Теплове обладнання підприємств з переробки плодів і овочів

  • Вид работы:
    Реферат
  • Предмет:
    Технология машиностроения
  • Язык:
    Русский
    ,
    Формат файла:
    MS Word
    96,05 kb
  • Опубликовано:
    2010-10-01
Вы можете узнать стоимость помощи в написании студенческой работы.
Помощь в написании работы, которую точно примут!

Теплове обладнання підприємств з переробки плодів і овочів

















РЕФЕРАТ на тему:

Теплове обладнання підприємств з переробки плодів і овочів

ЗМІСТ

1.АПАРАТИ ДЛЯ БЛАНШУВАННЯ, ОБШПАРЮВАННЯ І ПІДІГРІВАННЯ

2.СУШИЛЬНІ АПАРАТИ

ВИКОРИСТАНА ЛІТЕРАТУРА

У плодоовочевому консервному виробництві використовують апарати для попередньої обробки сировини, обжарювальні, випарні, для спеціальної обробки, сушильні, а також допоміжне обладнання.

1. АПАРАТИ ДЛЯ БЛАНШУВАННЯ, ОБШПАРЮВАННЯ І ПІДІГРІВАННЯ

Сировину, призначену для консервування (зелений горошок, спаржу, капусту, стручки квасолі, шпинат, перець, томати, кукурудзу, яблука, груші, айву, сливи), піддають попередній тепловій обробці гарячою водою, водними розчинами кухонної солі, лугу, кислоти, водяною парою, а також шляхом зіткнення з поверхнею нагрівання.

Залежно від призначення попередньої теплової обробки температура продукту підвищується до 85 - 96 °С. Тривалість обробки визначається швидкістю теплових, хімічних, біохімічних процесів, що відбуваються при цьому, і становить від кількох секунд до 15 хв. У випадках, коли треба припинити вплив тепла на продукт, останній охолоджують водою.

За призначенням теплової обробки і способом передачі теплоти продукту процес називають бланшуванням, обшпарюванням або підігріванням, а теплові апарати — відповідно бланшувачами, обшпарювачами і підігрівачами. Апарати кожної з цих груп можна поділити на апарати періодичної і безперервної дії — апарати, що працюють при атмосферному тиску, під вакуумом і надмірним тиском; апарати з нагрівальною камерою і барботерами.

Бланшувачі періодичної дії через малу продуктивність застосовуються рідко, а безперервної дії звичайно працюють при атмосферному тиску з подачею пари через барботери.

Обшпарювачі бувають як періодичної дії (закриті), так і безперервної (гвинтовий, стрічковий). Звичайно, у всіх парообшпарювачів пара підводиться через барботери; закриті працюють під надмірним тиском, інші — при атмосферному тиску.

БЛАНШУВАЧІ

Плоди й овочі бланшують у гарячій воді, розчині солі або кислоти, а також у середовищі водяної пари. Метою цього процесу є:

-   збереження природного кольору продукту (чого досягають руйнуванням окислювальних ферментів під впливом порівняно високих температур) або зміна його відповідно до стандартів;

-   зменшення об'єму продуктів і набуття ними пружності для забезпечення повного і щільного наповнення банок;

-   видалення повітря з тканин продуктів і створення умов для кращого збереження вітамінів та зменшення корозії жерстяних банок;

-   руйнування плазматичного шару плодів для полегшення подальшого відтискування соку на пресах;

-   збільшення проникності оболонки плодів та овочів і полегшення дифузії цукру при виготовленні варення;

-   часткове знищення мікроорганізмів (дріжджі, плісеневі гриби), які знаходяться переважно на поверхні сировини;

-   полегшення зняття шкірки плода.

Плоди і овочі бланшують цілими і шматочками. Для зниження витрат розчинних речовин застосовують переважно водні розчини кухонної солі або водяну пару.

Воду для бланшування звичайно підігрівають барботуванням пари в неї. Пара через барботери подається в камеру з продуктом, який безпосередньо стикається з водою (розчином солей, кислот) або парою.

Від нагрівального середовища до поверхні продукту теплота передається конвекцією, а в самому продукті розподіляється завдяки теплопровідності.

Кількість теплоти Q (Дж), передана від нагрівального середовища, дорівнює кількості теплоти, якої набув продукт:

 

де G — маса продукту, кг; с — теплоємність продукту, Дж/(кг-°С); ТП та Тк — початкова і кінцева температура продукту, oC.

Кількість теплоти Q (Дж), якої набув продукт, дорівнює кількості теплоти, що пройшла через його поверхню, а потім через його товщу:


де S — площа поверхні продукту, м3; τ — тривалість теплообміну, с; α — коефіцієнт тепловіддачі середовища, від якого нагрівається продукт, Вт/(м2·°С); Тс — температура нагрівального середовища, °С; Тпр — температура поверхні продукту, °С; λ — коефіцієнт теплопровідності продукту, Вт/(м·°С); l — визначальні розміри продукту (довжина, ширина, діаметр); T0 — температура продукту на відстані l /2 від поверхні, °С.

Цими формулами користуються для визначення температури продукту під час бланшування або тривалості останнього. Для проведення розрахунків особливо важливо правильно визначити коефіцієнти тепловіддачі і теплопровідності, оскільки в часі змінюються не тільки температура продукту, а і його фізичні властивості (щільність, в'язкість), в ньому відбуваються біохімічні процеси. Все це може зумовити зміни величин цих коефіцієнтів. Тому під час розрахунків використовують усереднені значення коефіцієнтів.

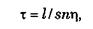
Нарізані плоди і овочі на деяких консервних заводах бланшуються стрічковими бланшувачами, зокрема на стрічці, вміщеній у металеву ванну з водою чи розчинами солей, кислот, цукру, або на стрічці, що проходить через закриту камеру, в яку через барботери подається пара. Тривалість (с) бланшування продукту залежить від швидкості руху стрічки:

де l — довжина тієї частини стрічки, на якій відбувається бланшування, м; v — швидкість руху стрічки, м/с.

Стрічкові бланшувачі, як водяні, так і парові, застосовують для бланшування перцю, зеленого горошку, капусти, кукурудзи, картоплі та ін. їх транспортувальний пристрій складається із тягового органа (двох ланцюгів) і насівної частини у вигляді укріпленої на цих ланцюгах стрічки. Продукт бланшується на стрічці, розміщеній у металевій ванні з водою (розчином солі, кислоти) або на тій, що проходить через закриту камеру, заповнену парою.

У бланшувачі, зображеному на рис. а, стрічковий конвеєр може бути розміщений у ванні, заповненій водою. До ланцюгів стрічки прикріплені планки 1 для утримання продукту при підніманні його в місце вивантажування. Чотири трубки барботера установлені у ванні між робочою і холостою гілками конвеєра; в них подається пара під тиском до 0,4 МПа. При вивантажуванні продукт охолоджується водою, яка виходить із сопел.

У бланшувачі, показаному на рис, тільки робоча гілка стрічки проходить через ванну з водою, а холоста її частина рухається під ванною. При цьому висота її може бути дещо зменшена. Барботери розміщені у ванні під стрічкою.

При бланшуванні парою частина робочої стрічки проходить через закриту парову камеру, в якій над і під стрічкою знаходяться трубки, які барботують пару. При переміщенні через камеру стрічки з плодами останні зазнають дії гострої пари, що виходить з барботера, і підігріваються. Тиск пари до вентиля становить 0,3 МПа, у паровій камері — 0,1 МПа, температура пари сягає 100 °С.

При бланшуванні продуктів у розчинах солей або кислот замість барботерів встановлюють змійовики, в які подається пара. Для охолодження продукту після бланшування у місці виходу стрічки з камери над нею, перпендикулярно до її руху, розміщують труби, що розбризкують воду.

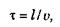
Тривалість бланшування продукту х залежить від швидкості руху стрічки конвеєра:


де l — довжина тієї частини ванни або парової камери, на якій знаходився продукт у воді або парі, м;

v — швидкість руху стрічки, м/с.

За формулою  визначають також швидкість руху стрічки, коли відома тривалість бланшування. Звичайна швидкість руху стрічки 0,01 - 0,15 м/с.

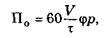
Продуктивність стрічкового бланшувала, кг/с


де В — ширина стрічки, м; h — середня висота шару продукту, м; v — швидкість руху стрічки, м/с; р — насипна маса продукту, кг/м3; К— коефіцієнт заповнення стрічки (К= 0,75...0,9).

Ковшові стрічкові бланшувачі марки БК призначені для бланшування в парі і воді зеленого горошку, капусти, шпинату, моркви, картоплі. При цьому плоди повністю зберігають свою цілість. Бланшувач складається з ванни 1 і стрічкового конвеєра, утвореного з двох ланцюгів, до яких шарнірно прикріплені ковші 2. Над і під стрічкою встановлені барботери З для підведення пари.

Продуктивність бланшувача залежно від умов роботи може бути 0,14 - 2,24 кг/с, зокрема: при бланшуванні шпинату — 0,33, гороху — 0,56, моркви — 0,32 кг/с; витрати води — 0,05 л/с; потужність електродвигуна 1,7 кВт. Частота обертання вала 140 рад/с.

Продуктивність ковшового бланшувача, кг/с,




де v — швидкість руху ковша, м/с; а — відстань між центрами ковшів, м; т — маса продукту в одному ковші, кг.

Стрічковий розварювач призначений для обробки парою нарізаних овочів перед сушінням. Похило встановлена на ньому стрічка з дротяної сітки рухається всередині металевого корпусу. Над нею (на початку і кінці її) розміщені душові пристрої відповідно для обполіскування і охолодження продукту після пропарювання. Між робочою і холостою частинами стрічки розміщені труби , що барботують пару. У барботері пара надходить під тиском до 0,3 МПа. Гвинт подає продукт на стрічку разварювача. Продукт, переміщуючись разом із стрічкою, спочатку обполіскується, потім обшпарюється і після охолодження вивантажується.

Продуктивність апарата залежить від швидкості руху стрічки, ширини і товщини шару продукту. Наприклад, при переробці за його допомогою картоплі, нарізаної стовпчиками, при ширині 1250 мм і товщині шару продукту 30 мм вона становить 200 кг/год. Потужність електродвигуна кВт, габаритні розміри 2950 х 1500 х 820 мм. Маса апарата 655 кг.

Такий самий розварювач є в обшпарювачі БКП-400 продуктивністю 0,112 кг/ с.

Барабанні бланшувачі. Використовуються в лініях виробництва консервів із зеленого горошку. Основним робочим органом є барабан з отворами по всій поверхні. Він спирається бандажами на три пари роликів. Всередині барабана є спіраль з листової сталі, що слугує для транспортування зерна. Барабан обертається навколо своєї осі за допомогою допоміжного вала. На цьому валу є два малих зубчастих колеса, що знаходяться у зчепленні з великими зубчастими колесами на бандажах.

Нижня частина барабана знаходиться у ванні напівциліндричної форми, в якій закріплені опорні ролики. Зверху барабан закритий кожухом. З торцевих сторін ванни встановлені завантажувальний бункер і розвантажувальний жолоб.

Вода по трубопроводу підводиться з боку розвантажувального жолоба. Пара подається по трубопроводу в нижню частину ванни в кількох місцях. Воду у ванні нагрівають до температури бланшування, продукт подають через завантажувальний пристрій. При обертанні барабана продукт за допомогою спіралі переміщується у бланшувальній рідині до розвантажувального отвору.

Поперечний переріз потоку продукту має вигляд сегмента, висота якого дорівнює ширині смуги спіралі, а радіус — зовнішньому радіусу барабана.

Тривалість бланшування регулюється частотою обертання барабана. У місці вивантаження спіраль закінчується лопатями, які захоплюють продукт і перевантажують його в розвантажувальний жолоб.

Продуктивність барабанного бланшувача, кг/год,


де h — ширина смуги спіралі, м; R — зовнішній радіус барабана, м; s — крок спіралі, м; п — частота обертання барабана, хв-1; р — насипна маса продукту, кг/м3; φ — коефіцієнт, що враховує відхилення розрахункової площі поперечного перерізу потоку продукту (трикутник) від істинної площі (сегмент) (ф = 0,95).

Гвинтові бланшувачі. Основним робочим органом у бланшувачах цього типу є гвинт, що переміщує продукт. При бланшуванні в гарячій воді гвинт встановлюється горизонтально, а у водяній парі — вертикально або дещо похило. Через порожнистий вал гвинта пара подається в жолоб, де міститься продукт або вода і продукт. Здійснюючи від 2,5 до 12 хв-1, гвинт перемішує продукт від завантажувального до розвантажувального кінця жолоба. Тривалість бланшування залежить від довжини гвинта і частоти його обертання, продуктивність — від розмірів витка гвинта і частоти обертання, збільшуючись пропорційно цим показникам. При бланшуванні парою зеленого горошку від 2 до 5 хв. продуктивність вертикального гвинтового бланшувача становить 3500 кг/год.

Тепловий розрахунок бланшувача здійснюють для визначення затрат теплоносія (пара) і охолоджувальної води, а також поверхні нагрівання, послідовно визначаючи витрати теплоти (Дж/с) за статтями теплового балансу.

1. Витрата теплоти на нагрівання продукту


де G — витрата продукту, кг/с; с — теплоємність продукту, Дж/(кг'°С); Т2 і Т1— відповідно кінцева і початкова температура продукту, °С.



де SВИП — площа поверхні випаровування, м2; kBИП — коефіцієнт випаровування, кг/(с·Н); р1, р2 — пружність водяної пари при температурі відповідно випаровування і повітря, Н/м2; φ — відносна вологість повітря, φ ≈ 0,7; r — теплота випаровування, що відповідає температурі бланшування, Дж/кг,




де у — швидкість руху повітря, м/с; рп — щільність повітря, кг/м3.

Якщо бланшувач закритий кришкою, то витрати теплоти за цією статтею не обчислюють.

3.       Витрати теплоти на підігрівання води, що доливається у бланшувач,


де wB — витрата води, кг/с; T3 і Т4 — початкова і кінцева температура води, °С.

Ці витрати теплоти визначають тоді, коли воду доливають для компенсації її втрат від випаровування.

4.       Витрати теплоти на нагрівання стрічки конвеєра

 

де Gr = vGПИТ — маса конвеєра, яку визначають за швидкістю його руху і питомою масою на 1 пог. м, кг/с; ст — теплоємність матеріалу стрічки конвеєра, Дж/(кг·°С); Т6 і Т7 — початкова і кінцева температури стрічки конвеєра, °С.

5.       Витрати теплоти на компенсацію втрат її в довкілля

де S — площа поверхні ванни, що стикається з повітрям, м2; α0 — сумарний коефіцієнт тепловіддачі, Дж/(м2·°С); Тст — температура поверхні стінки, °С; ТП — температура повітря, °С.

Загальні витрати теплоти становитимуть:


На основі цього розрахунку визначають витрати пари, кг/с:


де іП та ік — теплоутримання пари і конденсату, Дж/кг.

Площа поверхні нагрівання, м2,


де k — коефіцієнт теплопередачі, Вт/(м2·°С); ΔT— різниця між температурами пари і нагрівальної бланшувальної води, °С.

ОБШПАРЮВАЧІ

При виготовленні пюре, продуктів дитячого харчування плоди і овочі перед протиранням обшпарюють для розм'якшення їх тканин. Для цього використовують спеціальні пристрої — обшпарювачі. Сировину обробляють парою. Режими обшпарювання визначають експериментально. Закриті обшпарювачі (дигестери) використовуються також на деяких консервних підприємствах. Це апарати періодичної дії.

Конусна частина апарата являє собою дірчасте днище , закрите зовні конусом . Пара надходить через штуцери у простір між конусом і днищем і крізь отвори — у робочу частину, заповнену продуктом. У внутрішній порожнині апарата розміщені лопатева мішалка і гвинт , насаджені на один вал .

Після завантаження сировини через бункер верхня засувка закривається. Гостра пара подається у внутрішню порожнину апарата при відкритому випускному крані, який залишається відкритим доти, поки пара не витіснить усе повітря з апарата (до появи струменя пари з крана). Після закриття крана всередині апарата тиск доводиться до 0,2 МПа.

Після прогрівання продукту до температури 105-110 °С включають мішалку і гвинт. Витки гвинта розміщені так, щоб продукт переміщувався догори.

По закінченні обшпарювання припиняється подача пари і через нижню засувку маса вивантажується в протиральну машину.

Продуктивність обшпарювана періодичної дії, кг/год,


де V— об'єм робочої частини апарата, м3; τ — тривалість циклу роботи апарата (завантажування, обшпарювання, розвантажування), с; φ — коефіцієнт заповнення апарата (φ = 0,8); р — насипна маса продукту, кг/м3.

Гвинтовий обшпарювач безперервної дії застосовується для обшпарювання кісточкових (вишня, абрикос) і зерняткових (яблука) плодів. Обшпарювання в ньому відбувається безперервно, тому за порівняно короткий час (4-5 хв) плоди добре розм'якшуються. Однак при цьому весь конденсат змішується з масою і розріджує її, що є вадою цього апарата.

Обшпарювач має вигляд циліндричного корпусу, всередині якого обертається гвинт. Пара подається через порожнистий вал безпосередньо до продукту (гостра пара) і в парову сорочку зовні корпусу (глуха пара). Залежно від вимог технології робота може здійснюватися окремо як з гострою, так і з глухою парою. Глуха пара використовується тоді, коли не допускається розрідження обшпареної маси конденсатом пари.

Продуктивність гвинтового обшпарювача (кг/с) визначають за формулою, за якою обчислюють продуктивність гвинта:


де D і s — відповідно діаметр і крок гвинта, м; ω — кутова швидкість обертання гвинта, рад/с; φ — коефіцієнт заповнення жолоба (φ = 0,3...0,4); р — насипна маса продукту, кг/м3.

Тривалість обшпарювання (хв.) регулюється частотою обертання гвинта:


де l — довжина гвинта, м; η — коефіцієнт, яким враховується проковзування продукту по витку гвинта, η = 0,9.

В якості обшпарювачів можна використовувати стрічкові бланшувачі типу КБТ. В цьому випадку експериментально доведена тривалість обшпарювання встановлюється регульованою швидкістю руху конвеєра, а продуктивність визначають так само, як і для бланшувачів.

Витрати пари в обшпарювачах обчислюють з рівняння теплового балансу:


де Q1 — витрати теплоти для нагрівання продукту, Дж; Q2 — витрати теплоти для нагрівання апарата (визначають для апаратів періодичної дії), Дж; Qn1 — витрати теплоти в навколишнє середовище внаслідок конвекції і випромінювання, Дж; Qn2 — витрати теплоти через нещільність кранів і заслінок, Дж.

Витрати Qn2 встановлюють експериментально. Для закритого обшпарювача вони становлять 1 - 2 %, гвинтового 5 - 10, стрічкового без витяжної труби 10 - 20 % від загальних витрат теплоти Q3аг.

Стрічковий обшпарювач. Перед сушінням нарізані овочі піддають тепловій обробці парою в лоткових обшпарювачах. Похило встановлена у них стрічка з дротяної сітки рухається всередині металевого корпусу. Над нею, на початку її і в кінці, встановлені душові пристрої: перший — для споліскування продукту, другий — для його охолодження після пропарювання. Між робочою і холостою частинами стрічки розміщені труби, що барботують пару, в які пара надходить під тиском до 0,3 МПа. Продукт подається гвинтом на стрічку обшпарювача, переміщується разом з нею, спочатку обполіскується, а потім обшпарюється і після охолодження вивантажується.

Продуктивність апарата залежить від швидкості руху стрічки, ширини і товщини шару продукту.

АПАРАТИ ДЛЯ НАГРІВАННЯ ПРОДУКТІВ

Рідкі й напіврідкі продукти (подрібнені томати, томатне пюре, фруктовий сік та ін.) підігріваються в апаратах з поверхнею нагрівання — в поверхневих теплообмінниках. Це полегшує відокремлення шкірки з томатів, сприяє припиненню життєдіяльності мікроорганізмів перед розфасовуванням у тару, коагуляції білкових речовин й ін коли інтенсифікує наступні процеси.

Кількість теплоти, переданої від пари, яка конденсується на продукті через 1 м2 поверхні нагрівання за 1 с, або інтенсивність теплообміну, залежить для певного продукту від різниці температур пари і продукту і термічних опорів теплопередачі. Оскільки харчові продукти мають велику в'язкість, найбільшими термічними опорами при підігріванні звичайно є опори від стінки до продукту (1/а2) і термічний опір шару нагару (σ2/λ-2). Щоб зменшити ці термічні опори в підігрівачах, збільшують швидкість руху продукту, забезпечують інтенсивне його перемішування, вживають заходів щодо запобігання утворенню нагару.

Різницю температур, що інтенсифікує процес нагрівання, можна збільшити до певної межі, оскільки при підвищенні температури гострої пари і її тиску створюються умови для утворення нагару. Експериментально встановлено, що нагар утворюється, якщо температура поверхні стінки, яка стикується з продуктом, вище 105 °С. Тому в деяких теплообмінних апаратах температура теплоносія не перевищує 100 °С. Щоб уникнути раптових підвищень температури пари (понад 100 °С), нерідко в якості теплоносія застосовують гарячу воду.

Варильні казани. Призначені для варіння сиропу, розсолу, бульйону, варення, джемів. Різні типи казанів мають неоднакову місткість.

Варильний казан типу МЗ-2С-2446 має два стояки , дві цапфи, парову сорочку, корпус, мішалку варильний казан МЗ-2С-244а випускають без мішалки) та енергоустаткування.

У нижній частині парової сорочки є кран для спуску повітря і конденсату. На підводній паровій лінії встановлені манометри і запобіжний клапан. Привод мішалки складається з електродвигуна і редуктора.

Після наповнення казана продуктом у сорочку подається пара і починається процес варіння. Потім подачу пари припиняють, нахиляють казан і видаляють з нього продукт.

Реактори МЗ-2С-210 і МЗ-2С-316 (табл. 1 призначені для перемішування з підігріванням в'язких і рідких харчових продуктів з кількох компонентів.

Таблиця. 1. Технічна характеристика реакторів типу МЗ-2С

Показники

МЗ-2С-210

M3-2C-31G

Робочий об'єм, дм3

1000

500

Робочий тиск, МПа:



у паровій камері

у корпусі

0,25 0,07

0,25 0,07

Частота обертання вала мішалки, хв-1

48

Встановлена потужність електродвигуна, кВт

3

1,5

Габарити, мм: довжина

ширина

висота

1315

1194

2003

1360

1134

1700

Маса, кг

900

485


Реактори складаються з корпусу з паровою сорочкою, кришки, приводу, мішалки та енергоустаткування. Продукт у них перемішується мішалкою, що являє собою вал з лопатями. Апарат має два вікна для огляду внутрішньої порожнини реактора, а також люк для періодичного огляду, очищення і ремонту.

Випарні апарати МЗС-320 (ВНИИКОП-2) і МЗС-320М використовують як збірник-підігрівач, вакуум-випарний апарат для приготування томатного пюре і пасти, різних соусів, повидла, варення, розсолів.

Технічна характеристика випарного апарата типу МЗС-320

Місткість, дм3..................................... 1000

Розрідження, МПа ……………………… 0,072 - 0,077

Площа поверхні нагрівання, м2........... 3,66

Робочий тиск пари, МПа .................... 0,4

Частота обертання вала мішалки, хв-1 . 57

Встановлена потужність електродвигуна, кВт  2,7

Габарити, мм:

МЗС-320.............................. 1310 х 1310 х 3180

МЗС-320М (з вакуум-насосом)        3250 х 3720 х 3180

Маса, кг:

МЗС-320............................................. 1700

МЗС-320М ………………………….………… 2600

До складу апарата МЗС-320 входять корпус з паровою сорочкою, кришки, привод, мішалка, пастка та енергоустаткування. На сферичній кришці змонтований привод, що включає електродвигун і редуктор. До неї кріпиться також пастка для уловлювання найкрупніших частинок продукту, а також пари з ароматичними речовинами.

Розвантажується апарат через спусковий патрубок з пробковим краном. Апарат забезпечений краном для взяття проб і має лампу підсвічування.

Теплообмінний апарат А9-КБД УЗ з поверхнею нагрівання призначений для нагрівання і охолодження томатної пасти і плодових напівфабрикатів.

Апарат складається з двох теплообмінників, рами, комунікацій для повернення пари, продуктопроводу і щита керування. У теплообміннику, який працює за принципом механічної турбулізації потоку, є корпус і барабан з ножами, що обертається. Через кільцеву щілину корпусу проходять теплота і холодоагент. Барабан з ножами розміщений всередині корпусу із щілиною. При обертанні барабана ножі знімають пристінні шари продукту і переміщують їх з шарами в центрі потоку, забезпечуючи тим самим високе значення коефіцієнта теплопередачі і рівномірність прогрівання всього продукту. Обертання барабана здійснюється двигуном через клинопасову передачу.

Технічна характеристика апарата А9-КБД УЗ

Продуктивність при виготовленні томатної пасти, т/год, не менше:

при нагріванні........................................ ...5

при охолодженні.................................. 2,5

Площа поверхні нагрівання, м2.......... .3,92

Температура продукту на вході в апарат, °С:

при нагріванні................................. 45 - 50

при охолодженні........................... 125- 130

Температура продукту на виході з апарата, °С:

при нагріванні................................ 25 - 130

при охолодженні............................. 35 - 40

Температура охолоджувальної води, °С,

не більше ............................................. 20

Тиск, МПа:

нагрівальної пари ............................... 0,4

продукту в робочій порожнині .......... 0,4

Витрати, не більше:

охолоджувальної води, м3/год.............. 5

пари, кг/год .......................................  1000

електроенергії, кВттод ....................... 7,5

Габарити, мм...................... 2500 х 1390 х 2260

Маса, кг, не більше ...........................  1400

Кожухотрубні підігрівані виготовляють таких типів: ТН — з нерухомими трубними ґратами, жорстко прикріпленими до кожуха; ТК — з нерухомими трубними ґратами і температурним компенсатором; ТП — з плаваючою головкою, тобто одні трубні ґрати вільно переміщуються; ТУ — з U- подібними теплообмінними трубами; ТС — із сальником на плаваючій головці. Кожухотрубні підігрівачі або охолоджувачі призначені для зміни температури рідких середовищ (соку, сусла, патоки, розсолу тощо).

Апарат КТП-2 призначений для нагрівання соків і томатної пульпи. Він складається з теплообмінника, вакуум-бачка, парової магістралі, бака для води, насоса.

Технічна характеристика апарата КТП-2

Продуктивність, л/год ......................  1800

Площа поверхні нагрівання, м2............. 4

Швидкість руху продукту

 по трубах, м/с............................... 2,8 - 3,5

Встановлена потужність електродвигуна

вакуум-насоса, кВт.............................. 1,0

Тривалість нагрівання соку

від 20 до 90 °С, с ...............................  115

Габарити, мм....................... 3300 х 510 х 2350

Маса, кг .............................................. 600

Теплообмінна частина апарата має стальний циліндричний кожух, всередині якого хрестоподібно закріплені 12 послідовно з'єднаних труб з нержавіючої сталі діаметром 50 мм, довжиною 2925 мм. Продукт підводиться всередину труб, пара — у між трубний простір. Перед подачею в апарат тиск пари 0,2 МПа редукується до тиску 0,07-0,09 МПа, що відповідає температурі 93-96 °С і запобігає перегріванню та підгорянню продукту. Оскільки тиск всередині апарата нижче за атмосферний, для виведення конденсату призначений водяний ежектор. Конденсат з підігрівача через конденсатовідвідник із закритим поплавком відводиться у вакуум-збірник. З нього конденсат і накопичене повітря видаляються водяним ежектором, який створює деяке розрідження і у вакуум-збірнику. Продукт насосом перекачується через усі труби і нагрівається до температури 80 - 90 °С. Терморегулятор автоматично підтримує задану температуру продукту на виході.

Технічна характеристика кожухотрубного підігрівача А9-КБВ

Продуктивність, т/год.......................... 4,2

Площа поверхні нагрівання, м2.............. 9

Затрати електроенергії, кВттод ......... 0,71

Витрати пари, т/год........................... 0,214

Маса, кг ............................................... 5,1

У міжтрубний простір підігрівача надходить пара-теплоносій. Продукт подається у нижній теплообмінник, проходячи по його трубному простору, і заздалегідь нагрівається парою. Потім він надходить у верхній теплообмінник і нагрівається до заданої температури, звідки подається на дальшу обробку. Відпрацьована пара у вигляді конденсату видаляється через конденсатовідник.

Двотрубні теплообмінники типу «труба в трубі» є пристроями, що складаються з двох труб: труба меншого діаметра вставлена в трубу більшого діаметра. По одній трубі пропускається рідина, що обробляється, а по іншій протитоком рухається теплоносій. Теплообмінники такого типу призначені для охолодження сокоматеріалів перед відстоюванням, готових соків, розсолів, патоки тощо.

Теплообмінник складається з кількох розміщених одна над одною прямолінійних ділянок. Внутрішні труби послідовно з'єднані каналами, що кріплені по фланцях. Зовнішні труби з'єднані між собою патрубками. Весь апарат — це один елемент великої довжини.

Пластинчасті теплообмінники типу ВПУ мають плоскі поверхні теплообміну. Вони складаються з ряду паралельних пластин, виготовлених з тонких металевих листів (нержавіючої сталі) завтовшки близько 1 мм. Будова розбірного пластинчастого теплообмінника нагадує будову фільтр-пресів. Між поверхнями двох суміжних пластин є невелика щілина, яка слугує каналом для рідини, що піддається нагріванню або охолодженню.

Таблиця 2. Технічна характеристика пластинчастих теплообмінників типу ВПУ

Показники

ВП1-У2,5

ВП1-У5

Продуктивність, м3

25

5

Тривалість витримки продукту при максимальній швидкості потоку, с

100

100

Початкова температура, °С: гарячої води (теплоносія) водопровідної води (холодоносія)

86 12

86 12

Кількість пластин

49

85

Площа поверхні теплообміну однієї пластини, м2

0,15

0,15

Габарити, мм

1650x700x1400

1870x700x1400

Маса, кг

520

650


Пластинчастий теплообмінний апарат складається із станини, набору пластин, проміжних плит. Основними частинами станини є стояки і, верхня і нижня штанги , натискна плита , гвинт . На головній підпорі знаходиться штуцер для введення продукту і штуцер для його виведення. Штуцером на натискній плиті теплоносій виводиться, а штуцером — вводиться. Теплообмінні плити , розміщені на штангах у робочому положенні щільно притиснуті одна до одної. Ущільнення при цьому забезпечується гумовими прокладками. За розміщенням отворів, окільцьованих прокладками, пластини (плити) поділяються на ліві і праві і чергуються. Остання по ходу руху продукту пластина не має отвору, що створює необхідний підпір і сприяє розподілу рідини, що нагрівається, по непарних порожнинах між пластинами.

Теплоносій рухається протитоком, розподіляючись по парних порожнинах. Таким чином, порожнини з продуктом і теплоносієм чергуються, і в апараті створюються дві системи взаємно ізольованих каналів.

У багатосекційних пластинчастих теплообмінних апаратах в окремих секціях для економії енергії використовуються продукт, що охолоджується, і продукт, що нагрівається як теплоносій. Така секція називається регенераційною.

Перевагами пластинчастих теплообмінників є їх компактність, можливість проведення ретельної санітарної обробки, короткочасність теплового впливу, оскільки шар продукту тонкий, забезпечення автоматичного регулювання процесами, а вадою — велика кількість прокладкових з'єднань між пластинами.

Тепловий розрахунок підігрівачів періодичної дії (варильних казанів, еакторів) здійснюють для визначення витрат теплоти

Рівняння теплового балансу має вигляд


де Q1 — витрати теплоти на нагрівання продукту, Дж; Q2 — втрати теплоти в довкілля, Дж; Q3 — витрати теплоти на випаровування з поверхні продукту (якщо варильні казани відкриті), Дж; Q4 — витрати теплоти на нагрівання апарата, Дж.

З цього рівняння визначається витрата пари Вп за формулою Площу поверхні нагрівання S (м2) обчислюють за рівнянням тепловіддачі


де k — коефіцієнт тепловіддачі, Вт/(м2·°С); ΔГ — різниця температур теплоносія і продукту, °С; τ — тривалість нагрівання, год; Qзаг — витрати теплоти, Дж/год.

Тепловий розрахунок підігрівачів безперервної дії здійснюють за 1 год.

З рівняння теплового балансу визначають витрати пари, кг/с,


де Q1— витрати теплоти на нагрівання продукту, Дж/г; Q2 — витрати теплоти на компенсацію її втрат, Дж; іП та ік — тепло-утримання відповідно пари і конденсату, Дж/кг.

За рівнянням тепловіддачі обчислюють площу поверхні нагрівання, м2,


Оскільки Q1 = Gc(T2 –Т1), продуктивність підігрівача, кг/с,


де с — теплоємність продукту, Дж/(кг·°С); Т2 і Т1 — відповідно кінцева і початкова температура продукту, °С; k — коефіцієнт тепловіддачі (приймається за дослідними даними, отриманими за умов, які є ідентичними розрахунковим, або його визначають за критеріальними рівняннями).

ОСНОВНІ ПРАВИЛА ОБСЛУГОВУВАННЯ І ТЕХНІКИ БЕЗПЕКИ

До апаратів для бланшування, обшпарювання та підігрівання плодів і овочів ставляться такі вимоги.

Барботер з бланшувачем має бути покритий водою шаром не менше 150 - 200 мм. Запобіжні клапани потрібно продувати не рідше двох разів за зміну.

В апаратах з мішалками між поверхнею нагрівання і лопатями повинні бути щілини, щоб запобігати стиранню поверхні нагрівання.

Нагрівальну камеру необхідно щорічно піддавати гідравлічному випробуванню на робочий тиск.

Для того щоб запобігти переповненню камери конденсатом і можливим гідравлічним ударам, перед пуском пари треба відкривати обвідні вентилі на конденсаторі-відвіднику.

2.СУШИЛЬНІ АПАРАТИ

Під час консервування сушінням внаслідок випаровування з продукту видаляється частина вологи. Якщо овочі, м'ясо, рибу висушити до вмісту в них вологи 12 - 14 %, а плоди — до 15 -25 %, то в них припиняється життєдіяльність мікроорганізмів і тим самим створюються умови для тривалого зберігання продуктів. У деяких випадках харчові продукти сушать для поліпшення умов їх переробки (наприклад, сушіння солоду і рибних відходів перед їх подрібненням).

Залежно від властивостей висушуваних продуктів та умов технологічного процесу застосовують різні способи сушіння, що забезпечують високу якість готового продукту, збереження його харчової цінності і раціональне ведення процесу. На видалення 1 кг вологи під час сушіння затрачається велика кількість теплової або електричної енергії, тому там, де це можливо, вологу видаляють до сушіння пресуванням, випаровуванням, центрифугуванням або фільтруванням.

У консервному й овочесушильному виробництві переважає конвективний спосіб сушіння, за якого повітря, температура якого вища за температуру продукту, стикається з продуктом, віддає йому частину теплоти і вбирає вологу з нього. Застосовують також інші способи сушіння: контактний, коли тепло передається висушуваному продукту через контактну з ним поверхню нагрівання; радіаційний, коли тепло передається тепловими (інфрачервоними) променями; сублімацією у глибокому вакуумі; струмами високої частоти.

КЛАСИФІКАЦІЯ СУШАРОК

У харчовій промисловості застосовуються різні сушарки залежно від виду продуктів, призначених для сушіння

Для сушіння плодів і овочів, нарізаних шматочками (яблука, морква, картопля, капуста, цибуля), а також цілими (вишня, виноград, слива та ін.) застосовують стрічкові, рідше канальні (або тунельні) сушарки. Барабанні і пневматичні (аерофонтанні) сушарки призначені для сушіння продуктів, які не псуються від ударів і подрібнення, наприклад відходи томатів (шкірка і насіння) і риби. На розпилювальних сушарках сушать напіврідкі продукти томатної маси, концентрованих фруктових соків, кави, молока та ін. Сублімацію застосовують для сушіння різних плодів і ягід цілими або нарізаними (малина, полуниці, шматочки яблук, лимонів), а також м'ясних і молочних продуктів. Інфрачервоним випромінюванням сушать матеріали в грузькому шарі.

З відомих способів сушіння в плодоовочевому виробництві використовуються конвективний, кондуктивний і радіаційний.

КОНВЕКТИВНИЙ СПОСІБ СУШІННЯ

Сушарка СПК-4Г-90 з бланшувачеж КТБ-900 являє собою камеру, закриту металевими щитами і дверима. Каркас монтується на фундаментних колонах. Всередині встановлений п'ятиярусний сітчастий конвеєр. Усі яруси конвеєра мають однакову довжину і рухаються у напрямку, протилежному руху стрічок. Для кращого пересипання продукту з верхньої стрічки на нижню осі приводних і натяжних барабанів зміщені одна відносно одної. Між конвеєрами розміщені калорифери, на кожному ряду яких є регулювальні вентилі для підведення пари від розподільного колектора і регулювання теплового режиму в кожній зоні. Такі сушарки можуть працювати при централізованому постачанні пари.

Привод сушарки складається з двох самостійних станцій, на кожній з яких встановлені два редуктори і ланцюговий варіатор. Один редуктор використовується для приводу стрічок, інший — ворошилок. Це дає змогу регулювати швидкість руху другої і четвертої стрічок від однієї станції і першої, третьої і п'ятої — від іншої.

На кожному ряду калориферів є регулювальні вентилі у місцях підведення пари, а в місцях її відведення — конденсато-відвідники. Температура повітря в сушильній камері контролюється термометром , вологість відведеного повітря — психрометром, датчик якого встановлений у витяжній парасольці, що закінчується патрубками, в яких встановлені вентилятори.

Автоматичне регулювання температурного режиму забезпечується подачею необхідної кількості пари в калорифери через вентилі, керовані електронними потенціометрами на щиті управління, сигнал на які надходить від термопар.

На щитах, встановлених на початку і в кінці конвеєрних стрічок, обладнані оглядові люки, через які беруть проби продукту і спостерігають за процесом сушіння. Люки освітлюються лампами

Продукт завантажується в сушарку завантажувальним конвеєром або бланшувачем. Шар його на цьому конвеєрі розрівнюється розкладальником сировини.

Стрічкова конвеєрна сушарка СКО-90 з вогневими калориферами, що працюють на рідкому паливі, використовується на підприємствах, які не мають промислової пари. Це закрита корпусом теплоізольована сушильна камера, всередині якої розміщені один над одним п'ять конвеєрів, руху яким надає приводна колонки.

Завантаження продукту в сушильну камеру і рівномірний розподіл його по ширині стрічки здійснюються завантажувальним конвеєром. Для підігрівання сушильного агента (повітря) без контакту його з продуктами згоряння палива призначені теплогенератори.

Система циркуляції сушильного агента являє собою два замкнених контури, в кожний з яких входять відцентрові вентилятори, повітропроводи, колектори, короби, сушильна камера і теплогенератори.

У системі циркуляції є ручні й автоматичні клапани для регулювання викиду відпрацьованого сушильного агента і нагнітання свіжого повітря. Роботою сушарки керують з щита.

Розрахунок стрічкової сушарки здійснюється так.

1. Масу вологи (кг/год), яка випаровується з продукту під час сушіння, визначають за формулою:





де G1 — кількість вологого продукту, який надходить у сушарку, кг/год; G2 — кількість висушеного продукту, кг/год; w1 і w2 — відповідно початкова і кінцева вологість продукту, %.

2. Маса висушеного продукту, кг/год,





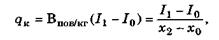
3. Витрати повітря на сушіння, або продуктивність за кількістю випаруваної вологи (кг/год),


де Впов/кг — витрата повітря на випаровування 1 кг вологи, кг:





де х1 і х2 — вологоутримання повітря, кг/кг; d1 і d2 — те саме, г/кг.

4. Об'єм використаного повітря, м3/год,





де Vпит — питомий об'єм повітря, м3/кг; То — температура зовнішнього повітря, °С; φо — відносна вологість зовнішнього повітря, %; Рн.п — тиск насиченої пари при То, кг/м2.


5. Витрати теплоти у повітронагрівачі, Дж/год,

де qк — витрати теплоти на 1 кг випареної вологи, Дж/кг:


де Iо і I1 — теплоутримання вологого повітря до і після проходження ним через калорифер, Дж/кг.

За витратами теплоти визначають витрати пари, кг/год,


або поверхню нагрівання, м2,


де ΔT— середня арифметична різниця температур, °С; іп та ік — теплотворність нагрівальної пари і конденсату, Дж/кг; k — коефіцієнт тепловіддачі, Дж/(м2·год·°С).

КОНДУКТИВНИЙ СПОСІБ СУШІННЯ

Кондуктивний спосіб застосовується для сушіння високо вологих овочевого, картопляного і фруктового пюре за рахунок віддачі теплоти висушуваного продукту через нагріту поверхню. Перевага цього способу забезпечується значною інтенсивністю процесу.

За конструкцією кондуктивні сушарки бувають одно- і двовальцьові. Перші складаються з одного сушильного вальця (барабана), кількох намащувальних валків і зішкрібувальних ножів, другі — з двох сушильних вальців (барабанів). Товщина шару висушуваного продукту регулюється зміною щілини між вальцями, які обертаються назустріч один одному.

РАДІАЦІЙНИЙ СПОСІБ СУМШІННЯ

Продукт сушать дією на нього променів інфрачервоної частини спектра (ІЧ-променів). Генераторами ІЧ-променів є спеціальні електролампи або нагріті поверхні. ІЧ-промені забезпечують ефективне нагрівання продукту внаслідок інтенсифікації руху атомів і молекул у поверхневих його шарах.

Сушарки являють собою стрічковий конвеєр, над яким встановлені генератори ІЧ-променів.

ВИКОРИСТАНА ЛІТЕРАТУРА

1. Осокіна Н.М., Гайдай Г.С. Технологія зберігання і переробки продукції рослинництва. Умань - 2005 р.

2. Найченко В.М., Осадчий О.С. Технологія зберігання і переробки плодів та овочів з основами товарознавства - К.: Школяр, 1999р.

3. Зберігання і переробка продукції рослинництва . І. Подпрятов, Л.Ф. Скалецька, А.М. Сеньков, В.С. Хилевич. — К.: Мета, 2002. — 495 с

4. Подпрятов Г.І., Скалецька Л.Ф., Сеньков А.М. Технологія зберігання і переробки продукції рослинництва. Практикум: Навч. посібник. — К.: Вища освіта, 2004. — 272 с

Похожие работы на - Теплове обладнання підприємств з переробки плодів і овочів

 

Не нашли материал для своей работы?
Поможем написать уникальную работу
Без плагиата!
Без нейросетей!