Производство синтетического каучука

  • Вид работы:
    Курсовая работа (т)
  • Предмет:
    Технология машиностроения
  • Язык:
    Русский
    ,
    Формат файла:
    MS Word
    1,56 Mb
  • Опубликовано:
    2011-02-05
Вы можете узнать стоимость помощи в написании студенческой работы.
Помощь в написании работы, которую точно примут!

Производство синтетического каучука

АГТА

Кафедра Химической Технологии Топлива.




Курсовая работа по курсу

«Общая химическая технология »

Производство синтетического каучука.

                                                                                Выполнил:

                                                                                Студент 2курса

                                                                                гр.МАХПуск-08-1

                                                                                Шаферов Ю.А

                                                                                Проверил:

Кандидат хим. наук

                                                                                Раскулова Т.В.

Ангарск 2011

СОДЕРЖАНИЕ

1. Введение

2. Основные свойства каучуков общего назначения

2.1 Сопоставление свойств основных видов каучуков

3. Технологии и производство

3.1 Виды полимеризации

4. Бутадиен-стирольные каучуки

4.1 Физические характеристики эмульсионных бутадиен-стирольных каучуков с различным содержанием стирольных звеньев

4.2 Свойства вулканизаторов низкотемпературных эмульсионных бутадиен-метилстирольных каучуков, содержащих около 23% стирольных звеньев

5. Реактор-полимеризатор

6. Заключение

6. Список литературы

1. Введение

В настоящее время на рынке присутствует большое разнообразие каучуков, по свойствам и характеристикам их можно разделить на два крупных сегмента: каучуки общего назначения и каучуки специального назначения.

Целый ряд событий повлиял на изобретение синтетического каучука: индустриальная революция, прогресс в моторостроении, две мировые войны, растущий спрос на каучук и дефицит натурального каучука спровоцировали мировой спрос на эластомеры. Синтетические каучуки стали необходимой альтернативой натуральному каучуку и придали дополнительные свойства изделиям.

В настоящее время на рынке присутствует большое разнообразие каучуков по свойствам и характеристикам. Но в самом общем виде их можно разделить на два крупных сегмента: каучуки общего назначения и каучуки специального назначения.

Таблица 1

Синтетические каучуки

Каучуки общего назначения

Каучуки специального назначения

Бутадиен-стирольный каучук       

Хлоропреновый каучук

Бутадиен-метил-стирольный каучук

Бутадиен-нитрильный каучук

Полибутадиеновый каучук

Галогенированные изобутилены

               

Бутилкаучук

Уретаны

Этиленпропиленовый каучук       

Силиконы

Этиленпропилендиеновый каучук

Полисульфидные каучуки

Цис-1,4-полиизопреновый каучук


Каучуки общего назначения используются в тех изделиях, в которых важна сама природа резины и нет каких-либо особых требований к готовому изделию. Каучуки специального назначения имеют более узкую сферу применения и используются для придания резино-техническому изделию (шинам, ремням, обувной подошве и т.д.) заданного свойства, например, износостойкости, маслостойкости, морозостойкости, повышенного сцепления с мокрой дорогой и т.д. Чаще всего один каучук сочетает в себе несколько свойств, поэтому подбор каучуков в рецептуре резино-технического изделия для определенных областей является тщательной работой технологов.

Спецкаучуки применяются в резино-технической промышленности в гораздо меньших количествах по сравнению с каучуками общего назначения. Области применения каучуков общего назначения и специального назначения также имеют различия. Поэтому в данном обзоре будут подробно рассмотрены только каучуки общего назначения, которые имеют схожие способы получения, переработки и применения.

Свойства синтетических каучуков определяют их области применения. Создание рецептуры резино-технического изделия сопровождается подбором различных видов каучуков, наполнителей, мягчителей и др. Правильное сочетание всех компонентов  в рецептуре позволяет получить резино-техническое изделие с заданными свойствами.

2.Основные свойства каучуков общего назначения

Бутадиен-стирольный каучук

Бутадиен-стирольный каучук обладает отличным сочетанием функциональных свойств в различных областях применения. Этот каучук считают лучшим каучуком общего назначения благодаря отличным свойствам высокой стойкости к истиранию и высокому проценту наполняемости. С увеличением содержания звеньев стирола (α-метилстирола) в сополимере снижается эластичность каучука, ухудшается морозостойкость, но увеличиваются прочностные показатели. Характерной особенностью бутадиен-стирольных (α-метилстирольных) каучуков является низкое сопротивление разрыву ненаполненных вулканизатов. Эти каучуки имеют более высокую температуру стеклования по сравнению с натуральным каучуком и уступают натуральному каучуку по морозостойкости. Важным преимуществом бутадиен-стирольных каучуков перед натуральным каучуком является меньшая склонность к образованию трещин, более высокая износостокость, паро- и водонепроницаемость, лучшее сопротивление тепловому, озонному и световому старению. Хорошими диэлектрическими свойствами обладают каучуки с высоким содержанием стирола (количество стирола в смеси мономеров 50 вес. % и выше).

Полибутадиеновый каучук

Большая часть полибутадиенового каучука в настоящее время производится 1,4-цис типа, но некоторые имеют смешанную структуру звеньев. Будучи ненасыщенным каучуком, он с легкостью вулканизуется с серой. Полибутадиеновый каучук обладает отличной стойкостью к низким температурам и к истиранию. Но при этом, он не обладает высокой прочностью при растяжении и обычно наполняется упрочняющими добавками. Он также имеет меньшую прочность на растяжение, плохую технологическую переработку и плохое сцепление с дорогой по сравнению с натуральным каучуком. Поэтому в рецептурах резинотехнических изделий он перемешивается с натуральным каучуком или бутадиен-стирольным каучуком.

Полибутадиеновые каучуки используются в большом количестве в смесях с другими эластомерами, для придания хорошего свойств гистерезиса и стойкости к истиранию. Смеси полибутадиена с бутадиен-стирольным или натуральным каучуками широко используются в легковых и грузовых шинах для улучшения устойчивости к растрескиванию. Кроме этого полибутадиеновый каучук используется как модификатор в смесях с другими эластомерами для улучшения морозостойких свойств, стойкости к тепловому старению, истиранию и растрескиванию.

Бутилкаучук

Бутилкаучук имеет уникальную способность удерживать воздух, что обеспечивает ему безусловный приоритет в шинной промышленности при производстве камер и диафрагм. Автомобильные камеры из бутилкаучука сохраняют исходное давление воздуха в 8-10 раз дольше, чем аналогичные камеры из натурального каучука, что повышает срок службы шины минимум на 10-18% по сравнению с натуральным каучуком. Каучук стоек к воздействию озона и имеет хорошую стойкость к полярным растворителям, водным растворам кислот и окисляющих реагентов. Он обладает хорошей стойкостью к животному и растительному маслу, но бутилкаучук нестоек к воздействию минеральных масел.

Прочность на разрыв бутилкаучука немного меньше по сравнению с натуральным каучуком, но при высоких температурах этот показатель одинаковый для обоих каучуков. Стойкость к истиранию хорошая, когда каучук тщательно наполнен (также как остаточная деформация сжатия), но упругость все же остается очень низкой. К недостаткам бутилкаучука относятся его низкая скорость вулканизации, неудовлетворительная адгезия к металлам, плохая совместимость с некоторыми ингредиентами, малая эластичность при обычных температурах, высокое теплообразование при многократных деформациях.

Некоторые из этих существенных недостатков бутилкаучука (такие, как низкая скорость вулканизации, препятствующая его применению в смесях с другими каучуками, низкая адгезия ко многим материалам, особенно металлам) устраняются частичным изменением химической природы полимера. Например, введением в макромолекулы каучука небольшого количества атомов галогенов. Бромбутилкаучук (от 1 до 3.5 вес. % брома) перерабатывается и смешивается с ингредиентами так же, как и бутилкаучук. Но при этом бромбутилкаучук вулканизуется значительно быстрее, чем бутилкаучук. Скорость вулканизации бромбутилкаучука сравнима со скоростью вулканизации натурального, бутадиен-стирольного и других каучуков, что делает возможным его применение в смесях с этими эластомерами. Близкими свойствами обладают и другие галогенированные бутилкаучуки, например, хлорбутилкаучук (1.1 - 1.3 вес. % хлора). Однако скорость вулканизации и свойства вулканизатов хлорбутилкаучука несколько ниже, чем бромбутилкаучука.

Этиленпропиленовые каучуки

Этиленпропиленовые каучуки самые легкие каучуки, которые имеют плотность от 0,86 до 0,87. Свойства зависят от содержания и вариации этиленовых звеньев в сополимерных звеньях. Этиленпропиленовый каучук не содержит двойных связей в молекуле, бесцветный, имеет отличную стойкость к воздействию тепла, света, кислорода и озона. Для насыщенных этилен-пропиленовых каучуков применяется перекисная вулканизация.  Каучук этилен-пропилен-диеновый, который содержит частичную ненасыщенность связей, допускает вулканизацию с серой. Он немного меньше устойчив к старению, чем этилен-пропиленовый каучук.

Насыщенный характер сополимера этилена с пропиленом сказывается  на свойствах резин на основе этого каучука. Устойчивость данных каучуков к теплу и старению намного лучше, чем у бутадиен-стирольного и натурального каучуков. Готовые резиновые изделия имеют также отличную стойкость к неорганическим или высокополярным жидкостям таким, как кислоты, щелочи и спирты. Свойства резины на основе данного вида каучука не изменяются после выдерживания ее в течение 15 суток при 25С в 75%-ной и 90%-ной серой кислоте и в 30%-ной азотной кислоте. С другой стороны стойкость к алифатическим, ароматическим или хлорсодержащим углеводородам достаточно низкая.

Все виды этилен-пропиленовых каучуков наполняются упрочняющими наполнителями, такими как сажа, чтобы придать хорошие механические свойства. Электрические, изоляционные и диэлектрические свойства чистого этилен-пропиленового каучука экстраординарны, но также зависят от выбора наполняющих ингредиентов. Их эластичные свойства лучше, чем у многих синтетических каучуков, но они не достигают уровня натурального каучука и бутадиен-стирольного каучука. Эти каучуки имеют два значительных недостатка. Они не могут быть перемешаны с другими простыми каучуками и неустойчивы к воздействию масла.

Наиболее сложными проблемами, сдерживающими использование этилен-пропиленовых каучуков в шинном производстве, являются неудовлетворительная прочность с кордом и невозможность совулканизации протекторных резин с резинами на основе других каучуков. После решения этих проблем потребление этилен-пропиленовых каучуков может значительно расшириться.

Цис-1,4-полиизопреновый каучук

Синтетический каучук цис-1,4-полиизопрен довольно легок (плотность 0,90 до 0,91). Полиизопреновый каучук на все 100% состоит из углеводородного каучука (за исключением маслонаполненных марок) в отличие от натурального каучука, который имеет в своем составе протеины, смолы и т.д. (до 6%).

Несмотря на химическую идентичность с натуральным каучуком, синтетический полиизопреновый каучук имеет небольшие различия с преимуществами и недостатками по сравнению с натуральным каучуком. В то время как натуральный каучук не очень однородный в цвете, вязкости и чистоте, синтетический полиизопрен более однородный, легок в переработке, светлее в цвете и более чистый. Но он имеет немного худшие характеристики в прочности сырого полимера (эта характеристика особенно важна при изготовлении шины) и в модуле. Полиизопреновый каучук обладает более высоким удлинением, чем натуральный каучук. Вот небольшие различия свойств вулканизованных каучуков.

2.1Сопоставление свойств основных видов каучуков

Сопоставление некоторых свойств каучуков общего и специального назначения представлены на диаграмме ниже. Ось абсцисс характеризует маслостойкость каучуков – ординат – теплостойкость.


Рис 1.

 (а) SBR - бутадиен-стирольный каучук, BR - бутадиеновый каучук, NR - натуральный каучук, IIR - бутилкаучук, EPDM - этилен-пропилен-диеновый каучук, EPM - этилен-пропиленовый каучук, CR - хлоропреновый каучук, CO - эпихлоргидриновый каучук, ACM - акрилатный каучук, NBR - бутадиен-нитрильный каучук, CSM, EACM, CR, MQ, FMQ

3.Технологии и производство

В основе производства синтетических каучуков лежит процесс полимеризации в присутствии различных катализаторов.

Исходным сырьем в получении каучуков является сырая нефть, которую разделяют на фракции (углеводороды определенного размера) и далее уже используют в синтезе необходимых мономеров. Мономеры используют для производства синтетических каучуков различными методами полимеризации.

Рис.2

3.1 Виды полимеризации

В зависимости от фазового состояния среды, в которой протекает реакция полимеризации, различают несколько видов процесса: жидкофазная, газофазная, эмульсионная и растворная полимеризация. Синтетические каучуки, полученные по разным способам полимеризации, отличаются структурой, следовательно, и свойствами.

Рис 3.

Газофазная и жидкофазная полимеризация

Полимеризация бутадиена под влиянием металлического натрия в жидкой среде мономера была первым промышленным методом синтеза каучука. Немного позже был разработан и внедрен в промышленность газофазный метод полимеризации бутадиена. Газофазная полимеризация имела ряд преимуществ по сравнению с полимеризацией в среде жидкого мономера (жидкофазная полимеризация): щелочной металл использовался в виде катализаторной пасты, что увеличивало его поверхность. Получаемый полимер получался более однородным по качеству, производство каучука упростилось и стало более безопасным, также появилась возможность частичной механизации.

В качестве основного компонента катализаторной пасты использовались щелочные металлы: натрий, калий и литий. Наибольшее распространение получил натриевый катализатор, но получаемый каучук характеризовался недостаточной морозостойкостью и эластичностью. В присутствии лития каучук получался с меньшим содержанием 1,2-звеньев в составе полибутадиена, каучук имел лучшую морозостойкость и эластичность. При полимеризации на щелочных металлах получались полимеры с высоким молекулярным весом. Из-за возможных неоднородностей катализатора и местных перегревов реакционной массы иногда наблюдалось образование «хрящей» - твердых трехмерных образований, резко ухудшающих качество каучука.

Газофазная полимеризация применялась в 30-е годы, но после введения эмульсионной полимеризации, ее популярность резко снизилась. Сегодня газофазная полимеризация сохранилась на единичных заводах, но объем производства каучука по данной технологии очень незначителен.

Общим недостатком жидкофазного и газофазного способа полимеризации считается периодичность и невысокое качество каучука по ряду технических показателей.

Эмульсионная полимеризация

Основными преимуществами полимеризации в эмульсии перед полимеризацией в массе мономера (жидкофазной полимеризацией) заключается в том, что процесс протекает с большей скоростью и его можно организовать по непрерывной схеме. Кроме этого процесс хорошо регулируется, так как тепло реакции отводится равномерно, и получаемый полимер имеет более высокий молекулярный вес, более однороден по структуре и качеству. В зависимости от температуры, при которой протекает реакция полимеризации в эмульсии, различают высокотемпературную и низкотемпературную эмульсионную полимеризацию. Низкотемпературные эластомеры обладают более высокими физико-механическими показателями по сравнению с высокотемпературными.

Растворная полимеризация

Полимеризация в растворе обеспечивает эффективный теплообмен в массе раствора, в котором протекает реакция. Поэтому полученный полимер более однороден и обладает лучшим комплексом свойств. Применение органических растворов позволяет использовать в процессе полимеризации различные эффективные каталитические системы, с помощью которых можно осуществлять направленный синтез эластомеров, создавать высокомолекулярные соединения с заданной структурой и свойствами. Технологическая трудность при проведении таких процессов заключается в необходимости работы с катализаторами, многие из которых являются высоко реакционными соединениями, которые изменяют свойства при хранении. Использование таких каталитических систем требует тщательной подготовки и очистки мономеров и растворителей, которые используются в синтезе.

4. Бутадиен-стирольные каучуки

Дивинил-стирольные каучуки, стирольные каучуки, БСК, СКС, СКМС, ДССК, америпол, интол, карифлекс, крилен, нипол, плайофлекс, SBR, синпол, солпрен, стереон, тьюфден, филпрен, юниден), сополимеры бутадиена со стиролом илиметилстиролом общей формулылы:

(R-H

или СН3).

Мономеры сополимеризуют в эмульсии или растворе.

Структура и свойства каучуков. Содержание стирольных (метилстирольных) звеньев в макромолекуле бутадиен-стирольных каучуков различных типов составляет 8-45%. В макромолекулах наиб. распространенных эмульсионных сополимеров, содержащих 23-25% стирольных звеньев, 60-70% звеньев бутадиена присоединены в положениях 1,4-транс, 12-20% - в положениях 1,4-цис и 15-18% - в положениях 1,2. В макромолекулах таких же каучуков, синтезированных в р-ре, содержание бутадиеновых звеньев 1,4-транс, 1,4-цис и 1,2 составляет соотв. > 40, 35-40 и ок. 25%. Вследствие нерегулярности строения бутадиен-стирольные каучуки не кристаллизуются.

Среднечисловая мол. Масса  эмульсионных каучуков составляет ~ 105, полученных в р-ре - 1,5*105, индекс полидисперсности  -соотв. 4-7 и 1,5-2,0 ( среднемассовая мол. масса). Макромолекулы бутадиен-стирольных каучуков имеют разветвленное строение. Каучуки содержат значит. кол-no микрогеля. Их ненасыщенность составляет, как правило, до 90% от теоретической. Бутадиен-стирольные каучуки растворяются в ароматич., алициклич. и алифатич. углеводородах. Многие физ. св-ва каучуков зависят от содержания в них стирольных звеньев (см. табл. 1).

4.1 Физические характеристики эмульсионных бутадиен-стирольных каучуков с различным содержанием стирольных звеньев

Таблица 2


Под действием BF3 или Н2 [SnCl6] при 160-180 °С бутадиен-стирольные каучуки изомеризуются. При обработке в растворе серной кислотой (180°С) они циклизуются. Гидрохлорирование каучуков при 70-100°С и повышенном давлении сопровождается их деструкцией. При действии л-толуолсульфонилгидразида на раствор бутадиен-стирольного каучука в диметиловом эфире диэтиленгликоля (диглиме) происходит исчерпывающее гидрирование двойных связей.

Окисление бутадиен-стирольных каучуков приводит к глубоким структурным изменениям, сопровождающимся ухудшением их свойств. Для стабилизации каучуков в условиях хранения и переработки применяют обычные антиоксиданты, напр. N-фенил-2-нафтиламин, его смесь с N,N'-дифенил-1,4-фенилендиамином, три(n-ионилфенил)фосфит (обычно не более 2 мас. ч. на 100 мас. ч. каучука).

Получение каучуков, их модификации. Бутадиен-стирольные каучуки синтезируют по непрерывной схеме в батарее последовательно соединенных реакторов (мономеры и др. компоненты реакционной смеси подают в первый реактор). Эмульсионные каучуки получают радикальной сополимеризацией при 5 или 50°С (соотв. низкотемпературные, или "холодные", и высокотемпературные, или "горячие", каучуки). При синтезе "горячих" каучуков инициатором служит K2S2O8, при синтезе "холодных" - окислительно-восстановительная система, например - содержащая гидропероксид циклогексилизопропилбензола, соль Fe2+, этилендиаминтетраацетат Na (трилон Б), Na-соль формальдегидсульфокислоты (ронгалит). В кач-ве эмульгатора применяют мыла высших жирных кислот или кислот канифоли. Молярную  массу сополимеров регулируют при помощи меркаптанов, например - трет-додецилмеркаптана. Степень превращения мономеров обычно 60-70%, продолжительность процесса 10-12 ч. После обрыва полимеризации (для этого используют диметилдитиокарбамат Na), отгонки непрореагировавших мономеров и введения в латекс водной дисперсии стабилизатора каучук коагулируют, промывают водой и сушат. Товарные формы бутадиен-стирольных каучуков - брикеты и смотанная в рулоны лента.

При синтезе бутадиен-стирольных каучуков в растворе в реактор подают смесь мономеров, углеводородного растворителя (тщательно очищенных от следов влаги и кислорода) и катализатора - обычно комплекса LiAlk с электронодонорным соединением. После окончания полимеризации, дезактивации катализатора, введения раствора стабилизатора и отгонки растворителя с водяным паром полученную крошку каучука сушат и прессуют.

Эмульсионные бутадиен-стирольные каучуки содержат до 8-9% некаучуковых веществ, главным образом органических кислот. Количество примесей в каучуках, синтезированных в растворе, намного меньше. На основе низкотемпературных сополимеров получают масло-, саже- и сажемаслонаполненные каучуки. Наполнители вводят в латекс (после обрыва полимеризации и отгонки непрореагировавших мономеров) с целью облегчения последовательной переработки каучука и улучшения технологических характеристик резиновых смесей (см. также Наполненные каучуки).

Технологические характеристики каучуков. Резиновые смеси. Вязкость по Муни (100 °С) большинства типов бутадиен-стирольных каучуков составляет 40-60; за рубежом вырабатывают спец. эмульсионные каучуки С вязкостью по Муни 25-35 и 100-130 (соотв. "мягкие" и "жесткие"). Перерабатывают бутадиен-стирольные каучуки на обычном оборудовании резиновых заводов (вальцах, смесителях, каландрах, экструдерах). Изделия вулканизуют при 140-180°С в прессах, котлах, спец. агрегатах. Технологические свойства каучуков улучшаются с повышением содержания в них стирольных звеньев. Наиболее легко перерабатываются низкотемпературные эмульсионные каучуки, наиболее трудно - синтезируемые в растворе. "Жесткие" каучуки в случае необходимости подвергают термоокислительной пластикации при 130-140 °С.

Бутадиен-стирольные каучуки технологически совместимы с др. каучуками - натуральным, синтетическим изопреновым, бутадиеновым, бутилкаучуком и др. Для улучшения клейкости резиновых смесей бутадиен-стирольные каучуки совмещают, напр., с феноло-формальд. или инден-кумароновыми смолами, для повышения стойкости вулканизатов к действию растворителей - с бутадиен-нитрильными, хлоропреновыми или полисульфидными каучуками.

Основной вулканизующий агент для бутадиен-стирольных каучуков - сера; при получении резин с улучшенной теплостойкостью применяют тетраметилтиурамдисульфид или органические пероксиды. Ускорителями серной вулканизации служат ди (2-бензотиазолил) ди-сульфид, N-циклогексилбензотиазол-2-сульфенамид (сульфенамид Ц) и др. В качестве наполнителей резиновых смесей используют техн. углерод (чаще активный), а также мел, каолин и др.; количество этих ингредиентов может достигать 100-150 массовых частей на 100 массовых частей каучука.

Свойства вулканизатов. Резины на основе бутадиен-стирольных каучуков, содержащие активные наполнители, характеризуются достаточно высокими прочностными свойствами, износостойкостью и эластичностью (см. табл. 2). Вулканизаты низкотемпературных эмульсионных каучуков превосходят по прочностным свойствам вулканизаты высокотемпературных. Резины из бутадиен-стирольного каучука, синтезированного в растворе, обладают несколько лучшей морозостойкостью, эластичностью и износостойкостью и меньшим теплообразованием, чем резины из эмульсионных каучуков. С увеличением содержания в макромолекуле каучука стирольных звеньев возрастают прочность при растяжении и сопротивление раздиру, но ухудшаются эластичность и морозостойкость резин.

В настоящее время основное количество бутадиен-стирольного каучука выпускается при температуре полимеризации 50С («холодные каучуки»), меньше при температуре полимеризации 500С («горячие каучуки»).

Каучуки низкой температурной полимеризации характеризуются более высокой молекулярной массой, меньшим содержанием низкомолекулярных фракций, лучшими технологическими свойствами, хорошей совместимостью с другими каучуками.

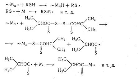
С целью регулирования молекулярной массы каучука и улучшения технологических свойств в полимеризационную систему вводят специальные вещества – регуляторы, являющиеся агентами передачи цепи. При этом регулятор не должен замедлять полимеризацию и ухудшать качество каучука. Этим требованиям в определённой степени отвечает широко применяемая на практике смесь трет-алкилмеркаптанов с числом углеродных атомов 12-16 и диизопропилксантоггендисульфид (дипроксид). Схемы передачи цепи этими веществами будут следующими:


4.2. Свойства вулканизаторов низкотемпературных эмульсионных бутадиен-метилстирольных каучуков, содержащих около 23% стирольных звеньев*

Таблица 3


* Наполнитель - активный технический углерод (40-50 мас. ч.). Вулканизация 80 мин при 143°С

Резины из бутадиен-стирольных каучуков достаточно стойки к действию концентрированных растворов щелочей и кислот, а также спиртов, кетонов и эфиров. По устойчивости в ароматичных и алифатичных углеводородах, минеральных маслах, раститительных и животных жирах они превосходят резины из НК, а по газопроницаемости практически равноценны им. По теплофизическим свойствам вулканизаты бутадиен-стирольных каучуков мало отличаются от вулканизатов др. каучуков: их коэффициент объемного расширения (5,3-6,6)*10-4 К-1, коэффициент теплопроводности 0,22-0,30 Вт/(м*К), удельная теплоемкость 1,5-1,9 кДж/(кг*К). Электрическая характеристика резин:~7 ТОм*м; 2,4-2,6 (1,5-20 МГц); tg 0,006.

Применение каучуков. Бутадиен-стирольные каучуки - типичные каучуки общего назначения, используемые главным образом в производстве шин (обычно в комбинации с НК, синтетическим изопреновым или стереорегулярным бутадиеновым каучуком). На основе бутадиен-стирольных каучуков изготовляют также многочисленные РТИ (конвейерные ленты, рукава, профили, формовые детали), а также изоляцию кабелей, обувь, спортивные изделия и др.

Мировое производство бутадиен-стирольных каучуков превышает 4 млн. т/год (1982); по объему выпуска они занимают первое место среди всех СК.

5. Реактор-полимеризатор

Реактор включает сборный корпус 1, состоящий из отдельных секций с определенным соотношением диаметра перетока к диаметру секции d/d, имеющих термостатирующие рубашки. В верхней части корпуса 1 установлен расширитель 2, снабженный термостатирующей рубашкой, штуцером 3 для подачи реакционной смеси, воздушником 4 для соединения с атмосферой и другими технологическими штуцерами. На выходе из секционированного аппарата реакционная смесь поступает в сборник 5, также имеющий термостатирующую рубашку. Сборник устроен таким образом, чтобы гранулы ДФ не попадали в подключенный к нему пульсатор.         

Реактор - полимеризатор работает следующим образом. Частицы ДФ со степенью конверсии 35% через штуцер 3 вследствие разности плотностей СФ и ДФ поступают в реактор по наклонной трубе. Пульсатор обеспечивает возвратно-поступательное, движение СФ в секциях реактора, в результате чего в каждой секции происходит устойчивое вихреобразование и, как следствие, интенсивное перемешивание реакционной массы, что повышает в 3-4 раза удерживающую способность аппарата по сравнению с цилиндрическим и обеспечивает заданное время пребывания частиц ДФ в реакционной зоне аппарата. По мере увеличения плотности частиц они осаждаются в нижнюю часть аппарата, сборник и далее поступают в аппаратуру для окончательного дозревания. При этом наличие расширителя, сечение которого превышает в 4-6 раз сечение наклонного подающего патрубка, исключает пульсации СФ в предыдущих аппаратах технологической схемы. Применение пульсационного воздействия на реакционную систему в таком реакторе позволяет осуществить перемешивание ДФ без значительной деформации и дробления частиц, а также исключить слипание частиц и, следовательно, образование агломератов. Частота пульсаций находится в интервале 1-1,5 Гц. Соотношение объема жидкости, выталкиваемой пульсатором за половину периода пульсаций, и объема секции находится в пределах 0,3-0,5. Угол раствора диффузорной части секции составляет 90-100°.

Технологическая схема процесса получения бутадиен-стирольных и бутадиен-α-метилстирольных каучуков

Описание технологической схемы процесса сополимеризации бутадиена со стиролом.

Смесь бутадиена ёмк.1 со стиролом ёмк.2 или α-метилстиролом предварительно эмульгируют в водной фазе в смесителе 3 или трубопроводе и охлаждают. Соотношение углеводородной и водной фаз из ёмк.4 регулируется автоматически в ёмк.5. В поток эмульсии мономеров из ёмк.5 попадают компоненты инициирующей системы и регулятор, после чего она поступает в первый аппарат батареи полимеризаторов (6-I – 6-XII) и далее в последующие аппараты. Температура полимеризации поддерживается автоматически. Конверсия мономеров контролируется непрерывно с помощью специальных приборов или периодически путём определения сухого остатка латекса. По окончании процесса на выходе из батареи в латекс подаётся раствор стоппера. Для хорошей воспроизводимости и стабильности процесса важно, чтобы все исходные вещества, и прежде всего мономеры и эмульгаторы, были высокого и постоянного качества. Незаполимеризовавшиеся мономеры отгоняют острым паром в две ступени на прямо- или противоточных колоннах 7-8 под вакуумом. Предварительно проводится дегазация латекса в ёмк.7, при которой испаряется бутадиен. После отгонных колонн 7-8 латекс поступает в ёмкость 9 и уже оттуда в цех выделения каучука.

Технологическое оформление процесса выделения каучука из латекса как в виде ленты, так и в виде крошки

В случае получения каучука, не содержащего масла, латекс с температурой 45-500С предварительно подщелачивается раствором щёлочи до рН 10,4-10,6, смешивается с омыленным раствором костного клея и поступает на коагуляцию. Подщелачивание латекса не производится при получении маслонаполненных каучуков типа 1712,СКС(МС)-30АРКМ. Большинство действующих схем предусматривает введение масла на стадии флокуляции латекса. В некоторых схемах масло (чаще всего высокоароматизированное) вводится в латекс в виде эмульсии непосредственно перед коагуляцией. При получении каучуков не содержащих масла, антиоксидант вводится в виде дисперсии или эмульсии в латекс. В случае маслонаполненных каучуков антиоксидант может быть растворён в масле и таким образом введён в каучук.

Во всех схемах флокулят из первого аппарата (или смесителя) поступает во второй, в который подаётся серум, подкисленный серной кислотой.

При выделении каучука в виде ленты рН во втором аппарате 7,8-8,2, в третьем 6,5-7,2, температура 45-500С. В этом случае для получения для получения прочной пористой ленты и полноты перевода эмульгаторов в свободные карбоновые кислоты на первой части лентоотливочной машины проводится промывка каучука водой, подкислённой серной кислотой, её избыток удаляется при дальнейшей отмывке.

При выделении каучука в виде крошки рН во втором аппарате 6,5-7,2, в третьем 2,5-3,5, температура 500С.

 Промывка крошки каучука проводится на лентоотливочной машине или в емкостях водой при температуре 45-600С. Перед сушкой крошку каучука обезвоживают в червячных машинах, где влажность крошки, поступающей на сушку, уменьшается до 10-15%. Сушка каучуков  осуществляется в воздушных многоходовых ленточных сушилках; при выпуске других типов каучуков кошку сушат в воздушных многоходовых конвейерных сушилках или в червячных сушильных агрегатах. В настоящее время разработаны и начинают внедрять способы бессолевой коагуляции.

Смесь бутадиена со стиролом или α-метилстиролом предварительно эмульгируют в водной фазе в смесителе или трубопроводе и охлаждают. Соотношение углеводородной и водной фаз регулируется автоматически. В поток эмульсии мономеров попадают компоненты инициирующей системы и регулятор, после чего она поступает в первый аппарат батареи и далее в последующие аппараты. Температура полимеризации поддерживается автоматически. Конверсия мономеров контролируется непрерывно с помощью специальных приборов или периодически путём определения сухого остатка латекса. По окончании процесса на выходе из батареи в латекс подаётся раствор стоппера. Для хорошей воспроизводимости и стабильности процесса важно, чтобы все исходные вещества, и прежде всего мономеры и эмульгаторы, были высокого и постоянного качества. Незаполимеризовавшиеся мономеры отгоняют острым паром в две ступени на прямо- или противоточных колоннах под вакуумом. Предварительно проводится дегазация латекса, при которой испаряется бутадиен.

Заключение

Промышленное применение

Наиболее массовое применение каучуков — это производство резин для автомобильных, авиационных и велосипедных шин.

Из каучуков изготавливаются специальные резины огромного разнообразия уплотнений для целей тепло- звуко- воздухо- гидроизоляции разъёмных элементов зданий, в санитарной и вентиляционной технике, в гидравлической, пневматической и вакуумной технике.

В ракетной технике синтетические каучуки используются в качестве полимерной основы при изготовлении твердого ракетного топлива, в котором они играют роль горючего, а в качестве наполнителя используется порошок селитры (калийной или аммиачной) или перхлората аммония, который в топливе играет роль окислителя.

Технологическое оформление процесса выделения каучука из латекса как в виде ленты, так и в виде крошки.

Латекс после отгонки поступает в емкость 1. В случае получения каучука, не содержащего масла, латекс с температурой 45-500С предварительно подщелачивается в ёмкости 3 раствором щёлочи из ёмкости до рН 10,4-10,6, смешивается с омыленным раствором костного клея в емкости 4 и поступает на коагуляцию.

 Большинство действующих схем предусматривает введение масла из ёмкость 2 на стадии флокуляции латекса. В некоторых схемах масло (чаще всего высокоароматизированное) вводится в латекс в виде эмульсии непосредственно перед (ёмкость 3) коагуляцией. При получении каучуков не содержащих масла, антиоксидант вводится в виде дисперсии или эмульсии в латекс. В случае маслонаполненных каучуков антиоксидант может быть растворён в масле и таким образом введён в каучук.

Во всех схемах флокулят из первого аппарата (или смесителя)3 поступает во второй 4-5, в который подаётся серум из ёмкости 17, подкисленный серной кислотой.

При выделении каучука в виде ленты - в этом случае для получения для получения прочной пористой ленты и полноты перевода эмульгаторов в свободные карбоновые кислоты на первой части лентоотливочной машины 7 проводится промывка каучука водой, подкислённой серной кислотой, её избыток удаляется при дальнейшей отмывке Н2О. затем каучук поступает на многоярусную сушильную машину 8 и через дробильную машину 9, и магнитодетектор идёт на упаковку.

При выделении каучука в виде крошки – промывка каучука производится на ленточноотливочной машине или в ёмкостях с водой 13-14 при температуре 45-60оС. Перед сушкой крошку каучука обезвоживают в червячных машинах 15, где влажность крошки поступающей на сушку уменьшается до 10-15%. Сушка каучука в воздушных многоходовых ленточных машинах 16, затем он поступает на брикетировочную машинку и магнитодетектор идёт на упаковку.

Список литературы

1. Говорова О. А. Свойства резин на основе этилен пропиленовых каучуков. - М.: Высшая школа,1986.

2. Кузнецов Д.А. Общая химическая технология. - М.: Высшая школа,1970.

3. Кузнецов С.В. Процесс производства Этилен-пропиленовых каучуков. – М.: Энциклопедия полимеров, т. 3, 1977.

4. Попов И.С. процесс производства термоморозомаслобензостойких фторсилоктановых каучуков широкого назначения и материалов на их основе. – М.: Высшая школа, 1979.

Похожие работы на - Производство синтетического каучука

 

Не нашли материал для своей работы?
Поможем написать уникальную работу
Без плагиата!
Без нейросетей!