Определение напряжений в элементах конструкций электротензометрированием













Отчет по лабораторной работе «Определение напряжений в
элементах конструкций электротензометрированием»
Цель работы: изучение методики и экспериментальное определение напряжений
в элементах конструкций электротензометрированием; сравнение расчетных и
экспериментальных значений напряжений.
Экспериментальное определение напряжений проводится при
создании, сдаче в эксплуатацию или после определенного срока работы
ответственных конструкций с целью оценки их прочности. Устройства,
преобразующие механические величины в электрические, называются датчиками
(деформации -(тензорезистор), линейных или угловых перемещений, давлений,
усилий, скоростей, ускорений).
Тензорезистор (рис. 9.4) представляет собой плоскую
петлеобразную спираль 1 из тонкой (0,01...0,03 мм) константановой (60 % меди и
40 % никеля) проволоки, вклеенной между двумя слоями рисовой бумаги 2. Рабочий
тензорезистор наклеивается (клей БФ) на деталь и при ее нагружении
деформируется совместно. При статическом нагружении рабочие тензорезисторы
подключаются к измерителю деформации (цифровому) ИДЦ, электрическая схема
которого (рис. 9.5) представляет собой высокочувстви-тельный измерительный
четырехплечий мост Ч.Уитстона(1844).
Рис. 9.5. Электрическая схема ИДЦ
Постановка работы. На экспериментальной установке (рис. 9.6) проведены испытания
ЭК в виде стальной (Е = 2 * 105 МПа; µ = 0,3) трубы (D = 60 мм; d= 54 мм; L =
360 мм; l = 300 мм) при плоском изгибе,
кручении и совместном изгибе с кручением с записью (табл. 9.3) ступеней рабочей
нагрузки Р и показаний т измерителя деформаций цифрового ИДЦ
(цена деления β= 10-5 1/дел.).
Рис. 9.6. Схема экспериментальной установки: 1- элемент конструкции; 2
- опора; 3 - коромысло; 4, 5 - грузы; 6 -блок;
7-прямоугольная розетка тензорезисторов; I, II, III - рабочие тензорезисторы
|
№ступени нагружения
|
Р,
кН
|
ΔР,
кН
|
Изгиб
|
Кручение
|
Изгиб с кручением
|
|
m1
|
Δm1
|
m11
|
Δm11
|
m1
|
Δm1
|
m11
|
Δm11
|
m111
|
Δm111
|
|
0
|
0.9
|
-
|
23
|
-
|
25
|
-
|
22
|
-
|
20
|
-
|
-7
|
-
|
|
1
|
1.8
|
0.9
|
45
|
22
|
49
|
24
|
45
|
23
|
39
|
19
|
-14
|
-7
|
|
2
|
2.7
|
0.9
|
67
|
22
|
74
|
25
|
67
|
22
|
61
|
22
|
-22
|
-8
|
|
3
|
0.9
|
89
|
22
|
99
|
25
|
89
|
22
|
81
|
20
|
-28
|
-6
|
|
4
|
4.5
|
0.9
|
113
|
24
|
124
|
25
|
111
|
22
|
100
|
19
|
-34
|
-6
|
|
|
ΔPср=0,9
|
Δm1ср=22,5
|
Δm11ср=24,75
|
Δm1ср=22,25
|
Δm11ср=20
|
Δm111ср=-6,75
|
Требуется: определить расчетные и экспериментальные значения напряжений;
вычислить отклонения расчетных от экспериментальных напряжений.
Проводим обработку экспериментальных данных табл. 9.3 и
определяем
средние значения приращений нагрузки ΔPср =∑ΔР/4 и
показаний ИДЦ:
Δmср =∑Δm/4.
В дальнейшем все расчеты проводятся для одной ступени
нагружения.
Опыт № 1. Определение напряжений при изгибе элемента
конструкции
1. Вычисляем
расчетное приращение напряжений в точке А при изгибе:
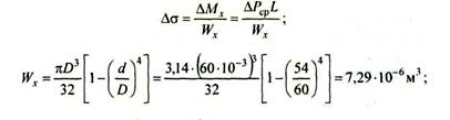
Δσ =
2. Рабочий
тензорезистор I наклеен по направлению главной
деформации Δε1, и находится в условиях линейного
напряженного состояния. Определяем экспериментальные приращения главной
деформации и главного напряжения:
Δε1э=Δ1срβ=22,2*10-5;
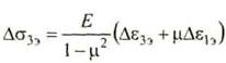
Δσэ=EΔε1э=2*10-5=45
Мпа
3.
Находим отклонение расчетных от эксперементальных напряжений:
δ=
*100%=44,4*45/45*100%= -1,33
4. Для
оценки прочности элемента конструкции определяем экспериментальное значение
напряжений при максимальной нагрузке:
maxσэ=
ΔσэPmax/ΔP=45*4.5/0.9=255МПа
Опыт № 2. Определение напряжений при кручении элемента
конструкции
1. Вычисляем
расчетные приращения касательных напряжений в точке А:
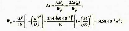
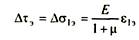
Δτ
=(2*0,9*103*300*10-3)/14,58*10-6=37 МПа
2. При кручении элемента конструкции
реализуется частный случай плоского напряженного состояния, когда главная
деформация Δε1э = - Δε3э. Главную деформацию Δε1 измеряет рабочий тензорезистор II, наклеенный под углом 45◦.
Определяем экспериментальные приращения главных деформаций:
Δε1э= Δm11cрβ=24,75*10-5;
Δε3э=-24,75
3. Находим экспериментальные приращения
касательных напряжений, которые при кручении равны приращениям главных
напряжений:
Δτэ=(2*105\1+0.3)*24,75*10-5=38
МПа
4. Определяем отклонение
расчетных от экспериментальных напряжений:
δ=((37-38)/38)*100%=-2,63
5. Для оценки прочности
при кручении элемента конструкции находим экспериментальное значение
касательных напряжений при максимальной нагрузке:
max τэ max =38*4,5/0,9=190
МПа.
Опыт
№ 3. Определение напряжений при совместном изгибе и кручении элемента конструкции
1. Вычисляем расчетные приращения
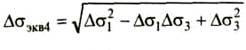
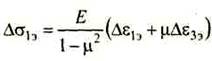
нормальных, касательных, главных и эквивалентных напряжений в точке А:
Δσ
= (0,9*103*360*10-3)/7,29*10-6=44,4 МПа
Δτ
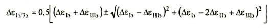
= (0,9*103*300*10-3)/14,58*10-6=18,5 МПа
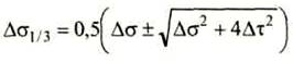
Δσ1/3=0,5(44,4
)=(22,2
28,9) МПа
Δσ1=51,1МПа
; Δσ3= -6,7 МПа
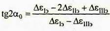
Их
направление t
g2α=
= -
=-0.833; 2α0=-39,8◦;
α0=-19,9◦
Δσэкв4=
=54,8 МПа
2.
По трем
показаниям ИДЦ прямоугольной розетки тензорезисторов ходим эксперимен-тальные
приращения деформаций:
Δε1э=Δm1 срβ=22,25*10-5 ; Δε11э
= Δm1 1срβ = 20*10-5; Δε111э=
Δm11 1срβ=-6,75
3.
Вычисляем
экспериментальные приращения главных деформаций и их направление:
Δε1/3э=0,5(22,25*10-5+(6,75)*
*10-5
2=7,75*10-5
18,98*10-5
Δε1э=26,73*10-5
; Δε3э=-11,23*10-5
tg2α=(22.25 *10-5-2*20*10-5+(-6.75*10-5)/22.25*10-5-(-6.75*10-5)=-0.844
С
учетом этого 2α0=-40,2◦ ; α0=-20,1◦
4.
Определяем
экспериментальные приращения главных и эквивалентных напряжений:
Δσ1э=51,3 МПа
Δσ3э=-7,12
Δσэкв4=55,2МПа
5.
Вычисляем
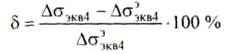
отклонение расчетных от экспериментальных эквивалентных напряжений:
δ=((54,8-55,2)/55,2)*100%=-0,7%
6.
Для оценки
прочности элемента конструкции находим экспериментальные эквивалентные
напряжения при максимальной нагрузке:
maxσ
ээкв4=55,2*4,5/0,9=276МПа
Выводы
1. Изучена методика определения напряжений
электротензометрированием с целью экспериментальной оценки прочности элементов
конструкций.
1.Во всех трех
опытах отклонения результатов расчета от эксперимента не превышают 5 %. Следовательно,
электротензометрирование может эффективно использоваться для экспериментального
определения напряжений при оценке прочности элементов конструкций.
2.Расхождения
между расчетными и экспериментальными напряжения ми обусловлены рядом принимаемых
гипотез при выводе формул для расчета напряжений, а также погрешностями
измерения деформаций при электротензометрировании.