Дослідження властивостей технологічного агрегата як многомірної системи
Розрахунково-пояснювальна записка
До курсової роботи з основ теорії систем та системного
аналізу:
Дослідження властивостей технологічного
агрегата як многомірної системи
Одеса - 2010
1. Еквівалентні та апроксимаційні перетворення моделі
1.1 Нелінійна модель агрегату
На прикладі розглянемо конкретну технічну
систему - змішувальний бак:
Рисунок 1. Модель бака.
F1,F2,F - витрати рідини
на притоці і витоці системи, м3/с;
C1,C2,C - концентрація
на витоці і притоці системи, кмоль/м3;
h - рівень рідини в бакові, м; S - площа бака,
м2;
V - об'єм рідини в бакові, м3;
Запишемо рівняння системи в стаціонарному (встановленому)
стані, коли притік дорівнює витоку (рівняння матеріального балансу):
F10+F20-F0=0;
C1
,
де індекс 0 означає встановлений стан.
Записавши умови балансу кінетичної і
потенціальної енергії на виході із бака
,
де
p - густина рідини, кг/м3;
w - швидкість витоку, м/с;
q - прискорення вільного падіння,q=9.81 м/с2;
і припускаючи, що
d - діаметр вихідного трубопроводу, м.
Одержимо:
чи, відповідно,
, де
k - коефіцієнт.
При зміні витрат у системі відбувається
накопичення речовини і перехід до нового встановленого стану. Цей перехідний
процес описується диференціальними рівняннями
де dv/dt - приріст об'єму рідини,
- приріст маси рідини.
Наведемо цю систему у стандартному вигляді:
Позначимо:
− зміна у часі
відхилення витрати від номінального щодо першого каналу
− теж щодо
другого каналу
− зміна у
часі відхилення об'єму від номінального у бакові;
− відхилення
концентрації від номінальної;
- зміна втрати на
виході;
- зміна
концентрації на виході.
1.2 Нелінійна модель в стандартній формі
Розглянемо поповнення бака від 0 до
номінального значення витрати з урахуванням приросту поданого лінеаризованій
моделі. Таким чином, розглянемо стрибок u1=0,03; u2=0.
Позначивши
, рівняння
бака запишемо у вигляді системи:
Перше рівняння є нелінійним зі змінними що
розділяються
З урахуванням того, що
запишемо:
,
чи підставляючи
Виразимо
Підставляємо
та
Таблиця 1.
|
y1
|
0.141
|
0.142
|
0.143
|
0.144
|
0.145
|
0.146
|
0.147
|
0.148
|
0.149
|
0.150
|
0.151
|
|
t, с
|
0
|
1.5
|
3.188
|
5.116
|
7.357
|
10.026
|
13.315
|
17.585
|
23.643
|
34.072
|
68.958
|
1.3 Отримання квадратичної моделі
Рівняння квадратичної моделі має вигляд:
Матриці з підстановкою номінального режиму:
1.4 Запис білінійної моделі
1.5 Лінеаризована модель
Лінеаризуємо залежність
, розклавши її на ряд Тейлора.
З урахуванням раніше викладеного запишемо:
; (т.к
), где
;
Припустивши у випадку остатку
. Тоді підставивши похідну
, отримаємо
;
В результаті маємо
Представивши цю систему в матричній формі:
Тоді матриці А і В запишуться в вигляді
,
Для визначення матриці С необхідно встановити
зв'язок між векторами x и y. Оскільки
,
, то
;
, то
Тоді
Система буде мати вигляд
Коефіцієнти моделі системи:
1.6 Модель в дискретному часі
система в дискретному часі має вид:
dt=14,89 c.
Таким чином
Задавшись
,
, тоді
Результати подальших ітерацій представлено в
таблиці:
Таблиця 3.
|
Збурення
|
Реакція виходу системи y (t)
|
|
|
u1=0
u2=0,01
|
y1
y2
|
0
0
|
0,003298
0,00452
|
0,005299
0,00469
|
0,00773
0,006183
|
0,006512
0,006795
|
0,00725
0,00702
|
0,00769
0,00713
|
|
час t, с
|
0
|
14,894
|
29,787
|
44,681
|
59,574
|
74,468
|
89,362
|
|
|
|
|
|
|
|
|
|
|
1.7 Перетворення моделі у форму Ассео
1.8 Обчислення МПФ системи
;
;
; n=2;
i=1;
Таким чином
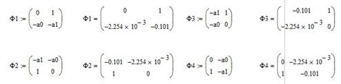
1.9 Структурні схеми системи в початковій формі, формі Ассео,
ЗЗП

Рисунок 2. Структурна схема системи в
початковій формі.
Рисунок 3. Структурна схема системи в формі
Ассео.
Рисунок 4. Структурна схема системи у
зовнішньозв'язанному поданні.
1.10 Лінеаризована модель в непереривному і дискретному часі
з датчиками і ВМ
a) в непереривному часі
Рисунок 5. Структурна схема системи в
неперервному часі з датчиками і ВМ.
б) в дискретному часі
Рисунок 6. Структурна схема системи в
дискретному часі з датчиками і ВМ.

1.11 Умова правомірності децентралізації
Система в формі Ассео:
,
,
,
Спектральна норма матриці
, тобто максимальне сингулярне число
матриці:
,
.
Спектральна норма матриці F:
Тоді:
Похибка складає:
Можна допустити, що децентралізація є
допустимою.
2. Аналіз якісних властивостей системи
А)
Матриця являється гурвіцевою.
Б) 
max s1 (A) =||A||2=0.067<1
Відповідно, матриця А є нільпотентною.
Перевірити, чи є система (А, В, С) сталою,
керованою, спостережною, ідентифікованою з вектором-стовпцем х = (1; 1.25),
параметрично інваріантною, мінімально фазовою, розчеплюваною, мінімально.
А) сталість:
Відповідно система являється сталою.
Відповідно система являється сталою.
Б) керованість:
;
По першому входу:
Система керована по першому входу.
По другому входу:
Система керована по другому входу.
В) спостережність:
Система спостережна.
Г) ідентифікованість:
Система є ідентифікована.
Д) параметрична інваріантність:
Система не інваріантна відносно відхилення dA.
Система не інваріантна відносно відхилення dB.
Система не інваріантна відносно відхилення dС.
Е) мінімальнофазовість і астатичність:
система являється мінімально
фазовою і статичною.
Ж) розчеплюваність:
det=0.016
Система є розчеплюваною.
3. Дослідження процесів в системі і аналіз кількісних
властивостей системи
3.1 Побудова графіків розгінних кривих непереривної системи
Побудова графіку розв'язання у (t) для системыи
{А, В, С}, якщо
и

Таблиця 4.
|
Збурення
|
Реакція виходу системи y (t)
|
|
u1=0,01
u2=0
|
y1
y2
|
0
0
|
0,00435
0,00445
|
0,00681
0,00609
|
0,00820
0,0067
|
0,00898
0,00692
|
0,00942
0,00700
|
0,00967
0,00703
|
|
u1=0
u2=0,01
|
y1
y2
|
0
0
|
0,00435
0,037
|
0,00681
0,051
|
0,00820
0,056
|
0,00898
0,058
|
0,00942
0,059
|
0,00967
0,059
|
|
час t, с
|
0
|
14,3
|
28,6
|
42,9
|
57,2
|
71,5
|
85,8
|
Рисунок 7. Розгінна крива витрати рідини для
неперервної системи при збуренні 0 і 0,01.
Рисунок 8. Розгінна крива концентрації для
неперервної системи при збуренні 0.
Рисунок 9. Розгінна крива концентрації для
неперервної системи при збуренні 0,01.
3.2 Побудова графіків кривих разгону дискретної системи
Система в дискретному часі має вид:
dt=14,89 c.
Таким чином
Задавшись
,
, тоді
Результати подальших ітерацій представлено в
таблиці:
Таблиця 5.
|
Збурення
|
Реакція виходу системи y (t)
|
|
|
u1=0
u2=0,01
|
y1
y2
|
0
0
|
0,003298
0,00452
|
0,005299
0,00469
|
0,00773
0,006183
|
0,006512
0,006795
|
0,00725
0,00702
|
0,00769
0,00713
|
|
час t, с
|
0
|
14,894
|
29,787
|
59,574
|
74,468
|
89,362
|
|
|
|
|
|
|
|
|
|
|
Рисунок 10. Характеристика витрати рідини в
дискретному часі.
Рисунок 11. Характеристика концентрації в
дискретному часі.
3.3 Побудова графіків кривих разгону нелінійної системи
Розглянемо поповнення бака від 0 до
номінального значення витрати з урахуванням приросту поданого лінеаризованій
моделі. Таким чином, розглянемо стрибок u1=0,03; u2=0.
Позначивши
,рівняння
бака запишемо у вигляді системи:
Перше рівняння є нелінійним зі змінними що
розділяються
З урахуванням того, що
запишемо:
, чи підставляючи
Виразимо
Підставляємо
та
Таблиця 6.
|
y1
|
0.141
|
0.142
|
0.143
|
0.144
|
0.145
|
0.146
|
0.147
|
0.148
|
0.149
|
0.150
|
0.151
|
|
t, с
|
0
|
1.5
|
3.188
|
5.116
|
7.357
|
10.026
|
13.315
|
17.585
|
23.643
|
34.072
|
68.958
|
По отриманим даним побудуємо графік:
Рисунок 12. Лінійна та нелінійна
характеристика витрати води.
Так як немає аналітичної залежності
, використаємо її кус очно-лінійну
апроксимацію, представляючи на проміжкові від
до
функцію
как
. Тоді,
;
Отримані дані занесемо в таблицю:
Рисунок 13. Лінійна та нелінійна
характеристика концентрації.
3.4 Сталий стан системи
Вичислимо постійне значення системи при умовах
І порівняємо його з результатом розрахунку.
4. Ідентифікація багатомірної математичної моделі по даним
експеремента
4.1 Активна ідентифікація
Для дискретної форми системи (F, G, C) провести
реалізацію системи.
Запишемо систему у вигляді:
Подавши імпульс по першому входу, розрахуємо:
Із власних векторів від (
) і (
) побудуємо:
При
Знайдемо передаточну функцію системи:
.
4.2 Пасивна ідентифікація
Для дискретної форми системи (F, G, C) провести
пасивну ідентифікацію системи:
Таблиця 7.
|
Такт, n
|
0
|
1
|
2
|
3
|
4
|
5
|
|
U (n)
|
0.01
|
0
|
0
|
0.04
|
0
|
0
|
|
0
|
0.01
|
0.02
|
0
|
0.03
|
0
|


Використовуючи матриці системи в дискретній
формі для заданих значень вектора входу, розрахуємо значення вектора виходу
Результати розрахунку занесемо до таблиці:
Таблиця 8.
|
Такт, n
|
1
|
2
|
3
|
4
|
5
|
6
|
|
y (n)
|
0.117
|
0.188
|
0,349
|
0.68
|
0.765
|
0.464
|
|
-0.00509
|
0.03787
|
0.09342
|
0.01402
|
0.12438
|
0.04577
|
Тогда

Следовательно,
5. Конструювання багатомірних регуляторів, оптимізуючи
динамічні властивості агрегату
5.1 Конструювання П-регулятора, оптимізую чого систему по
інтегральному квадратичному критерію
Регулятор стану який оптимізує систему по
критерію:

Визначається по співвідношенню: P=LR1 (A,B,Q,R);

Притом Q=R=I
Так як матриця С є інвертованою, для створення
регулятора виходу немає
Необхідно конструювати спостерігач стану -недосяжний
стан вичислюється по формулі
. Відповідно
регулятор виходу має вид
Позначивши через z задане значення виходу у і
припускаючи, що
, отримаємо
5.2 Конструювання компенсаторів завдань і вимірюваних збурень
Прийнявши до уваги, що А=В
Якщо при компенсації збурень і завдань
зчитувати "вартість" управління, записавши критерій в виді
,
то компенсатори визначаються залежностями
Значення виходу при дії збурення f в системі
без компенсаторів при z=0
З оптимальною компенсацією
f
5.3 Конструювання регулятора з компенсатором взаємозв'язків
Следовательно,
Перевіримо чи регулятор дійсно розчіплює
систему, тобто матриця передаточних функцій являється діагональною
,
, де
,
.
Знайдемо
1. 
2. 
.
5.4 Конструювання аперіодичного
Аперіодичний регулятор для дискретної системи
може бути отриманий із умови
. Запишем
5.5 Конструювання децентралізованого регулятора
Використовуючи форму Ассео, запишем:
Відповідно, отримаємо
,
Розв'яжим рівняння Ляпунова.
T=B
5.6 Конструювання надійного регулятора
Якщо матриця G моделяє відмови каналів
вимірювання, то регулятор знаходиться в виді
нехай s=0.041
Відповідно, система являеться постійною при
любих відхиленнях.
5.7 Конструювання блочно-ієрархічного регулятора
Використаємо регулятор стану і перевіримо чи
можна створити послідовність регуляторів стану.
;
;
;
;
Рисунок 14. Схема блочно-ієрархічного
регулятора.
5.8 Конструювання регулятора для білінійної моделі
5.9 Конструювання регулятора для нелінійної системи
Сконструювати нелінійний регулятор,
використовуючи початкову не спрощену модель бака.
,
Розрахункове співвідношення для регулятора -
, де
При s=4, W=1 запишемо
Підставивши
запишемо
5.10 Конструювання програмного регулятора
Використовуючи лінеаризовану модель в
дискретному часі, запишемо програму переходу системи із стану
в стан
.
При
;
Отримаємо
6. Аналіз властивостей зконструйованої системи з оптимальним
П-регулятором
6.1 Побудова процесу в системі з П-регулятором
Стале значення виходу при дії збурення f у
системі без компенсаторів при z=0
З оптимальною компенсацією
f
Рисунок 15. Графіки перехідних процесів та
кривих розгону по першому та другому виходах з оптимальним П-регулятором з
компенсатором і без.
6.2 Обчислення критерію оптимальності в системі
Величина критерію оптимальності обчислюється
за залежністю
. Для обчислення величини критерію з
довільним регулятором слід використовувати формулу
, де
.
розв'язавши рівняння Ляпунова отримаємо
розв'язавши рівняння Ляпунова отримаємо
При 10% та 5%
,
,
,
Розв'яжемо
для
всіх матриць при нових значеннях
,
,
,
,
При 10% та 5%
,
,
,
.
6.3 Обчислити чуйність системи
6.4 Проаналізувати робастність системи
6.5 Розв'язати зворотну задачу конструювання
Знайти за яким критерієм є оптимальний
регулятор з компенсаторів взаємозв'язків.
де W - довільна матриця яка задовольняє умові
S>0
розв'язавши отримаємо
Висновок
Таким чином, в ході виконання курсової роботи
на прикладі моделі змішувального бака була розгляне на технологічна
послідовність конструювання систем: побудова та перетворення моделей системи,
аналіз властивостей початкової системи, конструювання регуляторів, аналіз
властивостей і порівняння сконструйованих систем. Також при виконанні були
отримані ряд кривих розгону та перехідних процесів для моделі бака, були
побудовані структурні схеми моделі в початковій формі, Ассео, зовнішньо
зв’язаній формі. Отримали навики конструювання систем з використанням
регулятора з компенсатором взаємозв”язків, аперіодичного, децентралізованого,
надійного, блочно-ієерархічного регуляторів, програмного регулятора, регулятора
для нелінійної моделі, регулятора для білінійної моделі.
Література
1. Методические указания к практическим занятиям по курсу "Основы
системного анализа и теория систем", А.А. Стопакевич
2. "Сложные системы: анализ, синтез, управление", А.А.
Стопакевич
Додаток
Розв'язання рівняння Рікарті
Розв'язання рівняння Рікарті
визначення матриці Р.
Сформуємо матрицю
Для обчислення власних значень розкриємо
визначник


.
Розв'язання рівняння Ляпунова

.
Обчислення матричної експоненти
,

.
Фробеніусові матриці
Вандермордова матриця