Критерии устойчивости систем
НТИ
НИЯУ МИФИ
Кафедра
автоматизации управления
ОТЧЕТ
по
лабораторной работе №2
по
курсу: «Основы теории управления»
на
тему: «КРИТЕРИИ УСТОЙЧИВОСТИ СИСТЕМ»
Выполнил: ст. гр. АУ-47Д
Андреев В.А.
Руководитель:
Мухаматшин И.А.
“ ___ ” декабря 2010 г.
Новоуральск
2010
Задание
Определить устойчивость
системы по алгебраическим критериям устойчивости (критерий Рауса, критерий
Гурвица) и по частотным критериям (критерий Михайлова, критерий Найквиста).
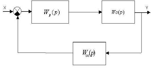
Структурная схема представлена на рис 1.
Рис 1
Таблица 1 – Исходные данные
Значение постоянных времени (для
всех вариантов):
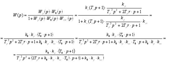
Составление передаточной
функции для замкнутой системы
Если представить передаточную
функцию в виде
,
то операторный коэффициент
передачи:
характеристический полином:

Устойчивость системы по
критерию Рауса
Этот критерий формулируется в
табличной форме. Таблица Рауса состоит из
– коэффициентов, связанных с коэффициентами
полинома
, где
– номер столбца,
– номер строки (их число равно
):
где
, при
Формулировка критерия Рауса
САУ устойчива, если
коэффициенты первого столбца таблицы при
положительны:
,
,
, …,
.
Для многочлена второго
порядка коэффициенты:


Поскольку все коэффициенты 1-го
столбца положительны, то по критерию Рауса система устойчива.
Устойчивость системы по
критерию Гурвица
Суть критерия устойчивости
Гурвица: для устойчивости замкнутой САУ необходимо и достаточно, чтобы
определитель Гурвица и все его диагональные миноры были положительны при
.
Для системы второго порядка
(n=2) характеристическое уравнение имеет вид:
Матрица Гурвица примет вид:

получились положительными
Для устойчивости системы
необходимо, чтобы все n диагональных миноров были положительны
.
Поскольку все диагональные
миноры матрицы Гурвица положительны (Δ1 > 0, Δ2 > 0) при a0
> 0, то система устойчива.
Устойчивость системы по
критерию Михайлова
Формулировка критерия
Михайлова:
Замкнутая система
автоматического управления устойчива, если характеристическая кривая (годограф
Михайлова), начинаясь на положительной вещественной оси в точке an, при
изменении частоты 0£
w £ ¥ последовательно
проходит число квадрантов равное степени характеристического полинома.
Задан характеристический
полином системы:
Построим годограф Михайлова в
Маткад при изменении частоты от 0 до 10000 с-1 (рис 2)
Рис 2
Годограф, изображенный на рис
2 начинается на действительной положительной оси и проходит последовательно две
четверти (равно степени полинома D(p)), (очень незначительно выступает на
второй квадрант, возможно из-за того, что один из коэффициентов полинома очень
мал a0 = 0.0000081, близок к нулю). Т.е наблюдаемая устойчивость на грани.
Поскольку годограф пересекает
последовательно 2 квадранта для полинома второго порядка, то по критерию
Михайлова система устойчива.
Устойчивость системы по
критерию Найквиста
Для систем, устойчивых в разомкнутом
состоянии:
Условие устойчивости
замкнутой системы сводится к требованию, чтобы АФЧХ разомкнутой системы не
охватывала точку (-1,j0).
Для систем, неустойчивых в
разомкнутом состоянии, критерий Найквиста имеет такую формулировку:
Для устойчивости системы в
замкнутом состоянии АФЧХ разомкнутой системы должна охватывать точку (-1,j0).
При этом число пересечений ею отрицательной действительной полуоси левее точки (-1,j0)
сверху вниз должно быть на k/2 больше числа пересечений в обратном направлении,
где k – число полюсов передаточной функции W(p) разомкнутой системы с положительной
действительной частью.
Передаточная функция
разомкнутой системы:
тогда АФЧХ:
Построим АФЧХ разомкнутой
системы (рис 3)
Рис 3
Из рис 3: годограф не
охватывает точку (-1,j0),следовательно, система устойчива.
Вывод
В ходе работы была проведена
оценка устойчивости системы по различным алгебраическим и частотным критериям. По
всем критериям система оказалась устойчивой. Более точными оказались
алгебраические критерии устойчивости, поскольку мы имеем аналитическое описание
системы: Рауса и Гурвица, они просты для систем невысокого порядка (n<3),
для системы более высокого порядка становится затруднительным применение данных
критериев, потому что растет число условий, по которым можно говорить об
устойчивости системы. По частотным критериям устойчивости устойчивость САУ
определяется на использовании принципа аргумента, применимы для нелинейных САУ,
менее точны по сравнению с алгебраическими, потому что устойчивость таких
систем определяется по виду годографа в тех или иных критериях устойчивости
(Найквиста, Михайлова).