Проектирование крана
Содержание
1. Механизм
подъема
1) Выбор
электродвигателя
2) Полиспаст
3) Выбор
каната
5) Крюковая
подвеска и блоки
6) Привод
2.
Металлоконструкция крана
3. Расчет
прогиба
4. Расчет
подшипников опорно-поворотного устройства
1) Реакция
упорного подшипника
2)
Расстояние между радиальными подшипниками (рис.1, а)
5. Расчет
механизма поворота
1) Момент
сопротивления повороту крана в период пуска
2) Момент
сил трения
3)
Динамический момент
4) Момент
инерции крана
5) Угловое
ускорение крана (минимальное)
6) Мощность
электродвигателя в период пуска
Список
литературы
Статическая мощность:
Q = 12500H - грузоподъемность
V = 6 м/мин - скорость подъема
= 0,75 - КПД привода
Gзахв = 0,03Q - вес грузозахватного устройства
Мощность электродвигателя:
По каталогу выбираем электродвигатель АИР112МВ6У3
РЭД = 4 кВт; nЭД=920
об/мин.
Для кранов при Q<40кН
рекомендуется использовать двукратные одинарные полиспасты.
a = 2 - кратность полиспаста
t = 1 - число отклоняющих блоков
m = 1 - число канатов, навиваемых на
барабан
= 0,98 - КПД блока
КПД полиспаста:
Наибольшее натяжение в канате
Разрушающая нагрузка каната должна быть:
k = 6 - коэффициент запаса прочности
каната в зависимости от режима работы.
По ГОСТ 2688-80 выбираем канат типа ЛК-Р диаметром dк = 9,1 мм с
при
пределе прочности материала проволок 1770 мПа. Канат крепим к барабану прижимными
планками.
Диаметр болтов:
Принимаем болты M14
4) Барабан
Диаметр барабана по дну желоба:
e = 20 - коэффициент,
регламентированный Ростехнадзором, зависит от типа крана и режима работы
Округляем Dбар до
стандартного значения и принимаем Dбар = 200
мм
Шаг нарезки:
Р = (1,1…1,2) dк = (1,1…1,2)
9,1=10,01…10,92 мм
Принимаем р = 10,5 мм
Толщина стенки:
Принимаем
= 12 мм.
Напряжения сжатия в стенке барабана:
[
] СЖ = 130
- для чугуна СЧ15
Длина барабана
- расстояние до
начала нарезки
- длина рабочей
части барабана
- число рабочих
витков
- длина барабана, на
которой располагаются разгружающие витки
- длина барабана, на
которой располагается крепление каната.

Диаметр блоков отклоняющих и в крюковой подвеске:
e = 16
Рекомендуется расчетный Dбл’
увеличивать на 25%
Dбл = 1.25 Dбл’ = 1,25*172,9 = 216 мм
Округляем до стандартного значения и принимаем Dбл = 220 мм
Диаметр оси блока:
- расстояние между
щеками подвески
Принимаем d = 25 мм.
Наибольшая нагрузка на подшипники блока:
= 2 - число
подшипников в блоке.
Эквивалентная нагрузка на подшипник:
P = FблKбVKHE = 6636*1.3*1.1*0.5
= 4744 H
KHE = 0.5 - коэффициент
эквивалентности
Kб = 1,3 - коэффициент
безопасности
V = 1.1 - вращение наружного кольца
Число оборотов блока:
Требуемая динамическая грузоподъемность:
Lп = 20000часов
Выбираем радиальный подшипник 205 по ГОСТ 8338-75 с С=14кН. Размеры
подшипника d x D x B = 25 x 52 x 15 мм.
Крюк выбираем по ГОСТ6627-74 по грузоподъемности и в зависимости от режима
работы следует применять крюк №5. Диаметр шейки крюка d
= 24 мм, резьба на хвостовике М25. По диаметру шейки выбираем упорный подшипник
8205 по ГОСТ 6874-75 со статической грузоподъемностью С0 = 24,7 кН.
Требуемая статическая грузоподъемность:
Размеры подшипника d x D x H = 25 x 47 x 15 мм.
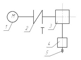
Кинематическая схема привода:
Электродвигатель
Муфта с тормозным шкивом
Редуктор червячный
Барабан
Опора
Частота вращения барабана:
Передаточное отношение привода:
Момент на барабане:
Наибольший момент на тихоходном валу редуктора:
Выбираем червячный редуктор 1Ч-160-25 с передаточным числом U=25.
Номинальный крутящий момент на тихоходном валу Tmax ном = 1130Нм.
=0,7
Фактическая частота вращения барабана:
Погрешность:
Тормоз выбираем по грузовому моменту на валу тормозного
шкива, выполненного на редукторной полумуфте:
Требуемый момент тормоза:
kторм = 1,5 - запас
торможения
По тормозному моменту выбираем нормализованный тормоз ТКП-160
с тормозным моментом ТТ = 100Нм.
Исходя из технического задания, существует несколько
вариантов исполнения металлоконструкции крана. Для более рационального
использования материала, уменьшения металлоемкости крана, уменьшения размеров
подшипников, уменьшения номенклатуры профилей, а соответственно удешевления
крана в целом предлагаю использовать в качестве колонны, оттяжек и стрелы - трубу
стальную горячекатаную бесшовную ГОСТ 8732-78, выполненную из Ст3сп5 ГОСТ
380-94; в качестве рамы - швеллер ГОСТ 8240-97, выполненный из Ст3сп5 ГОСТ 380-94.
Предварительный расчет массы крана:
Принимаем:
Колонна - труба 426х6, l=5,8м, m=360,5 кг
Оттяжка верхняя - труба 273х6, l=11м,
m=434,61 кг
Оттяжка несущая - труба 273х6, l=9,1м,
m=359,5 кг
Стержень - Круг ф160, l=5,0м, m=789 кг
Оттяжка противовеса - швеллер 24У, l=5,3м,
m=127,2кг
Противовес, исходя из конструктивных соображений, выполняем
из бетонных плит, размерами 400х400х2000. Масса одной плиты равна 800 кг. Следовательно,
противовес будет состоять из шести плит, расположенных симметрично относительно
оттяжки.
Плечо силы тяжести стрелы, совместно с консолью противовеса
и гильзой:
где 0,3 - коэффициент плеча силы тяжести стрелы, консоли
противовеса и гильзы.
где
- плечо силы тяжести
противовеса (противовес вдвое уменьшает опрокидывающий момент, реакции
горизонтальных подшипников и момент, изгибающий колонну, если он уравновешивает
стрелу и половину номинального груза).
Момент, изгибающий колонну при номинальном грузе:
Момент, изгибающий колонну при отсутствии груза:
Если имеем равенство абсолютных значений:
то противовес выбран правильно. Далее считаем, что
.
Напряжение изгиба внизу колонны можно определить из условия
прочности колонны
откуда момент сопротивления колонны
где
- коэффициент запаса
прочности [2, с.114] ;
- коэффициент
безопасности [2, с.115].
Выполним наконечники колонны из стали 35 ГОСТ 8731 (термообработка
- нормализация), для которой
Выберем трубу колонны стальную бесшовную
горячедеформированную, ГОСТ 8732 (прилож.3), наружный диаметр
толщина стенки
Внутренний диаметр трубы колонны
Момент сопротивления трубы колонны изгибу
.
Условие прочности трубы колонны по п.1.4 выполняется с
некоторой избыточностью:
Поэтому предел текучести трубы колонны можно задать меньшим
или равным пределу текучести наконечника. Выберем для трубы колонны сталь 35,
для которой
. Обозначение заготовки трубы
колонны в спецификации:
Сталь Б10 менее прочна, чем сталь В35, но прочность шкворня
окажется, по-видимому, достаточной, так как гильза имеет значительно больший
диаметр, чем колонна.
Вертикальный прогиб под воздействием груза для данной
расчетной схемы определяется по формуле:
,
где
- угол между
оттяжками стрелы
Значения моментов инерции сечений по таблице
Допустимый прогиб
Расчетный прогиб не превышает допустимого, значит
конструкция прочна и устойчива.
Вертикальное усилие
,
действующее на верхнюю опору:
, где
Q= 12,5кН - вес груза;
G= 22,5кН - вес поворотной части
крана;
Gпр=65кН - вес противовеса
Выберем упорный подшипник по статической грузоподъемности
из условия
Этому условию удовлетворяет подшипник шариковый упорный 8212
(прилож.1).
Его внутренний диаметр
высота
наружный диаметр
статическая грузоподъемность
Для равномерного нагружения шариков
установлена выпуклая и вогнутая сферические шайбы радиусом R из центра
верхнего радиального подшипника.
Примем, исходя из соотношения
Примем
Реакции
радиальных подшипников
Выберем верхний радиальный подшипник по статической
грузоподъемности
из условия
Этому условию удовлетворяет подшипник 1220. Его внутренний
диаметр
статическая грузоподъемность
наружный -
ширина
Нижнюю опорную часть выполним в виде
круга катания, имеющих с внутренней стороны замкнутую дорожку катания для
опорных роликов, а в центре полую ступицу для размещения вала ОПУ. На круге
катания закреплен зубчатый венец, вокруг которого обкатывается шестерня
механизма поворота, установленного на опорной части.
(1)
где
- момент сил трения;
- динамический момент.
где
- приведенный
коэффициент трения в подшипниках [6, с.49],
(2)
где
- момент инерции
крана и механизма поворота относительно оси вращения;
- угловое ускорение крана.
где
1,3-1,4 - коэффициент,
учитывающий инерционность поворотной части крана (без груза и противовеса);
1,05-1,1 - коэффициент, учитывающий
инерционность механизма поворота.
Примем
Тогда
где
- минимальное
линейное ускорение груза.
Получим
Тогда по формуле (2) имеем
По формуле (1) момент сопротивления повороту крана в период
пуска составит
где
- КПД механизма,
здесь
-
КПД одноступенчатого червячного редуктора (примем
),
- КПД открытой зубчатой пары.
Тогда
Получим
Выберем электродвигатель 4АС90LE6 со встроенным
электромагнитным тормозом. Номинальная мощность электродвигателя
при
Для
заданной группы классификации механизма М6 имеем
(табл.1).
Частота вращения
Момент инерции
электродвигателя
(прилож.4).
Угловая скорость электродвигателя
Номинальный момент электродвигателя
Вал электродвигателя цилиндрический длиной
диаметром
[8,
с.84].
Выберем редуктор 3МП-40-35,5-280-120-380-У3 с номинальным
моментом на тихоходном валу
. Это
несколько меньше расчетного значения, но значение
дано
для непрерывной работы в течение 24 ч. Согласно ГОСТ 16162-78 редукторы общего
назначения, в том числе планетарные, в период пуска должны допускать
кратковременные перегрузки, в 2 раза превышающие номинальные. Тогда допускаемый
крутящий момент на тихоходном валу редуктора при пуске составит
т.е. редуктор подходит.
Редуктор 3МП-40-35,5-280-120-380-У3 при
имеет:
конец
тихоходного вала - конический, диаметром 50 мм, длиной 110 мм, с посадочной
частью вала длиной 82 мм; конец быстроходного вала - конический, диаметром 32 мм,
длиной 58 мм.
Примем диаметр делительной окружности подвенцовой шестерни
, минимальное число зубьев шестерни
17-25.
Модуль зубчатого зацепления
Примем
мм;
Диаметр делительной окружности подвенцовой шестерни
Число зубьев зубчатого венца
Диаметр делительной окружности зубчатого венца
что приемлемо по габаритам.
Межосевое расстояние
Ширина зубчатого венца
где
0,1-0,4 - коэффициент
ширины зубчатых колес.
Примем
Желательно выполнить расчет зубьев на прочность. Возможно,
потребуется увеличить значение
и ширину
открытой зубчатой передачи.
1. Правила устройства и
безопасной эксплуатации грузоподъемных кранов. - М.: ПИО ОБТ, 2000. - 266 с.
2. Александров М.П. Грузоподъемные
машины. - М.: Высшая школа, 2000. - 552 с.
3. Анурьев В.И. Справочник
конструктора-машиностроителя: В 3 томах. Т.1. - М.: Машиностроение, 1982. - 756
с.
4. Анурьев В.И. Справочник
конструктора-машиностроителя: В 3 томах. Т.3. - М.: Машиностроение, 1982. - 556
с.
5. Коросташевский Р.В., Нарышкин
В.Н., Старостин В.Ф. и др. Подшипники качения: Справочник-каталог / Под ред.
В.Н. Нарышкина, Р.В. Корасташевского. - М.: Машиностроение, 1984. - 280 с.
6. Казак С.А., Дусье В.Е., Кузнецов
Е.С. Курсовое проектирование грузоподъемных машин / Под ред. С.А. Казака. -
М.: Высшая школа, 1983. - 320 с.
7. Кузьмин А.В., Марон Ф.Л. Справочник
по расчетам механизмов ПТМ. - Минск: Высшая школа, 1983. - 352 с.
8. Яуре А.Г., Певзнер Е.М. Крановый
электропривод: Справочник. - М.: Энергоиздат, 1988. - 344 с.
9. Приводы машин: Справочник
/ Под ред. В.В. Длоугого. - Л.: Машиностроение, 1982. - 384 с.
10. Анфимов М.И. Редукторы. Конструкции
и расчет: Альбом. - М.: Машиностроение, 1993. - 464 с.
11. Поляков В.С., Барбаш И.Д., Ряховский
О.А. Справочник по муфтам. - Л.: Машиностроение, 1979. - 344 с.
12. Справочник по кранам: В 2
томах. Т.2 / Под ред. М.И. Гохберга. - М.: Машиностроение, 1988. - 560 с.