Увеличение нефтеотдачи пластов с применением микробиологического воздействия на примере Западно-Лениногорской площади Ромашкинского месторождения НГДУ "Лениногорскнефть"
Министерство образования и науки
Российской федерации
Министерство образования и науки
Республики Татарстан
Государственное образовательное
учреждение высшего профессионального образования
"Альметьевский государственный
нефтяной институт"
Факультет нефти и газа
Кафедра: "Разработка и эксплуатация нефтяных и газовых месторождений"
ДИПЛОМНАЯ РАБОТА
на тему: Увеличение нефтеотдачи пластов с применением
микробиологического воздействия на примере Западно-Лениногорской площади
Ромашкинского месторождения НГДУ "Лениногорскнефть"
Альметьевск, 2010
СОДЕРЖАНИЕ
Введение
1. Геолого-физическая характеристика месторождения
1.1 Характеристика геологического строения
1.2 Коллекторские свойства продуктивных пластов
1.3 Физико-химические свойства пластовых флюидов
2. Анализ текущего состояния разработки
2.1 Анализ фонда скважин, текущих дебитов и обводненности
2.2 Анализ выработки пластов
3. Анализ эффективности применения микробиологических
методов увеличения нефтеотдачи пластов в условиях рассматриваемого объекта
разработки
4. Определение технологической эффективности
4.1 Выбор участка
4.2 По методу "прямого" счета
4.3 По характеристикам вытеснения
5. Расчет технологических показателей разработки при
применении метода
6. Выводы и рекомендации
Список использованной
литературы
ВВЕДЕНИЕ
За 40-летний период разработки из продуктивных пластов
горизонта Д1 Западно-Лениногорской площади извлечено 67970 тыс.т
нефти, что составляет 95% от утвержденных НИЗ, текущий коэффициент
нефтеизвлечения достиг 0,5, обводненность нефти составляет 85,3 %, ВНФ - 1,9.
Основное количество нефти отобрано из высокопродуктивных коллекторов -75, 6%, а
из малопродуктивных - всего 7,9%;
Геолого-промысловый анализ показал, что в условиях выявленных
сложных особенностей геологического строения объекта, происходит опережающая
выработка запасов нефти высокопродуктивных песчаников нефтяной зоны и
значительно отстает выработка запасов высокопродуктивных глинистых и
малопродуктивных коллекторов, в связи с чем за время разработки на площади
произошло изменение структуры запасов в сторону ухудшения. Если в начальный
период разработки извлекаемые запасы нефти высокопродуктивных коллекторов
составляли 70,1%, высокопродуктивных глинистых – 21,7%, малопродуктивных – 15,2%
запасов площади, то текущие извлекаемые запасы распределились, соответственно, 35,5%,
36,3% и 36,2% остаточных извлекаемых запасов площади, т.е доля
трудноизвлекаемых запасов выросла.
Из-за неоднородности состава пород и характера
распространения коллекторов по разрезу происходит неравномерная выработка
запасов по пластам. Появилась необходимость воздействия на пласты с целью увеличения
охвата пласта и коэффициента вытеснения нефти. Одним из таких мероприятий
является микробиологическое воздействие.
1.
ГЕОЛОГО-ФИЗИЧЕСКАЯ ХАРАКТЕРИСТИКА МЕСТОРОЖДЕНИЯ
Общие сведения о районе работ
Ромашкинское месторождение, одно из десяти крупнейших
месторождений в мире, расположено в центре Волго-Уральской нефтегазоносной
провинции на юго-востоке Татарстана. В административном отношении площади
находятся на территории Альметьевского, Лениногорского, Азнакаевского и
Бугульминского районов Татарии. С севера на юг через месторождение проходит
железнодорожная ветка от станции Бугульма до станции Круглое поле. На
территории района широко развита гидрогеографическая сеть. Все реки небольшие:
Зай-Каратай, Вязовка, Ик. Рельеф поверхности в значительной мере определяется
наличием оврагов, балок и долин, образованных действием рек. Абсолютные отметки
его колеблются от +140м до +340м. В пределах района расположен ряд населенных
пунктов, соединенных между собой сетью шоссейных и грунтовых дорог. Климат
района умеренно-континентальный: холодная зима с сильными ветрами и буранами и
теплое лето; переход от зимы к лету быстрый, с неустойчивыми атмосферными
осадками. Самый холодный месяц – январь, имеющий среднюю температуру минус
13-15
С. В отдельные годы температура
понижается до минус 40 – 49
С. Средняя температура
самого жаркого месяца июля +18+20
С, максимальные
температуры могут достигать +36+38
С. По растительному
покрову данная территория относится к лесостепной зоне. В пределах района
основным полезным ископаемым является нефть. Кроме нефти здесь имеются каменный
уголь, строительные материалы: известняки, глины, гипс и песок.
1.1 Характеристика геологического строения
Наиболее древними образованиями, вскрытыми скважинами,
являются породы кристаллического фундамента. Сложены они, в основном, гнейсами,
диоритами и диабазами. Девонские образования в пределах Ромашкинского нефтяного
месторождения представлены двумя отделами – средним D2 и верхним D3.
В среднем отделе D2 выделяются
два яруса – эйфельский D2ef и живетский D2gf.
Породы бийского горизонта D2bs эйфельского яруса D2ef ложатся на кристалический фундамент почти по всей южной и
центральной частях Ромашкинского месторождения. На севере месторождения
отложения бийского горизонта установлены в разрезах единичных скважин. Мощность
горизонта изменяется от нуля (на юго-востоке) до 36м (на юго-западе
месторождения). В составе бийского горизонта D2bs выделяются две пачки – базальтная гравийно-песчанная (пласт D5) и, перекрывающая её, алевролито-аргиллитовая, иногда
с прослоями известняка (репер "нижний известняк"). Нижняя пачка
слагается песчаниками разнозернистыми, неравномерно глинистыми, с примесью
гравийного, реже мелкогалечного материала. Верхняя пачка представлена в нижней
части аргиллитами иногда с прослоями известняка, в средней – аргиллитами с
алевролито-песчаными прослоями и в верхней – аргиллитами.
Отложения живетского яруса D2gv в
пределах Ромашкинского месторождения развиты повсеместно и представлены
старооскольским горизонтом D2St,в составе которого выделяются
воробьевские, ардатовские и муллинские слои. Воробьевские слои залегают с
размывом на породах эйфельского яруса D2ef и кристалического фундамента. В
составе слоев выделяются песчаная пачка (пласт D4), разделенная нередко на две части глинистым прослоем, и
пачка глинистых пород, залегающая на песчаном пласте. Мощность воробьевских
слоев составляет на юго-западе месторождения 32 – 33м, в центральной и западной
частях 16 – 35м и в восточной части 8 - 16 м. Пласт D4 представлен в основном песчаниками и алевролитами, реже
глинистыми породами. В наиболее полных разрезах воробьевских слоев пласт D4 имеет мощность 16 - 23 м, на востоке и северо-востоке
месторождения 4 – 8м. Верхняя аргиллитовая пачка воробьевских слоев слагается
темно-серыми аргиллитами и глинистыми алевролитами с прослоями мергелей и
доломитов.
Ардатовские слои подразделяются на две пачки: нижнюю -
песчано-алевролитовую и верхнюю- карбонатно-глинистую. Нижняя пачка слагается
преимущественно глинистыми алевролитами, в меньшей мере песчаными алевролитами
и песчаниками с прослоями аргиллитов. В пласте D3 выделяются два прослоя: нижний D 3-б и верхний D 3-а. Мощность пласта на юго-западе
26м, на северо-востоке 11 - 8 м. Верхняя пачка сложена карбонатными породами и
аргиллитами. Мощность пачки 5 - 20 м. Мощность ардатовских слоев от 15 до 40 м.
Муллинские слои подразделяются на две пачки: нижнюю –
алевролито-песчаную, сложенную алевролитами и мелкозернистыми песчаниками, и
верхнюю – алевролито-аргиллитовую, сложенную переслаиванием аргиллитов и
алевролитов. На юге месторождения (Западно-Лениногорская площадь) в кровле
верхней пачки аргиллиты переходят в мергель (аналог "черного известняка").
Пласт D2 имеет мощность от 2 до 30 м и часто сливается с
пластами пашийского горизонта D3p. Мощность муллинских слоев
изменяется от 7 до 35 м.
Верхний девон D3
подразделяется на
франский D3f и фаменский D3fm ярусы. Франский ярус D3f подразделяются на нижне-франский D3f1
и верхне-франский D3f3 подъярусы. В составе нижнефранского D3f1
подъяруса
установлены отложения пашийского D3p, кыновского D3kn, саргаевского D3sr и семилукского D3sm горизонтов.
Пашийский горизонт D3p нижне-франского
подъяруса D3f1 является основным промышленным объектом Ромашкинского
месторождения. Нижняя его граница – кровля аргиллитовой пачки (репер "глина")
над пластом DII. Верхняя граница пашийского
горизонта D3p проводится по подошве карбонатной пачки "верхний
известняк". Мощность горизонта колеблется от 24 м (северо-восточная часть)
до 52 м (юго-западная часть). Пашийский горизонт D3p представлен пятью алевролито-песчаными пачками (пласты DI-а, DI-б, DI-в, DI-г, DI-д), разделенными алевролито-глинистыми прослоями.
Отложения кыновского горизонта D3kn распространены по всему Ромашкинскому месторождению и
характеризуются выдержанной мощностью и однотипным литологическим строением. В
составе горизонта выделяется два подгоризонта: нижнекыновский и
верхнекыновский. Нижне-кыновский объединяет карбонатную пачку "верхний
известняк" и вышележащие аргиллиты. Верхнекыновский включает
песчано-алевролитовую пачку D0, "среднекыновский
известняк" и толщу аргиллитов с прослоями алевролитов, в кровле которой
отмечается прослой карбонатных пород ("верхнекыновский известняк").
Мощность кыновского горизонта D3kn 18-38 м и уменьшается в
северо-восточном направлении. Пачка "верхний известняк", мощностью до
2,5м, является прекрасным репером, сложена известково-доломитовыми породами и
имеет повсеместное развитие. Пласт D0 представлен песчано-алевролитовыми породами и наиболее развит в
северо-западной части месторождения (Альметьевская, Северо-Альметьевская,
Березовская, Ташлиярская площади). Мощность пласта равна 3 - 9 м.
Саргаевский горизонт D3sr залегает с размывом на нижележащих кыновских отложениях.
Слагается известняками зеленовато-серыми, глинистыми, битуминозными с прослоями
мергелей, содержание которых в разрезе увеличивается к юго-западу
месторождения. Мощность горизонта изменяется от 3 до 58 м.
Отложения семилукского горизонта D3sm представлены переслаива- нием темно-серых и черных,
битуминозных, глинистых, часто перекристаллизованных и окремнелых известняков и
мергелей с прослоями горючих сланцев. Мощность горизонта изменяется от 25 до 50
м.
Отложения верхнефранского подъяруса D3f3 широко развиты на территории
Ромашкинского месторождения и включают бурегский D3bg, воронежский D3vr, евлановский D3cv и ливенский D3lv горизонты.
Бурегский горизонт D3bg залегает
с размывом на породах семилукского горизонта D3sm, слагается известняками микро- и разно -зернистыми, серыми,
темно-серыми, иногда черными, глинистыми, битуминозными, участками
доломитизированными. Отмечаются прослои мергелей, черных, битуминозных и
органогенных известняков. Мощность горизонта изменяется от 21 до58 м.
Отложения воронежского горизонта D3vr залегают с размывом на поверхности бурегского горизонта D3bg. Представлены известняками темно-серыми
и серыми, часто микро- и равнозернистыми, неравномерно глинистыми, в различной
степени доломитизированными до перехода в отдельных прослоях в доломит
известковый. Встречаются редкие прослои мергелей. Мощность горизонта изменяется
от 44 до 87 м.
Евлановский D3cv и ливенский D3lv горизонты представлены известняками серыми, темно-серыми с
буроватым оттенком, доломитизированными, кальцинизированными, разнозернистыми,
стилолитизированными и трещиноватыми, иногда перекристаллизованными. Отмечаются
прослои мергелей и доломитов. Наибольшим распространением из встречен- ного
комплекса фауны пользуются фораминеферы, образующие прослои органогенных
известняков. Мощность горизонта неравномерна и колеблется от 10 до 159 м.
Фаменские D3fm образования имеют широкое развитие
на Ромашкинском месторождении и залегают с размывом на верхнефранских
отложениях. Фаменский ярус D3fm подразделяется на нижнефаменские D3fm1 и верхнефаменские D3fm3 подъярусы, а в составе нижнефаменского подъяруса
выделяются задонский D3z и елецкий D3el горизонты.
Отложения задонского D3z горизонта залегают с размывом на породах верхнефранского D3f3 подъяруса. Слагается задонский горизонт D3z вестняками микрозернистыми светло-серыми,
стилолитизированными, доломитизированными и доломитами разнозернистыми, серыми,
часто пористо-кавернозными и трещиноватыми. Мощность горизонта изменяется от 25
до 53 м.
Елецкий горизонт D3el
представлен известняками серыми, тонкослоистыми, часто перекристализованными,
стилолитизированными и доломитами светло-серыми с включениями гипса и
ангидрита. Мощность горизонта изменяется от 51 до 111 м.
Данково-лебедянский горизонты D3dld представлены переслаиванием известняков серых,
микрозернистых и реликтово-органогенных, часто перекристаллизованных и
доломитов буровато-серых, мелко- и разнозернистых, известковистых. Мощность
горизонтов изменяется от 48 до 109 м.
В составе каменноугольной системы на Ромашкинском
месторождении выделяются нижний C1, средний C2 и верхний C3
отделы. Мощность
каменноугольных отложений составляет 850 - 960 м.
В составе нижнего отдела C1 карбона выделяются отложения турнейского C1t, визейского C1v и серпуховскогоC1s ярусов. Мощность отдела равна 391 - 457 м.
Турнейский ярус C1t расчленяется на малевский C1ml, упинский C1up, черепетский C1crp и кизеловскийC1kzl горизонты. Отложения турнейского
яруса C1t представлены известняками серыми, светло-серыми, массивными,
тонко и разнозернистыми, неравномерно перекристализованными и
доломитизированными, органогенными, с примазками углисто-глинистого материала.
Мощность яруса 120 - 150 м.
Визейский ярусC1v включает малиновский C1mn ,яснополянский C1jp, окский C1ok и
серпуховский C1s надгоризонты. Отложения малиновского и яснополянского
надгоризонтов представлены терригенными породами.
Малиновский надгоризонт C1mn
сложен аргиллитами с прослоями алевролитов и мелкозернистых песчаников.
Аргиллиты темно-серые, углистые, микрозернистые. Алевролиты серые, биоморфные.
Песчаники серые, кварцевые, мелкозернистые с карбонатным или углисто-глинистым
цементами. Мощность колеблется в пределах 2 - 10 м.
Литологически бобриковский горизонт C1bb яснополянского надгоризонта C1jp
представлен песчаниками, алевролитами и аргиллитами. Песчаники темно-серые,
пористые и нефтенасыщенные. Алевролиты темно-серые до черного, углисто-глинистые,
иногда известковистые. Аргиллиты темно-серые, черные, углистые, алевролитовые.
Мощность горизонта изменяется от 3 до 15 м.
Тульский горизонт C1tl сложен
терригенными и карбонатными породами. Терригенные породы представлены
аргиллитами, алевролитами и прослоями песчаников. Аргиллиты темно-серые,
углистые, черные, алевритовые, известковистые. Алевролиты светло-серые,
известковистые с примесью углисто-глинистого материала. Известняки
органогенно-обломочные, окремнелые, темно-серые, слабо доломитизированные, с
углисто-глинистым веществом. Мощность горизонта равна 8 - 18 м.
Окский надгоризонт C1ok сложен карбонатными породами,
соответствующими алексинскомуC1al, михайловскому C1mh и веневскому C1vn горизонтам подмосковного бассейна.
Нижняя часть алексинского горизонта C1alслагается переслаиванием терригенных и карбонатных пачек,
верхняя, большая часть горизонта – карбонатными породами. Терригенные породы
представлены алевролитами темно-серыми, черными, углистыми, глинистыми,
аргиллитами темно-серыми, черными, углистыми и песчаниками
глинисто-алевролитистыми, темно-серыми, неяснослоистыми. Карбонатные породы
представлены известняками: серыми,темно-серыми, органогенно-обломочными,
микрозернистыми и доломитами коричневато-серыми, темно-серыми, мелко-
зернистыми, трещиноватыми, пористыми. Мощность горизонта 37 - 50 м.
Отложения михайловского C1mh и веневского C1vn горизонтов рассматриваются совместно
ввиду слабой их изученности для проведения границы между ними. Отложения
горизонтов представлены известняками коричневато-серыми,
органогенно-обломочными и доломитами серовато-коричневыми, со слабым
битуминозным запахом, микро и мелкозернистыми, пористыми, трещиноватыми. В
нижней части михайловского горизонта C1mh отмечены
прослойки малахитово-зеленых глин. Мощность михайловского C1mh и веневского C1vn горизонтов 70 - 95 м. Литологически
отложения серпуховского надгоризонта С1s представлены доломитами кристаллически-зернистыми,
желтовато-серыми, перекристаллизованными, кавернозными и трещиноватыми.
Мощность надгоризонта 80 - 100 м.
Протвинский горизонт C1pr намюрского яруса представлен известняками белыми и
светло-серыми, доломитизированными, перекристаллизованными, массивными,
кавернозными и доломитами желтовато-белыми, известковистыми, тонко-, мелко-,
среднезернистыми, пористыми и трещиноватыми. В кровле горизонта породы часто
закарстованы. Мощность горизонта колеблется в пределах 36 - 60 м. Отложения
среднего карбона повсеместно залегают со стратиграфическим несогласием на
отложениях намюрского яруса. Средний карбон представлен башкирским C2b и московским C2m ярусами.
На территории Ромашкинского месторождения в составе
башкирского яруса C2b выделяются прикамскийC2P и черемшанский C2st горизонты.
Прикамский горизонт C2Pслагается
известняками органогенно-обломочными, глинистыми, светло-серыми и
розовато-серыми, кавернозными и трещиноватыми, с прослоями аргиллитов. Мощность
горизонта 4 - 14 м.
Отложения черемшанского горизонта C2st ложатся, в некоторых случаях, несогласно на размытую
поверхность образований прикамского горизонтаC2P.Литологически горизонт представлен органогенно-обломочны- ми
известняками с галькой и песком (в нижней части) и мелкозернистыми,
светло-серыми, доломитизированными, пористо-кавернозными (в верхней части).
Мощность горизонта изменяется от 5 до 18 м.
В московском ярусе C2m выделяются
нижнемосковскийC1m1 и верхне московский C1m2 подъярусы, включающие верейский C2vr, каширский C 2 ksch, подольский C2pd и мячковский C2msh горизонты.
Верейский горизонт C2vr делится на
две пачки: нижнюю – карбонатную и верхнюю – терригенную. Известняки
светло-серые, серые, органогенные, участками трещиноватые. Песчаники и
алевролиты темно-серые, серовато-зеленые, красноватые, с растительным детритом.
Мощность горизонта 36 - 53 м.
Каширский горизонт C 2 kschслагается известняками и доломитами.
В подошве горизонта отмечаются прослои терригенных пород небольшой мощности.
Известняки серые, биоморфные и органогенно-обломочные, нередко
доломитизированные, перекристаллизо-ванные, массивные. Доломиты светло-серые,
тонко и разнозернистые, участками известковистые. Мощность горизонта 40 - 60 м.
Подольский горизонт C2pd слагается
известняками и доломитами. Известняки биоморфные, серые и светло-серые,
массивные. Мощность горизонта 83 - 100 м.
Отложения мячковского горизонта C2msh представлены известняками органогенно-обломочными,
биоморфными, светло-серыми и серыми, битуминозными и доломитами
тонкозернистыми, серыми и желтовато-серыми, окремнелыми, трещиноватыми.
Мощность горизонта 80-105м. Отдел верхнего карбона представлен гжельским и оренбургским
ярусами. Отложения гжельского яруса C3g представлены известняками биомор-
фными, мелкозернистыми, желтовато-серыми и светло-серыми, часто
перекристаллизованными и доломитами тонко зернистыми, прослоями
известковистыми, желтовато-серыми и светло-серыми, нередко кавернозными.
Мощность яруса 120 – 145м.
Оренбургский ярус C3o слагается известняками
преимущественно органогенно-обломочными, светло-серыми, почти белыми и
доломитами желтовато-серыми и буровато-серыми, часто реликтово-органогенными.
Мощность яруса 40 – 46 м.
В пределах Ромашкинского месторождения пермская система
представлена двумя отделами: нижним (ассельский P1a,
сакмарский P1s, артинский P1ar и кунгурский P1k
ярусы) и верхним (уфимский P2u, казанский P2kz,
татарский P2t ярусы).
Ассельский ярус P1a представлен трех или четырех кратным
переслаиванием глинистых известняков и доломитов. Мощность 50-65м. Сакмарский
ярус P1s подразделяется на тастубский и стерлитамакский горизонты.
Мощность яруса доходит до 130 м. Отложения сакмарского яруса P1s повсеместно представлены известняками и доломитами серыми и
темно-серыми, трещиноватыми и загипсованными.
Артинский ярус P1ar подразделяется на нижнеартинский и
верхне-артинский подъярусы, сложен глинисто-карбонатными,
сульфатно-карбонатными и карбонатно-сульфатными породами. Известняками белые и
серые, брекчеевидные и кавернозные. Глины красновато-коричневатые,
известковистые, тонкослоистые. Общая мощность артинского яруса доходит до 75м.
Отложения кунгурского яруса P1k
выделены лишь на севере Ромашкинского месторождения. Сложен он глинами
зелеными, доломитами серыми, плотными, кавернозными. Мощность кунгурского яруса
0 – 50м. Нижняя часть уфимского яруса верхнего отдела (соликамский горизонт)
представлена карбонатными породами с прослоями терригенных. Верхняя часть
(шешминский горизонт) сложена красноцветными, песчано-глинистыми породами с
прослоями карбонатных пород. Мощность яруса колеблется от 60 до 100м.
В образованиях казанского яруса P2kz
выделяются нижний и верхний подъярусы. Нижнеказанский подъярус сложен в нижней
части глинами светло-серыми, известковистыми, алевритистыми с редкими прослоями
песчаников, в средней - песчаниками зеленовато-серыми, мелкозернистыми,
глинистыми и в верхней части – органогенными известняками, мергелями и серыми
глинами. Мощность отложений 20 - 30 м.
Верхнеказанский подъярус P2kz2
представлен пачкой
пестроокрашенных комковатых глин и известковистых мелкозернистых песчаников. В
верхней части преобладают песчаники с прослоями глин, мергелей. Мощность
отложений 100 м.
Отложения татарского яруса P2t в
пределах Ромашкинского месторождения сохранились лишь на повышенных участках.
Представлены они переслаиванием красноцветных глин и песчаников с линзами
конгломератов и прослоями известняков и мергелей. Мощность отложений изменяется
от 0 до 60 м.
Четвертичные отложения распространены повсеместно и образуют
элювиально-делювиальные чехлы водоразделов и их склонов, представлены
буровато-коричневыми известковистыми суглинками. В долинах рек развиты
аллювиальные отложения, представленные серо-желтыми суглинками с прослоями
щебня, песка и гальки. Мощность четвертичных отложений 20 м.
1.2 Коллекторские свойства продуктивных пластов
В разрезе пласта DI выделяются (снизу вверх) пласты: д ,г2, г1, б3, б2, б1, в, а.
Вследствие замещения проницаемых пород непроницаемыми, пласты не всегда
представлены коллекторами. Поэтому только в отдельных скважинах выделяются все
проницаемые пласты. В большинстве же скважин происходит их замещение в
различных комбинациях.
Пласт "д" сложен из песчаников и
алевролитов. Средняя мощность пласта 4,7м, средняя пористость по песчаникам –
21%, по алевролитам – 15%; средняя проницаемость по песчаникам – 0,436мкм2,
средняя нефтенасыщенность по песчаникам – 0,870, по алевролитам – 0,704.
Пласт "г2" средняя пористость по
песчаникам – 21,3%, по алевролитам – 14,9%; средняя проницаемость по
алевролитам – 0,721мкм2, по песчаникам – 0,327мкм2;
средняя нефтенасыщенность по песчаникам – 0,865, по алевролитам – 0,721.
Средняя мощность пласта "г1" 3,7
м, средняя пористость песчаников 20,4%, для алевролитов – 15,5 %; средняя
проницаемость для песчаников – 0,362 мкм2, для алевролитов - 0,145
мкм2; средняя нефтенасыщенность для песчаников - 0,853, для
алевролитов – 0,719.
Пласт "в" сложен из песчаников и
алевролитов. Средняя мощность пласта 3,3 м, средняя пористость по песчаникам –
21 %, по алевролитам – 14,7%; средняя проницаемость по песчаникам 0,467 мкм2,
по алевролитам – 0,131мкм2; средняя нефтенасыщенность по песчаникам
– 0,875, по алевролитам – 0,698. Пласт "б3"
сложен из песчаников и алевролитов. Средняя мощность пласта 2,89 м, средняя
пористость по песчаникам 21,6%, по алевролитам – 15,3 %; средняя проницаемость
по песчаникам 0,505 мкм 2, по алевролитам – 0,147 мкм 2. Средняя нефтенасыщенность по песчаникам – 0,877, по алевролитам
– 0,683.
Средняя мощность пласта "б2" – 2,4 м,
средняя пористость по песчаникам – 20,6 %, по алевролитам 15,7 %, проницаемость
по песчаникам – 0,428 мкм2, по алевролитам - 0,250 мкм 2;
нефтенасыщенность по песчаникам – 0,874, по алевролитам – 0,699. Средняя
мощность пласта "б1" – 2 м. Средняя пористость по песчаникам – 19,8
%; по алевролитам – 15,5 %; средняя проницаемость по песчаникам – 0,374 мкм2,
по алевролитам – 0,173 мкм2, средняя нефтенасыщенность по песчаникам
– 0,874, по алевролитам – 0,699.
Пласт "а" представлен
алевролитами, которые в виде различных по размеру линз неравномерно
распространяется по площади. В целом пласты маломощны от 1,2 до 4,0 м, средняя
мощность пласта 2,28 м. Средняя пористость по песчаникам составляет 20,1%, по алевролитам-
14,6%. Средняя проницаемость по песчаникам 0,870 доли единиц, по алевролитам –
0,721. Пласты "б1", "б2" также развиты в виде отдельных линз, сложенных песчаниками и
алевролитами. По геофизическим данным по горизонту DV среднее значение пористости 18,3 %, интервал
изменения 22 % - 30 %; среднее значение проницаемости – 0,344 мкм 2,
интервал изменения параметра от 0,012 - 2,656 мкм2. Характеристика
параметров пласта приведена в табл.1.2.2, толщина пласта – в табл. 1.2.1 .
Основным эксплуатационным объектом являются отложения
бобриковского горизонта нижнего карбона, представленные терригенными
коллекторами. Средняя глубина залегания 1000-1200м. В сложении терригенной
толщи принимают участие песчаники, алевролиты, аргиллиты, углисто-глинистые известняки.
В разрезе горизонта C
выделяются
(снизу вверх) пласты: вв
, вв
, вв
, вв
. Покрышкой для залежи служит
глинисто-карбонатная толща тульского горизонта мощностью от 8 до 12 м. В связи
с региональным, ступенчатым погружением пластов на север, северо-восток и
восток от Куакбашской площади, а также в связи с неоднородностью
пластов-коллекторов, наблюдаются "скачки" в положении ВНК от поднятия
к поднятию, составляющих залежь.
Поверхность ВНК по залежи ступенчато
погружается в северном и северо-восточном направлениях в абсолютных отметках от
810 м до 846м на север.
Таблица 1.2.1
Толщина
пласта
|
Пласт
|
Толщина пласта
|
Показатели
|
|
Средневзвешенная
толщина , м
|
Коэффициент вариации, %
|
Интервал изменения
|
|
DI
|
Общая
|
|
нефтяная
|
4,19
|
53,94
|
2,00 – 8,40
|
|
водонефтяная
|
7,32
|
38,32
|
5,00 – 11,6
|
Эффективная
|
|
нефтяная
|
3,94
|
41,03
|
2,00 – 6,8
|
|
водонефтяная
|
7,52
|
30,36
|
5,00 – 11,6
|
Таблица
1.2.2 Характеристика параметров пластов
|
ПластDI
|
Тип коллектора
|
Параметры
|
|
Проницаемость средневзвешенная по всему пласту,
мкм2
|
Пористость, %
|
Нефтенасы-щенность, доли единиц
|
|
д
|
песчаник
|
0,436
|
21,0
|
0,870
|
|
алевролит
|
-
|
15,0
|
0,704
|
|
г2
|
песчаник
|
0,357
|
21,3
|
0,865
|
|
алевролит
|
0,150
|
14,9
|
0,721
|
|
г1
|
песчаник
|
0,368
|
20,7
|
0,853
|
|
алевролит
|
0,144
|
15,0
|
0,719
|
|
в
|
песчаник
|
0,457
|
21,0
|
0,875
|
|
алевролит
|
0,131
|
14,7
|
0,698
|
|
б3
|
песчаник
|
0,505
|
21,6
|
0,877
|
|
алевролит
|
0,147
|
15,3
|
0,683
|
|
б2
|
песчаник
|
0,428
|
20,6
|
0,874
|
|
алевролит
|
0,250
|
15,7
|
0,699
|
|
б1
|
песчаник
|
0,374
|
20,6
|
0,874
|
|
алевролит
|
0,173
|
15,3
|
0,899
|
|
а
|
песчаник
|
0,449
|
20,1
|
0,870
|
|
алевролит
|
0,135
|
14,6
|
0,721
|
Верхний пласт вв
имеет
линзовидный характер распространения. Лишь на II,
IV, VII
блоках они имеют площадную или полосообразную форму залегания. Толщина пласта
небольшая: 0, 8-2,8 м (в среднем – 1,5 м). Пористость пласта от 13.5 % до 22.2
%, проницаемость от 0,028 до 1,347 мкм
.
Пласт содержит 11,3 % начальных извлекаемых запасов горизонта C
. Пропласток вв
имеет более сложное строение. В его
составе в полных разрезах выделяется до 3 прослоев. Толщина пропластка
изменяется от 1,0 до 9,8м, составляя в среднем 3,1 м. Пористость пласта
изменяется от 19,5 до 22,9%, проницаемость от 0,421 до 2,088 мкм
. Пласт вв
содержит
60,1% извлекаемых запасов горизонта C
. В 14 % скважин
происходит слияние пласта вв
с вышележащими вв
. Толщина глинистой перемычки между ними
колеблется от 0,6 до 6,8 м. Пропласток вв
имеет
широкое развитие. Песчаные тела встречаются линзовидной, полосообразной и
площадной формы залегания. Толщина пропластков изменяется от 0,8 до 17,6 м,
составляя в среднем 3,4 м. В 46 % скважин пропласток сливается с вышележащим вв
. Пористость пласта изменяется от 19,2
до 27,6 %; проницаемость от 0,281 до 4,255мкм
.
Пласт вв
содержит 28,6 % извлекаемых запасов
пласта С
.Нижний пропласток вв
залегает на аргиллитах елховского
возраста, толщина которых изменяется от 1,8 до 4,0 м. Пропласток имеет довольно
ограниченное распространение, нефтеносен всего в 5 скважинах.
1.3 Физико-химические свойства пластовых флюидов
К пашийским отложениям (пласта DI) приурочена основная промышленная залежь нефти Ромашкинского
месторождения. Нефть относится к типу смолистых, сернистых и парафинистых. В
табл.1.3.1 и табл.1.3.2 представлены основные физико-химические свойства нефти.
Таблица 1.3.1 Физико-химические свойства и фракционный состав
раз газированной нефти. Горизонт – Пашийский
|
№
|
Наименование
|
Кол-во
исслед.
скважин
|
Диапазон изменения
|
Среднее значение
|
|
1
|
Вязкость, 10-3Па-с
|
|
|
|
|
|
при 20º
|
21
|
10,5-26,1
|
14,6
|
|
|
при 50º
|
21
|
4,5-7,1
|
5,5
|
|
4
|
Температура застывания, ºС
|
-
|
-
|
-
|
|
5
|
Температура насыщения парафином, ºС
|
-
|
-
|
-
|
|
Содержание, % весовые
|
6
|
Сера
|
21
|
0,7-1,3
|
1,3
|
|
7
|
Смол селикагелевых
|
21
|
26,0-28,0
|
27,0
|
|
8
|
Асфальтенов
|
-
|
-
|
-
|
|
9
|
Парафинов
|
21
|
1,0-5,6
|
2,8
|
|
Выход светлых фракций % объёмные
|
10
|
Н.К. – 100º
|
21
|
4,0-14,0
|
7,3
|
|
до 150º
|
-
|
-
|
-
|
|
до 200º
|
21
|
12,0-33,0
|
26,2
|
|
до 300º
|
21
|
36,0-96,0
|
48,2
|
|
Таблица 1.3.2 Свойства
нефти
|
|
Наименование
|
Пашийский горизонт
|
|
Количество исследованных
|
Диапазон
изменения
|
Среднее
значение
|
|
скважин
|
проб
|
|
|
|
Давление насыщения газом, МПа
|
45
|
135
|
|
7,95
|
|
Газосодержание, при однократном разгазировании, м3/т
|
45
|
135
|
|
59,28
|
|
Объемный коэффициент при однократном разгазировании, доли
единиц
|
45
|
135
|
|
1,1576
|
|
Газосодержание при диффренциальном разгазировании в рабочих
условиях, м3/т
|
не опр.
|
не опр.
|
|
не опр.
|
|
Суммарное газосодержание, м3/т
|
не опр.
|
не опр.
|
|
не опр.
|
|
Плотность, кг/м3
|
45
|
135
|
|
805,1
|
|
Вязкость, мПа*с
|
45
|
135
|
|
3,7302
|
|
Объемный коэффициент при дифференциальном разгазировании в
рабочих условиях, доли ед.
|
45
|
135
|
|
1,1461
|
Компонентный состав нефтяного газа, разгазированной и
пластовой нефти представлен в табл. 1.3.3.
Таблица 1.3.3 Компонентный состав нефтяного газа,
разгазированной и пластовой нефти (% мольные).
|
Наименование
|
Газ, выделившийся из нефти
при однократном разгазировании в стандартных условиях
|
Смесь газа многоступенчатого
разгазировании при условиях сепарации Р=0,5МПа Т=9ºС
|
Нефть, разгазированная
однократно в стандартных условиях
|
Нефть после
многоступенчатого разгазирования при условиях сепарации
Р=0,1МПа
Т=9ºС
|
Пластовая нефть
|
|
1.Сероводород
|
0,00
|
|
0,00
|
|
0,00
|
|
2.Углекислый газ
|
0,65
|
|
-
|
|
0,11
|
|
3.Азот+редкие
|
9,14
|
|
-
|
|
0,56
|
|
4.Метан
|
32,43
|
|
0,00
|
|
1,3
|
|
5.Этан
|
22,58
|
|
0,13
|
|
1,56
|
|
6.Пропан
|
22,27
|
|
0,56
|
|
2,65
|
|
7.Изобутан
|
2,65
|
|
0,22
|
|
0,53
|
|
8.Н-бутан
|
6,68
|
|
0,84
|
|
1,78
|
|
9.Изопентан
|
1,52
|
|
0,89
|
|
10.Н-пентан
|
1,28
|
|
1,12
|
|
1,16
|
|
11.Остаток (С6+высшие)
|
0,80
|
|
96,24
|
|
89,34
|
|
12.Остаток (С7+высшее)
|
|
|
|
|
|
|
13.Молекуляр-ная масса, М
|
|
|
|
|
|
|
14.Всего
|
32,76
|
|
0,00
|
|
0,00
|
|
15.Остаток
|
|
|
|
|
|
|
16.Плотность при стандартных
условиях,
|
|
|
|
|
|
|
нефти, г/см3
|
|
|
0,8578
|
|
0,8084
|
|
газа, г/л
|
1,3621
|
|
|
|
|
Физико-химические
свойства пластовых вод представлены в табл. 1.3.4.
Таблица 1.3.4 Физико-химические свойства пластовых вод
Д1
|
№
|
Наименование
|
К-во исслед. скважин
|
Диапазон изменения
|
Среднее значение
|
|
1
|
Газосодержание, м3/т
|
3
|
0,248-0,368
|
0,317
|
|
2
|
Сероводород, м3/т
|
3
|
-
|
-
|
|
3
|
Объёмный коэффициент
|
12
|
-
|
4,4.10-5
|
|
4
|
Вязкость, мПа.с
|
-//-
|
1,80-1,98
|
1,93
|
|
5
|
Общая минерализация, г/л
|
-//-
|
252,2538/280,3818
|
270,3555
|
|
6
|
Плотность (уд.вес), г/см3
|
-//-
|
1,1733-1,1910
|
1,1861
|
|
7
|
С
|
-//-
|
157519,8-174420,0
4442,55-4919,17
|
168743,3
4759,07
|
|
8
|
мг/л О42-
мг/экв.л
|
-//-
|
4,8-42,7
0,10-0,89
|
18,3
0,38
|
|
9
|
мг/л НСО3-
мг/экв.л
|
-//-
|
0-36,8
0-0,60
|
11,6
0,19
|
|
10
|
Содержание ионов: Са2+
|
-//-
|
24081,4-28688,8
1201,66-1431,57
|
26181,0
1306,43
|
|
11
|
Mg2+
|
-//-
|
3817,9-7656,3
314,0-630,42
|
4515,6
371,35
|
|
12
|
К++Na+
|
-//-
|
59007,2-76378,1
2565,53-3320,79
|
70881,7
3081,81
|
Удельный вес в среднем равен 0,865; содержание серы – 1,47 %;
смол – 27 – 37%; парафина – 5,3 %. Средняя вязкость нефти по месторождению
составляет 30 мПа×с. В каменноугольных отложениях промышленно-нефтеносными являются
турнейские, визейские, и верей-башкирские отложения. Нефтеносность отложений
турнейского яруса C1t отмечается по керну, газокаротажу и
по результатам опробования скважины. В визейском ярусе нефтепроявления
встречены в отложениях бобриковского C1bb,
тульского C1tl и алексинского C1alгоризонтов. Промышленные залежи нефти
в основном приурочены к терригенным отложениям бобриковского (угленосного)
горизонта. В угленосном горизонте Ромашкинского месторождения по комплексу
геолого-геофизических данных выделено до 60 залежей. Промышленная нефтеносность
верейского горизонта C2vr доказана опробованием скважин на
соседнем Ново-Елховском месторождении. В скважинах Ромашкинского месторождения
отобран нефтенасыщенный керн из верей-башкирских отложений. Нефтенасыщение
пород неравномерное, в виде пятен. Нефть очень густая. В пермских отложениях
нефтепроявления на Ромашкинском месторождении относятся к отложениям артинского
P1ar и уфимского P1u ярусов. В отложениях артинского
яруса встречены скопления густой окисленной нефти в трещиноватых
доломитизированных известняках. Темно-коричневые песчаники, насыщенные битумом
до 3 - 7 %, Уфимского яруса P1u в ряде пунктов выходят на
поверхность. Нефть обоих ярусов густая, тяжелая, нетекучая. Подводя итог
рассмотрению нефтепроявлений по разрезу можно констатировать, что на
Ромашкинском месторождении, кроме горизонта DI, несомненный промышленный интерес представляют турнейские,
бобриковские, тульские и верей-башкирские отложения. В стратиграфическом
разрезе Ромашкинского месторождения выделяется 8 гидрогеологических комплексов:
- I - элювий
кристаллического фундамента и терригенная часть девона;
- II - карбонатная толща верхнего девона и турнейского яруса
нижнего карбона;
- III - терригенная часть яснополянских
отложений нижнего карбона;
- IV - карбонатная
толща верхневизейского подъяруса, намюрского яруса нижнего карбона и
башкирского яруса среднего карбона;
- V - верейский
горизонт среднего карбона;
- VI - карбонатная
толща среднего и верхнего карбона;
- VII -
нижнепермские отложения (условно);
- VIII -
верхнепермские и четвертичные отложения.
В пределах каждого комплекса характеристика водоносных
горизонтов и состав вод близки, благодаря наличию гидродинамической связи.
Наблюдаемые закономерности изменения гидрогеологических условий по разрезу
палеозоя обусловлены, главным образом, наличием в нем относительных водоупоров,
затрудняющих активную гидродинамическую связь между отдельными комплексами.
Такими водоупорами являются плотные глинистые, глинисто-карбонатные и, реже,
карбонатные породы в кыновском горизонте и среднефранском подъярусе девона, в
верхней части яснополянского и нижней части окского надгоризонтов нижнего
карбона, в верейском горизонте среднего карбона и в уфимском ярусе верхней
перми. Снизу вверх по разрезу палеозоя наблюдается уменьшение величины общей
минерализации подземных вод и, соответственно, абсолютного содержания в них
хлора (от 420 до 0,3 мг-экв/100 гр), магния (от 40 до 0,5 мг-экв/100 гр), брома
(1060 - 0 мг/л), абсолютного и относительного содержания кальция (от 120 до 1,0
– 0,5 мг-экв/100 гр). В то же время наблюдается увеличение абсолютного и
относительного содержания сульфатов (от 0,2 до 15мг-экв/100гр), относительного
содержания натрия (0,6 - 30), хлоробромного коэффициента (от 152 до 475 и
более), коэффициента сульфатности (от 0 до 100-7300). По преобладающим в
минеральном составе компонентам смена вод происходит от хлоридно-натриевых в
девонских, нижне- и среднекаменноугольных отложениях до сульфатно-натриевых в
нижнепермских и до сульфатно-кальциевых, гидрокарбонатно-натриевых и
гидрокарбонатно-кальциевых в верхнепермских отложениях. В составе
водорастворенного газа вверх по разрезу уменьшается содержание углеводородов
(от 70 - 80 % до 10 - 15 % и менее) и увеличивается содержание азота (от 15 -
50 % до 80 - 90 % и более).
Содержание углеводородов
и газовый фактор выше в водах пашийского и бобриковского горизонтов. Снизу
вверх от терригенной толщи девона к верхнепермским и четвертичным отложениям
происходит качественный и количественный рост бактериального населения вод и
переход от анаэробных форм к аэробным. Наблюдается по разрезу уменьшение
температуры подземных вод от 43 - 44
С (пашийский горизонт)
до 26
С (окский надгоризонт). Причем
происходит неравномерное, скачкообразное изменение геотермической ступени и
градиента, что объясняется в основном различными теплопроводящими свойствами
горных пород и наличием водоупоров. Наиболее водообильными являются песчаники
живетскогоD2gv и франского D3f ярусов девона и бобриковского
горизонта C1bb нижнего карбона. В терригенной части
девона водоносные горизонты приурочены к песчано-алевролитовым пластам: DI. По минеральному составу воды
характеризуются высокой минерализацией (удельный вес 1,176 – 1,93; общая
минерализация – до 840 мг-экв/100гр; плотный остаток до 295 г/л), являются
хлоридно-натриевыми рассолами со значительным содержанием кальция (до 120 мг-экв/100гр),
из микрокомпонентов – брома (до 1060 мг/л) и с ничтожным содержанием сульфатов
и гидрокарбонатов; реакция среды кислая. Динамическая (абсолютная) вязкость
подземных вод в пластовых условиях составляет 16 -12,6 мПа×с. В составе водорастворенного газа
преобладают углеводороды (до 70- 80 объемных), при этом превалирует метан. Газовый
фактор достигает 395см
/л, удельный вес газа равен
0,72 – 0,83. Содержание азота составляет 15 - 20 %. В небольших количествах
содержатся также углекислый газ, водород, гелий, аргон и другие. Воды
недонасыщены растворенным газом, т.к. давление насыщения (4,2 - 8,4 МПа) меньше
пластового давления. Естественное движение вод терригенной части девона со
средней скоростью 1,0 - 1,3см/год, по данным происходит с севера на юг и с
запада на восток (общее направление с северо-запада на юго-восток). Это
направление движения подтверждается изменением по территории Татарии
минерального и газового состава вод, наклоном водонефтяного контакта залежей
нефти Ромашкинского, Бавлинского и Туймазинского месторождений, а также данными
по соседним районам. Промышленная разработка месторождения с применением
внутриконтурного и законтурного заводнения привела к существенному изменению
его естественного гидрогеологического режима. В процессе разработки, в связи со
смешиванием и взаимодействием между собой, а также с нефтью и растворенными в
ней газами, происходит изменение минерального, микрокомпонентного, газового
состава, физико-химических свойств пластовых и закачиваемых вод. Вместе с
закачиваемой водой в горизонт попадают ряд групп бактерий (сульфатовосстанавливающих,
псевдомоны, сапрофиты и другие), среди которых особое значение приобретает
деятельность бактерий, восстанавливающих сульфаты закачиваемой воды до
сероводорода. В связи с закачкой в пласт больших объемов холодной воды
геометрические условия его также несколько изменяются в сторону некоторого
снижения пластовой температуры. По результатам исследований значение параметров
нефти в пластовых условиях по залежи 1:давление насыщения 4,2 МПа, газовый
фактор18,6м
/т вязкость пластовой нефти 27,3 мПа×с, а среднее значение дегазирован ной
нефти при 20
С равно 16,3 мПа×с, плотность пластовой нефти 873кг/м
. Пластовая вода представлена
хлорокальциевыми рассолами, общая минерализация которых колеблется от 242,9 до
284,3 г/л. Плотность пластовых вод изменяется 1170 - 1190 кг/м3,
вязкость от 1,96 до 1,97 мПа×с, объемный коэффициент равен 1.
2.
АНАЛИЗ ТЕКУЩЕГО СОСТОЯНИЯ
РАЗРАБОТКИ
2.1
Анализ фонда скважин, текущих
дебитов и обводненности
В 1968 году "ТатНИПИнефть" был составлен
проект разработки для разбуренной части Лениногорской площади с выделением
Западно-Лениногорской площади в самостоятельный объект разработки.
Последний проектный документ – "Анализ разработки
Западно-Лениногорской площади Ромашкинского месторождения" (с уточнением
проектных показателей), составленный "ТатНИПИнефть", был утвержден
27.12.2006г.
По состоянию на 1.01.2009 г пробурено 923 скважины, из них 659-
эксплуатационных, 220-нагнетательных, 12-специальных и 32-дублера.
В табл. 2.1 представлена характеристика пробуренного фонда скважин.
Добыча нефти
В отчетном году из горизонта Д1 отобрано 263735т нефти. С начала
разработки добыто 68760099т, что составляет 90,1% НИЗ и 45,6% НБЗ нефти по Западно
-Лениногорской площади. Текущий коэффициент нефтеотдачи-0,456.
Средний дебит действующей скважины составил на конец года 2,7т/сут
по нефти и 19,17т/сут по жидкости.
В результате применения циклического и нестационарного заводнения
за отчетный год дополнительно добыто 3,3 тыс. т нефти. Продолжались работы,
направленные на повышение нефтеотдачи пластов.
Таблица 2.1.1 Характеристика пробуренного фонда скважин
|
Р
а с ш и ф р о в к а ф о н д а
|
на
1.01.2008г.
|
на
1.01.2009г.
|
|
1. Дающие нефть, всего/ в
т.ч. нагнетательные
а) фонтан/ в т.ч. нагнетат.
б) ЭЦН/в т.ч. нагнетат.
в) СКН/в т.ч. нагнетат.
|
310/57
|
307/56
|
|
-/ -
|
-/ -
|
|
21/2
|
22/2
|
|
289/55
|
285/54
|
|
2. Бездействующий фонд/в
т.ч. нагнетатательные.
|
49/5
|
51/4
|
|
3. Осваиваемые и ожид.
освоения/ в т.ч. нагнетат.
|
-
|
-
|
|
4. Эксплуатационный фонд/ в
т.ч. нагнетат.
|
359/62
|
358/60
|
|
5. Дающие техническую воду.
|
3
|
3
|
|
6. Нагнетатательный фонд.
а) под закачкой/ в т.ч.
остан. по технич. прич.
б) в бездействии после закачки.
в) в ожидании освоения после
бурения.
г) в ожид. освоен. после экспл.
на нефть.
|
213
|
221
|
|
189/54
|
196/76
|
|
23
|
23
|
|
-
|
-
|
|
1
|
2
|
|
7. Контрольные
|
5
|
4
|
|
8. Пьезометрические
|
52
|
47
|
|
9. В консервации
|
18
|
16
|
|
10.В ожидании ликвидации
|
-
|
1
|
|
11.Ликвидированные/ в т.ч.
а) по геологическим причинам
б) по техническим причинам
|
221
|
221
|
|
164
|
164
|
|
57
|
57
|
|
12.Переведено на другие горизонты
|
52
|
52
|
|
13.Всего пробурено
|
923
|
923
|
Для изоляции водопритоков широко применялись в отчетном году такие
методы, как закачка биополимеров ("ксантан") в нагнетательные и
добывающие скважины, КПС, СНПХ-9350, ВУС, ГЭР и ГЭС –М (изменение направления
фильтрационных потоков) в нагнетательные скважины. Производили закачку МПС в
добывающую скважину, низкомодульное жидкое стекло в нагнетательные скважины. В
целях повышения коэффициента охвата пласта заводнением, выравнивания профиля
приемистости, перераспределения фильтрационных потоков произведена закачка
смеси горячего битума и цемента с помощью теплосохраняющих труб "термокейс"
в нагнетательную скважину 6009а. Для увеличения притока жидкости использовались
методы депрессионной перфорации совместно с ТИМ, производили ГРП, ОПЗ (ГИВ,
ИХВ, СНПХ-9030,разглинизация, глинокислота, растворители). Общая эффективность
от применения методов ПНП составила за отчетный год 58780т нефти, от мероприятий
данного года – 4700т.
Основные рекомендации авторского надзора выполнены.
Закачка воды
За отчетный 2008 год в разрабатываемые пласты пашийского
горизонта Западно-Лениногорской площади закачано 1622,66тыс/м3, что является
и общей производительной закачкой по площади.
В течение отчетного года под нагнетание воды в
разрабатываемые пласты освоена одна скважина- 6147а. Две скважины не
освоились:12415а-отсутствие приемистости;6034а-аварийная.
Нагнетательный фонд составил на конец года 196
скважин. Циклическое воздействие на пласт осуществлялось в 163 скважинах.
Компенсация отборов жидкости в пластовых условиях к
закачке за год составила 104,8 %.
Обводненность продукции
Добыча воды
Отбор воды из горизонта ДI Западно-Лениногорской площади составил в отчетном году
1295,5 тыс. т.
Среднегодовая обводненность продукции равна 83,1 %,
что на 1,7% выше прошлогоднего показателя.
Таблица 2.1.2 Состояние пластового давления
|
Блоки
|
П л а с т о в о е д а в л е н и е
|
+- по
площади
|
+- в зоне
отбора
|
|
по площади
|
в зоне отбора
|
|
на 1.1.08 г.
|
на 1.1.09 г.
|
на 1.1.08 г
|
на 1.1.09 г.
|
|
1
2
3
По площ.
|
167,7
170,2
172,2
170,2
|
168,4
170,1
173,0
170,7
|
163,8
164,4
165,4
164,6
|
164,4
163,8
166,0
164,8
|
+0,7
-0,1
+0,8
+0,5
|
+0,6
-0,6
+0,6
+0,2
|
2.2
Анализ выработки пластов
Пласт "а" содержит 13,3 % нефти от НИЗ по площади. С начала разработки
по пласту отобрано 75,1 % от НИЗ нефти по пласту.
Дострел пласта произведен в добыващих скважинах:
6372а,39497,39498.
В активную разработку по данному пласту за отчетный год вовлечено
37 тыс. т извлекаемых запасов нефти.
Пласт "б1" содержит 9,6 % от НИЗ нефти по площади, накопленный отбор нефти
составляет 77,0 % от НИЗ нефти по пласту.
Дострел пласта произвели на добывающей скважине
39528,нагнетательной скважине 39527а.
Отключение пласта произвели на добывающих скважинах 6146 и
12469 в связи с зарезкой боковых стволов.
В активную разработку извлекаемые запасы нефти по пласту в
отчетном году не вовлечены.
Пласт "б2" содержит 13,0 % от НИЗ нефти по площади. С начала разработки
отобрано 88,8 % от извлекаемых запасов по пласту.
Отключение пласта произвели на добывающей скважине 6146 в
связи с зарезкой бокового ствола.
В активную разработку извлекаемые запасы нефти по пласту в
отчетном году не вовлечены.
Пласт "б3" содержит 25,6 % от НИЗ нефти по площади. С начала разработки
отобрано 93,4 % от извлекаемых запасов по пласту.
Дострел пласта произведен в добывающих скважинах:12510в,
1051в.
Отключение пласта в добывающих и нагнетательных скважинах не
производили.
В активную разработку за год вовлечено 15 тыс. т нефти.
Пласт "в" содержит 19,5 % НИЗ нефти по площади. Накопленный отбор
нефти составил 96,7 % от запасов по пласту.
Дострел пласта произведен в добывающих скважинах 6146
(зарезка бокового ствола) и12473а.
Отключение пласта произвели в нагнетательной скважине 6559.
Пласт "г1" содержит 14,9 % НИЗ нефти по площади. С начала разработки
отобрано 96,0 % от извлекаемых запасов нефти по пласту.
Дострел пласта произведен в добывающей скважине 6146 (зарезка
бокового ствола).
Отключение пласта произвели в нагнетательной скважине 6559.
Пласт "г2+3" содержит 4,0 % от НИЗ нефти по площади. Накопленный отбор составляет
99,9 % от запасов по пласту.
Дострелов и отключений пласта в отчетном году не было.
Динамика основных показателей разработки приведены в
табл. 2.2.1 и на рис. 2.2.1.
3.
АНАЛИЗ ЭФФЕКТИВНОСТИ ПРИМЕНЕНИЯ
МИКРОБИОЛОГИЧЕСКИХ МЕТОДОВ УВЕЛИЧЕНИЯ НЕФТЕОТДАЧИ ПЛАСТОВ В УСЛОВИЯХ
РАССМАТРИВАЕМОГО ОБЪЕКТА РАЗРАБОТКИ
Краткая аннотация технологий увеличения
нефтеизвлечения.
Микробиологическое воздействие.
Технология МБВ-М относится к микробиологическим
методам увеличения нефтеотдачи пластов и предназначена для повышения
нефтеотдачи обводненных пластов за счет внутрипластового синтеза
нефтевытесняющих агентов.
Технологический процесс реализуется закачкой микробиологического
раствора, содержащего углеводородокисляющие бактерии (УОБ), источники
кислорода, азота и фосфора таким образом, чтобы окончание закачки совпало с
окончанием цикла закачки воды, проводимого в соответствии с программой
заводнения.
В пластовых условиях УОБ способны синтезировать
органические растворители, такие как спирты и альдегиды, жирные кислоты
поверхностно-активного действия и газы, увеличивающие подвижность нефти.
Технология может применяться на участках заводняемых как пресной, так и
минерализованной водой, использует доступные реагенты отечественного
производства, не требует сложного оборудования для реализации. За счет
применения естественных непатогенных микроорганизмов и полностью утилизируемых
в природе реагентов технология безопасна для окружающей среды и человека.
Микробиологическое воздействие является третичным
методом повышения нефтеотдачи пластов (ПНП), проводимое для создания оторочки с
целью увеличения коэффициента охвата и коэффициента вытеснения.
Применение водных дисперсий
маслорастворимых НПАВ
Разработку заводненных пластов более эффективно вести
с применением маслорастворимых ПАВ.
При закачке водной дисперсии маслорастворимых ПАВ в
пласте на фронте вытеснения формируется микроэмульсионная оторочка с низким содержанием
нефти, хорошей нефтевытесняющей способностью и вязкостью, близкой к вязкости
нефти, что увеличивает коэффициент вытеснения и охват пласта заводнением.
Реализация технологии применения водной дисперсии АФ9-6
осуществляется путем нагнетания в пласт оторочки дисперсии НПАВ и последующего
продвижения ее технической или сточной водой, подаваемой через систему ППД.
Размер создаваемой в пласте оторочки выбирается по
результатам промысловых исследований и в зависимости от конкретных геолого-физических
условий уточняется и составляет величину не более 1 % порового объема.
Концентрация АФ9-6 в оторочке составляет
5-10 % мас. В технологическом процессе используются материалы и оборудование,
выпускаемое отечественной промышленностью.
Применение водорастворимых поверхностно-активных веществ
Сущность метода применения водорастворимых
поверхностно-активных веществ (ПАВ) основана на повышении нефтевытесняющих
свойств воды и активизации капиллярных и диффузионных процессов вытеснения за
счет снижения межфазного натяжения нефти на контакте с закачиваемой водой и
уменьшения краевых углов смачивания.
Применение ПАВ способствует отмыву пленочной нефти, гидрофилизации
породы, снижению набухаемости глинистых минералов, ускорению капиллярной
пропитки, увеличению фазовой проницаемости для нефти.
Закачка водорастворимых ПАВ осуществляется либо путем
долговременной дозированной закачки с КНС больших объемов растворов ПАВ низкой
(0,05 %) концентрации, либо путем разовой закачки малых объемов растворов высокой
(5-10 %) концентрации ПАВ в отдельные нагнетательные скважины. В качестве
водорастворимых ПАВ используются ПАВ типа ОП-10, АФ9-12.
Преимуществами разовой технологии являются высокая
эффективность и ускорение работ с учетом постепенного размыва концентрированной
оторочки, разрушаемой в пласте закачиваемой водой. Используются 5-10% растворы
ПАВ с оторочкой 0,005 - 0,010 порового объема пласта. Увеличение коэффициента
нефтеизвлечения при первичном заводнении составляет 4,5%.
Применение
капсулированных полимерных систем
Технология предназначена для обеспечения регулирования
процесса разработки в неоднородных и многопластовых коллекторах, увеличения
нефтеотдачи и сокращения сроков разработки объектов воздействия с выходом на
запланированный коэффициент нефтеотдачи.
Разработанная технология предлагает использование полимерной
композиции, представляющей собой полимерный раствор с добавлением солей алюминия.
Введение солей алюминия в полимерный раствор при оптимальном соотношении
позволяет получить на основе гетерофазной сшивки макромолекул капсулированные
полимерные системы. Размер полимерных капсул составляет 0.1-10мкм.
Механизм действия модифицированного полимерного заводнения
заключется в том, что капсулы сшитого полиакриламида временно закупоривают по
глубине пласта высокопроницаемые участки, тем самым изменяют направление
движения воды в слабо дренируемые зоны пласта. В результате достигается повышение
охвата заводнением.
Для реализации технологии требуется специальная установка для
приготовления и закачки полимерной композиции в водоводы высокого давления нагнетательных
скважин. В случае отсутсвия установки испытание технологии предполагается
осуществить путем использования существующих на промыслах технологических
средств.
Применение композиций ДКМ
Технология
предназначена для вовлечения в разработку недренируемых запасов нефти за счёт
увеличения охвата пластов заводнением, которое достигается путём
предварительного блокирования высокопроницаемых обводнившихся зон пластов
вязкоупругими сшитыми системами и последующего перераспределения фронта
заводнения на неохваченные ранее воздействием продуктивные пропластки. Создание
блокирующей оторочки в пласт осуществляется закачкой в нагнетательные скважины
сшитых полимерных систем на основе эфиров целлюлозы, полимерных реагентов,
наполнителей и воды.
Технологию
рекомендуется применять при разработке нефтяных месторождений, представленных
неоднородными по проницаемости коллекторами. Для сравнения микробиологического воздействия с другими третичными
методами ПНП рассмотрим таблицу 3.1.
Таблица
3.1 Сравнение эффективности некоторых МУН на объектах Западно-Лениногорской
площади на 1 января 2006 г (отчетность ТатАСУнефть)
|
2000 г
|
2001 г
|
2002 г
|
2003 г
|
|
наименование мероприятия
|
кол-во скв.
|
доп. добыча нефти,т
|
кол-во скв.
|
доп. добыча нефти,т
|
кол-во скв.
|
доп. добыча нефти,т
|
кол-во скв.
|
доп. добыча нефти,т
|
|
ЩСПК + ГОК
|
|
330
|
2
|
265
|
1
|
2522
|
2
|
3099
|
|
Микробиологическое воздействие
|
1
|
6363
|
23
|
4935
|
12
|
8167
|
3
|
7482
|
|
Оторочка серной кислотой
|
|
0
|
|
0
|
|
0
|
|
0
|
|
Оторочка раствора ПAB
|
|
|
|
|
2
|
19
|
|
0
|
|
ТатНО-2000-03 (Латекс)
|
|
|
1
|
15
|
|
1069
|
|
893
|
|
ЩСПК + ГОК
|
|
1077
|
|
657
|
6
|
10891
|
|
Микробиологическое воздействие
|
|
2549
|
|
457
|
71
|
44897
|
|
Оторочка серной кислотой
|
|
0
|
1
|
3501
|
|
Оторочка раствора ПAB
|
|
0
|
|
0
|
2
|
19
|
|
ТатНО-2000-03 (Латекс)
|
|
581
|
|
0
|
1
|
2558
|
Из
таблицы видно, что микробиологическое воздействие было проведено в 71
нагнетательных скважинах. В результате суммарная дополнительная добыча за
период с 2000 г по 2005 г составила 44897 т, что в среднем на одну скважину –
632 т.
Метод
ЩСПК + ГОК принес дополнительную добычу 10891 т, в среднем на одну скважину –
1815 т.
При
закачке серной кислоты в одну нагнетательную скважину дополнительная добыча составила
3501 т.
Оторочка
раствора ПАВ оказалась наименее эффективным мероприятием, т.к. принесла всего
лишь 19 т дополнительной добычи.
Применение
мероприятия ТатНО-2000-03 позволило получить дополнительную добычу 2558 т.
В
результате проделанного анализа видно, что микробиологическое воздействие мало
эффективно и это способствовало отказу НГДУ "Лениногорскнефть" от
данного мероприятия на Западно-Лениногорской площади.
4. ОПРЕДЕЛЕНИЕ
ТЕХНОЛОГИЧЕСКОЙ ЭФФЕКТИВНОСТИ
4.1 Выбор участка
Технология МБВ-М реализуется на нагнетательных
скважинах, находящихся под закачкой как пресных, так и минерализованных вод.
Объект разработки – залежи нефти в терригенных коллекторах,
разрабатываемые с использованием заводнения.
Оптимальные геолого-технические условия участков для
применения технологии МБВ-М следующие:
- система разработки – внутриконтурное заводнение;
- проницаемость – не менее 0,1 мкм2;
- обводненность добывающих скважин участка воздействия – от
60% до 98%;
- пластовая температура – не более 50 °С;
- нефтенасыщенная толщина пласта – от 2 м до 10 м;
- приемистость нагнетательных скважин (при Р = Рдоп
– 25 %) – не менее 100 м3/сут;
- вязкость нефти в пластовых условиях – от 3 до 50 мПа×с
- плотность закачиваемой воды на участке воздействия – не
более 1150кг/м3;
- плотность воды, используемой для получения
микробиологического раствора – не более 1065 кг/м3;
Технологический процесс (ТП) осуществляется через
скважину имеющую герметичную эксплуатационную колонну, исправную устьевую
арматуру, зумпф не менее 5 м, позволяющий проводить комплекс промысловых
геофизических исследований (ПГИ), характеризующуюся отсутствием заколонных
перетоков.
Непосредственно перед началом работ (но не позднее,
чем за сутки) скважина подключается под закачку воды с целью выхода на
установившийся режим работы.
Выбор скважины для технологии МБВ-М осуществляется
геологической службой НГДУ совместно с разработчиками технологии исходя из
геолого-промысловых данных и критериев применимости технологии и утверждается
главным геологом НГДУ.
4.2 По методу "прямого" счета
Эта методика может применяться для экспортной оценки
эффекта МУН. Суть методики заключается в следующем.
Таблица 4.2.1 Показатели работы (нагнетательная
скважина № 1)
|
Предыстория
|
История
|
|
Дата
|
Добыча за месяц, тыс.т
|
Дата
|
Добыча за месяц, тыс.т
|
|
нефть
|
вода
|
нефть
|
вода
|
|
07.2008
|
345
|
9265
|
07.2009
|
371
|
8670
|
|
08.2008
|
268
|
9245
|
08.2009
|
359
|
8569
|
|
09.2008
|
257
|
8600
|
09.2009
|
336
|
8963
|
|
10.2008
|
249
|
7669
|
10.2009
|
264
|
8863
|
|
11.2008
|
276
|
10604
|
11.2009
|
255
|
10203
|
|
12.2008
|
286
|
10887
|
12.2009
|
218
|
10463
|
|
01.2009
|
323
|
7956
|
|
|
|
|
02.2009
|
281
|
7688
|
|
|
|
|
03.2009
|
321
|
8941
|
|
|
|
|
04.2009
|
354
|
8583
|
|
|
|
|
05.2009
|
363
|
8837
|
|
|
|
|
06.2009
|
319
|
8487
|
|
|
|
В координатах "месячная добыча нефти
- календарное время" за нулевой отсчет времени принимаем месяц (07.2008)
на 1 год раньше месяца начала воздействия МУН (07.2009), т.е. в качестве
ближней предыстории берем 12 месяцев. На график (рисунок 1) наносим точки
месячной добычи нефти по месяцам предыстории и истории. Проводим вертикальную
прямую через месяц начала воздействия (07.2009).
Далее по эксплуатационным карточкам
добывающих скважин определяем добычу нефти за 12 месяцев предыстории (3642 т) и
среднемесячную добычу в этот период (303,5 т). Последнюю величину откладываем
на графике в виде горизонтальной прямой до пересечения с месяцем воздействия
(07.2009). Затем период предыстории делим на две равные части вертикальным отрезком
прямой. Таким образом, период предыстории превратился в квадратную диаграмму,
на которой в первом и четвертом квадратах оказалось по 1 точке, во втором – и в
третьем - по 5 точек. Для определения
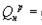
наличия тренда и его надежности рассчитываем коэффициент ассоциации Юла:
(4.2.1)
где а, б, в, г – количество точек в соответствующих
квадрантах. Если КаЮл > 0,7, считают
тренд установленным и достаточно надежным.
Отсюда коэффициент ассоциации
Юла равен:
Поскольку КаЮл
больше 0,7, считаем тренд (тенденцию изменения месячной добычи нефти) установленным
и достаточно надежным.
Далее определяем
количественные показатели тренда. Для этого по эксплуатационным карточкам
определяем добычу нефти за первые 6 месяцев (1681 т) и вторые 6 месяцев (1961
т) предыстории. Отсюда вычисляем среднемесячную добычу за первую половину
(280,2 т) и вторую половину предыстории (326,8 т). Через последние две точки и
центр квадратной диаграммы проводим наклонную прямую до пересечения границы
предыстории и истории (07.2009 – дата начала воздействия). В этой точке
пересечения определяем базовую среднемесячную добычу нефти (323 т) и из нее
проводим горизонтальную прямую (параллельную оси времени) на весь период
истории (последствия).
Таким образом, считаем,
что падение добычи нефти происходит только в период предыстории, а в период
после воздействия базовая добыча нефти является постоянной, не падающей, что,
естественно, занижает технологический эффект.
По количеству и положению
точек после начала воздействия относительно горизонтальной базовой прямой
наглядно выявляется качественный эффект (3 из 6 точек расположены выше базовой
горизонтали) и его динамика. Для количественной оценки эффективности
микробиологического воздействия по эксплуатационным карточкам определяем
суммарную добычу нефти после начала воздействия на дату анализа (с 1.07.2009 по
1.01.2010 гг.). Она оказалась равной 1803 т. Отсюда среднемесячная добыча нефти
после воздействия оказалась равной 300,5 т, или на 7,49 % меньше базовой (323
т).
Вычитая из среднемесячной
добычи нефти после воздействия (300,5т) базовую среднемесячную добычу нефти
(323 т) и умножая полученную разность на число месяцев, получаем величину
дополнительно добытой нефти (-405т, т.е. добыча сократилась), ее долю по
отношению ко всей добыче нефти после воздействия (22,46 %), а также удельную
технологическую эффективность одного кубического метра закачанной микробиологии
(-3 т/м3).
Зная среднемесячную добычу
воды в период предыстории и истории (цифры в скобках на рис. 4.2.1), можно
определить фактическую среднемесячную обводненность в эти два периода времени
(96,7 % и 96,87 %), а также, используя расчетную базовую добычу нефти (323 т) и
среднемесячную добычу воды в период предыстории (8897 т) и истории (9289 т),
сопоставить с расчетной базовой средней обводненностью, равной 96,5 % и 96,64
%.
Рис. 4.2.1. Динамика добычи нефти по скважине № 1
Таблица 4.2.2 Показатели работы (нагнетательная
скважина № 2)
|
Предыстория
|
История
|
|
Дата
|
Добыча за месяц, тыс.т
|
Дата
|
Добыча за месяц, тыс.т
|
|
нефть
|
вода
|
нефть
|
вода
|
|
02.2008
|
358
|
1436
|
06.2009
|
429
|
1105
|
|
03.2008
|
409
|
1622
|
07.2009
|
486
|
1123
|
|
04.2008
|
395
|
1463
|
08.2009
|
545
|
1163
|
|
05.2008
|
433
|
1385
|
09.2009
|
645
|
1569
|
|
06.2008
|
385
|
1365
|
10.2009
|
359
|
948
|
|
07.2008
|
432
|
1557
|
11.2009
|
469
|
1257
|
|
08.2008
|
435
|
1598
|
|
|
|
|
09.2008
|
635
|
1077
|
|
|
|
|
10.2008
|
590
|
1035
|
|
|
|
|
11.2008
|
347
|
1385
|
|
|
|
|
12.2008
|
352
|
1465
|
|
|
|
|
01.2009
|
501
|
1135
|
|
|
|
|
02.2009
|
461
|
1159
|
|
|
|
|
03.2009
|
440
|
1335
|
|
|
|
|
04.2009
|
413
|
1315
|
|
|
|
|
05.2009
|
487
|
1254
|
|
|
|
В координатах "месячная добыча нефти
- календарное время" за нулевой отсчет времени принимаем месяц (02.2008)
на 16 месяцев раньше месяца начала воздействия МУН (06.2009), т.е. в качестве
ближней предыстории берем 16 месяцев. На график (рисунок 2) наносим точки
месячной добычи нефти по месяцам предыстории и истории. Проводим вертикальную
прямую через месяц начала воздействия (06.2009).
Далее по эксплуатационным
карточкам добывающих скважин определяем добычу нефти за 16 месяцев предыстории
(7073т) и среднемесячную добычу в этот период (442т). Последнюю величину
откладываем на графике в виде горизонтальной прямой до пересечения с месяцем
воздействия (06.2009). Затем период предыстории делим на две равные части
вертикальным отрезком прямой. Таким образом, период предыстории превратился в
квадратную диаграмму, на которой в первом квадрате оказалась 1 точка, в
четвертом - 4 точки, во втором – 4, и в третьем - 7 точек. Отсюда коэффициент
ассоциации Юла равен:
Поскольку КаЮл
больше 0,7, считаем тренд (тенденцию изменения месячной добычи нефти) установленным
и достаточно надежным.
Далее определяем
количественные показатели тренда. Для этого по эксплуатационным карточкам
определяем добычу нефти за первые 8 месяцев (3482 т) и вторые 8 месяцев (3591
т) предыстории. Отсюда вычисляем среднемесячную добычу за первую половину
(435,3 т) и вторую половину предыстории (448,9 т). Через последние две точки и
центр квадратной диаграммы проводим наклонную прямую до пересечения границы
предыстории и истории (06.2009 – дата начала воздействия). В этой точке
пересечения определяем базовую среднемесячную добычу нефти (458 т) и из нее
проводим горизонтальную прямую (параллельную оси времени) на весь период
истории (последствия). Таким образом, считаем, что падение добычи нефти
происходит только в период предыстории, а в период после воздействия базовая
добыча нефти является постоянной, не падающей, что, естественно, занижает
технологический эффект.
По количеству и положению
точек после начала воздействия относительно горизонтальной базовой прямой
наглядно выявляется качественный эффект (4 из 6 точек расположены выше базовой
горизонтали) и его динамика. Для количественной оценки эффективности микробиологического
воздействия по эксплуатационным карточкам определяем суммарную добычу нефти
после начала воздействия на дату анализа (с 1.06.2009 по 1.12.2009 гг.). Она
оказалась равной 2933 т. Отсюда среднемесячная добыча нефти после воздействия
оказалась равной 489 т, или на 6,3 % больше базовой (458 т).
Вычитая из среднемесячной
добычи нефти после воздействия (489т) базовую среднемесячную добычу нефти (458
т) и умножая полученную разность на число месяцев, получаем величину
дополнительно добытой нефти (678,3т), ее долю по отношению ко всей добыче нефти
после воздействия (23,13%), а также удельную технологическую эффективность
одного кубического метра закачанной микробиологии (8,5 т/м3).
Зная среднемесячную добычу
воды в период предыстории и истории (цифры в скобках на рис. 4.2.2), можно
определить фактическую среднемесячную обводненность в эти два периода времени
(75,3 % и 70,9 %), а также, используя расчетную базовую добычу нефти (458 т) и
среднемесячную добычу воды в период предыстории (1349 т) и истории (1194 т),
сопоставить с расчетной базовой средней обводненностью, равной 74,7 % и 72,3 %.
Рис. 4.2.2. Динамика добычи нефти по скважине № 2
Таблица 4.2.3 Показатели работы (нагнетательная
скважина № 3)
|
Предыстория
|
История
|
|
Дата
|
Добыча за месяц, тыс.т
|
Дата
|
Добыча за месяц, тыс.т
|
|
нефть
|
вода
|
нефть
|
вода
|
|
10.2008
|
546
|
496
|
06.2009
|
609
|
1004
|
|
11.2008
|
600
|
561
|
07.2009
|
679
|
1146
|
|
12.2008
|
727
|
1322
|
08.2009
|
613
|
1068
|
|
01.2009
|
625
|
1006
|
09.2009
|
709
|
1063
|
|
02.2009
|
625
|
977
|
10.2009
|
670
|
1125
|
|
03.2009
|
718
|
1106
|
11.2009
|
666
|
1048
|
|
04.2009
|
653
|
995
|
|
|
|
|
05.2009
|
651
|
1065
|
|
|
|
В координатах "месячная добыча нефти
- календарное время" за нулевой отсчет времени принимаем месяц (10.2008)
на 8 месяцев раньше месяца начала воздействия МУН (06.2009), т.е. в качестве
ближней предыстории берем 8 месяцев. На график (рисунок 3) наносим точки
месячной добычи нефти по месяцам предыстории и истории. Проводим вертикальную
прямую через месяц начала воздействия (06.2009).
Далее по эксплуатационным
карточкам добывающих скважин определяем добычу нефти за 8 месяцев предыстории
(5145т) и среднемесячную добычу в этот период (643,1 т). Последнюю величину
откладываем на графике в виде горизонтальной прямой до пересечения с месяцем
воздействия (06.2009). Затем период предыстории делим на две равные части
вертикальным отрезком прямой. Таким образом, период предыстории превратился в
квадратную диаграмму, на которой в первом и четвертом квадратах оказалось по 1
точке, во втором – и в третьем - по 3 точки. Отсюда коэффициент ассоциации Юла
равен:
Поскольку КаЮл
больше 0,7, считаем тренд (тенденцию изменения месячной добычи нефти) установленным
и достаточно надежным.
Далее определяем
количественные показатели тренда. Для этого по эксплуатационным карточкам
определяем добычу нефти за первые 4 месяцев (2498т) и вторые 4 месяцев (2647 т)
предыстории. Отсюда вычисляем среднемесячную добычу за первую половину (624,5
т) и вторую половину предыстории (661,8 т). Через последние две точки и центр
квадратной диаграммы проводим наклонную прямую до пересечения границы
предыстории и истории (06.2009 – дата начала воздействия). В этой точке
пересечения определяем базовую среднемесячную добычу нефти (681 т) и из нее
проводим горизонтальную прямую (параллельную оси времени) на весь период
истории (последствия). Таким образом, считаем, что падение добычи нефти
происходит только в период предыстории, а в период после воздействия базовая
добыча нефти является постоянной, не падающей, что, естественно, занижает
технологический эффект.
По количеству и положению
точек после начала воздействия относительно горизонтальной базовой прямой
наглядно выявляется качественный эффект (1 из 6 точек расположены выше базовой
горизонтали) и его динамика. Для количественной оценки эффективности
микробиологического воздействия по эксплуатационным карточкам определяем
суммарную добычу нефти после начала воздействия на дату анализа (с 1.06.2009 по
1.12.2009 гг.). Она оказалась равной 3946 т. Отсюда среднемесячная добыча нефти
после воздействия оказалась равной 657,7 т, или на 3,55 % меньше базовой
(681т).
Вычитая из среднемесячной
добычи нефти после воздействия (657,7т) базовую среднемесячную добычу нефти
(681 т) и умножая полученную разность на число месяцев, получаем величину
дополнительно добытой нефти (-326,7т, т.е. добыча сократилась), ее долю по
отношению ко всей добыче нефти после воздействия (8,28 %), а также удельную
технологическую эффективность одного кубического метра закачанной микробиологии
(-3,63 т/м3).
Зная среднемесячную добычу
воды в период предыстории и истории (цифры в скобках на рис. 4.2.3), можно
определить фактическую среднемесячную обводненность в эти два периода времени
(59,4 % и 62 %), а также, используя расчетную базовую добычу нефти (681 т) и
среднемесячную добычу воды в период предыстории (941 т) и истории (1075,7 т),
сопоставить с расчетной базовой средней обводненностью, равной 58 % и 61,2 %.
Рис. 4.2.3. Динамика добычи нефти по скважине № 3
4.3 По характеристикам вытеснения
Использование характеристик вытеснения (ХВ) при
решении задач разработки нефтяных залежей было впервые предложено Д.А.Эфросом
(1959г) в виде зависимости накопленного отбора нефти от накопленного отбора
жидкости.
Применительно к решению рассматриваемых далее задач
под характеристиками вытеснения понимают зависимости накопленной добычи нефти
по объектам от накопленной добычи жидкости или воды при различных модификациях
координат в зависимостях.
Достоинствами метода прогноза, основанного на
использовании характеристик вытеснения нефти водой, являются:
-простота применения данного метода прогноза;
-извлекаемые запасы нефти определяются по характеристикам
вытеснения непосредственно, без предварительного значения балансовых запасов и
проектного коэффициента извлечения нефти, определение которых в отдельных
случаях затруднительно.
Суть методики заключается в следующем.
Широко распространенным методом решения данной задачи
является метод наименьших квадратов. Рассмотрим конкретный случай. Дана система
уравнений:
(4.3.1)
Система двух линейных уравнений с двумя неизвестными a,
b. Далее из второго равенства, выражая коэффициент b, и подставляя в первое
равенство, находим коэффициент а. Фактические значения функции определяют
подстановкой в левую часть уравнений фактического значения накопленной добычи
продукции (Vн,Vв,Vж).
Успешность использования характеристик вытеснения при
определения технологического эффекта от БГС и интенсификации притока нефти
обуславливаются в первую очередь тем, что подбираются такие системы координат,
в которых данные более или менее хорошо ложатся на прямую линию.
При использовании характеристик вытеснения существует
достаточно большая вероятность того, если на периоде предыстории фактические
точки достаточно тесно ложатся на прямую, то на периоде экстраполяции они также
будут ложиться на прямую.
Характеристики вытеснения, используемые для выбора
уравнения кривой обводнения для оценки эффективности МУН.
где Qн, Qн, Qж –
фактические значения накопленной добычи нефти, воды, жидкости; a, b –
постоянные коэффициенты.
Для определения добычи нефти за счет применения ГС по
ХВ, в координатах строятся зависимости. Затем определяют дополнительную добычу.
Результаты подсчетов добычи нефти и расчет базовых кривых произведен с помощью
ЭВМ (с использованием программы Microsoft Excel).
Рассмотрим подробнее метод Максимова на примере
скважины № 1
(4.3.9)
(4.3.10)
Критерий Тейла:
(4.3.11)
Таблица 4.3.1 Результаты подсчета добычи нефти за счет
МУН (скважина №1)
|
ДАТА
|
Добыча за месяц,т.
|
Добыча накопленная,т.
|
|
Нефть
|
Вода
|
Нефть
|
Жидкость
|
|
07.08
|
345
|
9265
|
345
|
9610
|
|
08.08
|
268
|
9245
|
613
|
19123
|
|
09.08
|
257
|
8600
|
870
|
27980
|
|
10.08
|
249
|
7669
|
1119
|
35898
|
|
11.08
|
276
|
10604
|
1395
|
46778
|
|
12.08
|
286
|
10887
|
1681
|
57951
|
|
01.09
|
323
|
7956
|
2004
|
66230
|
|
02.09
|
281
|
7688
|
2285
|
74199
|
|
03.09
|
321
|
8941
|
2606
|
83461
|
|
04.09
|
354
|
8583
|
2960
|
92398
|
|
05.09
|
8837
|
3323
|
101598
|
|
06.09
|
319
|
8487
|
3642
|
110404
|
|
07.09
|
371
|
8670
|
4013
|
119445
|
|
08.09
|
359
|
8569
|
4372
|
128373
|
|
09.09
|
336
|
8963
|
4708
|
137672
|
|
10.09
|
264
|
8863
|
4972
|
146799
|
|
11.09
|
255
|
10203
|
5227
|
157257
|
|
12.09
|
218
|
10463
|
5445
|
167938
|
Таблица 4.3.2 Рассчитанные базовые кривые
|
Дата
|
Абызбаев
|
Говоров-Рябинин
|
Давыдов
|
Камбаров
|
Максимов
|
Пост. Нефтесод.
|
Сазонов
|
|
07.08
|
5,763
|
9,2281
|
1754,28
|
5859,24
|
-304,07
|
248,52
|
-302,29
|
|
08.08
|
6,430
|
9,8180
|
1887,40
|
4301,66
|
626,30
|
558,09
|
624,50
|
|
09.08
|
6,800
|
10,1774
|
1920,71
|
3803,58
|
1139,28
|
846,32
|
1137,13
|
|
10.08
|
7,042
|
10,4357
|
1918,01
|
3566,38
|
1474,17
|
1103,98
|
1472,77
|
|
11.08
|
7,298
|
10,6620
|
1964,75
|
3371,43
|
1831,93
|
1458,04
|
1829,34
|
|
12.08
|
7,506
|
10,8534
|
1992,95
|
3247,41
|
2121,00
|
1821,64
|
2117,83
|
|
01.09
|
7,636
|
11,0338
|
1949,64
|
3182,51
|
2298,78
|
2091,05
|
2297,69
|
|
02.09
|
7,746
|
11,1685
|
1931,03
|
3133,71
|
2450,78
|
2350,38
|
2450,72
|
|
03.09
|
7,860
|
11,3034
|
1916,19
|
3088,71
|
2608,31
|
2651,79
|
2609,15
|
|
04.09
|
7,959
|
11,4341
|
1888,10
|
3053,84
|
2743,94
|
2942,62
|
2746,17
|
|
05.09
|
8,051
|
11,5529
|
1864,83
|
3024,35
|
2870,61
|
3242,00
|
2874,02
|
|
06.09
|
8,132
|
11,6469
|
1855,12
|
3000,73
|
2981,96
|
3528,57
|
2985,97
|
|
07.09
|
8,208
|
11,7465
|
1834,03
|
2980,10
|
3086,93
|
3822,78
|
3091,99
|
|
08.09
|
8,278
|
11,8344
|
1818,10
|
2962,58
|
3183,19
|
4113,32
|
3189,08
|
|
09.09
|
8,346
|
11,9104
|
1813,24
|
2946,75
|
3277,01
|
4415,93
|
3283,27
|
|
10.09
|
8,408
|
11,9664
|
1824,59
|
2933,16
|
3363,76
|
4712,94
|
3369,73
|
|
11.09
|
8,475
|
12,0178
|
1846,44
|
2919,53
|
3457,15
|
5053,27
|
3462,42
|
|
12.09
|
8,539
|
12,0597
|
1874,69
|
2907,36
|
3546,63
|
5400,85
|
3550,93
|
|
Коэфф. A
|
-3,13684
|
3,230525
|
-31628,6
|
2728,19
|
-12583,2
|
-64,2134
|
-12654,2
|
|
Коэфф. B
|
0,970435
|
1,026355
|
34626
|
-30089419
|
1344,335
|
0,032542
|
1346,908
|
|
Критерий Тейла
|
0,017256
|
0,007321
|
0,02051
|
0,014113
|
0,044377
|
0,010731
|
0,044397
|
Таблица 4.3.3
|
Дата
|
Формула Камбарова
|
Формула Говорова-Рябинина
|
Формула Пост. Нефтесод.
|
Среднее значение
|
|
накопл
доб. нефть,т
|
доп.добыча
|
накопл
доб. нефть,т
|
доп.добыча
|
накопл
доб. нефть,т
|
доп.добыча
|
доп.добыча
|
|
за месяц
|
накопл.
|
за месяц
|
накопл
|
за месяц
|
накоп.
|
за месяц
|
накоп.
|
|
07.09
|
2980,10
|
1032,9
|
1032,9
|
3675,87
|
337,12
|
337,12
|
3822,78
|
190,21
|
190,21
|
520,08
|
520,08
|
|
08.09
|
2962,58
|
1409,42
|
2442,32
|
3941,49
|
430,50
|
767,63
|
4113,32
|
258,67
|
448,89
|
699,53
|
1219,61
|
|
09.09
|
2946,75
|
1761,25
|
4203,57
|
4218,82
|
489,17
|
1256,8
|
4415,93
|
292,07
|
740,96
|
847,49
|
2067,11
|
|
10.09
|
2933,16
|
2038,84
|
6242,41
|
4492,58
|
479,41
|
1736,22
|
4712,94
|
259,05
|
1000,02
|
925,77
|
2992,88
|
|
11.09
|
2919,53
|
2307,47
|
8549,88
|
4807,2
|
419,79
|
2156,02
|
5053,27
|
173,73
|
1173,75
|
967,00
|
3959,88
|
|
12.09
|
2907,36
|
2537,64
|
11087,52
|
5129,26
|
315,73
|
2471,75
|
5400,85
|
44,14
|
1217,90
|
965,84
|
4925,72
|
Рис. 4.3.1. Зависимость накопленной добычи нефти от
накопленной добычи жидкости (метод Камбарова)
Рис. 4.3.2. Зависимость накопленной добычи нефти от накопленной
добычи жидкости (метод Говорова-Рябинина)
Рис. 4.3.3. Зависимость накопленной добычи нефти от
накопленной добычи жидкости (метод постоянного нефтесодержания)
Рис. 4.3.4. График расчета дополнительной добычи нефти
за счет МУН (скважина №1)
Данные расчетов по скв.№2, №3 приведены в таблицах
4.3.4 – 4.3.9.
Таблица 4.3.4 Результаты подсчета добычи нефти за счет
МУН скв.№2
|
ДАТА
|
Добыча за месяц,т.
|
Добыча накопленная,т.
|
|
Нефть
|
Вода
|
Нефть
|
Жидкость
|
|
02.08
|
358
|
1436
|
358
|
1794
|
|
03.08
|
409
|
1622
|
767
|
3825
|
|
04.08
|
395
|
1463
|
1162
|
5683
|
|
05.08
|
433
|
1385
|
1595
|
7501
|
|
06.08
|
385
|
1980
|
9251
|
|
07.08
|
432
|
1557
|
2412
|
11240
|
|
08.08
|
435
|
1598
|
2847
|
13273
|
|
09.08
|
635
|
1077
|
3482
|
14985
|
|
10.08
|
590
|
1035
|
4072
|
16610
|
|
11.08
|
347
|
1385
|
4419
|
18342
|
|
12.08
|
352
|
1465
|
4771
|
20159
|
|
01.09
|
501
|
1135
|
5272
|
21795
|
|
02.09
|
461
|
1159
|
5733
|
23415
|
|
03.09
|
440
|
1335
|
6173
|
25190
|
|
04.09
|
413
|
1315
|
6586
|
26918
|
|
05.09
|
487
|
1254
|
7073
|
28659
|
|
6.09
|
429
|
1105
|
7502
|
30193
|
|
07.09
|
486
|
1123
|
7988
|
31802
|
|
08.09
|
545
|
1163
|
8533
|
33510
|
|
09.09
|
645
|
1569
|
9178
|
35724
|
|
10.09
|
359
|
948
|
9537
|
37031
|
|
11.09
|
469
|
1257
|
10006
|
38757
|
Таблица 4.3.5 Рассчитанные базовые кривые
|
Дата
|
Абызбаев
|
Говоров-Рябинин
|
Давыдов
|
Камбаров
|
Максимов
|
Пост. Нефтесод.
|
Сазонов
|
|
02.08
|
5,823793
|
7,340
|
492,605
|
11486,28
|
-1343,38
|
163,55
|
-1316,65
|
|
03.08
|
6,652752
|
8,016
|
603,0457
|
8042,717
|
642,4696
|
681,47
|
625,45
|
|
04.08
|
7,086245
|
8,385
|
1052,944
|
7048,254
|
1669,607
|
1155,28
|
1641,047
|
|
05.08
|
7,390142
|
8,666
|
1984,165
|
6552,063
|
2371,672
|
1618,88
|
2353,024
|
|
06.08
|
7,619737
|
8,857
|
2142,916
|
6258,648
|
2917,92
|
2065,14
|
2890,924
|
|
07.08
|
7,832965
|
9,032
|
2206,735
|
6036,096
|
3427,676
|
2572,35
|
3390,481
|
|
08.08
|
8,014996
|
9,179
|
2195,888
|
5877,55
|
3864,764
|
3090,78
|
3816,945
|
|
09.08
|
8,147826
|
9,358
|
4233,019
|
5777,405
|
4123,025
|
3527,35
|
4128,144
|
|
10.08
|
8,260552
|
9,497
|
5690,788
|
5701,446
|
4349,369
|
3941,73
|
4392,24
|
|
11.08
|
8,369153
|
9,569
|
5208,462
|
5635,303
|
4624,636
|
4383,40
|
4646,674
|
|
12.08
|
8,472574
|
9,637
|
4723,522
|
5578,13
|
4887,47
|
4846,75
|
4888,971
|
|
01.09
|
8,558009
|
9,726
|
5318,796
|
5534,808
|
5074,431
|
5263,94
|
5089,13
|
|
02.09
|
8,636509
|
9,800
|
5655,395
|
5497,875
|
5252,535
|
5677,05
|
5273,041
|
|
03.09
|
8,716514
|
9,866
|
5679,849
|
5462,862
|
5443,754
|
6129,69
|
5460,478
|
|
04.09
|
8,789158
|
9,923
|
5635,553
|
5433,212
|
5619,412
|
6570,34
|
5630,671
|
|
05.09
|
8,857778
|
9,987
|
5878,317
|
5406,955
|
5776,643
|
7014,31
|
5791,435
|
|
6.09
|
8,914869
|
10,039
|
6068,648
|
5386,329
|
5907,799
|
7405,49
|
5925,189
|
|
07.09
|
8,971715
|
10,094
|
6377,691
|
5366,833
|
6034,703
|
7815,79
|
6058,369
|
|
08.09
|
9,028994
|
10,153
|
6772,26
|
5348,186
|
6159,97
|
8251,34
|
6192,564
|
|
09.09
|
9,099044
|
10,218
|
7031,456
|
5326,668
|
6320,025
|
8815,93
|
6356,68
|
|
10.09
|
9,138387
|
10,252
|
7102,916
|
5315,174
|
6412,208
|
9149,22
|
6448,853
|
|
11.09
|
9,188266
|
10,294
|
7174,932
|
5301,182
|
6529,653
|
9589,36
|
6565,711
|
|
Коэфф. A
|
-2,37941
|
2,125022
|
91740,72
|
5000,988
|
-20441,7
|
-293,927
|
-20535,3
|
|
Коэфф. B
|
1,094898
|
0,886903
|
-113997
|
-11634616
|
2627,138
|
0,255007
|
2565,153
|
|
Критерий Тейла
|
0,014237
|
0,010871
|
0,060408
|
0,016605
|
0,027179
|
0,028408
|
0,027169
|
Таблица 4.3.6
|
Дата
|
Формула Камбарова
|
Формула Говорова-Рябинина
|
Формула Абызбаева
|
Среднее значение
|
|
накопл.
доб. нефть,т
|
доп.добыча
|
накопл.
доб. нефть,т
|
доп.добыча
|
накопл.
доб. нефть,т
|
доп.добыча
|
доп.добыча
|
|
за месяц
|
накопл.
|
за месяц
|
накопл.
|
за месяц
|
накопл.
|
за месяц
|
накопл.
|
|
06.09
|
5386,32
|
2115,67
|
2115,67
|
7425,67
|
76,32
|
76,32
|
7441,8
|
60,19
|
60,19
|
750,73
|
750,73
|
|
07.09
|
5366,83
|
2621,16
|
4736,83
|
7841,32
|
146,67
|
223,001
|
7877,09
|
110,90
|
171,09
|
959,58
|
1710,31
|
|
08.09
|
5348,18
|
3184,81
|
7921,65
|
8274,43
|
258,56
|
8341,46
|
191,53
|
362,63
|
1211,6
|
2921,95
|
|
09.09
|
5326,66
|
3851,33
|
11772,98
|
8862,80
|
315,19
|
796,76
|
8946,73
|
231,26
|
593,89
|
1465,9
|
4387,88
|
|
10.09
|
5315,17
|
4221,82
|
15994,81
|
9220,47
|
316,53
|
1113,29
|
9305,74
|
231,25
|
825,15
|
1589,8
|
5977,75
|
|
11.09
|
5301,18
|
4704,81
|
20699,62
|
9697,14
|
308,85
|
1422,15
|
9781,67
|
224,32
|
1049,47
|
1745,9
|
7723,75
|
Рис. 4.3.5. Зависимость накопленной добычи нефти от
накопленной добычи жидкости (метод Камбарова)
Рис. 4.3.6. Зависимость накопленной добычи нефти от накопленной
добычи жидкости (метод Говорова-Рябинина)
Рис. 4.3.7. Зависимость накопленной добычи нефти от
накопленной добычи жидкости (метод Абызбаева)
Рис. 4.3.8. График расчета дополнительной добычи нефти
за счет МУН (скважина №2)
Таблица 4.3.7 Результаты подсчета добычи нефти за счет
МУН скв.№3
|
ДАТА
|
Добыча за месяц,т.
|
Добыча накопленная,т.
|
|
Нефть
|
Вода
|
Нефть
|
Жидкость
|
|
10.08
|
546
|
496
|
546
|
1042
|
|
11.08
|
600
|
561
|
1146
|
3245
|
|
12.08
|
727
|
1322
|
1873
|
7497
|
|
01.09
|
625
|
1006
|
2498
|
13380
|
|
02.09
|
625
|
977
|
3123
|
20865
|
|
03.09
|
718
|
1106
|
3841
|
30174
|
|
04.09
|
653
|
995
|
4494
|
41131
|
|
05.09
|
651
|
1065
|
5145
|
53804
|
|
06.09
|
609
|
1004
|
5754
|
68090
|
|
07.09
|
679
|
1146
|
6433
|
84201
|
|
08.09
|
613
|
1068
|
7046
|
101993
|
|
09.09
|
709
|
1063
|
7755
|
121557
|
|
10.09
|
670
|
1125
|
8425
|
142916
|
|
11.09
|
666
|
1048
|
9091
|
165989
|
Таблица 4.3.8 Рассчитанные базовые кривые
|
Дата
|
Абызбаев
|
Говоров-Рябинин
|
Давыдов
|
Камбаров
|
Макси-мов
|
Пост. Нефтесод.
|
Сазонов
|
|
10.08
|
6,367073
|
6,173217
|
-145,871
|
7219,934
|
-4,74
|
1139,46
|
-0,21865
|
|
11.08
|
7,004604
|
7,096609
|
1902,251
|
4755,44
|
1213,02
|
1322,82
|
1310,575
|
|
12.08
|
7,474564
|
7,708453
|
2016,803
|
4094,31
|
2518,71
|
1676,722
|
2276,833
|
|
01.09
|
7,799656
|
8,067078
|
2893,663
|
3872,465
|
3086,34
|
2166,375
|
2945,236
|
|
02.09
|
8,049013
|
8,345191
|
3492,406
|
3771,047
|
3494,47
|
2789,366
|
3457,926
|
|
03.09
|
8,256051
|
8,602922
|
3871,876
|
3715,117
|
3858,18
|
3564,172
|
3883,606
|
|
04.09
|
8,429907
|
8,79847
|
4200,112
|
3681,722
|
4127,26
|
4476,144
|
4241,061
|
|
05.09
|
8,580643
|
8,966957
|
4434,762
|
3660,06
|
4372,76
|
5530,942
|
4550,981
|
|
06.09
|
8,712801
|
9,106285
|
4633,89
|
3645,31
|
4574,26
|
6719,993
|
4822,703
|
|
07.09
|
8,831991
|
9,24521
|
4775,162
|
3634,68
|
4777,11
|
8060,942
|
5067,763
|
|
08.09
|
8,939575
|
9,358569
|
4905,716
|
3626,843
|
4945,59
|
9541,804
|
5288,962
|
|
09.09
|
9,038058
|
9,47798
|
5017,643
|
3620,874
|
5097,41
|
11170,15
|
5491,447
|
|
10.09
|
9,128905
|
9,581185
|
5108,237
|
3616,224
|
5243,87
|
12947,9
|
5678,232
|
|
11.09
|
9,2129
|
9,67594
|
5193,64
|
3612,545
|
5369,26
|
14868,31
|
5850,929
|
|
Коэфф. A
|
2,467206
|
-1,67636
|
6341,679
|
3589,756
|
-9994,16
|
1052,732
|
-8018,52
|
|
Коэфф. B
|
0,561221
|
1,245447
|
-13629,1
|
-3782645
|
1609,489
|
0,083232
|
1153,895
|
|
Критерий Тейла
|
0,007578
|
0,012871
|
0,049668
|
0,005903
|
1,522027
|
0,004238
|
26,16246
|
Таблица 4.3.9
|
Дата
|
Формула Камбарова
|
Формула Абызбаева
|
Формула Пост. Нефтесод.
|
Среднее значение
|
|
накопл. доб. нефть,т
|
доп.добыча
|
накопл. доб. нефть,т
|
доп.добыча
|
накопл. доб. нефть,т
|
доп.добыча
|
доп.добыча
|
|
за месяц
|
накопл.
|
за месяц
|
накопл.
|
за месяц
|
накопл.
|
за месяц
|
накопл.
|
|
07.09
|
3645,31
|
2108,69
|
2108,69
|
6080,25
|
-326,25
|
-326,25
|
6719,99
|
-965,99
|
-965,99
|
272,15
|
272,15
|
|
08.09
|
3634,68
|
2798,32
|
4907,01
|
6849,91
|
-416,91
|
-743,16
|
8060,94
|
-1627,94
|
-2593,93
|
251,16
|
523,31
|
|
09.09
|
3626,84
|
3419,16
|
8326,17
|
7627,96
|
-581,96
|
-1325,12
|
9541,80
|
-2495,80
|
-5089,74
|
113,80
|
637,10
|
|
10.09
|
3620,87
|
4134,13
|
12460,29
|
8417,41
|
-662,41
|
-1987,53
|
11170,15
|
-3415,15
|
-8504,89
|
18,85
|
655,96
|
|
11.09
|
3616,22
|
4808,78
|
17269,07
|
9217,92
|
-792,92
|
-2780,45
|
12947,90
|
-4522,90
|
-169,02
|
486,94
|
|
12.09
|
3612,54
|
5478,46
|
22747,52
|
10025,63
|
-934,63
|
-3715,08
|
14868,31
|
-5777,31
|
-18805,11
|
-411,16
|
75,78
|
Рис. 4.3.9. Зависимость накопленной добычи нефти от
накопленной добычи жидкости (метод Камбарова)
Рис. 4.3.10. Зависимость накопленной добычи нефти от
накопленной добычи жидкости (метод Абызбаева)
Рис. 4.3.11. Зависимость накопленной добычи нефти от
накопленной добычи жидкости (метод постоянного нефтесодержания)
Рис. 4.3.12. График расчета дополнительной добычи
нефти за счет МУН (скважина №3)
5. РАСЧЕТ ТЕХНОЛОГИЧЕСКИХ ПОКАЗАТЕЛЕЙ РАЗРАБОТКИ ПРИ
ПРИМЕНЕНИИ МЕТОДА
Расчет показателей разработки по методике текущего планирования
добычи нефти и жидкости. Эта методика известна как "Методика госплана СССР".
Она применяется до настоящего времени во всех НГДУ, в нефтедобывающих
компаниях, в организациях топливно-энергетического комплекса и планирующих
организациях.
Исходные данные для расчета:
1.
Начальные балансовые запасы нефти
(НБЗ), т;
2.
Начальные извлекаемые запасы нефти
(НИЗ), т;
3.
На начало планируемого года:
- накопленная добыча нефти (ΣQн), т;
- накопленная добыча жидкости (ΣQж), т;
- накопленная закачка воды (ΣQзак), м3;
- действующий фонд добывающих скважин (Nддей);
- действующий фонд нагнетательных скважин (Nндей);
4.
Динамика бурения скважин по годам
на планируемый период (Nб):
- добывающих (Nдб);
- нагнетательных (Nнб).
Таблица 5.1 Исходные данные по Западно-Лениногорской
площади Ромашкинского месторождения
|
Год
|
НБЗ, тыс.т.
|
НИЗ, тыс.т.
|
ΣQн, тыс.т.
|
ΣQж, тыс.т
|
ΣQзак, тыс.
м3
|
Nддей
|
Nндей
|
Nдб
|
Nнб
|
|
2009
|
138322
|
69990
|
54830
|
200323
|
236577
|
307
|
196
|
3
|
1
|
Расчет показателей разработки
1.
Количество дней работы добывающих
скважин в году, перешедших с перыдущего года:
Дпер=365×К (5.1)
Дпер= 365×0,9 =
328,5
2.
Количество дней работы новых
добывающих скважин:
Днов=160
3.
Средний дебит нефти новых
добывающих скважин:
qннов=8
т/сут
4.
Коэффициент падения добычи нефти
добывающих скважин:
Кпад=0,93
5.
Годовая добыча нефти из новых
скважин:
(5.1)

6.
Годовая добыча нефти из перешедших
скважин:
(5.2), 
7.
Годовая добыча нефти всего
(5.3)

8.
Годовая добыча нефти из новых
скважин предыдущего года, если бы они в данном году работали без падения:
(5.4)

9.
Годовая добыча нефти из перешедших
скважин предыдущего года, (если бы они работали без падения):
10.
Возможная расчетная добыча нефти
из всех скважин предыдущего года (в случае работы их без падения):
(5.5)

11.
Планируемая добыча нефти из
скважин предыдущего года:
12.
Снижение добычи нефти из скважин
предыдущего года:
(5.6)

13.
Процент изменения добычи нефти из
скважин предыдущего года:
(5.7)

14.
Средний дебит одной скважины по
нефти:
(5.8)

15.
Средний дебит скважин по нефти
перешедших с предыдущего года:
(5.9)

16.
Накопленная добыча нефти:
(5.10)

17.
Текущий коэффициент
нефтеизвлечения (КИН)
обратно пропорционален
начальным балансовым запасам (НБЗ):
(5.11)

18.
Отбор от утвержденных начальных
извлекаемых запасов НИЗ, %:
(5.12)
19.
Темп отбора от начальных
извлекаемых запасов (НИЗ), %:
(5.13)

20.
Темп отбора от текущих извлекаемых
запасов, %:
(5.14)

21.
Средняя обводненность добываемой
продукции:
(5.15), 
22.
Годовая добыча жидкости:
(5.16)

23.
Добыча жидкости с начала
разработки:
(5.17)
24.
Годовая закачка воды:
(5.18)
25.
Годовая компенсация отбора
жидкости закачкой:
26.
Накопленная компенсация отбора
жидкости закачкой:
27.
Водо-нефтяной фактор:
(5.19)

Динамика основных показателей
разработки показана в табл. 5.2
Таблица 5.2 Динамика основных
показателей разработки
|
Годы
|
Добыча, млн. т
|
Накопленная добыча, млн. т
|
В, %
|
Закачка воды, млн. м3
|
Средний дебит по нефти, т/сут
|
КИН
|
Темп отбора от НИЗ
|
Темп отбора от ТИЗ
|
|
нефти
|
жидкости
|
нефти
|
жидкости
|
год
|
S
|
|
2010
|
0,462
|
10,286
|
55,292
|
311,764
|
0,96
|
13,840
|
250,417
|
4,22
|
39,97
|
1,23
|
1,46
|
|
2011
|
0,472
|
10,936
|
55,764
|
323,206
|
0,96
|
13,843
|
264,261
|
4,27
|
40,32
|
1,18
|
1,41
|
|
2012
|
0,463
|
11,153
|
56,228
|
334,647
|
0,96
|
13,841
|
278,102
|
4,15
|
40,65
|
1,11
|
1,36
|
|
2013
|
0,481
|
12,047
|
56,709
|
346,089
|
0,96
|
13,845
|
291,947
|
4,26
|
41
|
1,06
|
1,30
|
|
2014
|
0,465
|
12,148
|
57,174
|
357,530
|
0,96
|
13,841
|
305,789
|
4,09
|
41,33
|
1,00
|
1,25
|
|
2015
|
0,494
|
13,498
|
57,668
|
368,972
|
0,96
|
13,848
|
319,637
|
4,3
|
41,69
|
0,94
|
1,20
|
|
2016
|
0,508
|
14,572
|
58,176
|
380,413
|
0,97
|
13,851
|
333,489
|
4,38
|
42,06
|
0,90
|
1,15
|
|
2017
|
0,514
|
15,497
|
58,690
|
391,855
|
0,97
|
13,853
|
347,342
|
4,39
|
42,43
|
0,84
|
1,09
|
|
2018
|
0,506
|
16,087
|
59,196
|
403,297
|
0,97
|
13,851
|
361,193
|
4,29
|
42,8
|
0,79
|
1,04
|
|
2019
|
0,509
|
17,056
|
59,705
|
414,738
|
0,97
|
13,851
|
375,045
|
4,27
|
43,16
|
0,73
|
0,97
|
|
2020
|
0,505
|
17,927
|
60,210
|
426,180
|
0,97
|
13,851
|
388,897
|
4,2
|
43,53
|
0,68
|
0,91
|
|
2021
|
0,513
|
19,329
|
60,723
|
437,621
|
0,97
|
13,853
|
402,750
|
4,23
|
43,9
|
0,63
|
0,85
|
|
2022
|
0,513
|
20,578
|
61,236
|
449,063
|
0,98
|
13,853
|
416,603
|
4,2
|
44,27
|
0,58
|
0,79
|
|
2023
|
0,497
|
21,243
|
61,733
|
460,504
|
0,98
|
13,849
|
430,452
|
4,03
|
44,63
|
0,54
|
0,74
|
|
2024
|
0,507
|
23,222
|
62,240
|
471,946
|
0,98
|
13,851
|
444,303
|
4,07
|
45
|
0,50
|
0,69
|
Динамика годовой добычи нефти, жидкости,
годовой закачки воды приведена на рис. 5.1.
Рис. 5.1. Динамика годовой добычи нефти,
жидкости, годовой закачки воды
Динамика накопленной добычи нефти,
жидкости и накопленной закачки воды приведена на рис. 5.2.
Рис. 5.2. Динамика накопленной добычи нефти, жидкости
и накопленной закачки воды
Динамика КИН, темпа отбора от НИЗ и темпа отбора от
ТИЗ приведены на рис. 5.3.
Рис. 5.3.Динамика КИН, темпа отбора от НИЗ и темпа
отбора от ТИЗ
6. ВЫВОДЫ И РЕКОМЕНДАЦИИ
Приведенные анализы эффективности микробиологического
воздействия показали очень низкую эффективность данного метода.
В качестве применения технологии
увеличения нефтеотмывающей способности вытесняющего агента в скважинах,
разрабатываемых низкопроницаемые коллектора при первичном заводнении
рассматривается закачка водорастворимых поверхностно-активных веществ (ПАВ АФ9-12).
Разработку заводнённых пластов более
эффективно вести с применением маслорастворимых ПАВ (АФ9-6).
При закачке закачка водных дисперсий
маслорастворимых НПАВ в пласте на фронте вытеснения формируется
микроэмульсионная оторочка с низким содержанием нефти, хорошей нефтевытесняющей
способностью и вязкостью, близкой к вязкости нефти, что увеличивает коэффициент
вытеснения и охват пласта заводнением.
В качестве наиболее характерного примера применения
технологий ограничения подвижности закачиваемого агента в зонах высокой
водонасыщенности рассматривается технология с использованием композиционных
систем на основе капсулированных полимерных систем (КПС) и закачка
дисперсно-коллоидного материала (ДКМ).
СПИСОК ИСПОЛЬЗОВАННОЙ ЛИТЕРАТУРЫ
1.
Желтов Ю.П. Разработка нефтяных месторождений.
- М.: Недра, 1998.
2.
Ибатуллин Р.Р. Теоретические
основы процессов разработки нефтяных месторождений: Курс лекций. Часть 1.
Системы и режимы разработки: Учебно-методическое пособие. - Альметьевск: АГНИ,
2007.
3.
Ибатуллин Р.Р. Теоретические основы
процессов разработки нефтяных месторождений: Курс лекций. Часть 2. Процессы
воздействия на пласты (Технологии и методы расчета): Учебно-методическое
пособие. – Альметьевск: АГНИ, 2008.
4.
Ибатуллин Р.Р., Гарипова Л.И.
Сборник задач по теоретическим основам разработки нефтяных месторождений. -
Альметьевск: АГНИ, 2008.
5.
Муслимов Р.Х. Современные методы
повышения нефтеизвлечения: проектирование, оптимизация и оценка эффективности:
Учебное пособие. – Казань: изд-во "Фэн" Академии наук РТ, 2005.
6.
Увеличение нефтеотдачи на поздней
стадии разработки месторождений (методы, теория, практика) /Р.Р. Ибатуллин,
Н.Г. Ибрагимов, Ш.Ф. Тахаутдинов, Р.С. Хисамов. – М.: Недра – Бизнесцентр,
2004.
7.
Расторгуева Л.Г., Захарова Е.Ф.
Методическое пособие по разработке дипломного проекта в соответствии с
требованиями стандартов к оформлению текстовой и графической части..
Альметьевск 2007.