Реагентное хозяйство
РЕАГЕНТНОЕ ХОЗЯЙСТВО
Содержание
Склады реагентов
Дозирование реагентов
Литература
Склады реагентов
Известны две схемы организации реагентного хозяйства: первая
- предусматривает получение с заводов-поставщиков готовой продукции, которую
затем с помощью специальных дозаторов вводят в обрабатываемую воду; вторая
- основана на получении с заводов полуфабрикатов, нуждающихся в дальнейшей обработке
и доведении до продукта, удобного для дозирования.
Употребляемые при обработке воды реагенты вводятся в виде порошков
или гранул (сухое дозирование) либо в виде водных растворов или суспензий (мокрое
дозирование). Оба способа дозирования требуют организации на водоочистном комплексе
реагентного хозяйства. В первом случае на водоочистном заводе должны быть предусмотрены
склад готовой продукции и аппараты-дозаторы. Во втором - учитывая, что реагенты
поступают в виде полуфабрикатов, необходимо предусмотреть помимо склада аппаратуру
для приготовления растворов (или суспензий) реагентов и дозирования в обрабатываемую
воду. При этом возможно складирование реагентов в сухом виде навалом или в специальной
таре либо в виде высококонцентрированных растворов в специальных емкостях.
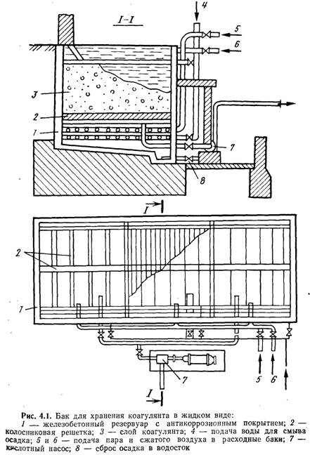
Во избежание потерь коагулянта в результате слеживания, а также
при выполнении трудоемких погрузочно-разгрузочных работ при доставке коагулянта
и загрузке растворных баков в настоящее время широко распространено хранение коагулянта
в жидком виде. С этой целью на водоочистном заводе предусматривают резервуары
большего объема (рис.4.1), в которых заготовляют расчетный запас коагулянта в виде
раствора высокой концентрации (до 30%), загружая их коагулянтом, доставляемым с
завода-изготовителя в кусках. В процессе эксплуатации концентрированный раствор
коагулянта передают в расходные баки, где доводят раствор до рабочей концентрации
10-12%, а затем дозируют в обрабатываемую воду.
Для хранения реагентов в сухом виде предусматривают закрытые
помещения на первом этаже вблизи от растворных баков. При хранении навалом сульфата
алюминия и негашеной извести высоту слоя принимают соответственно 1,5 и 2 м, а при наличии соответствующей механизации допускается увеличение высоты слоя до 2,5 и 3,5 м. Высоту слоя поваренной соли следует принимать до 2 м.
При поставке реагентов в таре рекомендуется следующая высота
их укладки, м; для хлорного железа в барабанах и железного купороса в бумажных мешках
- соответственно 2,5 и 3,5; для кальцинированной соды в бумажных мешках - 2-3,5;
в контейнерах - 2-3; для активного угля в бумажных мешках, геля ПАА в бочках, кремнефтористого
натрия в бочках, силиката натрия в бочках, технического перманганата калия в металлических
бочках и баках - 2,5.
Склад для хранения кислот следует изолировать от остальных складских
помещений. Он должен иметь надежную приточно вытяжную систему вентиляции. При его
проектировании необходимо учитывать правила оборудования и содержания складов для
хранения сильнодействующих и ядовитых веществ. Это также относится к складам хлора
и аммиака, которые рекомендуется размещать в пониженных точках территории водоочистного
комплекса.
Расходный склад хлора должен иметь объем для хранения не более
100 т, полностью изолированный отсек до 50 т. Склад рекомендуется размещать в полузаглубленных
или наземных зданиях с двумя выходами с противоположных сторон. Хранят хлор в баллонах
или контейнерах. Склад активного угля рекомендуется располагать в отдельном помещении,
относящемся по пожарной опасности к категории В. При мокром хранении поваренной
соли (при суточном расходе более 0,5 т) объем баков-хранилищ определяют из расчета
1,5 м3 на 1 т реагента. Склад для хранения запасов ионообменных материалов
рассчитывают на объем загрузки двух катионитовых фильтров и по одной загрузке фильтров
со слабо - и сильноосновным анионитом в случае их применения.
Очевидно, что от технологии улучшения качества воды зависят состав
и насыщенность реагентного хозяйства. Так, помимо цехов коагулирования, хлорирования,
известкования могут быть цехи углевания, фторирования и т.д.
При проектировании складов реагентов необходимо предусматривать
механизацию их выгрузки из транспортных средств и загрузки в реагентные баки путем
использования транспортеров и механических лопат.
Склад для хранения фильтрующих материалов и подбор оборудования
проектируют из расчета 10%-ного ежегодного пополнения и обмена фильтрующей загрузки
и хранения аварийного запаса на перегрузку одного фильтра при общем количестве до
20 и двух фильтров - при большем количестве. Для загрузки фильтров рекомендуется
использовать водоструйные и песковые насосы. При отсутствии централизованной поставки
гравия и фильтрующих материалов необходимо предусматривать на водоочистном комплексе
специальный цех и оборудование для хранения, дробления, сортировки, отмывки и передачи
указанных материалов на фильтры.
При организации реагентного хозяйства на водоочистном комплексе
следует учитывать особенности хранения реагентов, а, именно: известь можно помещать
в одном складе с коагулянтами; хлорную известь необходимо хранить в деревянных бочках
в отдельном сухом, прохладном, хорошо вентилируемом помещении.
При хранении реагентов для фторирования воды должны соблюдаться
особые условия ввиду их токсичности. Так, фтор - содержащие реагенты хранят на складе
при температуре не ниже 5ºС в заводской таре (стальных или фанерных барабанах,
деревянных бочках массой нетто 50-150 кг), распечатывать и заполнять порошкообразным реагентом переносную тару, а также затворять реагент водой следует в отдельной
комнате, изолированной от помещения фтораторной. Эту комнату необходимо оборудовать
приточно-вытяжной вентиляцией с 12-кратным обменом воздуха в течение 1 ч с учетом
резервной вентиляции с 6-кратным обменом воздуха в течение 1 ч. Хорошо вентилируемые
склад и фтораторная должны быть надежно изолированы от других помещений; транспортирование
фторсодержащих соединений механизируют.
Пакеты и барабаны с активированным углем укладывают по маркам
и датам поступления; к помещениям для его хранения требования взрывобезопасности
не предъявляется, по пожарной опасности его относят к категории "В".
Полиакриламид и жидкое стекло во избежание замораживания и усыхания
хранят в крытых помещениях при плюсовой температуре, но не выше 25°С. Технический
8% -ный раствор полиакриламида транспортируют и хранят в бочках, содержащих 100-150 кг продукта. Для устранения утечек такие бочки должны находиться в вертикальном положении загрузочным
люком вверх. При дефектах тары или при необходимости хранения вскрытых бочек продукт
следует залить водой. Жидкое стекло хранят в герметически закупоренных деревянных
или железных бочках или в цистернах.
Склады для хранения кислот должны быть оборудованы на основании
санитарных правил проектирования, оборудования и содержания складов для хранения
сильнодействующих и ядовитых веществ (СДЯВ) с учетом правил устройства и безопасности
эксплуатации сосудов, работающих под давлением. Их изолируют друг от друга и остальных
складских помещений. Небольшое количество кислот можно хранить в помещениях
с хорошей тягой.
Склады для хранения хлора и аммиака рассчитывают на хранение
этих реагентов в баллонах или бочках. Такие склады должны быть изолированы от других
складских помещений и отвечать правилам хранения сжиженных газов. Целесообразно
располагать их в самых низких точках. Если суточный расход хлора превышает 1 т,
расходный склад может состоять из танков заводского изготовления вместимостью до
50 т; при этом следует предусмотреть также станцию перелива жидкого хлора из железнодорожных
цистерн. Оборудование складов и станций перелива хлора необходимо проектировать
с учетом требований, изложенных в правилах устройства и безопасности аппаратуры,
работающей под давлением, а также указаний по организации хлорирования жидким хлором
на коммунальных водопроводах. Длина хлоропроводов для подачи газообразного хлора
из расходного склада к месту хлорирования воды не должна превышать 1 км.
Объем помещения для хранения ионитовых материалов рассчитывают
на хранение двух загрузок катионитовых фильтров и по одной загрузке фильтров со
слабо - и сильноосновным анионитами.
Соли целесообразнее хранить в мокром виде. Если суточный расход
продукта менее 0,5 т, допускается сухое хранение.
При проектировании и строительстве складов следует принимать
меры по механизации всех процессов. Очень трудоемкой операцией является выгрузка
реагентов из железнодорожных вагонов. Для этого применяют механические лопаты, ленточные
и пневматические конвейеры.
Пневматические конвейеры также можно использовать для транспортирования
сульфата алюминия в пылевидном или рыхлом (не слежавшемся) состоянии в бункере.
Существуют три типа пневматических транспортирующих установок: всасывающие, нагнетательные
и смешанные. Всасывающие установки применяют для подачи реагента из разных мест
разгрузки к одному месту, а нагнетательные - из одного места разгрузки в разные
места потребления. Смешанные пневматические установки целесообразно применять для
транспортирования реагента из разных мест (железнодорожных вагонов) в бункера. Аппаратура
для приготовления реагентов к дозированию
Наиболее широкое распространение в отечественной практике получило
дозирование реагентов в виде растворов и суспензий. Это предполагает наличие в составе
реагентного хозяйства специальных баков для растворения реагентов, кислотных насосов
для перекачки и дозирования, воздуходувных установок и дозаторов.
Процесс растворения состоит в постепенном распределении одного
вещества в другом и всегда сопровождается переносом вещества в места его меньшей
концентрации. Этот перенос обусловливают два явления - диффузия и конвекция.
Диффузия вызывается переходом растворенного вещества из мест с большей концентрацией
к местам с меньшей концентрацией до ее полного выравнивания. Процесс выравнивания
концентрации в результате перемещения жидкости (растворителя) называется конвекцией.
Оба эти явления связаны друг с другом и обычно происходят одновременно.
Практический интерес представляет конвекция, поскольку скорость движения жидкости
можно увеличить и тем самым ускорить процессы растворения и смешения.
Конвекция, вызванная различными плотностями двух слоев жидкости,
называется естественной. В практике больший интерес представляет искусственная конвекция,
т.е. вынужденное, поддающееся управлению движение жидкости, регулируемое различного
вида мешалками и гравитационным напором. При растворении и смешении растворов реагентов
с обрабатываемой водой используются различные устройства, создающие вихревое движение
жидкости.
Растворы (или суспензии) реагентов приготовляют в растворных
или расходных баках (принимают соответственно не менее двух-трех баков).
Для побуждения и интенсификации растворения реагентов предусматривают барботаж
(рис.4.2, а), механическое перемещение (рис.4.2, б) или непрерывную циркуляцию раствора
с помощью насоса (рис.4.3). При барботировании интенсивность подачи сжатого воздуха
8-10 л/ (с*м2) Для растворения и 3-5 л/ (с-м2) для перемешивания
при разбавлении в расходных баках. Распределение воздуха следует производить дырчатыми
полиэтиленовыми трубами. В растворных баках концентрацию раствора коагулянта,
считая по безводному продукту, следует принимать до 20 и 24% соответственно для
очищенного кускового и гранулированного, до 17% - Для неочищенного, а в расходных
баках - до 12%.
Растворные баки должны иметь наклонные днища под углом 45° к
горизонтали при использовании неочищенного и 15° - очищенного коагулянта. Они должны
быть оборудованы трубопроводом диаметром не менее 150 мм для опорожнения и сброса осадка. Днища расходных баков должны иметь уклон не менее 100 мм.
На водоочистных комплексах небольшой производительности (до 1000
м3/сут) применяют совмещенные расходные баки. Куски коагулянта загружают
в растворный бак с днищем из деревянных колосников, а насыщенный раствор коагулянта
поступает через днище в расходный бак. В этот же бак добавляют водопроводную воду
для разбавления раствора до требуемой концентрации. Для ускорения растворения кусков
реагента по пластмассовой трубе подают сжатый воздух под колосники.

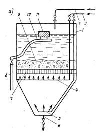
Рис. 4.2 Баки приготовления раствора коагулянта с воздушным
(а) и механическим (б) побуждением:
1 - корпус; 2, 3 - подача воды и сжатого воздуха; 7 -
колосниковая решетка; 4 и 5 - верхняя и нижняя воздухораспределительная система;
б - выпуск осадка; 8 - отвод раствора коагулянта; 9 - коагулянт; 12
- электродвигатель; 13 - ось мешалки; 10 - шланг; 11 -
поплавок; 14 - окна для циркуляции раствора
По этой же трубе сжатый воздух поступает в систему дырчатых труб,
уложенных по дну расходного бака, для перемешивания в нем раствора с целью поддержания
равномерной его концентрации. Совмещенный растворно-расходный бак должен иметь два
отделения, чтобы подача раствора не прерывалась, когда идет его приготовление в
одном из отделений.
На очистных комплексах большой производительности устанавливают
отдельно растворные и расходные баки с пирамидальным днищем и деревянными или железобетонными
колосниками внизу бака, на которые загружают куски коагулянта. На сравнительно небольших
установках расходные и растворные баки деревянные (из клепки), а на больших - железобетонные
с антикоррозионной облицовкой внутри.
На установках производительностью до 1000 м3/сут реагентные
баки могут быть размещены на верхнем этаже здания, что обеспечивает самотечную подачу
раствора к месту его ввода в. обрабатываемую воду. В этом случае должен быть предусмотрен
подъемник для подачи реагентов на верхний этаж. При большой производительности водоочистного
комплекса растворные и расходные баки должны быть размещены на первом этаже рядом
со складом реагентов, а раствор должен подаваться к дозирующему устройству насосами.
Рис.4.3 Установка для приготовления раствора флокулянта: 1 -
растворный бак с непрерывной циркуляцией раствора; 2 - насос циркуляции и
перекачки раствора; 3 - расходный бак; 4 - дозатор; 5 – эжектор
Объем, м3, растворного Vp и расходного V баков определяют по формулам:
где q - расчетный
расход обрабатываемой воды, м3/ч; р - плотность раствора коагулянта,
обычно 1 т/м3; Т - число часов работы водоочистных сооружений, на которое
заготовляется раствор коагулянта; bp и b - концентрация раствора коагулянта
в растворном и расходном баках.
Для подщелачивания и стабилизации воды, применяют известь
в виде молока концентрацией до 5% по оксиду кальция или раствора концентрацией до
1,4 г/л, либо раствор соды концентрацией 5-8%. Технологическая схема известкования
воды выбирается с учетом вида и качества исходного продукта, потребности в извести,
места ее ввода и т.д. При суточном потреблении извести до 50 кг по оксиду кальция можно примеизвестковый раствор, приготовляемый в сатураторах двойного насыщения.
Рис.4.4 Известковое хозяйство при сухом (а) и жидкостном
(б) хранении извести: 1 - бункер; 2 - контейнер; 3 - таль
с электроприводом; 4 - известегасилка; 5 - сливной желоб; 6,7 - пропеллерная
мешалка и бак для известкового молока; 8 - насос-дозатор; 9 - бак
для отходов; 10 - корзина с известью; 11 - бак известкового теста;
12 - насос; 13 - отвод известкового молока
При большом суточном потреблении извести известковый раствор
или молоко приготовляют в баках (принимают не менее двух баков). Баки должны иметь
конические днища с углом 45° и сбросные трубопроводы диаметром не менее 100 мм (рис.4.4). Непрерывное перемешивание известкового молока в баках осуществляют гидравлическим способом
с помощью циркуляционного насоса при восходящей скорости потока не менее
5 мм/с с механическими мешалками или бар - ботированием воздухом с интенсивностью
8-10 л/ (с-м2). Известковое молоко очищают от нерастворимых примесей
в вертикальных отстойниках с восходящей скоростью 2 мм/с или в гидроциклонах с двукратным
пропуском его через аппарат.
Раствор соды концентрацией 5-8% готовят в железобетонных
или стальных баках с механическим или пневматическим побуждением (барботаж). Для
ускорения процесса растворения соды рекомендуется подогрев воды до 50-60°С.
Угольную пульпу концентрацией 5-10%, применяемую для дезодорации
воды, готовят замачиванием порошкообразного активного угля в течение 1 ч в баках
с механическим или гидравлическим перемешиванием (рис.4.5). Помещения, где размещены
угольные установки, относятся к категории пожароопасных, их оборудуют системой приточно-вытяжной
вентиляции с пятикратным (не менее) обменом воздуха.
Рис.4.5 Установка для приготовления и дозирования пульпы активного
угля: 1 - барабан с механическим перемешиванием; 2 - люки; 3 - насосы; 4
- бункер для пульпы; 5 - сетка; 6 - дозатор; 7 - отвод готовой пульпы.
Растворы ПАА (см. рис.4.3) из технического продукта рекомендуется
приготовлять в баках с механическими лопастными мешалками. В состав установки
помимо мешалки входят
расходный бак, где аккумулируется раствор ПАА 1-1,5% -ной концентрации,
дозатор и эжектор, вторично разбавляющий раствор до 0,1-0,25% -ной концентрации
и транспортирующий его к месту ввода в обрабатываемую воду. Период приготовления
раствора ПАА из геля 30-40 мин, из сухого продукта - 2 ч. При использовании горячей
воды с температурой до 50°С продолжительность приготовления раствора ПАА сокращается.
Число мешалок и объем расходных баков определяют исходя из сроков хранения растворов
ПАА: 0,7-1% -ной концентрации - до 15 сут; 0,4-0,6% -ной - до 7 сут; 0,1-0,3% -ной
- до 2 сут.
Растворы АК приготовляют на месте ее применения путем
активации силиката натрия (т.е. нейтрализации его щелочности) раствором сульфата
алюминия или хлором на установках непрерывного или периодического действия. При
часовом использовании дозы АК до 3 кг применяют установки периодического действия,
состоящие из реагентного бака, где в течение часа выдерживают хлорированный раствор
силиката натрия, хлората ЛК-Ю, центробежного насоса и дозаторов.
Раствор перманганата калия концентрацией 0,5-2% готовят
в растворных баках, которых должно быть не менее двух. Продолжительность полного
растворения реагента при температуре воды до 20°С 4-6 ч, а при 40°С - 2-3 ч.
Растворы фторсодержащих реагентов приготовляют в сатураторах
одинакового насыщения (для реагентов с малой растворимостью) или в расходных баках
(для хорошо растворимых реагентов) с механическим или пневматическим побуждением.
Установки сатураторного типа целесообразны для водоочистных комплексов производительностью
до 50 тыс. м3/сут. Фтораторные установки с растворно-расходными баками,
применяющиеся при большей производительности, характеризуются универсальностью,
так как могут работать на любом фторсодержащем реагенте.
Раствор гексаметафосфата натрия (кальция) концентрацией
2-3% (в расчете на товарный продукт) готовят в баках с механическим перемешиванием
(принимают не менее двух баков). Продолжительность растворения реагента при непрерывном
перемешивании в воде температурой 16-18°С составляет 4-5 ч, при 50°С - около 2 ч.
Раствор гексаметафосфата натрия характеризуется высокой коррозионной активностью,
поэтому внутренняя поверхность стенок баков должна иметь кислотостойкое покрытие.
Дозирование реагентов в обрабатываемую воду, равномерность их
распределения являются ответственным этапом водообработки. От их совершенства в
значительной степени зависит не только степень очистки воды, но и экономичность
технологии.
В водоподготовке применяют дозаторы растворов и суспензий, газов
и сухих реагентов, которые можно классифицировать на три вида: дозаторы постоянной
дозы; пропорциональные, автоматически устанавливающие дозу в соответствии с изменяющимся
расходом воды или ее качеством, и насосы-дозаторы. Дозаторы растворов, суспензий
и газов можно подразделить на дозирующие реагенты в открытый поток и в напорный
трубопровод. Дозаторы сухих реагентов вводят их в открытый поток или в специальный
смеситель, где они быстро растворяются.
Сухие гранулированные или порошкообразные реагенты дозируют шнековыми,
ленточными, тарельчатыми, объемными, массовыми и вибрационными дозаторами.
Объемные дозаторы (рис.4.6) подают определенный объем
вещества за расчетный промежуток времени, массовые - массовое количество
вещества. Основное отличие их состоит в следующем: объемные дозаторы, которые конструктивно
проще и: дешевле, имеют точность дозирования 3.5%, массовые - 1%; массовые дозаторы
легче оборудовать записывающим устройством для регистрации дозируемого реагента
и устройством для автоматической подачи реагента в воду.
Важной и неотъемлемой частью сухих дозаторов является растворная
камера. При непосредственном вводе сухих реагентов в воду они падают на дно нерастворенными.
Максимальную концентрацию реагента в растворной камере принимают равной 1/4 концентрации
насыщенного раствора при обычной температуре воды. Вместимость растворных камер
принимают не менее 20 л. Для более полного смешения реагента с водой и его лучшего
растворения предусматривают электрические мешалки или форсунки. Для точного регулирования
количества воды, поступающей в растворную камеру, применяют различные водомеры.
Из камеры раствор вводят в обрабатываемую воду. Используют дозаторы типа ДВ с массовым
контролем производительностью 8-40; 40-120; 120-400; 400-1000; 1000-2000; 2000-4000
кг/ч; питатели-дозаторы с массовым контролем типа ПНВ такой же производительностью,
что и дозаторы типа ДВ; дозаторы автоматические, непрерывного действия сыпучих материалов
типа ДН-2-IV производительностью
од-160; 0,1-320; 0,1-630; 0,1-1000; 0,1-1600 кг/ч. Отдозированный дозаторами реагент
направляется в смывное устройство (слекер), из которого забирается эжектором и транспортируется
водой к смесителю. Существенными преимуществами сухого дозирования являются компактность
установки, предотвращение коррозии оборудования, простая схема автоматизации процесса
и значительное снижение капитальных затрат.
Дозаторы, предназначенные на поддержание заданных параметров
обрабатываемой воды (электропроводности, рН и т.д.), регулируют расход реагентов
независимо от расхода воды на очистных сооружениях.
Схема устройства и работы пропорционального дозатора простейшего
типа показана на рис.4.7 В водомерный бак этого дозатора поступает часть воды, отделенная
в определенном количестве от общего потока на непосредственно в смеситель). распределительном
водосливе (остальная большая часть поступает
Из бака вода выходит через патрубок с диафрагмой и направляется
через воронку также в смеситель. В баке имеется поплавок, который с помощью тросика,
перекинутого через блоки, поддерживает на определенной высоте дозирующую трубку
диафрагмы. Через эту трубку из второго бака вытекает раствор реагента, уровень которого
в баке поддерживается постоянным благодаря шаровому клапану. При увеличении количества
воды, поступающей на обработку, уровень воды в баке повышается, поплавок поднимается,
дозирующая трубка опускается, и расход раствора реагента увеличивается пропорционально
расходу обрабатываемой воды. В баке исходной воды успокоительная камера отделена
перегородкой.
Автоматически действующим дозатором пропорциональной дозы
является дозатор, предложенный В.Л. Чейшвили и И.Л. Крымским (рис.4.8), действие
которого основано на использовании разности электропроводности еще не
коагулированной воды и этой же воды после введения в нее коагулянта.
Рис.4.8 Автоматический дозатор Чейшвили-Крымского: 1 и 4
- подвод исходной и коагулированной воды; 2 - ввод коагулянта; 3
- шайбовый смеситель; 5 - регулятор подачи коагулянта; 6 - магнитный
пускатель; 7 - измерительный прибор; 8 и 11 - ячейки некоагулированной
и коагулированной воды; 9 - компенсационная ячейка; 10 - сливная воронка;
12 - раствор коагулянта из бака
По тому же принципу действует дозатор АОВ-2 системы ИОНХ АН Украины.
К автоматическим дозаторам относятся разработанные ВНИИ ВОДГЕО
конструкции дозатора типа ДИМБА (дозатор известкового молока бункерный автоматический).
Они регулируют подачу реагента, поддерживая заданное значение рН или пропорционально
расходу воды. Могут быть использованы также для дозирования раствора коагулянта.
Для углевания в НИКТИ городского хозяйства МЖКХ Украины разработан
дозатор-смеситель, с помощью которого можно дозировать и смешивать с водой пылевидный
уголь.
В последние годы в отечественной и зарубежной практике для дозирования
реагентов все более широко используют плунжерные и винтовые насосы-дозаторы. К первым
относятся насосы типа НД с подачей 0,16.2,5 м3/ч и давлением 981 кПа,
а ко вторым - марки 1В6/10Х с подачей 0,5.6 м3/ч и давлением 392 Па.
(табл)
Таблица
Техническая характеристика насосов-дозаторов типа НД на 1
МПа
|
Тип
|
Производительность, л/ч
|
Мощность электродвигателя, кВт
|
Габариты, мм
|
Масса, кг
|
|
длина
|
ширина
|
Высота
|
диаметр трубопровода
|
|
НД-160/10
|
160
|
0,6
|
710
|
275
|
580
|
12
|
80
|
|
НД-400/10
|
400
|
1,0
|
840
|
342
|
634
|
15
|
108
|
|
НД-630/10
|
630
|
1,1
|
875
|
342
|
653
|
15
|
115
|
|
НД-1000/10
|
1000
|
2,8
|
906
|
342
|
687
|
20
|
134
|
|
НД-1600/10
|
1600
|
3,0
|
965
|
350
|
840
|
32
|
-
|
|
НД-2500/10
|
2500
|
3,0
|
975
|
350
|
840
|
40
|
-
|
реагентное хозяйство флокулянт уголь
1.
Алексеев Л.С., Гладков В.А. Улучшение качества мягких вод. М., Стройиздат,
1994 г.
2.
Алферова Л.А., Нечаев А.П. Замкнутые системы водного хозяйства промышленных
предприятий, комплексов и районов. М., 1984.
3.
Аюкаев Р.И., Мельцер В.3. Производство и применение фильтрующих материалов
для очистки воды.Л., 1985.
4.
Вейцер Ю.М., Мииц Д.М. Высокомолекулярные флокулянты в процессах очистки
воды. М., 1984.
6.
Журба М.Г. Очистки воды на зернистых фильтрах. Львов, 1980.
A