Исследование косого изгиба балки

  • Вид работы:
    Практическое задание
  • Предмет:
    Технология машиностроения
  • Язык:
    Русский
    ,
    Формат файла:
    MS Word
    175,55 kb
  • Опубликовано:
    2010-10-03
Вы можете узнать стоимость помощи в написании студенческой работы.
Помощь в написании работы, которую точно примут!

Исследование косого изгиба балки

Федеральное Агентство Образования Российской Федерации

Государственное Образовательное Учреждение Высшего Профессионального Образования

Ижевский Государственный Технический Университет

кафедра «Сопротивление материалов»




Лабораторная работа №1

Исследование косого изгиба балки




Выполнил: студент группы 4-56-2, М-ф

Морозов А.С.

Проверил: Урбанович В.С.






Ижевск 2009г.

Цель работы: экспериментальное определение максимальных прогибов и напряжений при косом изгибе балки и их сравнение с аналогичными расчетными значениями.

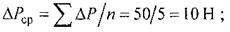
Постановка работы. В ряде случаев для экспериментальной оценки прочности и жесткости элементов конструкций может применяться метод, основанный на использовании механических приборов для измерения линейных и угловых перемещений (индикаторов часового типа (ИЧТ), проги-бомеров, сдвигомеров). Использование указанного метода рассмотрим на примере элемента конструкции в виде стальной (Е =2*105 МПа) балки (L = 0,5 м) прямоугольного (b=7 мм; h = 32 мм) сечения, нагруженной силой Р на расстоянии l=0,4 м под углом α=30° (рис. 1) и работающей в условиях косого изгиба. С этой целью для измерения вертикальной δи горизонтальной δ составляющих максимального прогиба fэ направленного под углом βэ, установлены два ИЧТ И1 и И2. Цена деления ИЧТ равна 0,01 мм. На установке проведено нагружение балки с регистрацией ступеней нагрузки Р и показаний δ и δ ИЧТ (табл. 1).

Требуется: определить и сравнить расчетные и экспериментальные значения максимальных перемещений и напряжений.

Рис. 1. Схема экспериментальной установки для исследования косого изгиба балки

Таблица 1. Результаты испытаний балки при косом изгибе

№ Ступени нагружения n

P,

H

ΔP,

H

δ

дел.

Δδ

дел.

δ2э

дел.

Δδ2э

дел.

0

0

-

0

-

0

-

1

10

10

65

65

53

53

2

20

10

140

75

112

59

3

30

10

214

74

171

59

4

40

10

288

74

230

59


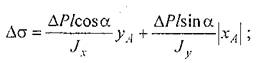
1. Расчетное приращение напряжений в опасной точке А на ступень нагружения ΔP=10 H:




Δσ=МПа

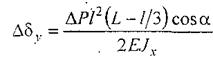
2. Расчетные приращения составляющих максимального прогиба по главным центральным осям инерции:


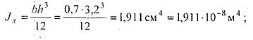
Δδx=10*0,42*(0,5-0,4/3)*0,5/(2*2*105*106*9,147*10-10)=0,802 мм


Δδy=10*0,42*(0,5-0,4/3)*0,866/(2*2*105*106*1,911*10-8)=0,0665 мм

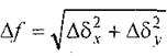
3.       Расчетное приращение результирующего прогиба


Δf= мм

и его направление


β=arctg(1,911*10-8*0,577/9,147*10-10)-300=55,260

4.       Проводим обработку экспериментальных данных табл. 1:


δcр= мм

δcр= мм

5.       Экспериментальное приращение результирующего прогиба


Δfэ= мм

и его направление

βэ=arctg(Δδcp/Δδcp)=arctg(0,575/0,72)=38,60

6.       Экспериментальное приращение напряжений в опасной точке А


Δσэ=19,3 МПа

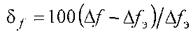
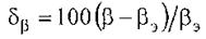
7.       Отклонения расчетных от экспериментальных величин:


δf=100(0,805-0,92)/0,92=-12,5%


δβ=100(55,260-38,60)/38,60=43,2%


δσ=100(10,5-19,3)/19,3=-45,6%

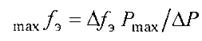
8.       Для оценки прочности и жесткости балки сравниваются наибольшие напряжения и перемещения при максимальной нагрузке с допускаемыми напряжениями [σ] и перемещениями [f]:


maxσэ=19,3*40/10=77,2 МПа

 

maxfэ=0,92*40/10=3,68 мм

 

Выводы

1.       Определены расчетные и экспериментальные максимальные напряжения и перемещения при косом изгибе балки.

2.       Показано, что при косом изгибе балки расчетные прогибы и напряжения с достаточной для инженерных приложений точностью соответствуют полученным экспериментальным данным.

Похожие работы на - Исследование косого изгиба балки

 

Не нашли материал для своей работы?
Поможем написать уникальную работу
Без плагиата!
Без нейросетей!