Очистка газа от пыли и механических примесей
Очистка газа от пыли и механических примесей
1. Общие сведения об очистке природного газа
Для очистки природных газов от пыли и механических примесей
применяют коалесцентные сепараторы, пылеуловители, сепараторы "газ-жидкость",
центробежные скрубберы, сепараторы электростатического осаждения и масляные
скрубберы. Все они фактически имеют двойное назначение: удаление основной массы
жидкости и пыли из газа и одновременная очистка газа от мельчайших частиц.
Пылеуловители. Проблема удаления пыли из газа возникает в
основном при эксплуатации газопроводов. Фильтры, применяемые для очистки газа, от
пыли, отличаются от коагуляторов насадочными элементами, которые изготавливают
ив плотной ткани. Между волокнами ткани фильтра проходит газ, а частицы пыли
задерживаются на поверхности ткани. Одним из наилучших материалов для
изготовления фильтров является войлок, спрессованный в мягкую подушку и
расположенный параллельно направлению потока газа. Однако тканевые фильеры
очень трудно очищать от пыли, все они разрушаются под действием газа, особенно
в присутствии жидкости. Отчасти этот недостаток удалось преодолеть путем
применения наиболее устойчивых к действию органических жидкостей. Тканевые
фильтры даже с насадкой синтетических материалов малоэффективны при улавливании
из газа капель жидкости. Дело в том, что капельки жидкости собираются на нижней
стороне фильтра и виде затвердевшей пленки. Газ, проходя через эту пленку,
разрывает ее. При этом образуются новые капли жидкости, которые уносятся из
фильтра. В результате газ как бы возвращается и свое первоначальное состояние с
той лишь разницей, что в нем нет пыли, а капельки жидкости стали крупнее и их
легче отделить от газа в любом коагуляторе.
Таким образом, можно сделать вывод о том, что наилучшим
аппаратом для очистки газа от механических примесей и жидкости является
сепаратор с фильтрональным и коагулирующими элементами. К фильтровальным
элементам предъявляются следующие требования: самоочищаемость; доступность при
замене и чистке; устойчивость к действию органических жидкостей и воды (особенно
к набуханию и разрушению); конструктивная прочность и оснастка, позволяющие
сохранять форму при длительной эксплуатации; сравнительно малое гидравлическое
сопротивление; слабая смачиваемость поверхности; компоновка, позволяющая
крупным примесям (песок, буровой раствор, большие объемы жидкости), поступающим
в сепаратор, отделиться от газа раньше, чем газ достигнет фильтра. [1, с.45]
Практика применения фильтров показывает, что многие из них
хорошо работают в одних местах и плохо в других. Результаты, полученные в промышленных
установках, очень трудно, а иногда и невозможно оценить. Наблюдались случаи,
когда после установки фильтров некоторые из проблем эксплуатации Пыли
ликвидированы, но определить точно причину их исчезновения невозможно, так как
полученные результаты обычно неустойчивы во времени.
Один из фильтров, применяемых в настоящее время в
промышленности, состоит из сложных круговых элементов, число которых зависит от
поверхности. Газ поступает в верхнюю часть фильтра, проходит через
фильтровальные элементы и отводится через трубки. Механические примеси
задерживаются в фильтровальных элементах, мелкие капли жидкости за счет
коалесценции укрупняются и могут быть легко отделены от газа с помощью
коагулятора, который устанавливается после фильтра. Концевой фланец этого
фильтра съемный, что позволяет в случае необходимости легко заменять элементы. Преимущество
данного фильтра - большая удельная поверхность его. Величина поверхности
фильтра зависит от материала, его плотности и конструкции фильтра.
Наличие механических примесей и их влияние на пропускную
способность магистральных газопроводов - одна из главных проблем, возникающих
при транспортировке природных газов. Хотя очистка газа от пыли и капельной жидкости
- в основном проблема транспортировки газа, а не его переработки, она
заслуживает обсуждения, так как частично ее источником является все
возрастающая переработка газа непосредственно на промыслах.
Проблемы, возникающие при очистке газов, определяются широко
изменяющимися свойствами примесей и отсутствием классификационных стандартов,
необходимых для проектирования оборудования, поэтому многие из них решается
экспериментальным путем.
Рис. 1. Конструкции Вертикального и горизонтального пылеуловителей:
1,7 - коагулятор на выходе; 2 - сепарационная секция; 3 - контактные элементы; 4
- жидкость; 5 - входной фланец; 6 - скрубберный элемент; 8 - фланец для отвода
газа; 9 - редуктор; 10 - 10 электродвигатель; 11 - постоянный уровень масла; 12
- дренаж и заполнение маслом; 13 - разделительная перегородка; 14 - коагулятор
на входе; J - вход газа; II - выход
газа; III - выход жидкости
Оборудование, которое применяется для очистки газов, можно
разделить па дна вида: использующее и не использующее жидкость. Все жидкостные
аппараты конструируют таким образом, чтобы обеспечить хороший контакт между
очищаемым газом и жидкостью.
На рис.1 показано устройство вертикального горизонтального
пылеуловителей. Вертикальный пылеуловитель отличается от сепараторов "газ-жидкость"
только в нижней части аппарата. В скрубберной секции аппарата применяется много
различных устройств, но наибольший эффект достигается при барботаже газа через
слой жидкости. Контакт между ними осуществляется с помощью специальных
приспособлений. Жидкость отделена от газа в сепарационной секции аппарата и под
действием силы тяжести капает в сборник.
В промышленности применяются пылеуловители и других конструкций,
использующих главным образом внешний источник энергии.
Жидкостные скрубберы являются сравнительно
высокоэффективными пылеуловителями. Их недостаток - необходимость постоянного
перетока жидкости в нижнюю часть аппарата, что не всегда получается (тогда
жидкость уносится газом). Потери, не превышающие 13,4 л на 1 млн. м3 газа,
считаются нормальными, однако бывают случаи выноса в газопровод всей жидкости. При
этом, если газ поступает на компрессорную станцию, создается опасность гидравлического
удара в компрессорных цилиндрах и их разрушения. Нормальный унос жидкости из
скрубберов поддерживается с помощью коагуляторов.
Повышенный унос жидкости из пылеуловителей наблюдается в
следующих случаях: разбавление масла углеводородным конденсатом, поступающим с
газом, поступление и аппарат большого количества жидкости и результате резких
изменений пропускной способности и давления в газопроводе; превышение проектной
скорости. Разбавление масла можно уменьшить, если установить перед
пылеуловителем обычный сухой скруббер, однако это ухудшает экономические,
показатели. В некоторых случаях в пылеуловителях применяют жидкости, которые не
смешиваются с углеводородами и имеют малую упругость паров, например дизэтиленгликоль.
Накопившиеся углеводороды периодически дренируют из аппарата, однако применять
для этих целей гликоль сравнительно дорого. Разбавление масла из-за абсорбции
углеводородов из газа отрицательно влияет па показатели работы пылеуловителя
только при очистке очень жирных газов. При очистке других газов абсорбция очень
мала и практически не снижает эффективности очистки газа. Причины вспенивания
масла могут быть самыми различными, однако чаще всего оно происходит из-за
наличия в газе ароматических углеводородов и ингибиторов коррозии. Вынос
жидкости из газопроводов и попадание ее в пылеуловители можно значительно
уменьшить, эксплуатируя газопровод на проектном режиме. На время продувки
газопровода рекомендуется отключать пылеуловители от потока газа с помощью
обводных линий. При пиковых отборах газа давление в газопроводе может
изменяться, поэтому пылеуловители должны рассчитываться на максимальные и
минимальные давления и скорости газа, возможные при эксплуатации газопровода. Например,
на одной из станций очистки газа повышенные потери масла имеют место при давлении
газа, на 12% превышающем проектное, и при скорости газа, - на 16,5% превышающей
проектную. На другой станции, где давление газа превысило проектное на 37,7%, а
пропускная способность при этом увеличилась только на 2,5%, потери масла
возросли до 68 л на 1 млн. м3 очищенного газа. Из-за уноса масла из
пылеуловителей многие эксплуатационники предпочитают применять для очистки газа
от пыли скрубберы сухого типа, хотя жидкостные пылеуловители имеют хорошие
показатели в работе и также широко применяются.
Жидкости, применяемые в пылеуловителях. Такие жидкости
должны иметь малую упругость паров, низкую температуру застывания, сравнительно
малую вязкость и обладать способностью смачивать пыль. Одна из фирм,
поставляющих оборудование, рекомендует применять в пылеуловителях масло,
имеющее минимальную температуру кипения 260° С; максимальную температуру
вспенивания паров 426,7° С; плотность 0,9042-0,8498 г/см3; вязкость
100 с по универсальному вискозиметру Сейболта при 37,8° С для очистки тощих
газов (при давлении очистки ниже 35 кгс/см2) и 150 с - для очистки
жирных газов (при той же температуре и давлении 35 кгс/см2 и выше).
Основная масса пыли, и других механических примесей,
содержащихся и газе, легко извлекается из него с помощью любой жидкости. Однако
из практики известны два случая, когда механические примеси, попавшие в газ на промысле,
прошли через два сепаратора, абсорбер установки гликолевой осушки, где имелось
четыре контактных тарелки, и осели в абсорбере установки сероочистки газа. К
счастью, такие случаи являются исключением.
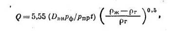
Определение производительности пылеуловителей. Производительность
вертикального, пылеуловителя Q (при проектном, давлении
и температуре 15,7° О) можно определить с помощью следующего уравнения:
2. Универсальная схема установки низкотемпературной сепарации природного
газа

На рис. 2 приведена "универсальная схема" установки
низкотемпературной сепарации, которая получила преимущественное распространение
на газоконденсатных промыслах и в которой учтены недостатки элементарной
высоконапорной схемы НТС.
Газ высокого давления по шлейфу 1 (способному выдержать это
давление) подходит к установке. Но прежде чем попасть в сепаратор, газ проходит
во влагоотбойнике 2 предварительную очистку. В результате этой очистки от
сырого газа высокого давления отделяется вся капельная влага, которая обычно
состоит из конденсата и воды. Эта капельная влага образовалась вследствие
падения температуры и давления газа, проделавшего путь в несколько километров
от призабойной зоны пласта через скважину, шлейф к установке.
Очистившись во влагоотбойнике от жидкости, газ попадает в
теплообменник 3. Теплообменник в универсальной схеме НТС играет очень большую
роль: в нем сырой газ высокого давления охлаждается холодным газом, идущим из
сепаратора, и подходит к штуцеру с более низкой температурой. Вследствие этого
даже при относительно небольших перепадах давления до и после штуцера в
сепараторе установки будет получаться сравнительно низкая температура.
Пройдя теплообменник 3, сырой газ, охладившись еще более,
снова выделяет жидкость, состоящую из воды и конденсата.
Некоторые авторы считают необходимым выделившуюся в
теплообменнике влагу отделить в гидратоуловителе 4 (влагоотбойнике) и только
после этого подать сырой газ к дросселю; другие полагают, что особой
необходимости в гидратоуловителе 4 нет и ряд схем может обходиться без него.
Между влагоотбойником 2 и теплообменником 3 показан бачок 9,
который соединен со шлейфом 1 трубопроводом небольшого диаметра. Бачок 9
кристаллогидратов в природном газе от температуры и давления, (метанольница),
как правило, заполнен сорбентами: метанолом или диэтиленгликолем (ДЭГ), один из
которых (метанол) снижает температуру образования кристаллогидратов и разлагает
уже образовавшиеся, а другой поглощает воду и этим исключает возможность
образования кристаллогидратов (но не разлагает их). Следовательно, если не
инжектировать указанные выше сорбенты, то в теплообменнике не удастся
значительно снизить температуру ниже температуру газа, а, следовательно, в
сепараторе может не произойти необходимое понижение температуры.
При движении газа по теплообменнику температура его падает,
в результате чего в самом теплообменнике из газа начнут выпадать вода в
капельно жидкой фазе и конденсат высококипящих углеводородов, которые начнут
достаточно активно смешиваться с метанолом или ДЭГ.
Аппарат 4 правильно назвать гидратоуловителем и согласно
этому названию его назначение должно в основном заключаться в том, чтобы
улавливать кристаллогидраты (а не только жидкость), которые могут образоваться
в теплообменнике и которые, если не будут удалены из газовой струи, обязательно
забьют штуцер перед сепаратором, что вызовет перебой в работе установки.
Ввиду того, что для промыслов особенно опасны мгновенные
остановки скважин, вызванные перекрытием штуцерных каналов, совершенно
необходимо, чтобы движущиеся с газовой струей куски кристаллогидратов
обязательно улавливались каким-либо аппаратом. На рис.5 дается схематический
чертеж такого аппарата, который правильней назвать гидратной ловушкой. Пройдя
гидратоуловитель 4 (см. рис.3), газ подходит к штуцеру, в котором, внезапно
изменяя скорость, он теряет часть своей энергии, в результате чего снижает
температуру и давление.
В низкотемпературном сепараторе (принцип работы которого в
самых общих чертах был описан в предыдущем разделе) из газа благодаря снижению
его температуры начинают мгновенно выделяться в жидкой фазе вода и
высококипящие углеводороды. В те же мгновения метан, этан и частично пропан,
соединяясь с капельками воды, образуют кристаллики гидратов, которые в виде
мельчайших льдинок или снежинок заполняют объем сепаратора
Рис. 3. Гидратоуловитель.1 - шлейф; 2 - корпус; 3 - выкидная
труба; 4 - предохранительная сетка;.5 - линия сброса конденсата; 6 - -паровая
рубашка.
В результате осаждения кристаллогидратов и конденсата газ,
выходящий из сепаратора, будет в значительной степени осушен и из него должны
отделиться все углеводороды, которые согласно законам ретроградной или прямой
конденсации должны были в данных термодинамических условиях превратиться в
жидкую фазу. Естественно, что такой очищенный газ будет удобно транспортировать
по магистральным газопроводам на дальние расстояния.
Согласно схеме установки холодный газ из сепаратора
направляется не прямо в газопровод, а в теплообменник, в котором он, отдавая
свой холод сырому газу, нагревается сам и снижает температуру последнего до
необходимых пределов; только после этого он поступает в магистральный
газопровод. Такой путь очищенного газа весьма рационален, поскольку холодный
очищенный и сухой газ, нагреваясь в кожухе теплообменника, будет благотворно
влиять на работу газосборных коллекторов и не нарушать их теплового режима, что
особенно важно.
Так заканчивается путь газа при низкотемпературной сепарации.
Проследим теперь путь конденсата. Конденсат вместе с кристаллогидратами,
опускаясь под действием силы тяжести, попадает или в нижнюю часть сепаратора,
или конденсатосборник, находящуюся под сепаратором.
В конденсатосборнике имеется теплообменник, который
обогревается или при помощи посторонних теплоносителей (пар, отходящие газы,
горячая вода и т.д.), или тем же горячим сырым газом. Теплообменник
поддерживает в конденсатосборнике температуру, необходимую для разложения кристаллогидратов,
и таким образом избавляет установку от твердых кристаллогидратов. Из
конденсатосборника вода, образовавшаяся в результате разложения
кристаллогидратов, вместе с конденсатом эвакуируется через конденсатосборные
сети в промысловые конденсатохранилища, где конденсат отстаивается от воды и
направляется к месту потребления или переработки, а вода сливается в
канализацию. Водные растворы диэтиленгликоля представляют особенно большую
ценность, поскольку они содержат большое количество ДЭГ, поэтому их обязательно
регенерируют. В результате регенерации воду отгоняют и получают чистый ДЭГ,
способный снова пойти в работу. Расходы его значительно уменьшаются, что
существенно повышает экономическую эффективность процесса НТС. Аналогичный
процесс можно провести и с водными растворами метанола. [2, с.34]
Таким образом, общепринятой схемы разделения углеводородных
газов нет, в каждом индивидуальном случае в зависимости от состава исходного
газа, степени извлечения и чистоты целевых компонентов, производительности
установки и многих других факторов на основании технико-экономического анализа
может быть выбрана оптимальная схема разделения. Ввиду очень большого
количества независимых переменных, к которым относятся технологические
параметры процесса, конструктивные характеристики оборудования, метод
газоразделения и тип схемы, характеризующийся порядком включения отдельных
элементов схемы и их числом, они могут быть выбраны только с помощью
электронных вычислительных машин дискретного счета. Метод сепарации является
перспективным направлением переработки жидких углеводородов (конденсатов),
представляющих для химической промышленности особо ценное сырье.
1.
Кэмпбел Д.М. Очистка и переработка природного газа. М.: Недра, 1977. -
349с.
2.
Саркисьянц Г.А. Переработка и использование газов. М.: Гостоптехиздат,
1962. - 156с.