до 59 – средняя степень
выраженности фактора кризиса
От 60 до 80 – фактор кризиса явно
выражен.
Низкий уровень кризиса означает
отсутствие кризисного состояния. Ему соответствует адекватная самооценка,
чувство безопасности, ощущение достаточности времени и нормальное физическое
самочувствие.
Средний уровень кризиса
соответствует фазам входа и выхода из кризиса. Ему соответствует несколько
пониженный уровень самооценки, легкое ощущение беспокойства и неопределенной
опасности, ощущение нехватки времени, физическое утомление.
Высокий уровень кризиса
соответствует пику кризисного состояния. Ему соответствует неадекватная
самооценка, сильное ощущение беспокойства и неопределенной опасности, ощущение
цейтнота, сильное физическое утомление.
Методика
Е.Б.Фанталовой «Уровень соотношения ценности и доступности»
Методика «Уровень соотношения
ценности и доступности в различных жизненных сферах» предполагает выбор
испытуемыми из списка из 18 понятий, каждое из которых означает одну из
общечеловеческих ценностей наиболее важные для них
Список ценностей и бланки таблиц для
их сравнения приведены в Приложении 2.
Сперва испытуемые сравнивают
ценности по степени важности , затем - по степени доступности
Для вычисления степени
внутриличностной диссоциации R используется формула R=Σ|B-Д|
(максимальная степень рассогласования R=108, минимальная R=0, граница нормы
R=33). Это означает, что при значениях R, превышающих число 33, можно
говорить о наличии изменений личности различной степени выраженности, что
является основанием для включения испытуемого в группу «риска».
На первом этапе исследования было
проведено анкетирование респондентов по разработанному опроснику.
Таблица 2. -
Результаты
|
|
внутреннее ощущение себя
|
восприятие нехватки времени
|
ощущение физического спада
|
Уровень кризиса
|
|
1.
|
Александр
Г
|
6
|
10
|
11
|
8
|
35
|
Средний уровень
|
|
2.
|
Алексей
Б
|
18
|
17
|
9
|
12
|
56
|
Средний уровень
|
|
3.
|
Алексей
Г.
|
10
|
6
|
17
|
6
|
39
|
Средний уровень
|
|
4.
|
Андрей
Н.
|
12
|
12
|
10
|
12
|
46
|
Средний уровень
|
|
5.
|
Артем
Ж
|
11
|
16
|
17
|
16
|
60
|
Сильно выражен
|
|
6.
|
Артем
З
|
10
|
20
|
6
|
20
|
56
|
Средний уровень
|
|
7.
|
Виктор
К.
|
17
|
3
|
12
|
3
|
35
|
Средний уровень
|
|
8.
|
Владимир
Е
|
6
|
15
|
16
|
15
|
52
|
Средний уровень
|
|
9.
|
Владимир
П
|
12
|
11
|
20
|
11
|
54
|
Средний уровень
|
|
10.
|
Вячеслав
Ж
|
16
|
7
|
13
|
9
|
45
|
Средний уровень
|
|
11.
|
Вячеслав
К.
|
20
|
15
|
15
|
15
|
65
|
Сильно выражен
|
|
12.
|
Геннадий
Б
|
3
|
10
|
10
|
6
|
29
|
Средний уровень
|
|
13.
|
Денис
К
|
15
|
17
|
13
|
17
|
62
|
Сильно выражен
|
|
14.
|
Дмитрий
А
|
11
|
10
|
15
|
10
|
46
|
Средний уровень
|
|
15.
|
Дмитрий
З.
|
17
|
10
|
11
|
10
|
48
|
Средний уровень
|
|
Среднее
|
12,27
|
11,93
|
13
|
11,33
|
48,53
|
Средний уровень
|
|
16.
|
Алина
К.
|
10
|
6
|
17
|
9
|
42
|
Средний уровень
|
|
17.
|
Дина
А
|
9
|
12
|
16
|
7
|
44
|
Средний уровень
|
|
18.
|
Светлана
Иван
|
17
|
16
|
12
|
9
|
54
|
Средний уровень
|
|
19.
|
АннаД
|
18
|
20
|
16
|
8
|
62
|
Сильно выражен
|
|
20.
|
Екатерина
Е
|
12
|
13
|
20
|
11
|
56
|
Средний уровень
|
|
21.
|
Елена
К.
|
20
|
15
|
15
|
5
|
55
|
Средний уровень
|
|
22.
|
Дарина
С
|
17
|
16
|
10
|
6
|
49
|
Средний уровень
|
|
23.
|
Св
Игнат
|
15
|
17
|
13
|
17
|
62
|
Сильно выражен
|
|
24.
|
ЮлияДм
|
16
|
15
|
15
|
7
|
53
|
Средний уровень
|
|
25.
|
Евгения
Ж
|
20
|
11
|
11
|
10
|
52
|
Средний уровень
|
|
26.
|
Алена
Д.
|
18
|
17
|
9
|
12
|
56
|
Средний уровень
|
|
27.
|
Диана
П
|
11
|
10
|
15
|
9
|
45
|
Средний уровень
|
|
28.
|
Ольга
А
|
17
|
10
|
11
|
11
|
49
|
Средний уровень
|
|
29.
|
Виктория
|
11
|
10
|
10
|
10
|
41
|
Средний уровень
|
|
30.
|
Екатерина
Е
|
17
|
10
|
11
|
10
|
48
|
Средний уровень
|
|
Среднее
|
15,2
|
13,2
|
13,4
|
9,4
|
51,2
|
Средний уровень
|
Таким
образом, в группе мужчин выявлено 3 человека с явно выраженным психологическим
кризисов и 12 – со средним уровнем кризиса. Среди женщин выявлен только 1
человек с явно выраженным психологическим кризисов и 14 – со средним уровнем
кризиса. При этом среднее значение выраженности кризиса выше у женщин. Из этого
можно сделать вывод, что для мужчин более характерны полярные кризисные
состояния, а для женщин, при большей склонности к переживанию кризиса
свойственно большая адаптация к ситуации и значит – менее полярные значения
уровня кризиса.
Это подтверждает нашу гипотезу, о
том, что в возрасте 40- 45 лет мужчины и женщины переживают состояние которое
можно назвать кризисным.
Рассмотрим особенности протекания
кризиса женщин и мужчин. Проиллюстрируем различие на графике:
Рис.1. Факторы кризиса у мужчин и
женщин
Таким образом, данные показывают,
что средние значения интегральных показателей кризиса выше у женщин (51, 2), у мужчин
– 48, 2.
Значение факторов внутреннего
ощущения себя по отношению к другим, чувства опасности, восприятия нехватки
времени – выше у женщин, а фактор ощущения физического спада выше в группе
мужчин.
Таким образом, можно сделать вывод,
что кризис протекает по-разному у мужчин и женщин.
На втором этапе исследования было
проведено ранжирование наиболее значимых для респондентов ценностей по степени
важности и по степени доступности. Значение рассогласования ценностей приведены
в таблице 3.
Таблица 3 - Значение рассогласования
ценностей
|
|
Степень рассогласования, R
|
|
1.
|
Александр
Г
|
50
|
|
2.
|
Алексей
Б
|
43
|
|
3.
|
Алексей
Г.
|
69
|
|
4.
|
Андрей
Н.
|
88
|
|
5.
|
Артем
Ж
|
49
|
|
6.
|
Артем
З
|
95
|
|
7.
|
Виктор
К.
|
55
|
|
8.
|
Владимир
Е
|
52
|
|
9.
|
Владимир
П
|
54
|
|
10.
|
Вячеслав
Ж
|
87
|
|
11.
|
Вячеслав
К.
|
95
|
|
12.
|
Геннадий
Б
|
69
|
|
13.
|
Денис
К
|
88
|
|
14.
|
Дмитрий
А
|
10
|
|
15.
|
Дмитрий
З.
|
32
|
|
16.
|
Среднее
значение
|
62,4
|
|
17.
|
Алина
К.
|
99
|
|
18.
|
Дина
А
|
85
|
|
19.
|
Светлана
Иван
|
90
|
|
20.
|
АннаД
|
52
|
|
21.
|
Екатерина
Е
|
82
|
|
22.
|
Елена
К.
|
69
|
|
23.
|
Дарина
С
|
47
|
|
24.
|
Светлана
Игнат
|
56
|
|
25.
|
ЮлияДм
|
58
|
|
26.
|
Евгения
Ж
|
87
|
|
27.
|
Алена
Д.
|
99
|
|
28.
|
69
|
|
29.
|
Ольга
А
|
83
|
|
30.
|
Виктория
|
64
|
|
Среднее
значение
|
69,33
|
Практически у всех респондентов
обнаружился высокий уровень рассогласования в ценностно-смысловой сфере,
выражающийся в преобладании малодоступных для них ценностей иждивенческого
плана, потребительского подхода к жизни: не проявляя психической
(интеллектуальной) активности и значительных трудовых усилий, они хотят хорошо
себя чувствовать, «заниматься сексом», быть материально обеспеченными. У женщин
уровень рассогласования несколько выше.
По результатам опроса были определены
средние значения ценностей и определено число респондентов, для которых каждая
из ценностей является основной.
Таблица 4 - Сравнительная
характеристика ценностей по важности
|
№
|
Ценность
|
Ранг
|
|
1.
|
здоровье
|
1.
|
|
2.
|
развлечения
|
2.
|
|
3.
|
любовь
|
3.
|
|
4.
|
наличие
хороших и верных друзей
|
4.
|
|
5.
|
свобода
|
5.
|
|
6.
|
уверенность
в себе
|
6.
|
|
7.
|
активная
деятельная жизнь
|
7.
|
|
8.
|
Познание
|
8.
|
|
9.
|
материально
обеспеченная жизнь
|
9.
|
|
10.
|
продуктивная
жизнь
|
10.
|
|
11.
|
интересная
работа
|
11.
|
|
12.
|
развитие
|
12.
|
|
13.
|
счастливая
семейная жизнь
|
13.
|
|
14.
|
жизненная
мудрость
|
14.
|
|
15.
|
красота
природы и искусства
|
15.
|
|
16.
|
творчество
|
16.
|
|
17.
|
общественное
призвание
|
17.
|
|
18.
|
счастье
других
|
18.
|
Ранжирование ценностей по доступности
представлено в таблице 5.
Таблица 5. - Сравнительная
характеристика ценностей по доступности
|
№
|
Ценность
|
Ранг
|
|
наличие
хороших и верных друзей
|
|
|
развлечения
|
|
|
счастье
других
|
|
|
жизненная
мудрость
|
|
|
активная
деятельная жизнь
|
|
|
уверенность
в себе
|
|
|
Познание
|
|
|
свобода
|
|
|
развитие
|
|
|
продуктивная
жизнь
|
|
|
интересная
работа
|
|
|
материально
обеспеченная жизнь
|
|
|
счастливая
семейная жизнь
|
|
|
здоровье
|
|
|
красота
природы и искусства
|
|
|
творчество
|
|
|
общественное
призвание
|
|
|
любовь
|
|
Проведем корреляционный анализ рассогласования
ценностей и уровня кризиса, выявленного по анкете.
Коэффициент линейной
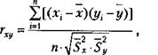
корреляции определяется при помощи следующей формулы:
где r — коэффициент линейной корреляции;
х, у — средние
выборочные значения сравниваемых величин; х., у. — частные выборочные значения
сравниваемых величин; n — общее число величин в сравниваемых рядах
показателей (n=30); Sx, Sy — дисперсии, отклонения
сравниваемых величин от средних значений.
Корреляционный
анализ рассчитан при помощи компьютерной программы Exel и представлен в Таблице 6.
Таблица 6. - Корреляционный анализ
|
Степень рассогласования, R
|
внутреннее
ощущение себя по отношению к другим.
|
чувство
безопасности и опасности.
|
восприятие
нехватки времени
|
ощущение
физического спада
|
Уровень кризиса
|
|
рассогласование
|
1,00
|
0,42
|
0,42
|
0,25
|
0,54
|
0,60
|
|
внутреннее
ощущение себя по отношению к другим.
|
0,42
|
1,00
|
0,30
|
0,30
|
0,22
|
0,68
|
|
чувство
безопасности и опасности.
|
0,42
|
0,30
|
1,00
|
0,05
|
0,75
|
0,72
|
|
восприятие
нехватки времени
|
0,25
|
0,30
|
0,05
|
1,00
|
0,24
|
0,59
|
|
ощущение
физического спада
|
0,54
|
0,22
|
0,75
|
0,24
|
1,00
|
0,77
|
|
Уровень кризиса
|
0,60
|
0,68
|
0,72
|
0,59
|
0,77
|
1,00
|
Для вычисления
корреляции было использованы данные 30 респондентов. (n=30). Соответственно, степень свободы n-2=28. Согласно таблице значений
коэффициентов корреляции для различных степеней свободы и разных вероятностей
допустимых ошибок при уровни значимости
0,05 достоверно значимыми будут коэффициенты корреляции большие 0,42.
Данные анализа показывают что существует
статистически значимая на уровне 0,05 положительная корреляция между
показателями рассогласования ценностей личности и такими его
показателями кризиса как внутреннее ощущение себя по отношению к другим,
чувство опасности и ощущение физического спада
Данная
корреляция говорит о том, что чем большая степень кризиса характерна для
личности, тем больше рассогласованы его ценности.
Кроме
того, наблюдается статистически значимая корреляция между всеми факторами
кризиса и его интегральным показателем и между такими факторами как чувство опасности и ощущение физического спада
По результатам корреляционного
анализа была сформирована корреляционная плеяда, характеризующая корреляцию
психологических характеристик респондентов. Корреляционные плеяды представлены
на рисунке 2.
Рис.2.
Взаимосвязи факторов кризиса личности с рассогласованием ценностей личности
Данная
корреляционная плеяда говорит о том, что существует взаимосвязь между отдельными факторами кризиса личности и
рассогласованием ценностей личности
Итак, в работе было отмечено, что
кризисы развития, или возрастные кризисы, возникают при переходе от одной
возрастной ступени к другой и связаны с системными преобразованиями в сфере
социальных отношений, деятельности и сознания. Это относительно небольшие по
времени (до года) периоды онтогенеза, характеризующиеся резкими
психологическими изменениями. Форма, длительность, острота и результат кризиса
может значительно различаться в зависимости от индивидуально-типологических
особенностей человека, социальных и микросоциальных условий.
Среди кризисов взрослого возраста
принято выделять и кризис 40-45 лет.
В работе было проведено эмпирическое
исследование психологического состояния мужчин и женщин 40-45 лет.
Практически у всех респондентов
обнаружился высокий уровень рассогласования в ценностно-смысловой сфере,
выражающийся в преобладании малодоступных для них ценностей иждивенческого
плана, потребительского подхода к жизни: не проявляя психической
(интеллектуальной) активности и значительных трудовых усилий, они хотят хорошо
себя чувствовать, «заниматься сексом», быть материально обеспеченными. В группе
мужчин выявлено 3 человека с явно выраженным психологическим кризисов и 12 – со
средним уровнем кризиса. Среди женщин выявлен только 1 человек с явно
выраженным психологическим кризисов и 14 – со средним уровнем кризиса. При этом
среднее значение выраженности кризиса выше у женщин. Из этого можно сделать
вывод, что для мужчин более характерны полярные кризисные состояния, а для
женщин, при большей склонности к переживанию кризиса свойственно большая адаптация
к ситуации и значит – менее полярные значения уровня кризиса.
Это подтверждает нашу гипотезу, о
том, что в возрасте 40- 45 лет мужчины и женщины переживают состояние которое
можно назвать кризисным. средние значения интегральных показателей кризиса выше
у женщин (51, 2), у мужчин – 48, 2.
Значение факторов внутреннего
ощущения себя по отношению к другим, чувства опасности, восприятия нехватки
времени – выше у женщин, а фактор ощущения физического спада выше в группе
мужчин.
Очень важно оказывать поддержку
людям в состоянии возрастного кризиса. Самая большая сложность в организации
психологической поддержки взрослых — это нацелить человека на работу с самим
собой. Достаточно часто наблюдается проекция кризиса на окружение, ив этом
случае человек приходит на консультацию с запросом, совершенно неадекватным
реальной ситуации. Например, он может попросить разобраться в его семейных
проблемах, взаимоотношениях с начальником и т. п. Поэтому первое, что
необходимо сделать, — это подойти к обсуждению собственных трудностей, т. е.
помочь человеку признать наличие у него самого эмоциональных проблем.
Психологическая поддержка здесь
осуществляется в соответствии с логикой, когда первым этапом является признание
самим человеком факта вступления в трудную ситуацию. Соответственно следующим
этапом может быть присвоение этой ситуации имени — «кризиса середины жизни».
Для этого консультант может рассказать человеку о специфике и типичных
проявлениях этого кризиса, о подведении итогов и корректировке своего
дальнейшего пути, а главное — о необходимости смены внешней позиции на
внутреннюю: переход от завоевания внешнего мира к завоеванию самого себя, от
поисков пути во внешнем мире к поискам пути к самому себе. Иногда человеку
бывает достаточно узнать, что происходящее с ним абсолютно нормально и, более
того, закономерно. Дальнейшую внутреннюю работу он может осуществить самостоятельно.
Далеко не всегда рассказа о кризисе
бывает достаточно. Некоторым требуется более длительная и глубокая поддержка.
Как мы уже говорили, нередко человек страдает оттого, что, как ему кажется, он
ничего не достиг в жизни, а времени на новые достижения уже не осталось.
Стиль прохождения жизненных
кризисов, в том числе и нормативных возрастных, непосредственно зависит от
структуры характера человека. Структура характера определяет способ, каким
человек справляется со своей потребностью в любви, с достижением интимности и
близости и со своим стремлением достигнуть удовольствия. Каждая структура
характера содержит присущий ей конфликт, потому что внутри личности
одновременно существуют потребность в интимности, близости и самовыражении и
страх, что эти запросы несовместимы. Структура характера является наилучшим
компромиссом, к которому пришел человек в ранней жизненной ситуации.
Список литературы
1.
БожовичЛ.
И. Избранные психологические труды: Проблемы формирования личности. М.:
Междунар. пед. академия. 1995.
2.
Валлон
А. Психическое развитие ребенка. СПб.: Питер, 2001.
3.
Василюк
Ф.Е. Проблема критической ситуации // Психология экстремальных ситуаций. А.Е.
Тарас, К.В. Сельченок (сост.), Мн.: Харвест, 1999.
4.
Вильсон
Дж. Т. Поведенческая терапия // Журнал практической пси -хологии и психоанализа,
2000. № 3.
5.
Виткин
Д. Мужчина и стресс. СПб.: Питер-Пресс, 1996а.
6.
Выготский
Л. С. Психология. М.: Эксмо, 2000.
7.
Выготский
Л. С. Собрание сочинений: В 6 т. М: Педагогика, 1984.
8.
Запорожец
А.В. Развитие произвольных движений // Избр. психол. тр.: В 2 т. 1986. Т. 2. С.
5-234.
9.
Карсаевская
Т'В. Этапы жизненного цикла человека. // Психология зрелости и старения. 1997.
№ 3. С. 8—12.
10.
Крайг
Г. Психология развития. СПб.: Питер, 2003.
11.
КроникА.,
Ахмеров Р. Каузометрия. Методы самопознания, психодиагностики и психотерапии в
психологии жизненного пути. М.: Смысл, 2003.
12.
Лейтес
Н.С. Умственные способности и возраст. М.: Педагогика, 1971.
13.
Леонтьев
А.Н. Избранные психологические произведения: В 2 т. М.: Педагогика, 1983.
14.
Ливехуд
Б. Кризисы жизни — шансы жизни. Развитие человека между детством и старостью.
Калуга, 1994.
15.
Малкина-Пых
И. Г. Возрастные кризисы: Справочник практического психолога. — М.: Изд-во
Эксмо, 2005. — 896 с
16.
Маслоу
А. Мотивация и личность. М.: Аспект-Пресс, 1998.
17.
Пиаже
Ж. Избранные психологические труды. М.: Просвещение, 1969.
18.
Рубинштейн
С.Л. Основы общей психологии. СПб.: Питер, 1999.
19.
Фрейд
3. Психология бессознательного. М.: Просвещение, 1989.
20.
Фромм
Э. Анатомия человеческой деструктивности. М.: Республика, 1994.
21.
Холлис
Дж. Перевал в середине пути. Кризис среднего возраста. М.: Инфра-М, 2002
22.
Хухлаева
О.В. Психология развития: молодость, зрелость, старость: Учеб. пособие для
студ. высш. учеб. заведений. М.: Академия, 2002.
23.
ХьеллЛ.,
Зиглер Д. Теории личности. СПб.: Питер, 1997.
24.
Чудновский
В.Э. К проблеме адекватности смысла жизни // Мир пси -хологии. 1992. № 2. С.
74-80.
25.
Шаповаленко
И.В.Возрастная психология. - М.:Гардарики,2005
26.
Шарп
Д., Кризис среднего возраста: Записки о выживании: Перевод с английского.
"Класс" - 2006, 167 стр.
27.
Шихи
Г. Возрастные кризисы. Ступени личностного роста. СПб.: Ювента, 1999.
28.
Эйдемиллер
Э.Г., Юстицкий В.В. Семейная психотерапия. Л.: Медицина, 1990.
29.
Эльконин
Б.Д. Введение в психологию развития. М.: Тривола, 1994.
30.
Эриксон
Э. Жизненный цикл: Эпигенез идентичности // Теории личности в
западно-европейской и американской психологии. Хрестоматия по психологии
личности. Самара: Бахрах, 1996.
31.
Юнг
К.Г. Психологические типы // Психология индивидуальных различий / Под ред. Ю.Б.
Гиппенрейтер, В.Я. Романова. М.: ЧеРо, 2000.
Приложение 1 - Тест
«выраженность факторов кризиса»
|
|
да
|
иногда
|
нет
|
|
1.
|
Я считаю что большинство моих знакомых гораздо талантливее меня
|
|
|
|
|
2.
|
Организационные недостатки на работе постоянно
заставляют нервничать, переживать, напрягаться
|
|
|
|
|
3.
|
Я думаю о том, что многого в жизни уже не достигну
|
|
|
|
|
4.
|
Когда я прихожу с работы домой, то некоторое
время мне хочется побыть наедине, чтобы со мной никто не общался.
|
|
|
|
|
5.
|
Я занимаю не свое место.
|
|
|
|
|
6.
|
Меня беспокоит то, что я стал хуже работать (менее
продуктивно, качественно, медленнее).
|
|
|
|
|
7.
|
Меня беспокоит, что большая часть жизни прожита
|
|
|
|
|
8.
|
Бывает, я плохо засыпаю (сплю) из-за переживаний
|
|
|
|
|
9.
|
Мне все труднее устанавливать или поддерживать
контакты с деловыми партнерами
|
|
|
|
|
10.
|
У меня часто возникают тревожные ожидания,
связанные с работой: что-то должно случиться, как бы не допустить ошибки,
смогу ли сделать все, как надо, не сократят ли и т.
|
|
|
|
|
11.
|
Я живу в состоянии цейтнота
|
|
|
|
|
12.
|
Бывают дни, когда мое физическое и эмоциональное
состояние плохо сказывается на результатах работы (меньше делаю,
снижается качество, случаются конфликты)
|
|
|
|
|
13.
|
Прежде я был более отзывчивым и внимательным к
людям, чем теперь
|
|
|
|
|
14.
|
Последнее время (или как всегда) меня преследуют
неудачи в работе.
|
|
|
|
|
15.
|
Некоторые стороны (факты) моей работы вызывают
глубокое разочарование, повергают в уныние
|
|
|
|
|
16.
|
После напряженного рабочего дня я чувствую
недомогание
|
|
|
|
|
17.
|
Я очень нервничаю из-за всего, что связано с
работой
|
|
|
|
|
18.
|
На меня давит груз ответственности за семью
|
|
|
|
|
19.
|
Иногда самые обычные ситуации общения на работе
вызывают раздражение
|
|
|
|
|
20.
|
|
|
|
|
|
21.
|
Я считаю, что меня недооценивают
|
|
|
|
|
22.
|
Меня беспокоит отсутствие перспектив на работе
|
|
|
|
|
23.
|
Я часто думаю, что все хорошее уже позади
|
|
|
|
|
24.
|
Я болею чаще чем раньше
|
|
|
|
|
25.
|
Мне кажется, что меня никто не понимает
|
|
|
|
|
26.
|
Я боюсь, что никогда не смогу жить в материальном достатке
|
|
|
|
|
27.
|
Я часто думаю о том, что люди смертны
|
|
|
|
|
28.
|
Я занимаюсь сексом реже чем раньше
|
|
|
|
|
29.
|
У меня очень мало по-настоящему близких людей
|
|
|
|
|
30.
|
Я боюсь, что не смогу нормально воспитать детей
|
|
|
|
|
31.
|
Я часто замечаю, что недели мелькают быстрее, чем раньше
|
|
|
|
|
32.
|
Я не занимаюсь спортом
|
|
|
|
|
33.
|
Наши дороги с друзьями юности все больше расходятся
|
|
|
|
|
34.
|
Я часто испытываю чувство беспочвенного беспокойства
|
|
|
|
|
35.
|
Мне жаль тратить выходные на отдых
|
|
|
|
|
36.
|
Я с трудом просыпаюсь утром
|
|
|
|
|
37.
|
Наши отношения с женой не такие близкие как раньше
|
|
|
|
|
38.
|
Иногда я испытываю чувство иррационального страха
|
|
|
|
|
39.
|
Я редко могу выделить время для отдыха с семьей
|
|
|
|
|
40.
|
Я чувствую себя не таким здоровым как раньше
|
|
|
|
Инструкция:
вам предлагаются 18 жизненных ценностей. Вам нужно дважды произвести по -
парное сравнение: первый раз – по ценности, второй- по доступности.
Сравнения
в первой таблице производятся на основании того, что представленные в этом
списке ценности имеют для Вас разную значимость, разную степень
привлекательности. Вы смотрите каждую пару и выбираете из двух ценностей ту,
которая кажется Вам более важной в этой паре. Ее вы обводите в кружок.
Пример:
Вам дана пара 3 4. Под цифрой 3 здоровье, под цифрой 4-интересная работа. Если
Вы обвели 3, то это означает, что здоровье для Вас важнее интересной работы.
Обводить
можно только одну цифру из пары!!! Пропускать пары нельзя!!
Отвечать
старайтесь быстро, первым впечатлением. Закончив первую таблицу, переходите ко
второй. В ней сравнение производится на основании того, что некоторые из
представленных ценностей являются для Вас более доступными, легче достижимыми в
жизни по сравнению с остальными. Вы выбираете из пары ту ценность, которая
легче достижима для Вас.
Пример:
Пара 3 4. Если вы обвели 4, то это означает, что интересная работа более
доступна для Вас, чем наличие хорошего здоровья
|
1.
Активная деятельность (полнота и эмоциональная
насыщенность жизни)
|
10.
Познание (возможность расширения своего образования, кругозора, общей
культуры, интеллектуальное развитие)
|
|
2.
Жизненная мудрость (зрелость суждений и здравый
смысл, достигаемые, жизненным опытом)
|
11.
Продуктивная жизнь (максимально полное использование своих возможностей, сил
и способности)
|
|
3.
Здоровье (физическое и психическое)
|
12.
Развитие (работа над собой, постоянное физическое и духовное совершенствование)
|
|
4.
Интересная работа
|
13.
Развлечения (приятное, необременительное время препровождения, отсутствие
обязанностей)
|
|
5.
Красота природы и искусства (переживание
прекрасного в природе и в искусстве)
|
14.
Свобода (самостоятельность, независимость в суждениях и поступках)
|
|
6.
Любовь (духовная и физическая близость с любимым
человеком)
|
15.
Счастливая семейная жизнь
|
|
7.
Материально обеспеченная жизнь (отсутствие материальных
затруднений)
|
16.
Счастья других (благосостояние, развитие и совершенствование других людей,
всего народа, человечества в целом)
|
|
8.
Наличие хороших и верных друзей
|
17.
Творчество (возможность творческой деятельности)
|
|
9.
Общественное признание (уважение окружающего
коллектива, товарищей по работе)
|
18.
Уверенность в себе (внутренняя гармония, свобода от внутренних противоречий,
сомнений)
|
1. Сравните
понятия- ценности на основе их большей значимости для Вас, большей привлекательности
Таблица№1
|
Сравните
понятия на основе большей значимости, большей привлекательности
|
|
1
2
|
2
3
|
3
4
|
4
5
|
5
6
|
6
7
|
7
8
|
8
9
|
9
10
|
10
11
|
11
12
|
12
13
|
13
14
|
14
15
|
15
16
|
16
17
|
17
18
|
|
1
3
|
2
4
|
3
5
|
4
6
|
5
7
|
6
8
|
7
9
|
8
10
|
9
11
|
10
12
|
11
13
|
12
14
|
13
15
|
14
16
|
15
17
|
16
18
|
|
|
1
4
|
2
5
|
3
6
|
4
7
|
5
8
|
6
9
|
7
10
|
8
11
|
9
12
|
10
13
|
11
14
|
13
16
|
14
17
|
15
18
|
|
|
|
1
5
|
2
6
|
3
7
|
4
8
|
5
9
|
6
10
|
7
11
|
8
12
|
9
13
|
10
14
|
11
15
|
12
16
|
13
17
|
14
18
|
|
|
|
|
1
6
|
2
7
|
3
8
|
4
9
|
5
10
|
6
11
|
7
12
|
8
13
|
9
14
|
10
15
|
11
16
|
12
17
|
13
18
|
|
|
|
|
|
1
7
|
2
8
|
3
9
|
4
10
|
5
11
|
6
12
|
7
13
|
8
14
|
9
15
|
10
16
|
11
17
|
12
18
|
|
|
|
|
|
|
1
8
|
2
9
|
3
10
|
4
11
|
5
12
|
6
13
|
7
14
|
8
15
|
9
16
|
10
17
|
11
18
|
|
|
|
|
|
|
|
1
9
|
2
10
|
3
11
|
4
12
|
5
13
|
6
14
|
7
15
|
8
16
|
9
17
|
10
18
|
|
|
|
|
|
|
|
|
1
10
|
2
11
|
3
12
|
4
13
|
5
14
|
6
15
|
7
16
|
8
17
|
9
18
|
|
|
|
|
|
|
|
|
|
1
11
|
2
12
|
3
13
|
4
14
|
5
15
|
6
16
|
7
17
|
8
18
|
|
|
|
|
|
|
|
|
|
|
1
12
|
2
13
|
3
14
|
4
15
|
5
16
|
6
17
|
7
18
|
|
|
|
|
|
|
|
|
|
|
|
1
13
|
2
14
|
3
15
|
4
16
|
5
17
|
6
18
|
|
|
|
|
|
|
|
|
|
|
|
|
1
14
|
2
15
|
3
16
|
4
17
|
5
18
|
|
|
|
|
|
|
|
|
|
|
|
|
|
1
15
|
2
16
|
3
17
|
4
18
|
|
|
|
|
|
|
|
|
|
|
|
|
|
|
1
16
|
2
17
|
3
18
|
|
|
|
|
|
|
|
|
|
|
|
|
|
|
|
1
17
|
2
18
|
|
|
|
|
|
|
|
|
|
|
|
|
|
|
|
|
1
18
|
|
|
|
|
|
|
|
|
|
|
|
|
|
|
|
|
Таблица№2 - Сравнительные
понятия -ьтценности на основе их большей достижимости для Вас.
|
Сравните
понятия на основе более легкой достижимости, большей доступности
|
|
1
2
|
2
3
|
3
4
|
4
5
|
5
6
|
6
7
|
7
8
|
8
9
|
9
10
|
10
11
|
11
12
|
12
13
|
13
14
|
14
15
|
15
16
|
16
17
|
17
18
|
|
1
3
|
2
4
|
3
5
|
4
6
|
5
7
|
6
8
|
7
9
|
8
10
|
9
11
|
10
12
|
11
13
|
12
14
|
13
15
|
14
16
|
15
17
|
16
18
|
|
|
1
4
|
2
5
|
3
6
|
4
7
|
5
8
|
6
9
|
7
10
|
8
11
|
9
12
|
10
13
|
11
14
|
12
15
|
13
16
|
14
17
|
15
18
|
|
|
|
1
5
|
2
6
|
3
7
|
4
8
|
5
9
|
6
10
|
7
11
|
8
12
|
9
13
|
10
14
|
11
15
|
12
16
|
13
17
|
14
18
|
|
|
|
|
1
6
|
2
7
|
3
8
|
4
9
|
5
10
|
6
11
|
7
12
|
8
13
|
9
14
|
10
15
|
11
16
|
12
17
|
13
18
|
|
|
|
|
|
1
7
|
2
8
|
3
9
|
4
10
|
5
11
|
6
12
|
7
13
|
8
14
|
9
15
|
10
16
|
11
17
|
12
18
|
|
|
|
|
|
|
1
8
|
2
9
|
3
10
|
4
11
|
5
12
|
6
13
|
7
14
|
8
15
|
9
16
|
10
17
|
11
18
|
|
|
|
|
|
|
|
1
9
|
2
10
|
3
11
|
4
12
|
5
13
|
6
14
|
7
15
|
8
16
|
9
17
|
10
18
|
|
|
|
|
|
|
|
|
1
10
|
2
11
|
3
12
|
4
13
|
5
14
|
6
15
|
7
16
|
8
17
|
9
18
|
|
|
|
|
|
|
|
|
|
1
11
|
2
12
|
3
13
|
4
14
|
5
15
|
6
16
|
7
17
|
8
18
|
|
|
|
|
|
|
|
|
|
|
1
12
|
2
13
|
3
14
|
4
15
|
5
16
|
6
17
|
7
18
|
|
|
|
|
|
|
|
|
|
|
|
1
13
|
2
14
|
3
15
|
4
16
|
5
17
|
6
18
|
|
|
|
|
|
|
|
|
|
|
|
|
1
14
|
2
15
|
3
16
|
4
17
|
5
18
|
|
|
|
|
|
|
|
|
|
|
|
|
|
1
15
|
2
16
|
3
17
|
4
18
|
|
|
|
|
|
|
|
|
|
|
|
|
|
|
1
16
|
2
17
|
3
18
|
|
|
|
|
|
|
|
|
|
|
|
|
|
|
|
1
17
|
2
18
|
|
|
|
|
|
|
|
|
|
|
|
|
|
|
|
|
1
18
|
|
|
|
|
|
|
|
|
|
|
|
|
|
|
|
|