Проектирование кинематики приводной станции
СОДЕРЖАНИЕ
1.
Кинематика
и энергетика силовой станции
2.
Расчет
цепной передачи
3.
Расчет
цилиндрической косозубой передачи первой ступени
4.
Расчет
цилиндрической прямозубой передачи второй ступени
5.
Расчет
входного вала
6.
Расчет
промежуточного вала
7.
Расчет
выходного вала
8.
Выбор
и расчет подшипников
9.
Расчет
элементов корпуса редуктора
10.
Расчет
шпоночных соединений
11.
Смазка
редуктора
12.
Экономическая
оценка редуктора
Литература
1.
КИНЕМАТИКА И ЭНЕРГЕТИКА СИЛОВОЙ СТАНЦИИ
Исходные
данные:
Мощность,
затрачиваемая на тех. процесс, кВт
Частота
вращения технологического вала, об/мин
КПД
цилиндрической передачи
КПД
цепной передачи
Срок
службы привода, часов
Расчет:
Общий
КПД привода
=
Потребная
мощность
=
кВт
Определяем
рациональный диапазон общего передаточного числа привода:
Минимальное
и максимальное рекомендуемое передаточное число для цепной передачи
Минимальное
и максимальное рекомендуемое передаточное число для цилиндрической передачи
Минимальное
и максимальное передаточное число привода
=
=
Минимальная
и максимальная частота вращения электродвигателя
=
об/мин
=
об/мин
Выбираем
электродвигательМ100L4У3
кВт
об/мин
мм
Общее
передаточное число привода
=
Производим
разбивку по передачам
=
Расчетные
параметры на всех валах приводной станции:
Частоты
вращений, об/мин:
Мощности,
кВт:
Вращающее
моменты, Нм:
2.
РАСЧЕТ ЦЕПНОЙ ПЕРЕДАЧИ
Исходные
данные:
Мощность
на ведущей звездочке
Вт
Частота
вращения ведущей звездочки
мин-1
Передаточное
число передачи
Режим
работы передачи - ВТ
Угол
наклона передачи к горизонту
Срок
службы передачи
часов
Расчет:
Выбираем
тип цепи из наиболее распространенных:
ПВ
(2ПВ) - приводная втулочная однорядная (двухрядная)
ПР
(2ПР) - приводная роликовая однорядная (двухрядная)
ПЗ-1
(ПЗ-2) - приводная зубчатая однорядная (двухрядная)
Принимаем
тип: 2ПР
Принимаем
число рядов цепи
Выбираем
среднее допускаемое давление в шарнирах цепи для данной частоты, МПа:
Коэффициент
наклона передачи:
Коэффициент
режима работы:
Коэффициент
регулировки:
Коэффициент
смазки:
Коэффициент
эксплуатации передачи:
=
Назначаем
числа зубьев звездочек
=
Целое
нечетное число. Принимаем:
=
Целое
нечетное число
Определяем
шаг цепи из условия износостойкости шарниров и допускаемой частоты вращения
звездочки, варьируя числом рядов цепи
Округляем
до ближайшего стандартного шага
мм
Геометрические
размеры передачи:
Межосевое
расстояние
=
мм.
Число
звеньев цепи, целое четное число
Принимаем:
Делительные
диаметры звездочек
Диаметр
пальца
мм
Диаметр
ролика
мм
Ширина
цепи
мм
Расстояние
между внутренними пластинами
мм
Масса
одного метра цепи
кг
Наружные
диаметры звездочек
Проверочный
расчет цепи на износостойкость по удельному давлению в шарнирах и долговечность
по числу ударов в секунду
Допускаемая
частота ударов цепи в секунду, с-1
Нагрузка
на вал в цепной передаче
Геометрические
характеристики зацепления
Угол
сопряжения
Половина
угла впадины
Профильный
угол
Радиус
впадины зуба
Радиус
сопряжения
Радиус
закругления зуба
=
мм
Координата
центра радиуса
=
мм
Расстояние
между рядами:
мм
Ширина
зуба звездочки для двухрядной цепи:
=
мм
Ширина
венца двухрядной звездочки:
=
мм
Диаметры
окружности впадин:
=
мм
=
мм
Диаметр
обода звездочки:
=
мм
3.
РАСЧЕТ ЦИЛИНДРИЧЕСКОЙ КОСОЗУБОЙ ПЕРЕДАЧИ ПЕРВОЙ СТУПЕНИ
Исходные
данные:
Мощность
на колесе, Вт
Частота
вращения шестерни и колеса, мин-1
Передаточное
число
Угол
наклона зубьев, град
Условный
угол воспринемаемого смещения, град
Срок
службы передачи, часов
Режим
работы передачи
Коэффициент
нагрузки при контактных расчетах
Коэффициент
нагрузки при изгибных расчетах
Коэффициент
эквивалентности режима при контактных расчетах
Коэффициент
эквивалентности режима при изгибных расчетах
Материал
для шестерни Сталь 40Х улучшенная
Материал
для колеса Сталь 40Х нормализованная
Твердость
по Бринелю материала шестерни
Твердость
по Бринелю материала колеса
Коэффициент
влияния твердости на конт. выносливость
При
НВ<350
Коэффициент
влияния твердости на изг. выносливость
При
НВ<350
Базовое
число циклов контактных испытаний
Базовое
число циклов изгибных испытаний
Пределы
текучести материалов шестерни и колеса, Мпа
Пределы
прочности материалов шестерни и колеса, МПа
Коэффициент
ширины по межосевому расстоянию в оптимальном диапазоне
Расчет:
Допускаемое
напряжение контактной выносливости с учетом срока службы и режима работы:
Принимаем:
Принимаем:
МПа
Условное
допускаемое напряжение контактной выносливости:
Допускаемое
напряжение изгибной выносливости с учетом срока службы и режима работы:
Менее
Принимаем:
Мпа
Принимаем:
МПа
Условное
допускаемое напряжение изгибной выносливости - наименьшее из рассчитанных:
Межосевое
расстояние в пределах вариации коэффициента ширины:
Принимаем:
мм
Максимальная
ширина поля зацепления:
Принимаем:
мм
Модуль
зацепления:
=
мм
Модуль
зацепления согласуем со стандартным:
мм
Число
зубьев шестерни, не более:
=
Принимаем:
Число
зубьев колеса, не более:
=
Принимаем:
=
Уточненное
значение угла наклона зубьев:
Коэффициенты
суммарного и уравнительного смещения исходного контура:
Принимаем:
Межосевое
расстояние делительное:
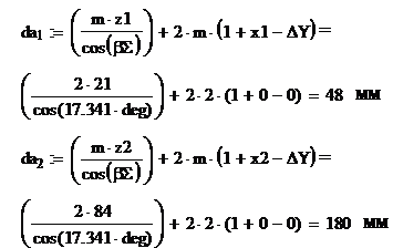
Делительные
диаметры зубчатых колес:
Начальные
диаметры зубчатых колес:
Внешние
диаметры зубчатых колес:
Внутренние
диаметры зубчатых колес:
Толщина
зубьев на делительном цилиндре:
Толщина
зубьев при вершине:
Окружная
скорость
Силовые
компоненты в зацеплении:
Проверочные
расчеты контактной и изгибной выносливости.
Коэффициенты
внешней динамической нагрузки:
Коэффициенты
неравномерности нагрузки по зубьям:
Коэффициенты
внутренней динамичности:
Коэффициенты
неравномерности нагрузки по длине зуба:
Эквивалентное
число зубьев:
Коэффициент
формы зуба:
Контактное
напряжение:
= 576.9 МПа
Перегрузка:

В
пределах допустимых 6%
Изгибные
напряжения:
=
МПа
=
МПа
Менее
допустимого
4.
РАСЧЕТ ЦИЛИНДРИЧЕСКОЙ ПРЯМОЗУБОЙ ПЕРЕДАЧИ ВТОРОЙ СТУПЕНИ
Исходные
данные:
Мощность
на колесе, Вт
Частота
вращения шестерни и колеса, мин-1
Передаточное
число
Угол
наклона зубьев, град
Условный
угол воспринемаемого смещения, град
Срок
службы передачи, часов
Режим
работы передачи
Коэффициент
нагрузки при контактных расчетах
Коэффициент
нагрузки при изгибных расчетах
Коэффициент
эквивалентности режима при контактных расчетах
Коэффициент
эквивалентности режима при изгибных расчетах
Материал
для шестерни Сталь 40Х улучшенная
Материал
для колеса Сталь 40Х нормализованная
Твердость
по Бринелю материала шестерни
Твердость
по Бринелю материала колеса
Коэффициент
влияния твердости на конт. выносливость
При
НВ<350
Коэффициент
влияния твердости на изг. выносливость
При
НВ<350
Базовое
число циклов контактных испытаний
Базовое
число циклов изгибных испытаний
Пределы
текучести материалов шестерни и колеса, МПа
Пределы
прочности материалов шестерни и колеса, МПа
Коэффициент
ширины по межосевому расстоянию в оптимальном диапазоне
Расчет:
Допускаемое
напряжение контактной выносливости с учетом срока службы и режима работы:
=
Менее
=
МПа
Принимаем:
МПа
=
Менее
=
МПа
Принимаем:
МПа
Условное
допускаемое напряжение контактной выносливости для прямозубой передачи
-наименьшее из рассчитанных:
=
МПа
Допускаемое
напряжение изгибной выносливости с учетом срока службы и режима работы:
=
МПа
Менее
=
МПа
Принимаем:
Мпа
=
МПа
Менее
=
МПа
Принимаем:
МПа
Условное
допускаемое напряжение изгибной выносливости - наименьшее из рассчитанных:
Мпа
Межосевое
расстояние в пределах вариации коэффициента ширины:
=
мм
Принимаем:
мм
Максимальная
ширина поля зацепления:
Принимаем:
мм
Модуль
зацепления:
=
мм
Модуль
зацепления согласуем со стандартным:
мм
Число
зубьев шестерни, не более:
=
Принимаем:
Число
зубьев колеса, не более:
=
Принимаем:
=
Коэффициенты
суммарного и уравнительного смещения исходного контура:
=
=
Принимаем:
Межосевое
расстояние делительное:
=
мм
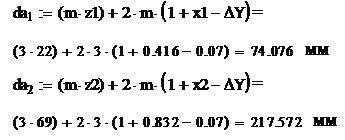
Делительные
диаметры зубчатых колес:
=
мм
=
мм
Начальные
диаметры зубчатых колес:
=
мм
=
мм
Внешние
диаметры зубчатых колес:
Внутренние
диаметры зубчатых колес:
Толщина
зубьев на делительном цилиндре:
Толщина
зубьев при вершине:
Окружная
скорость
=
м/с
Силовые
компоненты в зацеплении:
=
Н
=
Н
Проверочные
расчеты контактной и изгибной выносливости.
Коэффициенты
внешней динамической нагрузки:
Коэффициенты
неравномерности нагрузки по зубьям:
Коэффициенты
внутренней динамичности:
Коэффициенты
неравномерности нагрузки по длине зуба:
Коэффициент
формы зуба:
Контактное
напряжение:
=
=
МПа
Перегрузка:

В
пределах допустимых 6%
Изгибные
напряжения:
=
МПа
=
МПа
Менее
допустимого
5.
РАСЧЕТ ВХОДНОГО ВАЛА
Исходные
данные
Материал
вала Сталь 40Х
Предел
прочности материала вала, МПа:
Мощность,
снимаемая с вала, Вт:
Частота
вращения вала, об/мин:
Компоненты
силового взаимодействия в зацеплении зубчатых колес, Н
Моменты
от переноса осевой составляющей в зацеплении зубчатых колес к оси вращения
вала, Нм:
Срок
службы вала, часов
Крутящий
момент в нагруженных сечениях вала, Нм
Расстояния
между точками приложения сил, м:
Расчет
Компоненты
реакций в опорах вала, Н:
Проверка
Диаметр
входного конца из условия прочности на кручение, мм:
=
Принимаем
диаметр входного конца
Диаметр
под подшипником
=
Учитывая
Dn > Dbx+3 , принимаем
Изгибающие
моменты, Нм:
Минимальный
диаметр под шестерней, мм:
=
Шестерню
выполняем заодно с валом
Проверочный
расчет вала на выносливость в опасных сечениях по коэффициенту безопасности
Прочность
и жесткость вала обеспечены
6.
РАСЧЕТ ПРОМЕЖУТОЧНОГО ВАЛА
Исходные
данные
Материал
вала Сталь 40Х
Предел
прочности материала вала, МПа:
Мощность,
снимаемая с вала, Вт:
Частота
вращения вала, об/мин:
Компоненты
силового взаимодействия в зацеплении зубчатых колес, Н:
Моменты
от переноса осевой составляющей в зацеплении зубчатых колес к оси вращения
вала, Нм:
Срок
службы вала, часов
Крутящий
момент в нагруженных сечениях вала, Нм
Расстояния
между точками приложения сил, м:
Расчет
Компоненты
реакций в опорах вала, Н:
Проверка
Диаметр
под подшипником
=
Учитывая
Dn > Dbx+3 , принимаем
Изгибающие
моменты, Нм:
Минимальный
диаметр под колесом, мм:
=
Шестерню
выполняем заодно с валом
Проверочный
расчет вала на выносливость в опасных сечениях по коэффициенту безопасности
Для
сечения под шестерней
Для
сечения под колесом
Прочность
и жесткость вала обеспечены
7.
РАСЧЕТ ВЫХОДНОГО ВАЛА
Материал
вала Сталь 45
Предел
прочности материала вала, МПа:
Мощность,
снимаемая с вала, кВт
Частота
вращения вала, об/мин:
Компоненты
силового взаимодействия в зацеплении зубчатых колес, Н:
Нагрузка
от цепной передачи, Н:
Срок
службы вала, часов:
Крутящий
момент в нагруженных сечениях вала, Нм:
Расстояния
между точками приложения сил, Н:
Расчет
Компоненты
реакций в опорах вала, Н:
Диаметр
входного конца из условия прочности на кручение, мм:
=
Принимаем
диаметр входного конца
Диаметр
под подшипником, мм:
=
Принимаем
Изгибающие
моменты, Нм:
Диаметр
под колесом, мм:
=
Принимаем
мм
Проверочный
расчет вала на выносливость в опасных сечениях по коэффициенту безопасности
В
сечении под колесом
В
сечении под подшипником
Прочность
и жесткость вала обеспечены
8.
ВЫБОР И РАСЧЕТ ПОДШИПНИКОВ
Предварительно
назначаем подшипники для опор вала
Для
опор входного вала
Н
Н
Н
Н
Н
Назначаем
подшипники роликовые конические однорядные 7205 ГОСТ 333-79
Н
Н
Определяем
радиальные и осевые составляющие для опоры В
Определяем
коэффициенты радиальной и осевой нагрузок
Определяем
теоретический срок службы в часах:
Частота
вращения входного вала
мин-1
=
Определяем
радиальные и осевые составляющие для опоры С
=
Н
=
Н
Определяем
коэффициенты радиальной и осевой нагрузок
Теоретический
срок службы в часах
=
Срок
службы вала 4000 часов. Долговечность подшипников вала обеспечена
Для
опор промежуточного вала
Назначаем
подшипники роликовые конические однорядные 7207 ГОСТ 333-79
Н
Н
Определяем
радиальные и осевые составляющие для опоры В
=
Н
=
Н
Определяем
коэффициенты радиальной и осевой нагрузок
Определяем
теоретический срок службы в часах:
Частота
вращения выходного вала
мин-1
=
Определяем
радиальные и осевые составляющие для опоры С
=
Н
=
Н
Теоретический
срок службы в часах
=
Срок
службы вала 4000 часов. Долговечность подшипников вала обеспечена
Для
опор выходного вала
Н
Н
Н
Н
Н
Назначаем
подшипники шариковые радиальные однорядные 209 ГОСТ 333-79
Н
Н
Определяем
радиальные и осевые составляющие для опоры В
=
Н
Определяем
коэффициенты радиальной и осевой нагрузок
Определяем
теоретический срок службы в часах:
Частота
вращения входного вала
мин-1
=
Определяем
радиальные и осевые составляющие для опоры С
=
Н
Теоретический
срок службы в часах
=
Срок
службы вала 4000 часов. Долговечность подшипников вала обеспечена
9.
РАСЧЕТ ЭЛЕМЕНТОВ КОРПУСА РЕДУКТОРА
Исходные
данные:
Максимальное
межосевое расстояние
мм
Толщина
стенок корпуса
=
мм
Принимаем
мм
Толщина
стенок крышки корпуса
=
мм
Принимаем
мм Толщина фланца корпуса
=
мм
Толщина
фланца крышки корпуса
=
мм
Диаметр
фундаментных болтов
=
мм
Принимаем
болты М16
Ширина
нижнего пояса основания корпуса
=
мм
Принимаем
мм
10.
РАСЧЕТ ШПОНОЧНЫХ СОЕДИНЕНИЙ
Входной
вал:
Исходные
данные
Передаваемый
момент
Н*м
Диаметр
вала
мм
Допускаемое
напряжение при смятии
МПа
Полная
длина шпонки
мм
Ширина
шпонки
мм
Высота
шпонки
мм
Глубина
паза вала
мм
Расчет
Расчет
ведется на смятие боковых граней, выступающих из вала
=
МПа
Менее
допускаемого напряжения при смятии. Прочность шпонки обеспечена.
Промежуточный
вал:
Исходные
данные
Передаваемый
момент
Н*м
Диаметр
вала
мм
Допускаемое
напряжение при смятии
Полная
длина шпонки
мм
Ширина
шпонки
мм
Высота
шпонки
мм
Глубина
паза вала
мм
Расчет
=
МПа
Менее
допускаемого напряжения при смятии. Прочность шпонки обеспечена.
Выходной
вал:
Под
колесо:
Исходные
данные
Передаваемый
момент
Н*м
Диаметр
вала
мм
Допускаемое
напряжение при смятии
МПа
Полная
длина шпонки
мм
Ширина
шпонки
мм
Высота
шпонки
мм
Глубина
паза вала
мм
Расчет
=
МПа
Менее
допускаемого напряжения при смятии. Прочность шпонки обеспечена.
11.
ВЫБОР СОРТА МАСЛА
Смазывание
зубчатых зацеплений производится окунанием зубчатых колес в масло, заливаемое внутрь
корпуса редуктора до уровня, обеспечивающего погружение колеса примерно на 10
мм. Объем масляной ванны определяется из расчета 0.4 ... 0.8 л на 1 кВт передаваемой
мощности:
л
Для
контактных напряжений н < 600 Мпа и скорости v < 5 м/c рекомендуемое
масло И-Г-А-46 ГОСТ 17479.4-87 с кинематической вязкостью 41...51 сСт.
12.
ЭКОНОМИЧЕСКАЯ ОЦЕНКА РЕДУКТОРА
Внутренний
объем редуктора определяем по сборочному чертежу:
м3
Вращающий
момент на выходе редуктора:
Нм
Отношение
внутреннего объема к вращающему моменту на выходе::
=
ЛИТЕРАТУРА
1. Томило
С.С., Шинкевич А.Н. и др. Кинематика и энергетика приводной станции.-Мн.
Ротапринт БГАТУ, ЛП №42, 2000. 13с.
2. Томило
С.С., Шинкевич А.Н. и др. Расчет передач с гибкой связью. -Мн. Ротапринт БГАТУ,
ЛП №2, 2000. 28с.
3. Томило
С.С., Шинкевич А.Н. и др. Расчет редукторных передач. -Мн. Ротапринт БГАТУ, ЛП
№42, 2000. 62с.
4. Томило
С.С., Шинкевич А.Н. и др. Расчет редукторных валов. -Мн. Ротапринт БГАТУ, ЛП
№342, 2001. 39с.
5. Шейнблинт
А.Е. Курсовое проектирование деталей машин. –М.: Высшая школа, 1991. 432с.