Организация управления гибким производственным комплексом на основе системы ЧПУ

  • Вид работы:
    Курсовая работа (т)
  • Предмет:
    Технология машиностроения
  • Язык:
    Русский
    ,
    Формат файла:
    MS Word
    133,21 kb
  • Опубликовано:
    2010-04-01
Вы можете узнать стоимость помощи в написании студенческой работы.
Помощь в написании работы, которую точно примут!

Организация управления гибким производственным комплексом на основе системы ЧПУ

Содержание

Ведение

1. Техническая характеристика станка

2. Техническая характеристика робота

3. Алгоритм управления

3.1 Описание исходного состояния автоматизированного комплекса

3.2 Словесное описание алгоритма работы комплекса

4. Разработка сети Петри

4.1 Построение дерева иерархии

4.2 Построение сложной сети Петри и расчет дублеров

5. Построение ременно-контактной схемы

6. Построение циклограммы

7. Проверка составления РКС

8. Составление бесконтактной логической схемы

9. Составление управляющей циклограммы

Список литературы

Введение

Программные устройства в настоящее время находят все более широкое применение в различных отраслях машиностроения для автоматизации управления агрегатами или техническими процессами: резанием, раскроем и обработкой давлением, сборкой, контролем и транспортировкой детали, приготовлением смесей, контролем и соединением проводов и др.

Системы головного программного управления. В них режимы обработки и информация о формообразующей траектории движения инструмента задаются с помощью чисел. Системы этого класса осуществляют числовое управление трех видов: двухкоординатное управление, которое часто называют прямоугольным или ступенчатым управлением и контурное (непрерывное) управление или управление движением.

В данной работе будут показаны способы организации управления гибким производственным комплексом на основе системы ЧПУ различными методами.

1.   Техническая характеристика станка

В разрабатываемом гибком производственном модуле для обработки тел вращения применяется станок модели 16К20Ф3 с системой ЧПУ.

Характеристики станка:

Наибольший диаметр обрабатываемой заготовки, мм:

- над станиной 400

- над суппортом 220

Число инструментов 6

Число частот вращения шпинделя 12 (по прог. 6)

Частота вращения шпинделя, мин –1 35 – 1600

Регулирование подач бесступенчатое

Подача, мм/мин:

- продольная 3 – 200

- поперечная 3 – 500

Скорость быстрых перемещений, мм/мин:

- продольных 4800

- поперечных 2400

Дискретность перемещений, мм:

- продольных 0,01

- поперечных 0,005

Габаритные размеры станка, мм:

- длина 3360

- высота 1710

- ширина 1750

2.   Техническая характеристика робота

В разрабатываемом гибком производственном модуле для обработки тел вращения применяется промышленный робот УМ 2.160.ПР2.

Техническая характеристика:

Число степеней подвижности 4

Перемещение руки в горизонтальном направлении, мм 0,0 – 6000

Вертикальное перемещение, мм 50 – 1500

Углы поворота руки, град 0 – 120

Наибольшая скорость осевого перемещения руки, м/с 1

Наибольшая скорость подъема руки, м/с 0,7

Наибольшая скорость поворота руки, град 90

Наибольшая сила зажима губок схвата, Н 5300

Время зажима губок схвата, с 0,2

Точность позиционирования, мм + - 0,2

Масса манипулятора, кг 555

3.   Алгоритм управления

3.1 Описание исходного состояния автоматизированного комплекса

Исходное состояние системы следующее: Робот находится в крайнем правом положении, т.е. датчики S7 и S13 включены; привод транспортера отключен, что соответствует выключенному датчику SрМ5; деталь отсутствует в позиции захвата, т.е. датчик S12 отключен; пиноль станка в крайнем правом положении, т.е. датчик S15 включен; система ЧПУ отключена, что соответствует включенному датчику Sт2 и выключенному датчику Sт1. В соответствии с вышесказанным функция начального состояния запишется в виде:


3.2 Словесное описание алгоритма работы комплекса

По включению кнопки "Пуск" включается привод транспортера SрМ5 до появления детали в зоне захвата, т.е. до включения датчика S12. После этого включается привод подъема руки М6, он работает до того момента пока включается датчик S8. Далее робот включает привод захвата М9 до появления сигнала с датчика S6. После этого включается привод подъема робота М6 до включения датчика S13. Затем включается привод перемещения робота М10 и робот перемещается от датчика S7 до датчика S4. Далее включается привод поворота робота М7. Рука робота поворачивается в пространстве на 90 град до включения датчика S5. После этого идет включение привода подъема робота М6 и он опускается до положения S10. После чего включается привод М8 до зажима детали на станке, что означает срабатывание датчиков S9 и S11. После этого робот опускает деталь включением двигателя М9 до исчезновения сигнала с датчика S6. Далее робот поднимается до положения S14 включается процесс обработки детали, что обозначается датчиком включения Sт1. Робот опускается до положения S10. Затем включается привод зажима детали до появления сигнала с датчика S6. Как только робот захватит деталь, включается привод пиноли М8. Пиноль отдвигается в крайнее правое положение и включает датчик S15. Робот поднимается до положения S14. Датчик S14 выключает привод подъема робота М6. После этого робот поворачивается в пространстве на 90 град и исчезновение сигнала датчика S5 выключает привод М7. Затем включается привод перемещения робота в горизонтальном положении. Робот перемещается в крайнее левое положение и включает датчик S3. Далее включается привод подъема робота М6 и он опускается в положение включения датчика S2. Затем включается привод захвата детали М9. Робот опускает деталь в бункер, что означает исчезновение сигнала с датчика S6. После чего робот поднимается и включает датчик S6. Деталь, попав в бункер, движется за счет своей массы вниз и включает датчик S1. Как только появится сигнал с датчика S1, включается привод перемещения робота М10 и он перемещается до положения включения датчика S7. Процесс повторяется.

4.   Разработка сети Петри

Таблица 1 – Соответствие датчиков обозначениям в сети Петри.

Обозн.

Расположение

Обозн. РКС

Обозн. Петри

Адрес ЧПУ

Значение

S1

На выход с бункера

а

S1

1001

Готовая деталь вышла

S2

Над бункером

в

S2

1002

Робот над бункером

S3

В крайнем левом положении

c

S3

1003

Робот в крайнем левом положении

S4

Над станком

d

S4

1004

Робот над

станком

S5

На роботе

e

S5

1005

Робот повернут на 90 град

S6

На захвате робота

g

S7

1006

Робот захватил деталь

S7

В крайнем правом положении

h

S8

1007

Робот в правом положении

S8

Над зоной захвата детали

i

S9

1008

Робот в зоне захвата детали

S9

На передней бабке станка

j

S10

1009

Деталь зажата на станке

S11

На пиноли

l

S12

1010

_

S12

На транспортере

m

S13

1011

Деталь в зоне захвата

S13

Над транспортером

n

S14

1012

Робот над транспортером

S14

Над станком

o

S15

1013

Робот над

станком

S15

На станке

p

S16

1014

Пиноль

отведена

S16

Над бункером

r

S17

1015

Робот над бункером

SpM1

На двигателе главного привода

s

S18

1016

Двигатель гл. привода вкл.

SpM2

На приводе подач

t

S19

1017

Подача

включена

S10

В зоне зажима детали на станке

k

S11

1018

Деталь в зоне станка

SpM3

На приводе поперечных подач

u

S21

1019

Вкл. поперечная подача

SpM4.1

На приводе продольных подач

v

S22

1020

Вкл. продольная подача

SpM4.2

На приводе продольных подач

v

S22

1020

_

SpM5

На приводе транспортера

w

S23

1021

Транспортер включен

SpM6

На механизме подъема робота

x

S24

1022

Робот подн. / /опускается

SpM7

На механизме поворота робота

y

S25

1023

Робот поворачивается

SpM8

На механизме передвижения пиноли

z

S26

1024

Пиноль отвод./ подводится

SтM1

В ЧПУ

q

S20

1025

ЧПУ включена

SтM2

В ЧПУ

f

S6

1026

ЧПУ отключена

М1

Главный привод

A

Y1

1027


М2

Привод подач

B

Y2

1028


М3

Привод поперечных подач

C

Y3

1029


М4.1

Привод продольных подач

D

Y4

1030


M4.2

Привод продольных подач

E

Y5

1031


М5

Привод транспортера

F

Y6

1032


М6

Привод подъема робота

G

Y7

1033


М7

Привод поворота робота

H

Y8

1034


М8

Привод пиноли

I

Y9

1035


М9

Привод зажима

J

Y10

1036


М10

Привод перемещения

K

Y11

1037



На основе описания алгоритма строим сеть Петри.

Способ ее построения опишем на примере:

Рисунок 1 – Участок сети Петри.

На рисунке показан участок сети Петри а именно захват роботом детали.

Вершины графа в виде черточек и обозначенных "t" с последующим номером, называются переходами. Рi – позиция, в обозначении которых указывается от какого и до какого состояния происходит последующий переход. На переходах указывают состояния датчиков, которые позволяют произвести переход. В данном примере переход из позиции Р3 в позицию Р4 переходит по появлению сигнала с датчика S6, после чего привод Y10 отключается, т.е. происходит зажим детали. После построения сети Петри проверяем нет ли в ней "тупиковых" ситуаций. Сеть составлена так, что переход из одного состояния в другое имеет однозначные условия перехода, поэтому "тупиковых" ситуаций нет. В данной сети Петри в каждой ее позиции в любой момент времени может находиться не более одной точки. Следовательно сеть Петри является правильной.

4.1 Построение дерева иерархии

Построение дерева иерархии производим по следующему алгоритму: на верхнем уровне этого дерева находится автоматизированный комплекс, который обозначается Р0. На более низком уровне находятся устройства, составляющие АК, которые оберегаются Р1 … Р4. Ниже показывают операции, которые эти устройства производят и обозначают Р5 … Р12.

В схеме дерева иерархии приняты следующие обозначения:

Р0 – автоматизированный комплекс,

Р1 – станок,

Р2 – робот,

Р3 – транспортер,

Р4 – бункер,

Р5 – загрузка – выгрузка станка станочными механизмами,

Р6 – обработка детали,

Р7 – загрузка станка роботом,

Р8 – выгрузка станка роботом,

Р9 – подача детали к роботу,

Р10 – отвод детали,

Р11 – загрузка станка станочными механизмами,

Р12 – выгрузка станка станочными механизмами,

4.2 Построение сложной сети Петри и расчет дублеров

Из операций, описанных выше можно построить сложную сеть Петри в виде последовательно соединенных дублеров. Сложная сеть Петри состоит из дублеров di, номер которого соответствует позиции Pi дерева иерархии. Дублеры обозначаются двойным кружком. Сложная сеть Петри соответствует следующему алгоритму:

По кнопке "Пуск" (переход t0) происходит загрузка станка роботом (дублер d7); затем происходит загрузка станка станочными механизмами (дублер d11); После этого по переходу t2 происходит обработка детали (дублер d6); далее происходит выгрузка детали станочными механизмами (дублер d12); потом происходит выгрузка станка роботом (дублер d8); после чего происходит отвод детали (дублер d10); и далее цикл повторяется.

5. Построение расчетно-контактной схемы

По описанию алгоритма запишем формулы для механизмов РК.


На основе формул строим РКС. Умножение записываем в виде последовательной цепи, а сложение в виде параллельного соединения. Нормально разомкнутые контакты показаны на рисунке 2.1, что соответствует прямому сигналу, нормально замкнутые контакты показаны на рисунке 2.2, что соответствует инверсному состоянию датчиков. Механизм обозначаем релейным объектом 2.3.

Рисунок 2 – Условные обозначения в РКС

6. Построение циклограммы

На основе сети Петри, а также алгоритма работы комплекса составляем циклограмму, которая представляет собой графическое изображение последовательности работы отдельных механизмов схемы во времени.

Работа элемента и наличие соответствующего этому элементу сигнала изображается на циклограмме отрезком горизонтальной прямой. Толстой линией обозначаются сигналы командных и исполнительных элементов. Слева от отрезка, на границе циклограммы проставляются его обозначения. Большими буквами латинского алфавита обозначаются исполнительные механизмы. Маленькими буквами латинского алфавита – сигналы датчика.

Последовательность работы элементов определяется положением концов отрезков, изображающих их работу, относительно левой границы циклограммы.

Воздействие одного элемента на другой изображается на циклограмме стрелкой указывающей направление воздействия.

Возможны четыре случая:

Рисунок 3 – Варианты воздействия датчиков на исполнительные элементы. (3.1 – Случай, когда появление сигнала датчика а приводит к появлению сигнала с исполнительного устройства В

3.2 – Исчезновение сигнала с датчика а приводит к прекращению работы с исполнительного органа В;

3.3 – Исчезновение сигнала с датчика а приводит к началу работы исполнительного органа В;

3.4 – Появление сигнала с датчика а приводит к прекращению работы исполнительного органа В).

Все временное пространство работы комплекса разбивается на такты. Под тактом подразумевается период, в течении которых в схеме не изменяется состояние ни одного из сигналов. На основе вышесказанного строится циклограмма, которая приведена на листе 2 приложения А.

7. Проверка составления РКС

7.1 Проверка по циклограмме

Данная проверка включает в себя еще три проверки. При первой анализируются, существуют ли записанные ранее условия срабатывания в течении всего включающего периода.


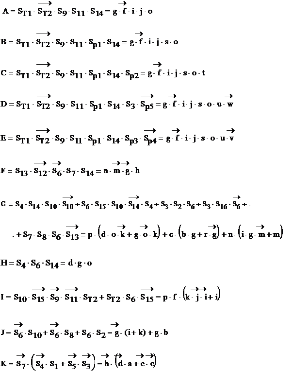
Проверку проведем по функции, составленной для главного привода.

В течении всего цикла работы комплекса условие включения не изменилось, т.е. данная формула удовлетворяет первой проверке.

При второй проверке анализируется, существуют ли записанные ранее условия несрабатывания в течении всего включающего периода. Для функции главного привода таких ситуаций, когда условие несрабатывания бы не выполнялось, нет. Следовательно, данная функция удовлетворяет и второму условию.

Третья проверка заключается в том, чтобы после отключения исполнительного элемента исключить возможность создания условий для его повторного (неправильного) включения. Т.к. функция главного привода представляет собой произведение всех сигналов и удовлетворяет двум предыдущим проверкам, т.е. никаких дополнительных элементов не вводится, то функция А однозначно определяет условия срабатывания и несрабатывания и исключает случай неправильного включения (т.е. функция А равна 1 только при одной комбинации датчиков), то функция А удовлетворяет и третьей проверке. Следовательно функция А составлена правильно.

7.2 Проверка по таблице состояний

Проверку проводим для привода перемещения робота К.

Таблица 2 – Состояния функции К.

К

h

d

a

c

0

1

*

*

*

*

0

1

1

0

1

0

1

0

0

1

0

0

1

0

0

1

1

0

1

0

0

1

0

1

1

0

0

1

1

1

0

0

0

0

1

0

0

0

0

0

0

1

0

0

0

0

1

1

1

0

0

0

0

0

1

0

0

1

0

0

1

0

1

0

0

0

1

0

1

1

0

0

0

0

1

1

1

1

0

0

1

1

1

0

0

0

1

1

0

1

0

0

1

0

1

0

0

0

1

0

0

1

0

0

1

0

1

1


Запишем функцию К как сумму функций 1; т.е. функций имеющих значение 1 только при одной комбинации датчиков.


Производим упрощение по законам алгебры логики.


формула записана правильно.

8. Составление бесконтактно логической схемы

На основании функции, составленных ранее строим бесконтактную логическую схему.

При разработке приняты следующие обозначения:

Рисунок 4 – Условные графические обозначения элементов в бесконтактной логической схеме.

На рисунке 4.1 представлен логический элемент "И" (умножение).

На рисунке 4.2 представлен логический элемент "ИЛИ" (сложение).

На рисунке 4.3 представлен логический элемент "НЕ" (инверсия или отрицание).

Построение логической схемы представим на примере – составим бесконтактную логическую схему для управления приводом перемещения роботом К.

Ранее была проведена проверка формулы составленной для привода К.

Рисунок 5 - Бесконтактная логическая схема для элемента К.

9. Составление управляющей программы

Перед написанием программы проведем детализацию дублеров и напишем соответствие позиций сети Петри адресом ОЗУ контроллера NS-915. Представим данную операцию в виде таблицы:

Таблица 3 – Описание и адресация позиций сети Петри.

№ п/п

Обозн.

Функциональное описание

Адрес


d0

Начальное состояние


1

P0

Начальное состояние

2000


d7

Загрузка станка роботом


2

P1

Подвод транспортером детали

2001

3

P2

Опускание робота

2002

4

P3

Схват детали

2003

5

P4

Подъем робота

2004

6

P5

Перемещение робота

2005

7

P6

Опускание робота

2004

8

P7

Поворот робота и зажим детали на станке

2006


d11

Загрузка станка станочным материалом


9

P8

Отпускание детали

2003

10

P9

Подъем робота

2004


d6

Обработка детали


11

P10

Включение подач

2007

12

P11

Включение главного привода

2008


d12

Разгрузка станка станочными механизмами


13

P12

Опускание робота

2004

14

P13

Схват детали

2003

15

P14

Отвод пиноли

2006


d8

Разгрузка станка роботом


16

P15

Подъем робота

2004

17

P16

Поворот робота и передвижение

2009


d10

Отвод робота


18

P17

Опускание робота

2004

19

P18

Отпускание детали

2003

20

P19

Подъем робота

2004

21

P20

Передвижение робота

2010

На основе таблицы запишем управляющую программу:

0000

LD

1007

Описание начального состояния

0001

*C

1012

0002

*C

1021

0003

*C

1011

0004

*C

1014

0005

*C

1025

0006

*C

1026

0007

WR

2000

0008

BR

1130

0009

JM

0000

0010

LD

1025

Задание функции А

0011

*C

1026

0012

*C

1009

0013

*C

1010

0014

*C

1013

0015

WR

2008

0016

BR

0010

0017

JM

0018

0018

LD

1025

Задание функции В

0019

*C

1026

0020

*C

1009

0021

*C

1010

0022

*C

1013

0023

*C

1016

0024

WR

1007

0025

BR

0018

0026

JM

0027

0027

LD

1025


0028

*C

1026

Описание функции С

0029

*C

1009

0030

*C

1010

0031

*C

1016

0032

*C

1013

0033

*C

1017

0034

WR

2007

0035

BR

0036

JM

0037

0037

LD

1025

Описание функции D

0038

*C

1026

0039

*C

1009

0040

*C

1010

0041

*C

1016

0042

*C

1013

0043

*C

1003

0044

*C

1021

0045

WR

1007

0046

BR

0037

0047

JM

0048

0048

LD

1025

Описание функции Е

0049

*C

1026

0050

*C

1009

0051

*C

1010

0052

*C

1016

0053

*C

1013

0054

*C

1019

0055

*C

1018

0056

WR

2007

0057

BR

0048

0058

JM

0059

0059

LD

1012

Описание функции F

0060

*C

1011

0061

*C

1006

0062

*C

1007

0063

WR

2001

0064

BR

0059

0065

JM

0066

0066

LD

1004

Описание функции G

0067

*C

1013

0068

*C

1014

0069

*C

1018

0069

LD

1006

0070

*C

1014

0071

*C

1018

0072

*C

1004

0072

+


0073

LD

1003

0074

*C

1002

0075

*C

1006

0076

+


0077

LD

1007

0078

*C

1012

0079

+


0080

LD

1007

0081

*C

1008

0082

*C

1006

0083

*C

1013

0084

+


0085

WR

2004

0086

BR

0066

0087

JM

0088

0088

LD

1004

0089

*C

1006

0090

*C

1013

0091

WR

1006

0092

BR

0088

0093

JM

0094

0094

LD

1018

Описание функции I

0095

*C

1014

0096

*C

1009

0097

*C

1010

0098

*C

1026

0099

LD

1026

0100

*C

1006

0101

*C

1014

0102

+


0103

WR

2006

0104

BR

0094

0105

JM

0106

0106

LD

1006

Описание функции J

0107

*C

1018

0108

LD

1006

0109

*C

1008

0110

+


0111

LD

1006

0112

*C

1002

0113

+


0114

WR

2003

0115

BR

0106

0116

JM

0117

0117

LD

1007

Описание функции К

0118

*C

1004

0119

*C

1001

0120

LD

1007

0121

*C

1005

0122

*C

1003

0123

+


0124

WR

2005

0125

BR

0117

0126

JM

0127

0127

LD

2000

Начальное состояние и переход на состояние 1

0128

BR

0130

0129

JM

0000

0130

LD

2001

0131

BR

0130

Переход из состояния 1 в состояние 2

0132

LD

2002

0133

BR

0132

Переход из состояния 2 в состояние 3

0134

LD

2003

0135

BR

0134

Переход из состояния 3 в состояние 4

0136

LD

2004

0137

BR

0136

Переход из состояния 4 в состояние 5

0138

LD

2005

0139

BR

0138

Переход из состояния 5 в состояние 6

0140

LD

2004

0141

WR

1033

Переход из состояния 6 в состояние 7

0142

BR

0140

0143

LD

2006

0144

WR

1035

Переход из состояния 7 в состояние 8

0145

BR

0143

0146

LD

2003

0147

WR

1036

Переход из состояния 8 в состояние 9

BR

0146

0149

LD

2004

0150

WR

1033

Переход из состояния 9 в состояние 10

0151

BR

0149

0152

LD

2007

0153

WR

1027

Переход из состояния 10 в состояние 11

0154

BR

0152

0155

LD

2008

0156

WR

1028

Переход из состояния 11 в состояние 12

0157

WR

1029

0158

WR

1030

0159

WR

1031

0160

BR

0155

0161

LD

2004

Переход из состояния 12 в состояние 13

0162

WR

1033

0163

BR

0161

0164

LD

2003

0165

WR

1036

Переход из состояния 13 в состояние 14

0166

BR

0164

0167

LD

2006

0168

WR

1035

Переход из состояния 14 в состояние 15

0169

BR

0167

0170

LD

2004

0171

WR

1033

Переход из состояния 15 в состояние 16

0172

BR

0170

0173

LD

2009

0174

WR

1037

Переход из состояния 16 в состояние 17

0175

BR

0173

0176

LD

2004

0177

WR

1037

Переход из состояния 17 в состояние 18

0178

BR

0176

0179

LD

2003

0180

WR

1036

Переход из состояния 18 в состояние 19

0181

BR

0179

0182

LD

2004

0183

WR

1033

Переход из состояния 19 в состояние 20

0184

BR

0182

0185

LD

2010

0186

WR

1037

Переход из состояния 20 в состояние 30

0187

BR

0185

0188

JM

0127

Повторение цикла


Список литературы

1. "Системы управления автоматических машин" Рабинович А. Н. "Техника", 1973, 440 с.

2. "Логическое управление дискретными процессами" Юцицкий С. А. М.: "Машиностроение", 1987, 176 с.

3. "Металлорежущие станки" учебник для машиностроительных вузов" Пуша В. Э., М.: "Машиностроение", 1985, 256 с.

4. "Синтез микропрограммных автоматов" Баранов С. И., Л.: "Энергия", 1979, 232 с.

5. "Математическое обеспечение процессорных устройств ЧПУ" Сосонкин В. Л., М.: "НИИМАШ", 1981, 80 с.

6. "Автоматизированные технологические комплексы", М.: "НИИМАШ", 1981, 103 с.

7. "Автоматические станочные системы", М.: "Машиностроение", 1982, 319 с.

Похожие работы на - Организация управления гибким производственным комплексом на основе системы ЧПУ

 

Не нашли материал для своей работы?
Поможем написать уникальную работу
Без плагиата!
Без нейросетей!