|
Переключение
режима
воздухораспределителя
по загрузке
|
Режим
включения воздухораспределителя
|
Расчетная
величина давления кгс/см2
|
|
Тара
|
Полная
загрузка вагона
|
|
Автоматическое
(авторежим)
|
Средний
|
1,3/1,6(*
|
3,0/3,4(*
|
|
Груженый
|
1,6/2,0(*
|
4,0/4,5(*
|
Средний
режим (порожняя платформа):
Средний
режим (груженая платформа):
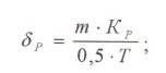
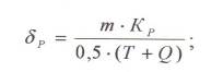
Определяем
расчетную силу нажатия на тормозную колодку по формуле:
(5.2)
Для
порожнего вагона:
Для
груженого вагона:
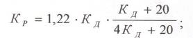
Находим
расчетный коэффициент силы нажатия тормозных колодок по формуле:
для
порожнего вагона:
(5.3)
где
[δр]=0,24 выбран в соответствии с ТЗ на тип платформы
аналогичный проектируемому.
Для
груженого вагона:
(5.4)
Проверка
отсутствия юза
Максимальная
суммарная величина силы нажатия тормозных колодок должна проверяться по
обеспечению сцепления колес с рельсами при торможении. При этом должно
соблюдаться условие:
δРφКР<[ψ]
(4)
Проверка
возможности юза производится на всех режимах торможения при максимальных
расчетных давлениях в цилиндре, принимаемых по таблице 2.1, на всех режимах
тормоза по загрузке вагона при минимальной и максимальной допускаемой для
соответствующего режима нагрузке на ось, а при наличии авторежима – во всем
диапазоне загрузки вагона с учетом конкретной характеристики авторежима.
Для
порожнего вагона определяем:
действительную
силу нажатия на одну колодку (средний режим):
расчетную
силу нажатия на одну колодку:
расчетный
коэффициент силы нажатия тормозных колодок.
Расчетный
предельный коэффициент сцепления колес с рельсами при торможении для проверки
отсутствия юза определяем из выражения:
[ψp]=
ψ(q0)
x
ψ(v),
(5)
где:
ψ(q0)
– функция осевой нагрузки для qo
>
5 тс:
ψ(q0)=0,17–0,00150
(qo-5) (6)
qo –
нагрузка на колесную пару (ось) вагона, тс,
ψ(v)-функция
скорости, зависящая от динамических свойств подвижного состава,
V
– скорость, км/ч.
ψ(q0)=0,17
-0,00150 (6 -5) = 0,168.
Для
грузовых вагонов на тележках пассажирского типа (КВЗ-И2):
(7)
для
V=40 км/ч

Находим
расчетный коэффициент трения по формуле:
; (8)
для
V=40 км/ч:
;
для
V=140 км/ч:
Определяем
предельные коэффициенты для проверки отсутствия юза:
для
V=40 км/ч:
;
для
V=140 км/ч:
.
Таким
образом реализуемый коэффициент сцепления колеса с рельсом составляет:
для
V=40 км/ч:
;
для
V=140 км/ч:
.
Вывод:
юз отсутствует.
Для
груженого вагона определяем:
действительную
силу нажатия на одну колодку (средний режим):
расчетную
силу нажатия на одну колодку:
расчетный
коэффициент силы нажатия тормозных колодок:
;
функцию
осевой нагрузки:
ψ(q0)=0,17
-0,00150 (18 -5) = 0,151;
Определяем
предельные коэффициенты для проверки отсутствия юза:
для
V=40 км/ч: [ψp]=
0,151x0,83 = 0,125;
для
V=140 км/ч: [ψp]=
0,151x0,63 = 0,095.
Таким
образом реализуемый коэффициент сцепления колеса с рельсом составляет:
для
V=40 км/ч:
;
для
V=140 км/ч:
.
Вывод:
юз отсутствует.
Для груженого вагона определяем:
действительную силу нажатия на одну
колодку (средний режим):
расчетную силу нажатия на одну колодку:
расчетный коэффициент силы нажатия
тормозных колодок:
;
функцию осевой нагрузки:
ψ(q0)=0,17
-0,00150 (18 -5) = 0,151;
Определяем предельные коэффициенты для
проверки отсутствия юза: для V=40 км/ч: [ψp]=
0,151x0,83 = 0,125;
для V=140 км/ч: [ψp]=
0,151x0,63 = 0,095.
Таким образом реализуемый коэффициент
сцепления колеса с рельсом составляет:
для V=40 км/ч:
;
для V=140 км/ч:
.
Вывод: юз отсутствует.