Мясорубка МИМ–105М

  • Вид работы:
    Контрольная работа
  • Предмет:
    Технология машиностроения
  • Язык:
    Русский
    ,
    Формат файла:
    MS Word
    3,36 Mb
  • Опубликовано:
    2009-12-20
Вы можете узнать стоимость помощи в написании студенческой работы.
Помощь в написании работы, которую точно примут!

Мясорубка МИМ–105М

Содержание

Введение

Глава 1. Общее понятие о мясорубке как о технической системе

1.1 Конструктивная схема (эскиз) технической системы. Описания,назначение

1.2 Разделение мясорубки как технической системы

1.3 Описания функций выполняемых каждым элементом, составление таблицы функций

1.4. Функциональная структура мясорубки

Глава 2. Совершенствование действия мясорубки как технической системы

Глава 3. Мясорубка МИМ – 105М

3.1 Основные характеристики МИМ – 105М

3.2 Выбор основных конструктивных параметров мясорубок

3.3 Определение производительности мясорубок

3.4 Правила эксплуатации мясорубок

Заключение

Список литературы

Введение


Мясорубки предназначены для измельчения мяса и рыбы при приготовлении фарша из них. Все серии МИМ имеют принципиально одинаковое устройство, отличаются габаритами и некоторыми конструктивными частями. Состоят они из электропривода и самой мясорубки. Электропривод имеет электродвигатель и редуктор, который служит для снижения числа оборотов при передаче вращательного движения от электродвигателя к шнеку мясорубки. Корпус мясорубки имеет горизонтальный пустотелый цилиндр и вертикальную горловину. Внутри цилиндра на стенках имеются направляющие ребра. На горловину крепится загрузочное устройство. В состав режущего механизма входит неподвижная подрезная решетка с тремя заостренными с одной стороны и перемычками, два вращающихся крестовидных ножа. Для различной степени измельчения они комплектуются различными ножами и решетками. Устанавливается на рабочем месте. Все электрорежащее оборудование должно быть заземлено.

Рабочее место оператора должно быть оборудовано 3-х полюсной розеткой с заземлением. Не допускается работа оператора при снятом корпусе машины. Перед включением ККМ в сеть необходимо осмотреть вилку и шнур питания и убедиться в их исправности. Н допускается замена предохранителя при включенной ККМ. Запрещается работать с мокрыми руками. По окончании работы её отключают из сети.

Глава 1. Общее понятие о мясорубке как о технической системе


Мясорубка - кухонная универсальная машина – приспособление, что служит для режуще-механической обработки продуктов.

Мясорубка чрезвычайно удобна для приготовления самого широкого спектра блюд и активно применяется как в домашних условиях, так и в системе общественного питания.

Отличительная черта ручной мясорубки в том, что она крепится к доске стола. Действие мясорубки запускается путём механического вращения специальной ручки. Иногда к ручной мясорубке присоединяются жерновая кофейная мельница, шинковка, сбивалки.

В отличие от электрической, ручная мясорубка более неприхотлива и мобильна в использовании.

Потребность в данной технической системе – это краткое описание назначения технической системы и цель ее создания

П = (DG),

где D – действие системы

G – предмет обработки

Потребность в данной системе

ТС

D

G

Мясорубка

Рубка, измельчение, рез

Мясо, продукты


Основная функция мясорубки, как ее и назначение, является рубания (рез) мяса.

1.1 Конструктивная схема (эскиз) технической системы. Описания, назначения


Рис. 1. Мясорубка. Простая схема

Таблица 1 -Устройство мясорубки

№ позиции

Элемент

1

Винт

2

Рукоятка

3

Опора

4

Винт

5

Втулка

6

Гайка нажимная

7

Нож

8

Решётка

9

Шнек

10

Корпус

11

Втулка шнека


Мясорубка состоит из следующих элементов:

Винт 1, который с помощью опоры 3 крепится к столу; рукоятки 2, закрепленной с помощью винта 4 со шнеком 9; последний вращается в тулке 5 и втулке шнека 11; на конце шнека 9 закреплены нож 7 и решетка 8, которые в свою очередь в месте со шнеком 9 фиксируются нажимной гайкой 6.

1.2 Разделение мясорубки как технической системы

Таблица 2 - Разделение технической системы

Обозначение элемента на эскизе

Наименование элемента

Е0

Нож

Е1

Шнек

Е2

Е3

Втулка

E4

Решетка

E5

Гайка нажимная

E6

Ручка

E7

Винт

E8

Опора

E9

Винт

E10

Корпус


Главным элементом технической системы является – нож. Его функция, как и функция всей технической системы, состоит в том, чтобы измельчать мясо, продукты.

С помощью вращения ручки 2 (рис 1 (б)), крутящий момент с помощью винта 4 и втулки шнека 11 и 5 передается на шнек 9, который в свою очередь создает продвижение продуктов, мяса, по корпусу 10 мясорубки. На шнеке зафиксирован нож 7, последний режет, рубит, измельчает мясо и выдавливает его через решетку 8 которая закреплена прижимной гайкой 6. Корпус 10 крепится за счет опоры 3 и винта 1.

1.3 Описания функций выполняемых каждым элементом, составление таблицы функций


Таблица 3 - Функций к эскизу (рис. 1 (б))

Элемент

Функция

Обозна-чение

Наименование

Обозна-чение

Наименование

E0

Нож

Ф0

предназначен для измельчения, рубки мяса и обработки других продуктов

E1

Шнек

Ф1

предназначен для проталкивания мяса и других продуктов.

E2

Втулка шнека

Ф2

предназначена для снижения сил трения возникающих при вращении шнека.

E3

Втулка

Ф3

предназначена для снижения сил трения возникающих при вращении шнека.

E4,V1

Решетка

Ф4

предназначена для выдавливания мяса и других продуктов определенной формы.

E5

Гайка нажимная

Ф5

служит фиксатором шнека, ножа и решетки.

E6

Ручка

Ф6

предназначена для вращения шнека, ножа.

E7

Винт

Ф7

является креплением рукоятки со шнеком.

E8

Опора

Ф8

служит для жесткого крепления мясорубки.

E9

Винт

Ф9

предназначен для крепления (к столу, доске и д.р.) а также удержания мясорубки.

E10,V2

Корпус

Ф10

является несущим элементом всей мясорубки.


1.4 Функциональная структура мясорубки

Определение объектов окружающей среды

Построение конструктивной функциональной структуры

Рис. 3

Глава 2. Совершенствование действия мясорубки как технической системы


2.1 Основные недостатки существующих ручных мясорубок и их совершенствование

Основным недостатком ручной мясорубки является использование ручного труда человека, что приводит к быстрому уставанию руки человека и производству мясорубки.

Так как в ручной мясорубке используется ручной труд человека, то работа ее зависит непосредственно от человеческого труда. Т.е. вращение шнека и проталкивание мяса, продуктов и т.д. осуществляет человек. Такая модернизация облегчит работу человека, соответственно сократит время потраченное на перемалывание мяса и обработку его.

Данная техническая система может модернизироваться в верхней части корпуса мясорубки, путем установления прижимного механизма (крышки). Это позволит нам сократить время для обработки мяса и продуктов и соответственно облегчить труд человека.

Техническая система мясорубки (рис.2)состоит из: винта 1,который с помощью опоры 2 крепится к столу, рукоятки 2, закрепленной с помощью винта 4 со шнеком 9,последний вращается во втулке 5 и шнека 11, на конце шнека закреплены нож 7 и решетка 8, которые в свою очередь вращаются и затянуты нажимной гайкой 6. Нажимной механизм (крышка) 12 закреплен в верхней части мясорубки и способствует прижиму (придавливанию) мяса, продуктов и т.д.

Глава 3. Мясорубка МИМ – 105М

 

3.1 Основные характеристики МИМ – 105М


Рис 4. Мясорубка МИМ-105М

Мясорубка МИМ-105 Морубка (рис. 5) состоит из прямоугольного корпуса, рабочих инструментов, привода и станины. Внутри корпуса 12 закреплен электродвигатель 1. Вращение от электродвигателя через понижающую поликлиноре-менную передачу 13 передается валу 10 с втулкой 9, которая вращается в радиальных шарикоподшипниках 11. На втулке 9, для восприятия осевого усилия от шнека установлен упорный шарикоподшипник 8. Вал 10 приводит в движение шнек 6, который расположен внутри рабочей камеры 2. Предварительная затяжка ножей и решеток производится с помощью гайки 5 и упорного кольца 4. При этом гайка 5 навинчивается на неподвижную гайку 3. Окончательная затяжка осуществляется гайкой 3, имеющей для этой цели рычаг. Для удобства санитарной обработки рабочая камера и загрузочное устройство 7 выполнены съемными. Извлечение камеры вместе со шнеком и рабочими инструментами производится путем поворота рукоятки, расположенной снаружи корпуса машины. Машина устанавливается на полу.

Мясорубки МИМ-105 и МИМ-105М. Мясорубки — напольные, большой пpoизвoдительности. От приведенных ранее отличаются размерами. Приводной механизм мясорубки МИМ-105 состоит из электродвигателя, клиноременной передачи и одноступенчатого цилиндрического редуктора. Приводной механизм мясорубки МИМ-105М имеет только клиноременную передачу.

Правила эксплуатации мясорубок. Перед началом эксплуатации мясорубок производят их осмотр, проверяют правильность сборки и крепления всех частей, наличие толкателей. Для нормальной работы мясорубок большое значение имеет хорошая заточка и регулировка режущего механизма, а также его правильная сборка. При этом особое внимание следует обращать на правильность установки подрезной решетки и двусторонних ножей.

При регулировке необходимо добиваться плотного прижатия ножей к решеткам. При неплотном прилегании ножей к решеткам на лезвия ножей наматываются пленки и жилы, а при чрезмерном их прилегании сильно греется режущий механизм и ухудшается качество измельченного мяса. Степень прижатия ножей к решеткам регулируют следующим образом: сначала зажимную гайку завинчивают до упора, затем отпускают на 1/2 оборота и включают привод, после чего медленно заворачивают зажимную гайку до тех пор, пока двигатель не изменит тональности своего звучания.

Перед загрузкой мяса в машину его освобождают от костей, пленок и жил. Мясо нарезают кусками определенных размеров и зависимости от типа мясорубки. Проталкивать продукт внутрь машины во время ее работы можно только деревянным толкателем. После работы мясорубку разбирают, очищают от остатков продукта, моют, сушат и вновь собирают. Для защиты от коррозии ножи и решетки смазывают пищевым несоленым жиром.

Таблица 4 - Техническая характеристика мясорубок.

Показатели

Размер-ность

МИМ-105

МИМ-105 М

Производительность

кг/ч

400

400

Частота вращения шнека

мин -1

200

200

Диаметр решетки

мм

105

105

Габариты:

мм



 - длина


850

580

 - ширина


450

580

 - высота


1000

900

Масса

кг

224

150

Мощность электродвигателя

кВт

2,8

2,2


3.2 Выбор основных конструктивных параметров мясорубок


В процессе измельчения необходимо обеспечить сохранение качества исходных продуктов. Это требование относится главным образом к сочным продуктам (сырые мясо, рыба), измельчение которых может вызывать потерю сока. Качество продукта улучшается, если проворачивание его относительно стенок рабочей камеры минимальное, а воздействие последнего витка шнека на продукт направлено преимущественно вдоль оси рабочей камеры. Для уменьшения проворачиваемости продукта на внутренней поверхности рабочей камеры делают канавки. Для уменьшения воздействия последнего витка шнека на продукт в плоскости режущих инструментов угол подъема его βп выбирают небольшим (7—10°). Уменьшение βп снижает количество проворачиваний продукта относительно рабочей камеры мясорубки.

Характеризуя основные конструктивные параметры мясорубки, можно сказать что, воздействия витка шнека на продукт. Поверхность последнего витка шнека воздействует на продукт следующим образом: в направлении, перпендикулярном к ней, — с силой нормального давления//, вдоль этой поверхности — с силой трения Т, причем T = Nf, где f — коэффициент трения продукта о последний виток.

Их равнодействующую силу Р можно разложить на осевую силу Рп, направленную параллельно оси рабочей камеры, и окружную силу Р τ, направленную перпендикулярно Рn. Осевая сила Рп продвигает продукт через режущие инструменты, а сила Р τ способствует проворачиванию продукта.


где р — угол трения.

Из соотношения видно, что с уменьшением βп Pτ уменьшается и достигает минимального значения при рп = 0. Однако при этом производительность мясорубки также равна нулю. Надо иметь в виду, что уменьшение βп частично можно компенсировать увеличением частоты вращения шнека. Количество витков шнека оказывает существенное влияние на производительность. Чем длиннее шнек, тем меньше продукта вытесняется к загрузочному устройству и тем выше производительность мясорубки. Объясняется это тем, что витки шнека образуют лабиринт, препятствуя тем самым вытеснению продукта из зоны расположения последнего витка (из зоны с повышенным давлением) к загрузочному устройству.

Длина шнека мясорубок лежит в пределах (2,5—3,8) D, где D — наружный диаметр шнека.

Рис. 5 – Схема воздействия последнего витка шнека на продукт

Ножевые решетки выполняются с максимально возможным использованием их площади под отверстия, а также с учетом требуемой степени измельчения и прочности. При этом шахматное расположение отверстий предпочтительнее расположения их по квадрату. Согласно ГОСТ 7411—79 коэффициент использования площади решеток Кр, равный отношению суммарной площади отверстий к площади решетки, установлен не менее 0,25.

3.3 Определение производительности мясорубок


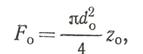
Производительность мясорубок определяют по формуле


где Fo — суммарная площадь отверстий в первой ножевой решетке, ближайшей к шнеку, м2:


здесь d0 — диаметр одного отверстия, м;

z0 — количество отверстий ножевой решетки, шт.;

v0 — скорость продвижения продукта через отверстие первой ножевой решетки.



здесь n — частота вращения шнека, мин -1; rн, rв— наружный и внутренний радиусы последнего витка шнека, м; Кв — коэффициент проворачивания продукта относительно шнека:


здесь ω — угловая скорость шнека, рад/с; ωпр — угловая скорость продукта, рад/с; практически для мясорубок Кв = = 0,35—0,4; р — плотность продукта, кг/м3; φ — коэффициент использования площади отверстий первой ножевой решетки, φ = 0,7—0,8.

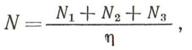
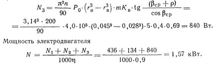
3.4 Определение мощности электродвигателя мясорубок

Мощность в мясорубке затрачивается на разрезание продукта в режущем механизме, на преодоление трения в режущем механизме, на преодоление трения шнека о продукт и на продвижение продукта шнеком. Мощность электродвигателя привода мясорубки определяется по формуле


где N1 — мощность, необходимая для разрезания продукта

в режущем механизме, Вт.

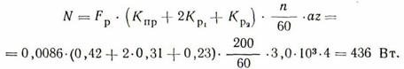
Для мясорубки с подрезной решеткой, двумя двусторонними вращающимися ножами и двумя неподвижными ножевыми решетками


здесь Fp — площадь ножевой решетки, м2; Кпр — коэффициент использования площади подрезной решетки; Крl, Kр2—коэффициенты использования площади решеток соответственно с крупными и мелкими отверстиями; а — удельный расход энергии на перерезание продукта, Дж/м2; а = 2,5*103 - 3,5 *103 Дж/м2; z— количество перьев у одного ножа, шт.; N2 — мощность, необходимая на преодоление трения в режущем механизме, Вт:


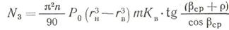
здесь Р3 — усилие затяжки режущего механизма, Н, Р3 = Pbz (rmax—rmin)i откуда Р — усредненное удельное давление в поверхности стыка ножей и решеток, Па, Р = 2*106— 3*106 Па; b — ширина площадки контакта лезвия ножа и решетки, м; rmax, rmin — наружный и внутренний радиусы вращающегося ножа, м; f — коэффициент трения скольжения ножа о решетку в присутствии измельчаемого продукта, f = 0,1; φ — количество плоскостей резания, шт.: N3 — мощность, необходимая на преодоление трения шнека о продукт и на продвижение продукта от загрузочного устройства до режущего инструмента, Вт

здесь Ро — давление за последним витком шнека, Па, Ро = 3,0*105 —5,0*105 Па; m — число витков шнека; βср—средний угол подъема витков шнека; зависит от среднего шага tcр витков шнека и среднего диаметра dcp:

р — угол трения.

Пример расчета:

Задано: мясорубка со следующим набором режущих инструментов.

1. Подрезная решетка.

2. Две ножевые решетки с наружным диаметром dp = 104 мм:

первая — диаметр отверстий d1 = 5 мм, число отверстий z1 = 140 шт.; вторая — диаметр отверстий d2 = 3 мм, число отверстий z2 = 276 шт.

3. Вращающиеся ножи — два: наибольший радиус rmax = 47 мм;

наименьший радиус rmin = 25 мм.

4. Шнек: наружный радиус rн = 45 мм;

внутренний радиус rв= 28 мм;

частота вращения n = 200 мин-1.

Определить: производительность мясорубки и мощность электродвигателя.

Решение. 1. Определение производительности.

Принимаем: шаг последнего нитка tn = 36 мм, плотность продукта р = 1000 кг/м3, коэффициент проворачивания KB = 0,4; коэффициент использования площади отверстий первой ножевой решетки φ = 0,8.

Суммарная площадь отверстий в первой ножевой решетке


Скорость продвижения продукта через отверстия ножевой решетки


Производительность машины.

Q =Foυoρφ*36OO = 0,0027*0,049*1000*0,8*3600 = 380 кг/ч.

2. Определение мощности электродвигателя.

Принимаем: удельный расход энергии на перерезание продукта а = 3,0 Х 103 Дж/м2, давление за последним витком шнека Pо=4,0*1О5 Па, коэффициент трения скольжения ножа о решетку f = 0,1, коэффициент трения продукта о шнек fi = 0,4, коэффициент использования площади подрезной решетки Kпр = 0,42, средний угол подъема витков шнека βср=12°, число витков m = 5, усредненное удельное давление на поверхности стыка ножей и решеток P = 2,5*106 Па, ширина площадки контакта лезвия ножа и решетки b = 0,002 м.

Площадь ножевой решетки

Мощность, затрачиваемая на разрезание продукта в режущем механизме,


Усилие затяжки режущего механизма


Мощность, затрачиваемая на преодоление трения шнека о продукт и на продвижение продукта от загрузочного устройства до режущего инструмента

 

3.4 Правила эксплуатации мясорубок


Перед началом работы убеждаются в надежности крепления мясорубки к производственному столу, фундаменту или приводу универсальной кухонной машины. После этого производят сборку частей мясорубки: вставляют в корпус мясорубки шнек так, чтобы хвостовик его вошел в зацепление с валом привода, и устанавливают в зависимости от требуемой степени измельчения продукта соответствующие наборы режущих инструментов. Для получения котлетной массы устанавливают основной набор режущих инструментов. Сначала надевают на палец шнека подрезную решетку, затем двусторонний нож, режущими кромками в сторону вращения шнека, после чего вставляют в корпус ножевую решетку № 3 с отверстиями d = 9 мм. Далее устанавливают на палец шнека еще один двусторонний нож, а в корпус мясорубки вставляют ножевую решетку № 2 или № 1 с диаметрами отверстий d = b мм или d = 3 мм. После этого устанавливают упорное кольцо и навинчивают на корпус зажимную гайку так, чтобы ножевые решетки были плотно прижаты к ножам и подрезной решетке.

Для получения крупной рубки устанавливают набор режущих инструментов для крупного измельчения продуктов: подрезную решетку, двусторонний нож и ножевую решетку № 3, два упорных кольца, зажимную гайку. После установки режущего инструмента, не включая электродвигателя, поворачивают на 0,5 — 1 оборот зажимную гайку, затем включают электродвигатель и навинчивают гайку до тех пор, пока в режущем механизме не появится шум и не возрастет сопротивление навинчиванию гайки. Это будет свидетельствовать о том, что режущие инструменты плотно прижаты друг к другу и мясорубка готова к работе.

В процессе эксплуатации мясорубок имеет место износ режущих инструментов и притупление острых кромок, причем в отдельных местах за счет неравномерного истирания ножевых решеток может образовываться зазор между ножами и решетками. Не это приводит к ухудшению качества измельчения продуктов и снижению производительности мясорубок. Для обеспечения надежной работы мясорубок необходимо регулярно производить переточку режущего инструмента. Для восстановления плоскостности режущих инструментов их шлифуют па плоскошлифовальных станках, а затем притирают на плоских чугунных плитах-притирах. Боковую сторону лезвий ножей затачивают вручную оселком или на точильном станке круглым камнем.

Перед загрузкой в мясорубку мясо и рыбу освобождают от костей. Переработка продукта, имеющего даже мелкие косточки, приводит к быстрому притуплению режущих инструментом, а также поломке ножей, выкрашиванию частиц металла, попаданию осколков в фарш. Не допускается эксплуатировать мясорубки вхолостую (без продукта), так как это приводит к быстрому износу режущих инструментов.

В зависимости от типа мясорубки продукт предварительно нарезают на куски большей или меньшей величины, что снижает потребляемую электродвигателем мощность. В соответствии с санитарными нормами не допускается измельчать вареные мясо и рыбу на мясорубке, предназначенной для измельчения сырых продуктов.

После окончания работы мясорубку разбирают, промывают горячей водой, просушивают и смазывают несоленым пищевым жиром. Хранят ее в сухих закрытых помещениях.

Заключение


На всех предприятиях общественного питания, где осуществляется обработка мяса, рыбы, присутствуют незаменимые помощники – мясорубки. Все чаще предпочтение отдается профессиональным мясорубкам, поскольку бытовые и полупрофессиональные мясорубки не способны выдерживать даже минимальные нагрузки на профессиональных кухнях и потому быстро выходят из строя. К ним относится мясорубка МИМ – 105 и их различные модифакации.

На российском рынке представлены мясорубки различные серии МИМ – 105 отечественного производства.

Все мясорубки отечественного производства, в том числе и МИМ – 105М имеют принципиально одинаковое устройство. В корпусе расположена рабочая камера для обработки продукта с ребрами против проворачивания продукта относительно камеры. Продукт проталкивается с помощью вращающегося шнека через ножи и ножевые решетки в сторону разгрузки. Особенность работы шнека является создание им давления, достаточного для продвижения продукта через режущий механизм без отжима содержащейся в продукте жидкости.

Одним из определяющих факторов при выборе мясорубки должна быть ее производительность. - Немаловажную роль в этом плане играет мощность двигателя, которая, в случае с техникой, предназначенной для предприятий ресторанного бизнеса, обычно не превышает 1,5 кВт. В целом, чем мощнее двигатель, тем выше производительность.

Производительность мясорубки МИМ – 105М и МИМ – 105 – 400 кг/г; а МИМ – 105М по сравнению с МИМ – 105 по своим габаритам более укомплектован, т.е. занимает намного меньше места, что имеет не маловажное значение.

Список литературы


1. А.И. Половинкин Основы инженерного творчества: учебное пособие для студентов вузов. – М. – Маштностроение, 2003

2. Броймер Роберт А “Основы управления в индустрии и оборудование для организации общепита” - Москва. “Аспект Пресс” 2005

3. Елхина В.Д. Оборудование для организации общественного питания - Москва. “Юнити” 2004

4. Веснин В.Р. Практический менеджмент персонала Москва - “Юристъ” 2002

5. Коршунов Н.В. “Организация ресторанного бизнеса” М, высшая школа 2006

6. Кристофер Энертон-Томас “Ресторанный бизнес” - М, “Росконсульт” 1999г.


Не нашли материал для своей работы?
Поможем написать уникальную работу
Без плагиата!
Без нейросетей!