|
Наименование
параметров
|
Величина
|
|
Мощность
двигателя, кВт
|
59,5
|
|
Емкость
ковша, м3
|
0,65
|
|
Давление в
гидросистеме, МПа
|
32
|
|
Тип насоса
|
Аксиально-поршневой
|
|
Глубина
копания обратной лопаты, м
|
4,8
|
|
Высота
выгрузки наибольшая обратной лопаты, м
|
6,4
|
|
Радиус
выгрузки наибольшей обратной лопаты, м
|
8,25
|
|
Продолжительность
рабочего цикла при копании обратной лопаты, с
|
21
|
|
Габариты в
транспортной положении обратная лопата, мм
А) длина
Б) ширина
В) высота
|
8000
2500
3200
|
|
Масса
экскаватора, т
|
12,9
|
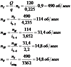
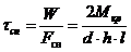
2. Тяговый расчет
Исходные
данные
Gэ=12900 кг – масса
экскаватора,
ν=2.42 км/ч
– скорость передвижения,
α=200
– угол наклона местности
cos α=cos 200=0.939,
sin α=sin 200=0.342
Суммарное
сопротивление движению гусеницы на подъем:
W=W1+W2+W3,
где W1–сопротивление грунта
передвижению гусениц с учетом преодоления уклона местности.
даН,
где
– коэффициент сопротивления движению
зависящий от характера грунта,
– сопротивление движению ветра,
даН,
где
– давление ветра,
– подветренная площадь,
– сопротивление от сил инерции при
трогании с места в даН,
даН,
где
– ускорение силы тяжести,
– время разгона.
Суммарное
сопротивление
даН
Тяговое
усилие
даН,
где
– КПД механизма гусеничного хода равное
0,7
0,9
Тяговое усилие на каждую гусеницу
На приводе
гусеничного хода установлен гидромотор с
,
,
.
Максимальная
мощность гидромотора будет
.
Максимальное
тяговое усилие
.
Для
предупреждения буксирования гусениц экскаватора при движении по уклону
необходимо, чтобы
,
где
– коэффициент сцепления гусеницы с
грунтом,
При переезде
на ровной местности сопротивление грунта передвижению гусеницы будет:
.
Так как угол
наклона местности
, то
.
Суммарное сопротивление
движению по ровной поверхности
Тяговое
усилие
Тяговое
усилие на каждую гусеницу
Потребляемая
мощность двигателя при этом
3. Расчет мощности силовой установки
Подача
рабочей жидкости в цилиндры рабочего оборудования, в гидромотор поворота
платформы и гидромотор левой и правой гусениц осуществляется двух секционным
эксцентриковым насосом с приводом его от вала дизельного двигателя СМД‑15Н.
К гидроцилиндрам рабочего оборудования осуществляется
подача рабочей жидкости из двух секций.
К гидромотору
поворота и гидродвигателям хода правой и левой гусениц осуществляется подача
жидкости от одной секции.
Исходные
данные
Производительность
насоса одной секции
;
Двух секций
;
Номинальная
мощность двигателя
;
Давление в
гидросистеме экскаватора при работе рабочим оборудованием
.
При
передвижении
.
При повороте
.
Мощность,
затрачиваемая на работу рабочим оборудованием:
Мощность,
затрачиваемая на передвижение:
.
Мощность,
затрачиваемая на поворот платформы:
.
Как видно из
расчета при данных параметрах машины мощности двигателя установленного на ней
достаточно для реализации при работе рабочим оборудованием.
4. Определение времени исполнения полного
хода для гидроцилиндров рабочего оборудования.
Расчет для
гидроцилиндров стрелы.
Исходные
данные.
- диаметр цилиндра,
– диаметр штока,
– полный ход поршня.
Рабочая
площадь со стороны цилиндра
Рабочая
площадь со стороны штока
Усилие со
стороны цилиндра
Усилие со
стороны штока
Производительность
двух секций насоса равна
Скорость со
стороны цилиндра
Скорость со
стороны штока
Время
исполнения полного хода со стороны цилиндра
Время
исполнения полного хода со стороны штока
Расчет для
гидроцилиндра рукояти.
Исходные
данные
- диаметр цилиндра,
– диаметр штока,
– полный ход поршня.
Рабочая
площадь со стороны цилиндра
Рабочая
площадь со стороны штока
Усилие со
стороны цилиндра
Усилие со
стороны штока
Производительность
двух секций насоса питающего гидроцилиндр рукояти составляет
Скорость со
стороны цилиндра
Скорость со
стороны штока
Время
исполнения полного хода со стороны цилиндра
Время
исполнения полного хода со стороны штока
Расчет для
гидроцилиндра ковша.
Исходные
данные.
- диаметр цилиндра,
– диаметр штока,
– полный ход поршня.
Так как
гидроцилиндр отличается от гидроцилиндра рукояти лишь величиной хода,
следовательно.
Рабочая
площадь со стороны цилиндра
Рабочая
площадь со стороны штока
Усилие со
стороны цилиндра
Усилие со
стороны штока
Общая
производительность насоса, питающего гидроцилиндр ковша.
Скорость со
стороны цилиндра
Скорость со
стороны штока
Время
исполнения полного хода со стороны цилиндра
Время
исполнения полного хода со стороны штока
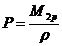
5. Расчет производительности
Рассмотрим
работу обратной лопаты при копании на полную глубину с углом поворота
.
Определим
продолжительность рабочего цикла.
Время цикла
без совмещения операций.
,
где
- время исполнения прямого хода цилиндра
стрелы (опускание стрелы);
- время исполнения прямого хода цилиндра
рукояти;
-время исполнения обратного хода цилиндра
стрелы (подъем стрелы);
-время исполнения обратного хода
цилиндра рукояти;
- время исполнения
прямого хода цилиндра ковша;
– время исполнения обратного хода
цилиндра ковша;
- время поворота с груженным ковшом;
– время разгона, равное времени
торможения.
– момент инерции рабочего оборудования
на среднем в положении выгрузки.
– движущий момент механизма поворота,
– угловая скорость при повороте.
Суммарный
угол разгона и торможения обратной лопаты с груженым ковшом.
Обратный угол
поворота в радианах
Время,
затрачиваемое на поворот рабочего оборудования с груженым ковшом.
– время поворота с пустым ковшом.
- время разгона, равное времени торможения,
– момент инерции рабочего оборудования
на среднем вылете при повороте с порожним ковшом,
– движущий момент механизма поворота,
– угловая скорость при повороте.
Суммарный
угол разгона и торможения рабочего оборудования с порожним ковшом.
Время,
затрачиваемое на поворот рабочего оборудования с пустым ковшом.
Общее время
цикла обратной лопаты при копании на полную глубину с углом выгрузки
(без совмещения операций).
Определение
производительности.
Число циклов
в минуту.
Теоретическая
производительность
Техническая
производительность
,
где
- коэффициент влияния грунта.
Для категории
грунта (I–IV) соответственно:
Эксплуатационная
производительность
где
– коэффициент использования машины во
времени.
6. Расчет усилий в элементах рабочего
оборудования
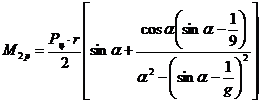
6.1 Определение усилий на режущем контуре ковша обратной
лопаты при копании цилиндром рукояти
Усилиями на
режущем контуре ковша, как функция угла поворота системы «ковш-цилиндр»
«ковша-рукоять» вокруг шарнира могут быть определены по следующей формуле:
где
– усилие гидроцилиндра рукояти;
– радиус кривошина;
– радиус копания;
– расстояние между центрами механизма;
– коэффициент, учитывающий влияние
весовых нагрузок, соответствующий емкости ковша 0,55 м3.
Определение
рабочего диапазона. Начальный угол положения исполнительного органа от линии
центров
где
– переменное расстояние между шарнирами
цилиндра рукояти в м,
в начале копания,
в конце копания.
Максимальное
значение усилия на режущем контуре ковша достигаются при положении кривошипа.
6.2 Определение усилий в шарнире ковша
Величина и непрерывных
усилий в шарнире ковша может быть определены графическим путем построения
силовых многоугольников.
Откладываем в
масштабе (в 1 см 1000 даН) вектор усилий
по
величине и направлению.
Из конца
вектора усилий 
откладываем
вектор весовых нагрузок, включая массу грунта в ковше.
где
– масса рабочего оборудования подвижного
относительно шарнира ковша в кг (масса ковша
)
– масса грунта в ковше
– количество положений ковша
– номер положения.
Из конца
вектора
откладываем по величине и направлению
вектора
. Величина его переменная, а направление
постоянное.
Замыкающий
вектор силового многоугольника по величине и направлению соответствует вектору
усилия в шарнире ковша
.
Величину
усилий
получаем путем замера величины вектора
усилия
и перемножая его величину на силовой
масштаб
.
Подсчет
значения
и
приведен
в таблице 6.2.
Таблица 6.2 –
Расчет усилий в шарнире ковша.
|
Расчетное
положение
|
, даН
|
k
|
n
|
|
, даН
|
даН
|
, даН
|
, см
|
|
, даН
|
|
1
|
3600
|
8–1=7
|
0
|
0
|
0
|
360
|
11900
|
12,2
|
В 1 см
1000 даН
|
12200
|
|
2
|
4560
|
1
|
1/7
|
143
|
503
|
15200
|
16,5
|
16500
|
|
3
|
5720
|
2
|
2/7
|
286
|
646
|
19500
|
22,7
|
22700
|
|
4
|
6220
|
3
|
3/7
|
428
|
788
|
21600
|
26,4
|
26400
|
|
5
|
6130
|
4
|
4/7
|
572
|
938
|
21700
|
27,5
|
27500
|
|
6
|
5680
|
5
|
5/7
|
715
|
1075
|
20700
|
26,6
|
26600
|
|
7
|
4870
|
6
|
6/7
|
857
|
1217
|
18800
|
24,9
|
24900
|
|
8
|
3190
|
7
|
1
|
1000
|
1360
|
13750
|
18,4
|
18400
|
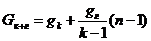
6.3 Определение усилий в шарнире рукояти
Величина и направление
усилий в шарнире рукояти может быть определена графическим путем построения
силовых многоугольников.
Откладываем в
масштабе (в 1 см 1000 даН) вектор усилий
по
величине и направлению.
Из конца
вектора усилия
откладываем вектор весовых
нагрузок, включая массу грунта в ковше.
где
– масса рабочего оборудования,
подвижного относительно шарнира ковша в кг;
– масса ковша
– масса тяги
– масса коромысла
– масса цилиндра ковша
– масса рукояти
– половина массы цилиндра рукояти

– количество положений ковша
– номер положения.
Из конца
вектора
откладываем по величине и направлению
вектор 
.
Величина его постоянное, а направление переменное, соответствующее позиции
копания.
Замыкающий
вектор силового многоугольника по величине и направлению соответствует вектору
усилия в шарнире ковша
.
Величину
усилия
получаем путем замера величины вектора
усилия
и перемножением его величины на силовой
масштаб
.
Подсчет
значения
и
приведен
в таблице 6.3.
Таблица 6.3 –
Подсчет усилий в шарнире рукояти
|
Расчетное
положение
|
, даН
|
k‑1
|
n‑1
|
|
даН
|
, даН
|
, даН
|
, см
|
|
, даН
|
|
1
|
3600
|
8–1=7
|
0
|
0
|
0
|
925
|
23200
|
23,1
|
В 1 см
1000 даН
|
23100
|
|
2
|
4560
|
1
|
1/7
|
143
|
1068
|
27,1
|
27100
|
|
3
|
5720
|
2
|
2/7
|
286
|
1211
|
28,9
|
28900
|
|
4
|
6220
|
3
|
3/7
|
428
|
1353
|
29,7
|
29700
|
|
5
|
6130
|
4
|
4/7
|
572
|
1498
|
29,8
|
29800
|
|
6
|
5680
|
5
|
5/7
|
715
|
1640
|
29,5
|
29500
|
|
7
|
4870
|
6
|
6/7
|
857
|
1782
|
29,4
|
29400
|
|
8
|
3190
|
7
|
1
|
1000
|
1925
|
29,4
|
29400
|
6.4 Определение усилий в шарнире стрелы
Величина и
направление усилий в шарнире стрелы может быть определена графическим путем
построения силовых многоугольников.
Откладываем
вектор весовых нагрузок, включая массу грунта в ковше.
– масса узлов подвижных относительно
шарнира стрелы включая массу грунта в ковше, в кг;
– половина массы цилиндра рукояти
– масса стрелы,
– масса двух цилиндров стрелы.
Из конца
вектора
откладываем по величине и направлению
вектор
. Величина его переменная, а направление
постоянные.
Замыкающий
вектор силового многоугольника по величине и направлению соответствует вектору
усилия в шарнире стрелы
. Величину усилия
получаем путем замера величины вектора
усилия
и перемножением его величины на силовой
масштаб
Подсчет
значения
и
приведен
в таблице 6.4.
Таблица
6.4 – Подсчет усилий в шарнире стрелы.
|
Расчетное
положение
|
, даН
|
, даН
|
даН
|
, даН
|
, даН
|
, см
|
|
, даН
|
|
1
|
3600
|
925
|
1068
|
1993
|
55200
|
29,6
|
В 1 см
2000 даН
|
59200
|
|
2
|
4560
|
1068
|
2136
|
68700
|
37
|
74000
|
|
3
|
5720
|
1211
|
2280
|
76000
|
41
|
82000
|
|
4
|
6220
|
1353
|
2422
|
56800
|
38
|
76000
|
|
5
|
6130
|
1498
|
2565
|
45400
|
25,5
|
51000
|
|
6
|
5680
|
1640
|
2708
|
21400
|
13
|
26000
|
|
7
|
4870
|
1782
|
2850
|
1735
|
10,6
|
21200
|
|
8
|
3190
|
1925
|
3000
|
17150
|
3,5
|
-7000
|
7. Расчет привода гусеничного хода
Согласно заданию
необходимо спроектировать привод гусеничного хода, который обеспечил бы
увеличение скорости передвижения экскаватора на 10%. Это достигается
увеличением числа оборотов ведущего колеса гусеничного хода, соответственно,
уменьшением передаточного числа привода.
Анализ
кинематики гусеничного хода показал, что наиболее просто решать эту задачу
можно, спроектировав ценную передачу с необходимыми параметрами. К тому же, как
это дано в научно-исследовательской части вместо конструкции серийной звездочки
разработана конструкция звездочки-демпфера.
Кинематический
расчет.
– подача рабочей жидкости за один
оборот,
– рабочее давление,
– производительность, идущая на ход при
– объемный КПД привода хода.
Передаточные
отношения.
Таблица 7.1 –
Данные передач
|
Наименование
шестерн
|
Модуль, мм
|
Количество
зубьев, z, б/р
|
Диам.нач. окр.,
d, мм
|
Шаг, t, мм
|
|
Шестерня, z1
|
3.25
|
17
|
55.25
|
-
|
|
Колесо, z2
|
3.25
|
72
|
234
|
-
|
|
Шестерня, z3
|
4.25
|
16
|
68
|
-
|
|
Колесо, z4
|
4.25
|
57
|
242.25
|
-
|
|
Ведущая
звездочка, z5
|
-
|
10
|
164.39
|
50.8
|
|
Ведущая
звездочка, z6
|
-
|
22
|
356.95
|
50.8
|
|
Ведущее
колесо гусеничного хода
|
-
|
-
|
526
|
-
|
|
Диаметр
качания гусеницы
|
-
|
-
|
660
|
-
|
Число
оборотов в минуту:
Скорость
передвижения гусениц.
Окружные
скорости в передачах:
Окружная
скорость в зацеплении
1 – ведущее
колесо, 2 – гидромотор.
Рисунок
7.1 – Кинематическая схема привода гусеничного хода.
Окружная
скорость в зацеплении
Окружная
скорость в цепной передаче
Окружная
скорость в зацеплении ведущего вала колеса трака гусеницы по диаметру начальной
окружности.


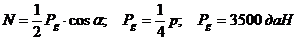
Силовой
расчет привода гусеничного хода по максимальным нагрузкам (по рабочему давлению
в гидросистеме, на которое отрегулирован клапан гидромотора хода).
Исходные
данные
Рабочее
давление в гидросистеме хода по предохранительному клапану
.
Расход
рабочей жидкости
– КПД цилиндрической передачи
– КПД цепной передачи
– объемный КПД гидромотора
– механический КПД гидромотора.
Расчет
производим по рабочему давлению.
Максимальные
крутящие моменты на I валу
Усилие в
передачах и зацеплениях.
Полное
окружное усилие в зацеплении

Радиальное
усилие в зацеплении
0 кружное
усилие в зацеплении
Радиальное
усилие в зацеплении
0 кружное
усилие в цепной передаче
Окружное
усилие на двух приводных звездочках гусениц.

Расчет вала
ведущего колеса.
Определяем
реакцию в опорах от окружного усилия (рисунок 7.2).
Максимальные
изгибающие моменты от окружных усилий.
даНсм,
даНсм.
Крутящий
момент.
Суммарные
моменты от изгиба и кручения.
Расчет ценной
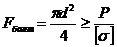
передачи.
Запас
прочности по разрывному усилию проверяется по формуле:
uде
– разрывное усилие втулочно-роликовой
цепи, даН;
– усилие, действующее в цепной передаче,
даН;
Случаи
использования полной мощности двигателя:
Расчет валов
Вал I
сталь 40 ХНМА
Запас
прочности по пределу текучести стали 40 ХНМА
Вал II
Сталь 40
ХНМА.
Запас
прочности по пределу текучести стали 40 ХНМА.
Вал III
Сталь 40 ХНМА.
Запас
прочности по пределу текучести стали 40 ХНМА
Вал IV
сталь 40 ХНМА
Запас по
пределу текучести стали 40 ХНМА.
Рисунок 7.2 –
Схема нагружения ведущего вала.
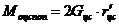
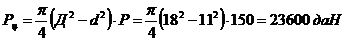
8. Расчет грейфера
Расчет усилия
на режущем контуре грейфера ведется по формуле
где
– момент на ковше грейфера, даНсм;
– радиус копания ковша грейфера.
Момент на
ковше грейфера рассчитывается по формуле
где
– усилие цилиндра грейфера, даН;
–диаметр цилиндра грейфера
– диаметр штока цилиндра грейфера;
– давление в системе;
– расстояние от шарнира крепления ковша
грейфера к штоку цилиндра до шарнира крепления тяги к ковшу;
– переменный угол, образованный
направлением усилия в цилиндре грейфера и линией, соединяющей шарниры на ковше
грейфера,
где
– плечо действия усилия цилиндра
грейфера и усилий на режущем контуре ковша грейфера произведем в таблице 8.1
Грузоподъемность
грейфера возможная по усилий двух гидроцилиндров стрелы на 370 даН меньше грузоподъемности
ковша обратной лопаты, так как вес грейфера на 370 кгс больше ковша обратной
лопаты. Грузоподъемность грейфера возможная по усилию двух гидроцилиндров
стрелы в зависимости от положения стрелы определяем графически.
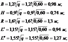
9. Расчет ковша
Ковш обратных
лопат изготавливается с закругленными неоткрывающимися днищами двух типов: с
зубьями – рекомендуется для рытья траншей и с полуоткрытой режущей кромкой без
зубьев рекомендуются для всех остальных видов разработки грунтов.
В нашем
случае принимаем ковш с зубьями.
В зависимости
от емкости ковша можно определить его размеры по определенным формулам:
Рисунок 9.1 –
Схема ковша
Определяем
размеры ковша.
где
Ориентировочный
вес ковша в зависимости от его емкости и для грунтов III категории.
Конструктивные
размеры режущей части должны соответствовать сопротивлению грунта. Чтобы
боковые стенки ковша не принимали участие в процессе резания, крайние зубья
следует устанавливать заподлицо с боковыми стенками. Ширину зубьев ковша
принимают по формуле:
Чтобы
исключить влияние основной стенки на процесс резания принимают промежутки между
зубьями:
Исходя из
этих соображений можно принять число зубьев ковша z=4.
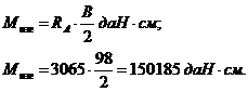
Определим
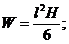
толщину днища ковша.
Принимаем,
что усилие резания
грунта действует на днище ковша по центру и
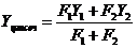
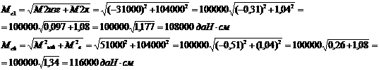
ровно 6130 даН (см. раздел 6.).
Составим
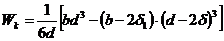
расчетную схему и определим необходимое сечение днища ковша.
Величина
опорных реакций.
Рисунок 9.2 –
Расчетная схема днища ковша.
Максимальный
изгибающий момент.
Форма сечения
днища ковша прямоугольная
Рисунок 9.3 –
Схема сечения днища ковша.

10. Расчет на прочность рукояти
Расчет ведем для случая копания грунта
при помощи гидроцилиндра рукояти, т. к. нагрузки для этого случая
возникают наибольшие.
Исходные
данные.
В процессе
копания в системе
ковш –
гидроцилиндр ковша
рукоять –
гидроцилиндр рукояти,
стрела –
гидроцилиндр стрелы – шарниры поворотной платформы для закрепления стрелы и
двух гидроцилиндров стрелы – имеют место следующие нагрузки:
– усилие на режущем контуре ковша, даН;
– усилие в гидроцилиндре ковша, даН;
– усилие в шарнире сочленения ковша с рукояти,
даН;
– усилие в гидроцилиндре рукояти, даН;
– усилие в шарнире сочленения стрелы с
поворотной платформой, даН;
– усилие в гидроцилиндрах стрелы, даН.
Для расчета
прочности узлов рабочего оборудования давления в гидроцилиндре рукояти
принимается постоянным. Значение усилий
,
,
,
,
,
, для девяти положений
приведено в таблице раздела 6.
Для расчета
рукояти принимается четвертое положение, а стрелы третье положение рабочего
оборудования на траектории копания, где значение усилий минимальное (рисунок
10.1).
Рисунок 10.1
– Схема действующих усилий в элементах рабочего оборудования
Для удобства
расчета рабочее оборудование разбиваем на узлы: ковш, рукоять, стрела.
Произведем
проверку на прочность сечений металлоконструкций рукояти.
Металлоконструкция
рукояти во время копания подвержено одновременному воздействию на нее изгиба от
сил
и
и кручения от
, а также на нее
действуют усилий растяжения и сжатия от сил
. Изгибающий момент в
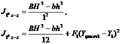
любом из принятых для расчета сечений находим по формуле:
На рисунке
10.2 обозначены места расположения принятых для расчета сечении и направлении
усилий
и
указаны также плечи
и
равнодействующих этих
усилий относительно центра тяжести сечений. Значений
,
,
и
а также подсчет
приведены в таблице
10.1.
Таблица 10.1
– Расчетные данные
|
Сечение
|
Rτ, даН
|
LR τ, м
|
|
Pук, даН
|
|
|
|
|
I–I
|
6220
|
3,48
|
21600
|
21600
|
0,2
|
4340
|
17260
|
|
II–II
|
1,85
|
11500
|
0,5
|
10800
|
70
|
Крутящий
момент для любого из выбранных для расчета сечения определяется по формуле:
где
– плечо равнодействующей
усилия
, приложенного на крайнем режущем контуре ковша
относительно центра тяжести сечения рукояти.
Изгибающее
напряжение в любом из представленных для расчета сечений определяется по
формуле:
где
– момент сопротивления
сечения изгибу относительно оси х-х;
Рисунок 10.2
– Расчетная схема системы ковш-рукоять
Момент
сопротивления изгибу относительно оси х-х можно определить по формуле (рисунок
10.3 и 10.4).
где В - основные
сечения с наружной стороны, см;
Н – высота
сечения с наружной стороны, см;
b – основание сечения с
внутренней стороны, см;
h – высота сечения с
внутренней стороны, см;
Значения B, H, b, h и подсчет
для всех сечений
приводим в таблице 10.2.
Подсчет
значений
для всех сечений приводим в таблице 10.3.
Рисунок 10.3
– Схема сечения I–I
Таблица 10.2
– Геометрические параметры сечения
|
Сечение
|
B, см
|
Н, см
|
Н3, см3
|
ВН3, см4
|
b, см
|
h, см
|
h3, см3
|
bh3, см4
|
BH3-bh3, см4
|
6H, см
|
,
см3
|
|
I–I
|
19
|
35
|
43000
|
815000
|
17
|
33
|
36000
|
612000
|
203000
|
210
|
968
|
|
II–II
|
19
|
24
|
14000
|
26600
|
17
|
22
|
11000
|
187000
|
79000
|
144
|
550
|
Таблица 10.3
– Действующие напряжения
|
Сечение
|
|
,
см3
|
, МПа
|
|
I–I
|
1726000
|
968
|
178,5
|
|
II–II
|
70000
|
550
|
12,8
|
Рисунок 10.4
– Схема сечения II–II
Напряжение от
кручения для всех сечений определяется по формуле:
где Wk – момент сопротивления
кручению, см3.
Момент
сопротивления кручению можно определить по формуле:
где d – основание сечения, см;
b – высота сечения, см;
– толщина основания, см;
– толщина высоты. см.
На рисунке
10.3 и 10.4 основание обозначено буквой В, а высота буквой Н, то формула
приобретает вид:
Таблица 10.5
– Напряжение кручения в сечениях
|
Сечение
|
|
Wk, см3.
|
|
Примечание
|
|
I–I
|
180000
|
1455
|
12,4
|
-
|
|
II–II
|
180000
|
1060
|
17,0
|
-
|
Приведенное
напряжение в сечениях по III теории прочности определяем по формуле:
Подсчет
значений
для всех сечений производим в таблице 10.6.
Таблица 10.6
– Определение приведенного напряжения
|
Сечение
|
,
МПа
|
,
МПа2
|
,
МПа
|
,
МПа2
|
,
МПа2
|
, МПа2
|
, МПа
|
|
I–I
|
178,6
|
3200
|
12,4
|
154
|
616
|
32616
|
181
|
|
II–II
|
12,8
|
164
|
17,0
|
289
|
115
|
1320
|
36
|
Напряжение в
сечениях с учетом регулирующих (или сжимающих усилий). Напряжение растяжения
или сжатия можно определить по формуле:
где F – площадь сечений, см3.
Площадь
сечений может быть определено формуле
Значения В,
Н, b, h, а также подсчет
значений F
для всех сечений приведены в таблице 10.7.
Подсчет
значений
приведен в таблице 10.8.
Таблица 10.7
– Геометрические характеристики сечений
|
Сечение
|
B, см
|
Н, см
|
ВН, см2
|
b, см
|
h, см
|
bh, см2
|
,
см2
|
|
I–I
|
19
|
35
|
665
|
17
|
33
|
560
|
95
|
|
II–II
|
19
|
24
|
455
|
17
|
22
|
374
|
81
|
Таблица 10.8
– Напряжение расстояний (сжатия)
|
Сечение
|
, даН
|
F, см2
|
, МПа
|
|
I–I
|
21600
|
95
|
221
|
|
II–II
|
21600
|
81
|
248
|
Приведенное
напряжение в сечении с учетом растяжения (сжатия) можно определить по формуле:
Подсчет
значений
приводим в таблице 10.9.
Таблица 10.9
– Приведенные напряжения
|
Сечение
|
,
МПа
|
МПа
|
МПа
|
МПа2
|
|
I–I
|
178,5
|
22,1
|
200,6
|
40500
|
|
II–II
|
12,8
|
24,8
|
37,6
|
1420
|
|
Сечение
|
МПа
|
МПа
|
МПа2
|
МПа2
|
МПа2
|
|
I–I
|
12,4
|
154
|
616
|
41116
|
202
|
|
II–II
|
17,0
|
289
|
1156
|
2576
|
50,5
|
|
|
|
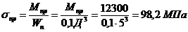
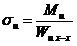
|
|
|
|
|
|
|
|
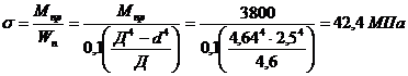
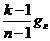
Запас
прочности по пределу текучести стали 1ОГ2С1 определяется по формуле:
Подсчет
значений
для всех сечений приведен в таблице 10.10
Таблица 10.10
– Коэффициент запаса прочности
|
Сечение
|
|
,
МПа
|
|
,
МПа
|
б\р
|
|
I–I
|
380
|
181
|
2,1
|
0
|
1,87
|
|
II–II
|
21
|
18
|
50,5
|
7,4
|
Приведенный
расчет показывает. Что запас прочности достаточен.
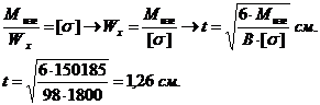
11. Расчет на прочность стрелы
Проведем проверку на прочность сечений
металлоконструкций стрелы.
Металлоконструкция
стрелы во время копания подвержена одновременному воздействию на нее изгиба от
сил
,
и реакции в шарнирах
,
, а также растяжения
(сжатия) от составляющих сил.
и
– в
и
,
и
–
и
Изгибающий
момент в любом из принятых для расчета находим по формуле:
На рисунке 11.1 обозначены места
расположения принятых для расчета сечений и направления усилий
,
,
,
,
,
,
и
, а
также плечи равнодействующих этих усилий относительно центров тяжести сечений:
. Значение величин
,
,
и
находим
по следующей формуле:
где
– углы между
направлениями усилий
,
,
,
,
,
,
и
.
Рисунок 11.1
– Расчетная схема стрелы.
Подсчет
значений
,
,
и
приведен в таблице 11.1
Таблица 11.1 –
Усилия, действующие на стрелу
|
Сечение
|
, даН
|
, град
|
б\р
|
, даН
|
даН
|
, град
|
б\р
|
даН
|
даН
|
|
I–I
|
23200
|
13
|
0.965
|
22400
|
28900
|
20
|
0.935
|
27000
|
82000
|
|
II–II
|
|
Сечение
|
даН
|
, град
|
|
даН
|
даН
|
, град
|
б\р
|
|
|
I–I
|
76000
|
4
|
0,986
|
80500
|
76000
|
0
|
1
|
|
|
II–II
|
|
|
|
|
|
|
|
|
|
|
|
|
|
|
|
|
|
|
|
|
Значение
величин
,
,
,
,
, а также подсчет значений величин изгибающих
моментов относительно центров тяжести сечений приведены таблице 11.2.
Таблица 11.2
– Усилие в стреле
|
Сечение
|
, даН
|
|
даНм
|
, даН
|
, м
|
, даНм
|
|
I–I
|
23200
|
0,76
|
17700
|
28900
|
0,3
|
9000
|
|
II–II
|
0,4
|
9280
|
0,6
|
17300
|
|
I–I
|
82000
|
0,2
|
76000
|
0,08
|
6080
|
|
II–II
|
0,68
|
56700
|
0,82
|
62400
|
|
|
|
|
|
|
|
|
|
|
|
|
|
Сечение
|
даНсм
|
|
I–I
|
1902000
|
|
II–II
|
1372000
|
Изгибающее
напряжение в сечении стрелы.
Изгибающее
напряжение в сечении стрелы может быть определено по формуле:
где Ми –
изгибающий момент
;
Wи х-х – момент сопротивления
сечения изгибу относительно оси х-х, см3;
Момент
сопротивления изгибу относительно оси х-х можно определить по формуле (рисунок
11.2 и 11.3).
где
– момент относительно оси
х-х, см4;
– максимальное расстояние от центра тяжести
сечения относительно оси х-х, см;
где F1 и F2 – площадь элементов
сечения 1 и 2, см2;
Y1 и Y2 – координаты их центров
тяжести относительно оси х-х, см.
Площадь
элемента 1 сечения можно определить по формуле
Площадь
элемента 2.
где B, b – наружная и внутренняя
часть основания сечения элемента 1, см;
H, h – наружная и внутренняя
часть высота элемента 1, см.
– высота элемента 2, см.
Значения
величин B,
b, H, h,
, а также подсчет
значений F1 и F2 приведен в таблице 11.3
Таблица 11.3
– Геометрические параметры сечений
|
Сечение
|
B,
см
|
Н, см
|
ВН, см2
|
b,
см
|
h,
см
|
|
I–I
|
33
|
32
|
1060
|
31
|
30
|
|
II–II
|
30
|
38
|
1140
|
28
|
36
|
|
I–I
|
930
|
130
|
33
|
1
|
33
|
163
|
|
II–II
|
1020
|
120
|
30
|
1
|
30
|
150
|
|
|
|
|
|
|
|
|
|
|
|
|
Значение
величин F1, F2, Y1, Y2 и подсчет значения
приведен в таблице 11.4.
Таблица 11.4
– Определение координат центра тяжести сечения
|
Сечение
|
F1, см2
|
y1, см
|
, см3
|
F2, см2
|
Y2, см
|
|
I–I
|
130
|
16.5
|
2140
|
33
|
0,5
|
|
II–II
|
120
|
19
|
2280
|
30
|
38,5
|
|
I–I
|
16,5
|
2140
|
163
|
13,2
|
|
II–II
|
1160
|
3440
|
150
|
23
|
|
|
|
|
|
|
|
|
|
|
Момент
инерции сечения может быть определен по формуле:
где
– момент инерции
элемента сечения, см4;
Момент
инерции элемента 1 сечения можно определить по формуле:
где
–
момент инерции элемента 1 сечения относительно его собственного центра тяжести,
см4;
Рисунок 11.2 – Схема сечения I–I
Рисунок 11.3
– Схема сечения II–II
Значение
величин B,
H, b, h, F,
, Y1, а также подсчет
приведен в таблице 11.5
Таблица 11.5
– Определение момента инерции сечений
|
Сечения
|
B, см
|
Н, см
|
Н3,
см3
|
ВН3,
см4
|
l, см
|
h, см
|
h3, см
|
bh3, см4
|
, см4
|
|
|
I–I
|
33
|
32
|
33000
|
1120000
|
31
|
30
|
27000
|
840000
|
280000
|
|
|
II–II
|
30
|
38
|
55000
|
1650000
|
28
|
36
|
47000
|
1320000
|
330000
|
|
|
Сечения
|
, см4
|
, см2
|
, см
|
, см
|
, см
|
, см
|
, см4
|
, см4
|
|
I–I
|
23400
|
163
|
13,2
|
16,5
|
3,3
|
11
|
1800
|
25200
|
|
II–II
|
27500
|
150
|
23
|
19
|
4
|
16
|
2400
|
29900
|
|
|
|
|
|
|
|
|
|
|
|
|
|
|
|
|
|
|
|
– момент инерции элемента 2 сечения, см4;
Момент
инерции элемента 2 сечения можно определить по формуле:
где
– момент инерции элемента
2 сечения относительно его собственного центра тяжести, см4.
Значение величин B,
,
Fe,
, Y2, а также подсчет значений
приведен
в таблице 11.6
Таблица 11.6
– Расчет момента инерции сечений
|
Сечение
|
B, см
|
, см
|
, см3
|
, см4
|
F2, см2
|
, см
|
|
I–I
|
33
|
1
|
1
|
33
|
33
|
13,2
|
|
II–II
|
30
|
1
|
1
|
30
|
30
|
23
|
|
Сечение
|
Y2, см
|
, см
|
, см2
|
, см4
|
, см4
|
|
I–I
|
38,5
|
25,3
|
640
|
21120
|
21153
|
|
II–II
|
16,5
|
6,5
|
42
|
1360
|
1390
|
|
|
|
|
|
|
|
|
|
|
|
|
Подсчет
значений величины момента инерции
сечения относительно оси
х-х приведены в таблице 11.7
Таблица 11.7
– Моменты инерции сечений
|
Сечение
|
, см4
|
, см4
|
, см4
|
|
I–I
|
25200
|
21153
|
46353
|
|
II–II
|
29900
|
1390
|
31290
|
Подсчет
значений величины момента сопротивления относительно оси х-х приведен в таблице
11.8
Таблица 11.8 –
Моменты сопротивления сечений
|
Сечение
|
, см4
|
Н, см
|
, см
|
, см
|
, см
|
, см3
|
|
I–I
|
46353
|
32
|
1
|
13,2
|
19,8
|
2320
|
|
II–II
|
31290
|
38
|
1
|
23,2
|
23,2
|
1350
|
Подсчет
значений величин изгибающего напряжения Gk для сечений стрелы
приведен в таблице 11.9
Таблица 11.9
– Напряжение изгиба в сечениях
|
Сечения
|
даНсм
|
, см3
|
|
|
I–I
|
1902000
|
2320
|
82.4
|
|
II–II
|
1372000
|
1350
|
102
|
Напряжение
растяжения в сечении I–I от сил
,
, и сжатия в сечении II–II от сил
,
определим по формуле:
Значение величин
,
,
и
, F1 и F2 и подсчет значений
и
приведен
в таблице 11.10.
Таблица 11.10
– Определение напряжения растяжения и сжатия
|
Сечение
|
, даН
|
F1, см2
|
, МПа
|
, даН
|
F1, см
|
, МПа
|
|
I–I
|
80500
|
163
|
49,4
|
76000
|
163
|
46,6
|
|
II–II
|
-
|
-
|
-
|
-
|
-
|
-
|
|
Сечение
|
, даН
|
F2, см2
|
, МПа
|
, даН
|
F2, см2
|
|
|
I–I
|
-
|
-
|
-
|
-
|
-
|
-
|
|
II–II
|
27000
|
150
|
180
|
22400
|
150
|
15.0
|
|
Сечение
|
|
|
I–I
|
2,8
|
|
II–II
|
33,0
|
Суммарное
напряжение в сечениях можно определить по формуле:
Значение величин
,
а также подсчет значений
для сечений приведен
в таблице 11.11.
Таблица 11.11
– Определение суммарных напряжений
|
Сечение
|
, МПа
|
, МПа
|
, МПа
|
|
I–I
|
82,4
|
2,8
|
85,2
|
|
II–II
|
102,0
|
33,0
|
135,0
|
Запас
прочности по пределу текучести стали 10Г2С1 определяется по формуле
Значение величин
и
, а
также подсчет значения n
приведен в таблице 11.12
Таблица 11.12
– Коэффициент запаса прочности
|
Сечение
|
, МПа
|
, МПа
|
|
|
I–I
|
380
|
85,2
|
4,45
|
|
II–II
|
135,0
|
2,8
|
12. Расчет гидроцилиндра рукояти
Напряжение в
стенках цилиндра.
где Pм – максимальное давление
в гидроцилиндре рукояти;
– наружный диаметр гидроцилиндра,
Запас
прочности по пределу текучести стали 30ХГСА
где
– предел текучести стали
30ХГСА
Напряжение
изгиба штока гидроцилиндра
где Pmax=23200 даН – максимальное
усилие в гидроцилиндре рукояти;
f – площадь сечения штока,
см2;
– коэффициент уменьшения допускаемого
напряжения, который определили следующим образом.
Площадь
сечения штока гидроцилиндров
где
– наружный диаметр штока,
Радиус
инерции сечения штока цилиндров.
В зависимости
от отношения длины штока L и радиусу инерции i подбираем значение коэффициента
уменьшения допускаемого напряжения при работе штока на изгиб:
где L=184 см – длина
штока от центра продшины наружной кромки,
при
коэффициент прогиба
Запас
прочности по пределу текучести стали 30ХГСА
Удельное
давление на втулку продшины
Напряжение в
основном сечении штока
Напряжение
сечения сварного шва
13. Расчет устойчивости
Для того,
чтобы работа экскаватора была безопасной, при его проектировании необходимо
учесть, чтобы коэффициент устойчивости экскаватора был больше или равен
допустимому [Куст]=1,15.
Определим
коэффициент устойчивости для двух наиболее неблагоприятных рабочих положений
экскаватора.
Определим
устойчивость экскаватора во время копания вдоль гусениц, так как это положение
неустойчивое (рисунок 13.1).
Запас
устойчивости экскаватора при копании на полную глубину можно определить по
формуле:
где
– суммарный продольный
восстанавливающий момент от массы узлов ходовой тележки, поворотной платформы с
установками смонтированными на ней,
где
– масса тележки ходовой;
– масса поворотной платформы с установками
смонтированными на ней;
– плечо равнодействующей массы
относительно «ребра»
опрокидывания;
– плечо равнодействующей массы
относительно «ребра»
опрокидывания.
Рисунок 13.1
– Схема к определению продольной устойчивости.
– момент от горизонтальной составляющей усилий
, даН
где
– усилие на зубьях
ковша;
– плечо равнодействующей усилия
относительно уровня
стояния экскаватора.
– суммарный опрокидывающий момент от
массы узлов рабочего оборудования.
– опрокидывающий момент от массы ковша с грунтом.
где
– масса ковша;
– масса грунта в ковше;
– плечо равнодействующей массы ковша с грунтом
относительно «ребра» опрокидывания.
где
– опрокидывающий момент
от массы рукояти.
где
– масса рукояти;
– плечо равнодействующей массы
относительно «ребра»
опрокидывания.
– опрокидывающий момент от массы гидроцилиндра
ковша в
.
где
– масса гидроцилиндра
ковша с учетом массы рабочей жидкости;
– плечо равнодействующей массы
относительно «ребра»
опрокидывания.
где
– опрокидывающий момент
от массы цилиндра рукояти.
где
– масса гидроцилиндра
рукояти, включая массу рабочей жидкости,
– плечо равнодействующей массы
относительно «ребра»
опрокидывания.
– опрокидывающий момент массы стрелы.
где
– масса стрелы;
– плечо равнодействующей массы
относительно «ребра»
опрокидывания.
– опрокидывающий момент массы двух гидроцилиндров
стрелы с учетом рабочей жидкости.
где
– масса двух
гидроцилиндров стрелы с учетом массы рабочей жидкости;
– плечо равнодействующей массы
относительно «ребра»
опрокидывания.
Суммарный
опрокидывающий момент массы рабочего оборудования.
– момент вертикальной составляющей усилия
,
;
где
– усилие на режущем контуре ковша;
– плечо равнодействующей усилия
относительно «ребра» опрокидывания.
Запас устойчивости экскаватора при копании на
максимальную глубину.
Определение поперечной устойчивости.
Расчетная схема представлена на 13.2
где
– суммарный поперечный восстанавливающий момент
от массы узлов ходовой тележки поворотной платформы с установками,
смонтированными на ней, в
.
где GТХ=5057 кг – масса тележки ходовой;
– масса поворотной платформы с установками,
смонтированными на ней;
– плечо равнодействующей массы
относительно «ребра» опрокидывания;
– плечо равнодействующей массы
относительно «ребра» опрокидывания.
– момент от
горизонтальной составляющей усилия
.
– суммарный поперечный опрокидывающий
момент массы узлов рабочего оборудования.
где
– опрокидывающий момент
от массы ковша с грунтом,
Рисунок 13.2 – Определение поперечной
устойчивости
где
– плечо равнодействующей
массы
относительно «ребра» опрокидывания.
– опрокидывающий
поперечный момент от массы рукояти.
где
– плечо равнодействующей
относительно «ребра»
опрокидывания.
– опрокидывающий
поперечный момент от массы гидроцилиндра ковша.
где
– плечо равнодействующей
массы
относительно «ребра» опрокидывания.
– опрокидывающий
поперечный момент от массы гидроцилиндра рукояти,
– опрокидывающий
поперечный момент от массы стрелы.
где
– плечо равнодействующей
массы
относительно «ребра» опрокидывания.
– опрокидывающий поперечный момент от массы двух
гидроцилиндров стрелы.
где
– плечо равнодействующей
массы
относительно «ребра» опрокидывания.
Суммарный
опрокидывающий момент от рабочего оборудования.
– момент от вертикальной составляющей усилия
.
где
– плечо равнодействующей
усилия
, относительно «ребра» опрокидывания.
Запас
устойчивости экскаватора при копании на полную глубину.
Таким
образом, устойчивость при копании экскаватором на полную глубину, как в
продольном, так и в поперечном направлениях копания вполне обеспечена.
14. Организация работ
Строительство
новой железной дороги из двух основных частей:
-
возведение
земляного полотна,
-
устройство
верхнего строения пути.
Модернизируемый
экскаватор может работать, как прямой, так и обратной лопатой.
Спроектируем
организацию механизированных работ при возведении земляного полотна с
применением модернизируемого экскаватора, согласно ниже приведенным исходным
данным.
Исходные
данные.
Ширина
земляного полотна – 7 м.
Группа грунта
– I,
Номер профиля
– 2,
Срок
производства работ – 35 суток.
Анализ и
подготовка продольного профиля участка железной дороги. Расстояние х от
плюсового пикета с рабочей отметкой Н1, до нулевой точки
определяется по формуле
где
– расстояние между
профильными точками с рабочими отметками H1, H2, м;
Н1
и Н2 – величина рабочих отметок, м.
Первый
километр
Второй
километр
Третий
километр
Определение
объема выемок и насыпей на участке. Объемы земляных работ определяются
таблицами в зависимости от типа поперечного профиля и величины рабочих отметок на
прямых и кривых участках пути, а также по средним рабочим отметкам и длиной
участков с помощью формулы:
где L‑длина
участка, км;
q – на
километровый объем земляных работ.
Первый
километр →выемки
Второй
километр
Насыпь
Третий
километр
Выемка
Насыпь
Разработка
вариантов механизации, определение количества машин.
Землеройный
комплект состоит из ведущей машины, которой может быть экскаватор, скрепер,
бульдозер и другие машины. Также из машин и механизмов, обслуживающих ведущую
машину и выполняющих транспортные и вспомогательные работы. Выбор рационального
комплекта землеройных машин производится по характеристикам ведущих машин.
Максимальные рабочие отметки насыпей и выемкой при поперечной возке грунта
бульдозерным комплектом составляет 2 метра, а скреперным комплектом с экскаватором-дроглайным, работающих в отвал:
Предельные
значения дальности возки грунта составляют для бульдозеров 100
150 м, для скреперов
прицепных с емкостью ковша до 8м3-500 м.
Предельные
значения возки грунта составляют: для скрепера прицепного с емкостью ковша до
9м3-1500 м; с емкостью ковша 15м3-2000 м; для
экскаватора с самосвалом с емкостью ковша 0,65–1,5м3-3000
5000 м.
Таблица 14.1
– Пикетный и помассовый объем работ
|
№ участка
|
Километр ПК
|
Средняя
рабочая отметка, м
|
Длина
участка, м
|
Поникетные
объемы работ, м3
|
Помассовые
объемы работ, м3
|
|
Выемка
|
Насыпь
|
Насыпь
|
Выемка
|
|
1 км
|
0+1
1+2
2+3
3+4
4+5
5+6
6+7
7+8
8+9
9+0,2
9,2+0,8
|
1,99
2,62
2,895
2,245
1,435
1,88
3,97
5,08
3,395
2,09
81,15
|
0,1
0,1
0,1
0,1
0,1
0,1
0,1
0,1
0,1
0,02
0,08
|
2810,58
3930,6
4465,0
3246,93
2017,922
2629,96
6731,75
9437,048
5444,13
596,522
1168,056
|
|
|
42510,2
|
|
2 км
|
0+0,33
0,33+0,67
1+2
2+0,7
2,7+0,3
3+4
4+5
5+6
6+7
7+0,3
7,3+0,7
8+9
9+0,3
9,3+0,2
9,5+0,1
|
0,7
0,145
0,19
1,98
2,43
2,77
3,24
3,28
3,445
4,385
6,71
6,955
6,955
9,47
11,97
|
0,033
0,067
0,1
0,07
0,03
0,1
0,1
0,1
0,1
0,03
0,07
0,1
0,03
0,02
0,01
|
|
99,6759
194,94
298,06
823,746
3161,82
3915,2
3991,35
4249,35
2085,05
8082,214
12222,71
3666,813
3666,813
4099,644
3083,604
|
4973,61
|
|
|
3 км
|
0,3+0,4
0,7+0,3
1+0,2
1,2+0,8
2+0,4
2,4+0,6
3+0,3
3,3+0,7
4+0,4
4,4+0,6
5+6
6+7
7+8
8+0,9
8,9+0,1
9+10
|
4,78
1,525
0,265
0,975
3,81
5,245
5,22
5,41
5,125
4,835
3,775
2,435
1,585
0,065
0,08
0,405
|
0,04
0,03
0,02
0,08
0,03
0,06
0,03
0,07
0,04
0,06
0,1
0,1
0,1
0,09
0,1
|
1010,68
2634,2
5910,75
2933,22
7210,39
3816,24
5278,53
6287,75
3588,13
2158,11
81,081
|
2038
440,595
54,378
|
2538
|
40908,8
|
|
|
|
|
|
|

|
|
Скрепера
применяются для разработки грунтов I и II категории, без рыхления грунта.
Группы III и IV категории должны быть предварительно разрыхлены.
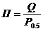
Количество
ведущих машин в i‑том комплекте на j‑том участке определяется по формуле:
где
– объем земляных работ
на j‑том участке, м3.
b – число рабочих смен в
сутки, b=2;
T – срок выполнения работ,
рабочие сутки;
– эксплуатационная, сменная производительность i‑той
ведущей машины на j‑том участке,
.
I участок
Выбираем
скрепер самоходный – комплект Д‑392, трактор толкач Т‑100 м,
каток прицепной Д‑263, электростанция передвижная ЖЭС‑45
1.
Количество
машин ведущих в скреперном комплекте.
где 8 –
продолжительность смен, часы;
– норма часовой выработки ведущей машины,
– коэффициент, учитывающий вредные
производственные факторы и условия,
;
– переходной коэффициент от производственных норм
выработки к сменным,
;
2.
Экскаваторный
комплект.
Экскаватор Э‑5015Н,
дальность продольной возки.
Грузоподъемность
автомобильная 7–10 тонн, количество автомобилей – 6 шт.
II участок
Поперечная
возка.
А=130;
1.
Экскаваторный комплект
Экскаватор Э‑303Б
2. Экскаваторный
комплект.
Экскаватор Э‑852Б
Норма часовой
выработки
Эксплуатационная
сменная производительность
– количество машин
III участок
1.
Экскаваторный комплект
Экскаватор Э‑303Б
Дальность
возки lср=320 м.
Норма часовой
выработки:
.
Эксплуатационная
сменная производительность:
Количество
машин
2. Экскаваторный
комплект.
Экскаватор Э‑625Б
Норма часовой
выработки:
Эксплуатационная
сменная производительность:
Количество
машин
IV участок
А=95.
, определяет дальность возки lср для выемки.
1. Скреперный
комплект.
Скрепер
прицепной Д‑374Б
Норма часовой
выработки:
Эксплуатационная
сменная производительность:
Количество
машин
2.
Экскаваторный
комплект.
Экскаватор с
прямой лопатой Э‑1001А
Норма часовой
выработки:
Эксплуатационная
сменная производительность:
Количество
машин
Результат
подбора возможный вариантов землеройных комплектов для каждого участка и расчет
количества машин приведен в таблице 14.2
Сравнение
вариантов механизации и выбор эффективного.
Одним из
обобщающих показателей эффективности являются приведенные удельные затраты и
капитальные вложения:
,
где
– себестоимость работ на
j‑том участке i‑тым комплектом машин, руб./м3;
– капитальные вложения (таблица 14.2) руб.;
– эксплуатационная годовая выработка, м3;
– нормативный коэффициент эффективности
капитальных вложений, Eн=0,15
,
где
– коэффициент накладных
расходов на эксплуатацию машин;
– коэффициент накладных расходов на зарплату
рабочим;
– суммарная стоимость машино-смены машин;
– зарплата рабочих за вспомогательную работу на
единицу работ, руб.;
,
где
– затраты труда на
вспомогательных рабочих, чел.-смен/м3;
P=50 руб./чел. – тарифная
ставка;
где
– число смен работы
ведущей машины в году.
I участок
.
II участок
.
III участок
.
IV участок
.
Таблица 14.3
– Технико-экономические показатели
|
№ варианта
|
№ участка
|
Инвентарная
расчетная стоимость, т. руб
|
Суммарная
стоимость машино-смены, т. руб./смен
|
Выработка
сменная, м3/смен
|
Выработка
годовая, м3/год
|
Себестоимость
руб./м3
|
Приведенные
затраты, руб./м3
|
|
1
|
I
|
60990
|
253,6
|
165,8
|
165800
|
0,781
|
1,009
|
|
2
|
19800
|
247,6
|
408,6
|
204300
|
0,707
|
0,758
|
|
1
|
II
|
10315
|
28,8
|
124,1
|
31023
|
0,558
|
0,647
|
|
2
|
14450
|
67,2
|
300,8
|
75200
|
0,3
|
0,344
|
|
1
|
III
|
10915
|
58,8
|
124,1
|
31025
|
0,558
|
0,64
|
|
2
|
14450
|
67,2
|
300,8
|
75200
|
0,3
|
0,344
|
|
1
|
IV
|
9150
|
84,6
|
333,7
|
166850
|
0,183
|
0,21
|
|
2
|
19800
|
128,4
|
408,54
|
204270
|
0,22
|
0,26
|
Для
производства работ выбираем те варианты механизации, у которых приведенные
удельные затраты меньше.
17. Научно-исследовательская часть
Классификация
погрешностей монтажа цепных передач.
При монтаже
втулочно-роликовой цепной передачи стремятся установить строго параллельно все
валы и закрепить на них звездочки в таком положении, чтобы располагались в
одной плоскости, которую называют плоскостью передачи.
Если
указанные условия монтажа соблюдены, то цепной контур, как и звездочки
располагаются в плоскости передачи, набегание и сбегание в цепи оказывается
свободным, что при прочих равных условиях повышения КПД и срока службы.
Однако, как
показали эксплуатационные исследования работы цепной передачи, механизма хода
экскаватора Э‑5015А, строгая параллельность валов и разложение звездочек
передачи на практике выполняются лишь с некоторым приближением. Вследствие
этого искажения формы и расположения части цепного контура вне плоскости
передач приводят нередко к снижению долговечности передачи.
Погрешность
монтажа по характеру вызываемых ими искажений цепного контура можно разделить
на две группы:
§ погрешность, приводящая к
изменению лишь формы цепного контура, располагающегося в плоскости передач;
§ погрешность, приводящая к
изменению не только формы, но и расположению части его вне плоскости передач.
Погрешность
монтажа первой группы обусловлен отклонением межцентровых расстояний звездочек
(от размеров, указанных на монтажном чертеже) при монтаже валов; изменение
межцентрового расстояния звездочек за счет смещения так называемой «передвижной
опоры».
К
погрешностям монтажа второй группы, которые приводят к нарушению условий
свободного набегания цепи со звездочек, относятся: непараллельность валов,
которая характеризуется углом непареллельности
– перекос валов,
характеризующаяся углом переноса
– осевое смещение
звездочек на валах и торцевое биение звездочек после их сборки с валом.
В результате
проведенных предварительных исследований можно сделать следующие выводы:
1.
Установлено,
что при работе цепной передачи механизма хода экскаватора, имеющий искаженный
цепной контур, ветви ее, наряду с осевым растяжением, претерпевают
дополнительный поперечный изгиб (в плоскости размещения осей роликов).
2.
Рассмотрены
перемещения элементов цепи в шарнирах и относительно зубьев звездочки,
обусловленные искажениями цепного контура. Определены значения боковых усилий,
возникающих в цепной передаче механизма хода экскаватора Э‑5015 при
искаженном цепном контуре.
3.
Величина
возникающих боковых усилий составляет значительную часть от полезного усилий на
ветвях цепной передачи (до 50%), что приводит к возникновению дополнительных
нагрузок на шарниры цепи и зубья звездочек и как следствие быстрый выход их из
строя.
4.
Необходимо
разработать ряд мер, направленных на снижение влияния переносов цепной передачи
механизма хода экскаватора Э‑5015, на долговечность элементов цепи и
звездочек.
Способы
снижения влияния искажений цепного контура на долговечность цепной передачи
механизма хода экскаватора.
Приведенные
исследования позволяют рассмотреть ряд мер, направленных на повышение
нагрузочной способности цепных передач механизма хода экскаватора, работающих
при наличии максимальных или иных погрешностей монтажа из элементов. Неизбежные
погрешности производства приводят к тому, что звездочки передач, имеют торцевое
биение. Торцевое биение дополнительно увеличивает искажения цепного контура,
причем это увеличение меняется в течении отрезка времени и зависит от угловой
скорости и длины контура. Упругие деформации деталей цепной передачи (валов,
опор и рам) вызывают изменения расположения звездочек относительно плоскости
передачи и обуславливают искажение цепного контура, обусловленные упругие
деформации деталей, соизмеримы с искажениями цепного контура и погрешностями
монтажа цепной передачи. При проектировании цепных передач необходимо учитывать
величину упругих деформаций заранее откладывать так называемую упреждающую
погрешность монтажа валов и опор передач, чтобы исключить искажение цепного
контура, обусловленные их упругими деформациями. Причем при вычислении
«упреждающей погрешности» должны учитываться реальные размеры элементов цепной
передачи. Величина передаваемой мощности. «Упреждающая погрешность» должна
задаваться для каждого вала отдельно.
Величина
дополнительных усилий возникающих в цепной передаче и обусловленных искажениями
цепного контура, существенно зависит от коэффициента трения, поэтому, для
сохранения нагрузкой способности цепной передачи механизма хода экскаватора на
заданном уровне, следует обеспечивать регулярную смазку.
Исходя из
вышеперечисленного, можно наметить следующие направления снижения влияния
искажения цепного контура на долговечность цепной передачи механизма хода
экскаватора.
1. Увеличение
жесткости всей цепной передачи и отдельных ее элементов, увеличение точности
монтажа элементов цепной передачи, применение новых, более жестких конструкций
опор валов передачи; увеличение точности изготовления и монтажа звездочек,
неподвижное закрепление опор валов цепной передачи и применение нового
механизма натяжения цепей;
Для
выпускаемой в данное время модели экскаватора Э‑5015 реализация выше
указанных способов снижения влияния перекосов в цепной передаче является мало
перспективным в виду усложнения конструкции передачи и увеличения трудоемкости
и трудозатрат.
Применение к
новым моделям экскаваторов выпуски, которых начинается: Донецким экскаваторным
заводом, возможна реализация лишь некоторых способов. Однако необходимо
отметить, что в виду значительной загруженности цепных передач механизма хода
применение выше указанных способов не может в значительной мере уменьшить
влияние переносов в механизм хода экскаватора.
2. Применение
звена в механизме хода экскаватора, имеющего пониженную жесткость за счет этого
звена в цепной передаче добиться полного снижения влияния перекосов в механизме
хода на долговечность цепной передачи и всего механизма хода экскаватора. Таким
образом, в виду конструктивных особенностей удобнее всего выбрать ведомую
звездочку (z=19) цепной передачи, то есть установка звездочки с пониженной
жесткостью, связи венца со ступицей. Это позволит полностью исключить влияния
перекосов в цепной передаче экскаватора модели Э‑5015, без применения
других, каких-либо конструктивных изменений.
Применение же
такой звездочки в механизме хода новых моделей экскаваторов, позволит исключить
влияние перекосов во всем механизме хода в виду увеличения жесткости установки
валов цепной передачи. В модели Э‑5015 примерно жесткое крепление
ведомого вала цепной передачи механизма хода, то есть, устранены перекосы этого
вала относительно плоскости ведущего колеса гусеницы экскаватора. Перекосы
ведущей звездочки цепной передачи механизма хода также практически устранены.
Таким образом, в конструкции механизма хода, экскаваторов новой модели являются
неустраненными перекосы, возникающие между валами цепной передачи. Для
устранения этих перекосов и предназначается установка звездочки пониженной
жесткости связи венца со ступицей. Применение такой звездочки позволит полностью
решить вопрос со снижением влияния искажений цепного контура на долговечность
цепной передачи и всего механизма хода экскаваторов, как новых, так и старых
конструкций. Нагрузки, связанные с проявлением погрешности цепного или
зубчатого зацепления, возникает в первую очередь на рабочих поверхностях зубьев
колес. Поэтому представляет интерес, эффект демпфирования и виброизоляции
зубчатого венца от ступицы колеса.
Демпфирующие
звездочки предназначены для гашения различного рода вибраций, колебаний и снижения
влияния перекосов на работоспособность передачи, имеет составную конструкцию.
Такая конструкция звездочки обладает рядом преимуществ, к которым следует
отнести многократное использование ступиц при износе унифицированных венцов,
возможность (износа) изготовления интенсивно изнашиваемых зубчатых венцов из
износостойких и прочих материалов, с малоизнашиваемых ступиц – из менее
дефицитных, возможность организации производства унифицированных зубчатых
венцов на специализированных предприятиях на базе прогрессивной технологии с
поставкой их другим заводам, где изготавливаются лишь ступицы и осуществляется
сборка венцов со ступицами, поставки запасных частей потребителям только в виде
венцов без ступиц.
Однако
соединение венцов со ступицами с помощью болтов, винтов, заклепок достаточно
экономично ввиду излишнего расхода материалов на изготовление уширенных по
радиусу венцов и ступиц, болтов, винтов, гаек, заклепок, шайб, а также ввиду
увеличения трудовых затрат на обработку и сборку.
В связи с
этим составными делают звездочки только больших диаметров. Разработан ряд
конструкций, в которых соединение зубчатых венцов со ступицами осуществляет
через энергопоглощающий упругий элемент.
Конструкция
демпфирующей звездочки.
При больших
передаваемых нагрузках и перекосах осей звездочки цепи в плане на значительный
угол (до 2) на параллельности валов, которые наблюдаются в цепных передачах
механизма хода экскаватора Э‑5015, происходит неравномерное распределение
нагрузки по рабочей поверхности зубьев, возникают значительные боковые
составляющие передаваемой нагрузки, направленные на ликвидацию таких перекосов.
Для работы в этих условиях необходима звездочка пониженной жесткости зубьев для
уменьшения влияния выше указанных перекосов и высокими демпфирующими свойствами
для снижения динамических нагрузок (ударов), характерных для работы цепной
передачи.
Конструкция
такой звездочки представлены на рисунке 17.1
Рисунок 17.1 – Схема демпфирующей
звездочки
Она содержит
зубчатый венец 1 с выступающими 2 на внутренней поверхности, ступицу 3 и крышку
4 с впадинами на наружной и упругий элемент 5 в виде отдельных одинаковых
частей. Рабочие поверхности выступов венца и соответствующие поверхности
выступов венца, и соответствующие поверхности впадины ступиц и крышки имеют V-образный
вид в плоскости, параллельной оси вращения, расположенной касательно к
окружности, описываемой выступами зубчатого венца и направленный в сторону
вращения. Плоскости рабочих плоскостей расположены так, что их проекции
пересекают ось вращения звездочки и имеют трапециевидную форму.
При
непараллельности и перекосах в цепях и цепных передачах ось поворота звездочки
(в отличии от оси вращения) может располагаться под произвольным углом к оси
передачи (межцентровой линии), однако всегда будет проходить через ось вращения
звездочки. Таким образом, обеспечив подвижность венца звездочки относительно
ступицы вокруг оси перекоса, будет значительно уменьшено влияние перекосов на
работу передачи. В виду того, что рабочие поверхности выступов и впадин будет
совпадать с осью поворота звездочки, заклинивание вершин и ножек наблюдаться не
будет, и упругие элементы будут работать только на сжатие. Основные
конструктивные параметры звездочки остаются такими же как и в ранее применяемой
звездочке, то есть
,
. В качестве упругого
элемента предлагается использовать энергоемкости резины повышенной твердости.
Прочностные
расчеты демпфирующей звездочки.
При работе
демпфирующей звездочки составляют конструкции, полезный крутящий момент от
горизонтального вала к ведущему колесу гусеницы будет передаваться через
выступы венца звездочки на впадины ступицы. При этом выход из строя выступов
венца возможен из следующих причин: среда, сжатие, выступов и изгиба. Кроме того,
возможно разрушение резьбовых соединений креплений ступицы и крышки.
Расчет на
срез выступов.
Расчет на
срез выступов ведем по рисунку 17.2. Возникающие касательные напряжения в
сечении выступа определяется по формуле:
при этом
должно выполняться условие:
– передаваемый крутящий момент, даНсм;
– диаметр ступицы, см;
– ширина выступа, см;
h – высота выступа, см;
– толщина, см.
Требуемое
условие выполняется
Расчет на
снятие выступов.
Нормальное
напряжение, возникающее в сечении выступа и расчета снятия, определяется по
формуле:
;
При
соответствующем выполнении условия
Расчет на
изгиб (рисунок 17,3).
Момент
сопротивления выступа определяется по формуле:
Изгибающий
момент:
;
Нормальное напряжение
от изгиба:
Расчет
болтовых соединений (рисунок 17,4).
Нормальное
давление на рабочую поверхность впадин ступицы определяется по формуле:
Разрывное
усилие по формуле:
Рисунок 17.2
– Схема выступа
Рисунок 17.3
Схема выступа
Таблица
17.4 – Схема крепежного соединения
где Р –
передаваемое полезное усилие;
Р=14000 даН;
– угол наклона рабочих поверхностей упругих
элементов к оси вращения звездочки,
;
N – нормальное давление на
одну сторону упругого элемента, даН;
R – разрывное усилие, даН.
Выбор
диаметра болта.
Площадь болта
равна:
По
статистическим нагрузкам минимальный диаметр болта должен составлять: d=26 мм.
Выбор марки
резины.
Ля дальнейших
расчетов необходимо выбрать марку резины способную работать при больших
нагрузках и активно воздействий внешней среды. В качестве такой резины были
выбраны две марки: МКТЩ‑6 и ЛЖ‑220.
Резина МКТЩ‑6
предназначена для работы при воздействии атмосферных осадков,
тепло-морозо-кислото-щелочностойкие, толщина 6 мм, повышенной твердости,
твердость по Шору равна 65–80 единиц.
Резина ЛЖ‑220:
тепло-морозо-кислото-щелочностойкая, толщина 6 мм, твердость по Шору 67–92
единиц, предназначена для работы в качестве подкладок и прокладок в верхнем
строении железнодорожного полотна при возведении значительных нагрузок и
внешней среды.
Для
конкретного выбора марки были проведены испытания резины на сжатие на разрывной
машине. Для этого были изготовлены образцы упругих элементов с реальными
размерами. Испытания проводились до достижения максимальной допустимой стенки
сжатия равной 2,2 мм образец резины МКТЩ‑6 деформировался более
интенсивно, чем образец из резины ЛЖ‑220, однако при дальнейшем
возрастании нагрузки интенсивность деформации у первого образца стала снижаться
и при нагрузке 1650 кг составила 1,96 мм, когда как ля второго образца
интенсивность деформации не изменилась и осталась линейной, а при перегрузке 1650 кг составила 2,2 мм. Таким образом необходимо провести эксплуатационные испытания, которые
позволяет более конкретно определить наиболее работоспособную марку резины.
Заключение
В результате
проведенной модернизации одноковшового экскаватора ЕК‑12 было разработано
рабочее оборудование – обратная лопата.
Проведенная
модернизация позволила увеличить производительность экскаватора на 17,2%.
Разработанные
мероприятия позволили так же снизить себестоимость работ и получить расчетный
годовой экономический эффект 125876 тысяч рублей.
В проекте
также освящены вопросы организации работ, охраны труда и экологии.